QR CCRS 19847 N. 98th Ave.

Page 1

©2021 First American Financial Corporation and/or its affiliates. All rights reserved. | NYSE: FAF 05252610821 COVENANTS, CONDITIONS & RESTRICTIONS prepared for : First American Title Insurance Company, and the operating divisions thereof, make no express or implied warranty respecting the information presented and assume no responsibility for errors or omissions. First American, the eagle logo, First American Title, and firstam.com are registered trademarks or trademarks of First American Financial Corporation and/or its affiliates.

WIRE FRAUD ALERT THINK DIFFERENTLY

Email-based, real estate fraud schemes are on the rise. One common scenario is altering wiring instructions with the intention of rerouting funds.

Keeping this in mind, First American Title is changing the way we receive payment information. It is imperative that we are familiar with the people in our transactions.

RELYING ON EMAIL ALONE IS NO LONGER AN OPTION.

Fraudsters often use email to send falsified wire instructions to unsuspecting victims. Please warn your buyers and sellers to only follow wire instructions they receive personally from First American Title.

Additionally, we will not accept disbursement instructions for seller or buyer funds via email OR from any third party (attorney, real estate agent, etc).

ALTERNATIVE INSTRUCTIONS?

If your buyer or seller receives alternative wiring instructions that appear to be from First American Title, make sure they contact their escrow officer at a trusted phone number for confirmation.

Know that our wiring instructions do not change so any communication is suspect. Our banking institution is First American Trust.

IN SHORT – wire instructions will not be accepted by email. New wire instructions must be hand-carried or uploaded to the First American Secure Portal.

Thank you for joining First American Title in fostering a secure real estate transaction process. Have questions or concerns? Please contact our office or your escrow officer.

01100180621
IN THE REAL ESTATE CLOSING PROCESS For more information please contact your First American representative. www.firstam.com First American Title Insurance Company, and the operating divisions thereof, make no express or implied warranty respecting the information presented and assume no responsibility for errors or omissions. First American, the eagle logo, First American Title, and firstam.com are registered trademarks or trademarks of First American Financial Corporation and/or its affiliates. ©2023 First American Financial Corporation and/or its affiliates. All rights reserved. NYSE: FAF
DO NOT TRUST EMAILED INSTRUCTIONS YOU SHOULD BE AWARE OF PRECAUTIONS

LIMITATION OF LIABILITY FOR INFORMATIONAL REPORTS

IMPORTANT -- PLEASE READ CAREFULLY:

This report is not an insured product or service or a representation of the condition of title to real property. It is not an abstract, legal opinion, opinion of title, title insurance commitment or preliminary report, or any form of Title Insurance or Guaranty. This report is issued exclusively for the benefit of the Applicant therefor and may not be used or relied upon by any other person. This report may not be reproduced in any manner without First Americans prior written consent. First American does not represent or warrant that the information herein is complete or free from error, and the information herein is provided without any warranties of any kind, as-is, and with all faults. As a material part of the consideration given in exchange for the issuance of this report, recipient agrees that First Americans sole liability for any loss or damage caused by an error or omission due to inaccurate information or negligence in preparing this report shall be limited to the fee charged for the report. Recipient accepts this report with this limitation and agrees that First American would not have issued this report but for the limitation of liability described above. First American makes no representation or warranty as to the legality or propriety of recipient's use of the information herein.

MARICOPA, AZ Document:PLAT_MAP 301.39 Page:1 of 1 Printed on:6/6/2024
Branch :FC0 User :JSTI
9:33 AM
MARICOPA, AZ Document:RES 1986.462712 Page:1 of 5 Printed on:6/6/2024 9:33 AM Branch :FC0 User :JSTI
MARICOPA, AZ Document:RES 1986.462712 Page:2 of 5 Printed on:6/6/2024 9:33 AM Branch :FC0 User :JSTI
MARICOPA, AZ Document:RES 1986.462712 Page:3 of 5 Printed on:6/6/2024 9:33 AM Branch :FC0 User :JSTI
MARICOPA, AZ Document:RES 1986.462712 Page:4 of 5 Printed on:6/6/2024 9:33 AM Branch :FC0 User :JSTI
MARICOPA, AZ Document:RES 1986.462712 Page:5 of 5 Printed on:6/6/2024 9:33 AM Branch :FC0 User :JSTI
MARICOPA, AZ Document:MIS 1996.654992 Page:1 of 39 Printed on:6/6/2024
Branch :FC0 User :JSTI
9:33 AM
MARICOPA, AZ Document:MIS 1996.654992 Page:2 of 39 Printed on:6/6/2024 9:33
Branch :FC0 User :JSTI
AM
MARICOPA, AZ Document:MIS 1996.654992 Page:3 of 39 Printed on:6/6/2024
Branch :FC0 User :JSTI
9:33 AM
MARICOPA, AZ Document:MIS 1996.654992 Page:4 of 39 Printed on:6/6/2024
Branch :FC0 User :JSTI
9:33 AM
MARICOPA, AZ Document:MIS 1996.654992 Page:5 of 39 Printed on:6/6/2024
Branch :FC0 User :JSTI
9:33 AM
MARICOPA, AZ Document:MIS 1996.654992 Page:6 of 39 Printed on:6/6/2024
Branch :FC0 User :JSTI
9:33 AM
MARICOPA, AZ Document:MIS 1996.654992 Page:7 of 39 Printed on:6/6/2024
Branch :FC0 User :JSTI
9:33 AM
MARICOPA, AZ Document:MIS 1996.654992 Page:8 of 39 Printed on:6/6/2024
Branch :FC0 User :JSTI
9:33 AM
MARICOPA, AZ Document:MIS 1996.654992 Page:9 of 39 Printed on:6/6/2024
Branch :FC0 User :JSTI
9:33 AM
MARICOPA, AZ Document:MIS 1996.654992 Page:10 of 39 Printed on:6/6/2024 9:33 AM Branch :FC0 User :JSTI
MARICOPA, AZ Document:MIS 1996.654992 Page:11 of 39 Printed on:6/6/2024
Branch :FC0 User :JSTI
9:33 AM
MARICOPA, AZ Document:MIS 1996.654992 Page:12 of 39 Printed on:6/6/2024
Branch :FC0 User :JSTI
9:33 AM
MARICOPA, AZ Document:MIS 1996.654992 Page:13 of 39 Printed on:6/6/2024
Branch :FC0 User :JSTI
9:33 AM
MARICOPA, AZ Document:MIS 1996.654992 Page:14 of 39 Printed on:6/6/2024
Branch :FC0 User :JSTI
9:33 AM
MARICOPA, AZ Document:MIS 1996.654992 Page:15 of 39 Printed on:6/6/2024 9:33
Branch :FC0 User :JSTI
AM
MARICOPA, AZ Document:MIS 1996.654992 Page:16 of 39 Printed on:6/6/2024 9:33
Branch :FC0 User :JSTI
AM
MARICOPA, AZ Document:MIS 1996.654992 Page:17 of 39 Printed on:6/6/2024
Branch :FC0 User :JSTI
9:33 AM
MARICOPA, AZ Document:MIS 1996.654992 Page:18 of 39 Printed on:6/6/2024
Branch :FC0 User :JSTI
9:33 AM
MARICOPA, AZ Document:MIS 1996.654992 Page:19 of 39 Printed on:6/6/2024
Branch :FC0 User :JSTI
9:33 AM
MARICOPA, AZ Document:MIS 1996.654992 Page:20 of 39 Printed on:6/6/2024
Branch :FC0 User :JSTI
9:33 AM
MARICOPA, AZ Document:MIS 1996.654992 Page:21 of 39 Printed on:6/6/2024
Branch :FC0 User :JSTI
9:33 AM
MARICOPA, AZ Document:MIS 1996.654992 Page:22 of 39 Printed on:6/6/2024
Branch :FC0 User :JSTI
9:33 AM
MARICOPA, AZ Document:MIS 1996.654992 Page:23 of 39 Printed on:6/6/2024
Branch :FC0 User :JSTI
9:33 AM
MARICOPA, AZ Document:MIS 1996.654992 Page:24 of 39 Printed on:6/6/2024
Branch :FC0 User :JSTI
9:33 AM
MARICOPA, AZ Document:MIS 1996.654992 Page:25 of 39 Printed on:6/6/2024
Branch :FC0 User :JSTI
9:33 AM
MARICOPA, AZ Document:MIS 1996.654992 Page:26 of 39 Printed on:6/6/2024
Branch :FC0 User :JSTI
9:33 AM
MARICOPA, AZ Document:MIS 1996.654992 Page:27 of 39 Printed on:6/6/2024
Branch :FC0 User :JSTI
9:33 AM
MARICOPA, AZ Document:MIS 1996.654992 Page:28 of 39 Printed on:6/6/2024 9:33 AM Branch :FC0 User :JSTI
MARICOPA, AZ Document:MIS 1996.654992 Page:29 of 39 Printed on:6/6/2024 9:33
Branch :FC0 User :JSTI
AM
MARICOPA, AZ Document:MIS 1996.654992 Page:30 of 39 Printed on:6/6/2024 9:33 AM Branch :FC0 User :JSTI
MARICOPA, AZ Document:MIS 1996.654992 Page:31 of 39 Printed on:6/6/2024 9:33
Branch :FC0 User :JSTI
AM
MARICOPA, AZ Document:MIS 1996.654992 Page:32 of 39 Printed on:6/6/2024 9:33 AM Branch :FC0 User :JSTI
MARICOPA, AZ Document:MIS 1996.654992 Page:33 of 39 Printed on:6/6/2024 9:33 AM Branch :FC0 User :JSTI
MARICOPA, AZ Document:MIS 1996.654992 Page:34 of 39 Printed on:6/6/2024
Branch :FC0 User :JSTI
9:33 AM
MARICOPA, AZ Document:MIS 1996.654992 Page:35 of 39 Printed on:6/6/2024
Branch :FC0 User :JSTI
9:33 AM
MARICOPA, AZ Document:MIS 1996.654992 Page:36 of 39 Printed on:6/6/2024
Branch :FC0 User :JSTI
9:33 AM
MARICOPA, AZ Document:MIS 1996.654992 Page:37 of 39 Printed on:6/6/2024 9:33
Branch :FC0 User :JSTI
AM
MARICOPA, AZ Document:MIS 1996.654992 Page:38 of 39 Printed on:6/6/2024 9:33 AM Branch :FC0 User :JSTI
MARICOPA, AZ Document:MIS 1996.654992 Page:39 of 39 Printed on:6/6/2024
Branch :FC0 User :JSTI
9:33 AM
MARICOPA, AZ Document:RES 1998.297000 Page:1 of 6 Printed on:6/6/2024 9:33 AM Branch :FC0 User :JSTI
MARICOPA, AZ Document:RES 1998.297000 Page:2 of 6 Printed on:6/6/2024
Branch :FC0 User :JSTI
9:33 AM
MARICOPA, AZ Document:RES 1998.297000 Page:3 of 6 Printed on:6/6/2024 9:33
Branch :FC0 User :JSTI
AM
MARICOPA, AZ Document:RES 1998.297000 Page:4 of 6 Printed on:6/6/2024 9:33
Branch :FC0 User :JSTI
AM
MARICOPA, AZ Document:RES 1998.297000 Page:5 of 6 Printed on:6/6/2024 9:33 AM Branch :FC0 User :JSTI
MARICOPA, AZ Document:RES 1998.297000 Page:6 of 6 Printed on:6/6/2024 9:33 AM Branch :FC0 User :JSTI
MARICOPA, AZ Document:RES 2007.891149 Page:1 of 53 Printed on:6/6/2024
Branch :FC0 User :JSTI
9:33 AM
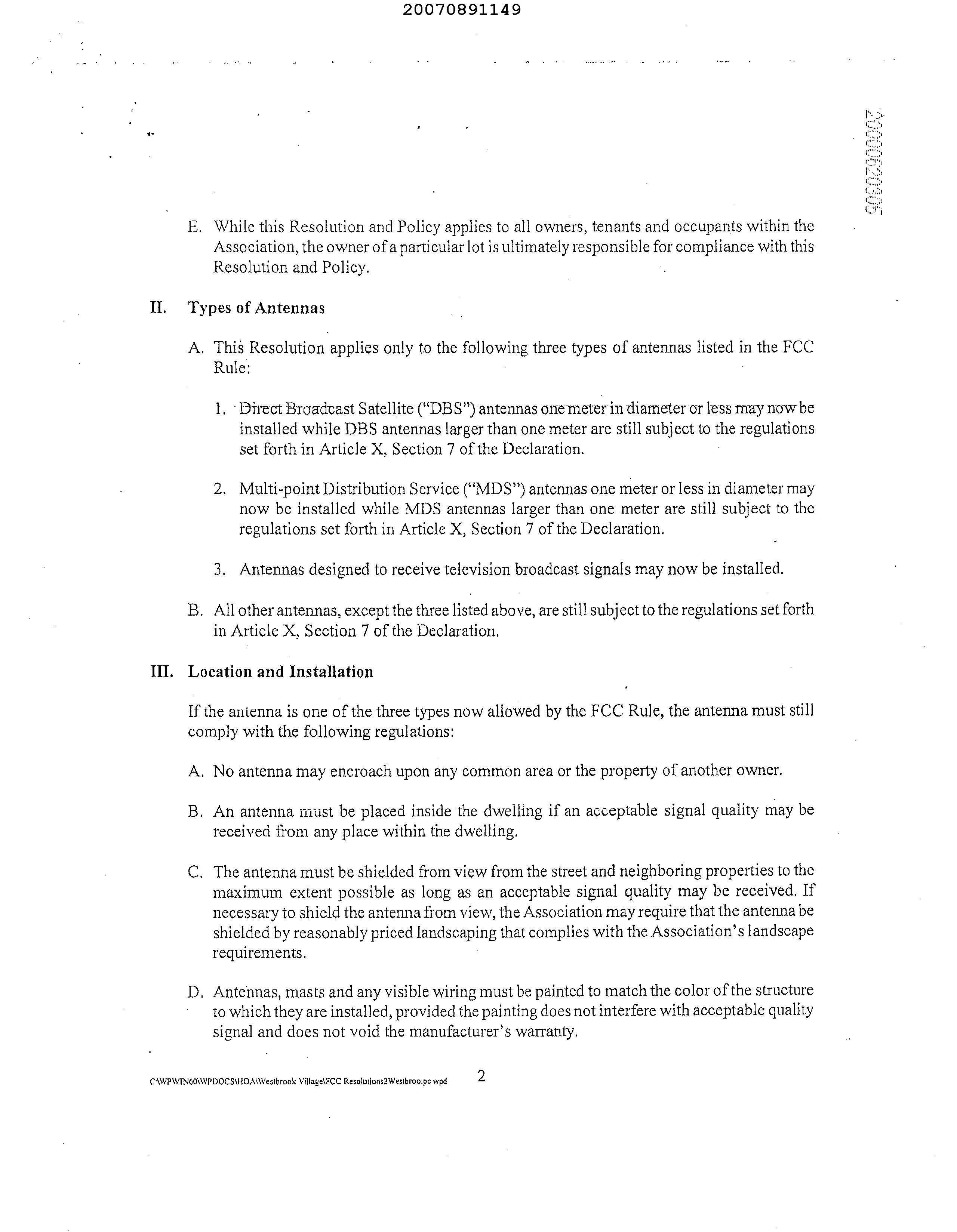
MARICOPA, AZ Document:RES 2007.891149 Page:2 of 53 Printed on:6/6/2024
Branch :FC0 User :JSTI
9:33 AM
MARICOPA, AZ Document:RES 2007.891149 Page:3 of 53 Printed on:6/6/2024 9:33
Branch :FC0 User :JSTI
AM
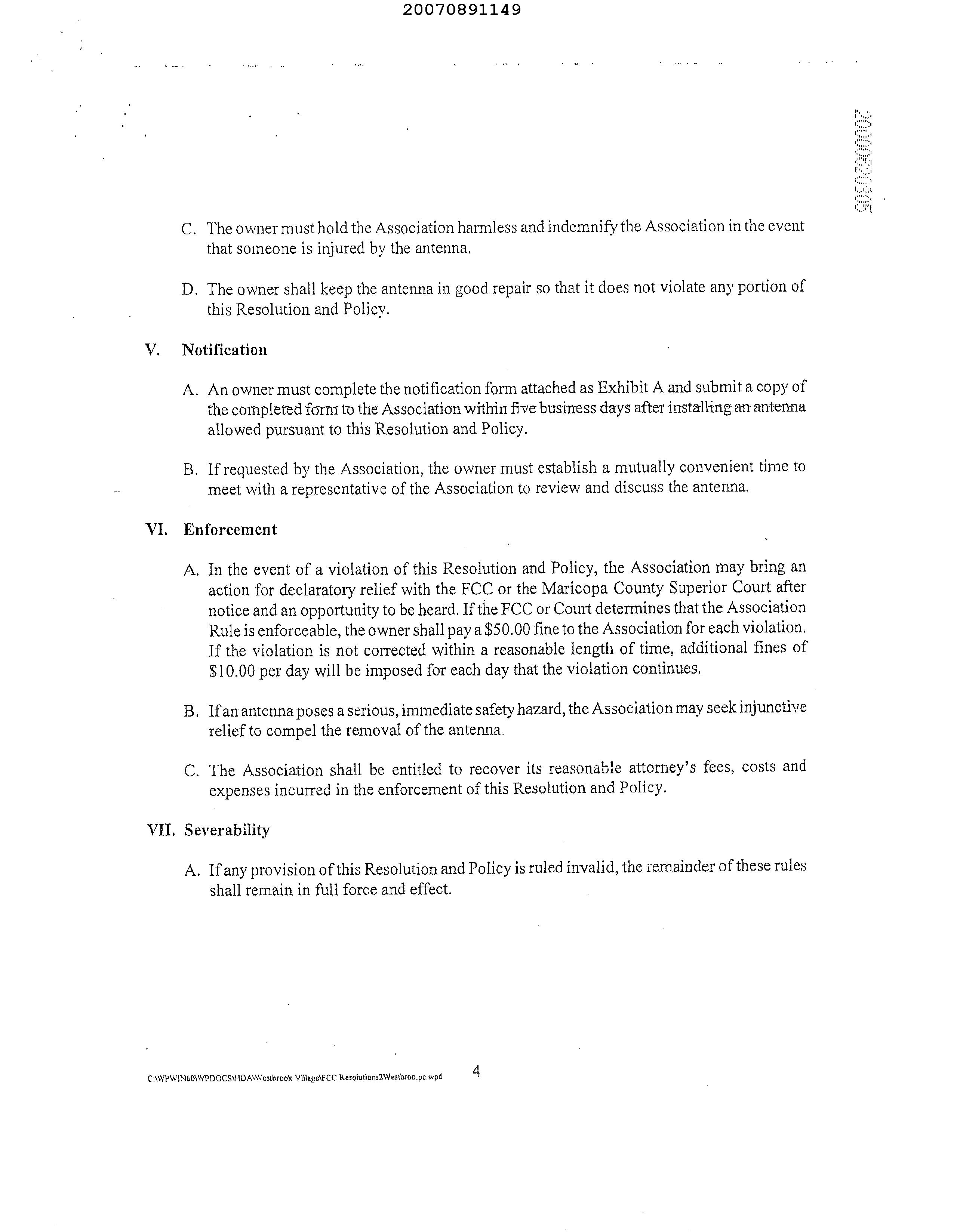
MARICOPA, AZ Document:RES 2007.891149 Page:4 of 53 Printed on:6/6/2024
Branch :FC0 User :JSTI
9:33 AM
MARICOPA, AZ Document:RES 2007.891149 Page:5 of 53 Printed on:6/6/2024
Branch :FC0 User :JSTI
9:33 AM
MARICOPA, AZ Document:RES 2007.891149 Page:6 of 53 Printed on:6/6/2024
Branch :FC0 User :JSTI
9:33 AM
MARICOPA, AZ Document:RES 2007.891149 Page:7 of 53 Printed on:6/6/2024
Branch :FC0 User :JSTI
9:33 AM
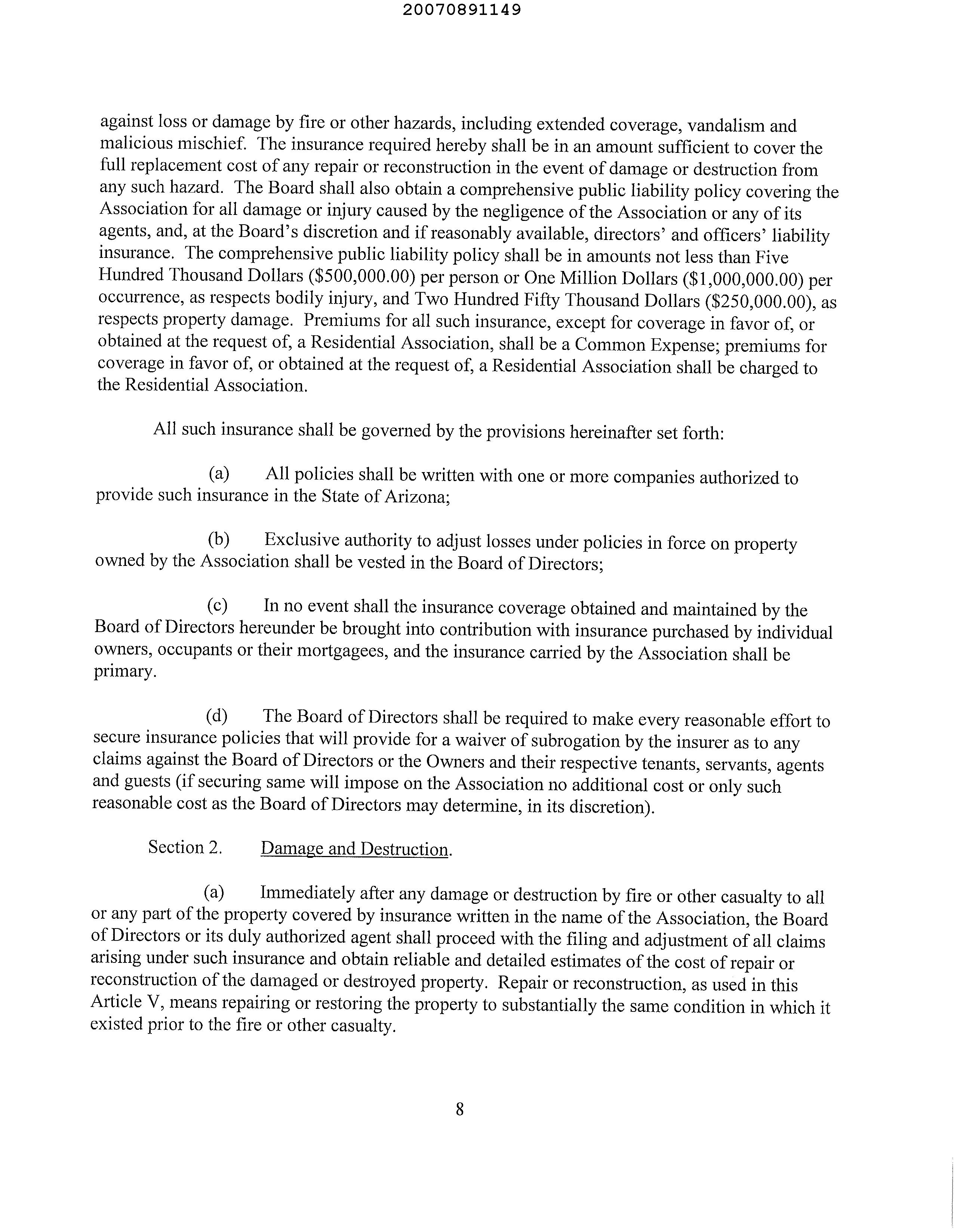
MARICOPA, AZ Document:RES 2007.891149 Page:8 of 53 Printed on:6/6/2024
Branch :FC0 User :JSTI
9:33 AM
MARICOPA, AZ Document:RES 2007.891149 Page:9 of 53 Printed on:6/6/2024
Branch :FC0 User :JSTI
9:33 AM
MARICOPA, AZ Document:RES 2007.891149 Page:10 of 53 Printed on:6/6/2024
Branch :FC0 User :JSTI
9:33 AM
MARICOPA, AZ Document:RES 2007.891149 Page:11 of 53 Printed on:6/6/2024
Branch :FC0 User :JSTI
9:33 AM
MARICOPA, AZ Document:RES 2007.891149 Page:12 of 53 Printed on:6/6/2024
Branch :FC0 User :JSTI
9:33 AM
MARICOPA, AZ Document:RES 2007.891149 Page:13 of 53 Printed on:6/6/2024
Branch :FC0 User :JSTI
9:33 AM
MARICOPA, AZ Document:RES 2007.891149 Page:14 of 53 Printed on:6/6/2024
Branch :FC0 User :JSTI
9:33 AM
MARICOPA, AZ Document:RES 2007.891149 Page:15 of 53 Printed on:6/6/2024
Branch :FC0 User :JSTI
9:33 AM
MARICOPA, AZ Document:RES 2007.891149 Page:16 of 53 Printed on:6/6/2024
Branch :FC0 User :JSTI
9:33 AM
MARICOPA, AZ Document:RES 2007.891149 Page:17 of 53 Printed on:6/6/2024
Branch :FC0 User :JSTI
9:33 AM
MARICOPA, AZ Document:RES 2007.891149 Page:18 of 53 Printed on:6/6/2024
Branch :FC0 User :JSTI
9:33 AM
MARICOPA, AZ Document:RES 2007.891149 Page:19 of 53 Printed on:6/6/2024
Branch :FC0 User :JSTI
9:33 AM
MARICOPA, AZ Document:RES 2007.891149 Page:20 of 53 Printed on:6/6/2024
Branch :FC0 User :JSTI
9:33 AM
MARICOPA, AZ Document:RES 2007.891149 Page:21 of 53 Printed on:6/6/2024
Branch :FC0 User :JSTI
9:33 AM
MARICOPA, AZ Document:RES 2007.891149 Page:22 of 53 Printed on:6/6/2024
Branch :FC0 User :JSTI
9:33 AM
MARICOPA, AZ Document:RES 2007.891149 Page:23 of 53 Printed on:6/6/2024
Branch :FC0 User :JSTI
9:33 AM
MARICOPA, AZ Document:RES 2007.891149 Page:24 of 53 Printed on:6/6/2024
Branch :FC0 User :JSTI
9:33 AM
MARICOPA, AZ Document:RES 2007.891149 Page:25 of 53 Printed on:6/6/2024
Branch :FC0 User :JSTI
9:33 AM
MARICOPA, AZ Document:RES 2007.891149 Page:26 of 53 Printed on:6/6/2024
Branch :FC0 User :JSTI
9:33 AM
MARICOPA, AZ Document:RES 2007.891149 Page:27 of 53 Printed on:6/6/2024
Branch :FC0 User :JSTI
9:33 AM
MARICOPA, AZ Document:RES 2007.891149 Page:28 of 53 Printed on:6/6/2024
Branch :FC0 User :JSTI
9:33 AM
MARICOPA, AZ Document:RES 2007.891149 Page:29 of 53 Printed on:6/6/2024
Branch :FC0 User :JSTI
9:33 AM
MARICOPA, AZ Document:RES 2007.891149 Page:30 of 53 Printed on:6/6/2024
Branch :FC0 User :JSTI
9:33 AM
MARICOPA, AZ Document:RES 2007.891149 Page:31 of 53 Printed on:6/6/2024
Branch :FC0 User :JSTI
9:33 AM
MARICOPA, AZ Document:RES 2007.891149 Page:32 of 53 Printed on:6/6/2024 9:33
Branch :FC0 User :JSTI
AM
MARICOPA, AZ Document:RES 2007.891149 Page:33 of 53 Printed on:6/6/2024
Branch :FC0 User :JSTI
9:33 AM
MARICOPA, AZ Document:RES 2007.891149 Page:34 of 53 Printed on:6/6/2024
Branch :FC0 User :JSTI
9:33 AM
MARICOPA, AZ Document:RES 2007.891149 Page:35 of 53 Printed on:6/6/2024
Branch :FC0 User :JSTI
9:33 AM
MARICOPA, AZ Document:RES 2007.891149 Page:36 of 53 Printed on:6/6/2024
Branch :FC0 User :JSTI
9:33 AM
MARICOPA, AZ Document:RES 2007.891149 Page:37 of 53 Printed on:6/6/2024
Branch :FC0 User :JSTI
9:33 AM
MARICOPA, AZ Document:RES 2007.891149 Page:38 of 53 Printed on:6/6/2024
Branch :FC0 User :JSTI
9:33 AM
MARICOPA, AZ Document:RES 2007.891149 Page:39 of 53 Printed on:6/6/2024
Branch :FC0 User :JSTI
9:33 AM
MARICOPA, AZ Document:RES 2007.891149 Page:40 of 53 Printed on:6/6/2024 9:33
Branch :FC0 User :JSTI
AM
MARICOPA, AZ Document:RES 2007.891149 Page:41 of 53 Printed on:6/6/2024
Branch :FC0 User :JSTI
9:33 AM
MARICOPA, AZ Document:RES 2007.891149 Page:42 of 53 Printed on:6/6/2024 9:33
Branch :FC0 User :JSTI
AM
MARICOPA, AZ Document:RES 2007.891149 Page:43 of 53 Printed on:6/6/2024
Branch :FC0 User :JSTI
9:33 AM
MARICOPA, AZ Document:RES 2007.891149 Page:44 of 53 Printed on:6/6/2024
Branch :FC0 User :JSTI
9:33 AM
MARICOPA, AZ Document:RES 2007.891149 Page:45 of 53 Printed on:6/6/2024
Branch :FC0 User :JSTI
9:33 AM
MARICOPA, AZ Document:RES 2007.891149 Page:46 of 53 Printed on:6/6/2024
Branch :FC0 User :JSTI
9:33 AM
MARICOPA, AZ Document:RES 2007.891149 Page:47 of 53 Printed on:6/6/2024
Branch :FC0 User :JSTI
9:33 AM
MARICOPA, AZ Document:RES 2007.891149 Page:48 of 53 Printed on:6/6/2024
Branch :FC0 User :JSTI
9:33 AM
MARICOPA, AZ Document:RES 2007.891149 Page:49 of 53 Printed on:6/6/2024
Branch :FC0 User :JSTI
9:33 AM
MARICOPA, AZ Document:RES 2007.891149 Page:50 of 53 Printed on:6/6/2024
Branch :FC0 User :JSTI
9:33 AM
MARICOPA, AZ Document:RES 2007.891149 Page:51 of 53 Printed on:6/6/2024
Branch :FC0 User :JSTI
9:33 AM
MARICOPA, AZ Document:RES 2007.891149 Page:52 of 53 Printed on:6/6/2024
Branch :FC0 User :JSTI
9:33 AM
MARICOPA, AZ Document:RES 2007.891149 Page:53 of 53 Printed on:6/6/2024 9:33
Branch :FC0 User :JSTI
AM
MARICOPA, AZ Document:NOT HOA 2007.1049979 Page:1 of 2 Printed on:6/6/2024
Branch :FC0 User :JSTI
9:33 AM
MARICOPA, AZ Document:NOT HOA 2007.1049979 Page:2 of 2 Printed on:6/6/2024
Branch :FC0 User :JSTI
9:33 AM

Turn static files into dynamic content formats.

Create a flipbook
Issuu converts static files into: digital portfolios, online yearbooks, online catalogs, digital photo albums and more. Sign up and create your flipbook.
QR CCRS 19847 N. 98th Ave. by FirstAmAZ - Issuu