14374 N Whitehorn Pl

Page 1

©2021 First American Financial Corporation and/or its affiliates. All rights reserved. NYSE: FAF 05252610821 COVENANTS, CONDITIONS & RESTRICTIONS PREPARED FOR : First American Title Insurance Company, and the operating divisions thereof, make no express or implied warranty respecting the information presented and assume no responsibility for errors or omissions. First American, the eagle logo, First American Title, and firstam.com are registered trademarks or trademarks of First American Financial Corporation and/or its affiliates. 14374 North Whitehorn Place Marana, AZ 85658

LIMITATION OF LIABILITY FOR INFORMATIONAL REPORTS

IMPORTANT -- PLEASE READ CAREFULLY:

This report is not an insured product or service or a representation of the condition of title to real property. It is not an abst ract, legal opinion, opinion of title, title insurance commitment or preliminary report, or any form of Title Insurance or Guaranty. This report is issued exclusively for the benefit of the Applicant therefor and may not be used or relied upon by any other person. This report may not be reproduced in any manner without First American or Title Security's prior written consent. First American or Title Security does not represent or warrant that the information herein is complete or free from error, and the information herein is provided without any warranties of any kind, as-is, and with all faults. As a material part of the consideration given in exchange for the issuance of this report, recipient agrees that First American or Title Security's sole liability for any loss or damage caused by an error or omission due to inaccurate information or negligence in preparing this report shall be limited to the fee charged for the report. Recipient accepts this report with this limitation and agrees that First American or Title Security would not have issued this report but for the limitation of liability described above. First American or Title Security makes no representation or warranty as to the legality or propriety of recipient's use of the information herein.

Description: Pima,AZ Document - Year.Day.DocID 2013.291.78 Page: 1 of 8 Order: 2 Comment:
Description: Pima,AZ Document - Year.Day.DocID 2013.291.78 Page: 2 of 8 Order: 2 Comment:
Description: Pima,AZ Document - Year.Day.DocID 2013.291.78 Page: 3 of 8 Order: 2 Comment:
Description: Pima,AZ Document - Year.Day.DocID 2013.291.78 Page: 4 of 8 Order: 2 Comment:
Description: Pima,AZ Document - Year.Day.DocID 2013.291.78 Page: 5 of 8 Order: 2 Comment:
Description: Pima,AZ Document - Year.Day.DocID 2013.291.78 Page: 6 of 8 Order: 2 Comment:
Description: Pima,AZ Document - Year.Day.DocID 2013.291.78 Page: 7 of 8 Order: 2 Comment:
Description: Pima,AZ Document - Year.Day.DocID 2013.291.78 Page: 8 of 8 Order: 2 Comment:
Branch:FC0,User:LMRAComment:StationId:RL13 PIMA,AZPage1of4Printedon3/7/202312:34:04PM Document:RES2013.291.0093
Branch:FC0,User:LMRAComment:StationId:RL13 PIMA,AZPage2of4Printedon3/7/202312:34:04PM Document:RES2013.291.0093
Branch:FC0,User:LMRAComment:StationId:RL13 PIMA,AZPage3of4Printedon3/7/202312:34:04PM Document:RES2013.291.0093
Branch:FC0,User:LMRAComment:StationId:RL13 PIMA,AZPage4of4Printedon3/7/202312:34:05PM Document:RES2013.291.0093
Branch:FC0,User:LMRAComment:StationId:RL13 PIMA,AZPage1of6Printedon3/7/202312:34:05PM Document:RES2013.291.0094
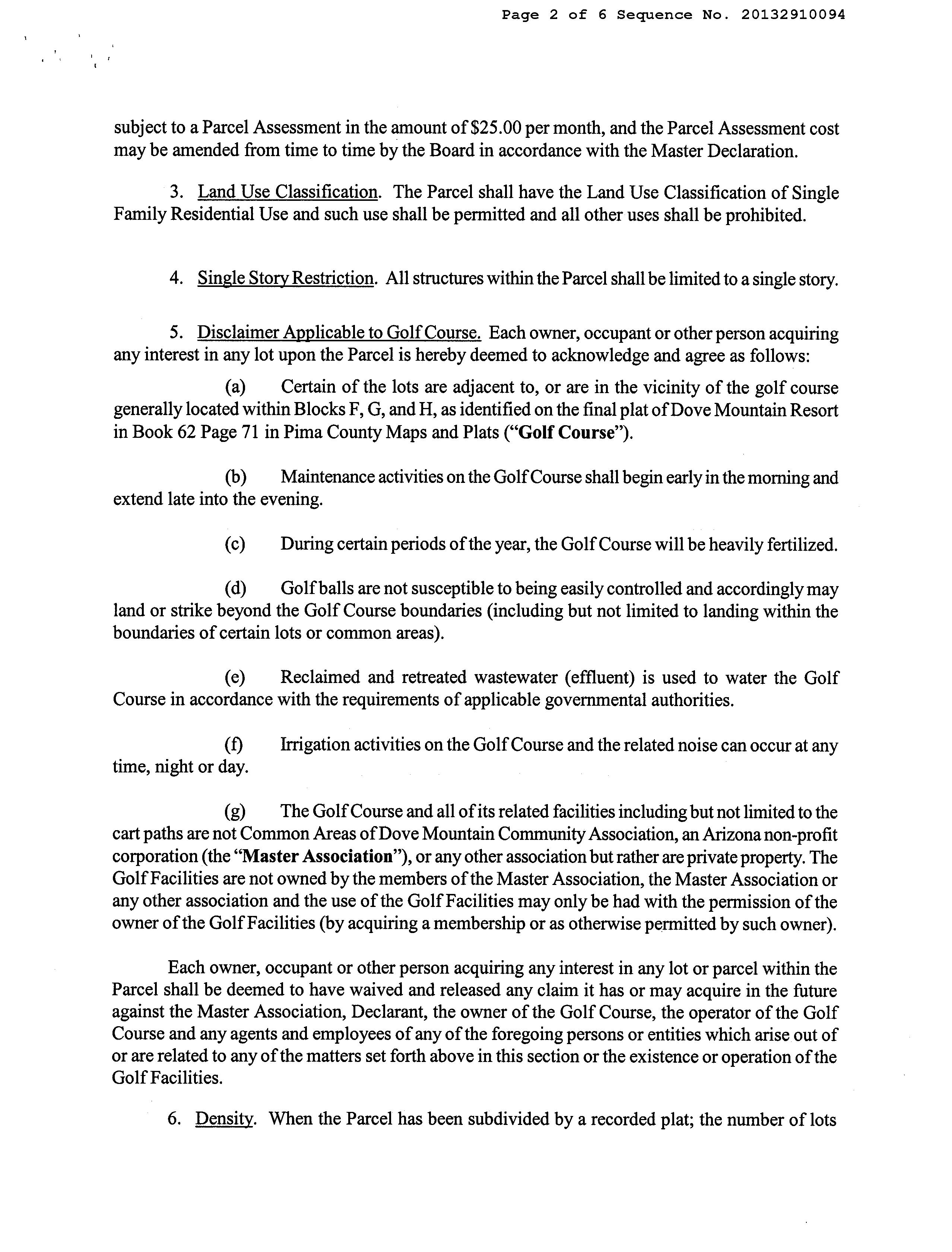
Branch:FC0,User:LMRAComment:StationId:RL13 PIMA,AZPage2of6Printedon3/7/202312:34:05PM Document:RES2013.291.0094
Branch:FC0,User:LMRAComment:StationId:RL13 PIMA,AZPage3of6Printedon3/7/202312:34:05PM Document:RES2013.291.0094
Branch:FC0,User:LMRAComment:StationId:RL13 PIMA,AZPage4of6Printedon3/7/202312:34:05PM Document:RES2013.291.0094
Branch:FC0,User:LMRAComment:StationId:RL13 PIMA,AZPage5of6Printedon3/7/202312:34:05PM Document:RES2013.291.0094
Branch:FC0,User:LMRAComment:StationId:RL13 PIMA,AZPage6of6Printedon3/7/202312:34:06PM Document:RES2013.291.0094
Branch:FC0,User:LMRAComment:StationId:RL13 PIMA,AZPage1of7Printedon3/7/202312:34:06PM Document:RES2014.184.0120
Branch:FC0,User:LMRAComment:StationId:RL13 PIMA,AZPage2of7Printedon3/7/202312:34:06PM Document:RES2014.184.0120
Branch:FC0,User:LMRAComment:StationId:RL13 PIMA,AZPage3of7Printedon3/7/202312:34:06PM Document:RES2014.184.0120
Branch:FC0,User:LMRAComment:StationId:RL13 PIMA,AZPage4of7Printedon3/7/202312:34:06PM Document:RES2014.184.0120
Branch:FC0,User:LMRAComment:StationId:RL13 PIMA,AZPage5of7Printedon3/7/202312:34:06PM Document:RES2014.184.0120
Branch:FC0,User:LMRAComment:StationId:RL13 PIMA,AZPage6of7Printedon3/7/202312:34:07PM Document:RES2014.184.0120
Branch:FC0,User:LMRAComment:StationId:RL13 PIMA,AZPage7of7Printedon3/7/202312:34:07PM Document:RES2014.184.0120
Page 1 of 4 10/17/2014 9:37 AM
Page 2 of 4 10/17/2014 9:37 AM
Page 3 of 4 10/17/2014 9:37 AM
Page 4 of 4 10/17/2014 9:37 AM
Page 1 of 91 10/17/2014 9:18 AM
Page 2 of 91 10/17/2014 9:18 AM
Page 3 of 91 10/17/2014 9:18 AM
Page 4 of 91 10/17/2014 9:18 AM
Page 5 of 91 10/17/2014 9:18 AM
Page 6 of 91 10/17/2014 9:18 AM
Page 7 of 91 10/17/2014 9:18 AM
Page 8 of 91 10/17/2014 9:18 AM
Page 9 of 91 10/17/2014 9:18 AM
Page 10 of 91 10/17/2014 9:18 AM
Page 11 of 91 10/17/2014 9:18 AM
Page 12 of 91 10/17/2014 9:18 AM
Page 13 of 91 10/17/2014 9:18 AM
Page 14 of 91 10/17/2014 9:18 AM
Page 15 of 91 10/17/2014 9:18 AM
Page 16 of 91 10/17/2014 9:18 AM
Page 17 of 91 10/17/2014 9:18 AM
Page 18 of 91 10/17/2014 9:18 AM
Page 19 of 91 10/17/2014 9:18 AM
Page 20 of 91 10/17/2014 9:18 AM
Page 21 of 91 10/17/2014 9:18 AM
Page 22 of 91 10/17/2014 9:18 AM
Page 23 of 91 10/17/2014 9:18 AM
Page 24 of 91 10/17/2014 9:18 AM
Page 25 of 91 10/17/2014 9:18 AM
Page 26 of 91 10/17/2014 9:18 AM
Page 27 of 91 10/17/2014 9:18 AM
Page 28 of 91 10/17/2014 9:18 AM
Page 29 of 91 10/17/2014 9:18 AM
Page 30 of 91 10/17/2014 9:18 AM
Page 31 of 91 10/17/2014 9:18 AM
Page 32 of 91 10/17/2014 9:18 AM
Page 33 of 91 10/17/2014 9:18 AM
Page 34 of 91 10/17/2014 9:18 AM
Page 35 of 91 10/17/2014 9:18 AM
Page 36 of 91 10/17/2014 9:18 AM
Page 37 of 91 10/17/2014 9:18 AM
Page 38 of 91 10/17/2014 9:18 AM
Page 39 of 91 10/17/2014 9:18 AM
Page 40 of 91 10/17/2014 9:18 AM
Page 41 of 91 10/17/2014 9:18 AM
Page 42 of 91 10/17/2014 9:18 AM
Page 43 of 91 10/17/2014 9:18 AM
Page 44 of 91 10/17/2014 9:18 AM
Page 45 of 91 10/17/2014 9:18 AM
Page 46 of 91 10/17/2014 9:18 AM
Page 47 of 91 10/17/2014 9:18 AM
Page 48 of 91 10/17/2014 9:18 AM
Page 49 of 91 10/17/2014 9:18 AM
Page 50 of 91 10/17/2014 9:18 AM
Page 51 of 91 10/17/2014 9:18 AM
Page 52 of 91 10/17/2014 9:18 AM
Page 53 of 91 10/17/2014 9:18 AM
Page 54 of 91 10/17/2014 9:18 AM
Page 55 of 91 10/17/2014 9:18 AM
Page 56 of 91 10/17/2014 9:18 AM
Page 57 of 91 10/17/2014 9:18 AM
Page 58 of 91 10/17/2014 9:18 AM
Page 59 of 91 10/17/2014 9:18 AM
Page 60 of 91 10/17/2014 9:18 AM
Page 61 of 91 10/17/2014 9:18 AM
Page 62 of 91 10/17/2014 9:18 AM
Page 63 of 91 10/17/2014 9:18 AM
Page 64 of 91 10/17/2014 9:18 AM
Page 65 of 91 10/17/2014 9:18 AM
Page 66 of 91 10/17/2014 9:18 AM
Page 67 of 91 10/17/2014 9:18 AM
Page 68 of 91 10/17/2014 9:18 AM
Page 69 of 91 10/17/2014 9:18 AM
Page 70 of 91 10/17/2014 9:18 AM
Page 71 of 91 10/17/2014 9:18 AM
Page 72 of 91 10/17/2014 9:18 AM
Page 73 of 91 10/17/2014 9:18 AM
Page 74 of 91 10/17/2014 9:18 AM
Page 75 of 91 10/17/2014 9:18 AM
Page 76 of 91 10/17/2014 9:18 AM
Page 77 of 91 10/17/2014 9:18 AM
Page 78 of 91 10/17/2014 9:18 AM
Page 79 of 91 10/17/2014 9:18 AM
Page 80 of 91 10/17/2014 9:18 AM
Page 81 of 91 10/17/2014 9:18 AM
Page 82 of 91 10/17/2014 9:18 AM
Page 83 of 91 10/17/2014 9:18 AM
Page 84 of 91 10/17/2014 9:18 AM
Page 85 of 91 10/17/2014 9:18 AM
Page 86 of 91 10/17/2014 9:18 AM
Page 87 of 91 10/17/2014 9:18 AM
Page 88 of 91 10/17/2014 9:18 AM
Page 89 of 91 10/17/2014 9:18 AM
Page 90 of 91 10/17/2014 9:18 AM
Page 91 of 91 10/17/2014 9:18 AM
Page 1 of 18 10/17/2014 9:27 AM
Page 2 of 18 10/17/2014 9:27 AM
Page 3 of 18 10/17/2014 9:27 AM
Page 4 of 18 10/17/2014 9:27 AM
Page 5 of 18 10/17/2014 9:27 AM
Page 6 of 18 10/17/2014 9:27 AM
Page 7 of 18 10/17/2014 9:27 AM
Page 8 of 18 10/17/2014 9:27 AM
Page 9 of 18 10/17/2014 9:27 AM
Page 10 of 18 10/17/2014 9:27 AM
Page 11 of 18 10/17/2014 9:27 AM
Page 12 of 18 10/17/2014 9:27 AM
Page 13 of 18 10/17/2014 9:27 AM
Page 14 of 18 10/17/2014 9:27 AM
Page 15 of 18 10/17/2014 9:27 AM
Page 16 of 18 10/17/2014 9:27 AM
Page 17 of 18 10/17/2014 9:27 AM
Page 18 of 18 10/17/2014 9:27 AM
Page 1 of 9 10/17/2014 9:26 AM
Page 2 of 9 10/17/2014 9:26 AM
Page 3 of 9 10/17/2014 9:26 AM
Page 4 of 9 10/17/2014 9:26 AM
Page 5 of 9 10/17/2014 9:26 AM
Page 6 of 9 10/17/2014 9:26 AM
Page 7 of 9 10/17/2014 9:26 AM
Page 8 of 9 10/17/2014 9:26 AM
Page 9 of 9 10/17/2014 9:26 AM
Page 1 of 6 10/17/2014 9:39 AM
Page 2 of 6 10/17/2014 9:39 AM
Page 3 of 6 10/17/2014 9:39 AM
Page 4 of 6 10/17/2014 9:39 AM
Page 5 of 6 10/17/2014 9:39 AM
Page 6 of 6 10/17/2014 9:39 AM
Page 1 of 87 10/17/2014 8:29 AM
Page 2 of 87 10/17/2014 8:29 AM
Page 3 of 87 10/17/2014 8:29 AM
Page 4 of 87 10/17/2014 8:29 AM
Page 5 of 87 10/17/2014 8:29 AM
Page 6 of 87 10/17/2014 8:29 AM
Page 7 of 87 10/17/2014 8:29 AM
Page 8 of 87 10/17/2014 8:29 AM
Page 9 of 87 10/17/2014 8:29 AM
Page 10 of 87 10/17/2014 8:29 AM
Page 11 of 87 10/17/2014 8:29 AM
Page 12 of 87 10/17/2014 8:29 AM
Page 13 of 87 10/17/2014 8:29 AM
Page 14 of 87 10/17/2014 8:29 AM
Page 15 of 87 10/17/2014 8:29 AM
Page 16 of 87 10/17/2014 8:29 AM
Page 17 of 87 10/17/2014 8:29 AM
Page 18 of 87 10/17/2014 8:29 AM
Page 19 of 87 10/17/2014 8:29 AM
Page 20 of 87 10/17/2014 8:29 AM
Page 21 of 87 10/17/2014 8:29 AM
Page 22 of 87 10/17/2014 8:29 AM
Page 23 of 87 10/17/2014 8:29 AM
Page 24 of 87 10/17/2014 8:29 AM
Page 25 of 87 10/17/2014 8:29 AM
Page 26 of 87 10/17/2014 8:29 AM
Page 27 of 87 10/17/2014 8:29 AM
Page 28 of 87 10/17/2014 8:29 AM
Page 29 of 87 10/17/2014 8:29 AM
Page 30 of 87 10/17/2014 8:29 AM
Page 31 of 87 10/17/2014 8:29 AM
Page 32 of 87 10/17/2014 8:29 AM
Page 33 of 87 10/17/2014 8:29 AM
Page 34 of 87 10/17/2014 8:29 AM
Page 35 of 87 10/17/2014 8:29 AM
Page 36 of 87 10/17/2014 8:29 AM
Page 37 of 87 10/17/2014 8:29 AM
Page 38 of 87 10/17/2014 8:29 AM
Page 39 of 87 10/17/2014 8:29 AM
Page 40 of 87 10/17/2014 8:29 AM
Page 41 of 87 10/17/2014 8:29 AM
Page 42 of 87 10/17/2014 8:29 AM
Page 43 of 87 10/17/2014 8:29 AM
Page 44 of 87 10/17/2014 8:29 AM
Page 45 of 87 10/17/2014 8:29 AM
Page 46 of 87 10/17/2014 8:29 AM
Page 47 of 87 10/17/2014 8:29 AM
Page 48 of 87 10/17/2014 8:29 AM
Page 49 of 87 10/17/2014 8:29 AM
Page 50 of 87 10/17/2014 8:29 AM
Page 51 of 87 10/17/2014 8:29 AM
Page 52 of 87 10/17/2014 8:29 AM
Page 53 of 87 10/17/2014 8:29 AM
Page 54 of 87 10/17/2014 8:29 AM
Page 55 of 87 10/17/2014 8:29 AM
Page 56 of 87 10/17/2014 8:29 AM
Page 57 of 87 10/17/2014 8:29 AM
Page 58 of 87 10/17/2014 8:29 AM
Page 59 of 87 10/17/2014 8:29 AM
Page 60 of 87 10/17/2014 8:29 AM
Page 61 of 87 10/17/2014 8:29 AM
Page 62 of 87 10/17/2014 8:29 AM
Page 63 of 87 10/17/2014 8:29 AM
Page 64 of 87 10/17/2014 8:29 AM
Page 65 of 87 10/17/2014 8:29 AM
Page 66 of 87 10/17/2014 8:29 AM
Page 67 of 87 10/17/2014 8:29 AM
Page 68 of 87 10/17/2014 8:29 AM
Page 69 of 87 10/17/2014 8:29 AM
Page 70 of 87 10/17/2014 8:29 AM
Page 71 of 87 10/17/2014 8:29 AM
Page 72 of 87 10/17/2014 8:29 AM
Page 73 of 87 10/17/2014 8:29 AM
Page 74 of 87 10/17/2014 8:29 AM
Page 75 of 87 10/17/2014 8:29 AM
Page 76 of 87 10/17/2014 8:29 AM
Page 77 of 87 10/17/2014 8:29 AM
Page 78 of 87 10/17/2014 8:29 AM
Page 79 of 87 10/17/2014 8:29 AM
Page 80 of 87 10/17/2014 8:29 AM
Page 81 of 87 10/17/2014 8:29 AM
Page 82 of 87 10/17/2014 8:29 AM
Page 83 of 87 10/17/2014 8:29 AM
Page 84 of 87 10/17/2014 8:29 AM
Page 85 of 87 10/17/2014 8:29 AM
Page 86 of 87 10/17/2014 8:29 AM
Page 87 of 87 10/17/2014 8:29 AM

Turn static files into dynamic content formats.

Create a flipbook
Issuu converts static files into: digital portfolios, online yearbooks, online catalogs, digital photo albums and more. Sign up and create your flipbook.