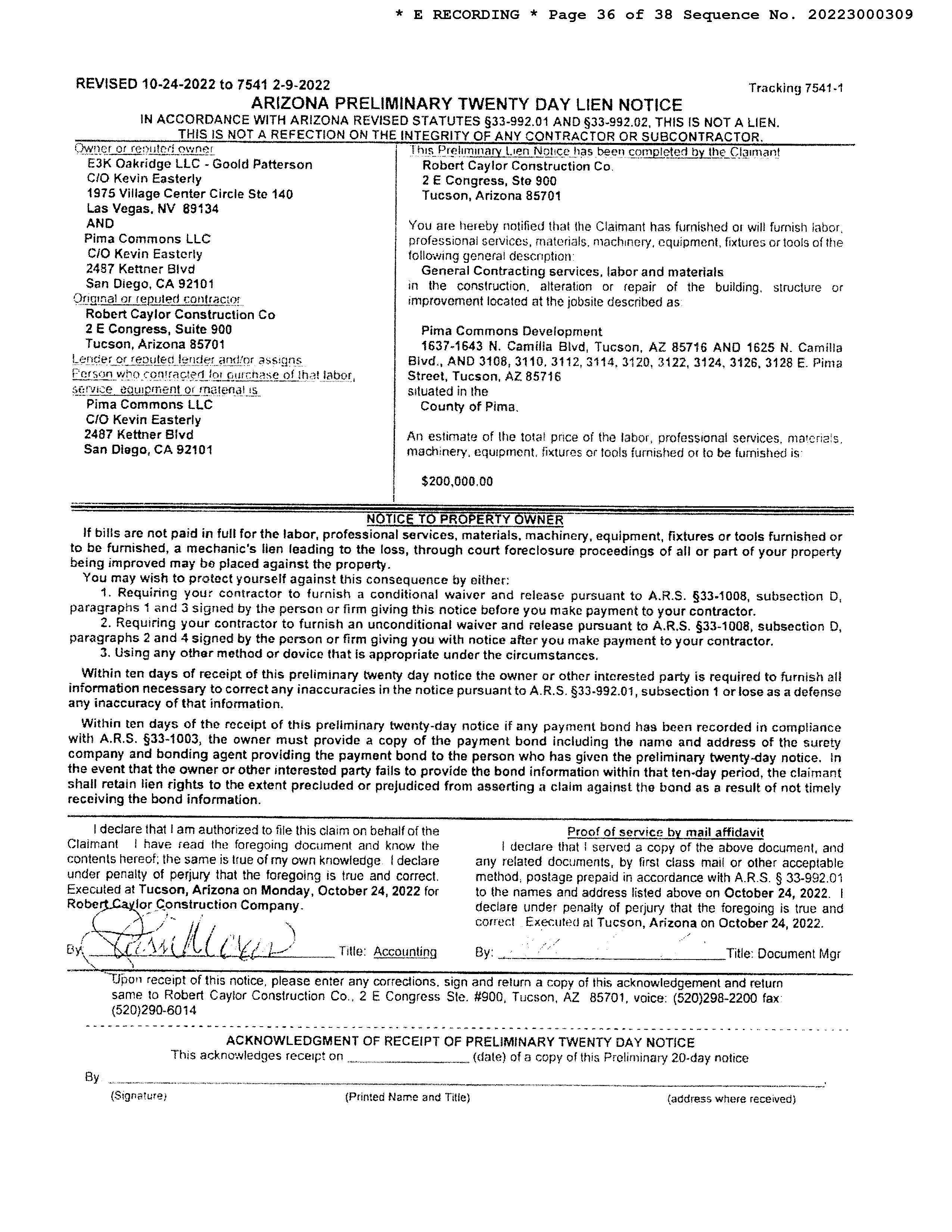
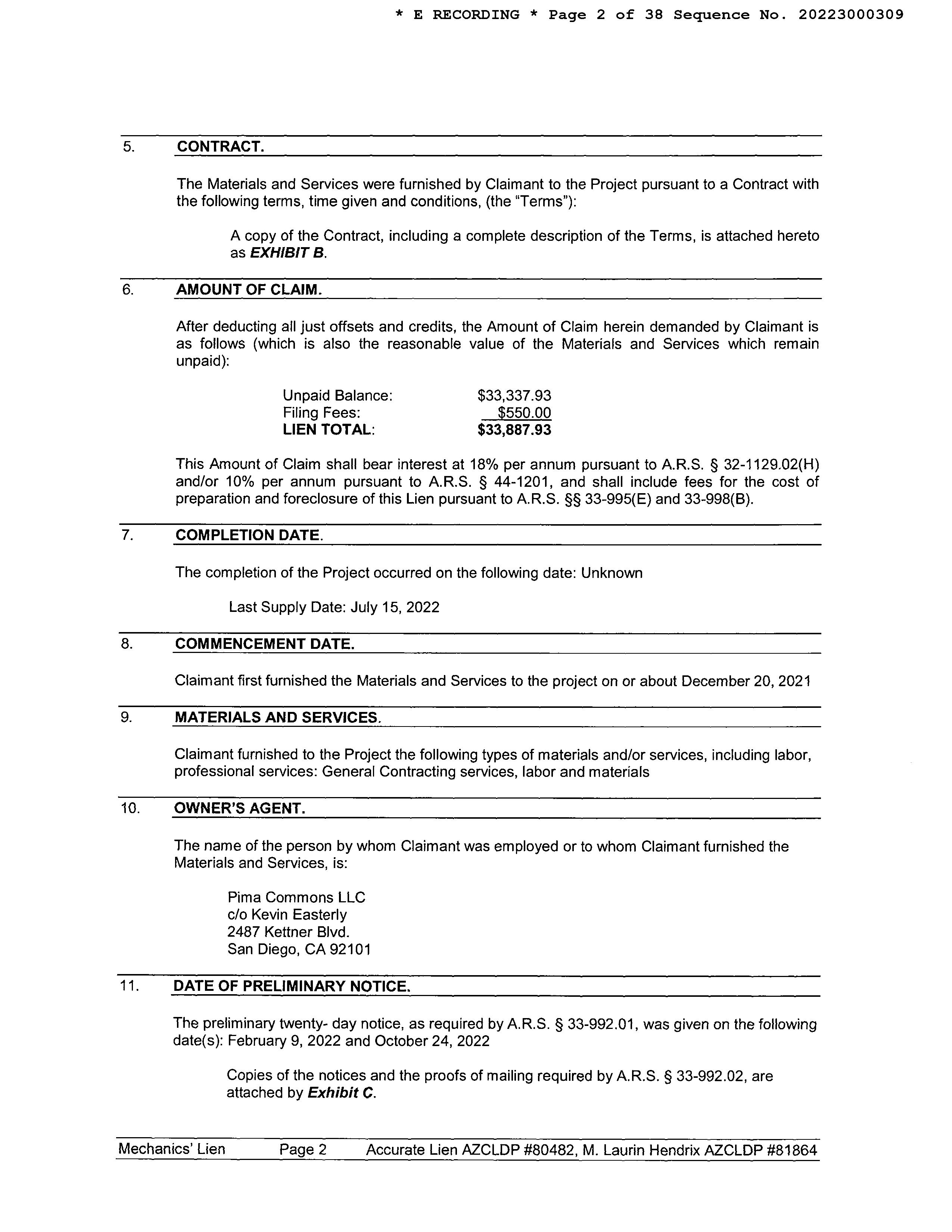
1643 N Camilla Blvd, Tucson, AZ 85716

Page 1

Data Provided By:

First American Title Ins Co

1643 N Camilla Blvd Tucson AZ 85716 APN: 122-17-3950
Subject Property
© 2023 CoreLogic. All rights reserved

LIMITATION OF LIABILITY FOR INFORMATIONAL REPORTS

IMPORTANT -- PLEASE READ CAREFULLY:

This report is not an insured product or service or a representation of the condition of title to real property. It is not an abst ract, legal opinion, opinion of title, title insurance commitment or preliminary report, or any form of Title Insurance or Guaranty. This report is issued exclusively for the benefit of the Applicant therefor and may not be used or relied upon by any other person. This report may not be reproduced in any manner without First American or Title Security's prior written consent. First American or Title Security does not represent or warrant that the information herein is complete or free from error, and the information herein is provided without any warranties of any kind, as-is, and with all faults. As a material part of the consideration given in exchange for the issuance of this report, recipient agrees that First American or Title Security's sole liability for any loss or damage caused by an error or omission due to inaccurate information or negligence in preparing this report shall be limited to the fee charged for the report. Recipient accepts this report with this limitation and agrees that First American or Title Security would not have issued this report but for the limitation of liability described above. First American or Title Security makes no representation or warranty as to the legality or propriety of recipient's use of the information herein.

Disclaimer

This REiSource report is provided "as is" without warranty of any kind, either express or implied, including without limitations any warrantees of merchantability or fitness for a particular purpose. There is no representation of warranty that this information is complete or free from error, and the provider does not assume, and expressly disclaims, any liability to any person or entity for loss or damage caused by errors or omissions in this REiSource report without a title insurance policy.

The information contained in the REiSource report is delivered from your Title Company, who reminds you that you have the right as a consumer to compare fees and serviced levels for Title, Escrow, and all other services associated with property ownership, and to select providers accordingly. Your home is the largest investment you will make in your lifetime and you should demand the very best.

Data Provided By: First American Title Ins Co
© 2023 CoreLogic. All rights reserved

Subject Property :   1643 N Camilla Blvd Tucson AZ 85716

Owner Information

Owner Name : E3k Oakridge Llc

Mailing Address : 2487 Kettner Blvd, San Diego CA 92101-1264 C029

Owner Occupied Indicator : A

Location Information

Legal Description : Jones W80' S75' Lot 9 & N54.16' S129.16' Lots 9 & 10 Blk 13

County : Pima, Az

Census Tract / Block : 18.02 / 3

Township-Range- Sect : 14S-14E-4

Legal Book/Page : 3-111

Legal Lot : 9

Legal Block : 13

Last Market Sale Information

Recording/Sale Date : 02/04/2022 / 02/04/2022

Sale Price : $535,000

Document # : 350354

Title Company : Stewart Title & Tr/tucson

Seller Name : Mbhe Ii Llc

Prior Sale Information

Prior Rec/Sale Date : 10/05/1967

Prior Doc Number : 3093-310

Property Characteristics

Gross Area : 3,015

Living Area : 3,015

Year Built / Eff : 1948 / 1948

# of Stories : 1

Foundation : Concrete

Market Area : 40

APN : 122-17-3950

Subdivision : Jones

Map Reference : 04-14S-14E

School District : Tucson Unified

Munic/Township : Tucson Unified

Deed Type : Special Warranty Deed

Price Per SqFt : $177.45

Prior Deed Type : Deed (reg)

Roof Material : Roll Composition

Construction : Concrete

Exterior wall : Stucco

Porch Type : Open Porch

Heat Type : Wall Furnace Air Cond : Package

Cooling Type : Wall Furnace Floor Cover : Carpet

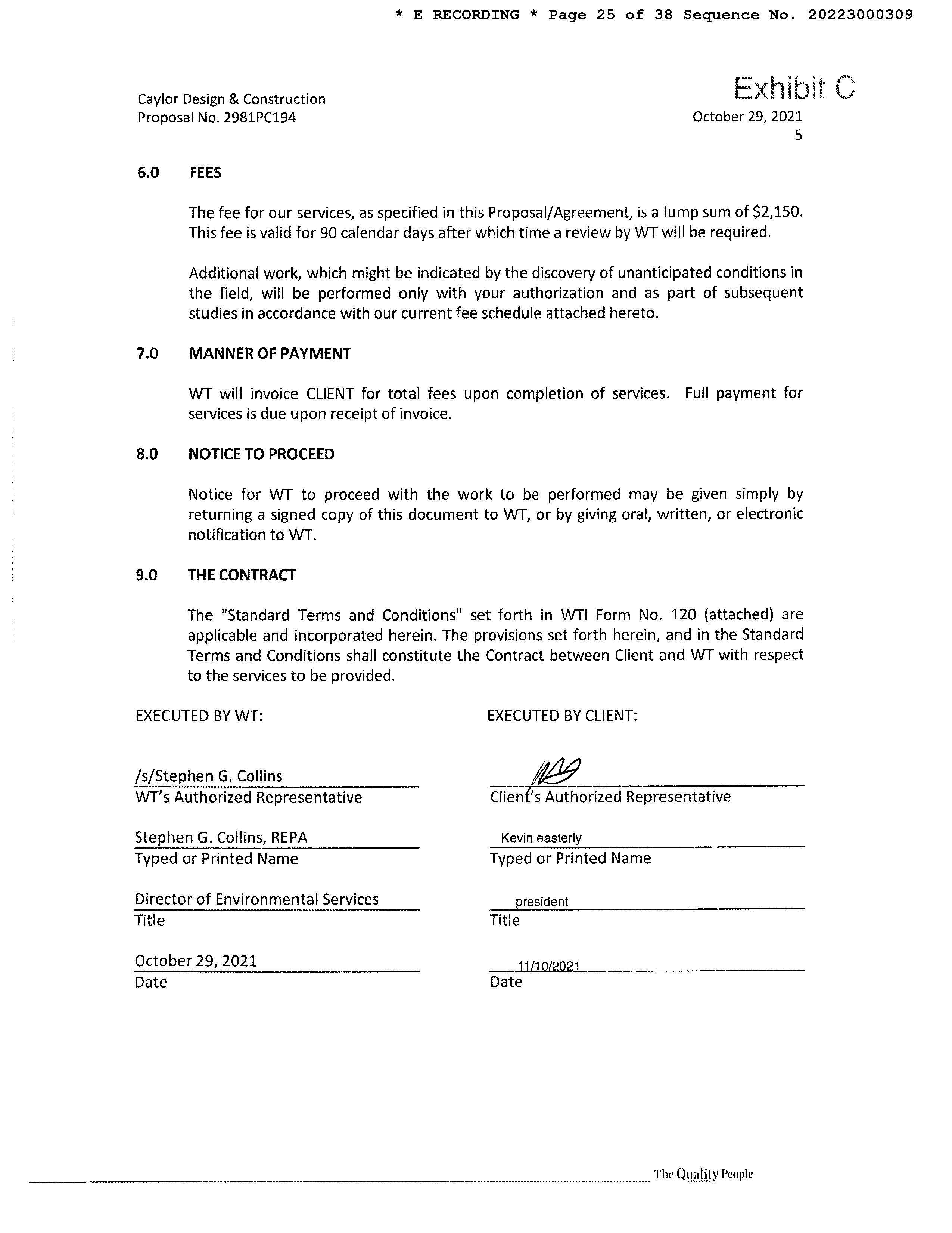
Customer Company Name : First American Prepared On : 04/10/2023

© 2023 CoreLogic. All rights reserved

Customer Name : Jeremiah Stiffler

Property

Customer Company Name : First American Prepared On : 04/10/2023

Information Land Use : Duplex Zoning : R-3 Lot Size : 18,998 County Use : Vac Res-urban Subd Lot Acres : 0.44 State Use : Vac Res-urban Subd
Information Total Value : $66,549 Property Tax : $1,254.22 Current Assessed Year : 2024 Total Taxable Value : $9,005 Tax Rate Area : 0150 Current Year Total Value : $14,250 Assessed Year : 2022 Market Value : $66,549 Current Year Land Value : $14,250 Tax Year : 2022
Tax
Customer Name : Jeremiah Stiffler
© 2023 CoreLogic.
All rights reserved
Criteria Subject Property Low High Average Sale Price $535,000 $270,000 $805,000 $503,000 Bldg/Living Area 3015 2624 3036 2901 Price Per Square Foot $177.45 $103 $272 $171.85 Year Built 1948 1926 2018 1987 Lot Size 18,998 5,280 17,670 10,226 Bedrooms Bathrooms Stories 1 1 2 1 Total Assessed Value $66,549 $215,426 $274,726 $252,058 Distance From Subject 0 0.91 3.06 1.9 Summary of Comparables # Address Sale Price Total Assessed Value Sale Date Bed Bath Living Area Lot Size Year Built Dist (Miles) Zoning S 1643 N Camilla Blvd 535,000 66,549 02/04/2022 3,015 18,998 1948 R-3 1 2518 N Richey Blvd 270,000 215,426 05/31/2022 2,624 17,670 1967 0.91 R-2 2 3136 N Winstel Blvd 465,000 256,890 06/06/2022 2,850 8,550 2006 1.71 R-3 3 1035 N Benton Ave 487,500 256,623 11/04/2022 3,036 9,685 2018 1.91 4 1025 N Benton Ave 487,500 256,623 11/04/2022 3,036 9,943 2018 1.91 C-2 5 345 S 6th Ave 805,000 274,726 06/24/2022 2,959 5,280 1926 3.06 HC-3 Distressed Sales = Customer Name : Jeremiah Stiffler Customer Company Name : First American Prepared On : 04/10/2023 © 2023 CoreLogic. All rights reserved
Sales Analysis

Customer Name : Jeremiah Stiffler

Customer Company Name : First American Prepared On : 04/10/2023

© 2023 CoreLogic. All rights reserved

Map

Customer Name : Jeremiah Stiffler

Customer Company Name : First American Prepared On : 04/10/2023

© 2023 CoreLogic. All rights reserved

Subject Property :   1643 N Camilla Blvd Tucson AZ 85716

Customer Name : Jeremiah Stiffler

Customer Company Name : First American Prepared On : 04/10/2023

© 2023 CoreLogic. All rights reserved

Arizona Schools For detailed information and statistics on Arizona schools please go to https://azreportcards.azed.gov/ First American Title Insurance Company, and the operating divisions thereof, make no express or implied warranty respecting the information presented and assume no responsibility for errors or omissions. First American, the eagle logo, First American Title, and firstam.com are registered trademarks or trademarks of First American Financial Corporation and/or its affiliates. ©2021 First American Financial Corporation and/or its affiliates. All rights reserved. NYSE: FAF 05117910421

PIMA COUNTY

School District Information

This map is provided for general location only. Please contact school districts for actual street boundaries

05249570321 TUCSON INT'L AIRPORT Air Force WSilverbellRd SSantaRitaRd N M t L emmon Hwy ESascoRd NF38 W Avra Valley Rd E Grand Va ey Dr NAguirre R d N L u c k e R d N W e n t z R d N Wa terman Mounta i n R d N Anway Rd W El Tiro Rd N Trico Rd W Tucker Rd W Rudas l Rd W Manvi e Rd SSanJoaquinRd WBopp Rd W Snyder H l Rd S M a r s e a r R d W Park Rd W Hermans Rd W Hermans Rd W Guy St W Bush Rd S G a v e y R d N C a e R i n c o n a d o S W m o R d S Shaw Rd S Sierrita Mountain Rd S K o b R d W TwinButtes Rd W Mcgee Ranch Rd S E s t a n c a D r EDesertDove E Hemlock Dr N Bea r C a n y o n R d W E Camino Del Cerro E Fairmount St S Swan Rd NFrontageRd W Emigh Rd W Fort Lowe Rd N P u m p S t a t ion dR E Nona Rd Ch efButteRd Lo al Ave N Trico Rd S Cattle Tank Rd Evalyn Rd SOwlHead R a n c h Rd GasLineRd S P ec a n R d N T r c o R d W Bayard Rd S S a n d a r o R d W i l l owSpri n gsRd N Dove Mountain Blvd SHelvetiaRd WAnamax Mine Rd W G a c i a R a n hc R d Road424 WRagged Top Rd W Ruby Star Dr WBritten RanchRd W Pima Mine Rd S Mcgee Ranch R d E Edw n Rd SGuildRd 8 0 NKINNEYRD S PICACHO HWY E BAUMGARTNER RD N S A N D A R I O R D N ANWAY RD W VALENCIA RD W MOORE RD W INA RD N 1 S T A V E E SUNRISE DR E SNYDER RD NSILVERBELLRD N S O L D I E R T R L E RIVER RD E PRINCE RD E SPEEDWAY BLVD S FREEMAN RD E 22ND ST E 22ND ST W IRVINGTON RD S N O G A L E S H W Y W VALENCIA RD SMISSIONRD W SPEEDWAY BLVD S O L D S P A N I S H T RL W NARANJA DR W TWIN PEAKS RD W PICTURE ROCKS RD W MANVILLE RD SKINNEYRD W MILE WIDE RD E SAHUARITA RD N TRICO RD S S A N D A R O R D PARK LINK DR S OLD N O G ALES HW Y S H O U G H T O N R D S L A C A N A D A DR W HELMET PEAK RD WAJOHWY N S W A N R D S KOLB RD S HOUGHTON RD W TANGERINE RD E GRANT RD S H O U G H T O N R D 9 5 WAJOHWY E VALENCIA RD NORACLE R D I10 I-19 77 77 77 86 86 286 10 19 10 10 Corona de Tucson Casas Adobes Catalina Green Valley Oracle Picture Rocks Three Points Vail Summit Tanque Verde Tucson Sahuarita Red Rock Saddlebrooke Marana Oro Valley Rillito Summerhaven Willow Canyon Oracle Junction Cortaro Continental Littletown 20 30 13 15 51 39 12 01 01 08 10 16 11 06
SCHOOL DISTRICTS 15 AJO UNIFIED 111 N. Well Road, Ajo, AZ 85321 520.387.5618 51 ALTAR VALLEY ELEMENTARY 10105 S. Sasabe Road, Tucson, AZ 85736 520.822.1484 10 AMPHITHEATER UNIFIED 701 W. Wetmore, Tucson, AZ 85705 520.696.5000 16 CATALINA FOOTHILS UNIFIED 2101 E. River Road, Tucson, AZ 85718 520.209.7500 39 CONTINENTAL ELEMENTARY 1991 E. Whitehouse Canyon, Green Valley, AZ 85614 520.625.4581 08 FLOWING WELLS UNIFIED 1556 W. Prince Road, Tucson, AZ 85705 520.696.8800 06 MARANA UNIFIED 11279 W. Grier Road, Marana, AZ 85653 520.682.3243 11 PIMA COUNTY JTED 2855 W. Master Pieces Dr, Tucson, AZ 85741 520.352.5833 30 SAHUARITA UNIFIED 350 W. Sahuarita Road, Sahuarita, AZ 85629 520.625.3502 12 SUNNYSIDE UNIFIED 2238 E. Ginter Road, Tucson, AZ 85706 520.545.2000 13 TANQUE VERDE UNIFIED 2300 N. Tanque Verde Loop, Tucson, AZ 85749 520.749.5751 01 TUCSON UNIFIED 1010 E. 10th Street, Tucson, AZ 85717 520.225.6000 20 VAIL UNIFIED 10701 E. Mary Ann Cleveland Way, Tucson, AZ 85747 520.879.2000 First American Title Insurance Company, and the operating divisions thereof, make no express or implied warranty respecting the information presented and assume no responsibility for errors or omissions. First American, the eagle logo, First American Title, and firstam.com are registered trademarks or trademarks of First American Financial Corporation and/or its affiliates. ©2021 First American Financial Corporation and/or its affiliates. All rights reserved. NYSE: FAF

Public Schools :

Elementary Schools

Blenman Elementary School Distance 0.14 Miles

1695 N Country Club Rd Tucson AZ 85716

Telephone : (520) 232-6500

Lowest Grade : Pre-K

Kindergarten : Yes

Enrollment : 296

School District : Tucson Unified District (4403)

Highest Grade : 5th

School Enrollment :

Total Expenditure/Student : 200

Sam Hughes Elementary Distance 1.07 Miles

700 N Wilson Ave Tucson AZ 85719

Telephone : (520) 232-7400

Lowest Grade : Pre-K

Kindergarten : Yes

Enrollment : 368

School District : Tucson Unified District (4403)

Highest Grade : 5th

School Enrollment :

Total Expenditure/Student : 200

Cragin Elementary School Distance 1.4 Miles

2945 N Tucson Blvd Tucson AZ 85716

Telephone : (520) 232-6700

Lowest Grade : Pre-K

Kindergarten : Yes

Enrollment : 273

School District : Tucson Unified District (4403)

Highest Grade : 5th

School Enrollment :

Total Expenditure/Student : 200

© 2023 CoreLogic. All rights
Customer Name : Jeremiah Stiffler Customer Company Name : First American Prepared On : 04/10/2023
reserved

John B Wright Elementary School Distance 1.47 Miles

4311 E Linden St Tucson AZ 85712

Telephone : (520) 232-8100

Lowest Grade : Pre-K

Kindergarten : Yes

Enrollment : 496

School District : Tucson Unified District (4403)

Highest Grade : 5th

School Enrollment :

Total Expenditure/Student : 200

Middle Schools

Doolen Middle School Distance 0.62 Miles

2400 N Country Club Rd Tucson AZ 85716

Telephone : (520) 232-6900

Lowest Grade : 6th

Kindergarten : No

Enrollment : 601

School District : Tucson Unified District (4403)

Highest Grade : 8th

School Enrollment :

Total Expenditure/Student : 200

Mansfeld Middle Magnet School Distance 1.89 Miles

1300 E 6th St Tucson AZ 85719

Telephone : (520) 225-1800

Lowest Grade : 6th

Kindergarten : No

Enrollment : 987

Paulo Freire Freedom School - University

300 E. University Blvd. Tucson AZ 85705

Telephone : (520) 624-7552

Lowest Grade : 6th

Kindergarten : No

Enrollment : 78

School District : Tucson Unified District (4403)

Highest Grade : 8th

School Enrollment :

Total Expenditure/Student : 200

Distance 2.54 Miles

School District : City Center For Collaborative Learning (85448)

Highest Grade : 8th

School Enrollment :

Total Expenditure/Student :

2023 CoreLogic. All rights reserved
Customer Name : Jeremiah Stiffler Customer Company Name : First American Prepared On : 04/10/2023
©

Pima Partnership Academy Distance 2.71 Miles

1346 N Stone Ave Tucson AZ 85705

Telephone : (520) 326-2528

Lowest Grade : 6th

Kindergarten : No

School District : Pima Prevention Partnership Dba Pima Partnership A (89864)

Highest Grade : 8th

School Enrollment : Enrollment : 83

Total Expenditure/Student : High Schools

Catalina Online Learning Experience Distance 0.59 Miles

3645 E Pima St Tucson AZ 85716

Telephone : (520) 232-8600

Lowest Grade : 6th

School District : Tucson Unified District (4403)

Highest Grade : 12th

School Enrollment : Enrollment : 269

Total Expenditure/Student : 200 Advanced Placement : No

Pcjted - Catalina High School Distance 0.59 Miles 3645 E Pima St Tucson AZ 85716

Telephone : (520) 232-8400

Lowest Grade : 9th

School District : Pima County Jted (89380)

Highest Grade : 12th

School Enrollment : Enrollment : 0

Total Expenditure/Student : Advanced Placement : No

Catalina High School Distance 0.59 Miles

3645 E Pima St Tucson AZ 85716

Telephone : (520) 232-8400

Lowest Grade : 8th

School District : Tucson Unified District (4403)

Highest Grade : 12th

School Enrollment : Enrollment : 640

Total Expenditure/Student : 200 Advanced Placement : No

Customer
Name : Jeremiah Stiffler Customer Company Name : First American Prepared On : 04/10/2023 © 2023 CoreLogic. All rights reserved
Edge High School - Himmel Park Distance 0.74 Miles 2555 E 1st St # 111 Tucson AZ 85716 Telephone :
School District : Edge School Inc. The (4421) Lowest
Highest
School Enrollment : Enrollment :
Total Expenditure/Student : Advanced Placement : No
(520) 881-1389
Grade : 9th
Grade : 12th
120
© 2023 CoreLogic.
Customer Name : Jeremiah Stiffler Customer Company Name : First American Prepared On : 04/10/2023
All rights reserved
Local Business Attractions / Recreation Name Address Telephone Distance (Miles) Something Something Theatre Company, Llc 3202 E Waverly St Tucson Az (520) 822-8188 0.23 Julie Anne's Jazz, Llc 2915 E Lee St Tucson Az (520) 318-9793 0.25 Filipino/thai Martial Arts 3362 E Linden St Tucson Az (520) 591-1021 0.29 The Rogue Theatre 2811 E Drachman St Tucson Az (520) 326-7354 0.38 Banks / Financial Name Address Telephone Distance (Miles) One Main Financial 3400 E Speedway Blvd # 20 Tucson Az (520) 526-7244 0.53 Odin Skot, Llc. 3459 E Speedway Blvd Tucson Az (520) 390-7564 0.57 Eisenhower Property Llc 1730 N Tucson Blvd Tucson Az (520) 326-8059 0.59 Territorial Brokers, Inc. 2455 E Speedway Blvd Tucson Az (520) 326-4858 0.76 Eating / Drinking Name Address Telephone Distance (Miles) Edgar T Ice 3025 E Helen St Tucson Az (520) 327-3498 0.4 Foodworks Llc 2621 E Elm St Tucson Az (520) 888-8905 0.43 Red Garter Saloon Acc 3143 E Speedway Blvd Tucson Az (520) 325-0483 0.45 Fronimo's Inc 3234 E Speedway Blvd Tucson Az (520) 327-8321 0.47 Health Care Services Name Address Telephone Distance (Miles) The Center For Kids First In Sports Health And Education 2980 E Plcita Santa Lucia Tucson Az (520) 591-1081 0.07 Angela Paniagua-vega Md Pc 3063 E Plcita Santa Lucia Tucson Az (520) 668-6868 0.07 Matthew A Brunson 3226 E Elida St Tucson Az (734) 730-1035 0.07 Duke, L.l.c. 1640 N Country Club Rd Tucson Az (520) 323-9327 0.09 Customer Name : Jeremiah Stiffler Customer Company Name : First American Prepared On : 04/10/2023 © 2023 CoreLogic. All rights reserved
Hospitality Name Address Telephone Distance (Miles) The Arizona Inn Company Ltd 2200 E Elm St Tucson Az (520) 325-1541 0.82 Theacacia.com 2112 E Drachman St Tucson Az (520) 275-3751 0.93 Tucson Bed & Breakfast Llc 2601 N Tucson Blvd Tucson Az (520) 308-8198 0.99 The Sheraton Llc 1900 E Speedway Blvd Tucson Az (919) 620-4555 1.17 Organizations / Associations Name Address Telephone Distance (Miles) The Weslian Church 1900 N Country Club Rd Tucson Az (520) 269-7005 0.22 Christian Fellowship Ministries - Tucson 1126 N Jones Blvd Tucson Az (520) 981-6189 0.5 Christian Fellowship Ministries 3401 E Speedway Blvd Tucson Az (520) 870-1816 0.53 Book Of Life Community Church 2151 N Palo Verde Blvd Tucson Az (520) 327-6233 0.56 Personal Services Name Address Telephone Distance (Miles) Jabz Boxing Tucson 3400 E Speedway Blvd Tucson Az (480) 719-0475 0.53 Centerline Movement, Llc 1600 N Tucson Blvd # 100 Tucson Az (520) 327-2372 0.59 Orangetheory Fitness 2501 E Grant Rd Tucson Az (520) 300-9585 0.79 Levity Wellness Llc 2272 E Speedway Blvd Tucson Az (203) 592-7742 0.91 Shopping Name Address Telephone Distance (Miles) Halla Nursery Orchids Llc 3346 E Lester St Tucson Az (520) 320-0271 0.24 Circle K Stores Inc. 2226 N Country Club Rd Tucson Az (520) 326-3353 0.43 Cataline Market Llc 2226 N Country Club Rd Tucson Az (520) 326-3353 0.43 Desert Vista Hardware, Inc. 2221 N Country Club Rd Tucson Az (520) 326-4323 0.43 Customer Name
Stiffler Customer Company Name : First American Prepared On : 04/10/2023 © 2023 CoreLogic. All rights reserved
: Jeremiah

3124 E PIMA ST Distance 0.03 Miles

Owner Name : Pima Commons Llc

Sale Date : 02/04/2022

Total Value : $354,442

Recording Date : 02/04/2022

Sale Price  : $1,767,500

Property Tax : $3,283.80

Land Use : Apartment Lot Acres : 0.71

Stories : 1

Yr Blt / Eff Yr Blt : 1952 / 1952

Subdivision  : Jones Add

Living Area : 3,473

APN : 122-17-3940

3143 E PIMA ST Distance 0.06 Miles

Owner Name : Leon Mercedes M Subdivision : Palo Verde Resub

Sale Date : 12/29/2020

Total Value : $150,366

Bed / Bath : / 1

Land Use : Sfr

Stories : 1

Yr Blt / Eff Yr Blt : 1947 /

Recording Date : 12/30/2020

Sale Price  : $265,000

Property Tax : $2,065.50

Lot Acres : 0.19

Living Area : 1,190

APN : 122-15-1320

3137 E PIMA ST Distance 0.06 Miles

Owner Name : Eshelman Andrew S Subdivision : Palo Verde Resub

Sale Date : 03/24/2014

Total Value : $156,108

Bed / Bath : / 1

Land Use : Sfr

Stories : 1

Recording Date : 03/31/2014

Sale Price  : $150,000

Property Tax : $1,899.16

Lot Acres : 0.19

Living Area : 1,192

Yr Blt / Eff Yr Blt : 1947 / APN : 122-15-1310

3147 E PIMA ST Distance 0.06 Miles

Owner Name : Meeks Amanda M

Sale Date : 09/12/2019

Total Value : $214,756

Bed / Bath : / 2

Land Use : Sfr

Stories : 1

Subdivision : Palo Verde Resub

Recording Date : 09/17/2019

Sale Price  : $225,000

Property Tax : $2,270.73

Lot Acres : 0.23

Living Area : 1,635

Yr Blt / Eff Yr Blt : 1941 / APN : 122-15-1330

Customer Name : Jeremiah Stiffler

Customer Company Name : First American Prepared On : 04/10/2023

© 2023 CoreLogic. All rights reserved

3133 E PIMA ST Distance 0.06 Miles

Owner Name : Camp Margaret Subdivision : Palo Verde Resub

Sale Date : 07/20/2000

Total Value : $156,485

Bed / Bath : / 1

Recording Date : 07/25/2000

Sale Price  : $102,500

Property Tax : $1,895.26

Land Use : Sfr Lot Acres : 0.19

Stories : 1

Living Area : 1,217

Yr Blt / Eff Yr Blt : 1947 / APN : 122-15-1300

3129 E PIMA ST Distance 0.07 Miles

Owner Name : Pritchard Andrew H Subdivision : Palo Verde Resub

Sale Date : 09/01/2017

Total Value : $151,451

Recording Date : 09/06/2017

Sale Price  : $155,000

Bed / Bath : / 1 Property Tax : $1,805.18

Land Use : Sfr

Stories : 1

Lot Acres : 0.19

Living Area : 1,148

Yr Blt / Eff Yr Blt : 1947 / APN : 122-15-1290

3125 E PIMA ST Distance 0.07 Miles

Owner Name : Casey W Smith Llc Subdivision : Palo Verde Resub

Sale Date : 02/28/2022

Total Value : $170,565

Bed / Bath : / 1

Land Use : Sfr

Stories : 1

Recording Date : 03/04/2022

Sale Price  : $280,000

Property Tax : $2,375.71

Lot Acres : 0.17

Living Area : 1,299

Yr Blt / Eff Yr Blt : 1941 / APN : 122-15-127A

3201 E PIMA ST Distance 0.07 Miles

Owner Name : Pique Michele G

Sale Date : 01/31/2017

Total Value : $205,730

Bed / Bath : / 3

Land Use : Sfr

Stories : 1

Subdivision : Palo Verde Resub

Recording Date : 02/09/2017

Sale Price  : $235,000

Property Tax : $2,509.11

Lot Acres : 0.20

Living Area : 1,446

Yr Blt / Eff Yr Blt : 1947 / APN : 122-15-1340

Customer Name : Jeremiah Stiffler

Customer Company Name : First American Prepared On : 04/10/2023

© 2023 CoreLogic. All rights reserved

Owner Name : Bowles Kathleen

Sale Date : 12/00/2003

Total Value : $174,172

Bed / Bath : / 1

Land Use : Sfr

Stories : 1

Distance 0.08 Miles

Subdivision : Palo Verde Resub

Recording Date : 12/10/2003

Sale Price  : $148,500

Property Tax : $2,097.01

Lot Acres : 0.20

Living Area : 1,439

Yr Blt / Eff Yr Blt : 1946 / APN : 122-15-1350

Customer Name : Jeremiah Stiffler

Customer Company Name : First American Prepared On : 04/10/2023

© 2023 CoreLogic. All rights reserved

3207 E PIMA ST
Census Tract / block: 18.02 / 3     Year: 2018 Household Population Population by Age Count: 2,355 0 - 11 Estimate Current Year: 2,281 12 - 17 Estimate in 5 Years: 2,009 18 - 24 18.98% Growth Last 5 Years: -8.75% 25 - 64 53.33% Growth Last 10 Years: -124.92% 65 - 74 5.56% 75+ Household Size Household Income Current Year: 1,252 0 - $25,000 42.01% Average Current Year: 1.81 $25,000 - $35,000 12.94% Estimate in 5 Years: 1,134 $35,000 - $50,000 17.89% Growth Last 5 Years: -2.4% $50,000 - $75,000 11.5% Growth Last 10 Years: -19.58% $75,000 - $100,000 9.42% Male Population: 52.78% Above $100,000 6.23% Female Population: 47.22% Average Household Income: $32,540 Married People: 27.84% Unmarried People: 72.16% Housing Median Mortgage Payments Home Values Under $300: 0% Below $100,000: 5.28% $300 - $799: 47.51% $100,000 - $150,000: 22.29% $800 - $1,999: 49.85% $150,000 - $200,000: 34.02% Over $2,000: 2.64% $200,000 - $300,000: 32.26% Median Home Value: $185,000 $300,000 - $500,000: 6.16% Unit Occupied Owner: 27.24% Above $500,000: 0% Median Mortgage: $855
©
CoreLogic.
Customer Name : Jeremiah Stiffler Customer Company Name : First American Prepared On : 04/10/2023
2023
All rights reserved
Rent Payments Year Built Unit Occupied Renter: 72.76% 1999 - 2000 Median Gross Rent: $752 1995 - 1998 Less Than $499 11.29% 1990 - 1994 $500 - $749 38.18% 1980 - 1989 4.56% $750 - $999 31.43% 1970 - 1979 13.23% $1000 and Over 19.09% 1900 - 1969 68.98% Education Enrollment Public Pre-Primary School: 1.18% Not Enrolled in School: 64.22% Private Pre-Primary School: 0% Not A High School Graduate: 9.46% Public School: 30.76% Graduate Of High School: 8.81% Private School: 5.02% Attended Some College: 25.33% Public College: 23.37% College Graduate: 37.47% Private College: 2.01% Graduate Degree: 18.93% Workforce Occupation: Manager/Prof: 40.39% Private Worker: 68.22% Technical: Government Worker: 19.15% Sales: 25.66% Self Employed Worker: 1.4% Administrative: Unpaid Family Worker: 7.05% Private House Hold: Farming: 4.57% Service: 22.4% Skilled: Protective Services: Blue-Collar: 11.55% Commute Time Less Than 15 Min: 24.82% 15 min - 28 min: 56.25% 30 min - 57 min: 18.07% Over 60 min: 0.86% Customer Name : Jeremiah Stiffler Customer Company Name : First American Prepared On : 04/10/2023 © 2023 CoreLogic. All rights reserved

Customer Name : Jeremiah Stiffler

Customer Company Name : First American Prepared On : 04/10/2023

© 2023 CoreLogic. All rights reserved

Customer Name : Jeremiah Stiffler

Customer Company Name : First American Prepared On : 04/10/2023

© 2023 CoreLogic. All rights reserved

Customer Name : Jeremiah Stiffler

Customer Company Name : First American Prepared On : 04/10/2023

© 2023 CoreLogic. All rights reserved

SEARCH PARAMETERS

PARCEL:  122-17-3950

PARCEL: 122-17-3950

OWNER: E3K OAKRIDGE LLC

SITUS: 1643 N CAMILLA BL TUC

MAIL: 2487 KETTNER BLVD

PLAT: LOT 00009 BLOCK 013

LEGAL: JONES W80' S75' LOT 9 & N54.16' S129.16' LOTS 9 & 10 BLK 13

END SEARCH

04/10/2023  11:39AM  R9C8  INVESTIGATIVE SEARCH RESULTS PAGE 1 OF 1
+ FIRST AMERICAN TITLE, FC0, JSTI PIMA, AZ
INSTRUMENT REC DATE
AFFIDAVIT    2022 354 02/04/2022
CURRENT TAXES INFORMATION THROUGH 01/28/2023 LAND IMPR EXEMPT RATE AREA SPECIAL DISTRICTS PRIMARY  9,005  0  0  11.1537  0150 SECONDARY  8,850  1,132  0  2.7742  2022 TOTAL TAX BILLED 1,254.22 2022  TAX AMT TAX DUE INTEREST DATE PAID TOTAL DUE FIRST HALF  627.11  0.00  0.00  10/19/2022  0.00  SECOND HALF  627.11  627.11  0.00  627.11  TOTAL CURRENT TAXES DUE 04/23 627.11 05/23 635.47 (ESTIMATED) IMPROVEMENTS PHYSICAL CONDITION   AVERAGE BLDG SQFT  3,015 FULL CASH VALUE  66,549 YEAR BUILT  1948 LAND USE  09 10 NUMBER OF STORIES  1.0 LOT SIZE  18,998 SQ FT STORIES HEIGHT  0 SCHOOL DISTRICT  0150 EXTERIOR WALLS  OTHER LAND FULL CASH VALUE  59,000 GRADE MATERIALS IMPR FULL CASH VALUE  7,549 SALES SALE DATE SALE AMOUNT INSTRUMENT TYPE SELLER NAME VALIDITY 02/04/2022 535,000    2022 354 SW MBHE II LLC M
ADDITIONAL PROPERTY INFORMATION STANDARD LAND USE: RESIDENTIAL (NEC)
Page 1 of 4 04/10/2023 11:47 AM
Page 2 of 4 04/10/2023 11:47 AM
Page 3 of 4 04/10/2023 11:47 AM
Page 4 of 4 04/10/2023 11:47 AM
Page 1 of 3 04/10/2023 11:47 AM
Page 2 of 3 04/10/2023 11:47 AM
Page 3 of 3 04/10/2023 11:47 AM
Page 1 of 9 04/10/2023 11:47 AM
Page 2 of 9 04/10/2023 11:47 AM
Page 3 of 9 04/10/2023 11:47 AM
Page 4 of 9 04/10/2023 11:47 AM
Page 5 of 9 04/10/2023 11:47 AM
Page 6 of 9 04/10/2023 11:47 AM
Page 7 of 9 04/10/2023 11:47 AM
Page 8 of 9 04/10/2023 11:47 AM
Page 9 of 9 04/10/2023 11:47 AM
Page 1 of 3 04/10/2023 11:47 AM
Page 2 of 3 04/10/2023 11:47 AM
Page 3 of 3 04/10/2023 11:47 AM
Page 1 of 38 04/10/2023 11:47 AM
Page 2 of 38 04/10/2023 11:47 AM
Page 3 of 38 04/10/2023 11:47 AM
Page 4 of 38 04/10/2023 11:47 AM
Page 5 of 38 04/10/2023 11:47 AM
Page 6 of 38 04/10/2023 11:47 AM
Page 7 of 38 04/10/2023 11:47 AM
Page 8 of 38 04/10/2023 11:47 AM
Page 9 of 38 04/10/2023 11:47 AM
Page 10 of 38 04/10/2023 11:47 AM
Page 11 of 38 04/10/2023 11:47 AM
Page 12 of 38 04/10/2023 11:47 AM
Page 13 of 38 04/10/2023 11:47 AM
Page 14 of 38 04/10/2023 11:47 AM
Page 15 of 38 04/10/2023 11:47 AM
Page 16 of 38 04/10/2023 11:47 AM
Page 17 of 38 04/10/2023 11:47 AM
Page 18 of 38 04/10/2023 11:47 AM
Page 19 of 38 04/10/2023 11:47 AM
Page 20 of 38 04/10/2023 11:47 AM
Page 21 of 38 04/10/2023 11:47 AM
Page 22 of 38 04/10/2023 11:47 AM
Page 23 of 38 04/10/2023 11:47 AM
Page 24 of 38 04/10/2023 11:47 AM
Page 25 of 38 04/10/2023 11:47 AM
Page 26 of 38 04/10/2023 11:47 AM
Page 27 of 38 04/10/2023 11:47 AM
Page 28 of 38 04/10/2023 11:47 AM
Page 29 of 38 04/10/2023 11:47 AM
Page 30 of 38 04/10/2023 11:47 AM
Page 31 of 38 04/10/2023 11:47 AM
Page 32 of 38 04/10/2023 11:47 AM
Page 33 of 38 04/10/2023 11:47 AM
Page 34 of 38 04/10/2023 11:47 AM
Page 35 of 38 04/10/2023 11:47 AM
Page 36 of 38 04/10/2023 11:47 AM
Page 37 of 38 04/10/2023 11:47 AM
Page 38 of 38 04/10/2023 11:47 AM

Turn static files into dynamic content formats.

Create a flipbook
Issuu converts static files into: digital portfolios, online yearbooks, online catalogs, digital photo albums and more. Sign up and create your flipbook.