121 12 361

Page 1

Data Provided By:

First American Title Ins Co

5128 E Pima St Tucson AZ 85712 APN: 121-12-3610
Subject Property
© 2023 CoreLogic. All rights reserved

LIMITATION OF LIABILITY FOR INFORMATIONAL REPORTS

IMPORTANT -- PLEASE READ CAREFULLY:

This report is not an insured product or service or a representation of the condition of title to real property. It is not an abst ract, legal opinion, opinion of title, title insurance commitment or preliminary report, or any form of Title Insurance or Guaranty. This report is issued exclusively for the benefit of the Applicant therefor and may not be used or relied upon by any other person. This report may not be reproduced in any manner without First American or Title Security's prior written consent. First American or Title Security does not represent or warrant that the information herein is complete or free from error, and the information herein is provided without any warranties of any kind, as-is, and with all faults. As a material part of the consideration given in exchange for the issuance of this report, recipient agrees that First American or Title Security's sole liability for any loss or damage caused by an error or omission due to inaccurate information or negligence in preparing this report shall be limited to the fee charged for the report. Recipient accepts this report with this limitation and agrees that First American or Title Security would not have issued this report but for the limitation of liability described above. First American or Title Security makes no representation or warranty as to the legality or propriety of recipient's use of the information herein.

Disclaimer

This REiSource report is provided "as is" without warranty of any kind, either express or implied, including without limitations any warrantees of merchantability or fitness for a particular purpose. There is no representation of warranty that this information is complete or free from error, and the provider does not assume, and expressly disclaims, any liability to any person or entity for loss or damage caused by errors or omissions in this REiSource report without a title insurance policy.

The information contained in the REiSource report is delivered from your Title Company, who reminds you that you have the right as a consumer to compare fees and serviced levels for Title, Escrow, and all other services associated with property ownership, and to select providers accordingly. Your home is the largest investment you will make in your lifetime and you should demand the very best.

Data Provided By: First American Title Ins Co
© 2023 CoreLogic. All rights reserved

Subject Property :   5128 E Pima St Tucson AZ 85712

Owner Information

Owner Name : Modaz Llc

Mailing Address : 4605 Buena Vista Rd #600, Bakersfield CA 93311-8792 C016

Owner Occupied Indicator : A

Location Information

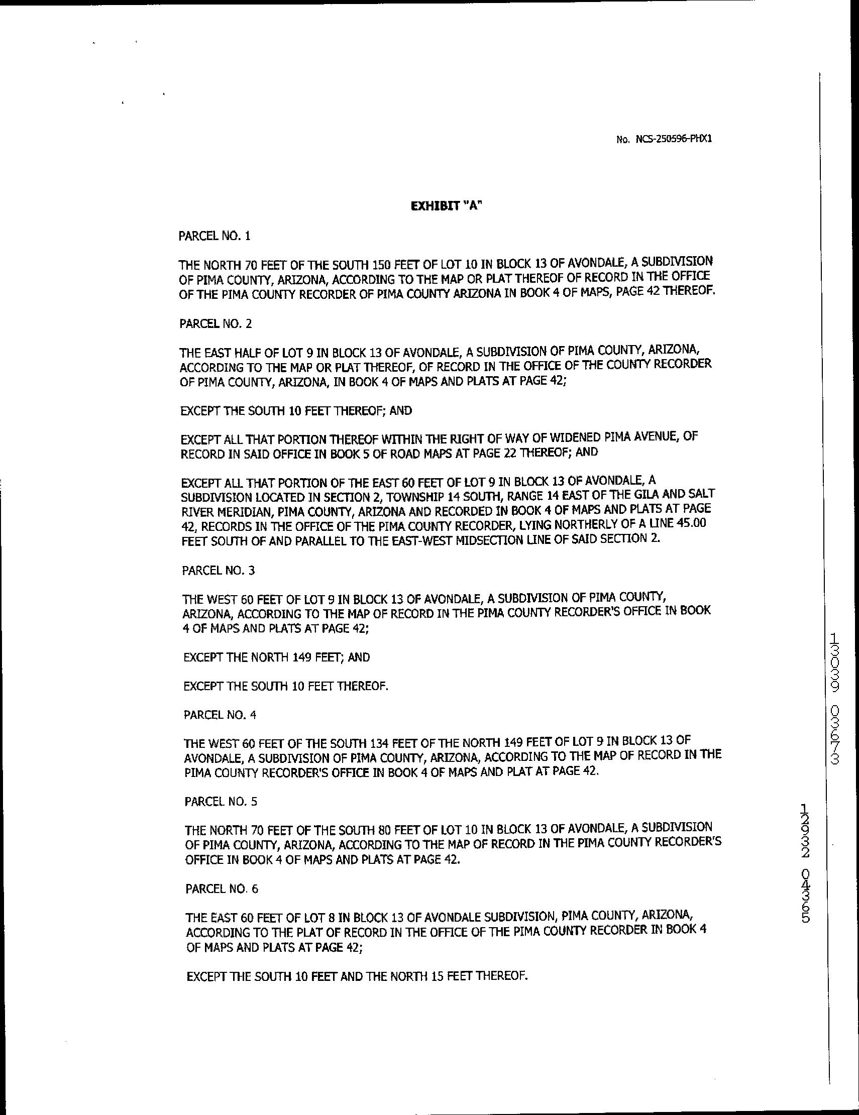
Legal Description : Avondale S2 W60' N290' Lot 8 Blk 13

County : Pima, Az

Market Area : 50

Census Tract / Block : 31.02 / 1 APN : 121-12-3610

Township-Range- Sect : 14S-14E-2

Legal Book/Page : 4-42

Legal Lot : 8

Legal Block : 13

Owner Transfer Information

Recording/Sale Date : 04/23/2007 / 04/00/2007

Document # : 13039-3670

Last Market Sale Information

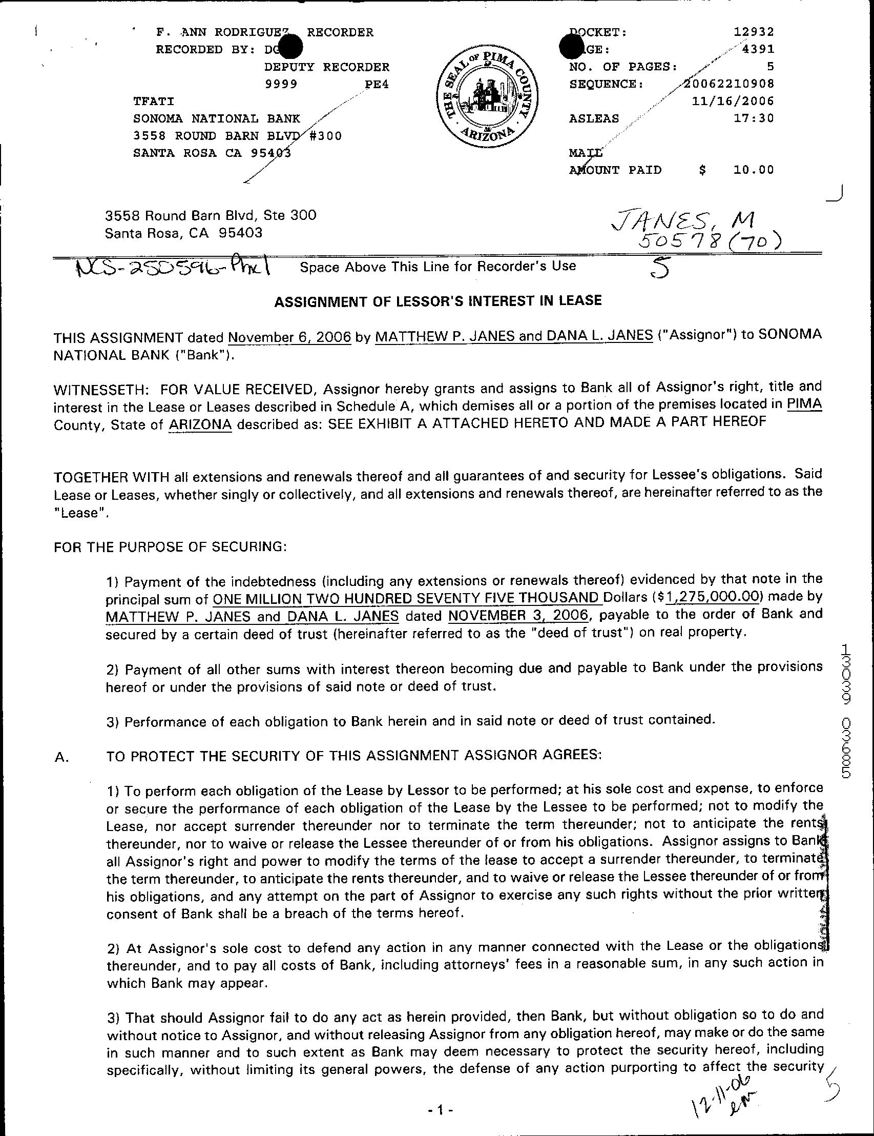
Recording/Sale Date : 11/16/2006 / 11/16/2006

Subdivision : Avondale

Map Reference : 02-14S-14E

School District : Tucson Unified

Munic/Township : Tucson Unified

Deed Type : Deed (reg)

1st Mtg Int. Rate/Type : / Adjustable Int Rate Loan Sale Price : $1,800,000

Document # : 2210905

Deed Type : Special Warranty Deed

1st Mtg Amount/Type : $1,275,000 / Cnv

Title Company : First American Title

Lender : Sonoma Nat'l Bk

Seller Name : Jensen Family

Prior Sale Information

Prior Rec/Sale Date : 04/02/1996 / 03/00/1996

Prior Sale Price : $152,000

Prior Doc Number : 10264-956

1st Mtg Document # : 12932-4367

Price Per SqFt : $1,061.95

2nd Mtg Amount/Type : $290,000 / Private Party

Prior Deed Type : Warranty Deed

Prior Lender : Lender Seller

Prior 1st Mtg Amt/Type : $124,000 / Conv

Company Prepared
02/23/2023 © 2023 CoreLogic. All rights reserved
Customer Name : Lisa Mrazek Customer Company Name : First American Title Insurance
On :

Property Characteristics

Gross Area : 1,695

Living Area : 1,695

Year Built / Eff : 1948 / 1948

# of Stories : 1

Foundation : Concrete

Property Information

Land Use : Mixed Complex

Roof Material : Roll Composition

Exterior wall : Block

Construction : Concrete Porch Type : Enclosed Porch

Heat Type : Forced Air

Cooling Type : Forced Air

Zoning : C-1

County Use : Mixed Complexone Story Lot Acres : 0.19

Tax Information

Total Value : $162,387

Total Taxable Value : $15,071

Assessed Year : 2022

Tax Year : 2022

Property Tax : $2,099.10

Tax Rate Area : 0150

Market Value : $162,387

Current Assessed Year : 2023

Air Cond : Evap Cooler

Floor Cover : Asphalt Tile

Lot Size : 8,472

State Use : Mixed Complexone Story

Current Year Total Value : $19,265

Current Year Improvement Value :

$19,215

Current Year Land Value : $50

© 2023 CoreLogic. All rights reserved
Customer Name : Lisa Mrazek Customer Company Name : First American Title Insurance Company Prepared On : 02/23/2023

Customer Name : Lisa Mrazek

Customer Company Name : First American Title Insurance Company Prepared On : 02/23/2023

© 2023 CoreLogic. All rights reserved

No comparables data for selected property.

Customer Name : Lisa Mrazek

Customer Company Name : First American Title Insurance Company Prepared On : 02/23/2023

© 2023 CoreLogic. All rights reserved

Subject Property :   5128 E Pima St Tucson AZ 85712

Customer Name : Lisa Mrazek

Customer Company Name : First American Title Insurance Company Prepared On : 02/23/2023 © 2023 CoreLogic. All rights reserved

Arizona Schools For detailed information and statistics on Arizona schools please go to https://azreportcards.azed.gov/ First American Title Insurance Company, and the operating divisions thereof, make no express or implied warranty respecting the information presented and assume no responsibility for errors or omissions. First American, the eagle logo, First American Title, and firstam.com are registered trademarks or trademarks of First American Financial Corporation and/or its affiliates. ©2021 First American Financial Corporation and/or its affiliates. All rights reserved. NYSE: FAF 05117910421

PIMA COUNTY

School District Information

This map is provided for general location only. Please contact school districts for actual street boundaries

05249570321 TUCSON INT'L AIRPORT Air Force WSilverbellRd SSantaRitaRd N M t L emmon Hwy ESascoRd NF38 W Avra Valley Rd E Grand Va ey Dr NAguirre R d N L u c k e R d N W e n t z R d N Wa terman Mounta i n R d N Anway Rd W El Tiro Rd N Trico Rd W Tucker Rd W Rudas l Rd W Manvi e Rd SSanJoaquinRd WBopp Rd W Snyder H l Rd S M a r s e a r R d W Park Rd W Hermans Rd W Hermans Rd W Guy St W Bush Rd S G a v e y R d N C a e R i n c o n a d o S W m o R d S Shaw Rd S Sierrita Mountain Rd S K o b R d W TwinButtes Rd W Mcgee Ranch Rd S E s t a n c a D r EDesertDove E Hemlock Dr N Bea r C a n y o n R d W E Camino Del Cerro E Fairmount St S Swan Rd NFrontageRd W Emigh Rd W Fort Lowe Rd N P u m p S t a t ion dR E Nona Rd Ch efButteRd Lo al Ave N Trico Rd S Cattle Tank Rd Evalyn Rd SOwlHead R a n c h Rd GasLineRd S P ec a n R d N T r c o R d W Bayard Rd S S a n d a r o R d W i l l owSpri n gsRd N Dove Mountain Blvd SHelvetiaRd WAnamax Mine Rd W G a c i a R a n hc R d Road424 WRagged Top Rd W Ruby Star Dr WBritten RanchRd W Pima Mine Rd S Mcgee Ranch R d E Edw n Rd SGuildRd 8 0 NKINNEYRD S PICACHO HWY E BAUMGARTNER RD N S A N D A R I O R D N ANWAY RD W VALENCIA RD W MOORE RD W INA RD N 1 S T A V E E SUNRISE DR E SNYDER RD NSILVERBELLRD N S O L D I E R T R L E RIVER RD E PRINCE RD E SPEEDWAY BLVD S FREEMAN RD E 22ND ST E 22ND ST W IRVINGTON RD S N O G A L E S H W Y W VALENCIA RD SMISSIONRD W SPEEDWAY BLVD S O L D S P A N I S H T RL W NARANJA DR W TWIN PEAKS RD W PICTURE ROCKS RD W MANVILLE RD SKINNEYRD W MILE WIDE RD E SAHUARITA RD N TRICO RD S S A N D A R O R D PARK LINK DR S OLD N O G ALES HW Y S H O U G H T O N R D S L A C A N A D A DR W HELMET PEAK RD WAJOHWY N S W A N R D S KOLB RD S HOUGHTON RD W TANGERINE RD E GRANT RD S H O U G H T O N R D 9 5 WAJOHWY E VALENCIA RD NORACLE R D I10 I-19 77 77 77 86 86 286 10 19 10 10 Corona de Tucson Casas Adobes Catalina Green Valley Oracle Picture Rocks Three Points Vail Summit Tanque Verde Tucson Sahuarita Red Rock Saddlebrooke Marana Oro Valley Rillito Summerhaven Willow Canyon Oracle Junction Cortaro Continental Littletown 20 30 13 15 51 39 12 01 01 08 10 16 11 06
SCHOOL DISTRICTS 15 AJO UNIFIED 111 N. Well Road, Ajo, AZ 85321 520.387.5618 51 ALTAR VALLEY ELEMENTARY 10105 S. Sasabe Road, Tucson, AZ 85736 520.822.1484 10 AMPHITHEATER UNIFIED 701 W. Wetmore, Tucson, AZ 85705 520.696.5000 16 CATALINA FOOTHILS UNIFIED 2101 E. River Road, Tucson, AZ 85718 520.209.7500 39 CONTINENTAL ELEMENTARY 1991 E. Whitehouse Canyon, Green Valley, AZ 85614 520.625.4581 08 FLOWING WELLS UNIFIED 1556 W. Prince Road, Tucson, AZ 85705 520.696.8800 06 MARANA UNIFIED 11279 W. Grier Road, Marana, AZ 85653 520.682.3243 11 PIMA COUNTY JTED 2855 W. Master Pieces Dr, Tucson, AZ 85741 520.352.5833 30 SAHUARITA UNIFIED 350 W. Sahuarita Road, Sahuarita, AZ 85629 520.625.3502 12 SUNNYSIDE UNIFIED 2238 E. Ginter Road, Tucson, AZ 85706 520.545.2000 13 TANQUE VERDE UNIFIED 2300 N. Tanque Verde Loop, Tucson, AZ 85749 520.749.5751 01 TUCSON UNIFIED 1010 E. 10th Street, Tucson, AZ 85717 520.225.6000 20 VAIL UNIFIED 10701 E. Mary Ann Cleveland Way, Tucson, AZ 85747 520.879.2000 First American Title Insurance Company, and the operating divisions thereof, make no express or implied warranty respecting the information presented and assume no responsibility for errors or omissions. First American, the eagle logo, First American Title, and firstam.com are registered trademarks or trademarks of First American Financial Corporation and/or its affiliates. ©2021 First American Financial Corporation and/or its affiliates. All rights reserved. NYSE: FAF

Public Schools :

Elementary Schools

Desert Sky Community School Distance 0.37 Miles

1350 N Arcadia Ave Tucson AZ 85712

Telephone : (520) 745-3888

Lowest Grade : K

Kindergarten : Yes

Enrollment : 56

School District : Desert Sky Community School Inc. (88308)

Highest Grade : 5th

School Enrollment :

Total Expenditure/Student :

Adventure School Distance 0.82 Miles

5757 E Pima St Tucson AZ 85712

Telephone : (520) 296-0656

Lowest Grade : K

Kindergarten : Yes

Enrollment : 148

School District : Educational Impact Inc. (81123)

Highest Grade : 8th

School Enrollment :

Total Expenditure/Student :

John B Wright Elementary School Distance 1.03 Miles

4311 E Linden St Tucson AZ 85712

Telephone : (520) 232-8100

Lowest Grade : Pre-K

Kindergarten : Yes

Enrollment : 496

School District : Tucson Unified District (4403)

Highest Grade : 5th

School Enrollment :

Total Expenditure/Student : 200

©
Customer Name : Lisa Mrazek Customer Company Name : First American Title Insurance Company Prepared On : 02/23/2023
2023 CoreLogic. All rights reserved

W V Whitmore Elementary School Distance 1.03 Miles

5330 E Glenn St Tucson AZ 85712

Telephone : (520) 232-8000

Lowest Grade : Pre-K

Kindergarten : Yes

Enrollment : 310

School District : Tucson Unified District (4403)

Highest Grade : 5th

School Enrollment :

Total Expenditure/Student : 200

Middle Schools

Ida Flood Dodge Traditional Middle Magnet School Distance 0.9 Miles

5831 E Pima St Tucson AZ 85712

Telephone : (520) 731-4100

Lowest Grade : 6th

Kindergarten : No

Enrollment : 424

School District : Tucson Unified District (4403)

Highest Grade : 8th

School Enrollment :

Total Expenditure/Student : 200

Alice Vail Middle School Distance 2.06 Miles

5350 E 16th St Tucson AZ 85711

Telephone : (520) 584-5400

Lowest Grade : 6th

Kindergarten : No

Enrollment : 793

School District : Tucson Unified District (4403)

Highest Grade : 8th

School Enrollment :

Total Expenditure/Student : 200

Customer Name : Lisa Mrazek Customer Company Name : First American Title Insurance Company Prepared On : 02/23/2023
© 2023 CoreLogic. All rights reserved

Doolen Middle School Distance 2.55 Miles

2400 N Country Club Rd Tucson AZ 85716

Telephone : (520) 232-6900

Lowest Grade : 6th

Kindergarten : No

School District : Tucson Unified District (4403)

Highest Grade : 8th

School Enrollment : Enrollment : 601

Total Expenditure/Student : 200

High Schools

Pcjted - Rincon High School Distance 1.14 Miles

421 N Arcadia Ave Tucson AZ 85711

Telephone : (520) 225-4652

Lowest Grade : 9th

School District : Pima County Jted (89380)

Highest Grade : 12th

School Enrollment : Enrollment : 0

Total Expenditure/Student :

Advanced Placement : No

Rincon High School Distance 1.14 Miles

421 N Arcadia Ave Tucson AZ 85711

Telephone : (520) 232-5600

Lowest Grade : 8th

School District : Tucson Unified District (4403)

Highest Grade : 12th

School Enrollment : Enrollment : 1271

Total Expenditure/Student : 200

Advanced Placement : No

University High School Distance 1.14 Miles

421 N Arcadia Ave Tucson AZ 85711

Telephone : (520) 232-5900

Lowest Grade : 8th

School District : Tucson Unified District (4403)

Highest Grade : 12th

School Enrollment : Enrollment : 1150

Total Expenditure/Student : 200

Advanced Placement : No

© 2023 CoreLogic. All rights reserved
Customer Name : Lisa Mrazek Customer Company Name : First American Title Insurance Company Prepared On : 02/23/2023
Pcjted - University High School Distance 1.14 Miles 421 N Arcadia Ave Tucson AZ 85711 Telephone : (520) 225-4300 School District : Pima County Jted (89380) Lowest Grade : 9th Highest Grade : 12th School Enrollment : Enrollment : 0 Total Expenditure/Student : Advanced Placement : No
First American Title Insurance Company Prepared On : 02/23/2023 © 2023 CoreLogic. All rights reserved
Customer
Name : Lisa Mrazek Customer Company Name :
Local Business Attractions / Recreation Name Address Telephone Distance (Miles) Mary Anne Shaw 5240 E Pima St Tucson Az (520) 289-2236 0.15 Carol Lehrman 5343 E Pima St Ste 101 Tucson Az (520) 290-1242 0.25 Psychic Visions 1151 N Craycroft Rd Tucson Az (520) 474-8651 0.58 Renee Star Entertainment Llc 5201 E 2nd St Apt D15 Tucson Az (520) 312-0041 0.58 Banks / Financial Name Address Telephone Distance (Miles) Prime Capital Inc 5357 E Pima St Ste 103 Tucson Az (520) 323-3300 0.26 Buckeye Check Cashing, Inc. 5502 E Pima St Ste 100 Tucson Az (520) 546-6100 0.46 Tucson Healthcare Affiliates Federal Credit Union 5280 E Grant Rd Tucson Az (520) 324-5105 0.56 Wells Fargo Bank, National Association 5310 E Grant Rd Tucson Az (520) 792-5269 0.58 Eating / Drinking Name Address Telephone Distance (Miles) La Frontera Ctr 1654 N Rosemont Blvd Tucson Az (520) 748-8206 0.06 Hifalutin Inc 5403 E Pima St Tucson Az (520) 297-0518 0.33 Avdc, Inc 5416 E Pima St Tucson Az (520) 325-3151 0.35 Jose Mada 1847 N Linden Pl Tucson Az (520) 909-3428 0.4 Health Care Services Name Address Telephone Distance (Miles) Zen Institute, Llc 5210 E Pima St Ste 110 Tucson Az (520) 222-9361 0.1 Karl L Sachs 5210 E Pima St Ste 105 Tucson Az (520) 869-4166 0.1 Abtin, Azita 5210 E Pima St Ste 200 Tucson Az (520) 272-9497 0.1 Zona Integrated Health Center Llc 5210 E Pima St Tucson Az (520) 353-3309 0.1 Customer Name : Lisa Mrazek Customer Company Name : First American Title Insurance Company Prepared On : 02/23/2023 © 2023 CoreLogic. All rights reserved
Hospitality Name Address Telephone Distance (Miles) Ga Tucson Hotel, Llc 5151 E Grant Rd Tucson Az (520) 323-6262 0.56 Tnb Tucson, L.l.c. 5151 E Grant Rd Tucson Az (520) 323-6262 0.56 Esa P Portfolio Operating Lessee, Llc 5050 E Grant Rd Tucson Az (520) 795-9510 0.56 Lake Powell Iii, Llc 3127 N Valley Ranch Dr Tucson Az (520) 323-7835 1.46 Organizations / Associations Name Address Telephone Distance (Miles) Pima Street Baptist Church 5056 E Pima St Tucson Az (520) 795-2085 0.11 Kadampa Meditation Center Arizona 5326 E Pima St Tucson Az (520) 441-1617 0.23 Tara Mahayana Buddhist Center 5326 E Pima St Tucson Az (520) 296-8626 0.23 Streams In The Desert Evangelical Lutheran Church Of Tucson 5360 E Pima St Tucson Az (520) 795-1932 0.28 Personal Services Name Address Telephone Distance (Miles) Balanced Spirit Pilates Studio, Llc 1739 N Santa Rosa Ave Tucson Az (520) 777-8001 0.21 Carephree Pool And Spa 4903 E Lee St Tucson Az (520) 909-5962 0.3 Rachas, Inc. 4730 E Grant Rd Tucson Az (520) 325-9465 0.75 Top Step Training Llc 4614 E Seneca St Tucson Az (607) 738-3407 0.75 Shopping Name Address Telephone Distance (Miles) Circle K Stores Inc. 5301 E Pima St Tucson Az (520) 326-2274 0.21 Rincon Valley Mobile Home Sales Inc 1535 N Arcadia Ave Tucson Az (520) 750-1594 0.33 Ace Pima Hardware Inc 5424 E Pima St Tucson Az (520) 325-7093 0.36 Richard Jorgenson 5457 E Pima St Tucson Az (520) 323-2181 0.39 Customer Name : Lisa Mrazek Customer Company Name : First American Title Insurance Company Prepared On : 02/23/2023 © 2023 CoreLogic. All rights reserved

1709 N ROSEMONT BLVD Distance 0.1 Miles

Owner Name : Thomas

Recording Date : 05/03/2002

Sale Date : 05/01/2002 Sale Price  : $100,000

Total Value : $99,775 Property Tax : $1,298.08

Land Use : Duplex Lot Acres : 0.15

Stories : 1

Yr Blt / Eff Yr Blt : 1981 / 1981

Subdivision  : Cloverleaf Resub

Living Area : 1,590

APN : 121-09-223C

1701 N ROSEMONT BLVD Distance 0.1 Miles

Owner Name : Thomas Recording Date : 05/03/2002

Sale Date : 05/01/2002 Sale Price  : $200,000

Total Value : $199,549 Property Tax : $2,596.06

Land Use : Mixed Complex Lot Acres : 0.28

Stories : 1

Yr Blt / Eff Yr Blt : 1981 / 1981

Subdivision  : Cloverleaf Resub

Living Area : 3,180

APN : 121-09-223D

5205 E PIMA ST Distance 0.1 Miles

Owner Name : Pima & Magnolia Llc

Recording Date : 10/15/2008

Sale Date : 10/07/2008 Sale Price  : $480,000

Total Value : $247,379

Land Use : Office Building

Stories : 1

Yr Blt / Eff Yr Blt : 2001 / 2001

Subdivision  : Cloverleaf

Property Tax : $6,029.57

Lot Acres : 0.21

Living Area : 2,006

APN : 121-09-090A

1725 N ROSEMONT BLVD Distance 0.11 Miles

Owner Name : Nogal Lillian

Total Value : $179,409

Bed / Bath : / 3

Land Use : Sfr

Stories : 1

Yr Blt / Eff Yr Blt : 1961 /

Subdivision : Cloverleaf Resub

Recording Date : 09/12/1977

Property Tax : $2,265.78

Lot Acres : 0.28

Living Area : 1,589

APN : 121-09-2240

© 2023 CoreLogic. All rights reserved

Customer Name : Lisa Mrazek Customer Company Name : First American Title Insurance Company Prepared On : 02/23/2023

5225 E PIMA ST Distance 0.11 Miles

Owner Name : Kms Enterprises Llc

Sale Date : 01/25/2005

Total Value : $145,080

Recording Date : 01/27/2005

Sale Price  : $365,000

Property Tax : $3,433.34

Land Use : Store Building Lot Acres : 0.11

Stories : 1 Living Area : 2,250

Yr Blt / Eff Yr Blt : 1978 / 1978

Subdivision  : Cloverleaf Add

APN : 121-09-091A

1726 N MAGNOLIA AVE Distance 0.12 Miles

Owner Name : Jensen E Robert Subdivision : Cloverleaf

Sale Date : 04/22/2002

Total Value : $221,642

Recording Date : 04/25/2002

Property Tax : $2,907.94

Land Use : Triplex Lot Acres : 0.20

Stories : 1

Yr Blt / Eff Yr Blt : 1984 / 1984

Living Area : 2,965

APN : 121-09-124A

1710 N FRANCES BLVD Distance 0.12 Miles

Owner Name : Carlson John Derek

Recording Date : 05/01/2003

Sale Date : 04/28/2003 Sale Price  : $145,000

Total Value : $141,795

Property Tax : $1,921.23

Land Use : Duplex Lot Acres : 0.15

Stories : 1

Yr Blt / Eff Yr Blt : 1986 / 1986

Subdivision  : Cloverleaf Twnhs

Living Area : 1,440

APN : 121-09-324A

5227 E PIMA ST Distance 0.12 Miles

Owner Name : Kms Enterprises Llc

Sale Date : 01/25/2005

Total Value : $145,080

Land Use : Store Building

Stories : 1

Yr Blt / Eff Yr Blt : 1971 / 1971

Subdivision  : Cloverleaf

Recording Date : 01/27/2005

Sale Price  : $365,000

Property Tax : $3,433.34

Lot Acres : 0.11

Living Area : 2,250

APN : 121-09-091B

Customer Company Name : First American Title Insurance Company Prepared On : 02/23/2023

© 2023 CoreLogic. All rights reserved

Customer Name : Lisa Mrazek

1720 N FRANCES BLVD

Owner Name : Serino Eric Andres

Sale Date : 12/04/2020

Total Value : $130,520

Bed / Bath : / 2

Land Use : Condominium

Stories : 1

Distance 0.13 Miles

Subdivision : Cloverleaf Twnhs

Recording Date : 12/08/2020

Sale Price  : $188,600

Property Tax : $1,371.57

Lot Acres : 0.07

Living Area : 1,296

Yr Blt / Eff Yr Blt : 1981 / APN : 121-09-3230

1739 N ROSEMONT BLVD Distance 0.13 Miles

Owner Name : Anholt Janet K

Sale Date : 03/00/1987

Total Value : $197,958

Bed / Bath : / 2

Land Use : Sfr

Stories : 1

Yr Blt / Eff Yr Blt  : 1959 /

Subdivision : Cloverleaf Resub

Sale Price  : $65,000

Property Tax : $2,170.29

Lot Acres : 0.28

Living Area : 2,085

APN : 121-09-2250

© 2023 CoreLogic.
rights reserved
Customer Name : Lisa Mrazek Customer Company Name : First American Title Insurance Company Prepared On : 02/23/2023
All
Census Tract / block: 31.02 / 1     Year: 2018 Household Population Population by Age Count: 3,697 0 - 11 Estimate Current Year: 3,585 12 - 17 Estimate in 5 Years: 3,172 18 - 24 8.66% Growth Last 5 Years: -9.17% 25 - 64 54.86% Growth Last 10 Years: -105.7% 65 - 74 10.28% 75+ Household Size Household Income Current Year: 1,790 0 - $25,000 48.99% Average Current Year: 1.94 $25,000 - $35,000 9.89% Estimate in 5 Years: 1,679 $35,000 - $50,000 11.12% Growth Last 5 Years: -6.42% $50,000 - $75,000 11.45% Growth Last 10 Years: 0.41% $75,000 - $100,000 8.66% Male Population: 52.42% Above $100,000 9.89% Female Population: 47.58% Average Household Income: $26,324 Married People: 29.39% Unmarried People: 70.61% Housing Median Mortgage Payments Home Values Under $300: 4.58% Below $100,000: 15.03% $300 - $799: 35.29% $100,000 - $150,000: 19.87% $800 - $1,999: 54.51% $150,000 - $200,000: 33.73% Over $2,000: 5.62% $200,000 - $300,000: 29.15% Median Home Value: $169,800 $300,000 - $500,000: 2.22% Unit Occupied Owner: 42.74% Above $500,000: 0% Median Mortgage: $697
© 2023
rights reserved
Customer Name : Lisa Mrazek Customer Company Name : First American Title Insurance Company Prepared On : 02/23/2023
CoreLogic. All
Rent Payments Year Built Unit Occupied Renter: 57.26% 1999 - 2000 Median Gross Rent: $710 1995 - 1998 Less Than $499 21.07% 1990 - 1994 $500 - $749 38.54% 1980 - 1989 9.85% $750 - $999 9.46% 1970 - 1979 19.35% $1000 and Over 30.94% 1900 - 1969 69.1% Education Enrollment Public Pre-Primary School: 0.83% Not Enrolled in School: 80.45% Private Pre-Primary School: 0.39% Not A High School Graduate: 7.28% Public School: 18.06% Graduate Of High School: 24.31% Private School: 1.49% Attended Some College: 30.7% Public College: 4.47% College Graduate: 27.19% Private College: 0.33% Graduate Degree: 10.53% Workforce Occupation: Manager/Prof: 40.57% Private Worker: 53.98% Technical: Government Worker: 21.03% Sales: 21.17% Self Employed Worker: 4.15% Administrative: Unpaid Family Worker: 12.19% Private House Hold: Farming: 3.27% Service: 28.93% Skilled: Protective Services: Blue-Collar: 9.33% Commute Time Less Than 15 Min: 24.65% 15 min - 28 min: 49.66% 30 min - 57 min: 23.01% Over 60 min: 2.68% Customer Name : Lisa Mrazek Customer Company Name : First American Title Insurance Company Prepared On : 02/23/2023 © 2023 CoreLogic. All rights reserved

Customer Name : Lisa Mrazek

Customer Company Name : First American Title Insurance Company Prepared On : 02/23/2023

© 2023 CoreLogic. All rights reserved

Customer Name : Lisa Mrazek

Customer Company Name : First American Title Insurance Company Prepared On : 02/23/2023

© 2023 CoreLogic. All rights reserved

Customer Name : Lisa Mrazek

Customer Company Name : First American Title Insurance Company Prepared On : 02/23/2023

© 2023 CoreLogic. All rights reserved

SEARCH PARAMETERS

PARCEL:  121-12-3610

PARCEL: 121-12-3610

OWNER: JANES MATTHEW P & DANA L

SITUS: 5128 E PIMA ST TUC

MAIL: 2523 MOHAWK ST

BAKERSFIELD CA 93308-6003

PLAT: LOT 00008 BLOCK 013

LEGAL: AVONDALE S2 W60' N290' LOT 8 BLK 13

ADDITIONAL PROPERTY INFORMATION STANDARD LAND USE:

END SEARCH

PIMA, AZ 02/23/2023  12:12PM  RL13  INVESTIGATIVE SEARCH RESULTS PAGE 1 OF 1
+ FIRST AMERICAN TITLE, FC0, LMRA
INSTRUMENT REC DATE
13039 3670 04/23/2007
CURRENT TAXES INFORMATION THROUGH 01/28/2023 LAND IMPR EXEMPT RATE AREA SPECIAL DISTRICTS PRIMARY  15,071  0  0  11.1537  0150 SECONDARY  50  16,189  0  2.7742  2022 TOTAL TAX BILLED 2,099.10 2022  TAX AMT TAX DUE INTEREST DATE PAID TOTAL DUE FIRST HALF  1,049.55  0.00  0.00  09/27/2022  0.00  SECOND HALF  1,049.55  1,049.55  0.00  1,049.55  TOTAL CURRENT TAXES DUE 02/23 1,049.55 03/23 1,049.55 (ESTIMATED) IMPROVEMENTS PHYSICAL CONDITION   AVERAGE BLDG SQFT  1,695 FULL CASH VALUE  162,387 YEAR BUILT  1948 LAND USE  03 15 NUMBER OF STORIES  1.0 LOT SIZE  8,472 SQ FT STORIES HEIGHT  0 SCHOOL DISTRICT  0150 EXTERIOR WALLS  OTHER LAND FULL CASH VALUE  502 GRADE MATERIALS IMPR FULL CASH VALUE  161,885 SALES SALE DATE SALE AMOUNT INSTRUMENT TYPE SELLER NAME VALIDITY 04/02/1996 152,000    10264 956 WD BERTRAM MARY H M
MIXED COMPLEX
Page 1 of 8 02/23/2023 1:24 PM
Page 2 of 8 02/23/2023 1:24 PM
Page 3 of 8 02/23/2023 1:24 PM
Page 4 of 8 02/23/2023 1:24 PM
Page 5 of 8 02/23/2023 1:24 PM
Page 6 of 8 02/23/2023 1:24 PM
Page 7 of 8 02/23/2023 1:24 PM
Page 8 of 8 02/23/2023 1:24 PM
Page 1 of 4 02/23/2023 1:24 PM
Page 2 of 4 02/23/2023 1:24 PM
Page 3 of 4 02/23/2023 1:24 PM
Page 4 of 4 02/23/2023 1:24 PM
Page 1 of 9 02/23/2023 1:24 PM
Page 2 of 9 02/23/2023 1:24 PM
Page 3 of 9 02/23/2023 1:24 PM
Page 4 of 9 02/23/2023 1:24 PM
Page 5 of 9 02/23/2023 1:24 PM
Page 6 of 9 02/23/2023 1:24 PM
Page 7 of 9 02/23/2023 1:24 PM
Page 8 of 9 02/23/2023 1:24 PM
Page 9 of 9 02/23/2023 1:24 PM
Page 1 of 10 02/23/2023 1:24 PM
Page 2 of 10 02/23/2023 1:24 PM
Page 3 of 10 02/23/2023 1:24 PM
Page 4 of 10 02/23/2023 1:24 PM
Page 5 of 10 02/23/2023 1:24 PM
Page 6 of 10 02/23/2023 1:24 PM
Page 7 of 10 02/23/2023 1:24 PM
Page 8 of 10 02/23/2023 1:24 PM
Page 9 of 10 02/23/2023 1:24 PM
Page 10 of 10 02/23/2023 1:24 PM
Page 1 of 6 02/23/2023 1:24 PM
Page 2 of 6 02/23/2023 1:24 PM
Page 3 of 6 02/23/2023 1:24 PM
Page 4 of 6 02/23/2023 1:24 PM
Page 5 of 6 02/23/2023 1:24 PM
Page 6 of 6 02/23/2023 1:24 PM

Turn static files into dynamic content formats.

Create a flipbook
Issuu converts static files into: digital portfolios, online yearbooks, online catalogs, digital photo albums and more. Sign up and create your flipbook.