Digital Listing Kit 20937 E Nightingale Rd

Page 1

Subject Property 20937 E Nightingale Rd Queen Creek AZ 85142 APN: 304-66-256 Data Provided By: First American Title Ins Co © 2024 CoreLogic. All rights reserved

WIRE FRAUD ALERT THINK DIFFERENTLY

Email-based, real estate fraud schemes are on the rise. One common scenario is altering wiring instructions with the intention of rerouting funds.

Keeping this in mind, First American Title is changing the way we receive payment information. It is imperative that we are familiar with the people in our transactions.

RELYING ON EMAIL ALONE IS NO LONGER AN OPTION.

DO NOT TRUST EMAILED INSTRUCTIONS

Fraudsters often use email to send falsified wire instructions to unsuspecting victims. Please warn your buyers and sellers to only follow wire instructions they receive personally from First American Title.

Additionally, we will not accept disbursement instructions for seller or buyer funds via email OR from any third party (attorney, real estate agent, etc).

ALTERNATIVE INSTRUCTIONS?

If your buyer or seller receives alternative wiring instructions that appear to be from First American Title, make sure they contact their escrow officer at a trusted phone number for confirmation.

Know that our wiring instructions do not change so any communication is suspect. Our banking institution is First American Trust.

IN SHORT – wire instructions will not be accepted by email. New wire instructions must be hand-carried or uploaded to the First American Secure Portal.

Thank you for joining First American Title in fostering a secure real estate transaction process. Have questions or concerns? Please contact our office or your escrow officer.

For more information please contact your First American representative.

www.firstam.com

01100180621
YOU SHOULD BE AWARE OF PRECAUTIONS IN THE REAL ESTATE CLOSING PROCESS
First American Title Insurance Company, and the operating divisions thereof, make no express or implied warranty respecting the information presented and assume no responsibility for errors or omissions. First American, the eagle logo, First American Title, and firstam.com are registered trademarks or trademarks of First American Financial Corporation and/or its affiliates. ©2023 First American Financial Corporation and/or its affiliates. All rights reserved. NYSE: FAF

LIMITATION OF LIABILITY FOR INFORMATIONAL REPORTS

IMPORTANT -- PLEASE READ CAREFULLY:

This report is not an insured product or service or a representation of the condition of title to real property. It is not an abstract, legal opinion, opinion of title, title insurance commitment or preliminary report, or any form of Title Insurance or Guaranty. This report is issued exclusively for the benefit of the Applicant therefor and may not be used or relied upon by any other person. This report may not be reproduced in any manner without First Americans prior written consent. First American does not represent or warrant that the information herein is complete or free from error, and the information herein is provided without any warranties of any kind, as-is, and with all faults. As a material part of the consideration given in exchange for the issuance of this report, recipient agrees that First Americans sole liability for any loss or damage caused by an error or omission due to inaccurate information or negligence in preparing this report shall be limited to the fee charged for the report. Recipient accepts this report with this limitation and agrees that First American would not have issued this report but for the limitation of liability described above. First American makes no representation or warranty as to the legality or propriety of recipient's use of the information herein.

Disclaimer

This REiSource report is provided "as is" without warranty of any kind, either express or implied, including without limitations any warrantees of merchantability or fitness for a particular purpose. There is no representation of warranty that this information is complete or free from error, and the provider does not assume, and expressly disclaims, any liability to any person or entity for loss or damage caused by errors or omissions in this REiSource report without a title insurance policy.

The information contained in the REiSource report is delivered from your Title Company, who reminds you that you have the right as a consumer to compare fees and serviced levels for Title, Escrow, and all other services associated with property ownership, and to select providers accordingly. Your home is the largest investment you will make in your lifetime and you should demand the very best.

Data Provided By: First American Title Ins Co
© 2024 CoreLogic. All rights reserved

Owner Information

Owner Name : Galindo Jose M

Mailing Address : 20937 E Nightingale Rd, Queen Creek AZ 85142-6561 R007

Vesting Codes : Married Man / / Separate Property

Owner Occupied Indicator : O

Location Information

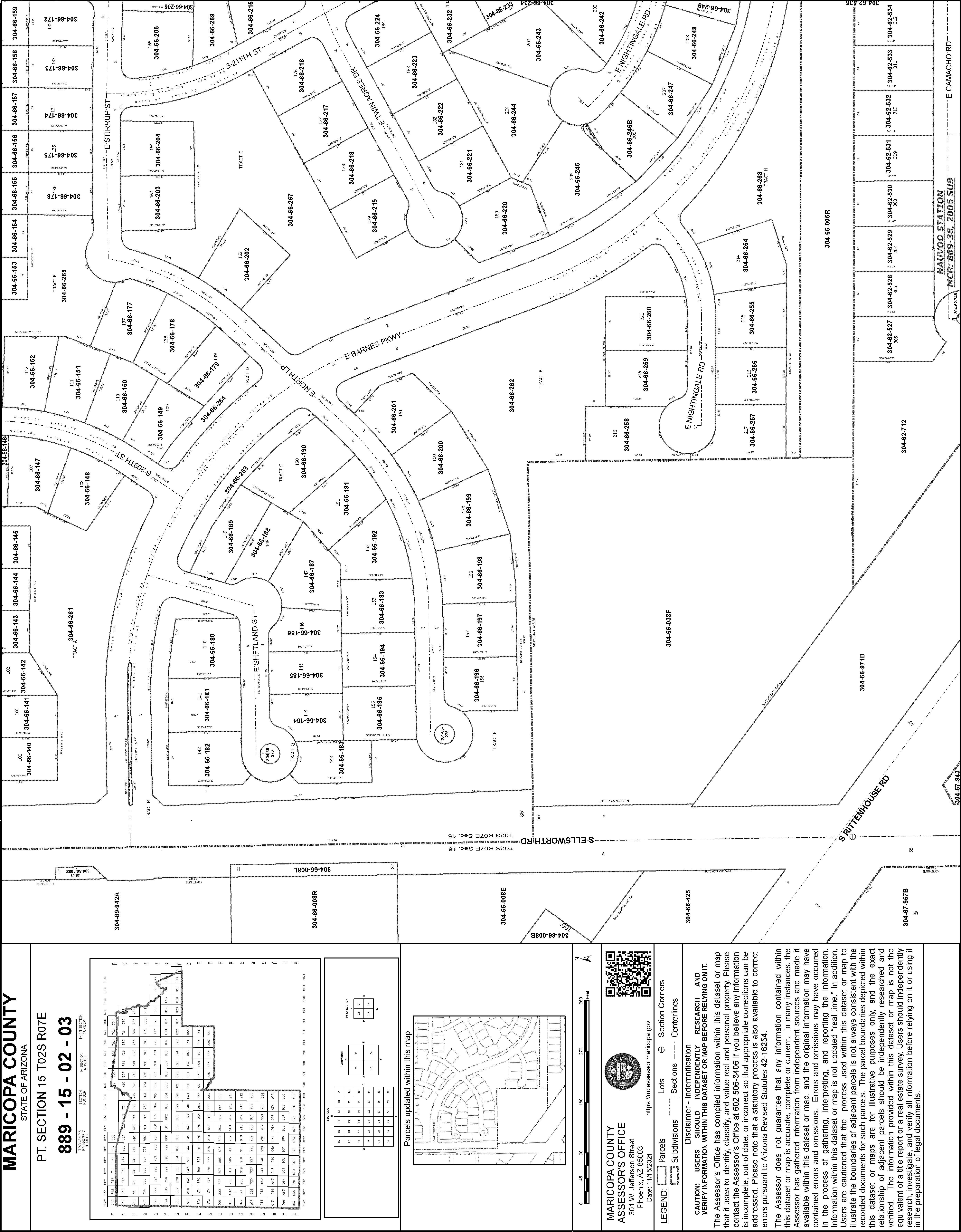
Legal Description : Lot 216 Queenland Manor Mcr 521-43

County : Maricopa, Az

Census Tract / Block : 8169.03 / 1

Township-Range- Sect : 02S-07E-15

Legal Lot : 216

APN : 304-66-256

Last Market Sale Information

Subdivision : Queenland Manor

Map Reference : 52143

School District : Queen Creek 95

Munic/Township : Queen Creek

Neighbor Code : 28-006

Subject Property :   20937 E Nightingale Rd Queen Creek AZ 85142
Recording/Sale Date : 09/10/2004
09/01/2004 1st Mtg Int. Rate/Type : 7.75% / Adjustable Int Rate Loan Sale Price : $252,597 1st Mtg Document # : 1058558 Document # : 1058556 1st Mtg Term : 30 Deed Type : Warranty Deed Price Per SqFt : $80.32 1st Mtg Amount/Type : $202,077 / Cnv 2nd Mtg Amount/Type : $50,520 / Conv Title Company : Stewart Title & Tr/phoenix Lender :
Mtg Corp
Property Characteristics Gross Area : 3,145 Garage Capacity : 3 Pool : Pool Living Area : 3,145 Roof Material : Concrete Tile Air Cond : Refrigeration Total Rooms : 11 Heat Type : Forced Air Quality : Good Year Built / Eff : 2004 Cooling Type : Forced Air Condition : Average # of Stories : 2 Exterior wall : Frame Wood Bath Fixtures : 12 Parking Type : Garage Patio Type : Covered Patio Customer Name : Jeremiah Stiffler Customer Company Name : First American Prepared On : 04/19/2024 © 2024 CoreLogic. All rights reserved
/
Wmc
Seller Name : Elliott Homes Of Arizona Inc
Land Use : Sfr Lot Acres : 0.29 State Use : Single Fam Resurban Subd ( 4 ) Zoning : R1-12 Lot Size : 12,587 Tax Information Total Value : $171,300 Improve % : 80% Current Assessed Year : 2024 Land Value : $34,200 Tax Year : 2022 Current Year Total Value : $68,700 Improvement Value : $137,100 Property Tax : $1,694.72 Utility Tax : $23,291 Total Taxable Value : $15,972 Tax Rate Area : 952501 Water Tax : 29100 Assessed Year : 2022 Market Value : $171,300 Customer Name : Jeremiah Stiffler Customer Company Name : First American Prepared On : 04/19/2024 © 2024 CoreLogic. All rights reserved
Property Information
Criteria Subject Property Low High Average Sale Price $252,597 $474,339 $950,000 $691,367 Bldg/Living Area 3145 2676 3530 3040 Price Per Square Foot $80.32 $140 $295 $229.20 Year Built 2004 2000 2022 2013 Lot Size 12,587 6,000 16,834 9,721 Bedrooms Bathrooms 4 4 5 4 Stories 2 1 2 1 Total Assessed Value $171,300 $60,700 $418,000 $317,690 Distance From Subject 0 0.15 0.82 0.58 Summary of Comparables # Address Sale Price Total Assessed Value Sale Date Bed Bath Living Area Lot Size Year Built Dist (Miles) Zoning S 20937 E Nightingale Rd 252,597 171,300 09/10/2004 4 3,145 12,587 2004 R1-12 1 20954 E North Loop 700,000 393,100 09/08/2023 4 2,958 16,834 2005 0.15 R1-12 2 21118 E Alyssa Rd 800,000 364,500 05/05/2023 4 2,928 14,686 2001 0.21 R1-12 3 20830 E Shetland St 600,000 355,700 07/21/2023 4 2,706 12,297 2000 0.21 R1-12 4 21130 E Twin Acres Dr 740,000 367,300 09/05/2023 4 2,706 12,070 2004 0.25 R1-12 5 21240 E Russet Rd 685,000 394,300 10/25/2023 5 2,921 9,600 2014 0.41 R1-8 6 20948 E Thornton Rd 665,000 60,700 05/04/2023 5 3,158 6,000 2022 0.52 R1-5 7 21165 E Thornton Rd 720,000 100,400 09/05/2023 4 3,073 11,250 2022 0.58 R1-9 8 20921 E Carriage Way 650,000 363,500 05/04/2023 5 3,158 6,139 2021 0.6 R1-5 9 21160 E Thornton Rd 639,000 82,100 04/21/2023 4 2,838 8,750 2022 0.6 R1-5 10 21024 E Carriage Way 750,000 348,200 01/25/2024 5 2,866 6,000 2021 0.64 R1-5 Customer Name : Jeremiah Stiffler Customer Company Name : First American Prepared On : 04/19/2024 © 2024 CoreLogic. All rights reserved
Sales Analysis
11 21404 E Bonanza Way 650,000 357,700 06/09/2023 5 3,530 8,308 2006 0.65 R1-7 12 21183 E Carriage Way 760,000 395,500 02/14/2024 4 3,073 8,709 2021 0.69 R1-5 13 21502 E Russet Rd 725,000 411,200 05/11/2023 4 3,218 11,933 2020 0.7 R1-12 14 21428 E Roundup Way 600,000 334,800 07/31/2023 5 3,390 7,161 2007 0.71 R1-7 15 20915 E Arrowhead Trl 570,000 60,700 06/14/2023 5 3,161 6,000 2022 0.71 R1-5 16 21124 E Reins Rd 785,000 396,100 01/24/2024 4 3,073 8,808 2021 0.74 R1-5 21466 E Roundup Way 474,339 353,700 05/09/2023 5 3,390 7,446 2006 0.76 R1-7 18 20440 E Appaloosa Dr 665,000 406,300 04/19/2023 4 2,676 10,080 2004 0.8 R1-8 19 21277 S 215th Way 950,000 418,000 07/25/2023 4 3,218 12,273 2020 0.8 R1-12 20 20449 E Appaloosa Dr 699,000 390,000 03/07/2024 4 2,755 10,080 2005 0.82 R1-8 Distressed Sales = Customer Name : Jeremiah Stiffler Customer Company Name : First American Prepared On : 04/19/2024 © 2024 CoreLogic. All rights reserved
Map Customer Name : Jeremiah Stiffler Customer Company Name : First American Prepared On : 04/19/2024 © 2024 CoreLogic. All rights reserved

Details of Comparables

Subject Property: 20937 E Nightingale Rd Queen Creek Az 85142 Owner Name: Galindo Jose M / APN / Alternate APN: 304-66-256 / Deed Type: Warranty Deed Land Use: Sfr Subdivision / Tract: Queenland Manor / Lot Size: 12,587 Year Built / Eff: 2004 / Rec. Date / Price: 09/10/2004 / $252,597 Living Area: 3,145 # of units: Document #: 1058556 Bedrooms: Pool: Pool Total Tax Value: $171,300 Bath(F/H): / #1   20954 E North Loop Queen Creek Az 85142 Owner Name: Wentworth Janice / APN / Alternate APN: 304-66-190 / Deed Type: Warranty Deed Land Use: Sfr Subdivision / Tract: Queenland Manor / Lot Size: 16,834 Year Built / Eff: 2005 / Rec. Date / Price: 09/08/2023 / $700,000 Living Area: 2,958 # of units: Document #: 470988 Bedrooms: Pool: Pool Total Tax Value: $393,100 Bath(F/H): / #2   21118 E Alyssa Rd Queen Creek Az 85142 Owner Name: Williams Ray /Jubran Labibah APN / Alternate APN: 304-66-230 / Deed Type: Warranty Deed Land Use: Sfr Subdivision / Tract: Queenland Manor / Lot Size: 14,686 Year Built / Eff: 2001 / Rec. Date / Price: 05/05/2023 / $800,000 Living Area: 2,928 # of units: Document #: 234791 Bedrooms: Pool: Pool Total Tax Value: $364,500 Bath(F/H): / #3   20830 E Shetland St Queen Creek Az 85142 Owner Name: K Hovnanian At Victory At Verr / APN / Alternate APN: 304-66-181 / Deed Type: Warranty Deed Land Use: Sfr Subdivision / Tract: Queenland Manor / Lot Size: 12,297 Year Built / Eff: 2000 / Rec. Date / Price: 07/21/2023 / $600,000 Living Area: 2,706 # of units: Document #: 382172 Bedrooms: Pool: Pool Total Tax Value: $355,700 Bath(F/H): / #4   21130 E Twin Acres Dr Queen Creek Az 85142 Owner Name: Knight Julie L / APN / Alternate APN: 304-66-212 / Deed Type: Warranty Deed Land Use: Sfr Subdivision / Tract: Queenland Manor / Lot Size: 12,070 Year Built / Eff: 2004 / Rec. Date / Price: 09/05/2023 / $740,000 Living Area: 2,706 # of units: Document #: 463514 Bedrooms: Pool: Pool Total Tax Value: $367,300 Bath(F/H): / Customer Name : Jeremiah Stiffler Customer Company Name : First American Prepared On : 04/19/2024 © 2024 CoreLogic. All rights reserved
#5   21240 E Russet Rd Queen Creek Az 85142 Owner Name: Freeman Tate /Freeman Brooke APN / Alternate APN: 304-62-593 / Deed Type: Warranty Deed Land Use: Sfr Subdivision / Tract: Nauvoo Station / Lot Size: 9,600 Year Built / Eff: 2014 / Rec. Date / Price: 10/25/2023 / $685,000 Living Area: 2,921 # of units: Document #: 554652 Bedrooms: Pool: Pool Total Tax Value: $394,300 Bath(F/H): / #6   20948 E Thornton Rd Queen Creek Az 85142 Owner Name: Ellis Joshua T /Ellis Rachel APN / Alternate APN: 314-13-755 / Deed Type: Special Warranty Deed Land Use: Sfr Subdivision / Tract: Terravella Ph 2 / Lot Size: 6,000 Year Built / Eff: 2022 / Rec. Date / Price: 05/04/2023 / $665,000 Living Area: 3,158 # of units: Document #: 231482 Bedrooms: Pool: Total Tax Value: $60,700 Bath(F/H): / #7   21165 E Thornton Rd Queen Creek Az 85142 Owner Name: Gudmundsen Dennis S /Gudmundsen Lori A APN / Alternate APN: 314-13-853 / Deed Type: Special Warranty Deed Land Use: Sfr Subdivision / Tract: Terravella Ph 2 / Lot Size: 11,250 Year Built / Eff: 2022 / Rec. Date / Price: 09/05/2023 / $720,000 Living Area: 3,073 # of units: Document #: 463225 Bedrooms: Pool: Total Tax Value: $100,400 Bath(F/H): / #8   20921 E Carriage Way Queen Creek Az 85142 Owner
Kirk C APN / Alternate APN: 314-13-703 / Deed Type: Warranty Deed Land Use: Sfr Subdivision / Tract: Terravella Ph 2 / Lot Size: 6,139 Year Built / Eff: 2021 / Rec. Date / Price: 05/04/2023 / $650,000 Living Area: 3,158 # of units: Document #: 231153 Bedrooms: Pool: Pool Total Tax Value: $363,500 Bath(F/H): / #9   21160 E Thornton Rd Queen Creek Az 85142 Owner Name: Bienz Daniel /Bienz Jillian APN / Alternate APN: 314-13-844 / Deed Type: Special Warranty Deed Land Use: Sfr Subdivision / Tract: Terravella Ph 2 / Lot Size: 8,750 Year Built / Eff: 2022 / Rec. Date / Price: 04/21/2023 / $639,000 Living Area: 2,838 # of units: Document #: 206238 Bedrooms: Pool: Total Tax Value: $82,100 Bath(F/H): / #10   21024 E Carriage Way Queen Creek Az 85142 Owner Name: Malik Living Trust / APN / Alternate APN: 314-13-691 / Deed Type: Warranty Deed Land Use: Sfr Subdivision / Tract: Terravella Ph 2 / Lot Size: 6,000 Year Built / Eff: 2021 / Rec. Date / Price: 01/25/2024 / $750,000 Living Area: 2,866 # of units: Document #: 39308 Bedrooms: Pool: Total Tax Value: $348,200 Bath(F/H): / Customer Name : Jeremiah Stiffler Customer Company Name : First American Prepared On : 04/19/2024 © 2024 CoreLogic. All rights reserved
Name: Davis Ariana L /Davis
#11   21404 E Bonanza Way Queen Creek Az 85142 Owner Name: Dalton Jason O /Dalton Elizabeth A APN / Alternate APN: 304-66-581 / Deed Type: Warranty Deed Land Use: Sfr Subdivision / Tract: Langley Gateway Estates 2 / Lot Size: 8,308 Year Built / Eff: 2006 / Rec. Date / Price: 06/09/2023 / $650,000 Living Area: 3,530 # of units: Document #: 301570 Bedrooms: Pool: Pool Total Tax Value: $357,700 Bath(F/H): / #12   21183 E Carriage Way Queen Creek Az 85142 Owner Name: Ramirez Kathleen V /Ramirez Shaun M APN / Alternate APN: 314-13-822 / Deed Type: Warranty Deed Land Use: Sfr Subdivision / Tract: Terravella Ph 2 / Lot Size: 8,709 Year Built / Eff: 2021 / Rec. Date / Price: 02/14/2024 / $760,000 Living Area: 3,073 # of units: Document #: 75572 Bedrooms: Pool: Total Tax Value: $395,500 Bath(F/H): / #13   21502 E Russet Rd Queen Creek Az 85142 Owner Name: Hageman Gordon L / APN / Alternate APN: 304-62-690 / Deed Type: Warranty Deed Land Use: Sfr Subdivision / Tract: Nauvoo Station / Lot Size: 11,933 Year Built / Eff: 2020 / Rec. Date / Price: 05/11/2023 / $725,000 Living Area: 3,218 # of units: Document #: 243977 Bedrooms: Pool: Total Tax Value: $411,200 Bath(F/H): / #14   21428 E Roundup Way Queen Creek Az 85142 Owner
Bina APN / Alternate APN: 304-66-554 / Deed Type: Warranty Deed Land Use: Sfr Subdivision / Tract: Langley Gateway Estates 2 / Lot Size: 7,161 Year Built / Eff: 2007 / Rec. Date / Price: 07/31/2023 / $600,000 Living Area: 3,390 # of units: Document #: 398599 Bedrooms: Pool: Total Tax Value: $334,800 Bath(F/H): / #15   20915 E Arrowhead Trl Queen Creek Az 85142 Owner Name: Milley Corey S / APN / Alternate APN: 314-12-713 / Deed Type: Special Warranty Deed Land Use: Sfr Subdivision / Tract: Terravella Ph 1 / Lot Size: 6,000 Year Built / Eff: 2022 / Rec. Date / Price: 06/14/2023 / $570,000 Living Area: 3,161 # of units: Document #: 309747 Bedrooms: Pool: Total Tax Value: $60,700 Bath(F/H): / Customer Name : Jeremiah Stiffler Customer Company Name : First American Prepared On : 04/19/2024 © 2024 CoreLogic. All rights reserved
Name: Bhakta Paresh /Bhakta
#16   21124 E Reins Rd Queen Creek Az 85142 Owner Name: Sellers Charles /Arellano Brenda APN / Alternate APN: 314-13-777 / Deed Type: Warranty Deed Land Use: Sfr Subdivision / Tract: Terravella Ph 2 / Lot Size: 8,808 Year Built / Eff: 2021 / Rec. Date / Price: 01/24/2024 / $785,000 Living Area: 3,073 # of units: Document #: 36836 Bedrooms: Pool: Total Tax Value: $396,100 Bath(F/H): / 21466 E Roundup Way Queen Creek Az 85142 Owner Name: Collins Shannon / APN / Alternate APN: 304-66-549 / Deed Type: Warranty Deed Land Use: Sfr Subdivision / Tract: Langley Gateway Estates 2 / Lot Size: 7,446 Year Built / Eff: 2006 / Rec. Date / Price: 05/09/2023 / $474,339 Living Area: 3,390 # of units: Document #: 239283 Bedrooms: Pool: Pool Total Tax Value: $353,700 Bath(F/H): / #18   20440 E Appaloosa Dr Queen Creek Az 85142 Owner Name: Henson Christopher A /Henson Vaness APN / Alternate APN: 304-67-172 / Deed Type: Warranty Deed Land Use: Sfr Subdivision / Tract: Will Rogers Equestrian Ranch Unit 2 / Lot Size: 10,080 Year Built / Eff: 2004 / Rec. Date / Price: 04/19/2023 / $665,000 Living Area: 2,676 # of units: Document #: 199370 Bedrooms: Pool: Pool Total Tax Value: $406,300 Bath(F/H): / #19   21277 S 215th Way Queen Creek Az 85142 Owner Name: Kenney Brian /Kenney Carissa APN / Alternate APN: 304-62-675 / Deed Type: Warranty Deed Land Use: Sfr Subdivision / Tract: Nauvoo Station / Lot Size: 12,273 Year Built / Eff: 2020 / Rec. Date / Price: 07/25/2023 / $950,000 Living Area: 3,218 # of units: Document #: 386214 Bedrooms: Pool: Pool Total Tax Value: $418,000 Bath(F/H): / #20   20449 E Appaloosa Dr Queen Creek Az 85142 Owner Name: Bennett Tyke /Bennett Tyke R APN / Alternate APN: 304-67-163 / Deed Type: Warranty Deed Land Use: Sfr Subdivision / Tract: Will Rogers Equestrian Ranch Unit 2 / Lot Size: 10,080 Year Built / Eff: 2005 / Rec. Date / Price: 03/07/2024 / $699,000 Living Area: 2,755 # of units: Document #: 118985 Bedrooms: Pool: Total Tax Value: $390,000 Bath(F/H): / Customer Name : Jeremiah Stiffler Customer Company Name : First American Prepared On : 04/19/2024 © 2024 CoreLogic. All rights reserved
Subject Property :   20937 E Nightingale Rd Queen Creek AZ 85142 Customer Name : Jeremiah Stiffler Customer Company Name : First American Prepared On : 04/19/2024 © 2024 CoreLogic. All rights reserved
Customer Name : Jeremiah Stiffler Customer Company Name : First American Prepared On : 04/19/2024 © 2024 CoreLogic. All rights reserved

Owner Name : Kinsey Leslie W

Owner Name : Fifield Chance Anthony

Owner Name : Canson Willia D Subdivision : Queenland

Distance
20907 E NIGHTINGALE RD
0.02 Miles
Value :
Sale Price  :
Bed / Bath : / 4 Property Tax : $2,616.66 Land
Lot Acres : 0.30
Living
Blt
APN :
Distance
Subdivision : Queenland Manor Sale Date : 05/16/2013 Recording Date : 05/28/2013 Total
$360,600
$322,740
Use : Sfr
Stories : 1
Area : 2,706 Yr
/ Eff Yr Blt : 2004 /
304-66-257 20967 E NIGHTINGALE RD
0.02 Miles
Total Value : $339,300 Sale Price  : $455,000 Bed / Bath : / 3 Property Tax : $2,409.98 Land Use :
Lot Acres : 0.30
Living
Blt
APN :
Distance
Subdivision : Queenland Manor Sale Date : 10/16/2020 Recording Date : 10/22/2020
Sfr
Stories : 1
Area : 2,422 Yr
/ Eff Yr Blt : 2004 /
304-66-255 20914 E NIGHTINGALE RD
0.04 Miles
Sale Date : 02/24/2005 Recording Date : 02/28/2005 Total Value : $368,300 Sale Price  : $395,500 Bed / Bath : / 4 Property Tax : $2,655.60 Land Use : Sfr Lot Acres : 0.32 Stories : 2 Living Area : 3,145 Yr Blt / Eff Yr Blt : 2003 / APN : 304-66-258 20930 E CAMACHO CT Distance 0.05 Miles
Name :
Recording Date : 01/21/2021 Sale Date : 01/01/2021 Sale Price  : $399,415 Total Value : $379,700 Property Tax : $2,843.12 Bed / Bath : / 4 Lot Acres : 0.28 Land Use : Sfr Living Area : 2,868 Yr Blt / Eff Yr Blt : 2020 / APN : 304-62-527 Subdivision  : Nauvoo Station Customer Name : Jeremiah Stiffler Customer Company Name : First American Prepared On : 04/19/2024 © 2024 CoreLogic. All rights reserved
Manor
Owner
Lamarche Jeffrey

Owner Name : Younger Stephen C

Owner Name : Karaszewski Eric M

Owner Name : Henson Daniel Subdivision : Nauvoo Station Sale Date :

20942 E CAMACHO CT Distance 0.06 Miles
Sale Price
Total Value : $362,200 Property Tax : $2,720 Bed / Bath : / 4 Lot Acres : 0.26 Land Use : Sfr Living Area : 2,180 Yr Blt / Eff Yr Blt : 2020 / APN : 304-62-528 Subdivision  : Nauvoo Station 20954 E CAMACHO CT Distance 0.06 Miles
Recording
Sale Date :
Sale Price  :
Total Value : $362,100 Property Tax : $2,834.12 Bed / Bath : / 4 Lot Acres : 0.26 Land Use : Sfr Living Area : 2,180 Yr Blt / Eff Yr Blt : 2020 / APN : 304-62-529 Subdivision  : Nauvoo Station 20966 E CAMACHO CT Distance 0.08 Miles
Recording Date : 12/28/2020 Sale Date : 12/01/2020
: $411,990
Date : 09/23/2022
09/19/2022
$765,000
12/01/2020 Recording Date : 12/15/2020 Total Value : $362,000 Sale Price  : $390,490 Bed / Bath : / 4 Property Tax : $2,787.48 Land Use : Sfr Lot Acres : 0.26 Stories : 1 Living Area : 2,180 Yr Blt / Eff Yr Blt : 2020 / APN : 304-62-530 20978 E CAMACHO CT Distance 0.09 Miles
Name : Orona Jose Carlos Subdivision : Nauvoo Station Sale Date : 11/01/2020 Recording Date : 11/20/2020 Total Value : $387,200 Sale Price  : $451,490 Bed / Bath : / 4 Property Tax : $2,886.40 Land Use : Sfr Lot Acres : 0.26 Stories : 1 Living Area : 3,025 Yr Blt / Eff Yr Blt : 2020 / APN : 304-62-531 Customer Name : Jeremiah Stiffler Customer Company Name : First American Prepared On : 04/19/2024 © 2024 CoreLogic. All rights reserved
Owner

Census Tract / block: 8169.03 / 1     Year: 2020

Household Population Population by Age Count: 3,476 0 - 11 Estimate Current Year: 3,476 12 - 17 Estimate in 5 Years: 3,476 18 - 24 3.45% Growth Last 5 Years: 25 - 64 59.26% Growth Last 10 Years: 65 - 74 11.1% 75+ Household Size Household Income Current Year: 1,136 0 - $25,000 2.55% Average Current Year: 3.06 $25,000 - $35,000 0% Estimate in 5 Years: 1,136 $35,000 - $50,000 8.71% Growth Last 5 Years: $50,000 - $75,000 9.42% Growth Last 10 Years: $75,000 - $100,000 24.47% Male Population: 46.09% Above $100,000 54.84% Female Population: 53.91% Average Household Income: $145,087 Married People: 65.5% Unmarried People: 34.5% Housing Median Mortgage Payments Home Values Under $300: 0% Below $100,000: 0% $300 - $799: 6.93% $100,000 - $150,000: 0% $800 - $1,999: 46.13% $150,000 - $200,000: 0% Over $2,000: 46.93% $200,000 - $300,000: 22.71% Median Home Value: $360,200 $300,000 - $500,000: 59.7% Unit Occupied Owner: 87.59% Above $500,000: 17.59% Median Mortgage: Customer Name : Jeremiah Stiffler Customer Company Name : First American Prepared On : 04/19/2024 © 2024 CoreLogic. All rights reserved
Rent Payments Year Built Unit Occupied Renter: 12.41% 1999 - 2000 Median Gross Rent: $1,625 1995 - 1998 Less Than $499 0% 1990 - 1994 $500 - $749 0% 1980 - 1989 3.96% $750 - $999 0% 1970 - 1979 0% $1000 and Over 100% 1900 - 1969 0% Education Enrollment Public Pre-Primary School: 0% Not Enrolled in School: 79.85% Private Pre-Primary School: 1.79% Not A High School Graduate: 1.5% Public School: 17.81% Graduate Of High School: 22.38% Private School: 2.34% Attended Some College: 23.13% Public College: 4.67% College Graduate: 32.33% Private College: 0% Graduate Degree: 20.65% Workforce Occupation: Manager/Prof: 50.14% Private Worker: 62.71% Technical: Government Worker: 22.27% Sales: 27.47% Self Employed Worker: 7.42% Administrative: Unpaid Family Worker: 5.77% Private House Hold: Farming: 7.37% Service: 13.99% Skilled: Protective Services: Blue-Collar: 8.4% Commute Time Less Than 15 Min: 16% 15 min - 28 min: 24.42% 30 min - 57 min: 52.09% Over 60 min: 7.5% Customer Name : Jeremiah Stiffler Customer Company Name : First American Prepared On : 04/19/2024 © 2024 CoreLogic. All rights reserved
Customer Name : Jeremiah Stiffler Customer Company Name : First American Prepared On : 04/19/2024 © 2024 CoreLogic. All rights reserved
Customer Name : Jeremiah Stiffler Customer Company Name : First American Prepared On : 04/19/2024 © 2024 CoreLogic. All rights reserved
Customer Name : Jeremiah Stiffler Customer Company Name : First American Prepared On : 04/19/2024 © 2024 CoreLogic. All rights reserved

Arizona Schools

For detailed information and statistics on Arizona schools please go to https://azreportcards.azed.gov/

First American Title Insurance Company, and the operating divisions thereof, make no express or implied warranty respecting the information presented and assume no responsibility for errors or omissions. First American, the eagle logo, First American Title, and firstam.com are registered trademarks or trademarks of First American Financial Corporation and/or its affiliates. ©2021 First American Financial Corporation and/or its affiliates. All rights reserved. NYSE: FAF 05117910421

PARCEL:  304-66-256

PARCEL: 304-66-256 0

INVESTIGATIVE SEARCH RESULTS

SEARCH PARAMETERS

INSTRUMENT REC DATE

OWNER: GALINDO JOSE M     2015 324486 05/08/2015

SITUS: 20937 E NIGHTINGALE RD QUEEN CREEK

MAIL: 20937 W NIGHTENGALE RD

QUEEN CREEK, AZ 85242

PLAT: 521 -   43 LOT    216

LEGAL: QUEENLAND MANOR MCR 521-43

CURRENT TAXES INFORMATION THROUGH 04/12/2024

LAND IMPR EXEMPT RATE AREA SPECIAL DISTRICTS

15,972  0

3,420  13,710

END SEARCH

952501  29100 14712 23291 30001

+ FIRST AMERICAN TITLE, FC0, JSTI MARICOPA, AZ 04/19/2024  11:19AM  R9C8
PAGE 1 OF 1
PRIMARY
0  8.4179
SECONDARY
0  3.4553  2023 TOTAL TAX BILLED 1,661.20 2023  TAX AMT TAX DUE INTEREST DATE PAID TOTAL DUE FIRST HALF  830.60  0.00  0.00  10/27/2023  0.00  SECOND HALF  830.60  0.00  0.00  03/31/2024  0.00  TOTAL CURRENT TAXES DUE 04/24 0.00 05/24 0.00 RESIDENTIAL IMPROVEMENTS BLDG SQFT  3,145 COOLING  REFRIGERATION YEAR BUILT  2004 EXTERIOR WALLS  FRAME WOOD NUMBER OF STORIES ROOF  OTHER NUMBER OF ROOMS CONSTRUCTION CLASS  R4 NUMBER OF BATH FIXTURES  12 PHYSICAL CONDITION  OTHER PATIO (TYPE AND NUMBER)  COVERED 1 LAND USE  01 41 GARAGE (TYPE AND NUMBER)  GARAGE 3 LOT SIZE  12,588 SQ FT POOL SQ FT SCHOOL DISTRICT  952501 HEATING LAND FULL CASH VALUE  34,200 IMPR FULL CASH VALUE 137,100 SALES SALE DATE SALE AMOUNT INSTRUMENT TYPE SELLER NAME VALIDITY 09/10/2004 252,597    2004 1058556 WD ELLIOTT HOMES OF ARIZONA I ADDITIONAL PROPERTY INFORMATION STANDARD LAND USE: SFR
MARICOPA, AZ Document:DED WAR 2004.1058556 Page:1 of 1 Printed on:4/19/2024 11:35 AM Branch :FC0 User :JSTI
MARICOPA, AZ Document:DED DIS 2004.1058557 Page:1 of 1 Printed on:4/19/2024 11:35 AM Branch :FC0 User :JSTI
MARICOPA, AZ Document:DED BEN 2015.324486 Page:1 of 1 Printed on:4/19/2024 11:35 AM Branch :FC0 User :JSTI
MARICOPA, AZ Document:CER DEA 2024.44258 Page:1 of 3 Printed on:4/19/2024 11:35 AM Branch :FC0 User :JSTI
MARICOPA, AZ Document:CER DEA 2024.44258 Page:3 of 3 Printed on:4/19/2024 11:35 AM Branch :FC0 User :JSTI
MARICOPA, AZ Document:DED BEN 2024.44259 Page:1 of 5 Printed on:4/19/2024 11:35 AM Branch :FC0 User :JSTI
MARICOPA, AZ Document:DED BEN 2024.44259 Page:2 of 5 Printed on:4/19/2024 11:35 AM Branch :FC0 User :JSTI
MARICOPA, AZ Document:DED BEN 2024.44259 Page:3 of 5 Printed on:4/19/2024 11:35 AM Branch :FC0 User :JSTI
MARICOPA, AZ Document:DED BEN 2024.44259 Page:4 of 5 Printed on:4/19/2024 11:35 AM Branch :FC0 User :JSTI
MARICOPA, AZ Document:DED BEN 2024.44259 Page:5 of 5 Printed on:4/19/2024 11:35 AM Branch :FC0 User :JSTI
MARICOPA, AZ Document:DOT 2024.164509 Page:1 of 14 Printed on:4/19/2024 11:35 AM Branch :FC0 User :JSTI
MARICOPA, AZ Document:DOT 2024.164509 Page:2 of 14 Printed on:4/19/2024 11:35 AM Branch :FC0 User :JSTI
MARICOPA, AZ Document:DOT 2024.164509 Page:3 of 14 Printed on:4/19/2024 11:35 AM Branch :FC0 User :JSTI
MARICOPA, AZ Document:DOT 2024.164509 Page:4 of 14 Printed on:4/19/2024 11:35 AM Branch :FC0 User :JSTI
MARICOPA, AZ Document:DOT 2024.164509 Page:5 of 14 Printed on:4/19/2024 11:35 AM Branch :FC0 User :JSTI
MARICOPA, AZ Document:DOT 2024.164509 Page:6 of 14 Printed on:4/19/2024 11:35 AM Branch :FC0 User :JSTI
MARICOPA, AZ Document:DOT 2024.164509 Page:7 of 14 Printed on:4/19/2024 11:35 AM Branch :FC0 User :JSTI
MARICOPA, AZ Document:DOT 2024.164509 Page:8 of 14 Printed on:4/19/2024 11:35 AM Branch :FC0 User :JSTI
MARICOPA, AZ Document:DOT 2024.164509 Page:9 of 14 Printed on:4/19/2024 11:35 AM Branch :FC0 User :JSTI
MARICOPA, AZ Document:DOT 2024.164509 Page:10 of 14 Printed on:4/19/2024 11:35 AM Branch :FC0 User :JSTI
MARICOPA, AZ Document:DOT 2024.164509 Page:11 of 14 Printed on:4/19/2024 11:35 AM Branch :FC0 User :JSTI
MARICOPA, AZ Document:DOT 2024.164509 Page:12 of 14 Printed on:4/19/2024 11:35 AM Branch :FC0 User :JSTI
MARICOPA, AZ Document:DOT 2024.164509 Page:13 of 14 Printed on:4/19/2024 11:35 AM Branch :FC0 User :JSTI
MARICOPA, AZ Document:DOT 2024.164509 Page:14 of 14 Printed on:4/19/2024 11:35 AM Branch :FC0 User :JSTI
MARICOPA, AZ Document:DOT 2024.164510 Page:1 of 14 Printed on:4/19/2024 11:35 AM Branch :FC0 User :JSTI
MARICOPA, AZ Document:DOT 2024.164510 Page:2 of 14 Printed on:4/19/2024 11:35 AM Branch :FC0 User :JSTI
MARICOPA, AZ Document:DOT 2024.164510 Page:3 of 14 Printed on:4/19/2024 11:35 AM Branch :FC0 User :JSTI
MARICOPA, AZ Document:DOT 2024.164510 Page:4 of 14 Printed on:4/19/2024 11:35 AM Branch :FC0 User :JSTI
MARICOPA, AZ Document:DOT 2024.164510 Page:5 of 14 Printed on:4/19/2024 11:35 AM Branch :FC0 User :JSTI
MARICOPA, AZ Document:DOT 2024.164510 Page:6 of 14 Printed on:4/19/2024 11:35 AM Branch :FC0 User :JSTI
MARICOPA, AZ Document:DOT 2024.164510 Page:7 of 14 Printed on:4/19/2024 11:35 AM Branch :FC0 User :JSTI
MARICOPA, AZ Document:DOT 2024.164510 Page:8 of 14 Printed on:4/19/2024 11:35 AM Branch :FC0 User :JSTI
MARICOPA, AZ Document:DOT 2024.164510 Page:9 of 14 Printed on:4/19/2024 11:35 AM Branch :FC0 User :JSTI
MARICOPA, AZ Document:DOT 2024.164510 Page:10 of 14 Printed on:4/19/2024 11:35 AM Branch :FC0 User :JSTI
MARICOPA, AZ Document:DOT 2024.164510 Page:11 of 14 Printed on:4/19/2024 11:35 AM Branch :FC0 User :JSTI
MARICOPA, AZ Document:DOT 2024.164510 Page:12 of 14 Printed on:4/19/2024 11:35 AM Branch :FC0 User :JSTI
MARICOPA, AZ Document:DOT 2024.164510 Page:13 of 14 Printed on:4/19/2024 11:35 AM Branch :FC0 User :JSTI
MARICOPA, AZ Document:DOT 2024.164510 Page:14 of 14 Printed on:4/19/2024 11:35 AM Branch :FC0 User :JSTI

Turn static files into dynamic content formats.

Create a flipbook
Issuu converts static files into: digital portfolios, online yearbooks, online catalogs, digital photo albums and more. Sign up and create your flipbook.