Digital CCRS 10955 N Broadstone Dr

Page 1

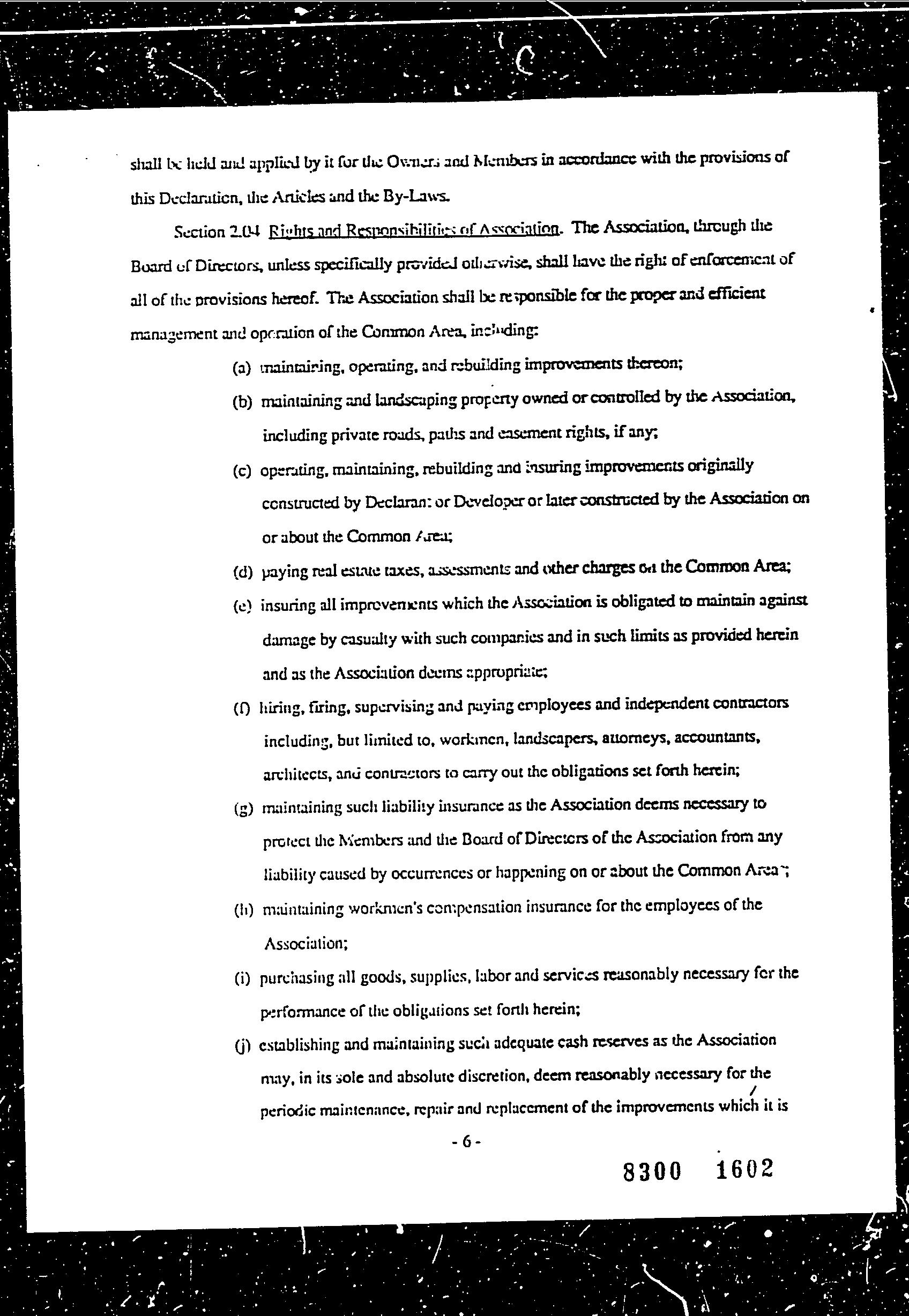
©2021 First American Financial Corporation and/or its affiliates. All rights reserved. | NYSE: FAF 05252610821 COVENANTS, CONDITIONS & RESTRICTIONS prepared for : First American Title Insurance Company, and the operating divisions thereof, make no express or implied warranty respecting the information presented and assume no responsibility for errors or omissions. First American, the eagle logo, First American Title, and firstam.com are registered trademarks or trademarks of First American Financial Corporation and/or its affiliates.

WIRE FRAUD ALERT THINK DIFFERENTLY

Email-based, real estate fraud schemes are on the rise. One common scenario is altering wiring instructions with the intention of rerouting funds.

Keeping this in mind, First American Title is changing the way we receive payment information. It is imperative that we are familiar with the people in our transactions.

RELYING ON EMAIL ALONE IS NO LONGER AN OPTION.

Fraudsters often use email to send falsified wire instructions to unsuspecting victims. Please warn your buyers and sellers to only follow wire instructions they receive personally from First American Title.

Additionally, we will not accept disbursement instructions for seller or buyer funds via email OR from any third party (attorney, real estate agent, etc).

ALTERNATIVE INSTRUCTIONS?

If your buyer or seller receives alternative wiring instructions that appear to be from First American Title, make sure they contact their escrow officer at a trusted phone number for confirmation.

Know that our wiring instructions do not change so any communication is suspect. Our banking institution is First American Trust.

IN SHORT – wire instructions will not be accepted by email. New wire instructions must be hand-carried or uploaded to the First American Secure Portal.

Thank you for joining First American Title in fostering a secure real estate transaction process. Have questions or concerns? Please contact our office or your escrow officer.

01100180621
IN THE REAL ESTATE CLOSING PROCESS For more information please contact your First American representative. www.firstam.com First American Title Insurance Company, and the operating divisions thereof, make no express or implied warranty respecting the information presented and assume no responsibility for errors or omissions. First American, the eagle logo, First American Title, and firstam.com are registered trademarks or trademarks of First American Financial Corporation and/or its affiliates. ©2023 First American Financial Corporation and/or its affiliates. All rights reserved. NYSE: FAF
DO NOT TRUST EMAILED INSTRUCTIONS YOU SHOULD BE AWARE OF PRECAUTIONS

LIMITATION OF LIABILITY FOR INFORMATIONAL REPORTS

IMPORTANT -- PLEASE READ CAREFULLY:

This report is not an insured product or service or a representation of the condition of title to real property. It is not an abstract, legal opinion, opinion of title, title insurance commitment or preliminary report, or any form of Title Insurance or Guaranty. This report is issued exclusively for the benefit of the Applicant therefor and may not be used or relied upon by any other person. This report may not be reproduced in any manner without First Americans prior written consent. First American does not represent or warrant that the information herein is complete or free from error, and the information herein is provided without any warranties of any kind, as-is, and with all faults. As a material part of the consideration given in exchange for the issuance of this report, recipient agrees that First Americans sole liability for any loss or damage caused by an error or omission due to inaccurate information or negligence in preparing this report shall be limited to the fee charged for the report. Recipient accepts this report with this limitation and agrees that First American would not have issued this report but for the limitation of liability described above. First American makes no representation or warranty as to the legality or propriety of recipient's use of the information herein.

PIMA, AZ Document:SUBDIVISION_MAP 42.22 Page:1 of 4 Printed on:6/21/2024
Branch :FC0 User :JSTI
3:24 PM
PIMA, AZ Document:SUBDIVISION_MAP 42.22 Page:2 of 4 Printed on:6/21/2024
Branch :FC0 User :JSTI
3:24 PM
PIMA, AZ Document:SUBDIVISION_MAP 42.22 Page:3 of 4 Printed on:6/21/2024
PM Branch :FC0 User :JSTI
3:24
PIMA, AZ Document:SUBDIVISION_MAP 42.22 Page:4 of 4 Printed on:6/21/2024
PM Branch :FC0 User :JSTI
3:24
Page 1 of 49 08/23/2011 10:52 AM
Page 2 of 49 08/23/2011 10:52 AM
Page 3 of 49 08/23/2011 10:52 AM
Page 4 of 49 08/23/2011 10:52 AM
Page 5 of 49 08/23/2011 10:52 AM
Page 6 of 49 08/23/2011 10:52 AM
Page 7 of 49 08/23/2011 10:52 AM
Page 8 of 49 08/23/2011 10:52 AM
Page 9 of 49 08/23/2011 10:52 AM
Page 10 of 49 08/23/2011 10:52 AM
Page 11 of 49 08/23/2011 10:52 AM
Page 12 of 49 08/23/2011 10:52 AM
Page 13 of 49 08/23/2011 10:52 AM
Page 14 of 49 08/23/2011 10:52 AM
Page 15 of 49 08/23/2011 10:52 AM
Page 16 of 49 08/23/2011 10:52 AM
Page 17 of 49 08/23/2011 10:52 AM
Page 18 of 49 08/23/2011 10:52 AM
Page 19 of 49 08/23/2011 10:52 AM
Page 20 of 49 08/23/2011 10:52 AM
Page 21 of 49 08/23/2011 10:52 AM
Page 22 of 49 08/23/2011 10:52 AM
Page 23 of 49 08/23/2011 10:52 AM
Page 24 of 49 08/23/2011 10:52 AM
Page 25 of 49 08/23/2011 10:52 AM
Page 26 of 49 08/23/2011 10:52 AM
Page 27 of 49 08/23/2011 10:52 AM
Page 28 of 49 08/23/2011 10:52 AM
Page 29 of 49 08/23/2011 10:52 AM
Page 30 of 49 08/23/2011 10:52 AM
Page 31 of 49 08/23/2011 10:52 AM
Page 32 of 49 08/23/2011 10:52 AM
Page 33 of 49 08/23/2011 10:52 AM
Page 34 of 49 08/23/2011 10:52 AM
Page 35 of 49 08/23/2011 10:52 AM
Page 36 of 49 08/23/2011 10:52 AM
Page 37 of 49 08/23/2011 10:52 AM
Page 38 of 49 08/23/2011 10:52 AM
Page 39 of 49 08/23/2011 10:52 AM
Page 40 of 49 08/23/2011 10:52 AM
Page 41 of 49 08/23/2011 10:52 AM
Page 42 of 49 08/23/2011 10:52 AM
Page 43 of 49 08/23/2011 10:52 AM
Page 44 of 49 08/23/2011 10:52 AM
Page 45 of 49 08/23/2011 10:52 AM
Page 46 of 49 08/23/2011 10:52 AM
Page 47 of 49 08/23/2011 10:52 AM
Page 48 of 49 08/23/2011 10:52 AM
Page 49 of 49 08/23/2011 10:52 AM
Page 1 of 2 08/23/2011 10:52 AM
Page 2 of 2 08/23/2011 10:52 AM
Page 1 of 3 08/23/2011 10:52 AM
Page 2 of 3 08/23/2011 10:52 AM
Page 3 of 3 08/23/2011 10:52 AM
Page 1 of 1 02/05/2013 2:12 PM
Page 1 of 114 02/05/2013 2:12 PM
Page 2 of 114 02/05/2013 2:12 PM
Page 3 of 114 02/05/2013 2:12 PM
Page 4 of 114 02/05/2013 2:12 PM
Page 5 of 114 02/05/2013 2:12 PM
Page 6 of 114 02/05/2013 2:12 PM
Page 7 of 114 02/05/2013 2:12 PM
Page 8 of 114 02/05/2013 2:12 PM
Page 9 of 114 02/05/2013 2:12 PM
Page 10 of 114 02/05/2013 2:12 PM
Page 11 of 114 02/05/2013 2:12 PM
Page 12 of 114 02/05/2013 2:12 PM
Page 13 of 114 02/05/2013 2:12 PM
Page 14 of 114 02/05/2013 2:12 PM
Page 15 of 114 02/05/2013 2:12 PM
Page 16 of 114 02/05/2013 2:12 PM
Page 17 of 114 02/05/2013 2:12 PM
Page 18 of 114 02/05/2013 2:12 PM
Page 19 of 114 02/05/2013 2:12 PM
Page 20 of 114 02/05/2013 2:12 PM
Page 21 of 114 02/05/2013 2:12 PM
Page 22 of 114 02/05/2013 2:12 PM
Page 23 of 114 02/05/2013 2:12 PM
Page 24 of 114 02/05/2013 2:12 PM
Page 25 of 114 02/05/2013 2:12 PM
Page 26 of 114 02/05/2013 2:12 PM
Page 27 of 114 02/05/2013 2:12 PM
Page 28 of 114 02/05/2013 2:12 PM
Page 29 of 114 02/05/2013 2:12 PM
Page 30 of 114 02/05/2013 2:12 PM
Page 31 of 114 02/05/2013 2:12 PM
Page 32 of 114 02/05/2013 2:12 PM
Page 33 of 114 02/05/2013 2:12 PM
Page 34 of 114 02/05/2013 2:12 PM
Page 35 of 114 02/05/2013 2:12 PM
Page 36 of 114 02/05/2013 2:12 PM
Page 37 of 114 02/05/2013 2:12 PM
Page 38 of 114 02/05/2013 2:12 PM
Page 39 of 114 02/05/2013 2:12 PM
Page 40 of 114 02/05/2013 2:12 PM
Page 41 of 114 02/05/2013 2:12 PM
Page 42 of 114 02/05/2013 2:12 PM
Page 43 of 114 02/05/2013 2:12 PM
Page 44 of 114 02/05/2013 2:12 PM
Page 45 of 114 02/05/2013 2:12 PM
Page 46 of 114 02/05/2013 2:12 PM
Page 47 of 114 02/05/2013 2:12 PM
Page 48 of 114 02/05/2013 2:12 PM
Page 49 of 114 02/05/2013 2:12 PM
Page 50 of 114 02/05/2013 2:12 PM
Page 51 of 114 02/05/2013 2:12 PM
Page 52 of 114 02/05/2013 2:12 PM
Page 53 of 114 02/05/2013 2:12 PM
Page 54 of 114 02/05/2013 2:12 PM
Page 55 of 114 02/05/2013 2:12 PM
Page 56 of 114 02/05/2013 2:12 PM
Page 57 of 114 02/05/2013 2:12 PM
Page 58 of 114 02/05/2013 2:12 PM
Page 59 of 114 02/05/2013 2:12 PM
Page 60 of 114 02/05/2013 2:12 PM
Page 61 of 114 02/05/2013 2:12 PM
Page 62 of 114 02/05/2013 2:12 PM
Page 63 of 114 02/05/2013 2:12 PM
Page 64 of 114 02/05/2013 2:12 PM
Page 65 of 114 02/05/2013 2:12 PM
Page 66 of 114 02/05/2013 2:12 PM
Page 67 of 114 02/05/2013 2:12 PM
Page 68 of 114 02/05/2013 2:12 PM
Page 69 of 114 02/05/2013 2:12 PM
Page 70 of 114 02/05/2013 2:12 PM
Page 71 of 114 02/05/2013 2:12 PM
Page 72 of 114 02/05/2013 2:12 PM
Page 73 of 114 02/05/2013 2:12 PM
Page 74 of 114 02/05/2013 2:12 PM
Page 75 of 114 02/05/2013 2:12 PM
Page 76 of 114 02/05/2013 2:12 PM
Page 77 of 114 02/05/2013 2:12 PM
Page 78 of 114 02/05/2013 2:12 PM
Page 79 of 114 02/05/2013 2:12 PM
Page 80 of 114 02/05/2013 2:12 PM
Page 81 of 114 02/05/2013 2:12 PM
Page 82 of 114 02/05/2013 2:12 PM
Page 83 of 114 02/05/2013 2:12 PM
Page 84 of 114 02/05/2013 2:12 PM
Page 85 of 114 02/05/2013 2:12 PM
Page 86 of 114 02/05/2013 2:12 PM
Page 87 of 114 02/05/2013 2:12 PM
Page 88 of 114 02/05/2013 2:12 PM
Page 89 of 114 02/05/2013 2:12 PM
Page 90 of 114 02/05/2013 2:12 PM
Page 91 of 114 02/05/2013 2:12 PM
Page 92 of 114 02/05/2013 2:12 PM
Page 93 of 114 02/05/2013 2:12 PM
Page 94 of 114 02/05/2013 2:12 PM
Page 95 of 114 02/05/2013 2:12 PM
Page 96 of 114 02/05/2013 2:12 PM
Page 97 of 114 02/05/2013 2:12 PM
Page 98 of 114 02/05/2013 2:12 PM
Page 99 of 114 02/05/2013 2:12 PM
Page 100 of 114 02/05/2013 2:12 PM
Page 101 of 114 02/05/2013 2:12 PM
Page 102 of 114 02/05/2013 2:12 PM
Page 103 of 114 02/05/2013 2:12 PM
Page 104 of 114 02/05/2013 2:12 PM
Page 105 of 114 02/05/2013 2:12 PM
Page 106 of 114 02/05/2013 2:12 PM
Page 107 of 114 02/05/2013 2:12 PM
Page 108 of 114 02/05/2013 2:12 PM
Page 109 of 114 02/05/2013 2:12 PM
Page 110 of 114 02/05/2013 2:12 PM
Page 111 of 114 02/05/2013 2:12 PM
Page 112 of 114 02/05/2013 2:12 PM
Page 113 of 114 02/05/2013 2:12 PM
Page 114 of 114 02/05/2013 2:12 PM

Turn static files into dynamic content formats.

Create a flipbook
Issuu converts static files into: digital portfolios, online yearbooks, online catalogs, digital photo albums and more. Sign up and create your flipbook.
Digital CCRS 10955 N Broadstone Dr by FirstAmAZ - Issuu