140 E Rio Salado Pkwy

Page 1

©2021 First American Financial Corporation and/or its affiliates. All rights reserved. NYSE: FAF 05252610821 COVENANTS, CONDITIONS & RESTRICTIONS PREPARED FOR : First American Title Insurance Company, and the operating divisions thereof, make no express or implied warranty respecting the information presented and assume no responsibility for errors or omissions. First American, the eagle logo, First American Title, and firstam.com are registered trademarks or trademarks of First American Financial Corporation and/or its affiliates. 140 East Rio Salado Pkwy Tempe, AZ 85281

LIMITATION OF LIABILITY FOR INFORMATIONAL REPORTS

IMPORTANT -- PLEASE READ CAREFULLY:

This report is not an insured product or service or a representation of the condition of title to real property. It is not an abst ract, legal opinion, opinion of title, title insurance commitment or preliminary report, or any form of Title Insurance or Guaranty. This report is issued exclusively for the benefit of the Applicant therefor and may not be used or relied upon by any other person. This report may not be reproduced in any manner without First American or Title Security's prior written consent. First American or Title Security does not represent or warrant that the information herein is complete or free from error, and the information herein is provided without any warranties of any kind, as-is, and with all faults. As a material part of the consideration given in exchange for the issuance of this report, recipient agrees that First American or Title Security's sole liability for any loss or damage caused by an error or omission due to inaccurate information or negligence in preparing this report shall be limited to the fee charged for the report. Recipient accepts this report with this limitation and agrees that First American or Title Security would not have issued this report but for the limitation of liability described above. First American or Title Security makes no representation or warranty as to the legality or propriety of recipient's use of the information herein.

SEARCH PARAMETERS

LOT HI LOT BLOCK PLAT  SUB LOT HI SUB LOT 101 970-21

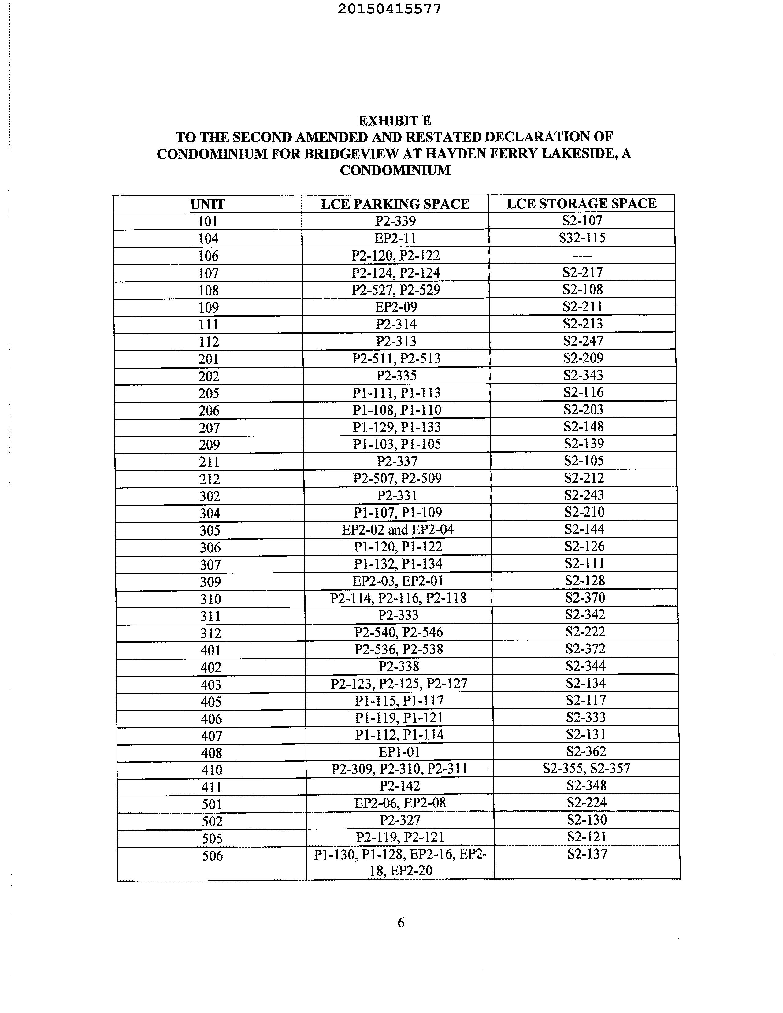
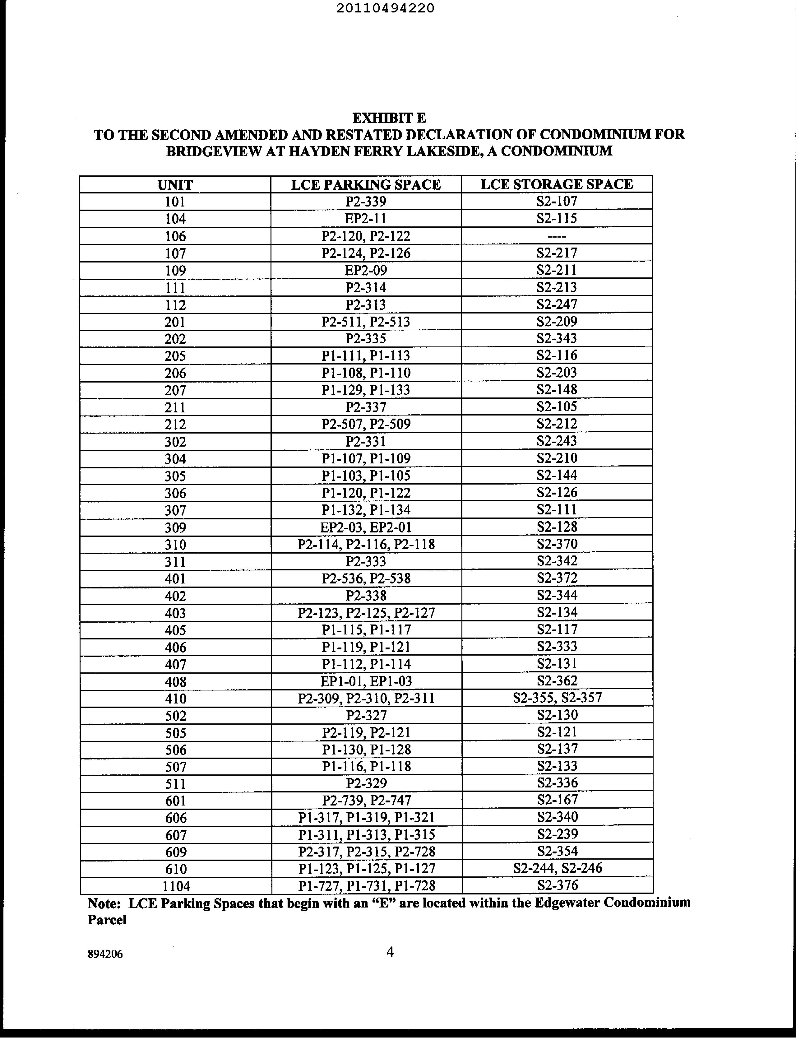
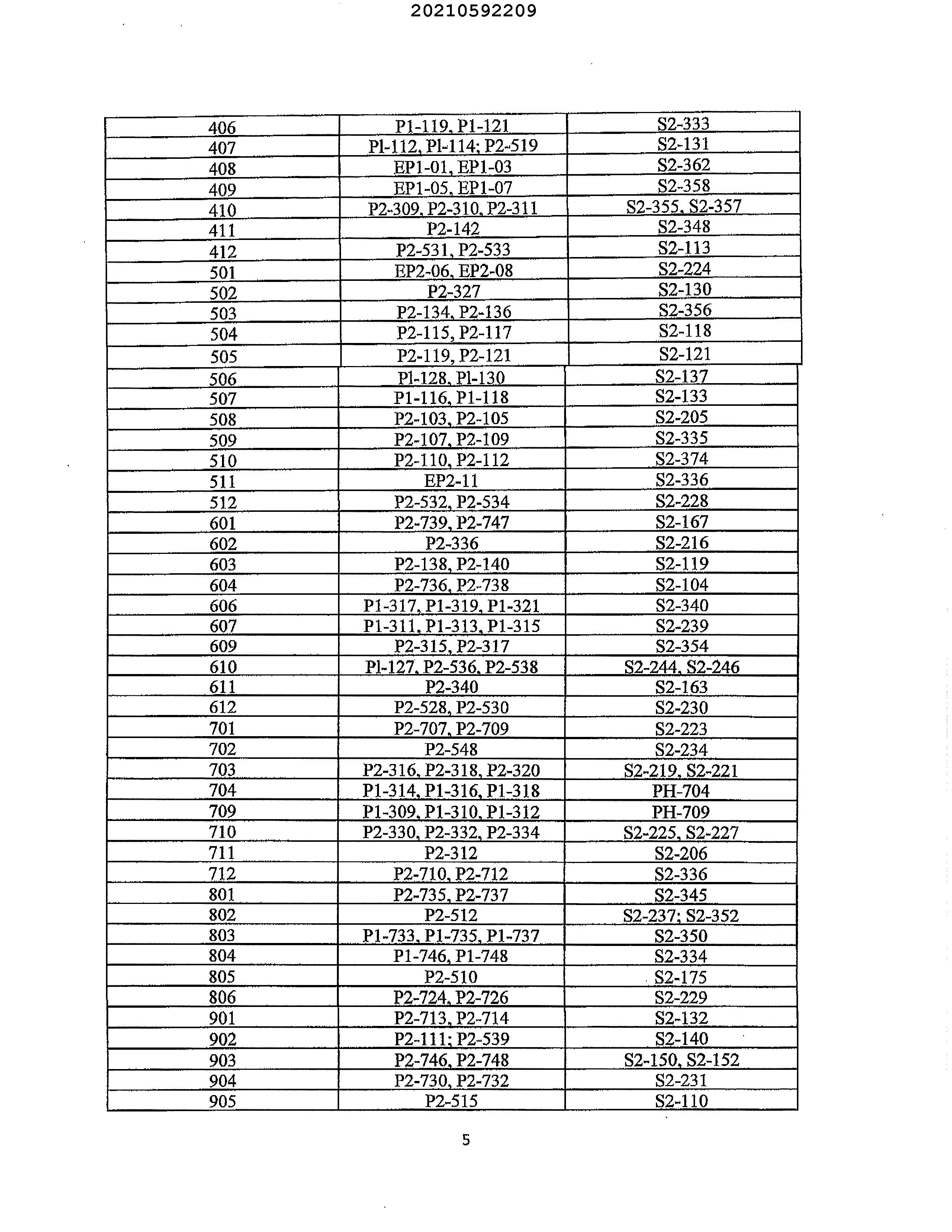
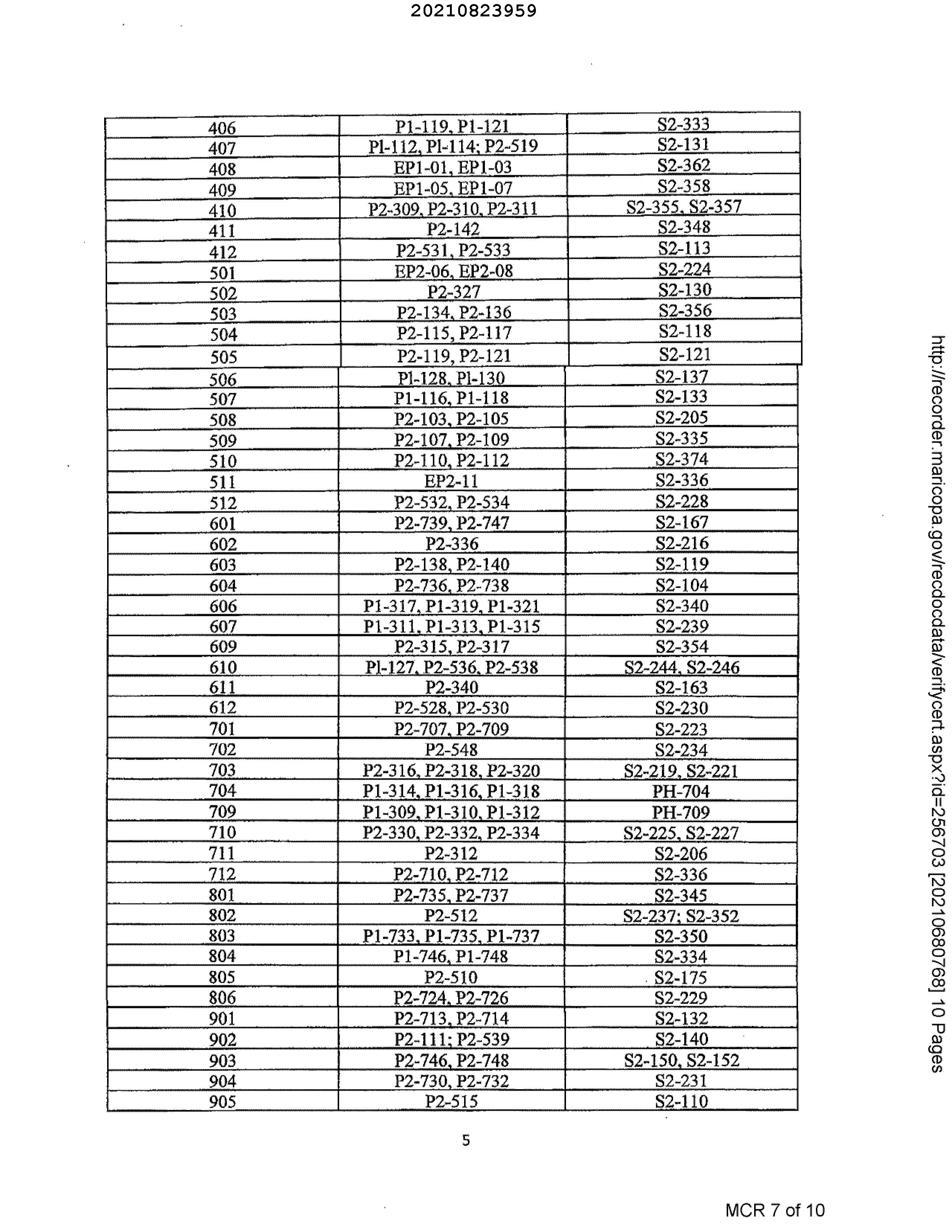
SUBDIVISION: BRIDGEVIEW AT HAYDEN FERRY LAKESIDE

SEARCH: FROM 00/00/00 THROUGH 99/99/9999

DISPLAY AUTO CHAIN; OVERLAPPING PROPERTY

CROSS REFERENCE SUCCESSFUL

PARCEL:  132-20-075

PARCEL: 132-20-075 1

OWNER: LAUTERBACH JOHN R/KEENE CHRISTOPHER E

SITUS: 140 E RIO SALADO PKWY UNIT 101 TEMPE

MAIL: 140 E RIO SALADO PKWY NO 101

TEMPE, AZ 85281

PLAT: 970 -   21 LOT    101

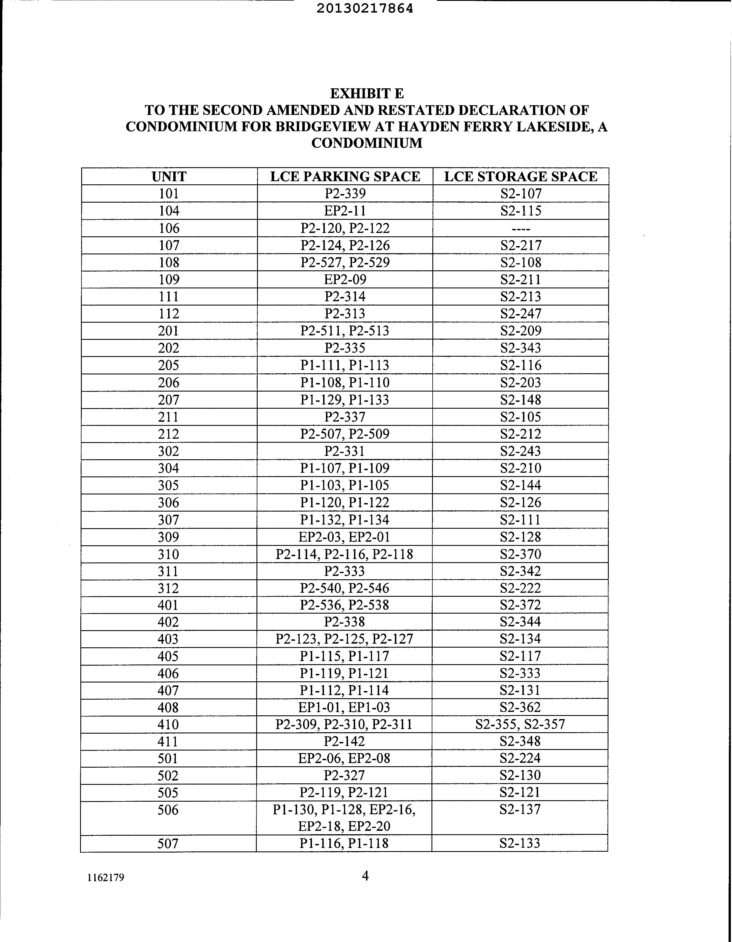
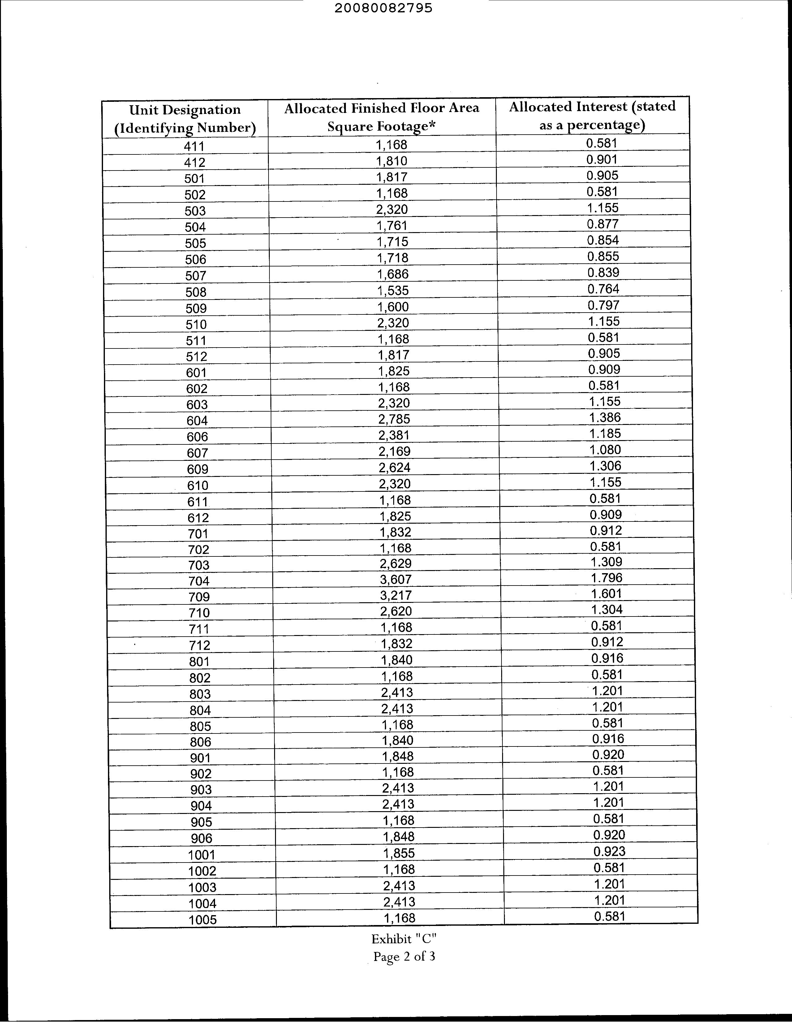
LEGAL: BRIDGEVIEW AT HAYDEN FERRY LAKESIDE CONDOMINIUM AMD MCR 970-21 UNIT 101 (PLEASE NOTE: FOR LEGAL DESCRIPTION REFERENCES REGARDING THE PERCENTAGE OF OWNERSHIP OF THE COMMON AREA'S PLEASE REFER TO THE RECORDED COVENANTS CONDITIONS AND RESTRICTIONS (CCR) ASSOCIATED WITH THIS PLAT.)

CURRENT TAXES

MARICOPA, AZ 02/09/2023  12:56PM  RL13  INVESTIGATIVE SEARCH RESULTS PAGE 1 OF 1
+ FIRST AMERICAN TITLE, FC0, LMRA
REC DATE
INSTRUMENT
2008 133731 02/15/2008
INFORMATION THROUGH 02/03/2023 LAND IMPR EXEMPT RATE AREA SPECIAL DISTRICTS PRIMARY  20,862  0  0  7.4683  031603  28769 28776 30001  SECONDARY  5,130  20,520  0  4.8205  2022 TOTAL TAX BILLED 2,206.28 2022  TAX AMT TAX DUE INTEREST DATE PAID TOTAL DUE FIRST HALF  1,103.14  0.00  0.00  09/29/2022  0.00  SECOND HALF  1,103.14  0.00  0.00  09/29/2022  0.00  TOTAL CURRENT TAXES DUE 02/23 0.00 03/23 0.00 RESIDENTIAL IMPROVEMENTS BLDG SQFT  1,256 COOLING  REFRIGERATION YEAR BUILT  2008 EXTERIOR WALLS  OTHER NUMBER OF STORIES  1.0 ROOF  BUILT UP NUMBER OF ROOMS CONSTRUCTION CLASS  R5 NUMBER OF BATH FIXTURES  6 PHYSICAL CONDITION  OTHER PATIO (TYPE AND NUMBER)  COVERED 1 LAND USE  07 50 GARAGE (TYPE AND NUMBER)  GARAGE 1 LOT SIZE  1,780 SQ FT POOL SQ FT SCHOOL DISTRICT  031603 HEATING LAND FULL CASH VALUE  51,300 IMPR FULL CASH VALUE 205,200 SALES SALE DATE SALE AMOUNT INSTRUMENT TYPE SELLER NAME VALIDITY 02/15/2008 475,963    2008 133731 SD BV AT HAYDEN FERRY LAKESID ADDITIONAL PROPERTY INFORMATION STANDARD LAND USE: CONDOMINIUM END SEARCH

Turn static files into dynamic content formats.

Create a flipbook
Issuu converts static files into: digital portfolios, online yearbooks, online catalogs, digital photo albums and more. Sign up and create your flipbook.