11865 N Copper Butte Dr, Tucson, AZ 85737

Page 1

LIMITATION OF LIABILITY FOR INFORMATIONAL REPORTS

IMPORTANT -- PLEASE READ CAREFULLY:

This report is not an insured product or service or a representation of the condition of title to real property. It is not an abst ract, legal opinion, opinion of title, title insurance commitment or preliminary report, or any form of Title Insurance or Guaranty. This report is issued exclusively for the benefit of the Applicant therefor and may not be used or relied upon by any other person. This report may not be reproduced in any manner without First American or Title Security's prior written consent. First American or Title Security does not represent or warrant that the information herein is complete or free from error, and the information herein is provided without any warranties of any kind, as-is, and with all faults. As a material part of the consideration given in exchange for the issuance of this report, recipient agrees that First American or Title Security's sole liability for any loss or damage caused by an error or omission due to inaccurate information or negligence in preparing this report shall be limited to the fee charged for the report. Recipient accepts this report with this limitation and agrees that First American or Title Security would not have issued this report but for the limitation of liability described above. First American or Title Security makes no representation or warranty as to the legality or propriety of recipient's use of the information herein.

© 2023 CoreLogic. All rights reserved
Subject Property 11865 N Copper Butte Dr Tucson AZ 85737 APN: 224-05-0500 Data Provided By: First American Title Ins Co

Disclaimer

This REiSource report is provided "as is" without warranty of any kind, either express or implied, including without limitations any warrantees of merchantability or fitness for a particular purpose. There is no representation of warranty that this information is complete or free from error, and the provider does not assume, and expressly disclaims, any liability to any person or entity for loss or damage caused by errors or omissions in this REiSource report without a title insurance policy.

The information contained in the REiSource report is delivered from your Title Company, who reminds you that you have the right as a consumer to compare fees and serviced levels for Title, Escrow, and all other services associated with property ownership, and to select providers accordingly. Your home is the largest investment you will make in your lifetime and you should demand the very best.

Data Provided By: First American Title Ins Co
© 2023 CoreLogic. All rights reserved

Subject Property :   11865 N Copper Butte Dr Tucson AZ 85737

Owner Information

Owner Name : Hamill David W / Hamill Guillermina

Mailing Address : 11865 N Copper Butte Dr, Tucson AZ 85737-9273 R056

Vesting Codes : / / Joint Tenants

Owner Occupied Indicator : O

Location Information

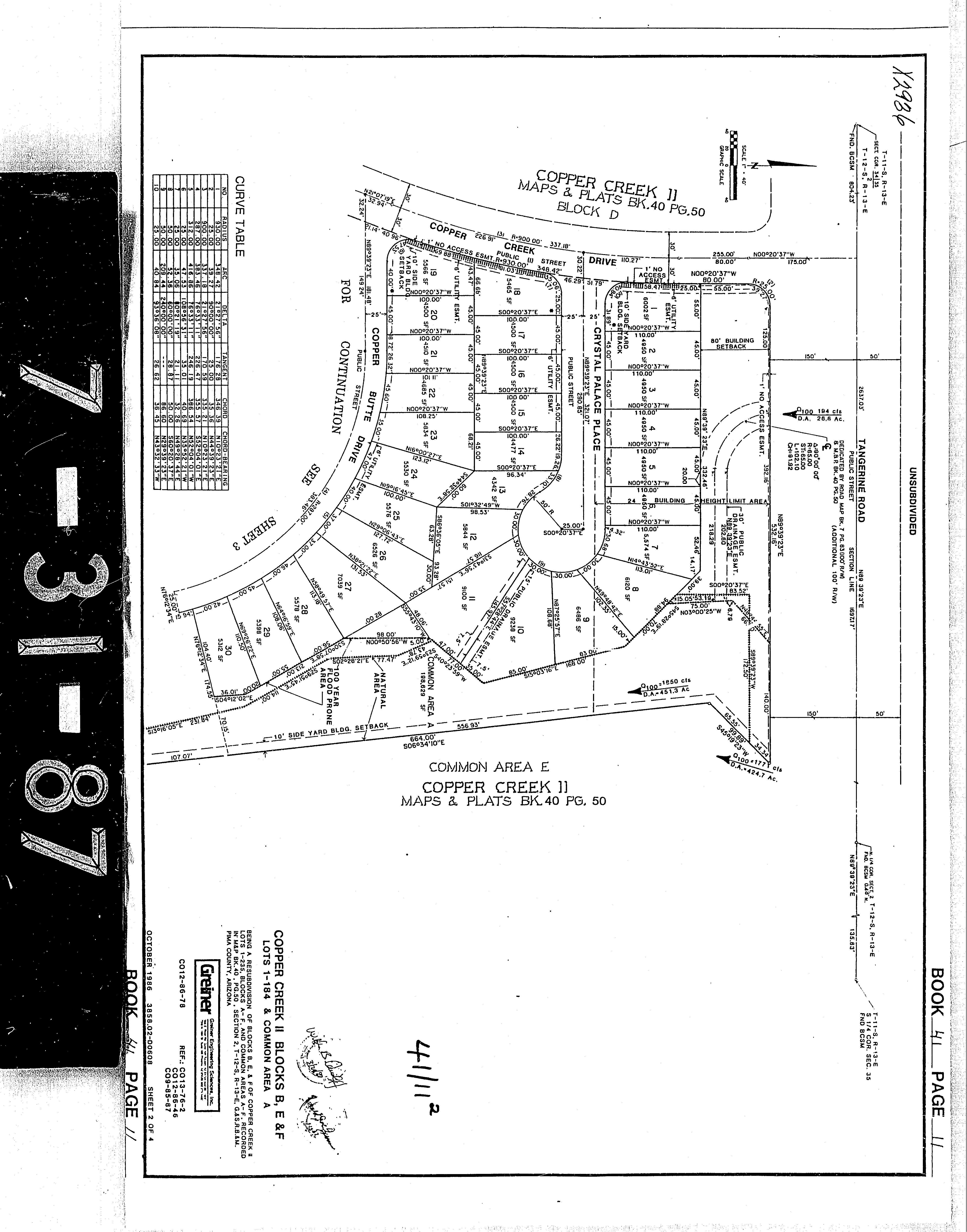
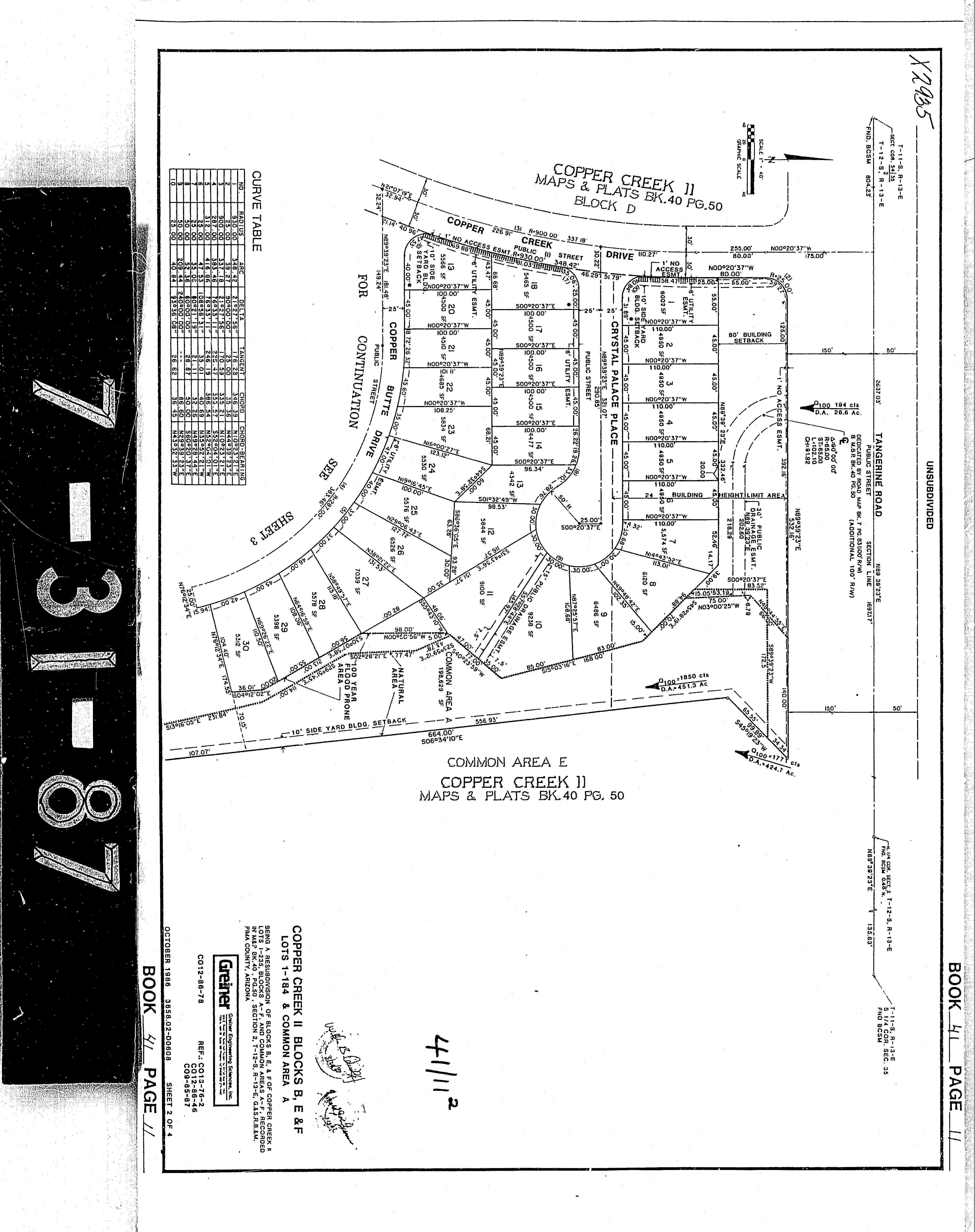
Legal Description : Copper Creek Ii Blks B, E & F Lot 50 (formerly 203-95-0500)

County : Pima, Az

Market Area : 11

Census Tract / Block : 46.36 / 3 APN : 224-05-0500

Township-Range- Sect : 12S-13E-2 Subdivision : Copper Creek 02

Legal Book/Page : 41-11

Map Reference : 02-12S-13E

Legal Lot : 50 School District : Amphitheater

Legal Block : B Munic/Township : Amphitheater

Last Market Sale Information

Recording/Sale Date : 02/13/1990 / 02/13/1990

Sale Price : $106,539

Document # : 8724-1767

Prior Sale Information

Prior Rec/Sale Date : / 10/00/1989

Prior Sale Price : $106,539

Property Characteristics

Gross Area : 1,552

Living Area : 1,552

Total Rooms : 6

Year Built / Eff : 1990

# of Stories : 1

Parking Type : Garage

Garage Capacity : 2

Deed Type : Joint Tenancy Deed

Price Per SqFt : $68.65

Prior Doc Number : 8724-1766

Prior Deed Type : Joint Tenancy Deed

Patio Type : Covered Patio

Roof Material : Roll Composition Air Cond : Refrigeration

Heat Type : Forced Air Quality : Fair

Cooling Type : Forced Air Condition : Average

Exterior wall : Frame Wood

Bath Fixtures : 7

Customer Name : Jeremiah Stiffler

Customer Company Name : First American Prepared On : 01/03/2023

CoreLogic.

© 2023
All rights reserved

Property Information

Land Use : Sfr

Zoning : R-4

County Use : Single Fam Resrural Subd Lot Acres : 0.16

Tax Information

Total Value : $202,478

Property Tax : $2,592.89

Total Taxable Value : $19,842 Tax Rate Area : 1012

Assessed Year : 2021 Market Value : $202,478

Tax Year : 2021 Current Assessed Year : 2023

Lot Size : 7,036

State Use : Single Fam Resrural Subd

Current Year Total Value : $25,259

Current Year Improvement Value :

$25,209

Current Year Land Value : $50

Customer Name : Jeremiah Stiffler

Customer Company Name : First American Prepared On : 01/03/2023

2023 CoreLogic.

©
All rights reserved

11865 N Copper Butte Dr 106,539 202,478 02/13/1990 3 1,552 7,036 1990 R-4 1 11872 N Desert Slopes Way 415,000 209,883 03/04/2022 4 1,634 5,181 1989 0.07 R-4 2 1303 W Desert Cloud Pl 405,000 207,241 02/17/2022 3 1,621 6,288 2000 0.13 R-6 3 1304 W Desert Cloud Pl 339,000 165,028 12/07/2022 3 1,345 5,492 1998 0.13 R-6 4 1324 W Desert Cloud Pl 338,600 183,970 03/18/2022 3 1,621 5,058 1998 0.15 R-6 5 1080 W Antelope Creek Way 350,000 197,122 01/12/2022 3 1,556 6,916 1989 0.19 R-4 6 1166 W Lone Star Mine Pl 388,064 214,439 03/15/2022 3 1,709 8,176 1988 0.2 R-4 7 11731 N Copper Creek Dr 330,000 182,509 06/17/2022 2 1,340 4,484 1994 0.21 R-4 8 11895 N Gray Eagle Ave 320,000 184,740 01/28/2022 3 1,380 7,446 1992 0.23 R-4 9 11701 N Dragoon Springs Dr 405,900 208,482 05/04/2022 3 1,654 8,817 1988 0.24 R-4

Sales Analysis Criteria Subject Property Low High Average
# Address Sale Price Total Assessed Value Sale Date Bed Bath Living Area Lot Size Year Built Dist (Miles) Zoning
© 2023
All rights reserved
Sale Price $106,539 $295,000 $504,000 $395,128 Bldg/Living Area 1552 1340 1744 1613 Price Per Square Foot $68.65 $187 $305 $244.85 Year Built 1990 1988 2005 1993 Lot Size 7,036 4,484 8,874 6,699 Bedrooms Bathrooms 3 2 4 3 Stories 1 1 2 1 Total Assessed Value $202,478 $165,028 $258,788 $209,575 Distance From Subject 0 0.07 0.91 0.35 Summary of Comparables
S
Customer Name : Jeremiah Stiffler Customer Company Name : First American Prepared On : 01/03/2023
CoreLogic.

10 1368 W Crosswinds Pl 430,000 233,258 04/14/2022 3 1,656 7,460 1997 0.25 R-4

11 1131 W Lone Star Mine Pl 450,000 218,547 03/31/2022 3 1,707 8,874 1988 0.27 R-4

12 993 W Lost Dutchman Pl 420,000 195,372 05/12/2022 3 1,707 7,681 1988 0.32 R-4

13 1371 W Sundial Pl 295,000 202,548 05/16/2022 3 1,578 7,753 1996 0.32 R-4

14 11526 N Eagle Peak Dr 390,000 200,188 03/20/2022 3 1,728 4,666 1993 0.43 R-4

15 11520 N Eagle Peak Dr 454,000 221,983 06/22/2022 3 1,744 6,072 1988 0.44 R-4

16 1483 W Red Creek Dr 435,000 233,328 05/04/2022 3 1,547 7,248 2005 0.46 R1-7

17 11452 N Eagle Peak Dr 363,000 226,224 01/14/2022 3 1,744 7,305 1988 0.53 R-4

18 11451 N Scioto Ave 504,000 258,788 11/18/2022 3 1,650 6,826 1996 0.64 PAD

19 1181 W Masters Cir 458,000 225,946 07/15/2022 3 1,705 7,020 1994 0.89 PAD

20 1486 W Sand Pebble Dr 412,000 221,906 04/20/2022 3 1,642 5,219 1996 0.91 PAD

Distressed Sales =

Customer Name : Jeremiah Stiffler Customer Company Name : First American Prepared On : 01/03/2023

CoreLogic.

©
rights reserved
2023
All
Map Customer
Customer
© 2023 CoreLogic. All rights reserved
Name : Jeremiah Stiffler
Company Name : First American Prepared On : 01/03/2023

Details of Comparables

Subject Property: 11865 N Copper Butte Dr Tucson Az 85737

Owner Name: Hamill David W /Hamill Guillermina APN / Alternate APN: 224-05-0500 / Deed Type: Joint Tenancy Deed Land Use: Sfr Subdivision / Tract: Copper Creek 02 / Lot Size: 7,036 Year Built / Eff: 1990 / Rec. Date / Price: 02/13/1990 / $106,539 Living Area: 1,552 # of units:

Document #: 8724-1767 Bedrooms: Pool: Total Tax Value: $202,478 Bath(F/H): /

#1   11872 N Desert Slopes Way Tucson Az 85737

Owner Name: Sawyer Coleen L /Sawyer Stephen J APN / Alternate APN: 224-05-0570 / Deed Type: Warranty Deed Land Use: Sfr Subdivision / Tract: Copper Creek 02 / Lot Size: 5,181 Year Built / Eff: 1989 / Rec. Date / Price: 03/04/2022 / $415,000 Living Area: 1,634 # of units: Document #: 630496 Bedrooms: Pool: Pool Total Tax Value: $209,883 Bath(F/H): /

#2   1303 W Desert Cloud Pl Oro Valley Az 85737

Owner Name: Reid Kenneth /Reid Wendy APN / Alternate APN: 224-04-6860 / Deed Type: Warranty Deed Land Use: Sfr Subdivision / Tract: Diamond Key & Copper Crk / Lot Size: 6,288 Year Built / Eff: 2000 / Rec. Date / Price: 02/17/2022 / $405,000 Living Area: 1,621 # of units: Document #: 480707 Bedrooms: Pool: Pool Total Tax Value: $207,241 Bath(F/H): /

#3   1304 W Desert Cloud Pl Tucson Az 85737

Owner Name: Salazar Olga V / APN / Alternate APN: 224-04-7030 / Deed Type: Warranty Deed Land Use: Sfr Subdivision / Tract: Diamond Key At Copper Creek / Lot Size: 5,492 Year Built / Eff: 1998 / Rec. Date / Price: 12/07/2022 / $339,000 Living Area: 1,345

# of units: Document #: 3410388 Bedrooms: Pool: Total Tax Value: $165,028 Bath(F/H): /

#4   1324 W Desert Cloud Pl Tucson Az 85737

Owner Name: Owner Record / APN / Alternate APN: 224-04-7010 / Deed Type: Warranty Deed Land Use: Sfr Subdivision / Tract: Diamond Key At Copper Creek / Lot Size: 5,058 Year Built / Eff: 1998 / Rec. Date / Price: 03/18/2022 / $338,600 Living Area: 1,621

# of units: Document #: 770911 Bedrooms: Pool: Total Tax Value: $183,970 Bath(F/H): /

Customer Name : Jeremiah Stiffler
© 2023 CoreLogic. All rights reserved
Customer Company Name : First American Prepared On : 01/03/2023

#5   1080 W Antelope Creek Way Tucson Az 85737

Owner Name: Wells Alexander /Bernardez Christina

APN / Alternate APN: 224-04-4010 / Deed Type: Warranty Deed Land Use: Sfr Subdivision / Tract: Copper Creek 02 / Lot Size: 6,916 Year Built / Eff: 1989 / Rec. Date / Price: 01/12/2022 / $350,000 Living Area: 1,556 # of units: Document #: 120718

Bedrooms: Pool: Total Tax Value: $197,122 Bath(F/H): /

#6   1166 W Lone Star Mine Pl Tucson Az 85737

Owner Name: Fkh Sfr Prop Co J Lp / APN / Alternate APN: 224-04-3670 / Deed Type: Warranty Deed Land Use: Sfr Subdivision / Tract: Copper Creek 02 / Lot Size: 8,176 Year Built / Eff: 1988 / Rec. Date / Price: 03/15/2022 / $388,064 Living Area: 1,709 # of units: Document #: 740551 Bedrooms: Pool: Pool Total Tax Value: $214,439 Bath(F/H): /

#7   11731 N Copper Creek Dr Tucson Az 85737

Owner Name: Cortes Jennifer D /Vega Adrian C APN / Alternate APN: 224-05-1750 / Deed Type: Warranty Deed Land Use: Sfr Subdivision / Tract: Copper Creek 02 / Lot Size: 4,484 Year Built / Eff: 1994 / Rec. Date / Price: 06/17/2022 / $330,000 Living Area: 1,340 # of units: Document #: 1680723 Bedrooms: Pool: Total Tax Value: $182,509 Bath(F/H): /

#8   11895 N Gray Eagle Ave Oro Valley Az 85737

Owner Name: Gupta Keshav /Rose Melinda APN / Alternate APN: 224-04-4320 / Deed Type: Warranty Deed Land Use: Sfr Subdivision / Tract: Copper Creek 02 / Lot Size: 7,446 Year Built / Eff: 1992 / Rec. Date / Price: 01/28/2022 / $320,000 Living Area: 1,380 # of units:

Document #: 280716

Bedrooms: Pool: Total Tax Value: $184,740 Bath(F/H): /

#9

11701 N Dragoon Springs Dr Tucson Az 85737

Owner Name: Moore James & Besty S /Moore Brian APN / Alternate APN: 224-04-3730 / Deed Type: Warranty Deed Land Use: Sfr Subdivision / Tract: Copper Creek 02 / Lot Size: 8,817 Year Built / Eff: 1988 / Rec. Date / Price: 05/04/2022 / $405,900 Living Area: 1,654 # of units:

Document #: 1240740

Bedrooms: Pool: Total Tax Value: $208,482 Bath(F/H): /

#10

1368 W Crosswinds Pl Tucson Az 85737

Owner Name: Li Songbo J Q /Li Qian

APN / Alternate APN: 224-04-6420 / Deed Type: Warranty Deed Land Use: Sfr Subdivision / Tract: Copper Creek 02 / Lot Size: 7,460 Year Built / Eff: 1997 / Rec. Date / Price: 04/14/2022 / $430,000 Living Area: 1,656 # of units: Document #: 1040590

Bedrooms: Pool: Pool

Total Tax Value: $233,258 Bath(F/H): /

Customer Company Name : First American Prepared On : 01/03/2023

Customer Name : Jeremiah Stiffler
© 2023 CoreLogic. All rights reserved

#11   1131 W Lone Star Mine Pl Oro Valley Az 85737

Owner Name: Yunkherr Edward A /Mortensen Brenna APN / Alternate APN: 224-04-3570 / Deed Type: Warranty Deed Land Use: Sfr Subdivision / Tract: Copper Creek 02 / Lot Size: 8,874 Year Built / Eff: 1988 / Rec. Date / Price: 03/31/2022 / $450,000 Living Area: 1,707 # of units: Document #: 900436 Bedrooms: Pool: Pool Total Tax Value: $218,547 Bath(F/H): /

#12   993 W Lost Dutchman Pl Oro Valley Az 85737

Owner Name: Caswell Family Trust / APN / Alternate APN: 224-04-4950 / Deed Type: Warranty Deed Land Use: Sfr Subdivision / Tract: Copper Creek 02 / Lot Size: 7,681 Year Built / Eff: 1988 / Rec. Date / Price: 05/12/2022 / $420,000 Living Area: 1,707 # of units: Document #: 1320237 Bedrooms: Pool: Total Tax Value: $195,372 Bath(F/H): /

#13   1371 W Sundial Pl Tucson Az 85737

Owner Name: Barrowcliff Gregory J & Eliza / APN / Alternate APN: 224-04-6290 / Deed Type: Warranty Deed Land Use: Sfr Subdivision / Tract: Copper Creek 02 / Lot Size: 7,753 Year Built / Eff: 1996 / Rec. Date / Price: 05/16/2022 / $295,000 Living Area: 1,578 # of units: Document #: 1360634 Bedrooms: Pool: Total Tax Value: $202,548 Bath(F/H): /

#14   11526 N Eagle Peak Dr Tucson Az 85737

Owner Name: Young Matthew /Sewell Jacqueline APN / Alternate APN: 224-06-0360 / Deed Type: Warranty Deed Land Use: Sfr Subdivision / Tract: Copper Creek 01 / Lot Size: 4,666 Year Built / Eff: 1993 / Rec. Date / Price: 03/20/2022 / $390,000 Living Area: 1,728 # of units:

Document #: 740311

Bedrooms: Pool: Total Tax Value: $200,188 Bath(F/H): /

#15   11520 N Eagle Peak Dr Tucson Az 85737

Owner Name: Offerpad Point Llc / APN / Alternate APN: 224-06-0350 / Deed Type: Warranty Deed Land Use: Sfr Subdivision / Tract: Copper Creek 01 / Lot Size: 6,072 Year Built / Eff: 1988 / Rec. Date / Price: 06/22/2022 / $454,000 Living Area: 1,744 # of units:

Document #: 1730532

Bedrooms: Pool: Pool Total Tax Value: $221,983 Bath(F/H): /

#16   1483 W Red Creek Dr Oro Valley Az 85737

Owner Name: Kidd Adam /Halcomb Taylor C

APN / Alternate APN: 224-07-0470 / Deed Type: Warranty Deed Land Use: Sfr Subdivision / Tract: Verde Ranch / Lot Size: 7,248 Year Built / Eff: 2005 / Rec. Date / Price: 05/04/2022 / $435,000 Living Area: 1,547 # of units: Document #: 1240634

Bedrooms: Pool: Total Tax Value: $233,328 Bath(F/H): /

Customer

Customer Name : Jeremiah Stiffler
© 2023 CoreLogic. All rights reserved
Company Name : First American Prepared On : 01/03/2023

#17   11452 N Eagle Peak Dr Tucson Az 85737

Owner Name: Koury Clark G / APN / Alternate APN: 224-06-0220 / Deed Type: Warranty Deed Land Use: Sfr Subdivision / Tract: Copper Creek 01 / Lot Size: 7,305 Year Built / Eff: 1988 / Rec. Date / Price: 01/14/2022 / $363,000 Living Area: 1,744 # of units: Document #: 140258 Bedrooms: Pool: Pool Total Tax Value: $226,224 Bath(F/H): /

#18   11451 N Scioto Ave Oro Valley Az 85737

Owner Name: Rhode Edward A /Hageman Patricia APN / Alternate APN: 224-10-1160 / Deed Type: Warranty Deed Land Use: Sfr Subdivision / Tract: Canada Hills Village 15 / Lot Size: 6,826 Year Built / Eff: 1996 /

Rec. Date / Price: 11/18/2022 / $504,000 Living Area: 1,650 # of units: Document #: 3220177 Bedrooms: Pool: Pool Total Tax Value: $258,788 Bath(F/H): /

#19

1181 W Masters Cir Tucson Az 85737

Owner Name: Polt Allen F /Carolla Jo A APN / Alternate APN: 224-26-0490 / Deed Type: Warranty Deed Land Use: Sfr Subdivision / Tract: Master Hills / Lot Size: 7,020 Year Built / Eff: 1994 / Rec. Date / Price: 07/15/2022 / $458,000 Living Area: 1,705 # of units: Document #: 1960524 Bedrooms: Pool: Total Tax Value: $225,946 Bath(F/H): /

#20

1486 W Sand Pebble Dr Tucson Az 85737

Owner Name: Dwf Vi Atlas Sfr-az Llc / APN / Alternate APN: 224-24-6450 / Deed Type: Warranty Deed Land Use: Sfr Subdivision / Tract: Canada Hills Village 14 / Lot Size: 5,219 Year Built / Eff: 1996 /

Rec. Date / Price: 04/20/2022 / $412,000 Living Area: 1,642 # of units: Document #: 1100683 Bedrooms: Pool: Total Tax Value: $221,906 Bath(F/H): /

© 2023 CoreLogic. All rights reserved
Customer Name : Jeremiah Stiffler Customer Company Name : First American Prepared On : 01/03/2023
Subject Property :
Customer Name
Customer Company Name
First
Prepared
01/03/2023 © 2023 CoreLogic. All rights reserved
11865 N Copper Butte Dr Tucson AZ 85737
: Jeremiah Stiffler
:
American
On :

Customer Name : Jeremiah Stiffler Customer Company Name : First American Prepared On : 01/03/2023

© 2023 CoreLogic. All rights reserved

Arizona Schools

For detailed information and statistics on Arizona schools please go to https://azreportcards.azed.gov/ First American Title Insurance Company, and the operating divisions thereof, make no express or implied warranty respecting the information presented and assume no responsibility for errors or omissions. First American, the eagle logo, First American Title, and firstam.com are registered trademarks or trademarks of First American Financial Corporation and/or its affiliates. ©2021 First American Financial Corporation and/or its affiliates. All rights reserved. NYSE: FAF 05117910421

85629 520.625.3502

SUNNYSIDE UNIFIED 2238 E. Ginter Road, Tucson, AZ 85706 520.545.2000

TANQUE VERDE UNIFIED 2300 N. Tanque Verde Loop, Tucson, AZ 85749 520.749.5751

TUCSON UNIFIED 1010 E. 10th Street, Tucson, AZ 85717 520.225.6000

VAIL UNIFIED 10701 E. Mary Ann Cleveland Way, Tucson, AZ 85747 520.879.2000

05249570321 TUCSON INT'L AIRPORT Air Force WSilverbellRd SSantaRitaRd N M t L emmon Hwy ESascoRd NF38 W Avra Valley Rd E Grand Va ey Dr NAguirre R d N L u c k e R d N W e n t z R d N Wa terman Mounta i n R d N Anway Rd W El Tiro Rd N Trico Rd W Tucker Rd W Rudas l Rd W Manvi e Rd SSanJoaquinRd WBopp Rd W Snyder H l Rd S M a r s e a r R d W Park Rd W Hermans Rd W Hermans Rd W Guy St W Bush Rd S G a v e y R d N C a e R i n c o n a d o S W m o R d S Shaw Rd S Sierrita Mountain Rd S K o b R d W TwinButtes Rd W Mcgee Ranch Rd S E s t a n c a D r EDesertDove E Hemlock Dr N Bea r C a n y o n R d W E Camino Del Cerro E Fairmount St S Swan Rd NFrontageRd W Emigh Rd W Fort Lowe Rd N P u m p S t a t ion dR E Nona Rd Ch efButteRd Lo al Ave N Trico Rd S Cattle Tank Rd Evalyn Rd SOwlHead R a n c h Rd GasLineRd S P ec a n R d N T r c o R d W Bayard Rd S S a n d a r o R d W i l l owSpri n gsRd N Dove Mountain Blvd SHelvetiaRd WAnamax Mine Rd W G a c i a R a n hc R d Road424 WRagged Top Rd W Ruby Star Dr WBritten RanchRd W Pima Mine Rd S Mcgee Ranch R d E Edw n Rd SGuildRd 8 0 NKINNEYRD S PICACHO HWY E BAUMGARTNER RD N S A N D A R I O R D N ANWAY RD W VALENCIA RD W MOORE RD W INA RD N 1 S T A V E E SUNRISE DR E SNYDER RD NSILVERBELLRD N S O L D I E R T R L E RIVER RD E PRINCE RD E SPEEDWAY BLVD S FREEMAN RD E 22ND ST E 22ND ST W IRVINGTON RD S N O G A L E S H W Y W VALENCIA RD SMISSIONRD W SPEEDWAY BLVD S O L D S P A N I S H T RL W NARANJA DR W TWIN PEAKS RD W PICTURE ROCKS RD W MANVILLE RD SKINNEYRD W MILE WIDE RD E SAHUARITA RD N TRICO RD S S A N D A R O R D PARK LINK DR S OLD N O G ALES HW Y S H O U G H T O N R D S L A C A N A D A DR W HELMET PEAK RD WAJOHWY N S W A N R D S KOLB RD S HOUGHTON RD W TANGERINE RD E GRANT RD S H O U G H T O N R D 9 5 WAJOHWY E VALENCIA RD NORACLE R D I10 I-19 77 77 77 86 86 286 10 19 10 10 Corona de Tucson Casas Adobes Catalina Green Valley Oracle Picture Rocks Three Points Vail Summit Tanque Verde Tucson Sahuarita Red Rock Saddlebrooke Marana Oro Valley Rillito Summerhaven Willow Canyon Oracle Junction Cortaro Continental Littletown 20 30 13 15 51 39 12 01 01 08 10 16 11 06 PIMA COUNTY School District Information This map is provided for general location only. Please contact school districts for actual street boundaries SCHOOL DISTRICTS 15 AJO UNIFIED 111 N. Well Road, Ajo, AZ 85321 520.387.5618 51 ALTAR VALLEY ELEMENTARY 10105 S. Sasabe Road, Tucson, AZ 85736 520.822.1484 10 AMPHITHEATER UNIFIED 701 W. Wetmore, Tucson, AZ 85705 520.696.5000 16 CATALINA FOOTHILS UNIFIED 2101 E. River Road, Tucson, AZ 85718 520.209.7500 39 CONTINENTAL ELEMENTARY 1991 E. Whitehouse Canyon, Green Valley, AZ 85614
08 FLOWING WELLS UNIFIED 1556 W. Prince Road, Tucson, AZ 85705 520.696.8800 06 MARANA UNIFIED 11279 W. Grier Road, Marana, AZ 85653
11 PIMA COUNTY JTED 2855 W. Master Pieces Dr, Tucson, AZ 85741
30 SAHUARITA UNIFIED 350 W. Sahuarita Road,
First American Title Insurance Company, and the operating divisions thereof, make no express or implied warranty respecting the information presented and assume no responsibility for errors or omissions. First American, the eagle logo, First American Title, and firstam.com are registered trademarks or trademarks of First American Financial Corporation and/or its affiliates. ©2021 First American Financial Corporation and/or its affiliates. All rights reserved. NYSE: FAF
520.625.4581
520.682.3243
520.352.5833
Sahuarita, AZ
12
13
01
20

Public Schools : Elementary Schools

Leman Academy Of Excellence-oro Valley Arizona Distance 0.39 Miles 1410 W Tangerine Rd Oro Valley AZ 85755

Telephone : (520) 912-4005

School District : Leman Academy Of Excellence Inc. (92730)

Lowest Grade : K Highest Grade : 8th

Kindergarten : Yes School Enrollment : Enrollment : 749 Total Expenditure/Student :

Copper Creek Elementary School Distance 0.4 Miles 11620 N Copper Spring Trl Tucson AZ 85737

Telephone : (520) 696-6800

School District : Amphitheater Unified District (4406)

Lowest Grade : Pre-K Highest Grade : 5th Kindergarten : Yes School Enrollment : Enrollment : 381 Total Expenditure/Student : 132

Richard B Wilson Junior School Distance 1.55 Miles 2330 W Glover Rd Oro Valley AZ 85742

Telephone : (520) 696-5800

School District : Amphitheater Unified District (4406)

Lowest Grade : Pre-K Highest Grade : 8th Kindergarten : Yes School Enrollment : Enrollment : 1017 Total Expenditure/Student : 132

Customer Name : Jeremiah Stiffler

Customer Company Name : First American Prepared On : 01/03/2023

© 2023
All rights reserved
CoreLogic.

Painted Sky Elementary School

12620 N Woodburne Ave Oro Valley AZ 85755

Telephone : (520) 696-3800

Distance 1.59 Miles

School District : Amphitheater Unified District (4406)

Lowest Grade : Pre-K Highest Grade : 5th Kindergarten : Yes School Enrollment : Enrollment : 398

High Schools

Total Expenditure/Student : 132

Ironwood Ridge High School Distance 1.91 Miles 2475 W Naranja Dr Oro Valley AZ 85742

Telephone : (520) 696-3902

School District : Amphitheater Unified District (4406)

Lowest Grade : 9th Highest Grade : 12th School Enrollment : Enrollment : 1713

Total Expenditure/Student : 132 Advanced Placement : No

Pcjted - Ironwood Ridge High School Distance 1.91 Miles 2475 W Naranja Dr Oro Valley AZ 85742

Telephone : (520) 696-3902

School District : Pima County Jted (89380)

Lowest Grade : 9th Highest Grade : 12th School Enrollment : Enrollment : 0

Total Expenditure/Student : Advanced Placement : No

Basis Oro Valley Distance 2.87 Miles

11155 N Oracle Rd Oro Valley AZ 85737

Telephone : (520) 308-5220

School District : Basis Charter Schools Inc. (90508)

Lowest Grade : 5th Highest Grade : 12th School Enrollment : Enrollment : 626

Total Expenditure/Student :

Advanced Placement : No

Customer Name : Jeremiah Stiffler

Customer Company Name : First American Prepared On : 01/03/2023

© 2023 CoreLogic. All rights reserved

25 W Calle Concordia Oro Valley AZ 85704

Telephone : (520) 696-5560

School District : Amphitheater Unified District (4406)

Highest Grade : 12th School Enrollment : Enrollment : 1580

Lowest Grade : 9th

Total Expenditure/Student : 132

Advanced Placement : No

Customer Name : Jeremiah Stiffler

Customer Company Name : First American Prepared On : 01/03/2023

Canyon Del Oro High School Distance 3.44 Miles
©
All rights reserved
2023 CoreLogic.

Local Business

Attractions / Recreation

Name Address

Telephone Distance (Miles)

Thomas Moulton 1108 W Castle Dome Pl Tucson Az (520) 219-9490 0.23

Club Cactus Juniors Volleyball Club Llc 11664 N Rain Rock Way Oro Valley Az (520) 906-6668 0.27

Mayfield Presentations 12251 N Copper Spring Trl Oro Valley Az (816) 532-8702 0.6

Blythe Spirit Yoga, Llc 11301 N Plmetto Dunes Ave Tucson Az (520) 742-4270 0.7

Banks / Financial

Name Address Telephone Distance (Miles)

Guild Mortgage Company 12318 N Tall Grass Dr Oro Valley Az (520) 498-4700 0.65

Nova Financial & Investment Corporation 11115 N La Canada Dr # 15 Tucson Az (520) 219-4400 0.97

Wells Fargo Bank, National Association 550 E Tangerine Rd Oro Valley Az (520) 219-2080 1.67

Westar Mortgage And Realty Corporation 1775 W Wimbledon Way Tucson Az (520) 298-1993 1.68

Eating / Drinking

Name Address Telephone Distance (Miles)

Gabriel's Cafe Espresso, L.l.c. 11699 N Mineral Park Way Oro Valley Az (520) 575-1256 0.2

Little Bliss Bakeshop Llc 11677 N Copper Creek Dr Tucson Az (520) 241-4995 0.27

Hoyt Team Arizona 12100 N Copper Spring Trl Oro Valley Az (520) 293-9280 0.43

Yql, Llc 11907 N Sage Brook Rd Oro Valley Az (520) 638-5998 0.46

Health Care Services

Name Address Telephone Distance (Miles)

Home Care Solutions Llc 1209 W Crystal Palace Pl Tucson Az (520) 369-0444 0.08

Neal Jones, Dds, Ms, P.c. 1173 W Lone Star Mine Pl Tucson Az (520) 508-6575 0.21

Emergent Health 11900 N Lacanada Tucson Az (520) 906-3308 0.23

Customer Name : Jeremiah Stiffler Customer Company Name : First American Prepared On : 01/03/2023

©
All rights reserved
2023 CoreLogic.

Bella Dog Training Llc 11900 N La Canada Dr Tucson Az (520) 260-0615 0.23

Hospitality

Name Address Telephone Distance (Miles)

Sonoran Sea Resort 502 E, Llc 11858 N Verismo Dr Oro Valley Az (702) 727-9235 0.75

Hilton Worldwide 10555 N La Canada Dr Oro Valley Az (520) 544-1900 1.3

Mrhp Marana, Inc. 10891 N Canada Hills Ct Oro Valley Az (520) 742-7082 1.58

The Tombstone Grand Hotel 10906 N Sand Canyon Pl Oro Valley Az (520) 797-0430 1.65

Organizations / Associations

Name Address Telephone Distance (Miles)

Church Of The Apostles 12111 N La Cholla Blvd Ac Tucson Az (520) 544-9660 1.25

The Church Of Jesus Christ Of Latterday Saints 1976 W Silver Rose Pl Tucson Az (520) 878-9123 1.26

Joanne Zich Ministries 13036 N Desert Olive Dr Oro Valley Az (520) 498-5063 1.51

Hope Community Church "" Oro Valley Az (520) 237-6610 1.52

Personal Services

Name Address Telephone Distance (Miles)

Viking Strength & Fitness, Llc 1639 W Silver Berry Pl Oro Valley Az (520) 219-5149 0.69

Reach Your Potential Fitness Professionals, L.l.c. 11708 N Teskow Dr Oro Valley Az (520) 797-4199 0.9

Ventana Spa 11926 N Crescendo Dr Tucson Az (520) 878-8194 1.03

Chosen Path Health And Fitness 2014 W Golden Rose Pl Tucson Az (520) 229-8566 1.23

Shopping

Name Address Telephone Distance (Miles)

Mai Thai Coffee, Inc. 910 W Graythorn Pl Tucson Az (520) 797-4440 0.36

Tucson Hydroponics Llc 11654 N Red Creek Pl Tucson Az (520) 240-3590 0.37

R- Az Building Materials Llc 1750 W Tangerine Rd Oro Valley Az (520) 544-9738 0.62

Oro Valley Coffee Roasting, Llc 12535 N Placita El Cobo Tucson Az (907) 378-8599 0.8

Customer Name : Jeremiah Stiffler

Customer Company Name : First American Prepared On : 01/03/2023

© 2023
All rights reserved
CoreLogic.

11855

N COPPER BUTTE DR Distance 0.01 Miles

Owner Name : Kaiser Joleen M

Sale Date : 08/00/2002

11849

11864

Subdivision : Copper Creek 02

Recording Date : 08/15/2002

Total Value : $196,360 Sale Price  : $135,000

Bed / Bath : / 3 Property Tax : $2,826.97

Land Use : Sfr Lot Acres : 0.15

Stories : 1 Living Area : 1,480

Yr Blt / Eff Yr Blt : 1989 / APN : 224-05-0490

N COPPER BUTTE DR Distance 0.02 Miles

Owner Name : Westlake Jeffrey J

Sale Date : 07/31/2018

Subdivision : Copper Creek 02

Recording Date : 08/17/2018

Total Value : $196,360 Sale Price  : $197,500

Bed / Bath : / 3 Property Tax : $2,506.63

Land Use : Sfr Lot Acres : 0.13

Stories : 1 Living Area : 1,480

Yr Blt / Eff Yr Blt : 1989 / APN : 224-05-0480

N COPPER BUTTE DR Distance 0.03 Miles

Owner Name : Gould Mathew

Sale Date : 04/07/2016

Subdivision : Copper Creek 02

Recording Date : 04/14/2016

Total Value : $219,864 Sale Price  : $168,000

Bed / Bath : / 4 Property Tax : $2,842.06

Land Use : Sfr Lot Acres : 0.12

Stories : 1.5 Living Area : 1,634

Yr Blt / Eff Yr Blt : 1990 / APN : 224-05-0290

11897 N COPPER BUTTE DR Distance 0.03 Miles

Owner Name : Paulson Randall

Sale Date : 11/16/2015

Subdivision : Copper Creek 02

Recording Date : 11/19/2015

Total Value : $195,888 Sale Price  : $183,000

Bed / Bath : / 3 Property Tax : $2,818.86

Land Use : Sfr Lot Acres : 0.12

Stories : 1

Living Area : 1,480

Yr Blt / Eff Yr Blt : 1988 / APN : 224-05-0520

© 2023
All rights reserved
Customer Name : Jeremiah Stiffler Customer Company Name : First American Prepared On : 01/03/2023
CoreLogic.

11837

N COPPER BUTTE DR

Owner Name : Eastwood Sophia E

Sale Date : 06/09/2021

Distance 0.03 Miles

Subdivision : Copper Creek 02

Recording Date : 06/25/2021

Total Value : $225,138 Sale Price  : $335,000

Bed / Bath : / 4 Property Tax : $3,258.97

Land Use : Sfr Lot Acres : 0.10

Stories : 2 Living Area : 2,150

Yr Blt / Eff Yr Blt : 1990 / APN : 224-05-0460

11852 N COPPER BUTTE DR Distance 0.03 Miles

Owner Name : Crawford Joseph

Sale Date : 11/17/2017

11846

Subdivision : Copper Crk 02

Recording Date : 11/21/2017

Total Value : $244,193 Sale Price  : $289,900

Bed / Bath : / 4 Property Tax : $3,149.16

Land Use : Sfr Lot Acres : 0.10

Stories : 2 Living Area : 2,150

Yr Blt / Eff Yr Blt : 1990 / APN : 224-05-0310

N COPPER BUTTE DR Distance 0.04 Miles

Owner Name : Rodriguez Miguel Subdivision : Copper Creek 02

Sale Date : 02/23/2020

Recording Date : 02/28/2020

Total Value : $242,425 Sale Price  : $305,000

Bed / Bath : / 4 Property Tax : $3,127.86

Land Use : Sfr Lot Acres : 0.10

Stories : 2 Living Area : 2,418

Yr Blt / Eff Yr Blt : 1990 / APN : 224-05-0320

11842 N DESERT SLOPES WAY Distance 0.04 Miles

Owner Name : Coleman Lauren N

Sale Date : 02/21/2017

Subdivision : Copper Creek 02

Recording Date : 02/27/2017

Total Value : $237,542 Sale Price  : $223,500

Bed / Bath : / 4 Property Tax : $3,061.24

Land Use : Sfr Lot Acres : 0.13

Stories : 2 Living Area : 2,418

Yr Blt / Eff Yr Blt : 1989 / APN : 224-05-0620

Customer Name : Jeremiah Stiffler Customer Company Name : First American Prepared On : 01/03/2023

CoreLogic.

© 2023
All rights reserved

11848 N DESERT SLOPES WAY

Owner Name : Balderrama Jose A

Sale Date : 09/18/2015

Total Value : $247,816

Distance 0.04 Miles

Subdivision : Copper Creek 02

Recording Date : 10/08/2015

Sale Price  : $205,000

Bed / Bath : / 4 Property Tax : $3,196.56

Land Use : Sfr Lot Acres : 0.11

Stories : 2 Living Area : 2,150

Yr Blt / Eff Yr Blt : 1989 / APN : 224-05-0610

11880 N COPPER BUTTE DR Distance 0.04 Miles

Owner Name : Johnson Robert W

Recording Date : 03/07/2016

Sale Date : 02/10/2016 Sale Price  : $210,000

Total Value : $207,378 Property Tax : $2,675.57

Bed / Bath : / 3 Lot Acres : 0.16

Land Use : Sfr Living Area : 1,653

Stories : 1 APN : 224-05-0260

Yr Blt / Eff Yr Blt  : 1994 /

Customer Name : Jeremiah Stiffler
© 2023 CoreLogic. All rights reserved
Customer Company Name : First American Prepared On : 01/03/2023

Census Tract / block: 46.36 / 3     Year: 2018

Household

Population Population by Age

Count: 7,284 0 - 11

Estimate Current Year: 7,543 12 - 17

Estimate in 5 Years: 8,674 18 - 24 8.51%

Growth Last 5 Years: -0.85% 25 - 64 47.01%

Growth Last 10 Years: -152.95% 65 - 74 14.32% 75+

Household Size Household Income

Current Year: 2,744 0 - $25,000 6.67%

Average Current Year: 2.65 $25,000 - $35,000 5.36%

Estimate in 5 Years: 3,531 $35,000 - $50,000 13.88%

Growth Last 5 Years: 11.92% $50,000 - $75,000 14.72%

Growth Last 10 Years: 4.71% $75,000 - $100,000 13.78%

Male Population: 50.52% Above $100,000 45.59%

Female Population: 49.48% Average Household Income: $92,652

Married People: 63.43%

Unmarried People: 36.57%

Housing

Median Mortgage Payments Home Values

Under $300: 1.27% Below $100,000: 0.59%

$300 - $799: 22.01% $100,000 - $150,000: 1.31%

$800 - $1,999: 44.83% $150,000 - $200,000: 3.65%

Over $2,000: 31.89% $200,000 - $300,000: 44.78%

Median Home Value: $299,400 $300,000 - $500,000: 39.27%

Unit Occupied Owner: 85.93% Above $500,000: 10.39%

Median Mortgage: $1,303

Customer Name : Jeremiah Stiffler

Customer Company Name : First American Prepared On : 01/03/2023

© 2023 CoreLogic. All rights reserved

Rent Payments Year Built

Unit Occupied Renter: 14.07% 1999 - 2000

Median Gross Rent: $1,828 1995 - 1998

Less Than $499 0% 1990 - 1994

$500 - $749 2.96% 1980 - 1989 16.17%

$750 - $999 0% 1970 - 1979 1.93% $1000 and Over 97.04% 1900 - 1969 2.53%

Education

Enrollment

Public Pre-Primary School: 0.35% Not Enrolled in School: 71.71%

Private Pre-Primary School: 1.03% Not A High School Graduate: 2.71%

Public School: 23.65% Graduate Of High School: 11.55%

Private School: 4.64% Attended Some College: 23.41% Public College: 4.8% College Graduate: 36.9%

Private College: 2.17% Graduate Degree: 25.44%

Workforce

Occupation:

Manager/Prof: 48.62% Private Worker: 64.72% Technical: Government Worker: 12.52% Sales: 18.27% Self Employed Worker: 4.78%

Administrative: Unpaid Family Worker: 8.87%

Private House Hold: Farming: 3.14% Service: 23.81% Skilled:

Protective Services: Blue-Collar: 9.31%

Commute Time

Less Than 15 Min: 31.14%

15 min - 28 min: 30.92%

30 min - 57 min: 34.25%

Over 60 min: 3.69%

Customer Name : Jeremiah Stiffler

Customer Company Name : First American Prepared On : 01/03/2023

© 2023 CoreLogic. All rights reserved

Customer Name : Jeremiah Stiffler Customer Company Name : First American Prepared On : 01/03/2023

©
All rights reserved
2023 CoreLogic.

Customer Name : Jeremiah Stiffler Customer Company Name : First American Prepared On : 01/03/2023

©
All rights reserved
2023 CoreLogic.

Customer Name : Jeremiah Stiffler Customer Company Name : First American Prepared On : 01/03/2023

©
All rights reserved
2023 CoreLogic.

PARCEL:  224-05-0500

PARCEL: 224-05-0500

SEARCH PARAMETERS

INSTRUMENT REC DATE

OWNER: HAMILL DAVID W & GUILLERMINA JT/RS     8724 1767 02/13/1990  SITUS: 11865 N COPPER BUTTE DR OV  MAIL: 11865 N COPPER BUTTE DR  TUCSON AZ 85737

PLAT: LOT 00050 BLOCK LEGAL: COPPER CREEK II BLKS B E & F LOT 50 (FORMERLY 203-95-0500)

PRIMARY  20,080  0  0  8.9703  1012 SECONDARY  50  20,030  0  5.3438  2022 TOTAL TAX BILLED 2,530.24

+ FIRST AMERICAN TITLE, FC0, JSTI PIMA, AZ 01/03/2023  08:20AM  R9C8  INVESTIGATIVE SEARCH RESULTS PAGE 1 OF 1
CURRENT TAXES INFORMATION THROUGH 12/28/2022 LAND IMPR EXEMPT RATE AREA SPECIAL DISTRICTS
STORIES HEIGHT
EXTERIOR WALLS
GRADE MATERIALS
SALES SALE DATE SALE AMOUNT INSTRUMENT TYPE SELLER NAME VALIDITY 02/13/1990 106,539    8724 1766 JD VISION COPPER CREEK INC 09/15/1989 400,000    8623 2236 WD BELLAMAH COMMUNITY DEVELOP M ADDITIONAL PROPERTY INFORMATION STANDARD LAND USE: SFR END SEARCH
2022  TAX AMT TAX DUE INTEREST DATE PAID TOTAL DUE FIRST HALF  1,265.12  0.00  0.00  10/24/2022  0.00  SECOND HALF  1,265.12  1,265.12  0.00  1,265.12  TOTAL CURRENT TAXES DUE 01/23 1,265.12 02/23 1,265.12 (ESTIMATED) IMPROVEMENTS BYPASS  PHYSICAL CONDITION   BELOW AVE BLDG SQFT  1,552 FULL CASH VALUE  200,804 YEAR BUILT  1990 LAND USE  01 43 NUMBER OF STORIES  1.0 LOT SIZE  1 STDLT
0 SCHOOL DISTRICT  1012
FRAME WOOD LAND FULL CASH VALUE  502
IMPR FULL CASH VALUE  200,302
Page 1 of 2 01/03/2023 9:22 AM
Page 2 of 2 01/03/2023 9:22 AM
Page 1 of 7 01/03/2023 9:22 AM
Page 2 of 7 01/03/2023 9:22 AM
Page 3 of 7 01/03/2023 9:22 AM
Page 4 of 7 01/03/2023 9:22 AM
Page 5 of 7 01/03/2023 9:22 AM
Page 6 of 7 01/03/2023 9:22 AM
Page 7 of 7 01/03/2023 9:22 AM
Page 1 of 1 01/03/2023 9:22 AM
Page 1 of 19 01/03/2023 9:22 AM
Page 2 of 19 01/03/2023 9:22 AM
Page 3 of 19 01/03/2023 9:22 AM
Page 4 of 19 01/03/2023 9:22 AM
Page 5 of 19 01/03/2023 9:22 AM
Page 6 of 19 01/03/2023 9:22 AM
Page 7 of 19 01/03/2023 9:22 AM
Page 8 of 19 01/03/2023 9:22 AM
Page 9 of 19 01/03/2023 9:22 AM
Page 10 of 19 01/03/2023 9:22 AM
Page 11 of 19 01/03/2023 9:22 AM
Page 12 of 19 01/03/2023 9:22 AM
Page 13 of 19 01/03/2023 9:22 AM
Page 14 of 19 01/03/2023 9:22 AM
Page 15 of 19 01/03/2023 9:22 AM
Page 16 of 19 01/03/2023 9:22 AM
Page 17 of 19 01/03/2023 9:22 AM
Page 18 of 19 01/03/2023 9:22 AM
Page 19 of 19 01/03/2023 9:22 AM

Covenants, Conditions & Restrictions

Thank you for the opportunity to be of service.

Restrictions indicating a preference, limitation or discrimination based on race, color, religion, sex, handicap, familial status, or national origin are hereby deleted to the extent such restrictions violate 42 USC 3604(c).

This information is furnished without fee and without benefit of a complete title search. No liability is assumed by First American Title or Title Security. If it is desired that liability be assumed, you may apply for a policy of title insurance with First American Title Insurance Company.

Page 1 of 5 01/03/2023 9:27 AM
Page 2 of 5 01/03/2023 9:27 AM
Page 3 of 5 01/03/2023 9:27 AM
Page 4 of 5 01/03/2023 9:27 AM
Page 5 of 5 01/03/2023 9:27 AM
Page 1 of 4 09/16/2019 10:37 AM
Page 2 of 4 09/16/2019 10:37 AM
Page 3 of 4 09/16/2019 10:37 AM
Page 4 of 4 09/16/2019 10:37 AM
Page 1 of 4 09/16/2019 10:37 AM
Page 2 of 4 09/16/2019 10:37 AM
Page 3 of 4 09/16/2019 10:37 AM
Page 4 of 4 09/16/2019 10:37 AM
Page 1 of 2 09/16/2019 10:37 AM
Page 2 of 2 09/16/2019 10:37 AM
Page 1 of 46 09/16/2019 10:37 AM
Page 2 of 46 09/16/2019 10:37 AM
Page 3 of 46 09/16/2019 10:37 AM
Page 4 of 46 09/16/2019 10:37 AM
Page 5 of 46 09/16/2019 10:37 AM
Page 6 of 46 09/16/2019 10:37 AM
Page 7 of 46 09/16/2019 10:37 AM
Page 8 of 46 09/16/2019 10:37 AM
Page 9 of 46 09/16/2019 10:37 AM
Page 10 of 46 09/16/2019 10:37 AM
Page 11 of 46 09/16/2019 10:37 AM
Page 12 of 46 09/16/2019 10:37 AM
Page 13 of 46 09/16/2019 10:37 AM
Page 14 of 46 09/16/2019 10:37 AM
Page 15 of 46 09/16/2019 10:37 AM
Page 16 of 46 09/16/2019 10:37 AM
Page 17 of 46 09/16/2019 10:37 AM
Page 18 of 46 09/16/2019 10:37 AM
Page 19 of 46 09/16/2019 10:37 AM
Page 20 of 46 09/16/2019 10:37 AM
Page 21 of 46 09/16/2019 10:37 AM
Page 22 of 46 09/16/2019 10:37 AM
Page 23 of 46 09/16/2019 10:37 AM
Page 24 of 46 09/16/2019 10:37 AM
Page 25 of 46 09/16/2019 10:37 AM
Page 26 of 46 09/16/2019 10:37 AM
Page 27 of 46 09/16/2019 10:37 AM
Page 28 of 46 09/16/2019 10:37 AM
Page 29 of 46 09/16/2019 10:37 AM
Page 30 of 46 09/16/2019 10:37 AM
Page 31 of 46 09/16/2019 10:37 AM
Page 32 of 46 09/16/2019 10:37 AM
Page 33 of 46 09/16/2019 10:37 AM
Page 34 of 46 09/16/2019 10:37 AM
Page 35 of 46 09/16/2019 10:37 AM
Page 36 of 46 09/16/2019 10:37 AM
Page 37 of 46 09/16/2019 10:37 AM
Page 38 of 46 09/16/2019 10:37 AM
Page 39 of 46 09/16/2019 10:37 AM
Page 40 of 46 09/16/2019 10:37 AM
Page 41 of 46 09/16/2019 10:37 AM
Page 42 of 46 09/16/2019 10:37 AM
Page 43 of 46 09/16/2019 10:37 AM
Page 44 of 46 09/16/2019 10:37 AM
Page 45 of 46 09/16/2019 10:37 AM
Page 46 of 46 09/16/2019 10:37 AM
Page 1 of 6 09/16/2019 10:37 AM
Page 2 of 6 09/16/2019 10:37 AM
Page 3 of 6 09/16/2019 10:37 AM
Page 4 of 6 09/16/2019 10:37 AM
Page 5 of 6 09/16/2019 10:37 AM
Page 6 of 6 09/16/2019 10:37 AM
Page 1 of 14 09/16/2019 10:37 AM
Page 2 of 14 09/16/2019 10:37 AM
Page 3 of 14 09/16/2019 10:37 AM
Page 4 of 14 09/16/2019 10:37 AM
Page 5 of 14 09/16/2019 10:37 AM
Page 6 of 14 09/16/2019 10:37 AM
Page 7 of 14 09/16/2019 10:37 AM
Page 8 of 14 09/16/2019 10:37 AM
Page 9 of 14 09/16/2019 10:37 AM
Page 10 of 14 09/16/2019 10:37 AM
Page 11 of 14 09/16/2019 10:37 AM
Page 12 of 14 09/16/2019 10:37 AM
Page 13 of 14 09/16/2019 10:37 AM
Page 14 of 14 09/16/2019 10:37 AM
to the Title & Escrow Process in Arizona Home Seller’s Guide

Southwest Gas 1.877.860.6020 www.swgas.com Cox 602.277.1000 www.cox.com

Direct TV 1.888.777.2454 www.directv.com

Dish Network 1.800.823.4929 www.dishnetwork.com CenturyLink 800.366.8201 www.centurylink.com AT&T 1.800.222.0300 www.att.com

Verizon 1.877.300.4498 www.connecttoverizon.com

Salt River Project 602.236.8888 www.srpnet.com APS 602.371.7171 www.aps.com

Your Escrow Number Your New Address City/State/Zip Real Estate Agent Name Email Assistant Email Company Phone Address Fax Insurance Previous Company Phone Previous Agent Policy No. New Company Phone New Agent Policy No. Home Warranty Company Policy No. First American Title Escrow Officer Email Escrow Assistant Email Address Phone City/State/Zip Fax 02 Quick Reference 03 Welcome 04 Benefits of Using a REALTOR ® 05 Key Professionals 06 Preparing Your Home for Sale 07 Staging Your Home for Show 09 Terms You Should Know 10 The Life of an Escrow 11 Closing Costs: Who Pays What 12 The Escrow Process 14 Understanding Title Insurance 16 Consider This 17 Closing Your Escrow 18 Planning Your Move Q uick Reference Table of Contents Utilities and Services

Count on First American Title

Welcome to the home-selling process. Throughout this process, you can count on First American Title to guide you smoothly through your transaction and provide expert answers to your questions. We are happy to serve you.

Count On Us For Service

First American Title’s professionals are proud to provide the title insurance that assures people’s home ownership. Backed by First American Title Insurance Company, your transaction will be expertly completed in accordance with state-specific underwriting standards and state and federal regulatory requirements.

Count On Us For Stability

First American Title is the principal subsidiary of First American Financial Corporation, and one of the largest suppliers of title insurance services in the nation. With roots dating back to 1889, we’ve served families for generations.

Count On Us For Convenience

First American Title has a direct office or agent near you, offering convenient locations throughout Arizona. We also have an extensive network of offices and agents throughout the United States, and internationally.

Count On Us To Meet Your Needs

First American Financial Corporation offers more than title insurance and escrow services through its subsidiaries. Our subsidiaries also provide property data, title plant records and images, home warranties, property and casualty insurance, and banking, trust and advisory services.

AZ Sellers Guide | 3

Benefits of using a Professional REALTOR ®

Before you make the decision to try to sell your home alone, consider the benefits a REALTOR ® can provide that you may not be aware of.

A REALTOR ® :

› Understands market conditions and has access to information not available to the average homeowner.

› Can advertise effectively for the best results.

› Knows how to price your home realistically, to give you the highest price possible within your time frame.

› Is experienced in creating demand for homes and how to show them to advantage.

› Knows how to screen potential buyers and eliminate those who can’t qualify or are looking for bargain-basement prices.

› Knows how to go toe-to-toe in negotiations.

› Is always “on-call,” answering the phone at all hours, and showing homes evenings and weekends.

› Can remain objective when presenting offers and counter-offers on your behalf.

› Maintains errors-and-omissions insurance.

› Will listen to your needs, respect your opinions and allow you to make your own decisions.

› Can help protect your rights, particularly important with the increasingly complicated real estate laws and regulations.

› Is experienced with resolving problems to facilitate a successful closing on your home.

Only you can determine whether you should attempt to sell your home—probably your largest investment—all alone. Talk with a REALTOR® before you decide. You may find working with a professional is a lot less expensive and much more beneficial than you ever imagined!

FOR SALE BY OWNER

Many people believe they can save a considerable amount of money by selling their homes themselves. It may seem like a good idea at the time, but while you may be willing to take on the task, are you qualified? The following are some questions to help you realistically assess what’s involved.

Do you...

- have the knowledge, patience, and sales skills needed to sell your home?

- know how to determine your home’s current market value?

- know how to determine whether or not a buyer can qualify for a loan?

- understand the steps of an escrow and what’s required of you and the buyer?

- need to hire a real estate attorney? If so, do you know what the cost will be and how much liability they will assume in the transaction?

- know how to advertise effectively and what the costs will be?

- understand the various types of loans buyers may choose and the advantages and disadvantages for the seller?

- have arrangements with an escrow and title company, home warranty company, pest-control service and lender to assist you with the transaction?

Are you...

- aware of conditions in the marketplace today that affect value and length of time to sell?

- concerned about having strangers walking through your home?

- familiar enough with real estate regulations to prepare a binding sales contract? Counter-offers?

- aware that every time you leave your home, you are taking it off the market until you return?

- aware that prospective buyers and bargain hunters will expect you to lower your cost because there’s no REALTOR® involved?

- prepared to give up your evenings and weekends to show your home to potential buyers and “just-looking” time wasters?

AZ Sellers Guide | 4

Key Professionals Involved in Your Transaction

REALTOR ®

A REALTOR ® is a licensed real estate agent and a member of the National Association of REALTORS,® a real estate trade association. REALTORS ® also belong to their state and local Association of REALTORS.®

REAL ESTATE AGENT

A real estate agent is licensed by the state to represent parties in the transfer of property. Every REALTOR ® is a real estate agent, but not every real estate agent has the professional designation of a REALTOR.®

LISTING AGENT

A key role of the listing agent or broker is to form a legal relationship with the homeowner to sell the property and place the property in the Multiple Listing Service.

BUYER'S AGENT

A key role of the buyer’s agent or broker is to work with the buyer to locate a suitable property and negotiate a successful home purchase.

MULTIPLE LISTING SERVICE (MLS)

The MLS is a database of properties listed for sale by REALTORS ® who are members of the local Association of REALTORS.® Information on an MLS property is available to thousands of REALTORS ®

TITLE COMPANY

These are the people who carry out the title search and examination, work with you to eliminate the title exceptions you are not willing to take subject to, and provide the policy of title insurance regarding title to the real property.

ESCROW OFFICER

An escrow officer leads the facilitation of your escrow, including escrow instructions preparation, document preparation, funds disbursement, and more.

AZ Sellers Guide | 5

PREPARING FOR SALE YOUR HOME

Mow and edge the lawn regularly, and trim the shrubs.

Make your entry inviting: Paint your front door and buy a new front door mat.

Paint or replace the mailbox, if needed.

If screens or windows are damaged, replace or repair them.

Repair or replace worn shutters and other exterior trim.

Make sure the front steps are clear and hazard-free. Make sure the doorbell works properly and has a pleasant sound.

Ensure that all exterior lights are working.

Check stucco walls for cracks and discoloration.

Remove any oil and rust stains from the driveway and garage.

Clean and organize the garage, and ensure the door is in good working order.

Shampoo carpeting or replace if worn. Clean tile floors, particularly the caulking.

Brighten the appearance inside by painting walls, cleaning windows and window coverings, and removing sunscreens.

Repair leaky faucets and caulking in bathtubs and showers.

Repair or replace loose knobs on doors and cabinets. If doors stick or squeak, fix them.

Make sure toilet seats look new and are firmly attached.

First impressions have a major impact on potential buyers. Try to imagine what potential buyers will see when they approach your house for the first time and walk through each room. Ask your REALTOR ® for advice; they know the marketplace and what helps a home sell. Here are some tips to present your home in a positive manner:

Repair or replace loud ventilating fans.

Replace worn shower curtains.

Rearrange furniture to make rooms appear larger. If possible, remove and/or store excess furniture, and avoid extension cords in plain view.

Remove clutter throughout the house. Organize and clean out closets.

Clean household appliances and make sure they work properly.

Air conditioners/heaters, evaporative coolers, hot water heater should be clean, working and inspected if necessary. Replace filters.

Check the pool and/or spa equipment and pumps. Make sure all are working properly and that the pool and/or spa are kept clean.

Inspect fences, gates and latches. Repair or replace as needed.

AZ Sellers Guide | 6

Staging your home for Show

To make the best impression, keep your home clean, neat, uncluttered and in good repair. Please review this list prior to each showing:

Keep everything clean. A messy or dirty home will cause prospective buyers to notice every flaw.

Clear all clutter from counter tops.

Let the light in. Raise shades, open blinds, pull back the curtains and turn on the lights.

Get rid of odors such as tobacco, pets, cooking, etc., but don’t overdo air fresheners or potpourri. Fresh baked bread and cinnamon can make a positive impact.

Send pets away or secure them away from the house, and be sure to clean up after them.

Close the windows to eliminate street noise.

If possible you, your pets, and your children should be gone while your home is being shown.

Clean trash cans and put them out of sight.

If you must be present while your home is shown, keep noise down. Turn off the TV and radio. Soft, instrumental music is fine, but avoid vocals.

Keep the garage door closed and the driveway clear. Park autos and campers away from your home during showings

Hang clean attractive guest towels in the bathrooms.

Check that sink and tub are scrubbed and unstained.

Make beds with attractive spreads.

Stash or throw out newspapers, magazines, junk mail.

AZ Sellers Guide | 7
AZ Sellers Guide | 8

Terms You Should Know

Appraisal

An estimate of value of property resulting from analysis of facts about the property; an opinion of value.

Annual Percentage Rate (APR)

The borrower’s costs of the loan term expressed as a rate. This is not their interest rate.

Beneficiary

The recipient of benefits, often from a deed of trust; usually the lender.

Closing Disclosure (CD)

Closing Disclosure form designed to provide disclosures that will be helpful to borrowers in understanding all of the costs of the transaction. This form will be given to the consumer three (3) business days before closing.

Close of Escrow

Generally the date the buyer becomes the legal owner and title insurance becomes effective.

Comparable Sales

Sales that have similar characteristics as the subject real property, used for analysis in the appraisal. Commonly called “comps.”

Consummation

Occurs when the borrower becomes contractually obligated to the creditor on the loan, not, for example, when the borrower becomes contractually obligated to a seller on a real estate transaction. The point in time when a borrower becomes contractually obligated to the creditor on the loan depends on applicable State law. Consummation is not the same as close of escrow or settlement.

Deed of Trust

An instrument used in many states in place of a mortgage.

Deed Restrictions

Limitations in the deed to a parcel of real property that dictate certain uses that may or may not be made of the real property.

Disbursement Date

The date the amounts are to be disbursed to a buyer and seller in a purchase transaction or the date funds are to be paid to the borrower or a third party in a transaction that is not a purchase transaction.

Earnest Money Deposit

Down payment made by a purchaser of real property as evidence of good faith; a deposit or partial payment.

Easement

A right, privilege or interest limited to a specific purpose that one party has in the land of another.

Endorsement

As to a title insurance policy, a rider or attachment forming a part of the insurance policy expanding or limiting coverage.

Hazard Insurance

Real estate insurance protecting against fire, some natural causes, vandalism, etc., depending upon the policy. Buyer often adds liability insurance and extended coverage for personal property.

Impounds

A trust type of account established by lenders for the accumulation of borrower’s funds to meet periodic payments of taxes, mortgage insurance premiums and/or future insurance policy premiums, required to protect their security.

Legal Description

A description of land recognized by law, based on government surveys, spelling out the exact boundaries of the entire parcel of land. It should so thoroughly identify a parcel of land that it cannot be confused with any other.

Lien

A form of encumbrance that usually makes a specific parcel of real property the security for the payment of a debt or discharge of an obligation. For example, judgments, taxes, mortgages, deeds of trust.

Loan Estimate (LE)

Form designed to provide disclosures that will be helpful to borrowers in understanding the key features, costs and risks of the mortgage loan for which they are applying. Initial disclosure to be given to the borrower three (3) business days after application.

Mortgage

The instrument by which real property is pledged as security for repayment of a loan.

PITI

A payment that includes Principal, Interest, Taxes, and Insurance.

Power of Attorney

A written instrument whereby a principal gives authority to an agent. The agent acting under such a grant is sometimes called an “Attorney-in-Fact.”

Recording

Filing documents affecting real property with the appropriate government agency as a matter of public record.

Settlement statement

Provides a complete breakdown of costs involved in a real estate transaction.

TRID

TILA-RESPA Integrated Disclosures

AZ Sellers Guide | 9

The Life Of An Escrow

THE BUYER

Chooses a Real Estate Agent

Gets pre-approval letter from Lender and provides to Real Estate Agent.

Makes offer to purchase. Upon acceptance, opens escrow and deposits earnest money.

Finalizes loan application with Lender. Receives a Loan Estimate from Lender.

Completes and returns opening package from First American Title.

Schedules inspections and evaluates findings. Reviews title commitment/ preliminary report.

Provides all requested paperwork to Lender (bank statements, tax returns, etc.) All invoices and final approvals should be to the lender no later than 10 days prior to loan consummation.

Lender (or Escrow Officer) prepares CD and delivers to Buyer at least 3 days prior to loan consummation.

Escrow officer or real estate agent contacts the buyer to schedule signing appointment.

Buyer consummates loan, executes settlement documents, & deposits funds via wire transfer.

Documents are recorded and the keys are delivered!

THE SELLER

Chooses a Real Estate Agent

Accepts Buyer’s offer to purchase.

Completes and returns opening package from First American Title, including information such as forwarding address, payoff lender contact information and loan numbers.

Orders any work for inspections and/or repairs to be done as required by the purchase agreement.

Escrow officer or real estate agent contacts the seller to schedule signing appointment.

Documents are recorded and all proceeds from sale are received.

THE ESCROW OFFICER

Upon receipt of order and earnest money deposit, orders title examination.

Requests necessary information from buyers and sellers via opening packages.

Reviews title commitment / preliminary report.

Upon receipt of opening packages, orders demands for payoffs. Contacts buyer or seller when additional information is required for the title commitment/ preliminary report.

All demands, invoices, and fees must be collected and sent to lender at least 10 days prior to loan consummation.

Coordinates with lender on the preparation of the CD.

Reviews all documents, demands, and instructions and prepares settlement statements and any other required documents.

Schedules signing appointment and informs buyer of funds due at settlement.

Once loan is consummated, sends funding package to lender for review.

Prepares recording instructions and submits docs for recording.

Documents are recorded and funds are disbursed. Issues final settlement statement.

THE LENDER

Accepts Buyer’s application and begins the qualification process. Provides Buyer with Loan Estimate.

Orders and reviews title commitment / preliminary report, property appraisal, credit report, employment and funds verification.

Collects information such as title commitment / preliminary report, appraisal, credit report, employment and funds verification. Reviews and requests additional information for final loan approval.

Underwriting reviews loan package for approval.

Coordinates with Escrow Officer on the preparation of the Closing Disclosure, which is delivered to Buyer at least 3 days prior to loan consummation.

Delivers loan documents to escrow.

Upon review of signed loan documents, authorizes loan funding.

AZ Sellers Guide | 10

Closing

AZ Sellers Guide | 11 CASH FHA VA CONV 1. Downpayment BUYER BUYER BUYER BUYER 2. Termite (Wood Infestation) Inspection (negotiable except on VA) SELLER 3. Property Inspection (if requested by buyer) BUYER BUYER BUYER BUYER 4. Property Repairs, if any (negotiable) SELLER SELLER SELLER SELLER 5. New Loan Origination Fee (negotiable) BUYER BUYER BUYER 6. Discount Points (negotiable) BUYER BUYER BUYER 7. Credit Report BUYER BUYER BUYER 8. Appraisal or Extension Fee (negotiable) BUYER BUYER BUYER 9. Existing Loan Payoff SELLER SELLER SELLER SELLER 10. Existing Loan Payoff Demand SELLER SELLER SELLER SELLER 11. Loan Prepayment Penalty (if any) SELLER SELLER SELLER SELLER 12. Next Month’s PITI Payment BUYER BUYER BUYER 13. Prepaid Interest (approx. 30 days) BUYER BUYER BUYER 14. Reserve Account Balance (Credit seller / Charge buyer) PRORATE PRORATE PRORATE 15. FHA MIP, VA Funding Fee, PMI Premium BUYER BUYER BUYER 16. Assessments payoff or proration (sewer, paving, etc.) SELLER 17. Taxes PRORATE PRORATE PRORATE PRORATE 18. Tax Impounds BUYER BUYER BUYER 19. Tax Service Contract SELLER SELLER BUYER 20. Fire/Hazard Insurance BUYER BUYER BUYER BUYER 21 Flood Insurance BUYER BUYER BUYER 22. Homeowners Association (HOA) Transfer Fee BUYER or SELLER BUYER or SELLER BUYER or SELLER BUYER or SELLER 23. HOA/Disclosure Fee SELLER SELLER SELLER SELLER 24 Current HOA Payment PRORATE PRORATE PRORATE PRORATE 25. Next Month’s HOA Payment BUYER BUYER BUYER BUYER 26. Home Warranty Premium (negotiable) BUYER or SELLER BUYER or SELLER BUYER or SELLER BUYER or SELLER 27. REALTORS®’ Commissions SELLER SELLER SELLER SELLER 28. EAGLE Homeowners Title Policy SELLER SELLER SELLER SELLER 29. Lenders Title Policy and Endorsements BUYER BUYER BUYER 30. Escrow Fee (NOTE: Charge seller on VA Loan) SPLIT SPLIT SELLER SPLIT 31. Recording Fees (Flat rate) SPLIT SPLIT SPLIT SPLIT 32. Reconveyance/Satisfaction Fee SELLER SELLER SELLER SPLIT 33. Courier/Express Mail Fees SPLIT SPLIT SELLER SPLIT THIS CHART INDICATES WHO CUSTOMARILY PAYS WHAT COSTS Note: Prorated items will appear on Closing Statement as charges for one and credits for the other.
Costs: Who Pays What

The Escrow Process

WHAT IS AN ESCROW?

The escrow is the process of having a neutral party manage the exchange of money for real property. The escrow holder is known as an escrow or settlement officer or agent. The buyer deposits funds and the seller deposits a deed with the escrow holder along with all of the other documents required to remove all "contingencies" (conditions and approvals) in the purchase agreement prior to closing.

HOW IS AN ESCROW OPENED?

Once a purchase agreement is signed by all necessary parties, the agent representing the party who will pay the fee selects an escrow holder and the buyer's earnest money deposit and contract are submitted to the escrow holder. From this point, the escrow holder will follow the mutual written instructions of the buyer and seller, maintaining a neutral stance to ensure that neither party has an unfair advantage over the other. The escrow holder also follows the instructions of the Buyer's new lender, the seller's existing lender, and both parties' agents. The escrow holder ensures the transparency of the transaction, while carefully maintaining the privacy of the consumers.

AZ Sellers Guide | 12

Your Escrow Professional May:

Open escrow and deposit good faith funds into an escrow account

Conduct a title search to determine the ownership and title status of the real property

Review the title commitment and begin the process of working with you and the title officer to eliminate the title exceptions the buyer and the buyer’s new lender are not willing to take subject to. This includes ordering a payoff demand from your existing lender.

Coordinate with the buyer’s lender on the preparation of the Closing Disclosure (CD)

Prorate fees, such as real property taxes, per the contract and prepare the settlement statement

Set separate appointments allowing the buyer and seller to sign documents and deposit funds

Review documents and ensure all conditions are fulfilled and certain legal requirements are met

Request funds from buyer and buyer’s new lender

When all funds are deposited and conditions met, record documents with the County Recorder to transfer the real property to the buyer

After recording is confirmed, close escrow and disburse funds, including proceeds, loan payoffs, tax payments, and more

Prepare and send final documents to all parties

AZ Sellers Guide | 13

Understanding Title Insurance

Prior to the development of the title industry in the late 1800s, a home-buyer received a grantor’s warranty, attorney’s title opinion, or abstractor’s certificate as assurance of home ownership. The buyer relied on the financial integrity of the grantor, attorney, or abstractor for protection. Today, home-buyers look primarily to title insurance to provide this protection. Title insurance companies are regulated by state statute. They are required to post financial guarantees to ensure that any claims will be paid in a timely fashion. They also must maintain their own “title plants” which house duplicates of recorded deeds, mortgages, plats, and other pertinent county property records.

The Title Industry & Title Insurance in Brief

WHAT IS TITLE INSURANCE?

Title insurance provides coverage for certain losses due to defects in the title that, for the most part, occurred prior to your ownership. Title insurance protects against defects such as prior fraud or forgery that might go undetected until after closing and possibly jeopardize your ownership and investment.

WHY IS TITLE INSURANCE NEEDED?

Title insurance insures buyers against the risk that they did not acquire marketable title from the seller. It is primarily designed to reduce risk or loss caused by defects in title from the past. A loan policy of title insurance protects the interest of the mortgage lender, while an owner’s policy protects the equity of you, the buyer, for as long as you or your heirs (in certain policies) own the real property.

WHEN IS THE PREMIUM DUE?

You pay for your owner’s title insurance policy only once, at the close of escrow. Who pays for the owner’s policy and loan policy varies depending on local customs.

AZ Sellers Guide | 14

Compare First American’s Eagle Policy® for Owners

Protection from: 1 Someone else owns an interest in your title 2 A document is not properly signed

Forgery, fraud, duress in the chain of title

Defective recording of any document 5 There are restrictive covenants 6 There is a lien on your title because there is: a) a deed of trust b) a judgement, tax, or special assessment c) a charge by a homeowner’s association 7 Title is unmarketable 8 Mechanics lien 9 Forced removal of a structure because it: a) extends on another property and/or easement b) violates a restriction in Schedule B c) violates an existing zoning law* 10 Cannot use the land for a Single-Family Residence because the use violates a restriction in Schedule B or a zoning ordinance

Unrecorded lien by a homeowners association

Unrecorded easements

Building permit violations*

Restrictive covenant violations

Post-policy forgery

Post-policy encroachment

Post-policy damage from extraction of minerals or water

Lack of vehicular and pedestrian access 19 Map not consistent with legal description 20 Post-policy adverse possession

EAGLE ALTA Standard or CLTA

Compare First American’s Eagle Policy® for Owners

Post-policy prescriptive easement

Covenant violation resulting in your title reverting to a previous owner

Violation of building setback regulations

Discriminatory covenants

Other benefits:

Pays rent for substitute land or facilities

Rights under unrecorded leases

Plain language statements of policy coverage and restrictions

Compliance with Subdivision Map Act

Coverage for boundary wall or fence encroachment*

EAGLE ALTA Standard or CLTA

Added ownership coverage leads to enhanced marketability 31 Insurance coverage for a lifetime 32 Post-policy inflation coverage with automatic increase in value up to 150% over five years 33 Post-policy Living Trust coverage * Deductible and maximum limits apply. Not available to investors on 1- to 4-unit residential properties. Coverage may vary based on an individual policy.

As with any insurance contract, the insuring provisions express the coverage afforded by the title insurance policy and there are exceptions, exclusions and conditions to coverage that limit or narrow the coverage afforded by the policy. Also, some coverage may not be available in a particular area or transaction due to legal, regulatory, or underwriting considerations. Please contact a First American representative for further information. The services described above are typical basic services. The services provided to you may be different due to the specifics of your transaction or the location of the real property involved.

AZ Sellers Guide | 15
3
4
11
12
13
14
15
16
17
18
21
22
23
24
25
26
27
28
29
30

Consider This

One escrow transaction could involve more than 20 individuals, including real estate agents, buyers, sellers, attorneys, escrow officer, escrow technician, title officer, loan officer, loan processor, loan underwriter, home inspector, termite inspector, insurance agent, home warranty representative, contractor, roofer, plumber, pool service, and so on. And often, one transaction depends on another.

When you consider the number of people involved, you can imagine the opportunities for delays and mishaps. Your experienced escrow team can’t prevent unforeseen problems from arising; however, they can help smooth out the process.

AZ Sellers Guide | 16

Closing Your Escrow

THE CLOSING DISCLOSURE

Once the loan is approved and all invoices and paperwork have been provided, the lender and escrow officer will collaborate on the preparation of the Closing Disclosure (CD). In order to close on time, all paperwork and invoices should be submitted at least 10 days prior to the expected close of escrow date. The borrower must receive the CD at least three days* prior to consummation of the loan (typically the signing date). The escrow officer will also prepare an estimated settlement statement and inform the buyer of the balance of the down payment and closing costs needed to close escrow.

*For purposes of the Closing Disclosure“business day” is defined as every day except Sundays and Federal legal holidays.

THE CLOSING OR SIGNING APPOINTMENT

The escrow holder will contact you or your agent to schedule a closing or signing appointment. In some states, this is the "close of escrow." In some others, the close of escrow is either the day the documents record or that funds are disbursed. Ask your escrow holder if you would like clarification about your state's laws.

You will have a chance to review the settlement statement and supporting documentation. This is your opportunity to ask questions and clarify terms. You should review the settlement statement carefully and report discrepancies to the escrow officer. This includes any payments that may have been missed. You are responsible for all charges incurred even if overlooked by the escrow holder, so it's better to bring these to their attention before closing.

The escrow holder is obligated by law to have the designated amount of money before releasing any funds. If you have questions or foresee a problem, let your escrow holder know immediately.

DON'T FORGET YOUR IDENTIFICATION

You will need valid identification with your photo I.D. on it when you sign documents that need to be notarized (such as a deed). A driver's license is preferred. You will also be asked to provide your social security number for tax reporting purposes, and a forwarding address.

WHAT HAPPENS NEXT?

If the buyer is obtaining a new loan, the buyer’s signed loan documents will be returned to the lender for review. The escrow holder will ensure that all contract conditions have been met and will ask the lender to "fund the loan."

If the loan documents are satisfactory, the lender will send funds directly to the escrow holder. When the loan funds are received, the escrow holder will verify that all necessary funds are in. Escrow funds will be disbursed to the seller and other appropriate payees. Then, the REALTOR® will present the keys to the property to the buyer.

AZ Sellers Guide | 17

Planning your move

SIX WEEKS BEFORE:

Create an inventory sheet of items to move.

Research moving options You’ll need to decide if yours is a do-it-yourself move or if you’ll be using a moving company.

Request moving quotes Solicit moving quotes from as many moving companies and movers as possible. There can be a large difference between rates and services within moving companies.

Discard unnecessary items Moving is a great time for ridding yourself of unnecessary items. Have a yard sale or donate unnecessary items to charity.

Packing materials. Gather moving boxes and packing materials for your move.

Contact insurance companies. (Life, Health, Fire, Auto) You’ll need to contact your insurance agent to cancel/transfer your insurance policy. Do not cancel your insurance policy until you have and closed escrow on the sale.

Seek employer benefits. If your move is work-related, your employer may provide funding for moving expenses. Your human resources rep should have information on this policy.

Changing Schools. If changing schools, contact new school for registration process.

FOUR WEEKS BEFORE:

Contact utility companies Set utility turnoff date, seek refunds and deposits and notify them of your new address.

Obtain your medical records. Contact your doctors, physicians, dentists and other medical specialists who may currently be retaining any of your family’s medical records. obtain these records or make plans for them to be delivered to your new medical facilities.

Note food inventory levels Check your cupboards, refrigerator and freezer to use up as much of your perishable food as possible.

Service small engines for your move by extracting gas and oil from the machines. This will reduce the chance to catch fire during your move.

Protect jewelry and valuables. Transfer jewelry and valuables to safety deposit box so they can not be lost or stolen during your move.

Borrowed and rented items. Return items which you may have borrowed or rented. Collect items borrowed to others.

ONE WEEK BEFORE:

Plan your itinerary. Make plans to spend the entire day at the house or at least until the movers are on their way. Someone will need to be around to make decisions. Make plans for kids and pets to be at the sitters for the day.

Change of address. Visit USPS for change of address form.

Bank accounts Notify bank of address change. Make sure to have a money order for paying the moving company if you are transferring or closing accounts.

Service automobiles If automobiles will be driven long distances, you’ll want to have them serviced for a trouble-free drive.

Cancel services. Notify any remaining service providers (newspapers, lawn services, etc) of your move.

Start packing. Begin packing for your new location.

Travel items. Set aside items you’ll need while traveling and those needed until your new home is established. Make sure these are not packed in the moving truck!

Scan your furniture. Check furniture for scratches and dents before so you can compare notes with your mover on moving day.

Prepare Floor Plan. Prepare floor plan for your new home. This will help avoid confusion for you and your movers.

MOVING DAY:

Review the house. Once the house is empty, check the entire house (closets, the attic, basement, etc) to ensure no items are left or no home issues exist.

Sign the bill of lading. Once your satisfied with the mover’s packing your items into the truck, sign the bill of lading. If possible, accompany your mover while the moving truck is being weighed.

Double check with your mover. Make sure your mover has the new address and your contact information should they have any questions during your move.

Vacate your home. Make sure utilities are off, doors and windows are locked and notify your real estate agent you’ve left the property.

AZ Sellers Guide | 18
AZ Sellers Guide | 19 Your
Notes:
AZ Sellers Guide | 20 Your Notes
:
AZ Sellers Guide | 21 Your Notes
:

1 SUN CITY WES T 623.299.3644 13940 W. Meeker Blvd., #119 Sun City West, AZ 85375 N of Meeker Blvd W of R.H. Johnson

2 GOODYEAR 623.936.8001 1626 N. Litchfield Rd. Ste. #170 Goodyear, AZ 85395 NW corner of McDowell & Litchfield

3 ARROWHEAD

623.487.0404 16165 N. 83rd Ave , #100 Peoria, AZ 85382

S of Bell/E side of 83rd Ave

4 THE LEGENDS 623.537.1608 20241 N. 67th Ave , #A-2 Glendale, AZ 85308 E side 67th Ave/N of 101

5 ANTHEM 623.551.3265 39508 N. Daisy Mountain Dr., #128 Anthem, AZ 85086 NE corner Daisy Mtn Dr/ Gavilan Peak Pkwy

6 BILTMORE 602.954.3644 3200 E Camelback Rd., #123 Phoenix, AZ 85018 NE Corner of Camelback/32nd Street

7 DESERT RIDGE 480.515 4369 20860 N. Tatum Blvd , #100 Phoenix, AZ 85050 NW corner of Tatum/Loop 101

8 CAREFREE 480.575.6609 7202 E. Carefree Dr , Bldg 1, #1 Carefree, AZ 85377 NE corner of Tom Darlington/ Carefree Dr.

9 KIERLAND COMMONS

480.948.6488 14648 N Scottsdale Rd., Ste. #100 Scottsdale, AZ 85254 W of Scottsdale Road, S side of Greenway

10 SCOTTSDALE FORUM

480.551.0480 6263 N. Scottsdale Rd., #110 Scottsdale, AZ 85250 E Side Scottsdale/S of Lincoln

11 DC CROSSING 480.563.9034 18291 N. Pima Rd , #145 Scottsdale, AZ 85255 SE corner of Pima/Legacy

12 AHWATUKEE 480.753.4424 4435 E. Chandler Blvd , #100 Phoenix, AZ 85048 SW corner Chandler/45th St.

13 CHANDLER PORTICO 480.777.0051 2121 W. Chandler Blvd., #215 Chandler, AZ 85224 SW Corner Chandler Blvd./ Dobson Rd.

14 GILBERT SAN TAN 480.777.0614 1528 E. Williams Field Rd., #101 Gilbert, AZ 85295 NW corner of Williams Field Rd./ Val Vista Rd.

15 MESA 480.401.3738 1630 S. Stapley Dr., #123 Mesa, AZ 85204 N of Baseline / W of Stapley

16 RED MOUNTAIN 480.534.3599 1135 N. Recker Rd , #103 Mesa, AZ 85205 SE corner of Recker & Brown

17 GOLD CANYON 480.288.0883 6877 South Kings Ranch Rd., #5 Gold Canyon, AZ 85118 E of 60/ South Side Kings Ranch Rd.

CRISMON SIGNAL BUTTE GOLDFIELD OLDWESTHWY
1 4 3 2 6 12 10 5 8 7 11 9
SKINGSRANCH 14 17 15 13 16 Central Arizona
First American Title Branch Locator
AZ Sellers Guide | 22

1 MAIN OFFICE

520.885.1600 | Fax 520.885.2309 6390 E. Tanque Verde Rd. Tucson, AZ 85715

2 BROADWAY 520.747.1644 | Fax 520.747.1403 3777 E. Broadway Blvd., Ste. 220 Tucson, AZ 85716

3 CAMBRIC 520.577.8707 | Fax 520.529.5034 1840 E. River Rd., Ste. 200 Tucson, AZ 85718

4 CASA GRANDE 520.426.4600 | Fax 520.426.4699 421 E. Cottonwood Ln Casa Grande, AZ 85122

5 CASAS ADOBES

520.575.1900 | Fax 520.432.0168 6760 N. Oracle Rd., Ste. 100B Tucson, AZ 85704

6 CENTRAL 520.319.9207 | Fax 520.319.1468 3777 E. Broadway Blvd., Ste. 102 Tucson, AZ 85716

7 DOWNTOWN 520.740.0424 | Fax 520.740.0436 1 S. Church Ave., Ste. 1610 Tucson, AZ 85701

8 FOOTHILLS 520.299.4606 | Fax 520.577.6993 4051 E Sunrise Dr., Ste. 155 Tucson, AZ 85718

EDesertDove

SSantaRitaRd

9 GREEN VALLEY

520.625.1095 | Fax 520.958.9663 190 W. Continental Rd., Ste. 226 Green Valley, AZ 85622

10 ORO VALLEY/LA CANADA 520.877.9200 | Fax 520.202.6348 11165 N. La Canada Dr., Ste. 143 Oro Valley, AZ 85737

11 ORO VALLEY/ORACLE 520.229.9194 | 520.297.2576 Fax 520.229.9210 | 520.742.5866 8500 N. Oracle Rd., Ste 100 Oro Valley, AZ 85704

12 RITA ROAD 520.618.7790 | Fax 520.901.1720 10222 East Rita Rd., Ste. 190 Tucson, AZ 85747

13 RIVER 520.529.1944 | Fax 520.615.2945 1650 E. River Rd., Ste. 105 Tucson, AZ 85718

14 SKYLINE 520.529.0506 | Fax 520.529.8998 2890 E. Skyline Dr., Ste. 200 Tucson, AZ 85718

15 TANQUE VERDE 520.202.2626 | Fax 520.495.6151 7479 E. Tanque Verde Tucson, AZ 85715

TUCSON INT'L AIRPORT Air Force WSilverbellRd
N M t L
ESascoRd NF38 W Avra Valley Rd E G and Va ey Dr NAguirre R d N L u c k e t t R d N W e n t z R d N Wa terman Mounta i n R d N Anway Rd W El Tiro Rd N Trico Rd W Tucke Rd W Rudasi Rd W Manv l e Rd SSanJoaquinRd WBopp Rd W Snyder H Rd S M a r s t e l l a r R d W Park Rd W Hermans Rd W He mans Rd W Guy St W Bush Rd S G a r v e y R d N C a e R i n c o n a d o S W m o t R d S Shaw Rd S Sierrita Mountain Rd S K o l b R d W Tw nButtes Rd W Mcgee Ranch Rd S E s t a n c i a D r E Hemlock Dr N Bea r C a n y o n R d W E Cam no De Cerro E Fairmount St S Swan Rd NFrontageRd W Emigh Rd W Fort Lowe Rd N P u m p S t a t ion dR Cont nental Ave N Trico Rd S Cattle SOwlHead R a n c h Rd GasLineRd N T r c o R d W Bayard Rd S S a n d a r i o R d N Dove Mountain Blvd SHelvetiaRd WAnamax Mine Rd W G a r c i a R a n hc R d Road424 WRagged Top Rd W Ruby S a Dr WBritten RanchRd W Pima Mine Rd ellRdS S Mcgee Ranch R d E Edw n Rd SGu 8 0 NKINNEYRD N S A N D A R I O R D N ANWAY RD W VALENCIA RD W MOORE RD W INA RD N 1 S T A V E E SUNRISE DR E SNYDER RD NSILVERBELLRD N S O L D I E R T R L E RIVER RD E PRINCE RD E SPEEDWAY BLVD S FREEMAN RD E 22ND ST E 22ND ST W IRVINGTON RD S N O G A L E S H W Y W VALENCIA RD SMISSIONRD W SPEEDWAY BLVD S O L D S P A N I S H T RL W NARANJA DR W TWIN PEAKS RD W PICTURE ROCKS RD W MANVILLE RD SKINNEYRD W MILE WIDE RD E SAHUARITA RD N TRICO RD S S A N D A R I O R D S OLD N O G ALES HW Y S H O U G H T O N R D S L A C A N A D A DR W HELMET PEAK RD WAJOHWY N S W A N R D S KOLB RD S HOUGHTON RD W TANGERINE RD E GRANT RD S H O U G H T O N R D 9 5 WAJOHWY E VALENCIA RD NORACLE R D I10 I-19 77 77 86 86 286 19 10 10 Corona de Tucson Casas Adobes Catalina Green Valley Picture Rocks Three Points Vail Summit Tanque Verde Tucson Sahuarita Red Rock Saddlebrooke Marana Oro Valley Rillito Summerhaven Willow Canyon Oracle Junction Cortaro Continental Littletown 2 3 5 6 7 9 10 11 12 13 15 14 8 1 Southern Arizona First American Title Branch Locator TUCSON INT'L AIRPORT Air Force FreemanRd WSilverbellRd N M t L emmon Hwy ESascoRd NF38 W Avra Val ey Rd S C u r r y R d W Hanna Rd E Grand Va ey D W Houser Rd W Ph ps Rd E Co nman Rd NAguirre R d N L u c k e t R d N W e n z R d N Wa terman Mounta i n R d N Anway Rd W El Tiro Rd N Trico Rd W Tucke Rd W Rudas Rd W Manv e Rd SSanJoaquinRd WBopp Rd W Snyde H Rd S M a r s t e a r R d W Pa k Rd W He mans Rd W Hermans Rd W Guy St W Bush Rd a r v e y R d N C a e R i n c o S W m o R d Shaw Rd S Sierrita W Woodru Rd N O v e r f e d R d W Rando ph Rd W Bartlett Rd N L a P a m a R d N Tweedy Rd E Randolph Rd W Kleck Rd E K eck Rd W Se ma
W
S
E
E
W
E
S
emmon Hwy
Hwy S Trekell Rd S Henness Rd E Selma Hwy W Co nman Rd
Pretzer Rd
L a m b R d S La Palma Rd
M gan Rd
M gan Rd
A es Dr
Curtis Rd
E s t a n c a D r
Hearth
W
E
S
W
u m p S t a t ion dR E Nona Rd Ch efButteRd Lovetta dR E Hanna Rd Tecolot e RanchRd FlorenceRdRomeroRd Con nenta Ave BIA-30 N Trico Rd S S u n a n d G i n R d S Cattle Tank Rd E E s Rd E Hotts Rd E Nutt Rd Evalyn Rd SOwlHead R a n c h Rd GasLineRd S P ec a n R d I on Va ey Rd EDeepWellRanchRd S N g h t S k y St S B r a d y P u mp Rd E Houser Rd E Ar ca Rd W Ea ey Rd N T r c o R d W Baya d Rd S S a n d a r o R d W i l l owSpri n gsRd EHelmwheel Ranch Rd N Dove Mounta n Blvd BIA-35 W G a r c i a R a n hc R d E Dese H s Rd WRagged Top Rd W Pima Mine Rd W S i l v erbellRdS E Edw n Rd BIA34 SGuildRd 8 0 NKINNEYRD S PICACHO HWY E GREENE RESERVOIR RD S SUNLAND GIN RD W BATTAGLIA DR AZ-84 E BAUMGARTNER RD S S U N S H I N E B L V D N S A N D A R O R D N ANWAY RD E HARMON RD W VALENCIA RD E RODEO RD W MOORE RD W INA RD N 1 S T A V E E SUNRISE DR E SNYDER RD NSILVERBELLRD N S O L D I E R T R L E RIVER RD E PRINCE RD E SPEEDWAY BLVD S FREEMAN RD E 22ND ST E 22ND ST W IRV NGTON RD S N O G A L E S H W Y W VALENC A RD SMISSIONRD W SPEEDWAY BLVD S O L D S P A N I S H T RL W NARANJA DR W TW N PEAKS RD W P CTURE ROCKS RD W MANVILLE RD SKINNEYRD W MILE WIDE RD W HARMON RD W MCCARTNEY RD N TRICO RD S S A N D A R I O R D PARK LINK DR S H O U G H T O N R D E MART N RD S THORNTON RD S CHUICHU RD WAJOHWY N S W A N R D S KOLB RD S HOUGHTON RD W TANGER NE RD E GRANT RD S H O U G H T O N R D N P N A L A V E 9 5 WAJOHWY E VALENCIA RD NORACLE R D I10 I-19 I-8 77 77 79 77 77 87 86 86 387 287 86 10 19 8 10 10 10 La Palma Chuichu Arizona City Casas Adobes Catalina Dudleyville Oracle Casa Grande Picture Rocks Three Points Vail Summit Tanque Verde Eloy Tucson Cactus Forest Picacho Red Rock Saddlebrooke Marana Oro Valley Haivana Nakya Rillito Summerhaven Willow Canyon Randolph Toltec Oracle Junction Cortaro Schuchk Littletown 2 4 3 5 6 7 10 11 12 13 15 14 8 1 TUCSON INT'L AIRPORT Air Force WSilverbellRd SSantaRitaRd N M t L emmon Hwy ESas W Avra Valley Rd E G and Va ey D NAguirre R d N L u c k e t R d N W e n t z R d N Wa terman Mounta n R d N Anway Rd W El Tiro Rd N Trico Rd W Tucke Rd W Rudas Rd W Manv e Rd SSanJoaquinRd WBopp Rd W Snyder H Rd S M a r s t e a r R d W Park Rd W Hermans Rd W He mans Rd W Guy St W Bush Rd S G a v e y R d N C a e R i n c o n a d o S W l m o t R d S Shaw Rd S Sierrita Mountain Rd S K o b R d W TwinButtes Rd W Mcgee Ranch Rd S E s N Bea r C a n y o n R d W E Cam no De Cerro E Fairmount St S Swan Rd NFrontageRd W Emigh Rd W Fort Lowel Rd N P u m p S a t ion dR N Trico Rd SOw Gas N T r c o R d W Baya d Rd S S a n d a r o R d N Dove Mountain Blvd SHelvetiaRd WAnamax M ne Rd W G a r c i a R a n hc R d Road424 ed Top Rd W Ruby S ar D WBritten RanchRd W Pima Mine Rd S Mcgee Ranch R d E Edw n Rd 8 0 NKINNEYRD N S A N D A R O R D N ANWAY RD W VALENC A RD W MOORE RD W INA RD N 1 S T A V E E SUNR SE DR E SNYDER RD NSILVERBELLRD N S O L D E R T R L E RIVER RD E PRINCE RD E SPEEDWAY BLVD S FREEMAN RD E 22ND ST E 22ND ST W IRV NGTON RD S N O G A L E S H W Y W VALENCIA RD SMISSIONRD W SPEEDWAY BLVD S O L D S P A N I S H T RL W NARANJA DR W TW N PEAKS RD W P CTURE ROCKS RD W MANVILLE RD SKINNEYRD W MILE WIDE RD E SAHUARITA RD N TRICO RD S S A N D A R O R D S OLD N O G ALES HW Y S H O U G H T O N R D S L A C A N A D A DR W HELMET PEAK RD WAJOHWY N S W A N R D S KOLB RD S HOUGHTON RD W TANGERINE RD E GRANT RD S H O U G H T O N R D 9 5 WAJOHWY E VALENCIA RD NORACLE R D I10 I-19 77 77 86 86 286 19 10 10 Corona de Tucson Casas Adobes Catalina Green Valley Picture Rocks Three Points Vail Summit Tanque Verde Tucson Sahuarita Saddlebrooke Marana Oro Valley Rillito Summerhaven Willow Canyon Cortaro Continental Littletown 2 3 5 6 7 9 10 11 12 13 15 14 8 1 AZ Sellers Guide | 23
Rd E Hemlock Dr N Bea r C a n y o n R d
E Cam no De Cerro
Fairmount St
Swan Rd NFrontageRd
Emigh Rd GoffRanchRd NBarkervilleRd W Fort Lowe Rd N P
05110281121
For more information please contact your First American representative. www.firstam.com First American Title Insurance Company, and the operating divisions thereof, make no express or implied warranty respecting the information presented and assume no responsibility for errors or omissions. First American, the eagle logo, First American Title, and firstam.com are registered trademarks or trademarks of First American Financial Corporation and/or its affiliates. ©2021 First American Financial Corporation and/or its affiliates. All rights reserved. NYSE: FAF

Turn static files into dynamic content formats.

Create a flipbook
Issuu converts static files into: digital portfolios, online yearbooks, online catalogs, digital photo albums and more. Sign up and create your flipbook.