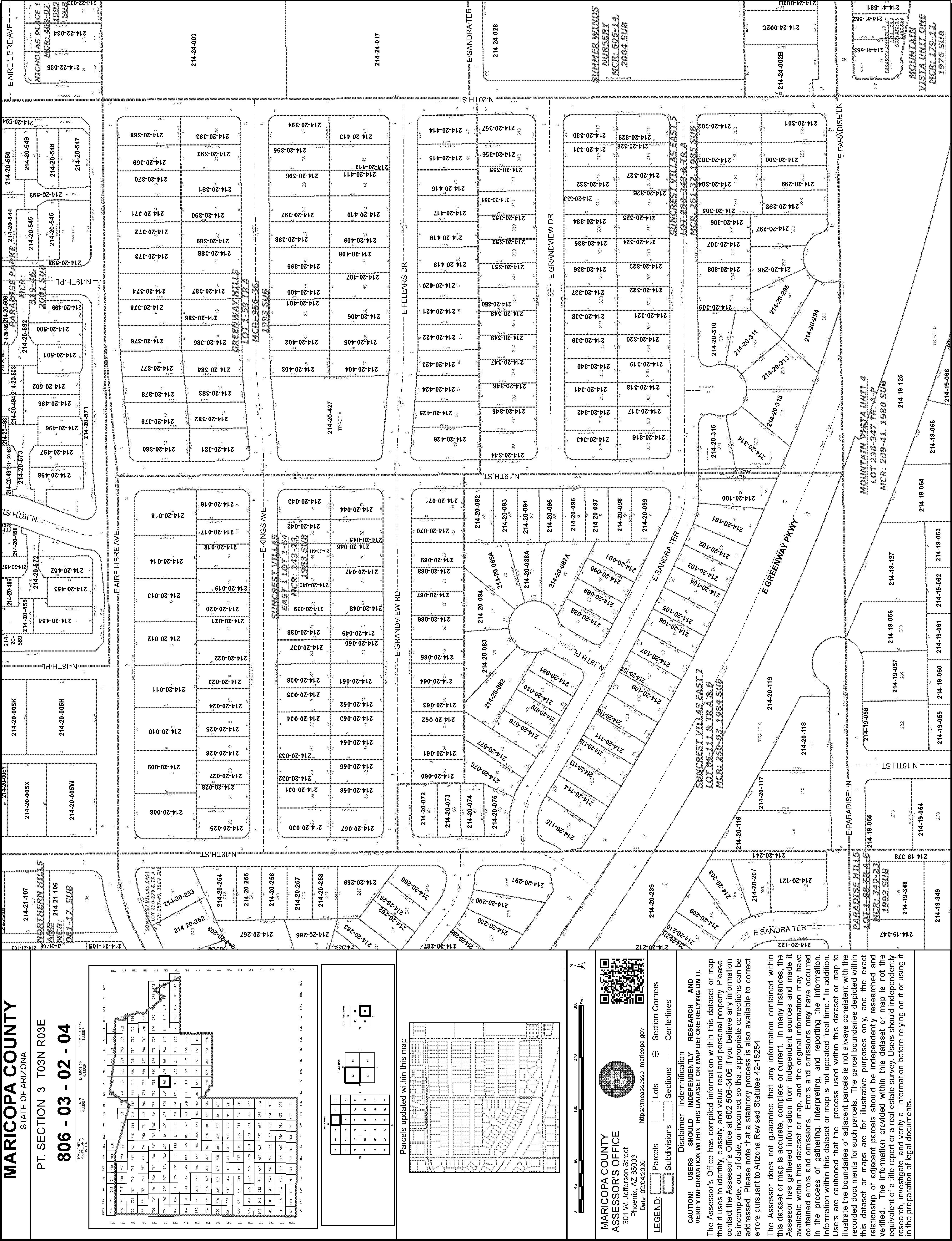
1948 E Fellars Dr

Page 1

Subject Property

Data Provided By:

First American Title Ins Co

Fellars Dr
214-20-413
1948 E
Phoenix AZ 85022 APN:
© 2023 CoreLogic. All rights reserved

LIMITATION OF LIABILITY FOR INFORMATIONAL REPORTS

IMPORTANT -- PLEASE READ CAREFULLY:

This report is not an insured product or service or a representation of the condition of title to real property. It is not an abst ract, legal opinion, opinion of title, title insurance commitment or preliminary report, or any form of Title Insurance or Guaranty. This report is issued exclusively for the benefit of the Applicant therefor and may not be used or relied upon by any other person. This report may not be reproduced in any manner without First American or Title Security's prior written consent. First American or Title Security does not represent or warrant that the information herein is complete or free from error, and the information herein is provided without any warranties of any kind, as-is, and with all faults. As a material part of the consideration given in exchange for the issuance of this report, recipient agrees that First American or Title Security's sole liability for any loss or damage caused by an error or omission due to inaccurate information or negligence in preparing this report shall be limited to the fee charged for the report. Recipient accepts this report with this limitation and agrees that First American or Title Security would not have issued this report but for the limitation of liability described above. First American or Title Security makes no representation or warranty as to the legality or propriety of recipient's use of the information herein.

Disclaimer

This REiSource report is provided "as is" without warranty of any kind, either express or implied, including without limitations any warrantees of merchantability or fitness for a particular purpose. There is no representation of warranty that this information is complete or free from error, and the provider does not assume, and expressly disclaims, any liability to any person or entity for loss or damage caused by errors or omissions in this REiSource report without a title insurance policy.

The information contained in the REiSource report is delivered from your Title Company, who reminds you that you have the right as a consumer to compare fees and serviced levels for Title, Escrow, and all other services associated with property ownership, and to select providers accordingly. Your home is the largest investment you will make in your lifetime and you should demand the very best.

Data Provided By: First American Title Ins Co
© 2023 CoreLogic. All rights reserved

Subject Property :   1948 E Fellars Dr Phoenix AZ 85022

Owner Information

Owner Name : Quilla Ma June Sarroza

Mailing Address : 1948 E Fellars Dr, Phoenix AZ 85022-6242 C011

Owner Occupied Indicator : O

Location Information

Legal Description : Lot 46 Greenway Hills

County : Maricopa, Az

Census Tract / Block : 1036.06 / 3

Township-Range- Sect : 03N-03E-03

Legal Lot : 46

Subdivision : Greenway Hills Lt 1-59 Tr A

Map Reference : 35636

School District : Paradise Valley 69

Munic/Township : Phoenix APN : 214-20-413

Last Market Sale Information

Recording/Sale Date : 05/29/2009 / 04/10/2009

Sale Price : $137,500

Document # : 484011

Neighbor Code : 27-002

1st Mtg Int. Rate/Type : 5%

1st Mtg Document # : 484013

1st Mtg Term : 30

Deed Type : Special Warranty Deed Price Per SqFt : $108.44

1st Mtg Amount/Type : $135,008 / Fha

Title Company : First American Title

Lender : Jp Morgan Chase Bk

Seller Name : Aurora Loan Services Llc

Prior Sale Information

Prior Rec/Sale Date : 08/16/2006 / 08/11/2006

Prior Sale Price : $273,000

Prior Doc Number : 1093951

Prior Deed Type : Warranty Deed

Prior Lender : Bnc Mtg Inc

Prior 1st Mtg Amt/Type : $218,400 / Conv

Prior 1st Mtg Rate/Type : $8.45 / Adjustable Int Rate Loan

© 2023 CoreLogic. All rights reserved

Customer Name : Lisa Mrazek Customer Company Name : First American Title Insurance Company Prepared On : 06/28/2023

Property Characteristics

Gross Area : 1,268

Living Area : 1,268

Garage Capacity : 2

Patio Type : Covered Concrete

Masonry Patio

Roof Material : Concrete Tile Air Cond : Refrigeration

Total Rooms : 5 Heat Type : Forced Air Quality : Average

Year Built / Eff : 1994

# of Stories : 1

Parking Type : Garage

Property Information

Cooling Type : Forced Air Condition : Average

Exterior wall : Frame Wood Bath Fixtures : 8

Land Use : Sfr Lot Size : 5,262

Water Influence : Corner

Zoning : R-2 Site Influence : Corner State Use : Single Fam Resurban Subd ( 3 )

Lot Acres : 0.12

Tax Information

Total Value : $229,100 Assessed Year : 2022

Land Value : $45,800 Improve % : 80%

Improvement Value : $183,300 Tax Year : 2022

Tax Rate Area : 691300

Market Value : $229,100

Current Assessed Year : 2024

Total Taxable Value : $15,196 Property Tax : $1,436.82 Current Year Total Value : $51,383

© 2023 CoreLogic. All rights reserved
Customer
Name : Lisa Mrazek Customer Company Name : First American Title Insurance Company Prepared On : 06/28/2023
Sales Analysis Criteria Subject Property Low High Average Sale Price $137,500 $240,000 $33,007,450 $2,021,176 Bldg/Living Area 1268 1193 1444 1305 Price Per Square Foot $108.44 $179 $26,683 $1,618.44 Year Built 1994 1971 2001 1990 Lot Size 5,262 3,454 11,439 6,391 Bedrooms Bathrooms 3 1 3 2 Stories 1 1 1 1 Total Assessed Value $229,100 $103,800 $243,000 $216,575 Distance From Subject 0 0.1 0.41 0.26
©
Customer Name : Lisa Mrazek Customer Company Name : First American Title Insurance Company Prepared On : 06/28/2023
2023 CoreLogic. All rights reserved

Customer Name : Lisa Mrazek

Customer Company Name : First American Title Insurance Company Prepared On : 06/28/2023

© 2023 CoreLogic. All rights reserved

Map

Details of Comparables

Property: 1948 E Fellars Dr Phoenix Az 85022
Name: Quilla Ma June Sarroza / APN / Alternate APN: 214-20-413 / Deed Type: Special Warranty Deed Land Use: Sfr Subdivision / Tract: Greenway Hills Lt 1-59 Tr A / Lot Size: 5,262 Year Built / Eff: 1994 / Rec. Date / Price: 05/29/2009 / $137,500 Living Area: 1,268 # of units: Document #: 484011 Bedrooms: Pool: Total Tax Value: $229,100 Bath(F/H): / #1   1905 E Fellars Dr Phoenix Az 85022 Owner Name: Graham Cody /Marshall Emily APN / Alternate APN: 214-20-425 / Deed Type: Warranty Deed Land Use: Sfr Subdivision / Tract: Greenway Hills Lt 1-59 Tr A / Lot Size: 5,254 Year Built / Eff: 1993 / Rec. Date / Price: 01/17/2023 / $367,000 Living Area: 1,268 # of units: Document #: 24904 Bedrooms: Pool: Total Tax Value: $225,200 Bath(F/H): / #2   16622 N 20th St Phoenix Az 85022 Owner Name: Kane Michele / APN / Alternate APN: 214-20-553 / Deed Type: Warranty Deed Land Use: Sfr Subdivision / Tract: Paradise Parke / Lot Size: 4,734 Year Built / Eff: 2001 / Rec. Date / Price: 03/14/2023 / $428,000 Living Area: 1,275 # of units: Document #: 127270 Bedrooms: Pool: Total Tax Value: $231,300 Bath(F/H): / #3   16612 N 19th Pl Phoenix Az 85022 Owner Name: Bjarnson Kenneth / APN / Alternate APN: 214-20-503 / Deed Type: Warranty Deed Land Use: Sfr Subdivision / Tract: Paradise Parke / Lot Size: 4,278 Year Built / Eff: 2000 / Rec. Date / Price: 03/03/2023 / $380,000 Living Area: 1,240 # of units: Document #: 108011 Bedrooms: Pool: Total Tax Value: $226,600 Bath(F/H): / #4   16620 N 19th St Phoenix Az 85022 Owner Name: Schmitz Ronald / APN / Alternate APN: 214-20-459 / Deed Type: Warranty Deed Land Use: Sfr Subdivision / Tract: Paradise Parke / Lot Size: 4,510 Year Built / Eff: 2000 / Rec. Date / Price: 08/11/2022 / $424,000 Living Area: 1,240 # of units: Document #: 636512 Bedrooms: Pool: Total Tax Value: $226,100 Bath(F/H): / Customer Name : Lisa Mrazek Customer Company Name : First American Title Insurance Company Prepared On : 06/28/2023 © 2023 CoreLogic. All rights reserved
Subject
Owner
16642 N 20th St Phoenix Az 85022
Name: Beach
APN / Alternate APN: 214-20-560 / Deed Type: Warranty Deed Land Use: Sfr Subdivision / Tract: Paradise Parke / Lot Size: 4,278 Year Built / Eff: 2001 / Rec. Date / Price: 07/21/2022 / $440,000 Living Area: 1,275 # of units: Document #: 588822 Bedrooms: Pool: Total Tax Value: $228,000 Bath(F/H): /
16640 N 19th Pl Phoenix Az 85022 Owner Name: Brody Norman M / APN / Alternate APN: 214-20-515 / Deed Type: Quit Claim Deed Land Use: Sfr Subdivision / Tract: Paradise Parke / Lot Size: 4,668 Year Built / Eff: 2001 / Rec. Date / Price: 10/06/2022 / $300,000 Living Area: 1,240 # of units: Document #: 760019 Bedrooms: Pool: Total Tax Value: $229,300 Bath(F/H): / #7   2043 E Paradise Ln Phoenix Az 85022 Owner Name: Vil George K /Kirk George J V APN / Alternate APN: 214-41-573 / Deed Type: Warranty Deed Land Use: Sfr Subdivision / Tract: Paradise Courtslot 1-30tr A / Lot Size: 6,891 Year Built / Eff: 1990 / Rec. Date / Price: 11/28/2022 / $380,000 Living Area: 1,407 # of units: Document #: 859168 Bedrooms: Pool: Total Tax Value: $213,300 Bath(F/H): / #8   1937 E Phelps Rd Phoenix Az 85022 Owner Name: Sfr Acquisitions 4 Llc / APN / Alternate APN: 214-20-531 / Deed Type: Warranty Deed Land Use: Sfr Subdivision / Tract: Paradise Parke / Lot Size: 3,666 Year Built / Eff: 2001 / Rec. Date / Price: 10/25/2022 / $381,300 Living Area: 1,193 # of units: Document #: 796469 Bedrooms: Pool: Total Tax Value: $222,800 Bath(F/H): / #9   16646 N 19th St Phoenix Az 85022 Owner Name: Sears Samantha /Rogers Jason APN / Alternate APN: 214-20-468 / Deed Type: Warranty Deed Land Use: Sfr Subdivision / Tract: Paradise Parke / Lot Size: 3,454 Year Built / Eff: 2000 / Rec. Date / Price: 07/21/2022 / $430,000 Living Area: 1,370 # of units: Document #: 588683 Bedrooms: Pool: Total Tax Value: $231,100 Bath(F/H): / Customer Name
Lisa Mrazek Customer Company Name : First American Title Insurance Company Prepared On : 06/28/2023 © 2023 CoreLogic. All rights reserved
#5
Owner
Tyler /Calvert Cassandra
#6
:

Owner

#10   2123 E Paradise Ln Phoenix Az 85022
APN / Alternate APN:
Deed Type: Warranty Deed Land Use: Sfr Subdivision / Tract: Paradise Courtslot 1-30tr A / Lot Size: 7,695 Year Built / Eff: 1990 / Rec. Date / Price: 01/30/2023 / $424,000 Living Area: 1,407 # of units: Document #: 48521 Bedrooms: Pool: Total Tax Value: $212,700 Bath(F/H): /
Name:
APN / Alternate APN: 214-20-431 / Deed Type: Special Warranty Deed Land Use: Sfr Subdivision / Tract: Spur Crossing / Lot Size: 3,779 Year Built / Eff: 2001 / Rec. Date / Price: 03/10/2023 / $33,007,450 Living Area: 1,237 # of units: Document #: 121792 Bedrooms: Pool: Total Tax Value: $223,800 Bath(F/H): /
Name: Santos Ricardo F /Chilel Damaris E C Y
214-41-566 /
#11   1815 E Hamel Way Phoenix Az 85022 Owner
Baf Assets 6 Llc /
#12   2204 E Sandra Ter Phoenix Az 85022
APN / Alternate APN: 214-25-069-A / Deed Type: Warranty Deed Land Use: Sfr Subdivision / Tract: Paradise Estates / Lot Size: 8,229 Year Built / Eff: 1971 / Rec. Date / Price: 11/21/2022 / $327,000 Living Area: 1,241 # of units: Document #: 850390 Bedrooms: Pool: Total Tax Value: $178,700 Bath(F/H): / #13   15867 N 18th Pl Phoenix Az 85022 Owner Name: Herrera Elier R /Hubbell Morgan APN / Alternate APN: 214-19-041 / Deed Type: Warranty Deed Land Use: Sfr Subdivision / Tract: Mountain Vista Unit 4 / Lot Size: 9,944 Year Built / Eff: 1980 / Rec. Date / Price: 05/04/2023 / $515,000 Living Area: 1,444 # of units: Document #: 231532 Bedrooms: Pool: Total Tax Value: $218,600 Bath(F/H): / #14   2132 E Monte Cristo Ave Phoenix Az 85022 Owner Name: Fayne Deborah A / APN / Alternate APN: 214-41-313 / Deed Type: Warranty Deed Land Use: Sfr Subdivision / Tract: Mountain Vista Unit One / Lot Size: 7,625 Year Built / Eff: 1978 / Rec. Date / Price: 10/17/2022 / $494,777 Living Area: 1,210 # of units: Document #: 781237 Bedrooms: Pool: Pool Total Tax Value: $231,100 Bath(F/H): / Customer
Customer
First American Title Insurance
Prepared On : 06/28/2023 © 2023 CoreLogic. All rights reserved
Owner Name: Ramirez Jacinto /
Name : Lisa Mrazek
Company Name :
Company
#15   2032 E Marconi Ave Phoenix Az 85022 Owner Name: Irvine Kyleen / APN / Alternate APN: 214-41-407 / Deed Type: Warranty Deed Land Use: Sfr Subdivision / Tract: Mountain Vista Unit One / Lot Size: 9,738 Year Built / Eff: 1978 / Rec. Date / Price: 09/14/2022 / $425,000 Living Area: 1,404 # of units: Document #: 709577 Bedrooms: Pool: Total Tax Value: $243,000 Bath(F/H): / #16   1814 E Juniper Ave Phoenix Az 85022 Owner Name: Yamasa Co Ltd / APN / Alternate APN: 214-20-440 / Deed Type: Warranty Deed Land Use: Sfr Subdivision / Tract: Spur Crossing / Lot Size: 3,628 Year Built / Eff: 2000 / Rec. Date / Price: 06/12/2023 / $420,000 Living Area: 1,218 # of units: Document #: 303123 Bedrooms: Pool: Total Tax Value: $222,100 Bath(F/H): / #17   2205 E Paradise Ln Phoenix Az 85022 Owner Name: Egs Phoenix Llc / APN / Alternate APN: 214-41-555 / Deed Type: Warranty Deed Land Use: Sfr Subdivision / Tract: Paradise Courtslot 1-30tr A / Lot Size: 7,737 Year Built / Eff: 1990 / Rec. Date / Price: 10/21/2022 / $280,000 Living Area: 1,407 # of units: Document #: 792654 Bedrooms: Pool: Total Tax Value: $214,100 Bath(F/H): / #18   16034 N 22nd Pl Phoenix Az 85022 Owner Name: Hacienda Arizona Homes Llc / APN / Alternate APN: 214-41-508-A / Deed Type: Warranty Deed Land Use: Sfr Subdivision / Tract: Mountain Vista Unit 2 / Lot Size: 11,439 Year Built / Eff: 1978 / Rec. Date / Price: 03/16/2023 / $240,000 Living Area: 1,338 # of units: Document #: 133367 Bedrooms: Pool: Pool Total Tax Value: $211,200 Bath(F/H): / #19   2101 E Kathleen Rd Phoenix Az 85022 Owner Name: Bogert Shauna L / APN / Alternate APN: 214-41-348 / Deed Type: Warranty Deed Land Use: Sfr Subdivision / Tract: Mountain Vista Unit One / Lot Size: 7,440 Year Built / Eff: 1977 / Rec. Date / Price: 06/05/2023 / $345,000 Living Area: 1,295 # of units: Document #: 292145 Bedrooms: Pool: Total Tax Value: $103,800 Bath(F/H): / Customer Name : Lisa Mrazek Customer Company Name : First American Title Insurance Company Prepared On : 06/28/2023 © 2023 CoreLogic. All rights reserved
#20   2209 E Monte Cristo Ave Phoenix Az 85022 Owner Name: Lobos A & S Living Trust / APN / Alternate APN: 214-41-430 / Deed Type: Warranty Deed Land Use: Sfr Subdivision / Tract: Mountain Vista Unit One / Lot Size: 8,828 Year Built / Eff: 1977 / Rec. Date / Price: 05/17/2023 / $415,000 Living Area: 1,390 # of units: Document #: 255050 Bedrooms: Pool: Pool Total Tax Value: $238,700 Bath(F/H): /
Customer
First American Title Insurance
Prepared On
06/28/2023 © 2023 CoreLogic. All rights reserved
Customer Name : Lisa Mrazek
Company Name :
Company
:

Subject

Customer Name : Lisa Mrazek

Customer Company Name : First American Title Insurance Company Prepared On : 06/28/2023

© 2023 CoreLogic. All rights reserved

Property :   1948 E Fellars Dr Phoenix AZ 85022
Prepared
06/28/2023
CoreLogic. All
Customer Name : Lisa Mrazek Customer Company Name : First American Title Insurance Company
On :
© 2023
rights reserved

1951 E KINGS AVE Distance 0.02 Miles

Owner Name : Nguyen Hoai Subdivision : Greenway Hills Lt 1-59 Tr A

Sale Date : 11/04/2003

Total Value : $282,800

Bed / Bath : / 4

Recording Date : 11/12/2003

Sale Price  : $160,000

Property Tax : $1,899.36

Land Use : Sfr Lot Acres : 0.12

Stories : 2

Living Area : 2,084

Yr Blt / Eff Yr Blt : 1994 / APN : 214-20-394

1947 E KINGS AVE Distance 0.02 Miles

Owner Name : Gruler Benjamin R Subdivision : Greenway Hills Lt 1-59 Tr A

Sale Date : 02/19/2014

Total Value : $281,000

Bed / Bath : / 4

Recording Date : 02/27/2014

Sale Price  : $213,500

Property Tax : $1,905.44

Land Use : Sfr Lot Acres : 0.11

Stories : 2

Living Area : 2,084

Yr Blt / Eff Yr Blt : 1994 / APN : 214-20-395

1943 E KINGS AVE Distance 0.03 Miles

Owner Name : Sutter Cyndee Subdivision : Greenway Hills Lt 1-59 Tr A

Sale Date : 03/20/2018

Total Value : $279,300

Bed / Bath : / 4

Land Use : Sfr

Stories : 2

Recording Date : 03/26/2018

Sale Price  : $282,900

Property Tax : $1,890.10

Lot Acres : 0.11

Living Area : 2,084

Yr Blt / Eff Yr Blt : 1993 / APN : 214-20-396

1949 E FELLARS DR Distance 0.03 Miles

Owner Name : Caushllari Dritan Subdivision : Greenway Hills Lt 1-59 Tr A

Sale Date : 06/13/2013

Total Value : $225,100

Bed / Bath : / 3

Land Use : Sfr

Stories : 1

Recording Date : 06/28/2013

Sale Price  : $163,000

Property Tax : $1,426.08

Lot Acres : 0.12

Living Area : 1,268

Yr Blt / Eff Yr Blt : 1993 / APN : 214-20-414

Customer Name : Lisa Mrazek

Customer Company Name : First American Title Insurance Company Prepared On : 06/28/2023

© 2023 CoreLogic. All rights reserved

1945 E FELLARS DR Distance 0.03 Miles

Owner Name : Zaki Hayyawi Subdivision : Greenway Hills Lt 1-59 Tr A

Sale Date : 06/18/2013

Total Value : $223,600

Recording Date : 07/12/2013

Sale Price  : $163,000

Bed / Bath : / 3 Property Tax : $1,429.08

Land Use : Sfr Lot Acres : 0.11

Stories : 1

Living Area : 1,268

Yr Blt / Eff Yr Blt : 1993 / APN : 214-20-415

1939 E KINGS AVE Distance 0.03 Miles

Owner Name : Teran Anthony S Subdivision : Greenway Hills Lt 1-59 Tr A

Sale Date : 08/11/2004

Total Value : $280,700

Bed / Bath : / 4

Recording Date : 09/20/2004

Sale Price  : $202,500

Property Tax : $1,902.38

Land Use : Sfr Lot Acres : 0.11

Stories : 2

Living Area : 2,084

Yr Blt / Eff Yr Blt : 1994 / APN : 214-20-397

1941 E FELLARS DR Distance 0.03 Miles

Owner Name : Wilkes Deborah Dodson Subdivision : Greenway Hills Lt 1-59 Tr A

Sale Date : 11/29/2005

Total Value : $224,700

Bed / Bath : / 3

Land Use : Sfr

Stories : 1

Recording Date : 12/06/2005

Sale Price  : $250,000

Property Tax : $1,439.84

Lot Acres : 0.11

Living Area : 1,268

Yr Blt / Eff Yr Blt : 1994 / APN : 214-20-416

1935 E KINGS AVE Distance 0.04 Miles

Owner Name : Gentry Ashley

Sale Date : 08/27/2012

Total Value : $281,100

Bed / Bath : / 4

Land Use : Sfr

Stories : 2

Subdivision : Greenway Hills Lt 1-59 Tr A

Recording Date : 09/07/2012

Sale Price  : $143,000

Property Tax : $1,905.44

Lot Acres : 0.11

Living Area : 2,084

Yr Blt / Eff Yr Blt : 1994 / APN : 214-20-398

Customer Name : Lisa Mrazek Customer Company Name : First American Title Insurance Company Prepared On : 06/28/2023

© 2023 CoreLogic. All rights reserved

1933 E FELLARS DR Distance 0.05 Miles

Owner Name : Blackburn Matthew C Subdivision : Greenway Hills Lt 1-59 Tr A

Sale Date : 08/16/2005

Total Value : $227,100

Recording Date : 08/25/2005

Sale Price  : $172,000

Bed / Bath : / 3 Property Tax : $1,441.32

Land Use : Sfr Lot Acres : 0.11

Stories : 1

Living Area : 1,268

Yr Blt / Eff Yr Blt : 1994 / APN : 214-20-418

1931 E KINGS AVE Distance 0.05 Miles

Owner Name : Holzworth August Subdivision : Greenway Hills Lt 1-59 Tr A

Sale Date : 12/02/2005

Total Value : $280,500

Recording Date : 12/13/2005

Sale Price  : $350,000

Bed / Bath : / 4 Property Tax : $1,900.86

Land Use : Sfr Lot Acres : 0.11

Stories : 2

Living Area : 2,084

Yr Blt / Eff Yr Blt : 1994 / APN : 214-20-399

© 2023
All rights reserved
Customer
Name : Lisa Mrazek Customer Company Name : First American Title Insurance Company Prepared On : 06/28/2023
CoreLogic.
Census Tract / block: 1036.06 / 3     Year: 2020 Household Population Population by Age Count: 4,877 0 - 11 Estimate Current Year: 4,978 12 - 17 Estimate in 5 Years: 5,404 18 - 24 5.23% Growth Last 5 Years: 10.97% 25 - 64 56.28% Growth Last 10 Years: -111.58% 65 - 74 9.29% 75+ Household Size Household Income Current Year: 1,908 0 - $25,000 12% Average Current Year: 2.54 $25,000 - $35,000 4.72% Estimate in 5 Years: 1,995 $35,000 - $50,000 19.65% Growth Last 5 Years: 4.4% $50,000 - $75,000 13.05% Growth Last 10 Years: 17.22% $75,000 - $100,000 13.16% Male Population: 41.09% Above $100,000 37.42% Female Population: 58.91% Average Household Income: $75,688 Married People: 49.38% Unmarried People: 50.62% Housing Median Mortgage Payments Home Values Under $300: 13.5% Below $100,000: 4.63% $300 - $799: 25.61% $100,000 - $150,000: 4.37% $800 - $1,999: 43.55% $150,000 - $200,000: 15.42% Over $2,000: 17.34% $200,000 - $300,000: 31.04% Median Home Value: $278,700 $300,000 - $500,000: 37.33% Unit Occupied Owner: 79.19% Above $500,000: 7.21% Median Mortgage: $1,129
©
Customer Name : Lisa Mrazek Customer Company Name : First American Title Insurance Company Prepared On : 06/28/2023
2023 CoreLogic. All rights reserved
Rent Payments Year Built Unit Occupied Renter: 20.81% 1999 - 2000 Median Gross Rent: $1,291 1995 - 1998 Less Than $499 2.65% 1990 - 1994 $500 - $749 0% 1980 - 1989 20.42% $750 - $999 12.47% 1970 - 1979 40.28% $1000 and Over 84.88% 1900 - 1969 8.85% Education Enrollment Public Pre-Primary School: 0.55% Not Enrolled in School: 74.66% Private Pre-Primary School: 0.34% Not A High School Graduate: 14.86% Public School: 22.9% Graduate Of High School: 17.05% Private School: 2.44% Attended Some College: 24.16% Public College: 6.4% College Graduate: 32.05% Private College: 1.6% Graduate Degree: 11.88% Workforce Occupation: Manager/Prof: 40.55% Private Worker: 70.67% Technical: Government Worker: 6.41% Sales: 22.11% Self Employed Worker: 6.59% Administrative: Unpaid Family Worker: 8.45% Private House Hold: Farming: 8.45% Service: 21.49% Skilled: Protective Services: Blue-Collar: 15.85% Commute Time Less Than 15 Min: 11.6% 15 min - 28 min: 51.07% 30 min - 57 min: 35.2% Over 60 min: 2.13% Customer Name : Lisa Mrazek Customer Company Name : First American Title Insurance Company Prepared On : 06/28/2023 © 2023 CoreLogic. All rights reserved

Customer Name : Lisa Mrazek

Customer Company Name : First American Title Insurance Company

Prepared On : 06/28/2023

© 2023 CoreLogic. All rights reserved

Customer Name : Lisa Mrazek

Customer Company Name : First American Title Insurance Company Prepared On : 06/28/2023

© 2023 CoreLogic. All rights reserved

Customer Name : Lisa Mrazek

Customer Company Name : First American Title Insurance Company Prepared On : 06/28/2023

© 2023 CoreLogic. All rights reserved

Arizona Schools For detailed information and statistics on Arizona schools please go to https://azreportcards.azed.gov/ First American Title Insurance Company, and the operating divisions thereof, make no express or implied warranty respecting the information presented and assume no responsibility for errors or omissions. First American, the eagle logo, First American Title, and firstam.com are registered trademarks or trademarks of First American Financial Corporation and/or its affiliates. ©2021 First American Financial Corporation and/or its affiliates. All rights reserved. NYSE: FAF 05117910421

PARCEL:  214-20-413

PARCEL: 214-20-413 2

OWNER: QUILLA MA JUNE SARROZA

SITUS: 1948 E FELLARS DR PHOENIX

MAIL: 1948 E FELLARS DR  PHOENIX, AZ 85022

PLAT: 356 -   36 LOT    46

LEGAL: GREENWAY HILLS  CURRENT TAXES

SEARCH PARAMETERS

MARICOPA, AZ 06/28/2023  11:15AM  RL13  INVESTIGATIVE SEARCH RESULTS PAGE 1 OF 1
+ FIRST AMERICAN TITLE, FC0, LMRA
INSTRUMENT REC DATE
2009 484011 05/29/2009
INFORMATION THROUGH 06/23/2023 LAND IMPR EXEMPT RATE AREA SPECIAL DISTRICTS PRIMARY  15,196  0  0  7.2084  691300  30002  SECONDARY  4,580  18,330  0  3.9601  2022 TOTAL TAX BILLED 1,436.82 2022  TAX AMT TAX DUE INTEREST DATE PAID TOTAL DUE FIRST HALF  718.41  0.00  0.00  10/25/2022  0.00  SECOND HALF  718.41  0.00  0.00  04/24/2023  0.00  TOTAL CURRENT TAXES DUE 06/23 0.00 07/23 0.00 RESIDENTIAL IMPROVEMENTS BLDG SQFT  1,268 COOLING  REFRIGERATION YEAR BUILT  1994 EXTERIOR WALLS  FRAME WOOD NUMBER OF STORIES  1.0 ROOF  OTHER NUMBER OF ROOMS CONSTRUCTION CLASS  R3 NUMBER OF BATH FIXTURES  8 PHYSICAL CONDITION  OTHER PATIO (TYPE AND NUMBER)  UNCOVERED_AND_COVERED 3 LAND USE  01 31 GARAGE (TYPE AND NUMBER)  GARAGE 2 LOT SIZE  5,262 SQ FT POOL SQ FT SCHOOL DISTRICT  691300 HEATING LAND FULL CASH VALUE  45,800 IMPR FULL CASH VALUE 183,300 SALES SALE DATE SALE AMOUNT INSTRUMENT TYPE SELLER NAME VALIDITY 05/29/2009 137,500    2009 484011 SD AURORA LOAN SERVICES LLC 08/16/2006 273,000    2006 1093951 WD RAPISARDA JOSEPH 09/27/2001 129,000    2001 896720 WD GAISER PHILLIP R/SANDY S 01/12/1994 89,527    1994 32325 JD BARTON HOMES INC ADDITIONAL PROPERTY INFORMATION STANDARD LAND USE: SFR END SEARCH

Turn static files into dynamic content formats.

Create a flipbook
Issuu converts static files into: digital portfolios, online yearbooks, online catalogs, digital photo albums and more. Sign up and create your flipbook.
1948 E Fellars Dr by FirstAmAZ - Issuu