2565 E Southern Ave #67, Mesa, AZ 85204

Page 1

©2021 First American Financial Corporation and/or its affiliates. All rights reserved. | NYSE: FAF 05252610821 COVENANTS, CONDITIONS & RESTRICTIONS prepared for : First American Title Insurance Company, and the operating divisions thereof, make no express or implied warranty respecting the information presented and assume no responsibility for errors or omissions. First American, the eagle logo, First American Title, and firstam.com are registered trademarks or trademarks of First American Financial Corporation and/or its affiliates.

LIMITATION OF LIABILITY FOR INFORMATIONAL REPORTS

IMPORTANT -- PLEASE READ CAREFULLY:

This report is not an insured product or service or a representation of the condition of title to real property. It is not an abst ract, legal opinion, opinion of title, title insurance commitment or preliminary report, or any form of Title Insurance or Guaranty. This report is issued exclusively for the benefit of the Applicant therefor and may not be used or relied upon by any other person. This report may not be reproduced in any manner without First American or Title Security's prior written consent. First American or Title Security does not represent or warrant that the information herein is complete or free from error, and the information herein is provided without any warranties of any kind, as-is, and with all faults. As a material part of the consideration given in exchange for the issuance of this report, recipient agrees that First American or Title Security's sole liability for any loss or damage caused by an error or omission due to inaccurate information or negligence in preparing this report shall be limited to the fee charged for the report. Recipient accepts this report with this limitation and agrees that First American or Title Security would not have issued this report but for the limitation of liability described above. First American or Title Security makes no representation or warranty as to the legality or propriety of recipient's use of the information herein.

MARICOPA, AZ Document:PLAT_MAP 1080.40 Page:1 of 7 Printed on:6/29/2023 3:50 PM Branch :FC0 User :JSTI
MARICOPA, AZ Document:PLAT_MAP 1080.40 Page:2 of 7 Printed on:6/29/2023 3:50 PM Branch :FC0 User :JSTI
MARICOPA, AZ Document:PLAT_MAP 1080.40 Page:3 of 7 Printed on:6/29/2023 3:50 PM Branch :FC0 User :JSTI
MARICOPA, AZ Document:PLAT_MAP 1080.40 Page:4 of 7 Printed on:6/29/2023 3:50 PM Branch :FC0 User :JSTI
MARICOPA, AZ Document:PLAT_MAP 1080.40 Page:5 of 7 Printed on:6/29/2023 3:50 PM Branch :FC0 User :JSTI
MARICOPA, AZ Document:PLAT_MAP 1080.40 Page:6 of 7 Printed on:6/29/2023 3:50 PM Branch :FC0 User :JSTI
MARICOPA, AZ Document:PLAT_MAP 1080.40 Page:7 of 7 Printed on:6/29/2023 3:50 PM Branch :FC0 User :JSTI
MARICOPA, AZ Document:PLT COR 2011.289116 Page:1 of 2 Printed on:6/29/2023 3:50 PM Branch :FC0 User :JSTI
MARICOPA, AZ Document:PLT COR 2011.289116 Page:2 of 2 Printed on:6/29/2023 3:50 PM Branch :FC0 User :JSTI
MARICOPA, AZ Document:PLT COR 2012.107599 Page:1 of 2 Printed on:6/29/2023 3:50 PM Branch :FC0 User :JSTI
MARICOPA, AZ Document:PLT COR 2012.107599 Page:2 of 2 Printed on:6/29/2023 3:50 PM Branch :FC0 User :JSTI
MARICOPA, AZ Document:PLT COR 2012.752826 Page:1 of 1 Printed on:6/29/2023 3:50 PM Branch :FC0 User :JSTI
MARICOPA, AZ Document:RES AMD 2011.256253 Page:1 of 9 Printed on:6/29/2023 3:50 PM Branch :FC0 User :JSTI
MARICOPA, AZ Document:RES AMD 2011.256253 Page:2 of 9 Printed on:6/29/2023 3:50 PM Branch :FC0 User :JSTI
MARICOPA, AZ Document:RES AMD 2011.256253 Page:3 of 9 Printed on:6/29/2023 3:50 PM Branch :FC0 User :JSTI
MARICOPA, AZ Document:RES AMD 2011.256253 Page:4 of 9 Printed on:6/29/2023 3:50 PM Branch :FC0 User :JSTI
MARICOPA, AZ Document:RES AMD 2011.256253 Page:5 of 9 Printed on:6/29/2023 3:50 PM Branch :FC0 User :JSTI
MARICOPA, AZ Document:RES AMD 2011.256253 Page:6 of 9 Printed on:6/29/2023 3:50 PM Branch :FC0 User :JSTI
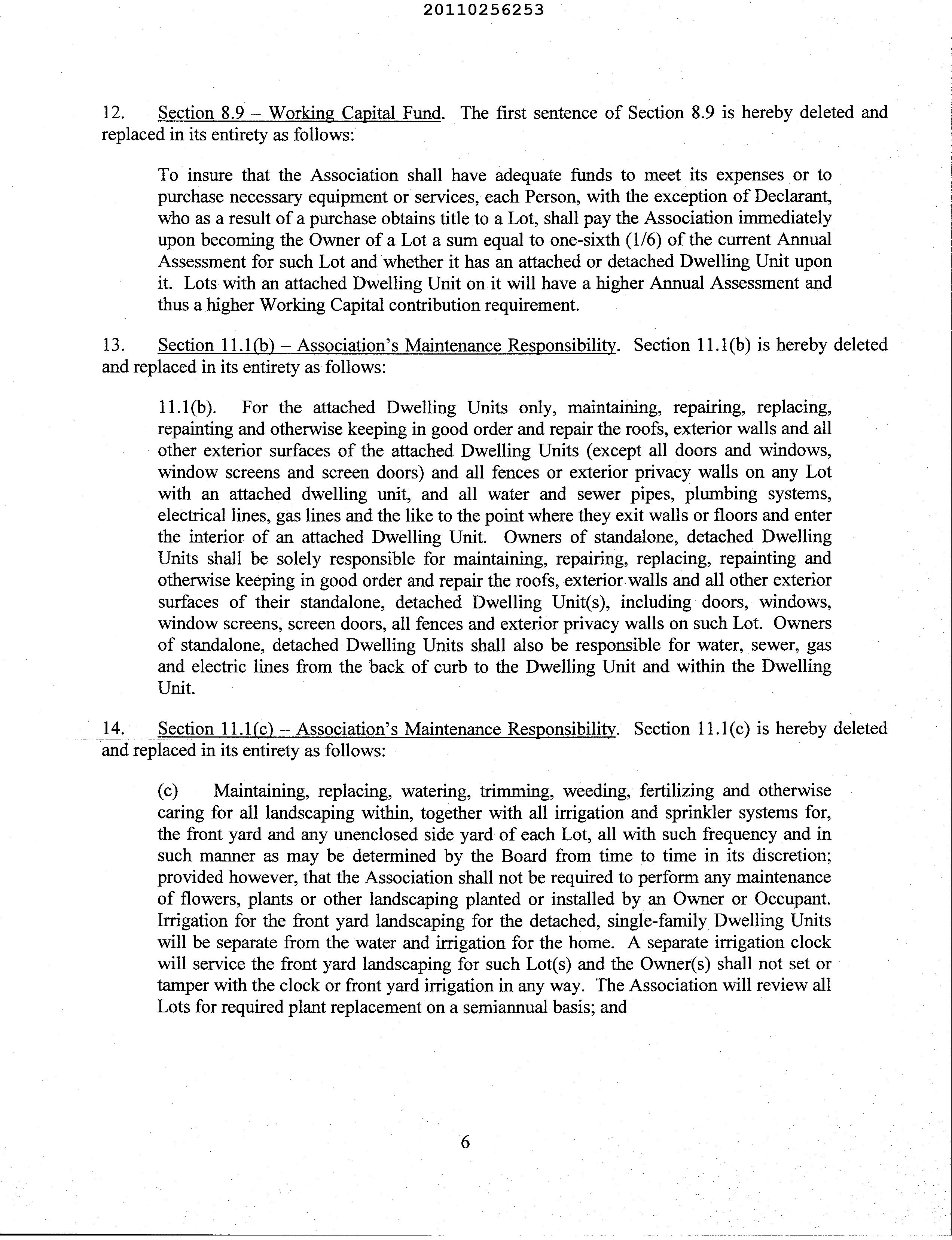
MARICOPA, AZ Document:RES AMD 2011.256253 Page:7 of 9 Printed on:6/29/2023 3:50 PM Branch :FC0 User :JSTI
MARICOPA, AZ Document:RES AMD 2011.256253 Page:8 of 9 Printed on:6/29/2023 3:50 PM Branch :FC0 User :JSTI
MARICOPA, AZ Document:RES AMD 2011.256253 Page:9 of 9 Printed on:6/29/2023 3:50 PM Branch :FC0 User :JSTI
MARICOPA, AZ Document:RES AMD 2012.279544 Page:1 of 9 Printed on:6/29/2023 3:50 PM Branch :FC0 User :JSTI
MARICOPA, AZ Document:RES AMD 2012.279544 Page:2 of 9 Printed on:6/29/2023 3:50 PM Branch :FC0 User :JSTI
MARICOPA, AZ Document:RES AMD 2012.279544 Page:3 of 9 Printed on:6/29/2023 3:50 PM Branch :FC0 User :JSTI
MARICOPA, AZ Document:RES AMD 2012.279544 Page:4 of 9 Printed on:6/29/2023 3:50 PM Branch :FC0 User :JSTI
MARICOPA, AZ Document:RES AMD 2012.279544 Page:5 of 9 Printed on:6/29/2023 3:50 PM Branch :FC0 User :JSTI
MARICOPA, AZ Document:RES AMD 2012.279544 Page:6 of 9 Printed on:6/29/2023 3:50 PM Branch :FC0 User :JSTI
MARICOPA, AZ Document:RES AMD 2012.279544 Page:7 of 9 Printed on:6/29/2023 3:50 PM Branch :FC0 User :JSTI
MARICOPA, AZ Document:RES AMD 2012.279544 Page:8 of 9 Printed on:6/29/2023 3:50 PM Branch :FC0 User :JSTI
MARICOPA, AZ Document:RES AMD 2012.279544 Page:9 of 9 Printed on:6/29/2023 3:50 PM Branch :FC0 User :JSTI
MARICOPA, AZ Document:NOT HOA 2012.473464 Page:1 of 2 Printed on:6/29/2023 3:50 PM Branch :FC0 User :JSTI
MARICOPA, AZ Document:NOT HOA 2012.473464 Page:2 of 2 Printed on:6/29/2023 3:50 PM Branch :FC0 User :JSTI

Turn static files into dynamic content formats.

Create a flipbook
Issuu converts static files into: digital portfolios, online yearbooks, online catalogs, digital photo albums and more. Sign up and create your flipbook.