11319 E. Calle Catalina

Page 1

Data Provided By: First American Title Ins Co

11319 E Calle Catalina Tucson AZ 85748 APN: 205-43-047E
Subject Property
© 2023 CoreLogic. All rights reserved

LIMITATION OF LIABILITY FOR INFORMATIONAL REPORTS

IMPORTANT -- PLEASE READ CAREFULLY:

This report is not an insured product or service or a representation of the condition of title to real property. It is not an abst ract, legal opinion, opinion of title, title insurance commitment or preliminary report, or any form of Title Insurance or Guaranty. This report is issued exclusively for the benefit of the Applicant therefor and may not be used or relied upon by any other person. This report may not be reproduced in any manner without First American or Title Security's prior written consent. First American or Title Security does not represent or warrant that the information herein is complete or free from error, and the information herein is provided without any warranties of any kind, as-is, and with all faults. As a material part of the consideration given in exchange for the issuance of this report, recipient agrees that First American or Title Security's sole liability for any loss or damage caused by an error or omission due to inaccurate information or negligence in preparing this report shall be limited to the fee charged for the report. Recipient accepts this report with this limitation and agrees that First American or Title Security would not have issued this report but for the limitation of liability described above. First American or Title Security makes no representation or warranty as to the legality or propriety of recipient's use of the information herein.

Disclaimer

This REiSource report is provided "as is" without warranty of any kind, either express or implied, including without limitations any warrantees of merchantability or fitness for a particular purpose. There is no representation of warranty that this information is complete or free from error, and the provider does not assume, and expressly disclaims, any liability to any person or entity for loss or damage caused by errors or omissions in this REiSource report without a title insurance policy.

The information contained in the REiSource report is delivered from your Title Company, who reminds you that you have the right as a consumer to compare fees and serviced levels for Title, Escrow, and all other services associated with property ownership, and to select providers accordingly. Your home is the largest investment you will make in your lifetime and you should demand the very best.

Data Provided By: First American Title Ins Co
© 2023 CoreLogic. All rights reserved

Subject Property :   11319 E Calle Catalina Tucson AZ 85748

Owner Information

Owner Name : Burns Robert L / Burns Lisa L

Mailing Address : 8191 E Sabino Dr, Tucson AZ 85750-9630 R015

Vesting Codes : / / Community Property

Owner Occupied Indicator : A

Location Information

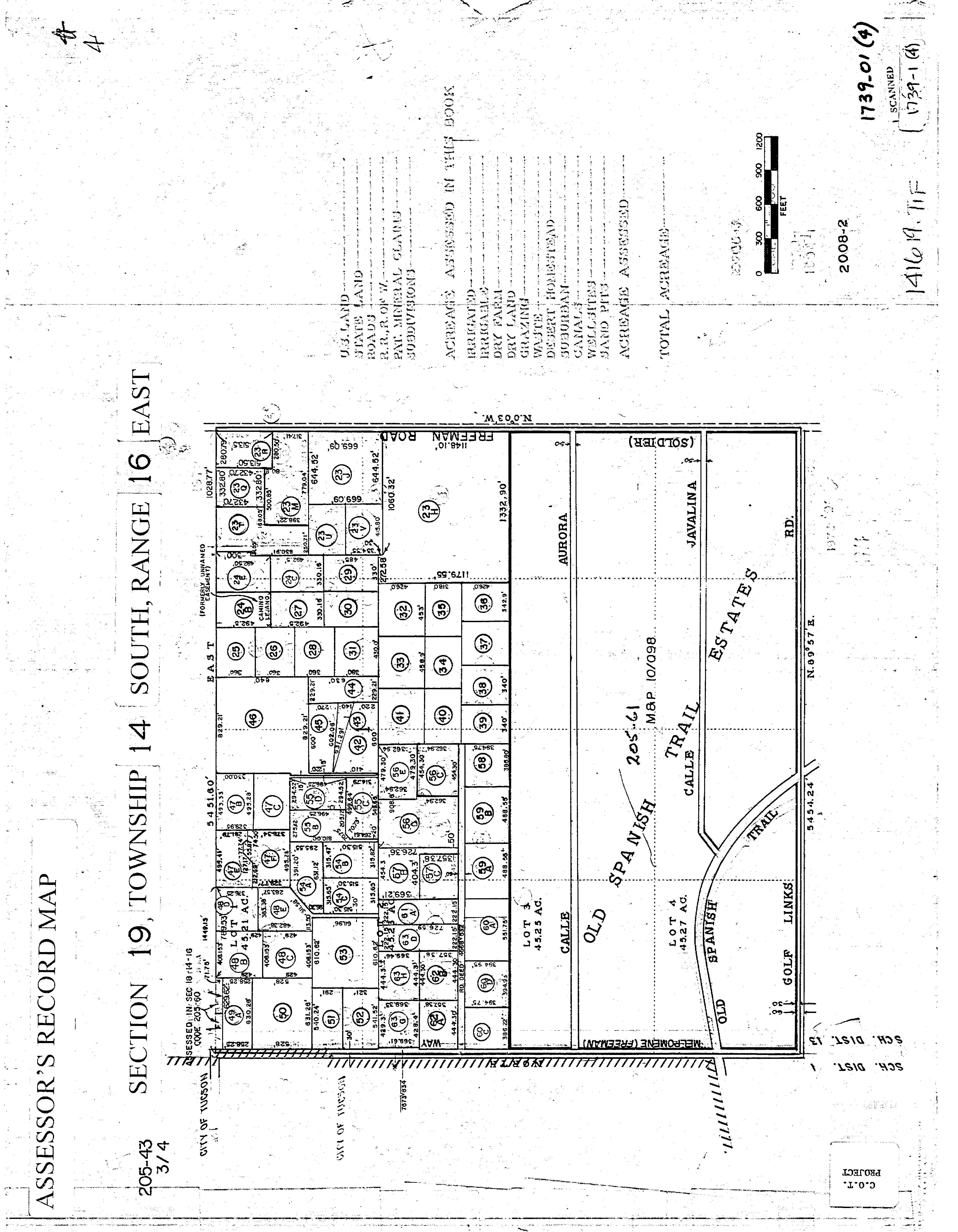
Legal Description : N659.81' W495.33' E1380' Nw4 7.50 Ac Sec 19-14-16

County : Pima, Az Alternate APN : 205-43-047D

Census Tract / Block : 40.26 / 3

Township-Range- Sect : 14S-16E-19

Market Area : 91

APN : 205-43-047E

Owner Transfer Information

Map Reference : 19-14S-16E

School District : Tanque Verde

Munic/Township : Tanque Verde

Recording/Sale Date : 08/03/2017 / 07/27/2017 Deed Type : Warranty Deed

Document # : 2150288

Last Market Sale Information

Recording/Sale Date : 08/22/2005 /

Sale Price : $340,000

Document # : 12621-2322

Mtg Amount/Type : $272,000 / Cnv

Mtg Int. Rate/Type : / Adjustable Int Rate Loan

1st Mtg Document # : 12621-2326

Deed Type : Warranty Deed Price Per SqFt : $0.67

Title Company : Fidelity National Title Co

Lender : National Bk/az

Seller Name : Hernandez Jesus Sr & Bernice

Prior Sale Information

Prior Rec/Sale Date : 12/05/2003 / 11/00/2003

Prior Sale Price : $170,000

Prior Doc Number : 12191-5687

Prior Deed Type : Warranty Deed

Prior Lender : First Nat'l Bk/az

Prior 1st Mtg Amt/Type : $153,000 / Conv

Prior 1st Mtg Rate/Type : / Adjustable Int Rate Loan

08/00/2005 1st
1st
Customer Name
Customer Company Name : First American Title Insurance Company Prepared On : 06/15/2023 © 2023 CoreLogic. All rights reserved
: Kariann Keomaka
Information Land Use : Residential Acreage Zoning : SR Lot Size : 145,926 County Use : Vac-res-urban Non Subd Lot Acres : 3.35 State Use : Vac-res-urban Non Subd Tax Information Total Value : $92,000 Property Tax : $1,593.06 Current Assessed Year : 2024 Total Taxable Value : $13,703 Tax Rate Area : 1300 Current Year Total Value : $22,500 Assessed Year : 2022 Market Value : $92,000 Current Year Land Value : $22,500 Tax Year : 2022
Property
06/15/2023 © 2023 CoreLogic. All rights reserved
Customer Name : Kariann Keomaka Customer Company Name : First American Title Insurance Company Prepared On :
Criteria Subject Property Low High Average Sale Price $340,000 $115,000 $1,350,000 $697,722 Bldg/Living Area Price Per Square Foot $0.67 $1 $2 $1.45 Year Built Lot Size 145,926 44,636 420,790 167,107 Bedrooms Bathrooms Stories Total Assessed Value $92,000 $20,000 $190,000 $103,864 Distance From Subject 0 1.8 2.79 2.43 Summary of Comparables # Address Sale Price Total Assessed Value Sale Date Bed Bath Living Area Lot Size Year Built Dist (Miles) Zoning S 11319 E Calle Catalina 340,000 92,000 08/22/2005 145,926 SR 1 11680 E Grampian Pl 170,000 175,000 10/19/2022 159,229 1.8 SR 2 750 N Avenida Aguila 495,000 136,000 04/17/2023 344,995 2.14 3 115,000 34,780 07/20/2022 125,453 2.35 SR 4 4185 S Saguaro Path Ct 225,000 190,000 08/29/2022 144,622 2.42 SR 5 3131 S Portia Ave 1,034,500 149,000 04/06/2023 420,790 2.42 SR 6 4198 S Saguaro Monument Pl 190,000 190,000 10/14/2022 146,745 2.42 SR 7 2008 N Conestoga Ave 1,350,000 20,000 07/29/2022 44,636 2.78 CR-1 8 2014 N Conestoga Ave 1,350,000 20,000 07/29/2022 48,817 2.78 CR-1 9 2020 N Conestoga Ave 1,350,000 20,000 07/29/2022 68,676 2.79 CR-1 Distressed Sales = Customer Name : Kariann Keomaka Customer Company Name : First American Title Insurance Company Prepared On : 06/15/2023 © 2023 CoreLogic. All rights reserved
Sales Analysis

Customer Name : Kariann Keomaka

Customer Company Name : First American Title Insurance Company Prepared On : 06/15/2023

© 2023 CoreLogic. All rights reserved

Map

Customer Name : Kariann Keomaka

Customer Company Name : First American Title Insurance Company Prepared On : 06/15/2023

© 2023 CoreLogic. All rights reserved

Property :   11319 E Calle Catalina Tucson AZ 85748
Subject

Customer Name : Kariann Keomaka

Customer Company Name : First American Title Insurance Company

Prepared On : 06/15/2023

© 2023 CoreLogic. All rights reserved

3.75

205-43-047B

11311 E CALLE CATALINA Distance 0.06 Miles
Sale Price  :
Sale Date : 08/00/2017 Property Tax :
Value :
Lot Acres :
Land Use : Residential Acreage APN :
Recording Date  : 08/03/2017 11291 E CALLE CATALINA Distance 0.08 Miles
Name :
Recording Date : 01/04/2001 Sale Date : 01/00/2001 Sale Price  : $82,000
Value :
Property Tax :
Bed
Lot Acres :
Land Use :
Living Area :
Stories :
APN :
Yr Blt / Eff Yr Blt  : 2002 / 11310 E TWIN HILLS TRL Distance 0.09 Miles
Name :
Sale Price  :
Sale Date : 05/07/2018 Property Tax :
Value :
Lot Acres :
Land Use : Residential
APN :
Recording Date  : 05/10/2018 11409 E CALLE CATALINA Distance 0.09 Miles
Name :
Michael Sale Price  : $104,640 Sale Date : 05/07/2021 Property Tax :
Owner Name : Tipperary
$144,000
$1,757.87 Total
$101,000
4.15
205-43-047F
Owner
Borror Terance J
Total
$527,350
$4,754.90
/ Bath : / 5
3.31
Sfr
3,535
1.5
205-43-048D
Owner
Wallin Salley Ann
$69,500
$1,170.13 Total
$67,100
5.00
Lot
205-60-0890
Owner
Kobylinski
$1,684.61
Lot Acres :
Land
APN :
Recording
Customer
First American Title Insurance
Prepared
© 2023 CoreLogic.
Total Value : $97,000
Use : Residential Acreage
Date  : 05/11/2021 Customer Name : Kariann Keomaka
Company Name :
Company
On : 06/15/2023
All rights reserved

11370 E TWIN HILLS TRL Distance 0.11 Miles

Owner Name : Larson Gordon Recording Date : 07/14/1999

Total Value : $477,199 Sale Price  : $385,000

Bed / Bath : / 4 Property Tax : $4,947.87

Land Use : Sfr Lot Acres : 5.00

Stories : 1 Living Area : 3,708

Yr Blt / Eff Yr Blt : 1979 / APN : 205-60-0900

Subdivision  : Tanque Verde Village

11260 E TWIN HILLS TRL Distance 0.11 Miles

Owner Name : Bieberstein Recording Date : 05/26/1993

Sale Date : 05/00/1993 Sale Price  : $60,000

Total Value : $380,178 Property Tax : $3,709.75

Bed / Bath : / 3 Lot Acres : 3.77

Land Use : Sfr Living Area : 2,458

Stories : 1 APN : 205-60-0860

Yr Blt / Eff Yr Blt  : 1994 /

11407 E CALLE CATALINA Distance 0.12 Miles

Owner Name : Gomez Recording Date : 05/17/2012

Sale Date : 04/18/2012 Sale Price  : $84,500

Total Value : $481,215 Property Tax : $4,389.70

Bed / Bath : / 4

Lot Acres : 4.03

Land Use : Sfr Living Area : 2,849

Stories : 2

Yr Blt / Eff Yr Blt  : 2016 /

APN : 205-43-047C

11285 E CALLE CATALINA Distance 0.13 Miles

Owner Name : Stark Bryan T

Sale Date : 05/13/2011

Total Value : $624,055

Bed / Bath : / 5

Recording Date : 05/18/2011

Sale Price  : $395,000

Property Tax : $6,912.42

Lot Acres : 4.12

Land Use : Sfr Living Area : 3,725

Stories : 1

Yr Blt / Eff Yr Blt  : 2006 /

APN : 205-43-048E

Customer Name : Kariann Keomaka Customer Company Name : First American Title Insurance Company Prepared On : 06/15/2023 © 2023 CoreLogic. All rights reserved

11345 E CALLE CATALINA Distance 0.13 Miles

Owner Name : Garcia Omar Sale Price  : $102,000

Sale Date : 07/24/2017

Total Value : $97,000

Property Tax : $1,684.61

Lot Acres : 3.73

Land Use : Residential Acreage APN : 205-43-054A

Recording Date  : 07/31/2017

11230 E TWIN HILLS TRL Distance 0.14 Miles

Owner Name : Mazza Joseph N Jr Recording Date : 02/25/2009

Sale Date : 02/22/2009 Sale Price  : $534,900

Total Value : $377,511 Property Tax : $3,788.89

Bed / Bath : / 3

Lot Acres : 3.77

Land Use : Sfr Living Area : 2,848

Stories : 1.5 APN : 205-60-0850

Yr Blt / Eff Yr Blt  : 1976 /

Customer
Customer Company
: First American Title Insurance Company Prepared On : 06/15/2023 © 2023 CoreLogic. All rights reserved
Name : Kariann Keomaka
Name
Census Tract / block: 40.26 / 3     Year: 2020 Household Population Population by Age Count: 5,953 0 - 11 Estimate Current Year: 6,164 12 - 17 Estimate in 5 Years: 7,087 18 - 24 8.7% Growth Last 5 Years: 10.31% 25 - 64 45.79% Growth Last 10 Years: -156.16% 65 - 74 9.89% 75+ Household Size Household Income Current Year: 2,126 0 - $25,000 4.56% Average Current Year: 2.8 $25,000 - $35,000 5.6% Estimate in 5 Years: 1,598 $35,000 - $50,000 6.87% Growth Last 5 Years: -6.82% $50,000 - $75,000 23.89% Growth Last 10 Years: 8.52% $75,000 - $100,000 14.72% Male Population: 55.85% Above $100,000 44.36% Female Population: 44.15% Average Household Income: $88,276 Married People: 63.55% Unmarried People: 36.45% Housing Median Mortgage Payments Home Values Under $300: 4.04% Below $100,000: 2.1% $300 - $799: 28.21% $100,000 - $150,000: 10.48% $800 - $1,999: 49% $150,000 - $200,000: 18.75% Over $2,000: 18.75% $200,000 - $300,000: 33.21% Median Home Value: $242,800 $300,000 - $500,000: 15.48% Unit Occupied Owner: 92.05% Above $500,000: 19.98% Median Mortgage: $1,145
©
rights reserved
Customer Name : Kariann Keomaka Customer Company Name : First American Title Insurance Company Prepared On : 06/15/2023
2023 CoreLogic. All
Rent Payments Year Built Unit Occupied Renter: 7.95% 1999 - 2000 Median Gross Rent: $1,351 1995 - 1998 Less Than $499 0% 1990 - 1994 $500 - $749 11.11% 1980 - 1989 9.87% $750 - $999 0% 1970 - 1979 48.45% $1000 and Over 88.89% 1900 - 1969 2.56% Education Enrollment Public Pre-Primary School: 3.77% Not Enrolled in School: 68.2% Private Pre-Primary School: 0% Not A High School Graduate: 6.09% Public School: 30% Graduate Of High School: 13.38% Private School: 1.8% Attended Some College: 24.69% Public College: 6.71% College Graduate: 32.32% Private College: 0.61% Graduate Degree: 23.52% Workforce Occupation: Manager/Prof: 56.58% Private Worker: 57.77% Technical: Government Worker: 10.99% Sales: 22.47% Self Employed Worker: 3.83% Administrative: Unpaid Family Worker: 4.06% Private House Hold: Farming: 4.63% Service: 9.99% Skilled: Protective Services: Blue-Collar: 10.95% Commute Time Less Than 15 Min: 10.82% 15 min - 28 min: 47.88% 30 min - 57 min: 38.2% Over 60 min: 3.11% Customer Name : Kariann Keomaka Customer Company Name : First American Title Insurance Company Prepared On : 06/15/2023 © 2023 CoreLogic. All rights reserved

Customer Name : Kariann Keomaka

Customer Company Name : First American Title Insurance Company

Prepared On : 06/15/2023

© 2023 CoreLogic. All rights reserved

Customer Name : Kariann Keomaka

Customer Company Name : First American Title Insurance Company

Prepared On : 06/15/2023

© 2023 CoreLogic. All rights reserved

Customer Name : Kariann Keomaka

Customer Company Name : First American Title Insurance Company

Prepared On : 06/15/2023

© 2023 CoreLogic. All rights reserved

PIMA COUNTY

School District Information

This map is provided for general location only. Please contact school districts for actual street boundaries

05249570321 TUCSON INT'L AIRPORT Air Force WSilverbellRd SSantaRitaRd N M t L emmon Hwy ESascoRd NF38 W Avra Valley Rd E Grand Va ey Dr NAguirre R d N L u c k e R d N W e n t z R d N Wa terman Mounta i n R d N Anway Rd W El Tiro Rd N Trico Rd W Tucker Rd W Rudas l Rd W Manvi e Rd SSanJoaquinRd WBopp Rd W Snyder H l Rd S M a r s e a r R d W Park Rd W Hermans Rd W Hermans Rd W Guy St W Bush Rd S G a v e y R d N C a e R i n c o n a d o S W m o R d S Shaw Rd S Sierrita Mountain Rd S K o b R d W TwinButtes Rd W Mcgee Ranch Rd S E s t a n c a D r EDesertDove E Hemlock Dr N Bea r C a n y o n R d W E Camino Del Cerro E Fairmount St S Swan Rd NFrontageRd W Emigh Rd W Fort Lowe Rd N P u m p S t a t ion dR E Nona Rd Ch efButteRd Lo al Ave N Trico Rd S Cattle Tank Rd Evalyn Rd SOwlHead R a n c h Rd GasLineRd S P ec a n R d N T r c o R d W Bayard Rd S S a n d a r o R d W i l l owSpri n gsRd N Dove Mountain Blvd SHelvetiaRd WAnamax Mine Rd W G a c i a R a n hc R d Road424 WRagged Top Rd W Ruby Star Dr WBritten RanchRd W Pima Mine Rd S Mcgee Ranch R d E Edw n Rd SGuildRd 8 0 NKINNEYRD S PICACHO HWY E BAUMGARTNER RD N S A N D A R I O R D N ANWAY RD W VALENCIA RD W MOORE RD W INA RD N 1 S T A V E E SUNRISE DR E SNYDER RD NSILVERBELLRD N S O L D I E R T R L E RIVER RD E PRINCE RD E SPEEDWAY BLVD S FREEMAN RD E 22ND ST E 22ND ST W IRVINGTON RD S N O G A L E S H W Y W VALENCIA RD SMISSIONRD W SPEEDWAY BLVD S O L D S P A N I S H T RL W NARANJA DR W TWIN PEAKS RD W PICTURE ROCKS RD W MANVILLE RD SKINNEYRD W MILE WIDE RD E SAHUARITA RD N TRICO RD S S A N D A R O R D PARK LINK DR S OLD N O G ALES HW Y S H O U G H T O N R D S L A C A N A D A DR W HELMET PEAK RD WAJOHWY N S W A N R D S KOLB RD S HOUGHTON RD W TANGERINE RD E GRANT RD S H O U G H T O N R D 9 5 WAJOHWY E VALENCIA RD NORACLE R D I10 I-19 77 77 77 86 86 286 10 19 10 10 Corona de Tucson Casas Adobes Catalina Green Valley Oracle Picture Rocks Three Points Vail Summit Tanque Verde Tucson Sahuarita Red Rock Saddlebrooke Marana Oro Valley Rillito Summerhaven Willow Canyon Oracle Junction Cortaro Continental Littletown 20 30 13 15 51 39 12 01 01 08 10 16 11 06
SCHOOL DISTRICTS 15 AJO UNIFIED 111 N. Well Road, Ajo, AZ 85321 520.387.5618 51 ALTAR VALLEY ELEMENTARY 10105 S. Sasabe Road, Tucson, AZ 85736 520.822.1484 10 AMPHITHEATER UNIFIED 701 W. Wetmore, Tucson, AZ 85705 520.696.5000 16 CATALINA FOOTHILS UNIFIED 2101 E. River Road, Tucson, AZ 85718 520.209.7500 39 CONTINENTAL ELEMENTARY 1991 E. Whitehouse Canyon, Green Valley, AZ 85614 520.625.4581 08 FLOWING WELLS UNIFIED 1556 W. Prince Road, Tucson, AZ 85705 520.696.8800 06 MARANA UNIFIED 11279 W. Grier Road, Marana, AZ 85653 520.682.3243 11 PIMA COUNTY JTED 2855 W. Master Pieces Dr, Tucson, AZ 85741 520.352.5833 30 SAHUARITA UNIFIED 350 W. Sahuarita Road, Sahuarita, AZ 85629 520.625.3502 12 SUNNYSIDE UNIFIED 2238 E. Ginter Road, Tucson, AZ 85706 520.545.2000 13 TANQUE VERDE UNIFIED 2300 N. Tanque Verde Loop, Tucson, AZ 85749 520.749.5751 01 TUCSON UNIFIED 1010 E. 10th Street, Tucson, AZ 85717 520.225.6000 20 VAIL UNIFIED 10701 E. Mary Ann Cleveland Way, Tucson, AZ 85747 520.879.2000 First American Title Insurance Company, and the operating divisions thereof, make no express or implied warranty respecting the information presented and assume no responsibility for errors or omissions. First American, the eagle logo, First American Title, and firstam.com are registered trademarks or trademarks of First American Financial Corporation and/or its affiliates. ©2021 First American Financial Corporation and/or its affiliates. All rights reserved. NYSE: FAF
Arizona Schools For detailed information and statistics on Arizona schools please go to https://azreportcards.azed.gov/ First American Title Insurance Company, and the operating divisions thereof, make no express or implied warranty respecting the information presented and assume no responsibility for errors or omissions. First American, the eagle logo, First American Title, and firstam.com are registered trademarks or trademarks of First American Financial Corporation and/or its affiliates. ©2021 First American Financial Corporation and/or its affiliates. All rights reserved. NYSE: FAF 05117910421

SEARCH PARAMETERS

PARCEL:  205-43-047E

PARCEL: 205-43-047E

OWNER: BURNS ROBERT L & LISA L CP/RS

SITUS: 11319 E CALLE CATALINA PC

MAIL: 8191 E SABINO DR

TUCSON AZ 85750-9630

LEGAL: N659.81' W495.33' E1380' NW4 7.50 AC SEC 19-14-16

NO SALES

ADDITIONAL PROPERTY INFORMATION

STANDARD LAND USE: RESIDENTIAL LOT

END SEARCH

+ FIRST AMERICAN TITLE, FC0, KWAL PIMA, AZ 06/15/2023  09:52AM  TCI1  INVESTIGATIVE SEARCH RESULTS PAGE 1 OF 1
INSTRUMENT REC DATE
12621 2322 08/22/2005
CURRENT TAXES INFORMATION THROUGH 05/28/2023 LAND IMPR EXEMPT RATE AREA SPECIAL DISTRICTS PRIMARY  13,703  0  0  8.5908  1300 SECONDARY  13,800  0  0  3.0351  2022 TOTAL TAX BILLED 1,593.06 2022  TAX AMT TAX DUE INTEREST DATE PAID TOTAL DUE FIRST HALF  796.53  0.00  0.00  10/26/2022  0.00  SECOND HALF  796.53  0.00  0.00  04/13/2023  0.00  TOTAL CURRENT TAXES DUE 06/23 0.00 07/23 0.00 IMPROVEMENTS BLDG SQFT  0 FULL CASH VALUE  92,000 YEAR BUILT  0 LAND USE  00 12 NUMBER OF STORIES LOT SIZE  3.350 ACRES STORIES HEIGHT  0 SCHOOL DISTRICT  1300 EXTERIOR WALLS LAND FULL CASH VALUE  92,000 GRADE MATERIALS IMPR FULL CASH VALUE  0 SALES
Page 1 of 4 06/15/2023 10:03 AM
Page 2 of 4 06/15/2023 10:03 AM
Page 3 of 4 06/15/2023 10:03 AM
Page 4 of 4 06/15/2023 10:03 AM
Page 1 of 10 06/15/2023 10:03 AM
Page 2 of 10 06/15/2023 10:03 AM
Page 3 of 10 06/15/2023 10:03 AM
Page 4 of 10 06/15/2023 10:03 AM
Page 5 of 10 06/15/2023 10:03 AM
Page 6 of 10 06/15/2023 10:03 AM
Page 7 of 10 06/15/2023 10:03 AM
Page 8 of 10 06/15/2023 10:03 AM
Page 9 of 10 06/15/2023 10:03 AM
Page 10 of 10 06/15/2023 10:03 AM
Page 1 of 2 06/15/2023 10:03 AM
Page 2 of 2 06/15/2023 10:03 AM
Page 1 of 4 06/15/2023 10:03 AM
Page 2 of 4 06/15/2023 10:03 AM
Page 3 of 4 06/15/2023 10:03 AM
Page 4 of 4 06/15/2023 10:03 AM
Page 1 of 4 06/15/2023 10:03 AM
Page 2 of 4 06/15/2023 10:03 AM
Page 3 of 4 06/15/2023 10:03 AM
Page 4 of 4 06/15/2023 10:03 AM
Page 1 of 7 06/15/2023 10:03 AM
Page 2 of 7 06/15/2023 10:03 AM
Page 3 of 7 06/15/2023 10:03 AM
Page 4 of 7 06/15/2023 10:03 AM
Page 5 of 7 06/15/2023 10:03 AM
Page 6 of 7 06/15/2023 10:03 AM
Page 7 of 7 06/15/2023 10:03 AM
Page 1 of 2 06/15/2023 10:03 AM
Page 2 of 2 06/15/2023 10:03 AM
Page 1 of 5 06/15/2023 10:03 AM
Page 2 of 5 06/15/2023 10:03 AM
Page 3 of 5 06/15/2023 10:03 AM
Page 4 of 5 06/15/2023 10:03 AM
Page 5 of 5 06/15/2023 10:03 AM

Turn static files into dynamic content formats.

Create a flipbook
Issuu converts static files into: digital portfolios, online yearbooks, online catalogs, digital photo albums and more. Sign up and create your flipbook.
11319 E. Calle Catalina by FirstAmAZ - Issuu