17413 N. 55th Lane

Page 1

Subject Property

Data Provided By: First American Title Ins Co

17413 N 55th Ln Glendale AZ 85308 APN: 231-08-184
© 2023 CoreLogic. All rights reserved

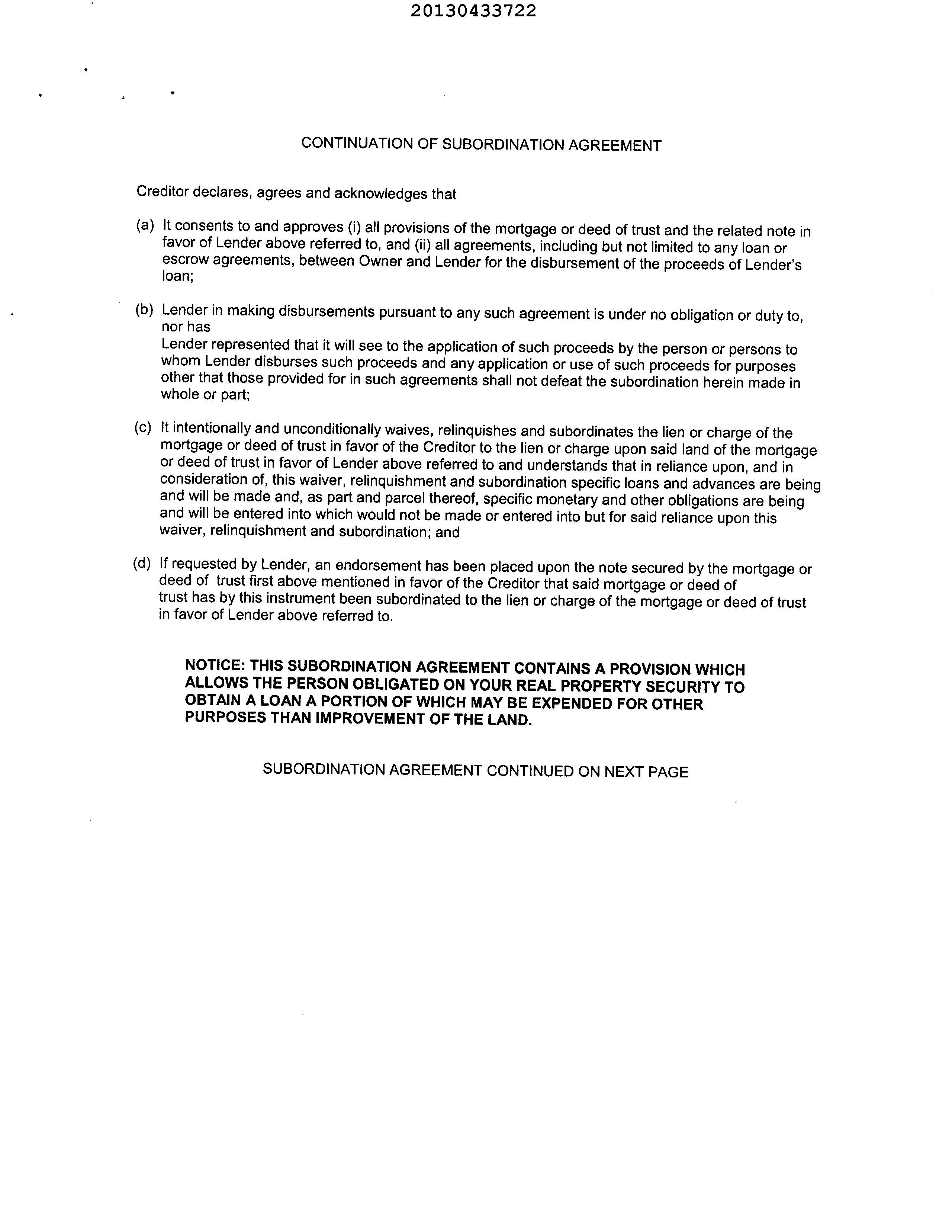
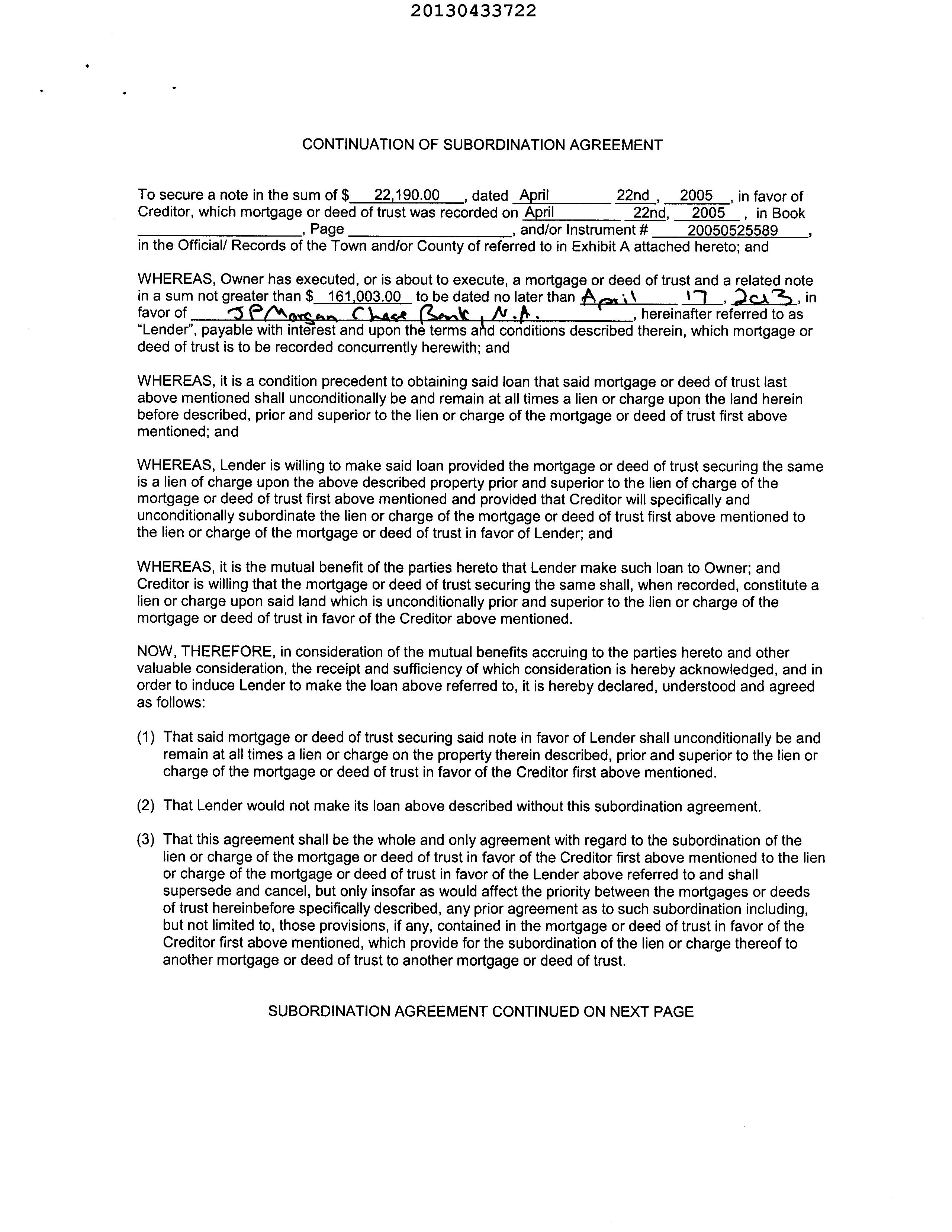
LIMITATION OF LIABILITY FOR INFORMATIONAL REPORTS

IMPORTANT -- PLEASE READ CAREFULLY:

This report is not an insured product or service or a representation of the condition of title to real property. It is not an abst ract, legal opinion, opinion of title, title insurance commitment or preliminary report, or any form of Title Insurance or Guaranty. This report is issued exclusively for the benefit of the Applicant therefor and may not be used or relied upon by any other person. This report may not be reproduced in any manner without First American or Title Security's prior written consent. First American or Title Security does not represent or warrant that the information herein is complete or free from error, and the information herein is provided without any warranties of any kind, as-is, and with all faults. As a material part of the consideration given in exchange for the issuance of this report, recipient agrees that First American or Title Security's sole liability for any loss or damage caused by an error or omission due to inaccurate information or negligence in preparing this report shall be limited to the fee charged for the report. Recipient accepts this report with this limitation and agrees that First American or Title Security would not have issued this report but for the limitation of liability described above. First American or Title Security makes no representation or warranty as to the legality or propriety of recipient's use of the information herein.

Disclaimer

This REiSource report is provided "as is" without warranty of any kind, either express or implied, including without limitations any warrantees of merchantability or fitness for a particular purpose. There is no representation of warranty that this information is complete or free from error, and the provider does not assume, and expressly disclaims, any liability to any person or entity for loss or damage caused by errors or omissions in this REiSource report without a title insurance policy.

The information contained in the REiSource report is delivered from your Title Company, who reminds you that you have the right as a consumer to compare fees and serviced levels for Title, Escrow, and all other services associated with property ownership, and to select providers accordingly. Your home is the largest investment you will make in your lifetime and you should demand the very best.

Data Provided By: First American Title Ins Co
© 2023 CoreLogic. All rights reserved

Subject Property :   17413 N 55th Ln Glendale AZ 85308

Owner Information

Owner Name : Fiduccia Dietrich / Fiduccia Louise

Mailing Address : 17413 N 55th Ln, Glendale AZ 85308-3812 C062

Owner Occupied Indicator : O

Location Information

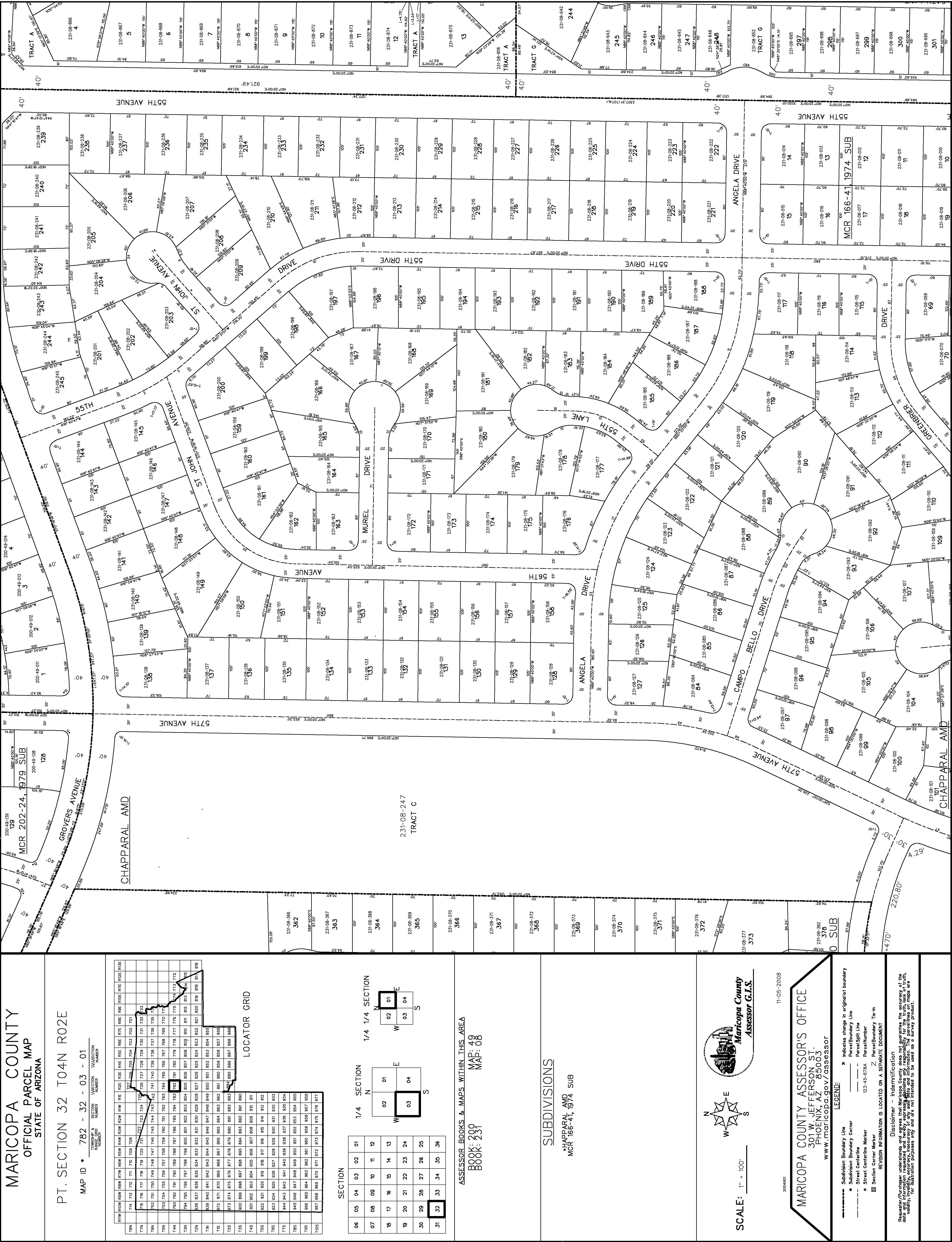
Legal Description : Lot 184 Chapparal Amd

County : Maricopa, Az Subdivision : Chapparal Amd

Census Tract / Block : 6180.00 / 3

Township-Range- Sect : 04N-02E-32

Legal Lot : 184

APN : 231-08-184

Last Market Sale Information

Recording/Sale Date : 04/22/2005 / 03/29/2005

Sale Price : $221,900

Document # : 525587

Map Reference : 16641

School District : Deer Valley 97

Munic/Township : Glendale

Neighbor Code : 06-003

1st Mtg Int. Rate/Type : / Fixed Rate Loan

1st Mtg Document # : 525588

1st Mtg Term : 30

Deed Type : Warranty Deed Price Per SqFt : $134.73 1st Mtg Amount/Type : $177,500 / Cnv

2nd Mtg Amount/Type : $22,190 / Conv

Title Company : Title Ptrs/phoenix Llc

Lender : American Fam Mtg Corp

Seller Name : Black Kevin & Mary

Prior Sale Information

Prior Rec/Sale Date : 01/30/1998 / 01/00/1998

Prior Sale Price : $108,000

Prior Doc Number : 76148

Prior Deed Type : Warranty Deed

Prior Lender : Sun American Mtg

Prior 1st Mtg Amt/Type : $102,600 / Conv

Prior 1st Mtg Rate/Type : / Fixed Rate Loan

Customer Name : Kariann Keomaka

Customer Company Name : First American Title Insurance Company Prepared On : 03/24/2023

© 2023 CoreLogic. All rights reserved

Property Characteristics

Gross Area : 1,647 Garage Capacity : 2 Pool : Pool

Living Area : 1,647 Roof Material : Asphalt Shingle Air Cond : Refrigeration

Total Rooms : 6 Heat Type : Forced Air Quality : Average

Year Built / Eff : 1978 Cooling Type : Forced Air Condition : Average

# of Stories : 1 Exterior wall : Paint Blk Bath Fixtures : 6

Parking Type : Garage Patio Type : Covered Patio Pool Size : 425

Property Information

Land Use : Sfr

Zoning : R1-6

Lot
State
Acres : 0.24
Use : Single Fam Resurban Subd ( 3 )
Lot
Total Value : $243,500 Improve % : 80% Current Assessed Year : 2023 Land Value : $48,700 Tax Year : 2022 Current Year Total Value : $31,330 Improvement Value : $194,800 Property Tax : $1,237.48 Current Year Improvement Value : $25,070 Total Taxable Value : $13,766 Tax Rate Area : 970700 Current Year Land Value : $6,260 Assessed Year : 2022 Market Value : $243,500
Customer
First
Prepared On
03/24/2023 © 2023 CoreLogic. All rights reserved
Size : 10,520 Tax Information
Customer Name : Kariann Keomaka
Company Name :
American Title Insurance Company
:
Criteria Subject Property Low High Average Sale Price $221,900 $305,000 $640,000 $461,377 Bldg/Living Area 1647 1435 1890 1664 Price Per Square Foot $134.73 $185 $383 $277.53 Year Built 1978 1978 1998 1985 Lot Size 10,520 5,500 15,000 8,181 Bedrooms Bathrooms 2 2 3 2 Stories 1 1 1 1 Total Assessed Value $243,500 $204,600 $292,500 $240,385 Distance From Subject 0 0.08 0.5 0.27 Summary of Comparables # Address Sale Price Total Assessed Value Sale Date Bed Bath Living Area Lot Size Year Built Dist (Miles) Zoning S 17413 N 55th Ln 221,900 243,500 04/22/2005 2 1,647 10,520 1978 R1-6 1 17435 N 56th Ave 475,000 224,300 04/14/2022 2 1,647 7,744 1978 0.08 R1-6 2 17412 N 56th Ave 580,000 246,600 04/19/2022 2 1,843 8,111 1978 0.08 R1-6 3 5548 W Muriel Dr 439,000 212,100 05/27/2022 2 1,435 7,000 1978 0.1 R1-6 4 17618 N 55th Dr 305,000 236,300 01/17/2023 2 1,647 7,464 1978 0.11 R1-6 5 17433 N 57th Ave 465,000 223,600 11/23/2022 2 1,657 7,936 1978 0.12 R1-6 6 17608 N 56th Ave 470,000 237,100 06/07/2022 2 1,650 7,929 1979 0.12 R1-6 7 5427 W Village Dr 425,000 261,100 11/02/2022 3 1,622 7,363 1998 0.15 R1-8 8 5527 W Grovers Ave 430,000 235,100 10/25/2022 2 1,647 7,000 1978 0.19 R1-6 9 5728 W Campo Bello Dr 406,250 241,600 07/01/2022 2 1,668 7,500 1983 0.23 R1-6 10 5721 W Muriel Dr 390,000 241,000 09/07/2022 2 1,668 7,436 1982 0.23 R1-6 11 5416 W Greenbriar Dr 485,000 291,300 10/11/2022 3 1,890 7,498 1998 0.23 R1-8 12 5734 W Campo Bello Dr 420,000 228,500 09/20/2022 2 1,668 7,000 1983 0.24 R1-6 Customer Name : Kariann Keomaka Customer Company Name : First American Title Insurance Company Prepared On : 03/24/2023 © 2023 CoreLogic. All rights reserved
Sales Analysis
13 5730 W Angela Dr 499,999 226,200 08/05/2022 2 1,668 7,000 1982 0.25 R1-6 14 5417 W Villa Rita Dr 640,000 292,500 04/21/2022 3 1,763 15,000 1995 0.43 R1-7 15 17459 N 59th Dr 432,000 231,700 02/15/2023 3 1,792 10,500 1987 0.44 R1-6 16 5196 W Campo Bello Dr 404,300 231,300 09/07/2022 3 1,575 6,000 1997 0.46 R1-8 17 17450 N 59th Dr 581,000 236,000 05/05/2022 2 1,516 11,400 1980 0.47 R1-6 18 17466 N 59th Dr 530,000 264,000 03/25/2022 2 1,877 11,219 1980 0.48 R1-6 19 18222 N 56th Ln 395,000 204,600 10/31/2022 2 1,480 7,010 1983 0.49 R1-6 20 5181 W Campo Bello Dr 455,000 242,800 02/02/2023 3 1,575 5,500 1998 0.5 R1-8 Distressed Sales = Map Customer Name : Kariann Keomaka Customer Company Name : First American Title Insurance Company Prepared On : 03/24/2023 © 2023 CoreLogic. All rights reserved

Details of Comparables

Subject Property: 17413 N 55th Ln Glendale Az 85308

Owner Name: Fiduccia Dietrich /Fiduccia Louise

#1   17435 N 56th Ave Glendale Az 85308

#2   17412 N 56th Ave Glendale Az 85308

Owner Name: Kidd Dylan Tucker /Kidd Toni

APN
Deed Type: Warranty Deed Land Use: Sfr Subdivision / Tract: Chapparal Amd / Lot Size: 10,520 Year Built / Eff: 1978 / Rec. Date / Price: 04/22/2005 / $221,900 Living Area: 1,647 # of units: Document #: 525587 Bedrooms: Pool: Pool Total Tax Value: $243,500 Bath(F/H): /
/ Alternate APN: 231-08-184 /
APN
Deed Type: Warranty Deed Land Use: Sfr Subdivision / Tract: Chapparal Amd / Lot Size: 7,744 Year Built / Eff: 1978 / Rec. Date / Price: 04/14/2022 / $475,000 Living Area: 1,647 # of units: Document #: 332026 Bedrooms: Pool: Pool Total Tax Value: $224,300 Bath(F/H): /
Owner Name: Rstk Phoenix Owner 1 /
/ Alternate APN: 231-08-172 /
APN / Alternate APN:
Deed Type: Warranty Deed Land Use: Sfr Subdivision / Tract: Chapparal Amd / Lot Size: 8,111 Year Built / Eff: 1978 / Rec. Date / Price: 04/19/2022 / $580,000 Living Area: 1,843 # of units: Document #: 343179 Bedrooms: Pool: Pool Total Tax Value: $246,600 Bath(F/H): / #3   5548 W Muriel Dr Glendale Az 85308 Owner Name: Hudson Sfr Property Holdings Iii Llc / APN / Alternate APN: 231-08-164 / Deed Type: Warranty Deed Land Use: Sfr Subdivision / Tract: Chapparal Amd / Lot Size: 7,000 Year Built / Eff: 1978 / Rec. Date / Price: 05/27/2022 / $439,000 Living Area: 1,435 # of units: Document #: 457166 Bedrooms: Pool: Total Tax Value: $212,100 Bath(F/H): / #4   17618 N 55th Dr Glendale Az 85308 Owner Name: Honor Contracting Llc / APN / Alternate APN: 231-08-199 / Deed Type: Special Warranty Deed Land Use: Sfr Subdivision / Tract: Chapparal Amd / Lot Size: 7,464 Year Built / Eff: 1978 / Rec. Date / Price: 01/17/2023 / $305,000 Living Area: 1,647 # of units: Document #: 26641 Bedrooms: Pool: Pool Total Tax Value: $236,300 Bath(F/H): / Customer Name : Kariann Keomaka Customer Company Name : First American Title Insurance Company Prepared On : 03/24/2023 © 2023 CoreLogic. All rights reserved
231-08-158 /

Owner Name: Vazquez Reynaldo /Vazquez Gloria

#9   5728 W Campo Bello Dr Glendale Az 85308

Owner Name: Hernandez Joshua D /

#10   5721 W Muriel Dr Glendale Az 85308

Owner Name: Todd William J /Todd Stephanie L

#5   17433 N 57th Ave Glendale Az 85308
APN / Alternate APN: 231-08-131 / Deed Type: Warranty Deed Land Use: Sfr Subdivision / Tract: Chapparal Amd / Lot Size: 7,936 Year Built / Eff: 1978 / Rec. Date / Price: 11/23/2022 / $465,000 Living Area: 1,657 # of units: Document #: 854547 Bedrooms: Pool: Total Tax Value: $223,600 Bath(F/H): /
Name:
APN / Alternate APN: 231-08-152 / Deed Type: Warranty Deed Land Use: Sfr Subdivision / Tract: Chapparal Amd / Lot Size: 7,929 Year Built / Eff: 1979 / Rec. Date / Price: 06/07/2022 / $470,000 Living Area: 1,650 # of units: Document #: 483393 Bedrooms: Pool: Pool Total Tax Value: $237,100 Bath(F/H): /
Name:
K APN / Alternate APN: 231-08-661 / Deed Type: Warranty Deed Land Use: Sfr Subdivision / Tract: Touchstone / Lot Size: 7,363 Year Built / Eff: 1998 / Rec. Date / Price: 11/02/2022 / $425,000 Living Area: 1,622 # of units: Document #: 814652 Bedrooms: Pool: Total Tax Value: $261,100 Bath(F/H): /
Owner Name: Limpf Paul /Leifson Kylie
#6   17608 N 56th Ave Glendale Az 85308 Owner
Santiago Daniel /
#7   5427 W Village Dr Glendale Az 85308 Owner
Copp Scott M /Copp Linda
#8   5527 W Grovers Ave Glendale Az 85308
APN
Alternate
Deed Type: Warranty Deed Land Use: Sfr Subdivision / Tract: Chapparal Amd / Lot Size: 7,000 Year Built / Eff: 1978 / Rec. Date / Price: 10/25/2022 / $430,000 Living Area: 1,647 # of units: Document #: 796840 Bedrooms: Pool: Pool Total Tax Value: $235,100 Bath(F/H): /
/
APN: 231-08-243 /
APN / Alternate APN:
/ Deed Type: Warranty Deed Land Use: Sfr Subdivision / Tract: Chapparal 4 / Lot Size: 7,500 Year Built / Eff: 1983 / Rec. Date / Price: 07/01/2022 / $406,250 Living Area: 1,668 # of units: Document #: 546039 Bedrooms: Pool: Pool Total Tax Value: $241,600 Bath(F/H): /
231-08-298
APN
Land Use: Sfr Subdivision / Tract: Chapparal 4 / Lot Size: 7,436 Year Built / Eff: 1982 / Rec. Date / Price: 09/07/2022 / $390,000 Living Area: 1,668 # of units: Document #: 696609 Bedrooms: Pool: Pool Total Tax Value: $241,000 Bath(F/H): / Customer Name
Kariann Keomaka Customer Company Name : First American Title Insurance Company Prepared On : 03/24/2023 © 2023 CoreLogic. All rights reserved
/ Alternate APN: 231-08-345 / Deed Type: Warranty Deed
:

#11   5416 W Greenbriar Dr Glendale Az 85308

Owner Name: Beck Robert W Jr /Hernandez Selena

#12   5734 W Campo Bello Dr Glendale Az 85308

Owner Name: Jelkovsky Lena T /

#13   5730 W Angela Dr Glendale Az 85308

Owner Name: Smith Jerry M /

#14   5417 W Villa Rita Dr Glendale Az 85308

Owner Name: Frader Steven /Frader Linda Jean

#15   17459 N 59th Dr Glendale Az 85308

Owner Name: Ostini Cherith B /

#16   5196 W Campo Bello Dr Glendale Az 85308

Owner Name: Opendoor Property J Llc /

APN / Alternate APN:
Deed Type: Warranty Deed Land Use: Sfr Subdivision / Tract: Touchstone / Lot Size: 7,498 Year Built / Eff: 1998 / Rec. Date / Price: 10/11/2022 / $485,000 Living Area: 1,890 # of units: Document #: 767362 Bedrooms: Pool: Pool Total Tax Value: $291,300 Bath(F/H): /
231-08-670 /
APN / Alternate APN:
Deed Type: Warranty Deed Land Use: Sfr Subdivision / Tract: Chapparal 4 / Lot Size: 7,000 Year Built / Eff: 1983 / Rec. Date / Price: 09/20/2022 / $420,000 Living Area: 1,668 # of units: Document #: 722008 Bedrooms: Pool: Total Tax Value: $228,500 Bath(F/H): /
231-08-299 /
APN / Alternate APN: 231-08-323
Deed Type: Warranty Deed Land Use: Sfr Subdivision / Tract: Chapparal 4 / Lot Size: 7,000 Year Built / Eff: 1982 / Rec. Date / Price: 08/05/2022 / $499,999 Living Area: 1,668 # of units: Document #: 624287 Bedrooms: Pool: Total Tax Value: $226,200 Bath(F/H): /
/
APN
Deed Land Use: Sfr Subdivision / Tract: Union Hills 1 / Lot Size: 15,000 Year Built / Eff: 1995 / Rec. Date / Price: 04/21/2022 / $640,000 Living Area: 1,763 # of units: Document #: 353086 Bedrooms: Pool: Pool Total Tax Value: $292,500 Bath(F/H): /
/ Alternate APN: 200-49-593 / Deed Type: Warranty
APN
Warranty Deed Land Use: Sfr Subdivision / Tract: Sunset Vista Unit 1 / Lot Size: 10,500 Year Built / Eff: 1987 / Rec. Date / Price: 02/15/2023 / $432,000 Living Area: 1,792 # of units: Document #: 76141 Bedrooms: Pool: Total Tax Value: $231,700 Bath(F/H): /
/ Alternate APN: 200-48-051 / Deed Type:
APN
Land Use: Sfr Subdivision / Tract: Touchstone / Lot Size: 6,000 Year Built / Eff: 1997 / Rec. Date / Price: 09/07/2022 / $404,300 Living Area: 1,575 # of units: Document #: 695362 Bedrooms: Pool: Total Tax Value: $231,300 Bath(F/H): / Customer
Keomaka Customer Company Name : First American Title Insurance Company Prepared On
03/24/2023 © 2023 CoreLogic.
/ Alternate APN: 231-08-783 / Deed Type: Warranty Deed
Name : Kariann
:
All rights reserved

#17   17450 N 59th Dr Glendale Az 85308

Owner Name: Johnson Scott /

#18   17466 N 59th Dr Glendale Az 85308

Owner Name: Mcgaughey Nicolle /Mcgaughey Ryan

#19   18222 N 56th Ln Glendale Az 85308

Owner Name: Pagsisihan Beverly /

#20   5181 W Campo Bello Dr Glendale Az 85308

Owner Name: Sprague-gross Corey /Sprague-gross Adam

APN / Alternate
Deed Type: Warranty Deed Land Use: Sfr Subdivision / Tract:
1
Lot Size: 11,400 Year Built / Eff: 1980 / Rec. Date / Price: 05/05/2022
$581,000 Living Area: 1,516 # of units: Document #: 394568 Bedrooms: Pool: Pool Total Tax Value: $236,000 Bath(F/H): /
APN: 200-48-055 /
Sunset Vista Unit
/
/
APN
Alternate
Type: Warranty Deed Land Use: Sfr Subdivision / Tract: Sunset Vista Unit 1 / Lot Size: 11,219 Year Built / Eff: 1980 / Rec. Date / Price: 03/25/2022 / $530,000 Living Area: 1,877 # of units: Document #: 270295 Bedrooms: Pool: Pool Total Tax Value: $264,000 Bath(F/H): /
/
APN: 200-48-057 / Deed
APN / Alternate
Deed Type: Warranty Deed Land Use: Sfr Subdivision / Tract: Dave Brown North Unit 8 Ph 1 / Lot Size: 7,010 Year Built / Eff: 1983 / Rec. Date / Price: 10/31/2022 / $395,000 Living Area: 1,480 # of units: Document #: 810903 Bedrooms: Pool: Total Tax Value: $204,600 Bath(F/H): /
APN: 200-49-353 /
APN / Alternate APN:
Deed Type: Warranty Deed Land Use: Sfr Subdivision / Tract: Touchstone / Lot Size: 5,500 Year Built / Eff: 1998 / Rec. Date / Price: 02/02/2023 / $455,000 Living Area: 1,575 # of units: Document #: 54983 Bedrooms: Pool: Pool Total Tax Value: $242,800 Bath(F/H): /
Customer Company
First American Title Insurance
Prepared
© 2023 CoreLogic. All rights reserved
231-08-795 /
Customer Name : Kariann Keomaka
Name :
Company
On : 03/24/2023

Customer Name : Kariann Keomaka

Customer Company Name : First American Title Insurance Company Prepared On : 03/24/2023

© 2023 CoreLogic. All rights reserved

Subject Property :   17413 N 55th Ln Glendale AZ 85308

Customer Name : Kariann Keomaka

Customer Company Name : First American Title Insurance Company Prepared On : 03/24/2023

© 2023 CoreLogic. All rights reserved

Arizona Schools For detailed information and statistics on Arizona schools please go to https://azreportcards.azed.gov/ First American Title Insurance Company, and the operating divisions thereof, make no express or implied warranty respecting the information presented and assume no responsibility for errors or omissions. First American, the eagle logo, First American Title, and firstam.com are registered trademarks or trademarks of First American Financial Corporation and/or its affiliates. ©2021 First American Financial Corporation and/or its affiliates. All rights reserved. NYSE: FAF 05117910421

Public Schools :

Elementary Schools

Challenge Charter School Distance 0.29 Miles

5801 W Greenbriar Dr Glendale AZ 85308

Telephone : (602) 938-5411

Lowest Grade : K

Kindergarten : Yes

Enrollment : 506

School District : Challenge School Inc. (6362)

Highest Grade : 6th

School Enrollment :

Total Expenditure/Student :

Canyon Elementary School Distance 0.75 Miles

5490 W Paradise Ln Glendale AZ 85306

Telephone : (623) 412-5050

Lowest Grade : Pre-K

Kindergarten : Yes

Enrollment : 360

School District : Peoria Unified School District (4237)

Highest Grade : 8th

School Enrollment :

Total Expenditure/Student : 146

Greenbrier Elementary School Distance 0.81 Miles

6150 W Greenbriar Dr Glendale AZ 85308

Telephone : (602) 467-5500

Lowest Grade : Pre-K

Kindergarten : Yes

Enrollment : 426

School District : Deer Valley Unified District (4246)

Highest Grade : 6th

School Enrollment :

Total Expenditure/Student : 176

© 2023 CoreLogic. All rights reserved
Customer Name : Kariann Keomaka Customer Company Name : First American Title Insurance Company Prepared
On : 03/24/2023

Self Development Scottsdale Academy Distance 0.89 Miles

16635 N 51st Ave Glendale AZ 85306

Telephone : (602) 274-1910

Lowest Grade : K

Kindergarten : Yes

Middle Schools

School District : Self Development Scottsdale Academy (308420)

Highest Grade : 8th

School Enrollment : Enrollment : 64

Total Expenditure/Student :

Desert Sky Middle School Distance 0.59 Miles

5130 W Grovers Ave Glendale AZ 85308

Telephone : (602) 467-6500

Lowest Grade : 7th

Kindergarten : No

School District : Deer Valley Unified District (4246)

Highest Grade : 8th

School Enrollment : Enrollment : 632

Total Expenditure/Student : 176

High Schools

Deer Valley High School Distance 0.82 Miles

18424 N 51st Ave Glendale AZ 85308

Telephone : (602) 467-6700

Lowest Grade : 7th

School District : Deer Valley Unified District (4246)

Highest Grade : 12th

School Enrollment : Enrollment : 1548

Total Expenditure/Student : 176

Advanced Placement : No

Customer
© 2023 CoreLogic. All rights reserved
Customer Name : Kariann Keomaka
Company Name : First American Title Insurance Company Prepared On : 03/24/2023

Deer Valley Academy Distance 0.83 Miles

18424 N 51st Ave Glendale AZ 85308

Telephone : (602) 388-4444

Lowest Grade : 9th

School District : Deer Valley Charter Schools Inc. (79496)

Highest Grade : 12th

School Enrollment : Enrollment : 18

Total Expenditure/Student : Advanced Placement : No

West-mec - Deer Valley High School Distance 0.84 Miles

18424 N 51st Ave Glendale AZ 85308

Telephone : (602) 467-6700

Lowest Grade : 9th

School District : West-mec - Western Maricopa Education Center (80923)

Highest Grade : 12th

School Enrollment : Enrollment : 0

Total Expenditure/Student : Advanced Placement : No

E-institute At Taylion Distance 1.02 Miles

4744 W Grovers Ave Glendale AZ 85308

Telephone : (602) 621-4398

Lowest Grade : 9th

School District : E-institute Charter Schools Inc. (79059)

Highest Grade : 12th

School Enrollment : Enrollment : 212

Total Expenditure/Student : Advanced Placement : No

©
rights
Customer Name : Kariann Keomaka Customer Company Name : First American Title Insurance Company Prepared On : 03/24/2023
2023 CoreLogic. All
reserved
Local Business Attractions / Recreation Name Address Telephone Distance (Miles) Everybody's Place 2 Play Inc 5804 W Angela Dr Glendale Az (623) 521-6082 0.31 Scottsdale Martial Arts Center 5287 W Karen Dr Glendale Az (602) 315-5011 0.33 Trotters Wake 17615 N 58th Ln Glendale Az (602) 799-1040 0.39 Jump Street 5665 W Bell Rd Frnt Glendale Az (602) 889-0081 0.4 Banks / Financial Name Address Telephone Distance (Miles) Alaska Usa Federal Credit Union 5505 W Bell Rd Glendale Az (800) 525-9094 0.38 Bbva Usa 5740 W Bell Rd Glendale Az (602) 863-5020 0.42 Western Mortgage Funding Llc 5444 W Villa Rita Dr Glendale Az (623) 206-9068 0.43 Firstbank 5885 W Bell Rd Glendale Az (602) 942-2200 0.56 Eating / Drinking Name Address Telephone Distance (Miles) Tandoori Times 2 5626 W Bell Rd Ste 103 Glendale Az (602) 993-1422 0.37 Carrabba's Italian Grill, Inc. 5646 W Bell Rd Glendale Az (602) 863-6444 0.38 Outback Steakhouse Of Florida, Llc 5605 W Bell Rd Glendale Az (602) 547-3236 0.38 Taco Bell Corp 5705 W Bell Rd Glendale Az (602) 547-0209 0.42 Health Care Services Name Address Telephone Distance (Miles) Ultrasound Of America Inc 5303 W Angela Dr Glendale Az (602) 486-5660 0.35 Hands-on Healthcare 5654 W Bell Rd Ste A Glendale Az (623) 334-5010 0.38 Song Morning Wellness Llc 5654 W Bell Rd Ste B Glendale Az (602) 481-2687 0.38 Glendale Chiropractic Life Center Llc 5654 W Bell Rd Ste A Glendale Az (602) 843-2730 0.38 Customer Name : Kariann Keomaka Customer Company Name : First American Title Insurance Company Prepared On : 03/24/2023 © 2023 CoreLogic. All rights reserved
Hospitality Name Address Telephone Distance (Miles) Best Choice Inn 5266 W Angela Dr Glendale Az (505) 265-9309 0.38 Classic Motor Inn, Inc. 5511 W Bell Rd Glendale Az (602) 896-8900 0.38 Quality Inn At Talavi 5511 W Bell Rd Glendale Az (602) 896-8900 0.38 Glendale Arizona 18205 N 51st Ave Ste 129 Glendale Az (623) 398-8554 0.76 Organizations / Associations Name Address Telephone Distance (Miles) Jamie Self Ministries 5335 W Karen Dr Glendale Az (602) 769-6605 0.29 Light Of Grace Church Inc 5316 W Campo Bello Dr Glendale Az (602) 374-4653 0.38 Faith Bible Church 17230 N 59th Ave Glendale Az (602) 368-7100 0.43 Grace And Truth 5016 W Augusta Cir Glendale Az (602) 435-8197 0.68 Personal Services Name Address Telephone Distance (Miles) Az Fitness Chiropractic 5427 W Greenbriar Dr Glendale Az (602) 863-9111 0.23 Fitness International, Llc 5536 W Bell Rd Glendale Az (602) 547-9425 0.36 The Fitness Academy 17614 N 58th Ln Glendale Az (602) 330-4880 0.4 Body & Brain Yoga And Health Centers, Inc. 5932 W Bell Rd Ste D110 Glendale Az (602) 439-9642 0.57 Shopping Name Address Telephone Distance (Miles) Speciality Tools Unlimited 5832 W Campo Bello Dr Glendale Az (602) 978-9026 0.36 The Sherwin-williams Company 5612 W Bell Rd Glendale Az (602) 978-8771 0.37 Sprouts Farmers Market, Inc. 5665 W Bell Rd Glendale Az (602) 896-0300 0.4 Kohl's Department Stores, Inc. 5408 W Bell Rd Glendale Az (602) 298-5456 0.47 Customer Name : Kariann Keomaka Customer Company Name : First American Title Insurance Company Prepared On : 03/24/2023 © 2023 CoreLogic. All rights reserved

5538 W HARTFORD AVE Distance 0.18 Miles

Owner Name : Shaide Christor P Subdivision : Chapparal Amd

Sale Date : 02/10/2023

Total Value : $224,600

Bed / Bath : / 2

Land Use : Sfr

Stories : 1

Recording Date : 02/10/2023

Sale Price  : $380,000

Property Tax : $1,288.92

Lot Acres : 0.21

Living Area : 1,324

Yr Blt / Eff Yr Blt : 1977 / APN : 231-08-062

5432 W MURIEL DR Distance 0.19 Miles

Owner Name : Chiordi David P

Total Value : $302,700

Bed / Bath : / 3

Land Use : Sfr

Stories : 1

Recording Date : 07/27/2000

Sale Price  : $191,167

Property Tax : $2,737.20

Lot Acres : 0.21

Living Area : 2,105

Yr Blt / Eff Yr Blt : 2000 / APN : 231-08-892

Subdivision  : Touchstone 2

5406 W ANGELA DR Distance 0.2 Miles

Owner Name : Swank W R & J R Living Trust Subdivision : Touchstone

Sale Date : 08/00/1999

Total Value : $293,800

Bed / Bath : / 3

Land Use : Sfr

Stories : 1

Recording Date : 08/13/1999

Sale Price  : $147,703

Property Tax : $2,016.10

Lot Acres : 0.17

Living Area : 1,890

Yr Blt / Eff Yr Blt : 1999 / APN : 231-08-635

5610 W GROVERS AVE Distance 0.21 Miles

Owner Name : Provenzale Subdivision : Chapparal 2

Sale Date : 04/05/2021

Total Value : $206,100

Bed / Bath : / 2

Land Use : Sfr

Stories : 1

Recording Date : 04/09/2021

Sale Price  : $315,000

Property Tax : $958.36

Lot Acres : 0.19

Living Area : 1,286

Yr Blt / Eff Yr Blt : 1979 / APN : 200-49-013

Customer Name : Kariann Keomaka Customer Company Name : First American Title Insurance Company Prepared On : 03/24/2023

© 2023 CoreLogic. All rights reserved

5604 W GROVERS AVE Distance 0.21 Miles

Owner Name : Banu Niculai Subdivision : Chapparal 2

Sale Date : 02/08/2018

Total Value : $185,700

Recording Date : 02/14/2018

Sale Price  : $180,000

Bed / Bath : / 2 Property Tax : $793.28

Land Use : Sfr Lot Acres : 0.17

Stories : 1

Living Area : 1,092

Yr Blt / Eff Yr Blt : 1979 / APN : 200-49-014

5616 W GROVERS AVE Distance 0.21 Miles

Owner Name : Abe Dale A Subdivision : Chapparal 2

Sale Date : 06/00/1986

Total Value : $197,700

Recording Date : 07/09/1986

Sale Price  : $65,500

Bed / Bath : / 2 Property Tax : $856.12

Land Use : Sfr Lot Acres : 0.19

Stories : 1

Living Area : 1,024

Yr Blt / Eff Yr Blt : 1979 / APN : 200-49-012

5556 W GROVERS AVE Distance 0.21 Miles

Owner Name : Mcnamara Brian M & Music Mcnam Subdivision : Chapparal 2

Sale Date : 02/03/2009

Total Value : $215,600

Recording Date : 02/10/2009

Sale Price  : $140,000

Bed / Bath : / 2 Property Tax : $1,027.04

Land Use : Sfr Lot Acres : 0.17

Stories : 1

Living Area : 1,286

Yr Blt / Eff Yr Blt : 1979 / APN : 200-49-015

5159 W VILLAGE DR Distance 0.21 Miles

Owner Name : West Glen Community Inc Subdivision : Touchstone 2

Total Value : $500 Lot Acres : 0.83

Land Use : Residential (nec) APN : 231-08-908

03/24/2023 © 2023 CoreLogic. All rights reserved
Customer Name : Kariann Keomaka Customer Company Name : First American Title Insurance Company Prepared On :

Distance 0.21 Miles

Owner Name : Fedor Michael Jr Subdivision : Chapparal 2

Total Value : $69,500

Recording Date : 07/19/1994

Bed / Bath : / 2 Property Tax : $248.26

Land Use : Sfr Lot Acres : 0.18

Stories : 1

Living Area : 1,240

Yr Blt / Eff Yr Blt : 1979 / APN : 200-49-016

Distance 0.21 Miles

Owner Name : Garcia Anthony Subdivision : Chapparal 2

Sale Date : 08/13/1981

Total Value : $225,000

Recording Date : 08/27/1981

Sale Price  : $65,000

Bed / Bath : / 2 Property Tax : $1,104.50

Land Use : Sfr

Stories : 1

Lot Acres : 0.20

Living Area : 1,685

Yr Blt / Eff Yr Blt : 1979 / APN : 200-49-011

5550 W GROVERS AVE 5622 W GROVERS AVE
Customer
Kariann Keomaka Customer Company Name : First American Title Insurance Company Prepared On : 03/24/2023 © 2023 CoreLogic. All rights reserved
Name :
Census Tract / block: 6180.00 / 3     Year: 2018 Household Population Population by Age Count: 5,012 0 - 11 Estimate Current Year: 5,149 12 - 17 Estimate in 5 Years: 5,733 18 - 24 8.06% Growth Last 5 Years: -0.14% 25 - 64 56.11% Growth Last 10 Years: -206.62% 65 - 74 7.96% 75+ Household Size Household Income Current Year: 1,616 0 - $25,000 10.02% Average Current Year: 3.08 $25,000 - $35,000 9.59% Estimate in 5 Years: 1,809 $35,000 - $50,000 11.94% Growth Last 5 Years: 0.87% $50,000 - $75,000 14.36% Growth Last 10 Years: 1.14% $75,000 - $100,000 23.39% Male Population: 47.87% Above $100,000 30.69% Female Population: 52.13% Average Household Income: $82,979 Married People: 54.23% Unmarried People: 45.77% Housing Median Mortgage Payments Home Values Under $300: 4.5% Below $100,000: 5.28% $300 - $799: 13.89% $100,000 - $150,000: 10.71% $800 - $1,999: 68.19% $150,000 - $200,000: 26.84% Over $2,000: 13.42% $200,000 - $300,000: 41.58% Median Home Value: $216,000 $300,000 - $500,000: 15.59% Unit Occupied Owner: 79.76% Above $500,000: 0% Median Mortgage: $991
Customer
© 2023
rights reserved
Customer Name : Kariann Keomaka
Company Name : First American Title Insurance Company Prepared On : 03/24/2023
CoreLogic. All
Rent Payments Year Built Unit Occupied Renter: 20.24% 1999 - 2000 Median Gross Rent: $1,378 1995 - 1998 Less Than $499 0% 1990 - 1994 $500 - $749 0% 1980 - 1989 32.73% $750 - $999 2.56% 1970 - 1979 22.97% $1000 and Over 97.44% 1900 - 1969 0.61% Education Enrollment Public Pre-Primary School: 0.73% Not Enrolled in School: 75.43% Private Pre-Primary School: 0% Not A High School Graduate: 8.74% Public School: 21.76% Graduate Of High School: 27.46% Private School: 2.81% Attended Some College: 26.69% Public College: 4.66% College Graduate: 28.04% Private College: 1.33% Graduate Degree: 9.06% Workforce Occupation: Manager/Prof: 42.59% Private Worker: 70.75% Technical: Government Worker: 11.66% Sales: 23.63% Self Employed Worker: 3.24% Administrative: Unpaid Family Worker: 8.07% Private House Hold: Farming: 8.11% Service: 12.25% Skilled: Protective Services: Blue-Collar: 21.53% Commute Time Less Than 15 Min: 24.87% 15 min - 28 min: 24.03% 30 min - 57 min: 46.21% Over 60 min: 4.89% Customer Name : Kariann Keomaka Customer Company Name : First American Title Insurance Company Prepared On : 03/24/2023 © 2023 CoreLogic. All rights reserved

Customer Name : Kariann Keomaka

Customer Company Name : First American Title Insurance Company

Prepared On : 03/24/2023

© 2023 CoreLogic. All rights reserved

Customer Name : Kariann Keomaka

Customer Company Name : First American Title Insurance Company

Prepared On : 03/24/2023

© 2023 CoreLogic. All rights reserved

Customer Name : Kariann Keomaka

Customer Company Name : First American Title Insurance Company

Prepared On : 03/24/2023

© 2023 CoreLogic. All rights reserved

PARCEL:  231-08-184 PARCEL: 231-08-184 2

OWNER: BLACK KEVIN/MARY

SITUS: 17413 N 55TH LN GLENDALE

MAIL: 17413 N 55TH LN

GLENDALE, AZ 85308

PLAT: 166 -   41 LOT    184

LEGAL: CHAPPARAL AMD

SEARCH PARAMETERS

END SEARCH

MARICOPA, AZ 03/24/2023  04:20PM  TCI1  INVESTIGATIVE SEARCH RESULTS PAGE 1 OF 1
+ FIRST AMERICAN TITLE, FC0, KWAL
INSTRUMENT REC DATE
2005 525587 04/22/2005
INFORMATION THROUGH 03/17/2023 LAND IMPR EXEMPT RATE AREA SPECIAL DISTRICTS PRIMARY  13,766  0  0  6.2324  970700  30002  SECONDARY  4,870  19,480  0  4.4702  2022 TOTAL TAX BILLED 1,237.48 2022  TAX AMT TAX DUE INTEREST DATE PAID TOTAL DUE FIRST HALF  618.74  0.00  0.00  10/25/2022  0.00  SECOND HALF  618.74  618.74  0.00  618.74  TOTAL CURRENT TAXES DUE 03/23 618.74 04/23 618.74 (ESTIMATED) RESIDENTIAL IMPROVEMENTS BLDG SQFT  1,647 COOLING  REFRIGERATION YEAR BUILT  1978 EXTERIOR WALLS  PAINTED BLOCK NUMBER OF STORIES  1.0 ROOF  ASPHALT SHINGLE NUMBER OF ROOMS CONSTRUCTION CLASS  R3 NUMBER OF BATH FIXTURES  6 PHYSICAL CONDITION  OTHER PATIO (TYPE AND NUMBER)  COVERED 1 LAND USE  01 31 GARAGE (TYPE AND NUMBER)  GARAGE 2 LOT SIZE  10,520 SQ FT POOL SQ FT  425 SCHOOL DISTRICT  970700 HEATING LAND FULL CASH VALUE  48,700 IMPR FULL CASH VALUE 194,800 SALES SALE DATE SALE AMOUNT INSTRUMENT TYPE SELLER NAME VALIDITY 04/22/2005 221,900    2005 525587 WD BLACK KEVIN/MARY 01/30/1998 108,000    1998 76148 WD CHILDS PHILIP L/BETSY F 09/27/1995 92,000    1995 586667 WD MARTIN RICHARD S 02/10/1978 42,950    1978 102870 WD V H DEV 1 ADDITIONAL PROPERTY INFORMATION STANDARD LAND USE: SFR
CURRENT TAXES

Turn static files into dynamic content formats.

Create a flipbook
Issuu converts static files into: digital portfolios, online yearbooks, online catalogs, digital photo albums and more. Sign up and create your flipbook.