128 E Tuckey Ln, Phoenix, AZ 85012

Page 1

Subject

Data Provided By:

First American Title Ins Co

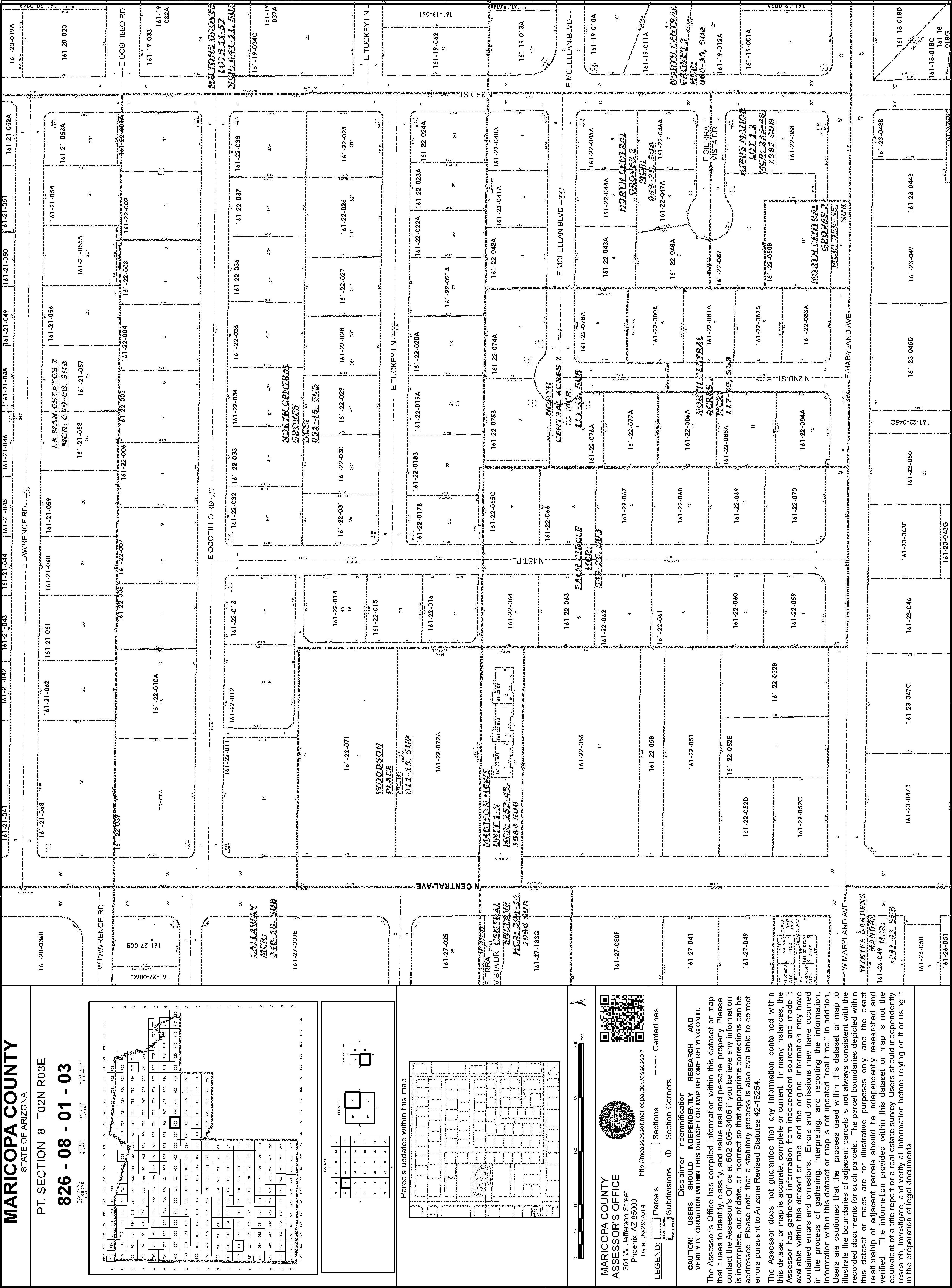
E Tuckey Ln Phoenix AZ 85012 APN: 161-22-027
Property 128
© 2023 CoreLogic. All rights reserved

LIMITATION OF LIABILITY FOR INFORMATIONAL REPORTS

IMPORTANT -- PLEASE READ CAREFULLY:

This report is not an insured product or service or a representation of the condition of title to real property. It is not an abst ract, legal opinion, opinion of title, title insurance commitment or preliminary report, or any form of Title Insurance or Guaranty. This report is issued exclusively for the benefit of the Applicant therefor and may not be used or relied upon by any other person. This report may not be reproduced in any manner without First American or Title Security's prior written consent. First American or Title Security does not represent or warrant that the information herein is complete or free from error, and the information herein is provided without any warranties of any kind, as-is, and with all faults. As a material part of the consideration given in exchange for the issuance of this report, recipient agrees that First American or Title Security's sole liability for any loss or damage caused by an error or omission due to inaccurate information or negligence in preparing this report shall be limited to the fee charged for the report. Recipient accepts this report with this limitation and agrees that First American or Title Security would not have issued this report but for the limitation of liability described above. First American or Title Security makes no representation or warranty as to the legality or propriety of recipient's use of the information herein.

Disclaimer

This REiSource report is provided "as is" without warranty of any kind, either express or implied, including without limitations any warrantees of merchantability or fitness for a particular purpose. There is no representation of warranty that this information is complete or free from error, and the provider does not assume, and expressly disclaims, any liability to any person or entity for loss or damage caused by errors or omissions in this REiSource report without a title insurance policy.

The information contained in the REiSource report is delivered from your Title Company, who reminds you that you have the right as a consumer to compare fees and serviced levels for Title, Escrow, and all other services associated with property ownership, and to select providers accordingly. Your home is the largest investment you will make in your lifetime and you should demand the very best.

Data Provided By: First American Title Ins Co
© 2023 CoreLogic. All rights reserved

Subject Property :   128 E Tuckey Ln Phoenix AZ 85012

Owner Information

Owner Name : Sse Development Az Llc

Mailing Address : 690 N Cooper Rd #1010, Gilbert AZ 85233-3778 C025

Owner Occupied Indicator : A

Location Information

Legal Description : Lot 34 North Central Groves Mcr 51-46 All Lot 34 & E 20f Lot 35 & Also S2 Aband Alley Ly Nly & Adj To Sd Parcel

County : Maricopa, Az Subdivision : North Central Groves

Census Tract / Block : 1066.00 / 2

Township-Range- Sect : 02N-03E-08

Legal Lot : 34,35

APN : 161-22-027

Owner Transfer Information

Recording/Sale Date : 04/06/2022 / 03/31/2022

Document # : 307882

Last Market Sale Information

Map Reference : 5146

School District : Madison 38

Munic/Township : Phoenix

Neighbor Code : 27-005

Deed Type : Warranty Deed

Mtg Document # : 307883

Document # : 1036128

Deed Type : Warranty Deed

Title Company : Allied Title Agency Inc

Seller Name : Evans P Vangellow & Dia

Prior Sale Information

Price Per SqFt : $382.44

Mtg Amount/Type : $200,000 / Private Party

Rec/Sale Date : / 10/17/1980 Prior Deed Type : Joint Tenancy Deed Prior Sale Price : $90,000

Customer Name : Jeremiah Stiffler

Customer Company Name : First American Prepared On : 03/03/2023

© 2023 CoreLogic. All rights reserved

1st
09/21/2021 1st
1st
Recording/Sale Date : 09/24/2021 /
Mtg Amount/Type : $675,000 / Cnv Sale Price : $758,000
Mtg Document # : 1036129
2nd
Prior

Property Characteristics

Gross Area : 1,982 Garage Capacity : 1 Patio Type : Covered Concrete Masonry Patio

Living Area : 1,982 Roof Material : Asphalt Shingle Air Cond : Refrigeration

Total Rooms : 5 Heat Type : Forced Air Quality : Good Year Built / Eff : 1953 Cooling Type : Forced Air Condition : Average

# of Stories : 1 Exterior wall : Paint Blk Bath Fixtures : 8

Parking Type : Carport

Property Information

Land Use : Sfr Lot Acres : 0.31

Zoning : R1-10 Lot Size : 13,550 Tax

Use : Single Fam Resurban Subd ( 4 )

State
Total Value : $477,200 Improve % : 80% Current Assessed Year : 2023 Land Value : $95,400 Tax Year : 2022 Current Year Total Value : $69,120 Improvement Value : $381,800 Property Tax : $4,472.92 Current Year Improvement Value : $55,300 Total Taxable Value : $32,948 Tax Rate Area : 381300 Current Year Land Value : $13,820 Assessed Year : 2022 Market Value : $477,200
Information
© 2023 CoreLogic.
rights reserved
Customer
Name : Jeremiah Stiffler Customer Company Name : First American Prepared On : 03/03/2023
All

Sales Analysis

Criteria Subject Property Low High Average Sale Price $758,000 $45,439 $1,830,000 $741,222 Bldg/Living Area 1982 1702 2275 1964 Price Per Square Foot $382.44 $27 $913 $377.81 Year Built 1953 1940 1974 1955 Lot Size 13,550 6,647 17,707 10,389 Bedrooms Bathrooms 3 2 4 2 Stories 1 1 1 1 Total Assessed Value $477,200 $313,500 $527,000 $405,635 Distance From Subject 0 0.07 0.83 0.59 Summary of Comparables # Address Sale Price Total Assessed Value Sale Date Bed Bath Living Area Lot Size Year Built Dist (Miles) Zoning S 128 E Tuckey Ln 758,000 477,200 09/24/2021 3 1,982 13,550 1953 R1-10 1 242 E Mclellan Blvd 1,050,000 455,000 03/31/2022 2 1,927 11,095 1954 0.07 R1-10 2 6646 N Central Ave 740,000 408,200 12/05/2022 3 1,722 9,557 1948 0.22 R1-10 3 103 E Marlette Ave 805,000 494,600 03/03/2022 2 2,220 14,039 1948 0.29 R1-10 4 748 E Sierra Vista Dr 735,000 451,300 03/10/2022 3 2,000 10,372 1972 0.44 R1-6 5 51 E Rose Ln # 11no 1,830,000 527,000 06/10/2022 2 2,005 14,636 1949 0.44 R1-10 6 724 E Claremont St 965,000 443,700 10/26/2022 2 1,719 9,126 1952 0.53 R1-6 7 803 E Glendale Ave 475,000 313,500 09/23/2022 2 1,936 8,673 1950 0.54 R1-6 8 6049 N 4th Pl 1,050,000 474,800 05/19/2022 2 2,138 13,713 1959 0.58 R1-10 9 6741 N 10th St 760,000 361,100 03/17/2022 3 1,770 7,248 1950 0.61 R1-6 10 6219 N 9th Pl 727,500 339,800 05/24/2022 2 1,702 10,681 1951 0.63 R1-6 11 901 E Rose Ln 45,439 332,100 03/07/2022 2 1,714 6,647 1954 0.64 R1-6 Customer Name : Jeremiah Stiffler Customer Company Name : First American Prepared On : 03/03/2023 © 2023 CoreLogic. All rights reserved
12 328 E Bethany Home Rd 599,999 430,200 09/01/2022 4 2,241 13,046 1956 0.67 R1-10 13 6819 N 10th Pl 750,000 386,700 03/21/2022 3 2,027 7,444 1950 0.67 R1-6 14 6841 N 11th St 582,000 395,800 07/18/2022 3 1,953 7,479 1974 0.74 R1-6 15 1014 E Glenn Dr 475,000 372,100 09/16/2022 2 2,108 7,649 1953 0.74 R1-6 16 6612 N 7th Dr 450,000 391,200 04/29/2022 2 1,792 8,956 1957 0.77 R1-6 17 1142 E Ocotillo Rd 600,000 386,500 04/26/2022 2 2,073 8,777 1951 0.79 R1-6 18 1041 E Palmaire Ave 634,500 343,300 10/19/2022 2 1,730 9,810 1962 0.81 R1-6 19 1034 E Palmaire Ave 800,000 423,000 11/14/2022 2 2,225 11,125 1962 0.82 R1-6 20 6525 N 10th Ave 750,000 382,800 11/23/2022 3 2,275 17,707 1940 0.83 R1-6 Distressed Sales = Customer
Customer Company Name : First American Prepared On : 03/03/2023 © 2023 CoreLogic. All rights reserved
Name : Jeremiah Stiffler

Customer Name : Jeremiah Stiffler

Customer Company Name : First American Prepared On : 03/03/2023

© 2023 CoreLogic. All rights reserved

Map

Details of Comparables

Subject

Owner Name: Orie Marc Zaklad /Andre Wallace Paul

Customer Name : Jeremiah Stiffler

Customer Company Name : First American Prepared On : 03/03/2023

Property: 128 E Tuckey Ln Phoenix Az 85012
Name: Sse Development Az Llc / APN / Alternate APN: 161-22-027 / Deed Type: Warranty Deed Land Use: Sfr Subdivision / Tract: North Central Groves / Lot Size: 13,550 Year Built / Eff: 1953 / Rec. Date / Price: 09/24/2021 / $758,000 Living Area: 1,982 # of units: Document #: 1036128 Bedrooms: Pool: Total Tax Value: $477,200 Bath(F/H): / #1   242 E Mclellan Blvd Phoenix Az 85012
Name:
Preeti APN / Alternate APN: 161-22-040-A / Deed Type: Warranty Deed Land Use: Sfr Subdivision / Tract: North Central Groves 2 / Lot Size: 11,095 Year Built / Eff: 1954 / Rec. Date / Price: 03/31/2022 / $1,050,000 Living Area: 1,927 # of units: Document #: 290391 Bedrooms: Pool: Pool Total Tax Value: $455,000 Bath(F/H): / #2   6646 N Central Ave Phoenix Az 85012
Name:
Joshua D / APN / Alternate APN: 161-27-008 / Deed Type: Warranty Deed Land Use: Sfr Subdivision / Tract: Callaway / Lot Size: 9,557 Year Built / Eff: 1948 / Rec. Date / Price: 12/05/2022 / $740,000 Living Area: 1,722 # of units: Document #: 873693 Bedrooms: Pool: Total Tax Value: $408,200 Bath(F/H): / #3   103 E Marlette Ave Phoenix Az 85012
Owner
Owner
Bordeaux Brian /Nafri
Owner
Ficarra
APN / Alternate APN: 161-23-023 / Deed Type: Warranty Deed Land Use: Sfr Subdivision / Tract: North Central Park / Lot Size: 14,039 Year Built / Eff: 1948 / Rec. Date / Price: 03/03/2022 / $805,000 Living Area: 2,220 # of units: Document #: 197250 Bedrooms: Pool: Total Tax Value: $494,600 Bath(F/H): / #4   748 E Sierra Vista Dr Phoenix Az 85014
Owner Name: Petsas Nicholas William /
APN / Alternate APN: 161-05-043 / Deed Type: Warranty Deed Land Use: Sfr Subdivision / Tract: East Orangewood Lt 23 / Lot Size: 10,372 Year Built / Eff: 1972 / Rec. Date / Price: 03/10/2022 / $735,000 Living Area: 2,000 # of units: Document #: 219754 Bedrooms: Pool: Pool Total Tax Value: $451,300 Bath(F/H): /
© 2023 CoreLogic. All rights reserved

#5   51 E Rose Ln # 11no Phoenix Az 85012 Owner

Name:
APN / Alternate APN: 161-24-002-B / Deed Type: Special Warranty Deed Land Use: Sfr Subdivision / Tract: Lawrence Tr / Lot Size: 14,636 Year Built / Eff: 1949 / Rec. Date / Price: 06/10/2022 / $1,830,000 Living Area: 2,005 # of units: Document #: 492653 Bedrooms: Pool: Pool Total Tax Value: $527,000 Bath(F/H): /
Name:
APN / Alternate APN: 161-15-042 / Deed Type: Warranty Deed Land Use: Sfr Subdivision / Tract: Parson Place / Lot Size: 9,126 Year Built / Eff: 1952 / Rec. Date / Price: 10/26/2022 / $965,000 Living Area: 1,719 # of units: Document #: 800074 Bedrooms: Pool: Total Tax Value: $443,700 Bath(F/H): /
Name:
Llc
APN / Alternate APN: 161-04-010 / Deed Type: Warranty Deed Land Use: Sfr Subdivision / Tract: Beverly Manor Lt 7 Blk 4 / Lot Size: 8,673 Year Built / Eff: 1950 / Rec. Date / Price: 09/23/2022 / $475,000 Living Area: 1,936 # of units: Document #: 732325 Bedrooms: Pool: Total Tax Value: $313,500 Bath(F/H): / #8   6049 N 4th Pl Phoenix Az 85012 Owner Name: Twerski Sholom /Mandelbaum Sara Faygie APN / Alternate APN: 161-17-008 / Deed Type: Warranty Deed Land Use: Sfr Subdivision / Tract: Lester Terrace / Lot Size: 13,713 Year Built / Eff: 1959 / Rec. Date / Price: 05/19/2022 / $1,050,000 Living Area: 2,138 # of units: Document #: 434264 Bedrooms: Pool: Pool Total Tax Value: $474,800 Bath(F/H): / #9   6741 N 10th St Phoenix Az 85014 Owner Name: Stamps Family Partnership / APN / Alternate APN: 161-03-078 / Deed Type: Warranty Deed Land Use: Sfr Subdivision / Tract: Palm Terrace 1 / Lot Size: 7,248 Year Built / Eff: 1950 / Rec. Date / Price: 03/17/2022 / $760,000 Living Area: 1,770 # of units: Document #: 242398 Bedrooms: Pool: Pool Total Tax Value: $361,100 Bath(F/H): /
Customer
First American Prepared
03/03/2023 © 2023 CoreLogic. All rights reserved
Vinnys Properties Llc /
#6   724 E Claremont St Phoenix Az 85014 Owner
Schimel Sandra R Trust /
#7   803 E Glendale Ave Phoenix Az 85020 Owner
Chai Property Holding
/
Customer Name : Jeremiah Stiffler
Company Name :
On :

Owner Name: Woods Joanna /Smart Cheryl

Owner Name: Calderon Joseph /Fritch Lindsay

Built / Eff: 1974 /

/

#15   1014 E Glenn Dr Phoenix Az 85020

Owner Name: Red Door Assets Llc /

Use: Sfr Subdivision / Tract: Brannandale / Lot Size: 7,649

/ Alternate APN: 160-28-013 / Deed Type: Warranty Deed

/ $475,000

Built / Eff: 1953 /

/ Customer Name : Jeremiah Stiffler Customer Company Name : First American Prepared On : 03/03/2023 © 2023 CoreLogic. All rights reserved

#10
6219 N 9th Pl Phoenix Az 85014
APN
Warranty Deed Land Use: Sfr Subdivision /
Size: 10,681 Year Built / Eff: 1951 / Rec. Date / Price: 05/24/2022
$727,500 Living Area: 1,702 # of units: Document #: 445297 Bedrooms: Pool: Total Tax Value: $339,800 Bath(F/H): / #11
/ Alternate APN: 161-15-020 / Deed Type:
Tract: Bettyjoe Place / Lot
/
901 E Rose Ln Phoenix Az 85014
APN
Alternate
Quit Claim Deed Land Use: Sfr Subdivision / Tract: Bethany Estates / Lot Size: 6,647 Year Built / Eff: 1954 / Rec. Date / Price: 03/07/2022 / $45,439 Living Area: 1,714 # of units: Document #: 205915 Bedrooms: Pool: Total Tax Value: $332,100 Bath(F/H): / #12
APN / Alternate APN:
Deed Type: Warranty Deed Land Use: Sfr Subdivision / Tract: Lester Terrace / Lot Size: 13,046 Year Built / Eff: 1956 / Rec. Date / Price: 09/01/2022 / $599,999 Living Area: 2,241 # of units: Document #: 687090 Bedrooms: Pool: Total Tax Value: $430,200 Bath(F/H): / #13   6819 N 10th Pl Phoenix Az
APN
Alternate
Deed Type: Warranty Deed Land Use: Sfr Subdivision / Tract: Palm Terrace 2 / Lot Size: 7,444 Year Built / Eff: 1950 / Rec. Date / Price: 03/21/2022 / $750,000 Living Area: 2,027 # of units: Document #: 251949 Bedrooms: Pool: Total Tax Value: $386,700 Bath(F/H): / #14   6841 N 11th St Phoenix Az 85014 Owner Name:
APN / Alternate APN: 161-03-141 / Deed Type: Warranty Deed Land Use: Sfr Subdivision / Tract: Palm Terrace 2 / Lot Size: 7,479 Year
Rec. Date
Price: 07/18/2022
$582,000 Living Area: 1,953 # of units: Document
Bedrooms: Pool: Total
Value:
Bath(F/H):
/
APN: 161-16-071 / Deed Type:
328 E Bethany Home Rd Phoenix Az 85012 Owner Name: Lopez Avis /
161-17-002 /
85014 Owner Name: Pugliano-bocchini Jacob /Medina Alexis
/
APN: 161-03-109 /
Sadykov Arsen /Sadykov Dina
/
#: 580034
Tax
$395,800
/
Rec.
Living
2,108 # of units:
Bedrooms: Pool:
Total
Bath(F/H):
APN
Land
Year
Date / Price: 09/16/2022
Area:
Document #: 717641
Pool
Tax Value: $372,100

#16   6612 N 7th Dr Phoenix Az 85013

Owner Name: Carver Juanita /

Owner Name: Hirsch Dovid /Hirsch Esther

1041 E Palmaire Ave Phoenix Az 85020 Owner Name: Kreiq Charlynn /Kreiq Kyle

Owner Name: Moore-brandon Lisa D /Brandon John E

Owner Name: Jolly Robert R /

Customer Name : Jeremiah Stiffler

Customer Company Name : First American Prepared On : 03/03/2023

APN / Alternate
Deed Type: Warranty Deed Land Use: Sfr Subdivision / Tract: Heavens View
Lot Size: 8,956 Year Built / Eff: 1957 / Rec. Date / Price: 04/29/2022
$450,000 Living Area: 1,792 # of units: Document #: 377381 Bedrooms: Pool: Total Tax Value: $391,200 Bath(F/H): /
APN: 156-25-055 /
/
/
#17   1142 E Ocotillo Rd Phoenix Az 85014
APN
Alternate APN:
Deed Type: Warranty Deed Land Use: Sfr Subdivision / Tract: Beverly Manor Estates /Lot Size: 8,777 Year Built / Eff: 1951 / Rec. Date / Price: 04/26/2022 / $600,000 Living Area: 2,073 # of units: Document #: 365202 Bedrooms: Pool: Pool Total Tax Value: $386,500 Bath(F/H): /
APN / Alternate APN:
Deed Type: Warranty Deed Land Use: Sfr Subdivision / Tract: Northwood Manor 3 / Lot Size: 9,810 Year Built / Eff: 1962 / Rec. Date / Price: 10/19/2022 / $634,500 Living Area: 1,730 # of units: Document #: 786146 Bedrooms: Pool: Total Tax Value: $343,300 Bath(F/H): / #19
/
161-03-032 /
#18
160-28-131 /
1034 E Palmaire Ave Phoenix Az 85020
APN
Deed Land Use: Sfr Subdivision / Tract: Northwood Manor 3 / Lot Size: 11,125 Year Built / Eff: 1962 / Rec. Date / Price: 11/14/2022 / $800,000 Living Area: 2,225 # of units: Document #: 836394 Bedrooms: Pool: Pool Total Tax Value: $423,000 Bath(F/H): /
/ Alternate APN: 160-28-119 / Deed Type: Warranty
#20   6525 N 10th Ave Phoenix Az 85013
APN
Land Use: Sfr Subdivision / Tract: Maryland Manor 2
Lot Size: 17,707 Year Built / Eff: 1940 / Rec. Date / Price: 11/23/2022 / $750,000 Living Area: 2,275 # of units: Document #: 855621 Bedrooms: Pool: Total Tax Value: $382,800 Bath(F/H): /
/ Alternate APN: 156-25-077 / Deed Type: Quit Claim Deed
/
© 2023 CoreLogic. All rights reserved

Customer Name : Jeremiah Stiffler

Customer Company Name : First American Prepared On : 03/03/2023

© 2023 CoreLogic. All rights reserved

Subject Property :   128 E Tuckey Ln Phoenix AZ 85012

Customer Name : Jeremiah Stiffler

Customer Company Name : First American Prepared On : 03/03/2023

© 2023 CoreLogic. All rights reserved

Arizona Schools For detailed information and statistics on Arizona schools please go to https://azreportcards.azed.gov/ First American Title Insurance Company, and the operating divisions thereof, make no express or implied warranty respecting the information presented and assume no responsibility for errors or omissions. First American, the eagle logo, First American Title, and firstam.com are registered trademarks or trademarks of First American Financial Corporation and/or its affiliates. ©2021 First American Financial Corporation and/or its affiliates. All rights reserved. NYSE: FAF 05117910421

Public Schools :

Elementary Schools

Madison Traditional Academy Distance 0.56 Miles

925 E Maryland Ave Phoenix AZ 85014

Telephone : (602) 745-4000

Lowest Grade : K

Kindergarten : Yes

Enrollment : 820

School District : Madison Elementary District (4270)

Highest Grade : 8th

School Enrollment :

Total Expenditure/Student : 173

Madison Richard Simis School Distance 0.82 Miles

7302 N 10th St Phoenix AZ 85020

Telephone : (602) 664-7300

Lowest Grade : Pre-K

Kindergarten : Yes

Enrollment : 907

School District : Madison Elementary District (4270)

Highest Grade : 4th

School Enrollment :

Total Expenditure/Student : 173

Madison Rose Lane School Distance 0.93 Miles

1155 E Rose Ln Phoenix AZ 85014

Telephone : (602) 664-7400

Lowest Grade : Pre-K

Kindergarten : Yes

Enrollment : 841

School District : Madison Elementary District (4270)

Highest Grade : 4th

School Enrollment :

Total Expenditure/Student : 173

CoreLogic. All rights
Customer Name : Jeremiah Stiffler Customer Company Name : First American Prepared On : 03/03/2023
© 2023
reserved

Casa Academy Distance 1.26 Miles

1500 W Maryland Ave Phoenix AZ 85015

Telephone : (602) 892-5022

Lowest Grade : K

Kindergarten : Yes

School District : Casa Academy (91934)

Highest Grade : 3rd

School Enrollment :

Total Expenditure/Student : Middle Schools

Enrollment : 161

Madison Meadows School Distance 0.34 Miles

225 W Ocotillo Rd Phoenix AZ 85013

Telephone : (602) 664-7600

Lowest Grade : 5th

Kindergarten : No

Enrollment : 805

School District : Madison Elementary District (4270)

Highest Grade : 8th

School Enrollment :

Total Expenditure/Student : 173

Madison #1 Elementary School Distance 1.83 Miles

5525 N 16th St Phoenix AZ 85016

Telephone : (602) 664-7100

Lowest Grade : 5th

Kindergarten : No

Enrollment : 1010

School District : Madison Elementary District (4270)

Highest Grade : 8th

School Enrollment :

Total Expenditure/Student : 173

Osborn Middle School Distance 2.06 Miles

1102 W Highland Ave Phoenix AZ 85013

Telephone : (602) 707-2400

Lowest Grade : 7th

Kindergarten : No

Enrollment : 595

School District : Osborn Elementary District (4262)

Highest Grade : 8th

School Enrollment :

Total Expenditure/Student : 165

© 2023 CoreLogic.
rights reserved
Customer Name : Jeremiah Stiffler Customer Company Name : First American Prepared On : 03/03/2023
All

Imagine Camelback Middle Distance 2.32 Miles

5050 N. 19th Ave. Phoenix AZ 85015

Telephone : (602) 344-4620

Lowest Grade : 6th

Kindergarten : No

School District : Imagine Camelback Middle Inc. (89561)

Highest Grade : 8th

School Enrollment : Enrollment : 218

Total Expenditure/Student : High Schools

Humanities And Sciences High School - Phoenix Distance 1.44 Miles

5201 N 7th St Phoenix AZ 85014

Telephone : (480) 317-5900

Lowest Grade : 9th

School District : International Commerce Secondary Schools Inc. (4334)

Highest Grade : 12th

School Enrollment : Enrollment : 0

Total Expenditure/Student : Advanced Placement : No

International Commerce High School - Phoenix Distance 1.45 Miles

5201 N 7th St Phoenix AZ 85014

Telephone : (480) 317-5900

Lowest Grade : 9th

School District : International Commerce Secondary Schools Inc. (4334)

Highest Grade : 12th

School Enrollment : Enrollment : 378

Total Expenditure/Student : Advanced Placement : No

Customer Name : Jeremiah Stiffler Customer Company Name : First American Prepared On : 03/03/2023
© 2023 CoreLogic. All rights reserved

Learning Institute The Distance 1.48 Miles

5310 N 12th St # 100 Phoenix AZ 85014

Telephone : (602) 241-7876

Lowest Grade : 7th

School District : Phoenix School Of Academic Excellence The (6379)

Highest Grade : 12th

School Enrollment : Enrollment : 132

Total Expenditure/Student : Advanced Placement : No

Girls Leadership Academy Of Arizona Distance 1.93 Miles

715 W. Mariposa St. Phoenix AZ 85013

Telephone : (602) 288-4518

Lowest Grade : 9th

School District : Florence Crittenton Services Of Arizona Inc. (4300)

Highest Grade : 12th

School Enrollment : Enrollment : 120

Total Expenditure/Student : Advanced Placement : No

©
CoreLogic.
rights reserved
Customer Name : Jeremiah Stiffler Customer Company Name : First American Prepared On : 03/03/2023
2023
All
Local Business Attractions / Recreation Name Address Telephone Distance (Miles) Rott N' Grapes Roro 6849 N 2nd St Phoenix Az (602) 346-0068 0.28 Southwest Center For Relaxology, Inc 6511 N 7th St Phoenix Az (602) 265-4466 0.32 Arizona Karate Association Inc 6324 N 7th St Phoenix Az (602) 274-1136 0.38 Revd Up 727 E Maryland Ave Phoenix Az (602) 421-4030 0.43 Banks / Financial Name Address Telephone Distance (Miles) Ljl Mortgage Group, Llc 216 E Keim Dr Phoenix Az (602) 687-9704 0.46 Jpmorgan Chase Bank, National Association 7022 N 7th St Phoenix Az (602) 589-4031 0.51 Starlight Mortgage, Inc. 6846 N 3rd Ave Phoenix Az (602) 697-6983 0.53 Brokers Alliance 718 E Bethany Home Rd # 1 Phoenix Az (602) 248-9293 0.78 Eating / Drinking Name Address Telephone Distance (Miles) Polar Play Llc 251 E Sierra Vista Dr Phoenix Az (602) 277-3013 0.13 One Sweet Deal Az 130 E Lamar Rd Phoenix Az (602) 870-5555 0.17 Wwfg, Llc 420 E Mclellan Blvd Phoenix Az (602) 532-9727 0.21 Red Hot Robot Llc 36 W Ocotillo Rd Phoenix Az (602) 405-0581 0.28 Health Care Services Name Address Telephone Distance (Miles) Helping Hands Therapy And Yoga Llc 6523 N 4th St Phoenix Az (651) 260-3319 0.19 Paradise Living Centers Llc 302 E Maryland Ave Phoenix Az (602) 264-4259 0.19 Health Genius, Inc. 6529 N Central Ave Phoenix Az (602) 769-3915 0.21 Knapsack Health, Llc 6807 N 4th Pl Phoenix Az (480) 310-0981 0.27 Customer Name : Jeremiah Stiffler Customer Company Name : First American Prepared On : 03/03/2023 © 2023 CoreLogic. All rights reserved
Hospitality Name Address Telephone Distance (Miles) Payne Brothers Properties, Llc 301 E Marlette Ave Phoenix Az (602) 279-0365 0.31 American Motel Hotel Brokers Of Arizona 6232 N 7th St Ste 101 Phoenix Az (702) 335-0537 0.47 Zenyard Guest House 830 E Maryland Ave Phoenix Az (623) 252-1002 0.51 Timothy C Jones 6245 N 12th Pl Phoenix Az (480) 544-6146 0.98 Organizations / Associations Name Address Telephone Distance (Miles) Celebration Church 6630 N Central Ave Phoenix Az (602) 266-0571 0.19 Temple Phoenix Calvary 6630 N Central Ave Phoenix Az (602) 266-0571 0.19 The Creative Living Fellowship Of Phoenix Inc 6530 N 7th St Phoenix Az (602) 906-4080 0.32 All Saints' Episcopal Church 6300 N Central Ave Phoenix Az (602) 279-5539 0.32 Personal Services Name Address Telephone Distance (Miles) 1 Greensbroro 146 E Claremont St Phoenix Az (602) 541-8664 0.32 San Miguel 40 20 Llc 6311 N 7th St Phoenix Az (623) 694-0490 0.42 Body Bar 6309 N 7th St Phoenix Az (623) 224-4011 0.42 Burn It Build It Fitness Mid-t 6239 N 7th St Ste 300 Phoenix Az (602) 300-7664 0.47 Shopping Name Address Telephone Distance (Miles) Dare Enterprises Llc 6510 N Central Ave Phoenix Az (602) 625-9061 0.22 Maryland Deli & Liquor Llc 6502 N 7th St Phoenix Az (602) 277-6269 0.33 Hi-health Supermart Corporation 742 E Glendale Ave # 170 Phoenix Az (602) 678-0364 0.49 Imperial Kosher Market Inc 737 E Glendale Ave Ste A Phoenix Az (602) 285-6999 0.51 Customer Name : Jeremiah Stiffler Customer Company Name : First American Prepared On : 03/03/2023 © 2023 CoreLogic. All rights reserved

304 E TUCKEY LN Distance 0.08 Miles

Owner Name : Stevenson Joan Subdivision : Miltons Groves Lts 1-10

Sale Date : 12/00/1994

Total Value : $732,500

Bed / Bath : / 4

Recording Date : 01/05/1995

Sale Price  : $114,000

Property Tax : $9,631.82

Land Use : Sfr Lot Acres : 0.53

Stories : 1

Living Area : 3,823

Yr Blt / Eff Yr Blt : 1967 / APN : 161-19-034-C

303 E TUCKEY LN Distance 0.08 Miles

Owner Name : Madrid Robert Ryambrose Lana Subdivision : Miltons Groves Lts 1-10

Sale Date : 05/14/2021

Total Value : $560,700

Bed / Bath : / 3

Land Use : Sfr

Stories : 1

Recording Date : 05/17/2021

Sale Price  : $825,000

Property Tax : $5,471.44

Lot Acres : 0.36

Living Area : 2,168

Yr Blt / Eff Yr Blt : 1949 / APN : 161-19-062

303 E OCOTILLO RD Distance 0.09 Miles

Owner Name : Mitzel Derek

Sale Date : 06/05/2013

Total Value : $1,401,500

Bed / Bath : / 8

Land Use : Sfr

Stories : 2

Subdivision : Miltons Groves Lts 1-10

Recording Date : 06/21/2013

Sale Price  : $435,000

Property Tax : $16,383.84

Lot Acres : 0.59

Living Area : 6,337

Yr Blt / Eff Yr Blt : 2014 / APN : 161-19-033

Customer Name : Jeremiah Stiffler

Customer Company Name : First American Prepared On : 03/03/2023

© 2023 CoreLogic. All rights reserved

305 E TUCKEY LN Distance 0.1 Miles

Owner Name : Paulus Leslie K Subdivision : Miltons Groves Lts 1-10

Sale Date : 09/00/1990

Total Value : $573,700

Recording Date : 09/14/1990

Sale Price  : $155,000

Bed / Bath : / 3 Property Tax : $5,353.08

Land Use : Sfr Lot Acres : 0.39

Stories : 1

Living Area : 2,273

Yr Blt / Eff Yr Blt : 1949 / APN : 161-19-061

300 E MCLELLAN BLVD Distance 0.1 Miles

Owner Name : Arviso Courtney Subdivision : North Central Groves 3

Sale Date : 08/31/2022

Total Value : $505,500

Recording Date : 09/08/2022

Sale Price  : $880,000

Bed / Bath : / 2 Property Tax : $4,812.10

Land Use : Sfr

Stories : 1

Lot Acres : 0.30

Living Area : 2,360

Yr Blt / Eff Yr Blt : 1955 / APN : 161-19-013-A

318 E TUCKEY LN Distance 0.1 Miles

Owner Name : Conlow Levi J Subdivision : Miltons Groves Lts 1-10

Sale Date : 12/07/2020

Total Value : $1,080,000

Bed / Bath : / 4

Land Use : Sfr

Stories : 2

Yr Blt / Eff Yr Blt : 2003 /

Recording Date : 12/31/2020

Sale Price  : $1,650,000

Property Tax : $13,714.34

Lot Acres : 0.56

Living Area : 4,906

APN : 161-19-037-A

301 E MCLELLAN BLVD Distance 0.11 Miles

Owner Name : Bh Usa Llc

Sale Date : 01/04/2005

Total Value : $2,000

Land Use : Residential (nec)

Subdivision : Orangewood Lts 11-15 Blk 2

Recording Date : 01/13/2005

Sale Price  : $1,050,000

Property Tax : $15.06

Lot Acres : 0.00

APN : 161-19-071-K

Customer Name : Jeremiah Stiffler

Customer Company Name : First American Prepared On : 03/03/2023

© 2023 CoreLogic. All rights reserved

317 E TUCKEY LN Distance 0.11 Miles

Owner Name : Clemson Randall P Subdivision : Miltons Groves Lts 1-10

Sale Date : 01/22/2010

Total Value : $630,100

Recording Date : 01/29/2010

Sale Price  : $305,000

Bed / Bath : / 4 Property Tax : $5,826.60

Land Use : Sfr Lot Acres : 0.38

Stories : 1

Living Area : 2,606

Yr Blt / Eff Yr Blt : 1949 / APN : 161-19-060

315 E OCOTILLO RD Distance 0.11 Miles

Owner Name : Dunn Matthew D Trust

Sale Date : 02/13/2017

Total Value : $1,422,500

Subdivision : Miltons Groves Lts 1-10

Recording Date : 02/16/2017

Sale Price  : $2,000,000

Bed / Bath : / 5 Property Tax : $14,385.68

Land Use : Sfr Lot Acres : 0.61

Stories : 1

Living Area : 6,247

Yr Blt / Eff Yr Blt : 2016 / APN : 161-19-032-A

310 E MCLELLAN BLVD Distance 0.11 Miles

Owner Name : Hoganson Gregory

Sale Date : 09/13/2021

Total Value : $554,700

Bed / Bath : / 2

Subdivision : North Central Groves 3

Recording Date : 10/14/2021

Sale Price  : $1,100,000

Property Tax : $5,461.26

Land Use : Sfr Lot Acres : 0.28

Stories : 1

Living Area : 2,424

Yr Blt / Eff Yr Blt : 1955 / APN : 161-19-014-A

Customer Name : Jeremiah Stiffler

Customer Company Name : First American Prepared On : 03/03/2023

© 2023 CoreLogic. All rights reserved

Census Tract / block: 1066.00 / 2     Year: 2018 Household Population Population by Age Count: 4,142 0 - 11 Estimate Current Year: 4,274 12 - 17 Estimate in 5 Years: 4,846 18 - 24 3.89% Growth Last 5 Years: 18.13% 25 - 64 59.17% Growth Last 10 Years: -121.84% 65 - 74 9.27% 75+ Household Size Household Income Current Year: 1,763 0 - $25,000 16.05% Average Current Year: 2.3 $25,000 - $35,000 2.89% Estimate in 5 Years: 2,217 $35,000 - $50,000 6.81% Growth Last 5 Years: 19.85% $50,000 - $75,000 10.72% Growth Last 10 Years: 5.58% $75,000 - $100,000 14.75% Male Population: 49.59% Above $100,000 48.78% Female Population: 50.41% Average Household Income: $93,547 Married People: 52.83% Unmarried People: 47.17% Housing Median Mortgage Payments Home Values Under $300: 0.96% Below $100,000: 3.84% $300 - $799: 13.04% $100,000 - $150,000: 3.12% $800 - $1,999: 39.36% $150,000 - $200,000: 4.56% Over $2,000: 46.64% $200,000 - $300,000: 17.44% Median Home Value: $512,800 $300,000 - $500,000: 19.84% Unit Occupied Owner: 70.9% Above $500,000: 51.2% Median Mortgage: $1,910
©
Customer Name : Jeremiah Stiffler Customer Company Name : First American Prepared On : 03/03/2023
2023 CoreLogic. All rights reserved
Rent Payments Year Built Unit Occupied Renter: 29.1% 1999 - 2000 Median Gross Rent: $894 1995 - 1998 Less Than $499 1.63% 1990 - 1994 $500 - $749 29.27% 1980 - 1989 7.87% $750 - $999 27.03% 1970 - 1979 15.74% $1000 and Over 42.07% 1900 - 1969 55.09% Education Enrollment Public Pre-Primary School: 0% Not Enrolled in School: 79.16% Private Pre-Primary School: 3.05% Not A High School Graduate: 2.57% Public School: 9.78% Graduate Of High School: 14.61% Private School: 11.05% Attended Some College: 15.18% Public College: 2.44% College Graduate: 37.99% Private College: 2.19% Graduate Degree: 29.64% Workforce Occupation: Manager/Prof: 64.26% Private Worker: 59.18% Technical: Government Worker: 8.59% Sales: 20.09% Self Employed Worker: 11.7% Administrative: Unpaid Family Worker: 12.24% Private House Hold: Farming: 2.71% Service: 9.53% Skilled: Protective Services: Blue-Collar: 6.12% Commute Time Less Than 15 Min: 17.29% 15 min - 28 min: 68.4% 30 min - 57 min: 13.3% Over 60 min: 1.01% Customer Name : Jeremiah Stiffler Customer Company Name : First American Prepared On : 03/03/2023 © 2023 CoreLogic. All rights reserved

Customer Name : Jeremiah Stiffler

Customer Company Name : First American Prepared On : 03/03/2023

© 2023 CoreLogic. All rights reserved

Customer Name : Jeremiah Stiffler

Customer Company Name : First American Prepared On : 03/03/2023

© 2023 CoreLogic. All rights reserved

Customer Name : Jeremiah Stiffler

Customer Company Name : First American Prepared On : 03/03/2023

© 2023 CoreLogic. All rights reserved

SEARCH PARAMETERS

PARCEL:  161-22-027

PARCEL: 161-22-027 5

OWNER: SSE DEVELOPMENT AZ LLC

SITUS: 128 E TUCKEY LN PHOENIX

MAIL: 128 E TUCKEY LN  PHOENIX, AZ 85012

PLAT: 51 -   46 LOT    34

LEGAL: NORTH CENTRAL GROVES MCR 51-46 ALL LOT 34 & E 20F LOT 35 & ALSO S2 ABAND ALLEY LY NLY & ADJ TO SD PARCEL

CURRENT TAXES

END SEARCH

MARICOPA, AZ 03/03/2023  02:34PM  R9C8  INVESTIGATIVE SEARCH RESULTS PAGE 1 OF 1
+ FIRST AMERICAN TITLE, FC0, JSTI
INSTRUMENT REC DATE
2022 307882 04/06/2022
INFORMATION THROUGH 02/24/2023 LAND IMPR EXEMPT RATE AREA SPECIAL DISTRICTS PRIMARY  32,948  0  0  8.1522  381300 SECONDARY  9,540  38,180  0  5.4235  2022 TOTAL TAX BILLED 4,472.92 2022  TAX AMT TAX DUE INTEREST DATE PAID TOTAL DUE FIRST HALF  2,236.46  0.00  0.00  09/08/2022  0.00  SECOND HALF  2,236.46  2,236.46  0.00  2,236.46  TOTAL CURRENT TAXES DUE 03/23 2,236.46 04/23 2,236.46 (ESTIMATED)
BLDG SQFT  1,982 COOLING  REFRIGERATION YEAR BUILT  1953 EXTERIOR WALLS  PAINTED BLOCK NUMBER OF STORIES  1.0 ROOF  ASPHALT SHINGLE NUMBER OF ROOMS CONSTRUCTION CLASS  R4 NUMBER OF BATH FIXTURES  8 PHYSICAL CONDITION  OTHER PATIO (TYPE AND NUMBER)  UNCOVERED_AND_COVERED 2 LAND USE  01 41 GARAGE (TYPE AND NUMBER)  NONE 0 LOT SIZE  13,550 SQ FT POOL SQ FT SCHOOL DISTRICT  381300 HEATING LAND FULL CASH VALUE  95,400 IMPR FULL CASH VALUE 381,800 SALES SALE DATE SALE AMOUNT INSTRUMENT TYPE SELLER NAME VALIDITY 10/17/1980 90,000    1980 361001 JD KRAFT H E PER REP 1 ADDITIONAL PROPERTY INFORMATION STANDARD LAND USE: SFR
RESIDENTIAL IMPROVEMENTS
MARICOPA, AZ Document:DED WAR 2022.307882 Page:1 of 3 Printed on:3/3/2023 3:37 PM Branch :FC0 User :JSTI
MARICOPA, AZ Document:DED WAR 2022.307882 Page:2 of 3 Printed on:3/3/2023 3:37 PM Branch :FC0 User :JSTI
MARICOPA, AZ Document:DED WAR 2022.307882 Page:3 of 3 Printed on:3/3/2023 3:37 PM Branch :FC0 User :JSTI
MARICOPA, AZ Document:DOT 2022.686521 Page:1 of 8 Printed on:3/3/2023 3:37 PM Branch :FC0 User :JSTI
MARICOPA, AZ Document:DOT 2022.686521 Page:2 of 8 Printed on:3/3/2023 3:37 PM Branch :FC0 User :JSTI
MARICOPA, AZ Document:DOT 2022.686521 Page:3 of 8 Printed on:3/3/2023 3:37 PM Branch :FC0 User :JSTI
MARICOPA, AZ Document:DOT 2022.686521 Page:4 of 8 Printed on:3/3/2023 3:37 PM Branch :FC0 User :JSTI
MARICOPA, AZ Document:DOT 2022.686521 Page:5 of 8 Printed on:3/3/2023 3:37 PM Branch :FC0 User :JSTI
MARICOPA, AZ Document:DOT 2022.686521 Page:6 of 8 Printed on:3/3/2023 3:37 PM Branch :FC0 User :JSTI
MARICOPA, AZ Document:DOT 2022.686521 Page:7 of 8 Printed on:3/3/2023 3:37 PM Branch :FC0 User :JSTI
MARICOPA, AZ Document:DOT 2022.686521 Page:8 of 8 Printed on:3/3/2023 3:37 PM Branch :FC0 User :JSTI

Turn static files into dynamic content formats.

Create a flipbook
Issuu converts static files into: digital portfolios, online yearbooks, online catalogs, digital photo albums and more. Sign up and create your flipbook.
128 E Tuckey Ln, Phoenix, AZ 85012 by FirstAmAZ - Issuu