10810 S Sierrita Mountain Rd, Tucson, AZ 85736

Page 1

American Title Ins Co © 2023 CoreLogic. All rights reserved
Subject Property 10810 S Sierrita Mountain Rd Tucson AZ 85736 APN: 301-79-001B Data Provided By: First

LIMITATION OF LIABILITY FOR INFORMATIONAL REPORTS

IMPORTANT -- PLEASE READ CAREFULLY:

This report is not an insured product or service or a representation of the condition of title to real property. It is not an abst ract, legal opinion, opinion of title, title insurance commitment or preliminary report, or any form of Title Insurance or Guaranty. This report is issued exclusively for the benefit of the Applicant therefor and may not be used or relied upon by any other person. This report may not be reproduced in any manner without First American or Title Security's prior written consent. First American or Title Security does not represent or warrant that the information herein is complete or free from error, and the information herein is provided without any warranties of any kind, as-is, and with all faults. As a material part of the consideration given in exchange for the issuance of this report, recipient agrees that First American or Title Security's sole liability for any loss or damage caused by an error or omission due to inaccurate information or negligence in preparing this report shall be limited to the fee charged for the report. Recipient accepts this report with this limitation and agrees that First American or Title Security would not have issued this report but for the limitation of liability described above. First American or Title Security makes no representation or warranty as to the legality or propriety of recipient's use of the information herein.

Disclaimer

This REiSource report is provided "as is" without warranty of any kind, either express or implied, including without limitations any warrantees of merchantability or fitness for a particular purpose. There is no representation of warranty that this information is complete or free from error, and the provider does not assume, and expressly disclaims, any liability to any person or entity for loss or damage caused by errors or omissions in this REiSource report without a title insurance policy.

The information contained in the REiSource report is delivered from your Title Company, who reminds you that you have the right as a consumer to compare fees and serviced levels for Title, Escrow, and all other services associated with property ownership, and to select providers accordingly. Your home is the largest investment you will make in your lifetime and you should demand the very best.

Data Provided By: First American Title Ins Co
© 2023 CoreLogic. All rights reserved

Subject Property :   10810 S Sierrita Mountain Rd Tucson AZ 85736

Owner Information Foreclosure Status: REO SALE

Owner Name : Property Line Llc

Mailing Address : 2962 W Touring Pl, Tucson AZ 85746-1093 C008

Vesting Codes : / / Corporation

Owner Occupied Indicator : A

Location Information

Legal Description : N2 Ne4 Lot 12-2 Exc W220.04' & Exc S132' Sierrita Ranch R/s 2/4 Aka N2 N2 Ne4 Se4 Exc W20.04' & Exc S132' & Exc E30' 1.96 Ac Sec 12-16-10

County : Pima, Az

APN : 301-79-001B

Census Tract / Block : 43.13 / 1 Subdivision : Northeast Quarter/pcl 12-2

Township-Range- Sect : 16S-10E-12

Map Reference : 12-16S-10E

School District : Altar Valley Market Area : 310 Munic/Township : Altar Valley

Legal Lot : 12-2

Last Market Sale Information

Recording/Sale Date : 10/26/2022 / 10/07/2022

Deed Type : Warranty Deed

Sale Price : $100,000 1st Mtg Amount/Type : $100,000 / Cnv

Document # : 2990518 1st Mtg Document # : 2990519

Title Company : Stewart Title & Tr/tucson

Seller Name : Northern Mortgage Investor

Prior Sale Information

Prior Rec/Sale Date : 09/21/2006 / 09/12/2006

Prior Sale Price : $60,900

Property Characteristics

Prior Doc Number : 12894-4980

Prior Deed Type : Special Warranty Deed

Year Built / Eff : 1996 / 1996 # of Stories : 1 Construction : Steel/wood

Property Information

Land Use : Mobile Home Zoning : GR-1

County Use : Mh Non Subd Lot-affixed Mf Hm

Lot Acres : 1.96

Lot Size : 85,378

State Use : Mh Non Subd Lot-affixed Mf Hm

Customer Name : Jeremiah Stiffler

Customer Company Name : First American Prepared On : 01/23/2023

© 2023
All rights reserved
CoreLogic.

Tax Information

Total Value : $47,858

Property Tax : $718.86 Current Year Total Value : $4,996

Total Taxable Value : $4,786 Tax Rate Area : 5101

Current Year Improvement Value :

$2,996

Assessed Year : 2022 Market Value : $47,858 Current Year Land Value : $2,000

Tax Year : 2022 Current Assessed Year : 2023

Customer Name : Jeremiah Stiffler

Customer Company Name : First American Prepared On : 01/23/2023

© 2023 CoreLogic. All rights reserved
Sales Analysis Criteria Subject Property Low High Average Sale
Distance
Summary of Comparables # Address Sale Price Total Assessed Value Sale Date Bed Bath Living Area Lot Size Year Built Dist (Miles) Zoning
© 2023
All rights reserved
Price $100,000 $35,000 $235,000 $134,711 Bldg/Living Area 780 780 780 Price Per Square Foot $288 $288 $288.46 Year Built 1996 1982 2007 1992 Lot Size 85,378 43,124 422,532 93,073 Bedrooms Bathrooms Stories 1 1 1 1 Total Assessed Value $47,858 $17,877 $76,535 $40,485
From Subject 0 0.24 0.94 0.69
S 10810 S Sierrita Mountain Rd 100,000 47,858 10/26/2022 85,378 1996 GR-1 1 10950 S Brandywine Ln 205,000 40,439 05/03/2022 85,813 1988 0.24 GR-1 2 10991 S Cherokee Ln 56,262 27,891 08/08/2022 43,560 2003 0.4 GR-1 3 10825 S Cherokee Ln 200,000 34,892 11/10/2022 54,450 1985 0.42 4 10540 S Brandywine Ln # 1 105,000 41,484 10/28/2022 105,851 1992 0.47 GR-1 5 14733 W Guy St 35,000 18,877 02/04/2022 43,560 2007 0.62 GR-1 6 10365 S Brandywine Ln 165,000 28,299 08/24/2022 54,450 1987 0.68 GR-1 7 14339 W Sierrita Vista Dr 220,000 36,784 12/30/2022 44,431 1993 0.73 GR-1 8 10346 S Brandywine Ln 235,000 76,535 02/24/2022 43,560 2003 0.76 GR-1 9 14456 W Tala Way 127,000 44,587 09/23/2022 173,369 1986 0.77 GR-1 10 11410 S Cherokee Ln 169,900 38,738 03/02/2022 49,223 1989 0.81 GR-1 Customer Name : Jeremiah Stiffler Customer Company Name : First American Prepared On : 01/23/2023
CoreLogic.
Sales =
Customer Name : Jeremiah Stiffler Customer Company Name : First American Prepared On
© 2023 CoreLogic. All rights reserved
11 11267 S Annemarie Dr 37,000 17,877 01/12/2023 43,124 2003 0.81 GR-1 12 11408 S Cherokee Ln 75,000 39,592 07/05/2022 45,302 1987 0.86 GR-1 13 11060 S Kettering St 63,500 38,043 02/14/2022 101,495 1982 0.89 GR-1 14 11450 S Cherokee Ln 225,000 73,159 01/13/2023 780 422,532 1985 0.93 GR-1 15 14360 W Raindance Rd 102,000 50,074 08/12/2022 85,378 1988 0.94 GR-1 Distressed
Map
: 01/23/2023

Details of Comparables

Subject Property: 10810 S Sierrita Mountain Rd Tucson Az 85736

Owner Name: Property Line Llc / APN / Alternate APN: 301-79-001B / Deed Type: Warranty Deed

Land Use: Mobile Home Subdivision / Tract: Northeast Quarter/pcl 12-2 / Lot Size: 85,378 Year Built / Eff: 1996 /1996 Rec. Date / Price: 10/26/2022 / $100,000 Living Area: # of units: Document #: 2990518 Bedrooms: Pool: Total Tax Value: $47,858 Bath(F/H): /

#1   10950 S Brandywine Ln Tucson Az 85736

Owner Name: Hanhaz Fads / APN / Alternate APN: 301-79-0140 / Deed Type: Warranty Deed

Land Use: Mobile Home Subdivision / Tract: / Lot Size: 85,813 Year Built / Eff: 1988 /1988 Rec. Date / Price: 05/03/2022 / $205,000 Living Area: # of units: Document #: 1230716 Bedrooms: Pool: Total Tax Value: $40,439 Bath(F/H): /

#2   10991 S Cherokee Ln Tucson Az 85736

Owner Name: Vasquez Juan M /Vasquez Bernice APN / Alternate APN: 301-79-017G / Deed Type: Warranty Deed Land Use: Mobile Home Subdivision / Tract: / Lot Size: 43,560 Year Built / Eff: 2003 /2003 Rec. Date / Price: 08/08/2022 / $56,262 Living Area: # of units: Document #: 2201016 Bedrooms: Pool: Total Tax Value: $27,891 Bath(F/H): /

#3   10825 S Cherokee Ln Tucson Az 85736

Owner Name: Bravo Patricia N / APN / Alternate APN: 301-76-026E / Deed Type: Warranty Deed Land Use: Mobile Home Subdivision / Tract: / Lot Size: 54,450 Year Built / Eff: 1985 /1985 Rec. Date / Price: 11/10/2022 / $200,000 Living Area: # of units: Document #: 3140669 Bedrooms: Pool:

Total Tax Value: $34,892 Bath(F/H): /

#4   10540 S Brandywine Ln # 1 Tucson Az 85736

Owner Name: Pare Letha / APN / Alternate APN: 301-76-020B / Deed Type: Warranty Deed

Land Use: Mobile Home Subdivision / Tract: / Lot Size: 105,851 Year Built / Eff: 1992 /1992 Rec. Date / Price: 10/28/2022 / $105,000 Living Area: # of units: Document #: 3010591 Bedrooms: Pool:

Total Tax Value: $41,484 Bath(F/H): /

Customer Name : Jeremiah Stiffler

Customer Company Name : First American Prepared On : 01/23/2023

©
All rights reserved
2023 CoreLogic.

#5   14733 W Guy St Tucson Az 85736

Owner Name: Duran Julian / APN / Alternate APN: 301-78-002A / Deed Type: Special Warranty Deed Land Use: Mobile Home Subdivision / Tract: / Lot Size: 43,560 Year Built / Eff: 2007 /2007 Rec. Date / Price: 02/04/2022 / $35,000 Living Area: # of units: Document #: 350126 Bedrooms: Pool: Total Tax Value: $18,877 Bath(F/H): /

#6   10365 S Brandywine Ln Tucson Az 85736

Owner Name: Roberts Marcus E / APN / Alternate APN: 301-19-082B / Deed Type: Warranty Deed Land Use: Mobile Home Subdivision / Tract: / Lot Size: 54,450 Year Built / Eff: 1987 /1987 Rec. Date / Price: 08/24/2022 / $165,000 Living Area: # of units: Document #: 2360356 Bedrooms: Pool: Total Tax Value: $28,299 Bath(F/H): /

#7   14339 W Sierrita Vista Dr Tucson Az 85736

Owner Name: Jackson William H / APN / Alternate APN: 301-19-083N / Deed Type: Warranty Deed

Land Use: Mobile Home Subdivision / Tract: / Lot Size: 44,431 Year Built / Eff: 1993 /1993 Rec. Date / Price: 12/30/2022 / $220,000 Living Area: # of units: Document #: 3640353 Bedrooms: Pool: Total Tax Value: $36,784 Bath(F/H): /

#8   10346 S Brandywine Ln Tucson Az 85736

Owner Name: Lupercio Marilyn /Gentil Carlos APN / Alternate APN: 301-19-079C / Deed Type: Warranty Deed Land Use: Mobile Home Subdivision / Tract: / Lot Size: 43,560 Year Built / Eff: 2003 /2003 Rec. Date / Price: 02/24/2022 / $235,000 Living Area: # of units: Document #: 550264 Bedrooms: Pool: Total Tax Value: $76,535 Bath(F/H): /

#9   14456 W Tala Way Tucson Az 85736

Owner Name: Kortea Mary /Kortea Richard APN / Alternate APN: 301-19-0780 / Deed Type: Warranty Deed Land Use: Mobile Home Subdivision / Tract: / Lot Size: 173,369 Year Built / Eff: 1986 /1986 Rec. Date / Price: 09/23/2022 / $127,000 Living Area: # of units: Document #: 2660323 Bedrooms: Pool: Total Tax Value: $44,587 Bath(F/H): /

#10   11410 S Cherokee Ln Tucson Az 85736

Owner Name: Shelton Verna / APN / Alternate APN: 301-74-055A / Deed Type: Warranty Deed

Land Use: Mobile Home Subdivision / Tract: / Lot Size: 49,223 Year Built / Eff: 1989 /1989 Rec. Date / Price: 03/02/2022 / $169,900 Living Area: # of units: Document #: 610573 Bedrooms: Pool: Total Tax Value: $38,738 Bath(F/H): /

Customer Name : Jeremiah Stiffler

Customer Company Name : First American Prepared On : 01/23/2023

© 2023 CoreLogic. All rights reserved

#11   11267

S Annemarie Dr Tucson Az 85736

Owner Name: Espinoza Rosalinda / APN / Alternate APN: 301-78-029G / Deed Type: Warranty Deed Land Use: Mobile Home Subdivision / Tract: / Lot Size: 43,124 Year Built / Eff: 2003 /2003 Rec. Date / Price: 01/12/2023 / $37,000 Living Area: # of units: Document #: 120341 Bedrooms: Pool: Total Tax Value: $17,877 Bath(F/H): /

#12   11408 S Cherokee Ln Tucson Az 85736

Owner Name: Marquez Elizabeth M / APN / Alternate APN: 301-74-055D / Deed Type: Warranty Deed Land Use: Mobile Home Subdivision / Tract: / Lot Size: 45,302 Year Built / Eff: 1987 /1987 Rec. Date / Price: 07/05/2022 / $75,000 Living Area: # of units: Document #: 1860737 Bedrooms: Pool: Total Tax Value: $39,592 Bath(F/H): /

#13   11060 S Kettering St Tucson Az 85736

Owner Name: Ksw Properties Llc / APN / Alternate APN: 301-78-0150 / Deed Type: Warranty Deed

Land Use: Mobile Home Subdivision / Tract: Sierrita Ranch / Lot Size: 101,495 Year Built / Eff: 1982 /1982 Rec. Date / Price: 02/14/2022 / $63,500 Living Area: # of units: Document #: 450692 Bedrooms: Pool: Total Tax Value: $38,043 Bath(F/H): /

#14   11450 S Cherokee Ln Tucson Az 85736

Owner Name: Beutel Richard J & Jul /Richard J Beutel & Julie Trust APN / Alternate APN: 301-74-0620 / Deed Type: Warranty Deed Land Use: Mobile Home Subdivision / Tract: / Lot Size: 422,532 Year Built / Eff: 1985 /1985 Rec. Date / Price: 01/13/2023 / $225,000 Living Area: 780 # of units: Document #: 130497 Bedrooms: Pool: Total Tax Value: $73,159 Bath(F/H): /

#15   14360 W Raindance Rd Tucson Az 85736

Owner Name: Oben Investments Llc / APN / Alternate APN: 301-74-0250 / Deed Type: Warranty Deed

Land Use: Mobile Home Subdivision / Tract: Sierrita Ranch / Lot Size: 85,378 Year Built / Eff: 1988 /1988 Rec. Date / Price: 08/12/2022 / $102,000 Living Area: # of units: Document #: 2240691 Bedrooms: Pool: Total Tax Value: $50,074 Bath(F/H): /

Customer Name : Jeremiah Stiffler

Customer Company Name : First American Prepared On : 01/23/2023

© 2023
All rights reserved
CoreLogic.
Subject Property :   10810 S
Rd Tucson
85736 Customer Name
Customer Company Name
First American Prepared On
01/23/2023 © 2023 CoreLogic. All rights reserved
Sierrita Mountain
AZ
: Jeremiah Stiffler
:
:

Customer Name : Jeremiah Stiffler Customer Company Name : First American Prepared On : 01/23/2023

© 2023 CoreLogic. All rights reserved

Arizona Schools

For detailed information and statistics on Arizona schools please go to https://azreportcards.azed.gov/ First American Title Insurance Company, and the operating divisions thereof, make no express or implied warranty respecting the information presented and assume no responsibility for errors or omissions. First American, the eagle logo, First American Title, and firstam.com are registered trademarks or trademarks of First American Financial Corporation and/or its affiliates. ©2021 First American Financial Corporation and/or its affiliates. All rights reserved. NYSE: FAF 05117910421

85629 520.625.3502

SUNNYSIDE UNIFIED 2238 E. Ginter Road, Tucson, AZ 85706 520.545.2000

TANQUE VERDE UNIFIED 2300 N. Tanque Verde Loop, Tucson, AZ 85749 520.749.5751

TUCSON UNIFIED 1010 E. 10th Street, Tucson, AZ 85717 520.225.6000

VAIL UNIFIED 10701 E. Mary Ann Cleveland Way, Tucson, AZ 85747 520.879.2000

05249570321 TUCSON INT'L AIRPORT Air Force WSilverbellRd SSantaRitaRd N M t L emmon Hwy ESascoRd NF38 W Avra Valley Rd E Grand Va ey Dr NAguirre R d N L u c k e R d N W e n t z R d N Wa terman Mounta i n R d N Anway Rd W El Tiro Rd N Trico Rd W Tucker Rd W Rudas l Rd W Manvi e Rd SSanJoaquinRd WBopp Rd W Snyder H l Rd S M a r s e a r R d W Park Rd W Hermans Rd W Hermans Rd W Guy St W Bush Rd S G a v e y R d N C a e R i n c o n a d o S W m o R d S Shaw Rd S Sierrita Mountain Rd S K o b R d W TwinButtes Rd W Mcgee Ranch Rd S E s t a n c a D r EDesertDove E Hemlock Dr N Bea r C a n y o n R d W E Camino Del Cerro E Fairmount St S Swan Rd NFrontageRd W Emigh Rd W Fort Lowe Rd N P u m p S t a t ion dR E Nona Rd Ch efButteRd Lo al Ave N Trico Rd S Cattle Tank Rd Evalyn Rd SOwlHead R a n c h Rd GasLineRd S P ec a n R d N T r c o R d W Bayard Rd S S a n d a r o R d W i l l owSpri n gsRd N Dove Mountain Blvd SHelvetiaRd WAnamax Mine Rd W G a c i a R a n hc R d Road424 WRagged Top Rd W Ruby Star Dr WBritten RanchRd W Pima Mine Rd S Mcgee Ranch R d E Edw n Rd SGuildRd 8 0 NKINNEYRD S PICACHO HWY E BAUMGARTNER RD N S A N D A R I O R D N ANWAY RD W VALENCIA RD W MOORE RD W INA RD N 1 S T A V E E SUNRISE DR E SNYDER RD NSILVERBELLRD N S O L D I E R T R L E RIVER RD E PRINCE RD E SPEEDWAY BLVD S FREEMAN RD E 22ND ST E 22ND ST W IRVINGTON RD S N O G A L E S H W Y W VALENCIA RD SMISSIONRD W SPEEDWAY BLVD S O L D S P A N I S H T RL W NARANJA DR W TWIN PEAKS RD W PICTURE ROCKS RD W MANVILLE RD SKINNEYRD W MILE WIDE RD E SAHUARITA RD N TRICO RD S S A N D A R O R D PARK LINK DR S OLD N O G ALES HW Y S H O U G H T O N R D S L A C A N A D A DR W HELMET PEAK RD WAJOHWY N S W A N R D S KOLB RD S HOUGHTON RD W TANGERINE RD E GRANT RD S H O U G H T O N R D 9 5 WAJOHWY E VALENCIA RD NORACLE R D I10 I-19 77 77 77 86 86 286 10 19 10 10 Corona de Tucson Casas Adobes Catalina Green Valley Oracle Picture Rocks Three Points Vail Summit Tanque Verde Tucson Sahuarita Red Rock Saddlebrooke Marana Oro Valley Rillito Summerhaven Willow Canyon Oracle Junction Cortaro Continental Littletown 20 30 13 15 51 39 12 01 01 08 10 16 11 06 PIMA COUNTY School District Information This map is provided for general location only. Please contact school districts for actual street boundaries SCHOOL DISTRICTS 15 AJO UNIFIED 111 N. Well Road, Ajo, AZ 85321 520.387.5618 51 ALTAR VALLEY ELEMENTARY 10105 S. Sasabe Road, Tucson, AZ 85736 520.822.1484 10 AMPHITHEATER UNIFIED 701 W. Wetmore, Tucson, AZ 85705 520.696.5000 16 CATALINA FOOTHILS UNIFIED 2101 E. River Road, Tucson, AZ 85718 520.209.7500 39 CONTINENTAL ELEMENTARY 1991 E. Whitehouse Canyon, Green Valley, AZ 85614
08 FLOWING WELLS UNIFIED 1556 W. Prince Road, Tucson, AZ 85705 520.696.8800 06 MARANA UNIFIED 11279 W. Grier Road, Marana, AZ 85653
11 PIMA COUNTY JTED 2855 W. Master Pieces Dr, Tucson, AZ 85741
30 SAHUARITA UNIFIED 350 W. Sahuarita Road,
First American Title Insurance Company, and the operating divisions thereof, make no express or implied warranty respecting the information presented and assume no responsibility for errors or omissions. First American, the eagle logo, First American Title, and firstam.com are registered trademarks or trademarks of First American Financial Corporation and/or its affiliates. ©2021 First American Financial Corporation and/or its affiliates. All rights reserved. NYSE: FAF
520.625.4581
520.682.3243
520.352.5833
Sahuarita, AZ
12
13
01
20

Public Schools : Elementary Schools

Robles Elementary School Distance 3.28 Miles 9875 S Sasabe Rd Tucson AZ 85736

Telephone : (520) 822-9418

School District : Altar Valley Elementary District (4418)

Lowest Grade : Pre-K Highest Grade : 4th Kindergarten : Yes School Enrollment : Enrollment : 311 Total Expenditure/Student : 143

Middle Schools

Altar Valley Middle School Distance 3.34 Miles 16350 W Ajo Hwy Tucson AZ 85735

Telephone : (520) 822-9343

School District : Altar Valley Elementary District (4418)

Lowest Grade : 5th Highest Grade : 8th Kindergarten : No School Enrollment : Enrollment : 299 Total Expenditure/Student : 143

Customer Name : Jeremiah Stiffler Customer Company Name : First American Prepared On : 01/23/2023

© 2023
All rights reserved
CoreLogic.

Local Business

Eating / Drinking

Name Address

Telephone Distance (Miles)

Kestrel Cafe & Market 10390 S Sierrita Mtn Rd Tucson Az (520) 822-1714 0.55

Three Points Restaurant A Corp 9470 S Sasabe Rd Tucson Az (520) 908-0880 3.14

Hoagie Towne Sandwich Shop Llc 8524 S Marstellar Rd Tucson Az (520) 822-5268 3.46

Chinese Box Restaurant L 16045 W Pinacate Ave Tucson Az (520) 235-2974 4.89

Health Care Services

Name Address Telephone Distance (Miles)

Desert Energy Healing 11600 S Brandywine Ln Tucson Az (520) 822-5138 0.9

Lori's Cota Therapy Services Llc 11824 S Brandywine Ln Tucson Az (520) 822-9575 1.14

Pasadera 3 Pointe Site 15390 W Ajo Hwy Tucson Az (520) 628-4000 2.74

United Community Health Centermaria Auxiliadora, Inc. 15921 W Ajo Hwy Tucson Az (520) 407-5700 3.04

Organizations / Associations

Name Address Telephone Distance (Miles)

Serenity Baptist Church Inc 15501 W Ajo Hwy Tucson Az (520) 822-2026 2.78

Beverly Harris 9332 S Vicki Dr Tucson Az (520) 358-8053 2.78

Shopping

Name Address Telephone Distance (Miles)

Three Points General Store 16225 W Ajo Hwy Tucson Az (520) 822-1071 3.17

Bhaji Inc 16225 W Ajo Hwy Tucson Az (520) 822-1071 3.17

Ace Hardware 16237 W Ajo Hwy Tucson Az (520) 822-1353 3.18

Customer Name : Jeremiah Stiffler

Customer Company Name : First American Prepared On : 01/23/2023

© 2023
All rights reserved
CoreLogic.

10850

S SIERRITA MOUNTAIN RD Distance 0.04 Miles

Owner Name : Gutierrez Elizabeth A

Total Value : $20,732

14250

10716

Subdivision : Sierrita Ranch

Recording Date : 12/13/1995

Land Use : Mobile Home Property Tax : $273.61 Stories : 1 Lot Acres : 1.97

Yr Blt / Eff Yr Blt : 1994 / 1994 APN : 301-79-0020

W GUY ST

Owner Name : Cundiff L Jean

Yr Blt / Eff Yr Blt : 1984 /

Distance 0.05 Miles

Total Value : $126,788 Property Tax : $1,353.61

Bed / Bath : / 2 Lot Acres : 0.98

Land Use : Sfr Living Area : 1,924 Stories : 2 APN : 301-76-040N

S SIERRITA MOUNTAIN RD Distance 0.05 Miles

Owner Name : White Rick

Recording Date : 05/01/2019

Sale Date : 04/00/2019 Sale Price  : $81,127

Total Value : $63,196 Property Tax : $841.03

Land Use : Mobile Home Lot Acres : 1.00 Stories : 1 APN : 301-76-040P

Yr Blt / Eff Yr Blt  : 2004 / 2004

14254 W GUY ST

Owner Name : Laytham Valerie L

Sale Date : 09/25/2020

Distance 0.06 Miles

Subdivision : Sierrita Ranch

Recording Date : 10/02/2020

Total Value : $50,544 Sale Price  : $143,000

Land Use : Mobile Home Property Tax : $759.17

Stories : 1 Lot Acres : 1.00

Yr Blt / Eff Yr Blt : 2002 / 2002 APN : 301-76-040Q

Customer Name : Jeremiah Stiffler Customer Company Name : First American Prepared On : 01/23/2023

2023 CoreLogic.

©
rights reserved
All

14275 W GUY ST

Owner Name : White Richard J

Distance 0.06 Miles

Recording Date : 05/31/2018

Sale Date : 05/23/2018 Sale Price  : $109,000

Total Value : $68,530

Property Tax : $1,029.34

Land Use : Mobile Home Lot Acres : 1.00

Stories : 1 APN : 301-79-001A

Yr Blt / Eff Yr Blt  : 1982 / 1982

10870 S SIERRITA MOUNTAIN RD Distance 0.06 Miles

Owner Name : Crawford Emily R

Recording Date : 01/06/2023

Sale Date : 01/00/2023 Sale Price  : $260,000

Total Value : $150,207 Property Tax : $1,574.62

Bed / Bath : / 3 Lot Acres : 2.96

Land Use : Sfr Living Area : 2,127

Stories : 2 APN : 301-79-0030

Yr Blt / Eff Yr Blt  : 1981 /

14268 W GUY ST

Owner Name : Mercuri Francis

10712

Distance 0.08 Miles

Recording Date : 01/12/2001

Sale Date : 01/04/2001 Sale Price  : $43,000

Total Value : $28,138 Property Tax : $374.45

Land Use : Mobile Home Lot Acres : 1.00

Stories : 1 APN : 301-76-040G

Yr Blt / Eff Yr Blt  : 1998 / 1998

S SIERRITA MOUNTAIN RD Distance 0.09 Miles

Owner Name : Healing Desert Llc

Recording Date : 06/06/1994

Sale Date : 06/00/1994 Sale Price  : $30,000

Total Value : $21,732

Property Tax : $308.84

Land Use : Mobile Home Lot Acres : 2.00

Stories : 1 APN : 301-76-040B

Yr Blt / Eff Yr Blt  : 1994 / 1994

Customer Name : Jeremiah Stiffler

Customer Company Name : First American Prepared On : 01/23/2023

© 2023
All rights reserved
CoreLogic.

10900 S SIERRITA MOUNTAIN RD Distance 0.09 Miles

Owner Name : Wait Ardis E

Sale Date : 07/07/2000

Subdivision : Sierrita Ranch

Recording Date : 07/07/2000

Total Value : $23,312 Sale Price  : $69,500

Land Use : Mobile Home Lot Acres : 0.92 Stories : 1 APN : 301-79-004A Yr Blt / Eff Yr Blt  : 1974 / 1974

Customer Name : Jeremiah Stiffler Customer Company Name : First American Prepared On : 01/23/2023

©
All rights reserved
2023 CoreLogic.

Census Tract / block: 43.13 / 1     Year: 2018

Household

Population Population by Age

Count: 4,669 0 - 11

Estimate Current Year: 4,346 12 - 17

Estimate in 5 Years: 3,263 18 - 24 10.19%

Growth Last 5 Years: 3.9% 25 - 64 54.83%

Growth Last 10 Years: -152.7% 65 - 74 16% 75+

Household Size Household Income

Current Year: 1,888 0 - $25,000 31.94%

Average Current Year: 2.47 $25,000 - $35,000 12.82%

Estimate in 5 Years: 2,189 $35,000 - $50,000 12.98%

Growth Last 5 Years: 20.44% $50,000 - $75,000 20.71%

Growth Last 10 Years: -2.18% $75,000 - $100,000 9.27%

Male Population: 51.57% Above $100,000 12.29%

Female Population: 48.43% Average Household Income: $42,791

Married People: 43.45%

Unmarried People: 56.55%

Housing

Median Mortgage Payments Home Values

Under $300: 20.91% Below $100,000: 57.8%

$300 - $799: 36.34% $100,000 - $150,000: 14.25%

$800 - $1,999: 42.13% $150,000 - $200,000: 12.52%

Over $2,000: 0.62% $200,000 - $300,000: 10.12%

Median Home Value: $88,400 $300,000 - $500,000: 4.75%

Unit Occupied Owner: 85.86% Above $500,000: 0.56%

Median Mortgage: $663

Customer Name : Jeremiah Stiffler Customer Company Name : First American Prepared On : 01/23/2023

© 2023 CoreLogic. All rights reserved

Rent Payments Year Built

Unit Occupied Renter: 14.14% 1999 - 2000

Median Gross Rent: $1,004 1995 - 1998

Less Than $499 21.49% 1990 - 1994

$500 - $749 25.44% 1980 - 1989 23.39%

$750 - $999 2.63% 1970 - 1979 22.57%

$1000 and Over 50.44% 1900 - 1969 3.69%

Education

Enrollment

Public Pre-Primary School: 0% Not Enrolled in School: 82.21%

Private Pre-Primary School: 0% Not A High School Graduate: 20.33%

Public School: 14.8% Graduate Of High School: 31.82%

Private School: 3% Attended Some College: 28.43%

Public College: 5.53% College Graduate: 13.75%

Private College: 0.18% Graduate Degree: 5.67%

Workforce

Occupation:

Manager/Prof: 29.66% Private Worker: 65.97% Technical: Government Worker: 15.58%

Sales: 17.91% Self Employed Worker: 3.89%

Administrative: Unpaid Family Worker: 2.7%

Private House Hold: Farming: 17.26%

Service: 18.09% Skilled:

Protective Services: Blue-Collar: 34.33%

Commute Time

Less Than 15 Min: 2.71%

15 min - 28 min: 8.73%

30 min - 57 min: 54.91%

Over 60 min: 33.65%

Customer Name : Jeremiah Stiffler

Customer Company Name : First American Prepared On : 01/23/2023

© 2023 CoreLogic. All rights reserved

Customer Name : Jeremiah Stiffler Customer Company Name : First American Prepared On : 01/23/2023

©
All rights reserved
2023 CoreLogic.

Customer Name : Jeremiah Stiffler Customer Company Name : First American Prepared On : 01/23/2023

©
All rights reserved
2023 CoreLogic.

Customer Name : Jeremiah Stiffler Customer Company Name : First American Prepared On : 01/23/2023

©
rights reserved
2023 CoreLogic. All

SEARCH PARAMETERS

+ FIRST AMERICAN TITLE, FC0, JSTI PIMA, AZ 01/23/2023  02:38PM  R9C8  INVESTIGATIVE SEARCH RESULTS PAGE 1 OF 1
IMPROVEMENTS
BLDG SQFT  0
YEAR BUILT
1.0
STORIES HEIGHT
EXTERIOR WALLS
GRADE MATERIALS
SALES SALE DATE SALE AMOUNT INSTRUMENT TYPE SELLER NAME VALIDITY 10/26/2022 100,000    2022 518 WD NORTHERN MORTGAGE INVESTOR 09/21/2006 60,900    12894 4980 WD GREEN TREE FINANCIAL SERVI ADDITIONAL PROPERTY INFORMATION STANDARD LAND USE: MOBILE HOME LOT END SEARCH
PARCEL:  301-79-001B PARCEL: 301-79-001B INSTRUMENT REC DATE OWNER: PROPERTY LINE LLC  AFFIDAVIT    2022 518 10/26/2022  SITUS: 10810 S SIERRITA MOUNTAIN RD TUCSON  MAIL: 2962 W TOURING PL   LEGAL: N2 NE4 LOT 12-2 EXC W220.04' & EXC S132' SIERRITA RANCH R/S 2/4 AKA N2 N2 NE4 SE4 EXC W20.04' & EXC S132' & EXC E30' 1.96 AC SEC 12-16-10  CURRENT TAXES INFORMATION THROUGH 12/28/2022 LAND IMPR EXEMPT RATE AREA SPECIAL DISTRICTS PRIMARY  4,786  0  0  9.4467  5101 SECONDARY  1,800  2,986  0  5.5736  2022 TOTAL TAX BILLED 718.86 2022  TAX AMT TAX DUE INTEREST DATE PAID TOTAL DUE FIRST HALF  359.43  0.00  0.00  10/27/2022  0.00  SECOND HALF  359.43  359.43  0.00  359.43  TOTAL CURRENT TAXES DUE 01/23 359.43 02/23 359.43 (ESTIMATED)
MOBILE HOME
FULL CASH VALUE  47,858
1996 LAND USE  08 39 NUMBER OF STORIES
LOT SIZE  1.960 ACRES
0 SCHOOL DISTRICT  5101
LAND FULL CASH VALUE  18,000
IMPR FULL CASH VALUE  29,858
Page 1 of 2 01/23/2023 3:43 PM
Page 2 of 2 01/23/2023 3:43 PM
Page 1 of 7 01/23/2023 3:43 PM
Page 2 of 7 01/23/2023 3:43 PM
Page 3 of 7 01/23/2023 3:43 PM
Page 4 of 7 01/23/2023 3:43 PM
Page 5 of 7 01/23/2023 3:43 PM
Page 6 of 7 01/23/2023 3:43 PM
Page 7 of 7 01/23/2023 3:43 PM
Page 1 of 2 01/23/2023 3:49 PM
Page 2 of 2 01/23/2023 3:49 PM

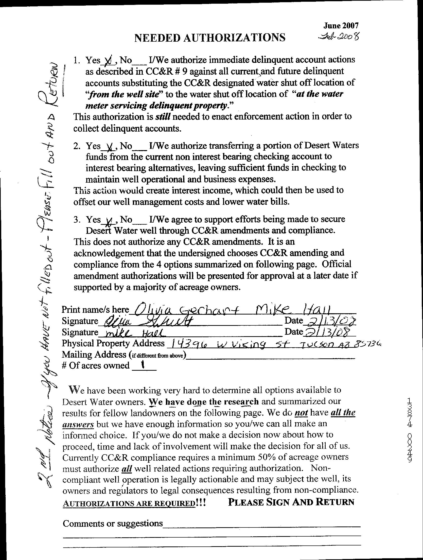
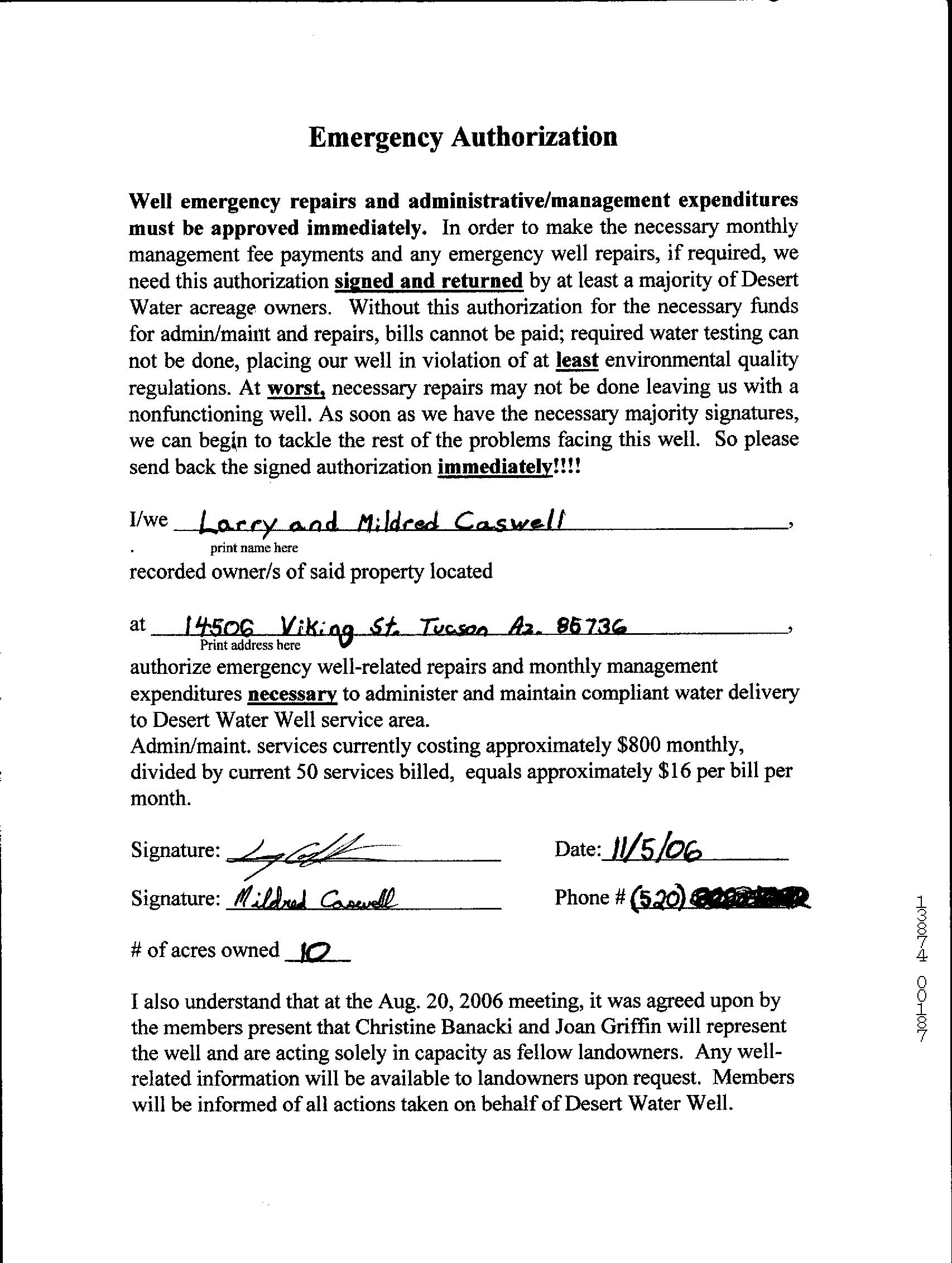
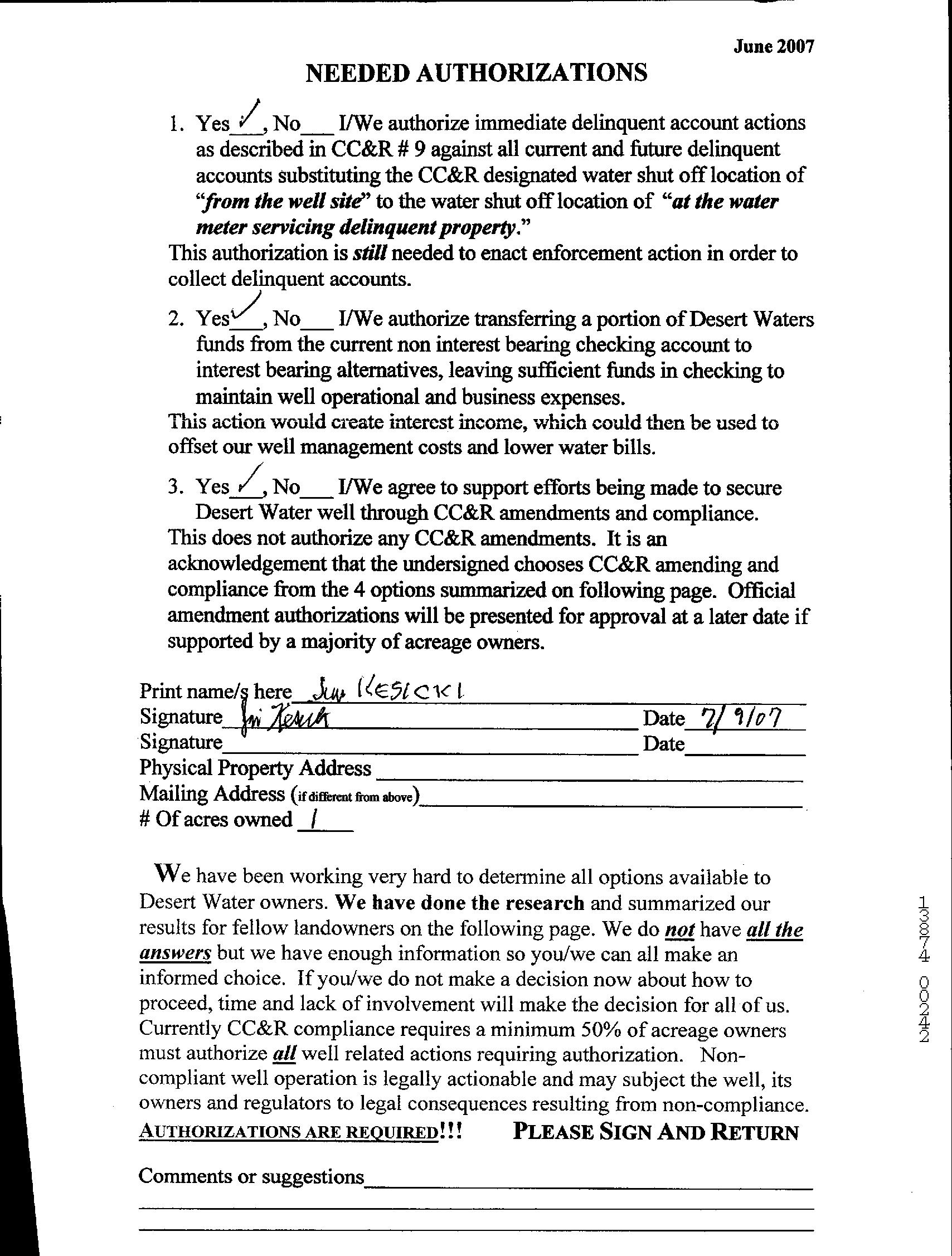
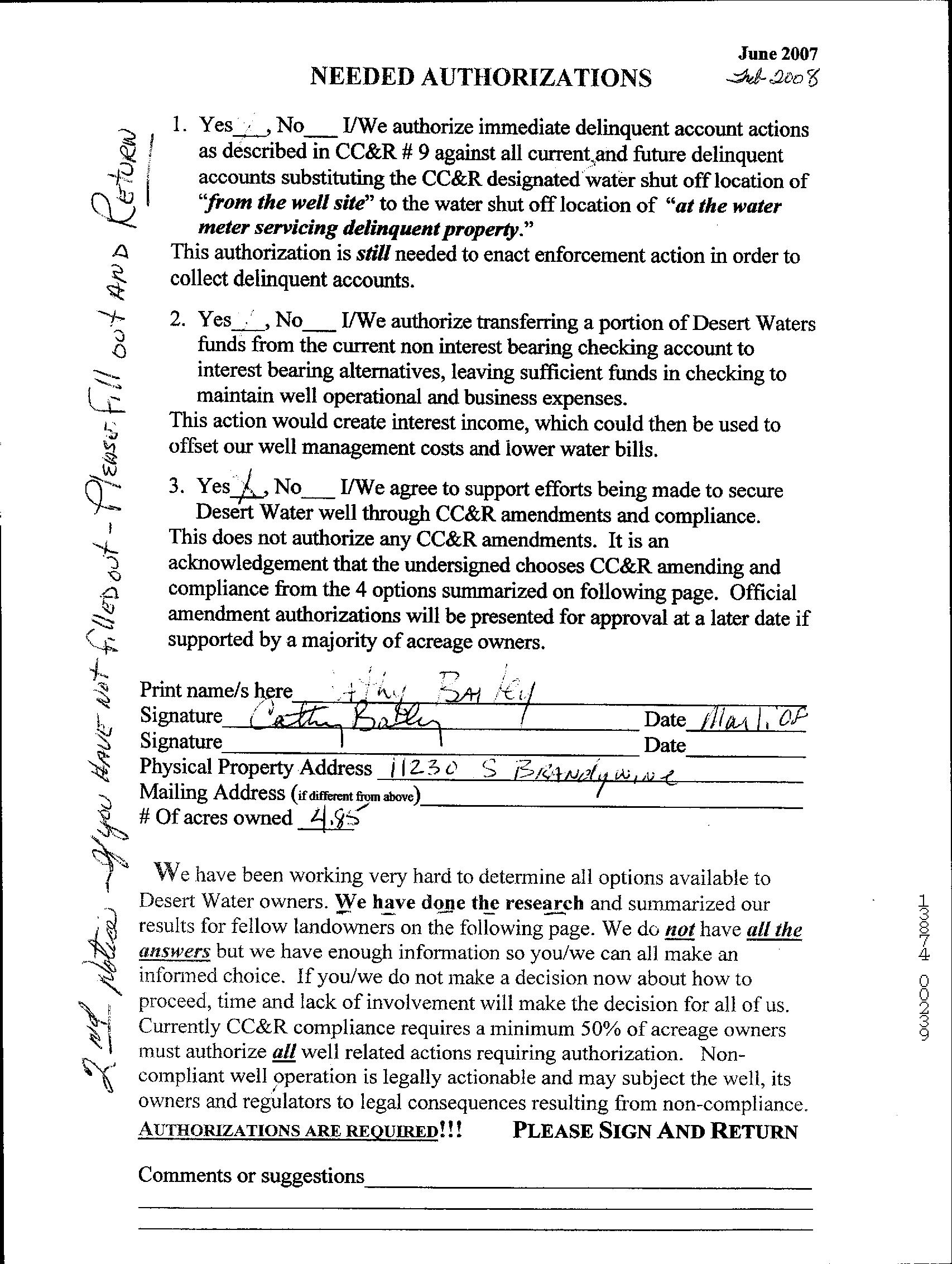
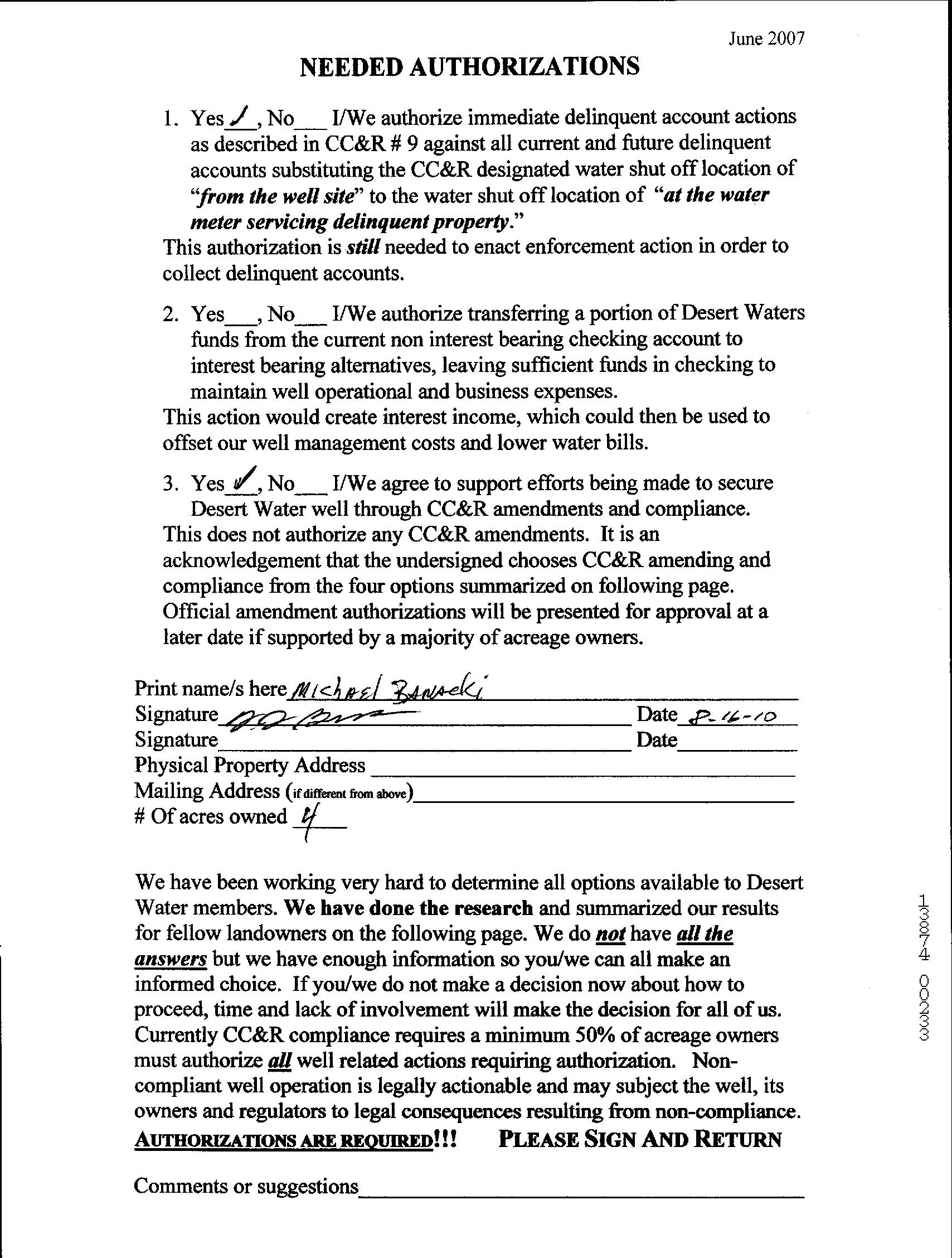
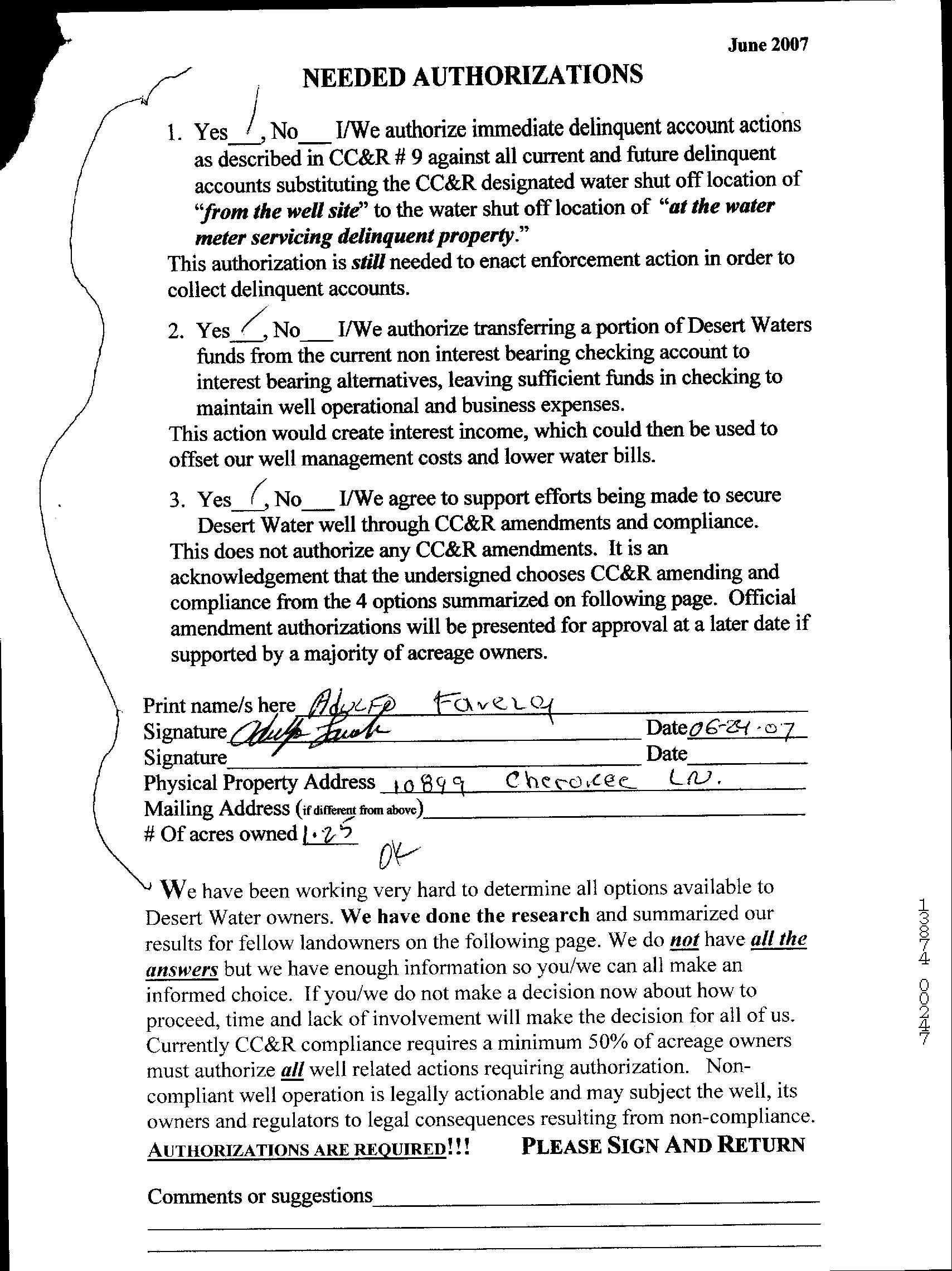
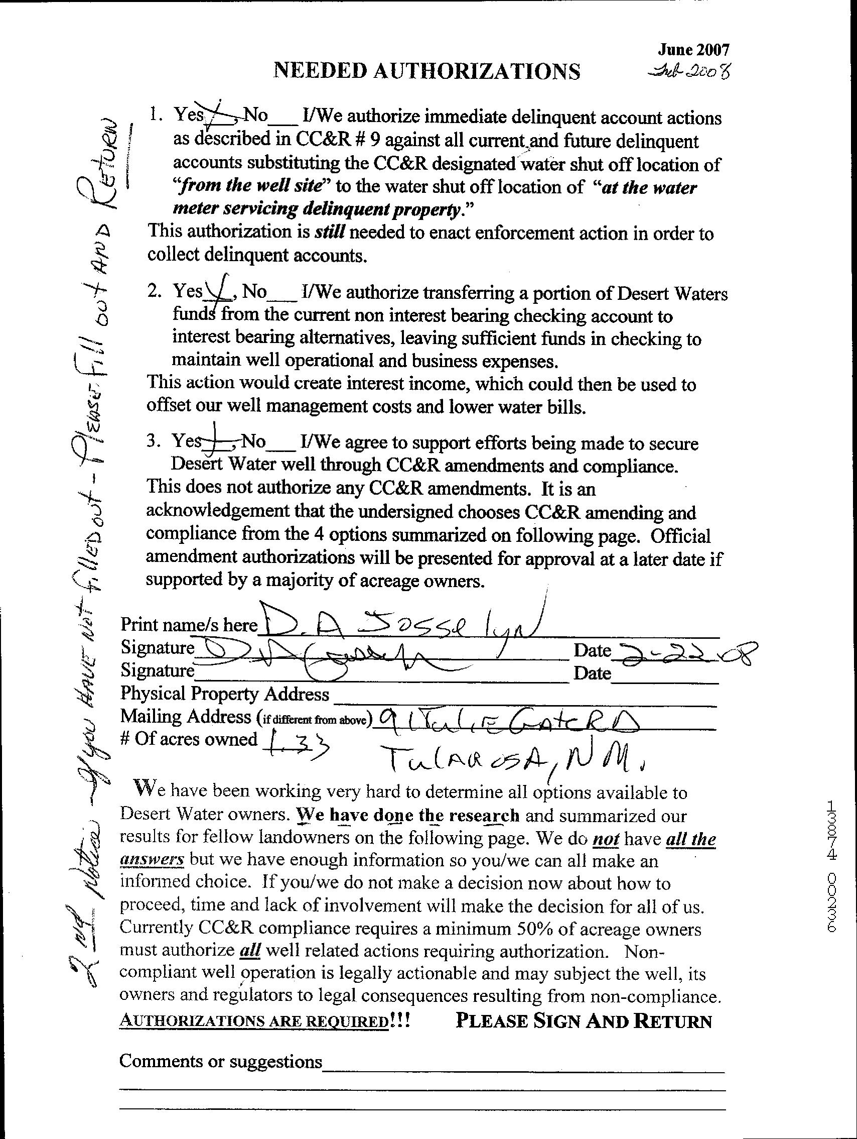
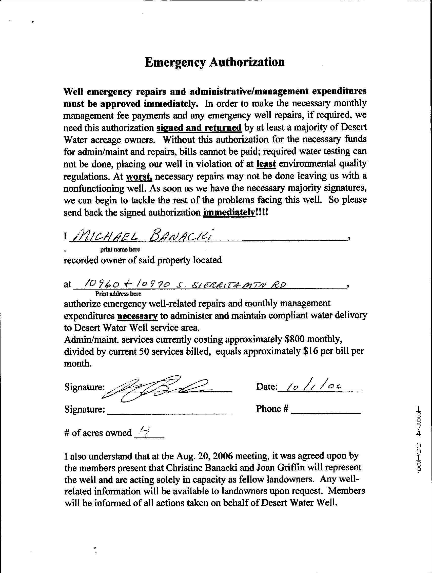
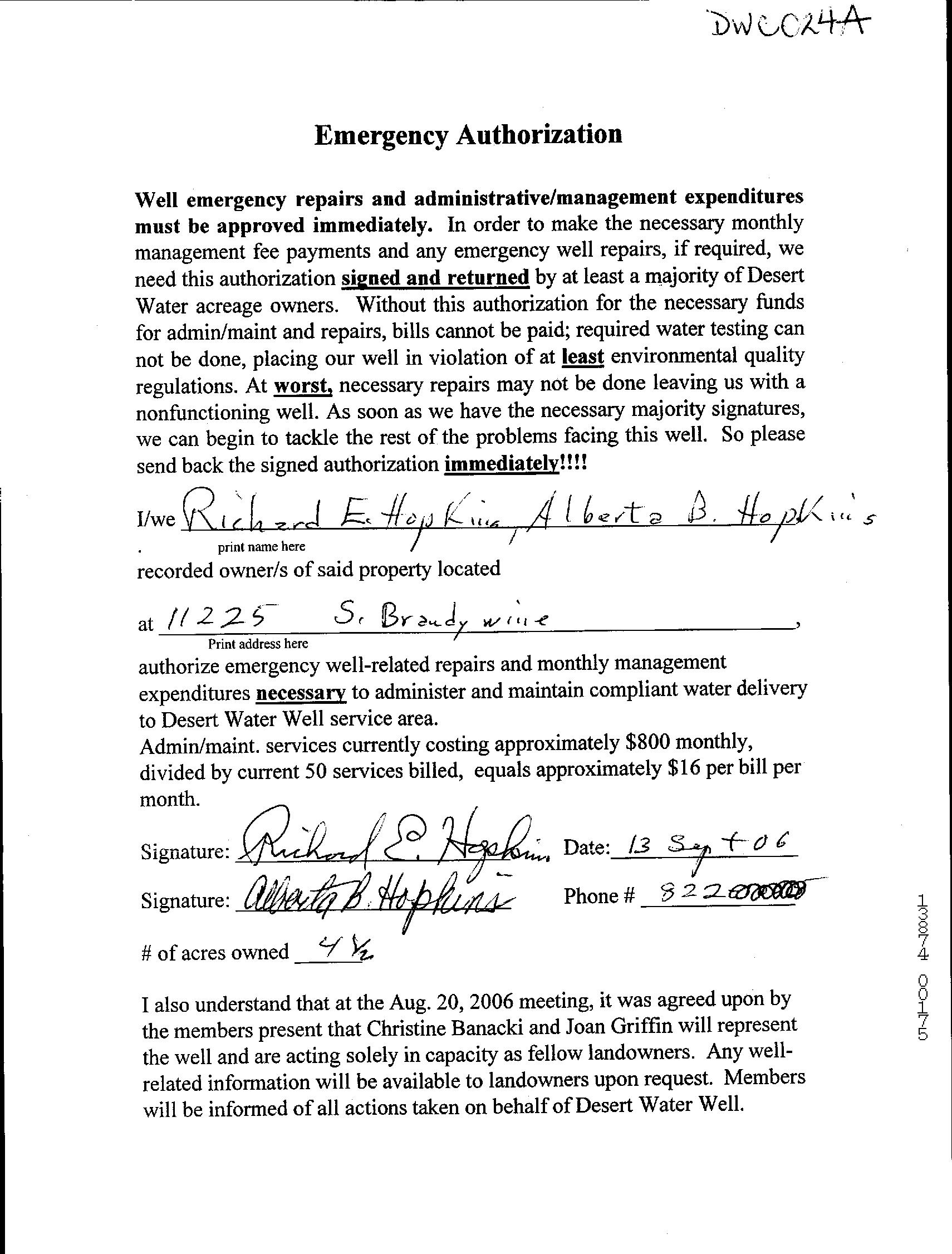
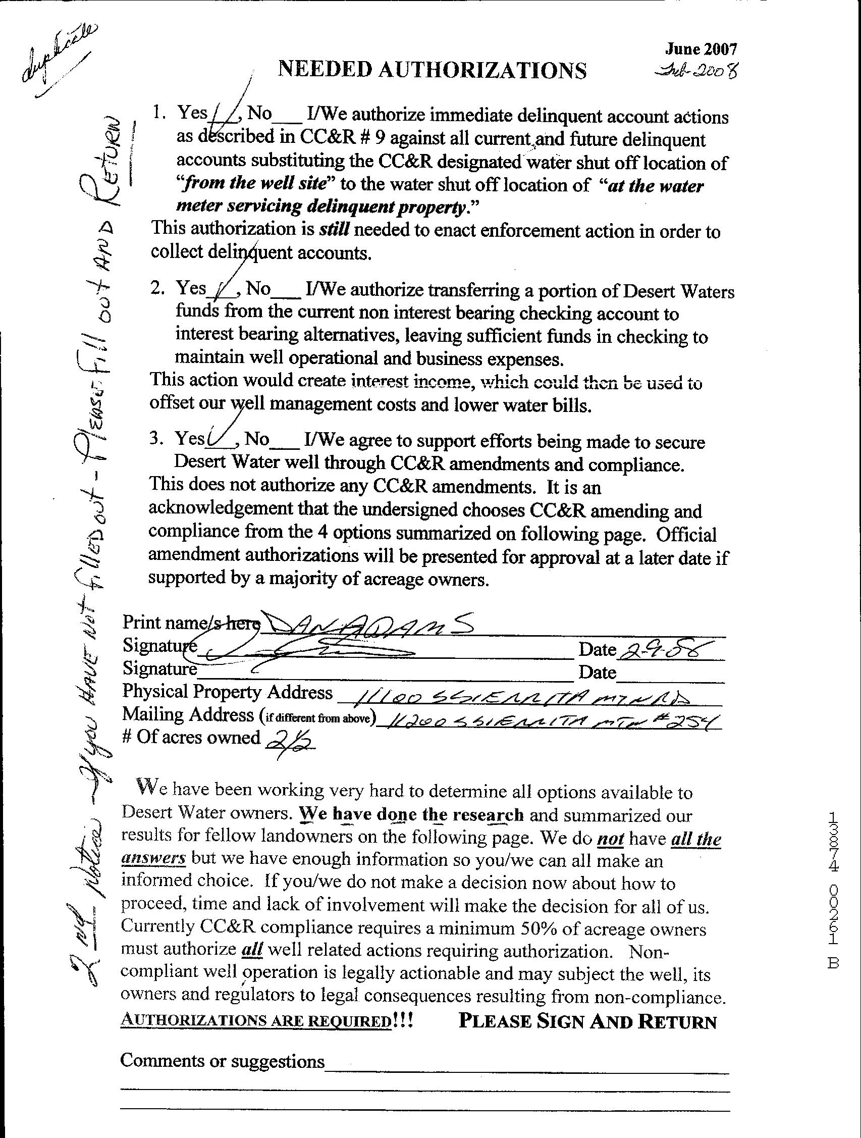
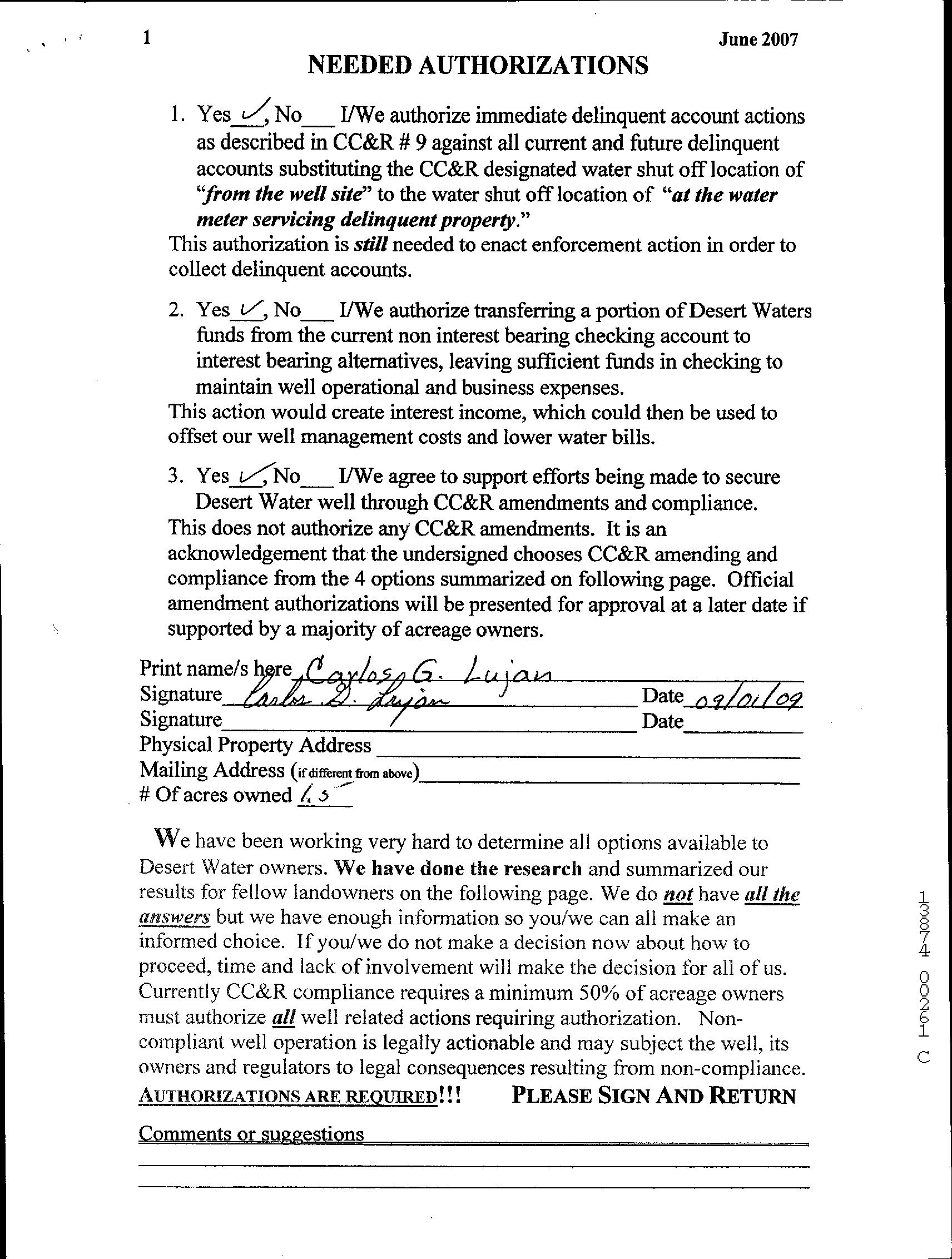
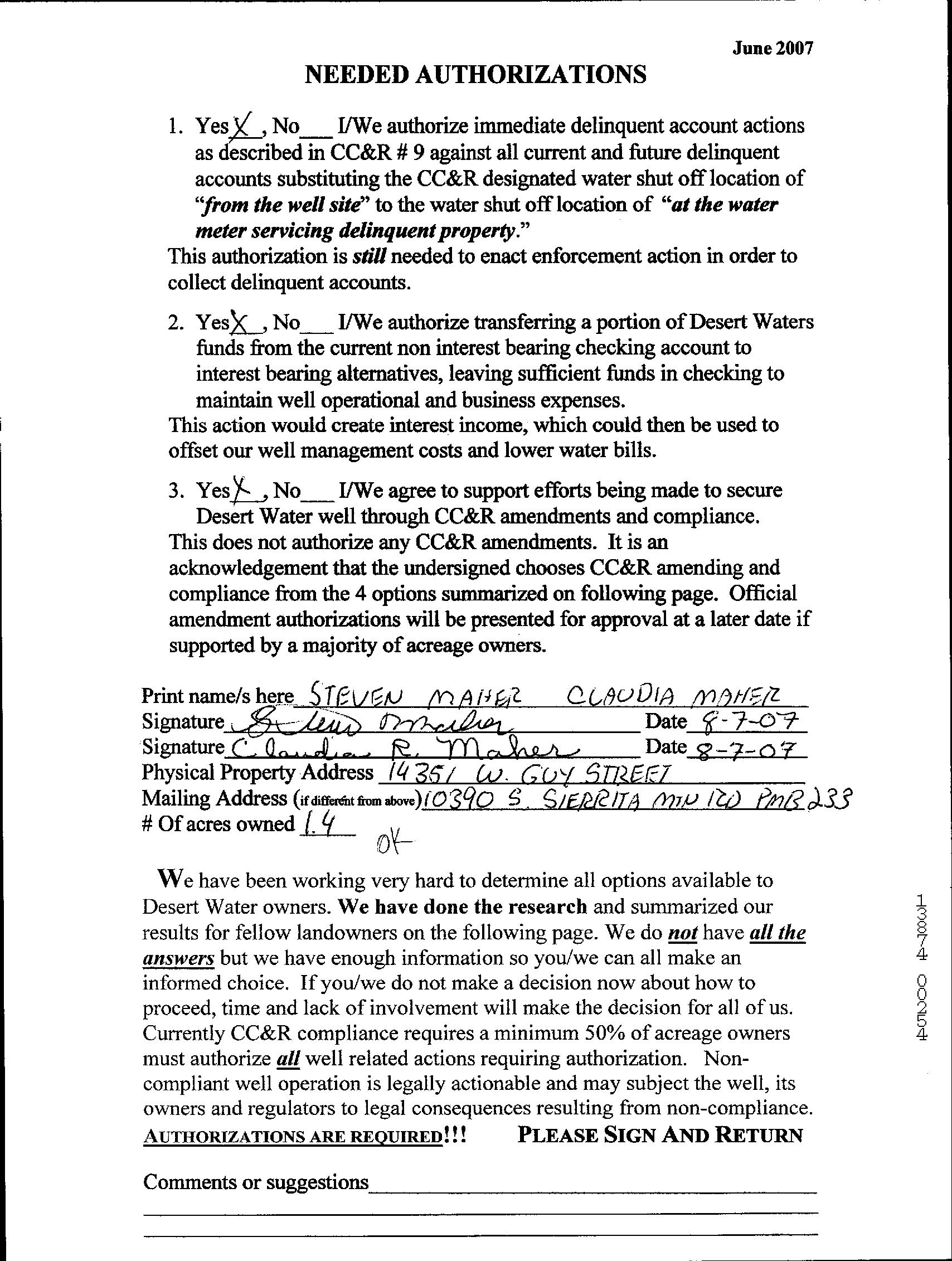
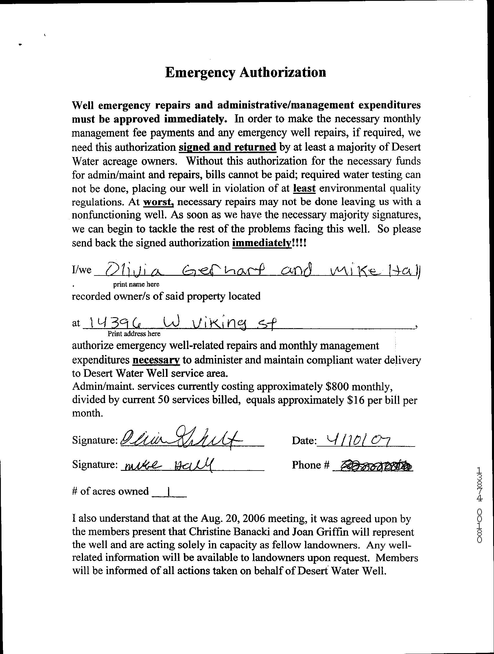
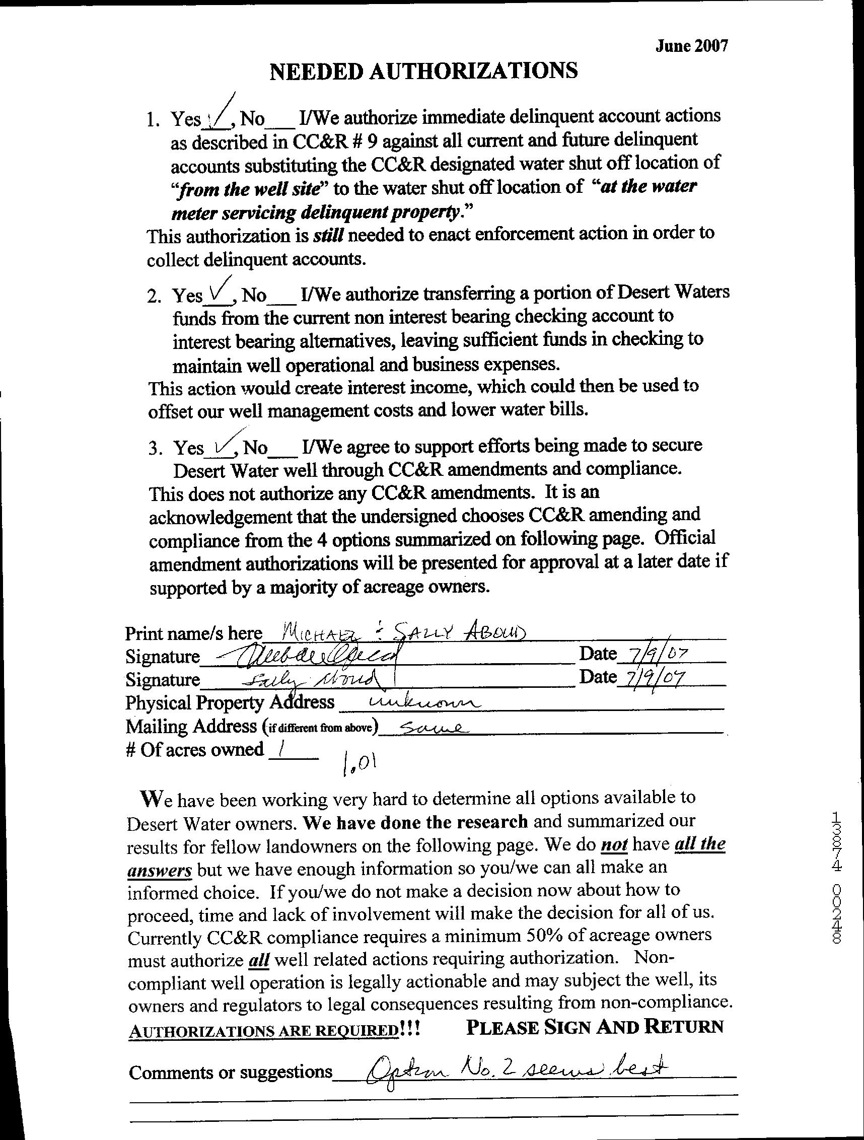
Covenants, Conditions & Restrictions

Thank you for the opportunity to be of service.

Restrictions indicating a preference, limitation or discrimination based on race, color, religion, sex, handicap, familial status, or national origin are hereby deleted to the extent such restrictions violate 42 USC 3604(c).

This information is furnished without fee and without benefit of a complete title search. No liability is assumed by First American Title or Title Security. If it is desired that liability be assumed, you may apply for a policy of title insurance with First American Title Insurance Company.

Page 1 of 101 01/23/2023 3:49 PM
Page 2 of 101 01/23/2023 3:49 PM
Page 3 of 101 01/23/2023 3:49 PM
Page 4 of 101 01/23/2023 3:49 PM
Page 5 of 101 01/23/2023 3:49 PM
Page 6 of 101 01/23/2023 3:49 PM
Page 7 of 101 01/23/2023 3:49 PM
Page 8 of 101 01/23/2023 3:49 PM
Page 9 of 101 01/23/2023 3:49 PM
Page 10 of 101 01/23/2023 3:49 PM
Page 11 of 101 01/23/2023 3:49 PM
Page 12 of 101 01/23/2023 3:49 PM
Page 13 of 101 01/23/2023 3:49 PM
Page 14 of 101 01/23/2023 3:49 PM
Page 15 of 101 01/23/2023 3:49 PM
Page 16 of 101 01/23/2023 3:49 PM
Page 17 of 101 01/23/2023 3:49 PM
Page 18 of 101 01/23/2023 3:49 PM
Page 19 of 101 01/23/2023 3:49 PM
Page 20 of 101 01/23/2023 3:49 PM
Page 21 of 101 01/23/2023 3:49 PM
Page 22 of 101 01/23/2023 3:49 PM
Page 23 of 101 01/23/2023 3:49 PM
Page 24 of 101 01/23/2023 3:49 PM
Page 25 of 101 01/23/2023 3:49 PM
Page 26 of 101 01/23/2023 3:49 PM
Page 27 of 101 01/23/2023 3:49 PM
Page 28 of 101 01/23/2023 3:49 PM
Page 29 of 101 01/23/2023 3:49 PM
Page 30 of 101 01/23/2023 3:49 PM
Page 31 of 101 01/23/2023 3:49 PM
Page 32 of 101 01/23/2023 3:49 PM
Page 33 of 101 01/23/2023 3:49 PM
Page 34 of 101 01/23/2023 3:49 PM
Page 35 of 101 01/23/2023 3:49 PM
Page 36 of 101 01/23/2023 3:49 PM
Page 37 of 101 01/23/2023 3:49 PM
Page 38 of 101 01/23/2023 3:49 PM
Page 39 of 101 01/23/2023 3:49 PM
Page 40 of 101 01/23/2023 3:49 PM
Page 41 of 101 01/23/2023 3:49 PM
Page 42 of 101 01/23/2023 3:49 PM
Page 43 of 101 01/23/2023 3:49 PM
Page 44 of 101 01/23/2023 3:49 PM
Page 45 of 101 01/23/2023 3:49 PM
Page 46 of 101 01/23/2023 3:49 PM
Page 47 of 101 01/23/2023 3:49 PM
Page 48 of 101 01/23/2023 3:49 PM
Page 49 of 101 01/23/2023 3:49 PM
Page 50 of 101 01/23/2023 3:49 PM
Page 51 of 101 01/23/2023 3:49 PM
Page 52 of 101 01/23/2023 3:49 PM
Page 53 of 101 01/23/2023 3:49 PM
Page 54 of 101 01/23/2023 3:49 PM
Page 55 of 101 01/23/2023 3:49 PM
Page 56 of 101 01/23/2023 3:49 PM
Page 57 of 101 01/23/2023 3:49 PM
Page 58 of 101 01/23/2023 3:49 PM
Page 59 of 101 01/23/2023 3:49 PM
Page 60 of 101 01/23/2023 3:49 PM
Page 61 of 101 01/23/2023 3:49 PM
Page 62 of 101 01/23/2023 3:49 PM
Page 63 of 101 01/23/2023 3:49 PM
Page 64 of 101 01/23/2023 3:49 PM
Page 65 of 101 01/23/2023 3:49 PM
Page 66 of 101 01/23/2023 3:49 PM
Page 67 of 101 01/23/2023 3:49 PM
Page 68 of 101 01/23/2023 3:49 PM
Page 69 of 101 01/23/2023 3:49 PM
Page 70 of 101 01/23/2023 3:49 PM
Page 71 of 101 01/23/2023 3:49 PM
Page 72 of 101 01/23/2023 3:49 PM
Page 73 of 101 01/23/2023 3:49 PM
Page 74 of 101 01/23/2023 3:49 PM
Page 75 of 101 01/23/2023 3:49 PM
Page 76 of 101 01/23/2023 3:49 PM
Page 77 of 101 01/23/2023 3:49 PM
Page 78 of 101 01/23/2023 3:49 PM
Page 79 of 101 01/23/2023 3:49 PM
Page 80 of 101 01/23/2023 3:49 PM
Page 81 of 101 01/23/2023 3:49 PM
Page 82 of 101 01/23/2023 3:49 PM
Page 83 of 101 01/23/2023 3:49 PM
Page 84 of 101 01/23/2023 3:49 PM
Page 85 of 101 01/23/2023 3:49 PM
Page 86 of 101 01/23/2023 3:49 PM
Page 87 of 101 01/23/2023 3:49 PM
Page 88 of 101 01/23/2023 3:49 PM
Page 89 of 101 01/23/2023 3:49 PM
Page 90 of 101 01/23/2023 3:49 PM
Page 91 of 101 01/23/2023 3:49 PM
Page 92 of 101 01/23/2023 3:49 PM
Page 93 of 101 01/23/2023 3:49 PM
Page 94 of 101 01/23/2023 3:49 PM
Page 95 of 101 01/23/2023 3:49 PM
Page 96 of 101 01/23/2023 3:49 PM
Page 97 of 101 01/23/2023 3:49 PM
Page 98 of 101 01/23/2023 3:49 PM
Page 99 of 101 01/23/2023 3:49 PM
Page 100 of 101 01/23/2023 3:49 PM
Page 101 of 101 01/23/2023 3:49 PM

Turn static files into dynamic content formats.

Create a flipbook
Issuu converts static files into: digital portfolios, online yearbooks, online catalogs, digital photo albums and more. Sign up and create your flipbook.