1810 N Blacklidge Dr

Page 1

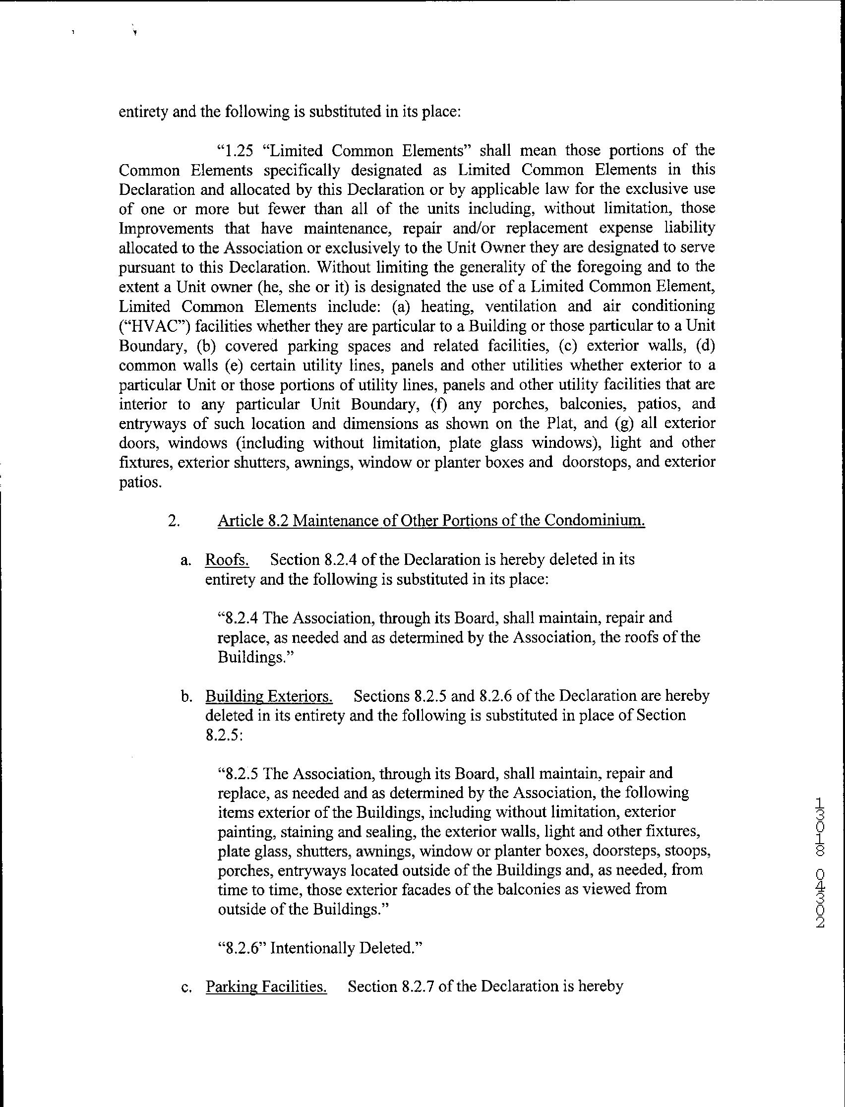
©2021 First American Financial Corporation and/or its affiliates. All rights reserved. NYSE: FAF 05252610821 COVENANTS, CONDITIONS & RESTRICTIONS PREPARED FOR : First American Title Insurance Company, and the operating divisions thereof, make no express or implied warranty respecting the information presented and assume no responsibility for errors or omissions. First American, the eagle logo, First American Title, and firstam.com are registered trademarks or trademarks of First American Financial Corporation and/or its affiliates. 1810 N. Blacklidge Drive Tucson, AZ 85718

LIMITATION OF LIABILITY FOR INFORMATIONAL REPORTS

IMPORTANT -- PLEASE READ CAREFULLY:

This report is not an insured product or service or a representation of the condition of title to real property. It is not an abst ract, legal opinion, opinion of title, title insurance commitment or preliminary report, or any form of Title Insurance or Guaranty. This report is issued exclusively for the benefit of the Applicant therefor and may not be used or relied upon by any other person. This report may not be reproduced in any manner without First American or Title Security's prior written consent. First American or Title Security does not represent or warrant that the information herein is complete or free from error, and the information herein is provided without any warranties of any kind, as-is, and with all faults. As a material part of the consideration given in exchange for the issuance of this report, recipient agrees that First American or Title Security's sole liability for any loss or damage caused by an error or omission due to inaccurate information or negligence in preparing this report shall be limited to the fee charged for the report. Recipient accepts this report with this limitation and agrees that First American or Title Security would not have issued this report but for the limitation of liability described above. First American or Title Security makes no representation or warranty as to the legality or propriety of recipient's use of the information herein.

Branch:FC0,User:LMRAComment:StationId:RL13 PIMA,AZPage1of12Printedon4/27/202312:45:09PM Document:SUBDIVISION_MAP61.22
Branch:FC0,User:LMRAComment:StationId:RL13 PIMA,AZPage2of12Printedon4/27/202312:45:13PM Document:SUBDIVISION_MAP61.22
Branch:FC0,User:LMRAComment:StationId:RL13 PIMA,AZPage3of12Printedon4/27/202312:45:18PM Document:SUBDIVISION_MAP61.22
Branch:FC0,User:LMRAComment:StationId:RL13 PIMA,AZPage4of12Printedon4/27/202312:45:21PM Document:SUBDIVISION_MAP61.22
Branch:FC0,User:LMRAComment:StationId:RL13 PIMA,AZPage5of12Printedon4/27/202312:45:24PM Document:SUBDIVISION_MAP61.22
Branch:FC0,User:LMRAComment:StationId:RL13 PIMA,AZPage6of12Printedon4/27/202312:45:27PM Document:SUBDIVISION_MAP61.22
Branch:FC0,User:LMRAComment:StationId:RL13 PIMA,AZPage7of12Printedon4/27/202312:45:30PM Document:SUBDIVISION_MAP61.22
Branch:FC0,User:LMRAComment:StationId:RL13 PIMA,AZPage8of12Printedon4/27/202312:45:32PM Document:SUBDIVISION_MAP61.22
Branch:FC0,User:LMRAComment:StationId:RL13 PIMA,AZPage9of12Printedon4/27/202312:45:35PM Document:SUBDIVISION_MAP61.22
Branch:FC0,User:LMRAComment:StationId:RL13 PIMA,AZPage10of12Printedon4/27/202312:45:38PM Document:SUBDIVISION_MAP61.22
Branch:FC0,User:LMRAComment:StationId:RL13 PIMA,AZPage11of12Printedon4/27/202312:45:43PM Document:SUBDIVISION_MAP61.22
Branch:FC0,User:LMRAComment:StationId:RL13 PIMA,AZPage12of12Printedon4/27/202312:45:49PM Document:SUBDIVISION_MAP61.22
Branch:FC0,User:LMRAComment:StationId:RL13 PIMA,AZPage1of43Printedon4/27/202312:45:49PM Document:RES12803.2915
Branch:FC0,User:LMRAComment:StationId:RL13 PIMA,AZPage2of43Printedon4/27/202312:45:50PM Document:RES12803.2915
Branch:FC0,User:LMRAComment:StationId:RL13 PIMA,AZPage3of43Printedon4/27/202312:45:50PM Document:RES12803.2915
Branch:FC0,User:LMRAComment:StationId:RL13 PIMA,AZPage4of43Printedon4/27/202312:45:50PM Document:RES12803.2915
Branch:FC0,User:LMRAComment:StationId:RL13 PIMA,AZPage5of43Printedon4/27/202312:45:50PM Document:RES12803.2915
Branch:FC0,User:LMRAComment:StationId:RL13 PIMA,AZPage6of43Printedon4/27/202312:45:50PM Document:RES12803.2915
Branch:FC0,User:LMRAComment:StationId:RL13 PIMA,AZPage7of43Printedon4/27/202312:45:51PM Document:RES12803.2915
Branch:FC0,User:LMRAComment:StationId:RL13 PIMA,AZPage8of43Printedon4/27/202312:45:51PM Document:RES12803.2915
Branch:FC0,User:LMRAComment:StationId:RL13 PIMA,AZPage9of43Printedon4/27/202312:45:51PM Document:RES12803.2915
Branch:FC0,User:LMRAComment:StationId:RL13 PIMA,AZPage10of43Printedon4/27/202312:45:51PM Document:RES12803.2915
Branch:FC0,User:LMRAComment:StationId:RL13 PIMA,AZPage11of43Printedon4/27/202312:45:51PM Document:RES12803.2915
Branch:FC0,User:LMRAComment:StationId:RL13 PIMA,AZPage12of43Printedon4/27/202312:45:51PM Document:RES12803.2915
Branch:FC0,User:LMRAComment:StationId:RL13 PIMA,AZPage13of43Printedon4/27/202312:45:52PM Document:RES12803.2915
Branch:FC0,User:LMRAComment:StationId:RL13 PIMA,AZPage14of43Printedon4/27/202312:45:52PM Document:RES12803.2915
Branch:FC0,User:LMRAComment:StationId:RL13 PIMA,AZPage15of43Printedon4/27/202312:45:52PM Document:RES12803.2915
Branch:FC0,User:LMRAComment:StationId:RL13 PIMA,AZPage16of43Printedon4/27/202312:45:52PM Document:RES12803.2915
Branch:FC0,User:LMRAComment:StationId:RL13 PIMA,AZPage17of43Printedon4/27/202312:45:52PM Document:RES12803.2915
Branch:FC0,User:LMRAComment:StationId:RL13 PIMA,AZPage18of43Printedon4/27/202312:45:52PM Document:RES12803.2915
Branch:FC0,User:LMRAComment:StationId:RL13 PIMA,AZPage19of43Printedon4/27/202312:45:53PM Document:RES12803.2915
Branch:FC0,User:LMRAComment:StationId:RL13 PIMA,AZPage20of43Printedon4/27/202312:45:53PM Document:RES12803.2915
Branch:FC0,User:LMRAComment:StationId:RL13 PIMA,AZPage21of43Printedon4/27/202312:45:53PM Document:RES12803.2915
Branch:FC0,User:LMRAComment:StationId:RL13 PIMA,AZPage22of43Printedon4/27/202312:45:53PM Document:RES12803.2915
Branch:FC0,User:LMRAComment:StationId:RL13 PIMA,AZPage23of43Printedon4/27/202312:45:53PM Document:RES12803.2915
Branch:FC0,User:LMRAComment:StationId:RL13 PIMA,AZPage24of43Printedon4/27/202312:45:53PM Document:RES12803.2915
Branch:FC0,User:LMRAComment:StationId:RL13 PIMA,AZPage25of43Printedon4/27/202312:45:54PM Document:RES12803.2915
Branch:FC0,User:LMRAComment:StationId:RL13 PIMA,AZPage26of43Printedon4/27/202312:45:54PM Document:RES12803.2915
Branch:FC0,User:LMRAComment:StationId:RL13 PIMA,AZPage27of43Printedon4/27/202312:45:54PM Document:RES12803.2915
Branch:FC0,User:LMRAComment:StationId:RL13 PIMA,AZPage28of43Printedon4/27/202312:45:54PM Document:RES12803.2915
Branch:FC0,User:LMRAComment:StationId:RL13 PIMA,AZPage29of43Printedon4/27/202312:45:54PM Document:RES12803.2915
Branch:FC0,User:LMRAComment:StationId:RL13 PIMA,AZPage30of43Printedon4/27/202312:45:54PM Document:RES12803.2915
Branch:FC0,User:LMRAComment:StationId:RL13 PIMA,AZPage31of43Printedon4/27/202312:45:55PM Document:RES12803.2915
Branch:FC0,User:LMRAComment:StationId:RL13 PIMA,AZPage32of43Printedon4/27/202312:45:55PM Document:RES12803.2915
Branch:FC0,User:LMRAComment:StationId:RL13 PIMA,AZPage33of43Printedon4/27/202312:45:55PM Document:RES12803.2915
Branch:FC0,User:LMRAComment:StationId:RL13 PIMA,AZPage34of43Printedon4/27/202312:45:55PM Document:RES12803.2915
Branch:FC0,User:LMRAComment:StationId:RL13 PIMA,AZPage35of43Printedon4/27/202312:45:55PM Document:RES12803.2915
Branch:FC0,User:LMRAComment:StationId:RL13 PIMA,AZPage36of43Printedon4/27/202312:45:56PM Document:RES12803.2915
Branch:FC0,User:LMRAComment:StationId:RL13 PIMA,AZPage37of43Printedon4/27/202312:45:56PM Document:RES12803.2915
Branch:FC0,User:LMRAComment:StationId:RL13 PIMA,AZPage38of43Printedon4/27/202312:45:56PM Document:RES12803.2915
Branch:FC0,User:LMRAComment:StationId:RL13 PIMA,AZPage39of43Printedon4/27/202312:45:56PM Document:RES12803.2915
Branch:FC0,User:LMRAComment:StationId:RL13 PIMA,AZPage40of43Printedon4/27/202312:45:57PM Document:RES12803.2915
Branch:FC0,User:LMRAComment:StationId:RL13 PIMA,AZPage41of43Printedon4/27/202312:45:57PM Document:RES12803.2915
Branch:FC0,User:LMRAComment:StationId:RL13 PIMA,AZPage42of43Printedon4/27/202312:45:57PM Document:RES12803.2915
Branch:FC0,User:LMRAComment:StationId:RL13 PIMA,AZPage43of43Printedon4/27/202312:45:57PM Document:RES12803.2915
Page 1 of 5 02/15/2011 11:46 AM
Page 2 of 5 02/15/2011 11:46 AM
Page 3 of 5 02/15/2011 11:46 AM
Page 4 of 5 02/15/2011 11:46 AM
Page 5 of 5 02/15/2011 11:46 AM
Page 1 of 4 02/15/2011 11:46 AM
Page 2 of 4 02/15/2011 11:46 AM
Page 3 of 4 02/15/2011 11:46 AM
Page 4 of 4 02/15/2011 11:46 AM
Page 1 of 46 02/15/2011 11:46 AM
Page 2 of 46 02/15/2011 11:46 AM
Page 3 of 46 02/15/2011 11:46 AM
Page 4 of 46 02/15/2011 11:46 AM
Page 5 of 46 02/15/2011 11:46 AM
Page 6 of 46 02/15/2011 11:46 AM
Page 7 of 46 02/15/2011 11:46 AM
Page 8 of 46 02/15/2011 11:46 AM
Page 9 of 46 02/15/2011 11:46 AM
Page 10 of 46 02/15/2011 11:46 AM
Page 11 of 46 02/15/2011 11:46 AM
Page 12 of 46 02/15/2011 11:46 AM
Page 13 of 46 02/15/2011 11:46 AM
Page 14 of 46 02/15/2011 11:46 AM
Page 15 of 46 02/15/2011 11:46 AM
Page 16 of 46 02/15/2011 11:46 AM
Page 17 of 46 02/15/2011 11:46 AM
Page 18 of 46 02/15/2011 11:46 AM
Page 19 of 46 02/15/2011 11:46 AM
Page 20 of 46 02/15/2011 11:46 AM
Page 21 of 46 02/15/2011 11:46 AM
Page 22 of 46 02/15/2011 11:46 AM
Page 23 of 46 02/15/2011 11:46 AM
Page 24 of 46 02/15/2011 11:46 AM
Page 25 of 46 02/15/2011 11:46 AM
Page 26 of 46 02/15/2011 11:46 AM
Page 27 of 46 02/15/2011 11:46 AM
Page 28 of 46 02/15/2011 11:46 AM
Page 29 of 46 02/15/2011 11:46 AM
Page 30 of 46 02/15/2011 11:46 AM
Page 31 of 46 02/15/2011 11:46 AM
Page 32 of 46 02/15/2011 11:46 AM
Page 33 of 46 02/15/2011 11:46 AM
Page 34 of 46 02/15/2011 11:46 AM
Page 35 of 46 02/15/2011 11:46 AM
Page 36 of 46 02/15/2011 11:46 AM
Page 37 of 46 02/15/2011 11:46 AM
Page 38 of 46 02/15/2011 11:46 AM
Page 39 of 46 02/15/2011 11:46 AM
Page 40 of 46 02/15/2011 11:46 AM
Page 41 of 46 02/15/2011 11:46 AM
Page 42 of 46 02/15/2011 11:46 AM
Page 43 of 46 02/15/2011 11:46 AM
Page 44 of 46 02/15/2011 11:46 AM
Page 45 of 46 02/15/2011 11:46 AM
Page 46 of 46 02/15/2011 11:46 AM
Page 1 of 4 02/15/2011 11:46 AM
Page 2 of 4 02/15/2011 11:46 AM
Page 3 of 4 02/15/2011 11:46 AM
Page 4 of 4 02/15/2011 11:46 AM
Page 1 of 3 02/15/2011 11:46 AM
Page 2 of 3 02/15/2011 11:46 AM
Page 3 of 3 02/15/2011 11:46 AM

Turn static files into dynamic content formats.

Create a flipbook
Issuu converts static files into: digital portfolios, online yearbooks, online catalogs, digital photo albums and more. Sign up and create your flipbook.