

EL FUTURO DE LA GEOTECNIA

3 al 5 Diciembre 2025
Hotel Best Western
Marina Las Condes
Santiago - Chile




CONTENIDO


Resumen
Comité Organizador
Patrocinadores
Cifras del XII Congreso Chileno de Geotecnia
Participación y asistentes
Invitados internacionales
Cursos precongreso
Programa científico
Listado de artículos y póster presentados
Artículos
Empresas auspiciadoras
Agradecimientos



MENSAJE DEL PRESIDENTE
El XII Congreso Chileno de Geotecnia representó una instancia clave de encuentro para la comunidad geotécnica nacional, reuniendo a académicos, profesionales, estudiantes y representantes de la industria en torno a los desafíos actuales y futuros de la ingeniería geotécnica.
Durante tres días, Santiago fue el punto de encuentro de especialistas provenientes de distintas regiones del país y del extranjero, quienes compartieron avances científicos, experiencias profesionales y visiones sobre el futuro de la disciplina.
Bajo el lema “El futuro de la geotecnia”, este congreso permitió reflexionar sobre los cambios tecnológicos, los desafíos asociados al desarrollo de infraestructura resiliente y la creciente necesidad de integrar innovación, investigación aplicada y sostenibilidad en la práctica geotécnica.
La activa participación de la comunidad, el alto nivel de las conferencias y la colaboración entre academia, industria y nuevas generaciones de ingenieros consolidaron este congreso como una plataforma fundamental para el desarrollo de la geotecnia en Chile.
Agradecemos especialmente a todos quienes hicieron posible esta edición: expositores, participantes, empresas auspiciadoras, instituciones patrocinadoras y equipos organizadores.

César Pastén Puchi Presidente Congreso

Paulo Oróstegui Torvisco Presidente SOCHIGE

RESUMEN


Organizado por el Grupo de Geotecnia del Departamento de Ingeniería Civil de la Universidad de Chile junto a la Sociedad Chilena de Geotecnia (SOCHIGE), el congreso se desarrolló entre el 3 y el 5 de diciembre de 2025 en la ciudad de Santiago, convocando a especialistas provenientes de distintas regiones del país y del extranjero.
Convocó a especialistas del ámbito académico, profesional e industrial interesados en los avances y desafíos de la ingeniería geotécnica.
El evento fue organizado por el Grupo de Geotecnia del Departamento de Ingeniería Civil de la Universidad de Chile junto a la Sociedad Chilena de Geotecnia (SOCHIGE).
El programa científico incluyó:
Conferencias magistrales
Presentaciones técnicas
Cursos precongreso
Espacios de discusión académica
Instancias de networking profesional
El congreso permitió fortalecer el intercambio de conocimientos y experiencias, promoviendo la colaboración entre distintas áreas de la ingeniería civil y consolidando la posición de Chile como un referente regional en geotecnia.







COMITÉ ORGANIZADOR
César Pastén Puchi
Presidente Congreso
Ingeniero geotécnico y profesor asociado del Departamento de Ingeniería Civil, investigador asociado del Centro Avanzado de Tecnología para la Minería (AMTC), director del Laboratorio de Sólidos y Medios Particulados y coordinador académico del Diploma de Postítulo en Ingeniería de Relaves de la Facultad de Ciencias Físicas y Matemáticas de la Universidad de Chile Posee un magister y doctorado en ingeniería geotécnica del Georgia Institute of Technology y su investigación se centra en la ingeniería geotécnica sísmica; en particular, en la caracterización y respuesta sísmica de depósitos de suelo y de relaves
Camilo Morales
Secretario General
Ingeniero civil geotécnico de la Pontificia universidad católica de chile (2016) en donde realizó su MSc en la rama de Ingeniería Geotécnica Sísmica (2016). Posterior a ello realizó un MSc en Soil Mechanics en Imperial College London (2020), en modelación numérica de depósitos de relaves aguas arriba y su comportamiento ante flujo parcialmente saturado.
Camilo ha sido profesor adjunto en la universidad Católica de Chile y cuenta con 2 artículos en revistas científicas y más de 10 artículos de conferencia presentados en congresos en Chile, Brasil, Australia, Estados Unidos, Canadá y España.
Actualmente se desempeña como consultor geotécnico senior en SRK Consulting en el área de Mecánica de Suelos y Relaves Adicionalmente es el tesorero de la Sochige
Felipe Ochoa
Presidente Comité Técnico
Profesor Felipe Ochoa Cornejo es investigador del grupo de geotecnia de la Universidad de Chile, combinando una sólida formación académica como ingeniero civil (UChile) con maestría (UChile, Purdue) y doctorado (Purdue) El profesor Ochoa ha participado en proyectos de ingeniería para la industria minera del cobre, el acero, y el litio, tanto en Chile como Sudamérica, en iniciativas que involucran la caracterización geotécnica y estabilidad física de terrenos salinos, colapsables, y expansivos También ha participado en proyectos emblemáticos como el Metro de Santiago, la estabilidad sísmica de represas en Chile central, y el desastre de Santa Lucía. Sus áreas de investigación son la ingeniería y el comportamiento de relaves y geomateriales complejos, ingeniería de túneles, e ingeniería geológica, con énfasis en el comportamiento fundamental, sísmico, y la sustentabilidad de los geomateriales y las geoestructuras.
Francisco Pinto
Secretario Comité Técnico
Ingeniero Civil e Ingeniero Geólogo, profesor asistente del Departamento de Ingeniería Civil, e investigador asociado del Centro Avanzado de Tecnología para la Minería (AMTC) de la Facultad de Ciencias Físicas y Matemáticas de la Universidad de Chile. Doctor de la Pontificia Universidad Católica de Chile, con estadías de investigación la Universidad de Alberta (Canadá), la Universidad de Bristol (UK) y la Universidad de Colorado Boulder (EE.UU.). Su investigación abarca la interacción suelo-estructura, geotecnia computacional, e incertidumbre y riesgo multi-amenaza de sistemas geotécnicos – estructurales tales como turbinas eólicas, tranques de relaves e infraestructura civil crítica

PATROCINADORES



















EL CONGRESO EN CIFRAS
El XII Congreso Chileno de Geotecnia reunió a una amplia comunidad de profesionales y especialistas del área, consolidándose como uno de los encuentros técnicos más relevantes de la ingeniería geotécnica en Chile
Entre los principales indicadores del evento destacan:
379 participantes en total.
21 empresas auspiciadoras.
15 instituciones patrocinadoras
3 cursos precongreso.
5 invitados internacionales.
Estas cifras reflejan el creciente interés de la comunidad técnica y científica por participar en instancias de discusión y colaboración en torno al desarrollo de la geotecnia
El congreso contó con la participación de profesionales, académicos y estudiantes provenientes de diversas instituciones y empresas vinculadas a la ingeniería geotécnica.
La distribución de asistentes incluyó:
64 socios de SOCHIGE
72 profesionales no socios
54 estudiantes de magíster o doctorado
53 estudiantes de pregrado
31 inscripciones corporativas de empresas
11 invitados liberados por SOCHIGE
5 expositores internacionales
84 representantes de empresas auspiciadoras y staff
En total, el evento alcanzó 379 participantes, reflejando una alta diversidad de perfiles y un fuerte vínculo entre academia, industria y estudiantes.



PROGRAMA CIENTÍFICO
El programa científico del congreso abordó una amplia variedad de temas relacionados con el desarrollo y los desafíos de la ingeniería geotécnica.
Las sesiones técnicas permitieron presentar investigaciones recientes, avances tecnológicos y experiencias profesionales en áreas como: ingeniería sísmica geotécnica mecánica de suelos geotecnia aplicada a infraestructura estabilidad de taludes fundaciones geotecnia minera innovación y nuevas tecnologías en geotecnia
La participación de especialistas nacionales e internacionales contribuyó a enriquecer el debate técnico y a fortalecer el intercambio de conocimientos entre distintas generaciones de ingenieros.
El congreso contó con la participación de cinco destacados especialistas internacionales, quienes compartieron experiencias provenientes de distintos contextos geotécnicos y aportaron una perspectiva global sobre los desafíos de la disciplina.
Sus presentaciones fueron ampliamente valoradas por los asistentes y constituyeron uno de los puntos más destacados del programa científico.



INVITADOS INTERNACIONALES

ELLEN M. RATHJE, PH.D., P.E., F. ASCE
Dr. Ellen M. Rathje is the Janet S. Cockrell Centennial Chair in Engineering in the Department of Civil, Architectural, and Environmental Engineering at the University of Texas at Austin (UT). She has expertise in the areas of seismic site response analysis, seismic slope stability, engineering seismology, and liquefaction. Dr. Rathje is a founding member and previous Co-Chair of the Geotechnical Extreme Events Reconnaissance (GEER) Association, and currently the Principal Investigator for the DesignSafe-ci.org cyberinfrastructure for the NSF-funded Natural Hazards Engineering Research Infrastructure (NHERI). She has been honored with the 2022 Peck Lecture Award from the ASCE Geo-Institute, the 2018 William B Joyner Lecture Award from the Seismological Society of America and the Earthquake Engineering Research Institute and the 2010 Huber Research Prize from the ASCE. She was elected Fellow of the American Society of Civil Engineers in 2016.

Prof. GEORGE MYLONAKIS
El profesor Mylonakis es especialista en ingeniería geotécnica y sísmica. Es Catedrático de Geotecnia e Interacción Suelo-Estructura de la Universidad de Bristol (Reino Unido) y Profesor de la Universidad Khalifa de Abu Dhabi. También ha enseñado en la City University de Nueva York, la Universidad de Patras y la UCLA Es conocido por sus investigaciones sobre la interacción suelo-estructura, con especial atención a los pilotes y las estructuras de contención. Es autor de más de 100 artículos en revistas especializadas y ha pronunciado más de 80 conferencias en todo el mundo. Varios de los resultados de sus investigaciones se han incorporado a libros de texto y códigos. Ha sido investigador principal en varios proyectos de investigación patrocinados en Estados Unidos, Europa y Oriente Medio También ha sido EBM en varias revistas internacionales, entre ellas Journal of Geotechnical and Geoenvironmental Engineering, ASCE, Soil Dynamics and Earthquake Engineering y Géotechnique. Desde 2021 es redactor jefe de Geotechnics Journal, y es consultor activo.



INVITADOS INTERNACIONALES

Prof. MARCOS ARROYO
Ingeniero de Caminos (UPM, 1991). En 2001 obtuvo un doctorado de la Universidad de Bristol (Reino Unido) Posteriormente trabajó como investigador en el Politécnico de Milán, University College London hasta que se incorporó al Departamento de Ingeniería Geotécnica y Geociencias de la UPC BarcelonaTech, donde ahora es Profesor Titular. Actualmente es responsable de "Proyecto geotécnico", "Cimentaciones" y "Cimentaciones marinas". Ha dirigido 12 tesis de doctorado y 25 de máster. Ha iniciado proyectos de investigación que han atraído más de 5 M € de financiación pública y privada Su investigación está orientada a problemas (cimentaciones, tranques de relaves, caracterización geotécnica…) y emplea diferentes técnicas numéricas (DEM, FEM, PFEM) y experimentales (ensayos de laboratorio e in situ). Los resultados de esta investigación se publican regularmente en conferencias y revistas científicas revisadas por pares. Marcos Arroyo trabajó durante 8 años en oficinas de proyecto y actúa regularmente como consultor y perito Participa activamente en varios comités normativos, en particular en el ISO TC182 Geotecnia y el CEN TC250/SC7, donde redactó los borradores iniciales de los Eurocódigos EC7.1 y EC7.2 de segunda generación. Marcos Arroyo es el actual Secretario del Comité Técnico 102 de ISSMGE «Ensayos in situ».

Prof. POONEH MAGHOUL
La investigación de la profesora Pooneh Maghoul se centra en la intersección de la ingeniería geotécnica y el desarrollo sostenible abordando los retos que plantea el cambio climático en las regiones frías y con permafrost En la UNU-INWEH, dirige iniciativas sobre infraestructuras sostenibles en regiones frías, que abarcan temas como la resiliencia de las infraestructuras, la economía circular, las ciudades inteligentes, los gemelos digitales, la extracción responsable, el envejecimiento de las infraestructuras y la toma de decisiones inclusiva. Colabora con comunidades en regiones frías, de permafrost y septentrionales para desarrollar marcos políticos basados en la comunidad que aborden vulnerabilidades específicas en regiones frías para garantizar que las voces locales se escuchen en el proceso de formulación de políticas. Es Profesora de Ingeniería Geotécnica en la Polytechnique de Montreal y ha recibido varios premios internacionales y nacionales, entre ellos el de Joven Ingeniera Geotécnica Destacada de la Sociedad Internacional de Mecánica del Suelo e Ingeniería Geotécnica. Su trabajo para mejorar la comprensión de la resistencia de las infraestructuras ante las presiones del cambio climático ha recibido el reconocimiento y la financiación de importantes instituciones, como el Consejo de Investigación en Ciencias Naturales e Ingeniería de Canadá (NSERC) y la Agencia Espacial Canadiense (CSA).



EXPOSITOR MAGISTRAL NACIONAL

Prof. ESTEBAN SÁEZ
Profesor Asociado del Departamento de Ingeniería Estructural y Geotécnica UC Especialidad: Dinámica de suelos, modelación numérica en geotecnia, métodos geofísicos sísmicos y problemas inversos Ph.D., Ecole Centrale Paris. MS, École Nationale des Ponts et Chaussées. MS, e Ingeniero Civil, Universidad Técnica Federico Santa María. Profesor Asociado del Departamento de Ingeniería Estructural y Geotécnica de la Escuela de Ingeniería de la UC. Investigador Asociado del Centro de Investigación para la Gestión Integrada del Riesgo Desastres (CIGIDEN)



2 DE DICIEMBRE
CURSOS PRECONGRESO
Introducción a la caracterización dinámica de sitios mediante técnicas de Ondas de Superficie
08:30 AM 1
10:30 Coffee Break 11:00 AM 2
12:30 Almuerzo libre
14:00 PM 1
16:00 Coffee Break
16:30 PM 2
Exploraciones geotécnicas y ensayos in-situ 08:30 AM 1 10:30 Coffee Break 11:00 AM 2
Licuefacción en Infraestructura Crítica Minera y Urbana 14:00 PM 1 16:00 Coffee Break 16:30 PM 2
18:00 Término Cursos



3 DE DICIEMBRE
09:00 Inauguración
09:30
Plenaria 1: Profesora Ellen Rathje “Seismic slope displacements: from cm to m to km”
10:30 Coffee Break - Visita Poster
Sesiones Técnicas paralelas
Salón Gran Aysén
Sochige 2A - Geotecnia Sísmica
11:00 5211 - Gabriela Rivera
11:15
5311 - José Ignacio Bustos Fonseca
11:30 5199 - Alberto Abrigo
11:45 5265 - Pedro Reyes
12:00 5204 - Karen Orozco Correa
Salón Maipo Salón Colchagua
Sochige 1A - Geotecnia Minera
Sochige 6A - Diseño y Caracterización Geotécnica
5230 - Agustín Meriño 5205 - Dennis Raddatz
5227 - Shantal Palma
5209 - Diego Abarca
5216 - Eduardo Fuenzalida
5215 - Matías Felipe Bravo Zapata
5221 - Denisse Dianet Campos Muñoz
5224 - Luis Gaston Arriagada Sepulveda
5355 - David Castro 5229 - Christian Gonzalez
12:15 5206 - Edward Enrique Pinto Romero 5241 - Marta Pereira da Luz 5231 - Christian Gonzalez
12:30 5325 - José Manuel Riffo 5217- Alan Reyes 5269 - Jorge Villarroel
12:45 Almuerzo Libre (12:45-14:15)

14:15


3 DE DICIEMBRE
Plenaria 2: Profesor Marcos Arroyo "La rotura del tranque de relaves de Brumadinho"
15:15 Coffee Break - Foto Congreso
Sesiones Técnicas paralelas
Salón Gran Aysén Salón Maipo Salón Colchagua
Sochige 1B - Geotecnia
Minera - Sesión Especial
15:45
Sochige 2B - Geotecnia Sísmica
Sochige 4A - Geotecnia en Riesgo
Introducción Sesión Especial Sernageomin / Geotecnia de Relaves 5207 - Susana Lagos 5226 - Javier Jofré
16:00 5208 - Andres Melo-Duque 5236 - Luis Lemus
16:15 5198 - Jaime Olivares 5210 - Diego Hernández 5300 - Sebastián Avendaño
16:30 5203 - Brian Bedwell 5191 - Rodrigo Rojas 5459 - Matias Fernandez
16:45 5225 - Javiera Gonzalez 5272 - Javiera Calderón 5330 - Dr. Felipe ochoa
17:00 5235 - Diego Inzunza 5214 - Pablo Espinoza 5271 - Karla Tapia
17:15 5281 - Miguel Jaramillo 5220 - María Fernanda Molina
17:30 5299 - Tamara Orellana Villena 5228 - José Bustos
17:45 5356 - Matías Valenzuela 5315 - Nicolás Bastías
18:00 Cocktail Congreso

09:00
09:30


Coffee de bienvenida
Plenaria 3: Profesor George Mylonakis
“Learning from Monuments: the Remarkable Seismic Performance of the Tower of Pisa”
10:30
11:00
Salón Gran Aysén
Sochige 2C - Geotecnia Sísmica
5233 - Fabian Oliveras Cisternas
11:15 5234 - Juan Manuel Barbagelata
11:30 5329 - Vicente Urrutia
11:45 5285 - Rafael Iglesias
12:00 5298 - Daniela Paz-Barzola
Coffee Break - Visita Poster
Sesiones Técnicas paralelas
Salón Maipo Salón Colchagua
Sochige 6B - Diseño y Caracterización Geotécnica
Sochige 5 - Interacción Suelo - Estructura
5240 - Javier Necochea 5183 - Leonardo Gallo
5243 - Macarena Ayarza 5339 - Dr. Felipe Vicencio
5257 - Alberto Bard 5190 - Tommy Fernandez
5261 - Andrés Gavidia 5338 - Dr. Felipe Vicencio
12:15 5263 - PhD. Ramón Verdugo
12:30
12:45 Almuerzo Libre (12:45-14:15)

14:15


4 DE DICIEMBRE
Plenaria 4: Profesor Esteban Sáez "Dinámica de suelos a través de las escalas".
15:15 Coffee Break - Visita Poster
Sesiones Técnicas paralelas
Salón Gran Aysén
Sochige 2D - Geotecnia Sísmica
15:45 Sesión Especial / Avances en la Geotecnia Aplicada (Sesión Manuel Ruz)
Salón Maipo Salón Colchagua
Sochige 6C -Diseño y Caracterización Geotécnica
Sochige 1C - Geotecnia Minera
5320 - Diego Zambrano Lagos 5262 - Juan Tapia
16:00 5302 - Sergio Antinao 5304 - Andrés Torres
16:15 5237 - Prof. Francisco Calderon
16:30 5212 - Alan Figueroa
16:45
5284 - Alfredo Castro 5219 - Matías Bravo
5287 - Matías Altamirano 5244 - Marta Pereira da Luz
5200 - Dr. Felipe Leyton 5290 - Alfredo Castro 5283 - José Miguel Masihy Zawadzki
17:00 5253 - Fabian Oliveras Cisternas
5292 - Freddy AriasMontenegro 5760 - Jaime Cárdenas
17:15 5291 - Juan Pablo Gonzalez 5306 - Pablo Villarroel 5787 - Francisco Pinto
17:30 5259 - Daniel Parra 5193 - Dennis Raddatz
17:45 5335 - Rocío Vega 6085 - Daniela Paz Barzola
18:00 Cierre 2do. día

09:30


5 DE DICIEMBRE
Plenaria 5: Profesora Pooneh Maghoul
“Geotechnical Engineering for a Sustained Lunar Presence: Uncertainty, Variability, and Innovation at the Moon’s Surface”
10:30 Coffee Break
Sesiones Técnicas paralelas
Salón Gran Aysén
Sochige 2E - Geotecnia Sísmica
11:00 5312 - José Ignacio Bustos Fonseca
11:15 5340 - Maximiliano Acuña
11:30 5353 - Mr. Héctor Saldaña
11:45 5278 - Prof. Gonzalo Montalva
Salón Maipo
Presentación Trabajos modalidad Poster (5 min)
5184 - Francesca Navarro
Salón Colchagua
Sochige 6D -Diseño y Caracterización Geotécnica
5268 - Mr. Jorge Arriagada 5186 - Yeisson Pérez
5187 - Prof. Tania Cruz G.
5301 - Mr. Freddy Rodrigo Lopez Loayza 5202 - David Castro
5218 - Andrés Torres R
5195 - Vicente Rivera 5223 - Luis G. Arriagada S.
5232 - Rodolfo Vasquez
5270 - Dhylan Cabrera
5280 - Claudio Cerro
5286 - Javier Leyton
5293 - Mr. Horacio Moya
12:00 5303 - Matías Caro
12:15 5308 - Mr. Nicolas Bastias
5336 - Fernanda Merchán 5313 - Alex Rioseco
5318 - Freddy Rodrigo Lopez L
5346 - Josimar J. Gómez P.
5354 - Dante Loncón
12:30
12:45 Clausura Congreso
14:00 Visita Metro de Santiago (previa inscripción, cupos limitados) Visita Laboratorio IDIEM (previa inscripción, cupos limitados)



TRABAJOS PRESENTACIÓN ORAL FULL PAPER Y ABSTRACT EXTENDIDO


5183 4/12/2025 11:00
5190 4/12/2025 11:30
5191 3/12/2025 16:30
5193 4/12/2025 17:30
INCIDENCIA DE LA INTERACCIÓN SUELOBASE-ESTRUCTURA EN LOS EMPUJES SÍSMICOS EN SÓTANOS DE EDIFICIOS DE GRAN ALTURA
Efecto de la Interacción Suelo-Estructura en la Amplificación Dinámica del Corte en Muros
Estudio de Amenaza Sísmica de Falla San Ramón
Impacto de la licuación en la capacidad axial de pilotes basada en ensayos CPTu para suelos chilenos


Leonardo Gallo Colchagua
Tommy Fernandez Colchagua
Rodrigo Rojas Maipo
Dennis Raddatz Maipo
5195 5/12/2025 11:30
5198 3/12/2025 16:15
5199 3/12/2025 11:30
5200 4/12/2025 16:45
5203 3/12/2025 16:30
LICUEFACCIÓN DE SUELOS EN DEPÓSITOS ESTRATIFICADOS
REVISIÓN DE MÉTODOS DE ESTIMACIÓN DE COEFICIENTES SÍSMICOS HORIZONTALES EN DEPÓSITOS DE RELAVES CHILENOS
CORRELACIONES ESPACIALES DE MEDIDAS DE INTENSIDAD EN LA SERIE SÍSMICA DEL TERREMOTO DE RIDGECREST 2019
ESTIMATION OF Vs PROFILES FROM STRONGMOTION RECORDS
MODELACIÓN DEL PENETRÓMETRO DE BARRA T PARA DETERMINAR LA RESISTENCIA NO DRENADA EN RELAVES MINEROS
Vicente Rivera Colchagua
5204 3/12/2025 12:00
5205 3/12/2025 11:00
Calibración multiparamétrica de modelos unidimensionales para simular la respuesta sísmica en depósitos con estratos licuables
COMPARACIÓN DE MÉTODOS DE CÁLCULO DE CAPACIDADES PARA FUNDACIONES
PROFUNDAS PARA PROYECTO UBICADO EN EL SUR DE CHILE
Jaime Olivares Gran Aysen
Alberto Abrigo Gran Aysen
Dr. Felipe Leyton Gran Aysen
Brian Bedwell Gran Aysen
Karen Orozco Correa Gran Aysen
Dennis Raddatz Colchagua

5206 3/12/2025 12:15
5207 3/12/2025 15:45
Efectos de la licuación en los espectros de respuesta de depósitos de suelo con estratos potencialmente licuables
Variaciones en las medidas de intensidad sísmica inducidas por el nivel freático en depósitos susceptibles a licuación


Edward Enrique Pinto Romero Gran Aysen
Susana Lagos Maipo
5208 3/12/2025 16:00
5209 3/12/2025 11:30
5210 3/12/2025 16:15
5211 3/12/2025 11:00
Evolución de los mecanismos de mejoramiento para mitigar licuación usando pilas de grava compactada: De la teoría a las pruebas a escala real
COMPARACIÓN DE MÉTODOS DE ANÁLISIS DE ESTABILIDAD SÍSMICA EN DEPÓSITOS DE RELAVE
Simulación simplificada del comportamiento dinámico de suelos de fundación sueltos y su impacto en la respuesta sísmica
ESTUDIO DE LA INTERACCIÓN ENTRE LOS SEDIMENTOS Y EL BASAMENTO ROCOSO EN EL CONTEXTO DE UNA FALLA SUPERFICIAL INVERSA
5212 4/12/2025 16:30 Clasificación sísmica del sitio para proyecto ubicado en zona austral de Chile
5214 3/12/2025 17:00
5215 3/12/2025 11:15
5216 3/12/2025 11:45
Use and limitations of equivalent linear analyses for the deconvolution of strong ground motions
METODOLOGÍAS PARA LA OBTENCIÓN DEL PESO ESPECÍFICO BAJO N°4 EN SUELOS SALINOS
COMPORTAMIENTO GEOTÉCNICO DE RIPIOS
LIXIVIADOS EN ENSAYOS DE LABORATORIO TRADICIONALES - PARTE I: ESTADO DEL ARTE
COMPORTAMIENTO GEOTÉCNICO DE RIPIOS
Andres Melo Duque Maipo
Diego Abarca Maipo
Diego Hernández Maipo
Dr. Gabriel Candia Gran Aysen
Gabriela Rivera Gran Aysen
Pablo Espinoza Maipo
Matías Felipe Bravo Zapata Colchagua
Eduardo Fuenzalida Maipo
5217 3/12/2025 12:30
5219 4/12/2025 16:30
LIXIVIADOS EN ENSAYOS DE LABORATORIO TRADICIONALES - PARTE II: OBSERVACIONES EN LABORATORIO – PREPARACIÓN DE MUESTRAS Y ENSAYOS BÁSICOS.
COMPORTAMIENTO GEOTÉCNICO DE RIPIOS
LIXIVIADOS EN ENSAYOS DE LABORATORIO TRADICIONALES PARTE III: OBSERVACIONES EN LABORATORIO – COMPORTAMIENTO TENSIÓN-DEFORMACIÓN, HIDRÁULICO Y ROTURA DE PARTÍCULAS.
Alan reyes Colchagua
5220 3/12/2025 17:15
EVALUACIÓN DE ASENTAMIENTOS POR LICUACIÓN CON CPTu CON MÉTODOS DE PARÁMETRO DE ESTADO
Matías Felipe Bravo Zapata Maipo
María Fernanda Molina Maipo

5221 3/12/2025 11:30
5224 3/12/2025 11:45
5225 3/12/2025 16:45
5226 3/12/2025 15:45
5227 3/12/2025 11:15
5228 3/12/2025 17:30
5229 3/12/2025 12:00


ENSAYOS DE CARGA EN PILOTES DE GRAN TAMAÑO EMPLAZADOS EN LA SELVA DEL PERÚ Denisse Dianet Campos Muñoz Colchagua
Estudio del factor escala en la resistencia a compresión simple de muestras reconstituidas de rocas evaporíticas yeso
Luis Gaston Arriagada Sepulveda Colchagua
Análisis pseudo-estático de presas de relaves considerando modelo geométrico tridimensional Javiera Gonzalez Gran Aysen
RETRO-ANÁLISIS Y MODELACIÓN DE FALLAS DE TALUD EN RELLENOS SANITARIOS UTILIZANDO EL MÉTODO DEL PUNTO MATERIAL
Influencia de los parámetros de diseño en la estabilidad física de Pilas de Lixiviación
Javier Jofré Colchagua
Shantal Palma Maipo
Insights on seismic directivity in the dynamic behaviour of a sedimentary basin José Bustos Maipo
Modelación y monitoreo geotécnico del sostenimiento de una excavación y recalce mediante combinación de muro anclado y jet grouting
Christian Gonzalez Colchagua 5230 3/12/2025 11:00
METODOLOGÍA PARA ESTIMAR EL COEFICIENTE SÍSMICO HORIZONTAL DE UNA PRESA DE RELAVES A PARTIR DE UNA PROBABILIDAD ACEPTABLE DE EXCEDER UN ESTADO DE DAÑO
Agustín Meriño Maipo
5231 3/12/2025 12:15
5233 4/12/2025 11:00
5234 4/12/2025 11:15
5235 3/12/2025 17:00
5236 3/12/2025 16:00
Consideraciones para el diseño del sostenimiento de excavaciones profundas con múltiples niveles de túneles intermedios e interferencias perimetrales
INFLUENCE OF COMPRESSIONAL WAVE VELOCITY ON THE ESTIMATION OF SHEAR WAVE VELOCITY PROFILES USING SURFACE WAVES METHODS
Oportunidades en el uso de curvas de fragilidad para la evaluación de la seguridad sísmica de presas de materiales sueltos
Análisis numérico 3D en zonas de muros bajos y altos: Impacto en desplazamientos y respuesta sísmica de muros de lastre
Modelación termo-hidro-mecánica de deslizamientos rápidos con MPM
Christian Gonzalez Colchagua
Fabian Oliveras Cisternas Gran Aysen
Juan Manuel Barbagelata Gran Aysen
Diego Inzunza Gran Aysen
Luis Lemus Colchagua

5237 4/12/2025 16:15
5240 4/12/2025 11:00
5241 3/12/2025 12:15
5243 4/12/2025 11:15
Determinación del coeficiente de Poisson a partir de medición de vibraciones ambientales
Efecto de forma de partículas en simulaciones de ensayos de torsión cíclica con membrana flexible
DURABILITY ASSESSMENT OF THIN HDPE GEOMEMBRANES IN GEOTECHNICAL APPLICATIONS
Ensayos de Integridad y Carga en Pilotes, Micropilotes e Inclusiones Rígidas: Una experiencia reciente.


Prof Francisco Calderon Gran Aysen
Javier Necochea Maipo
Marta Pereira da Luz Maipo
Macarena Ayarza Maipo
5244 4/12/2025 16:45
5245 5/12/2025 11:00
5253 4/12/2025 17:00
5257 4/12/2025 11:45
LONG-TERM PERFORMANCE ASSESSMENT OF HDPE GEOMEMBRANES IN MINE CLOSURE APPLICATIONS: CASE STUDY FROM BRAZIL
INFLUENCIA DEL PROCESO CONSTRUCTIVO Y LA REDUDANCIA EN EL DISEÑO DE PILOTES POR CONFIABILIDAD
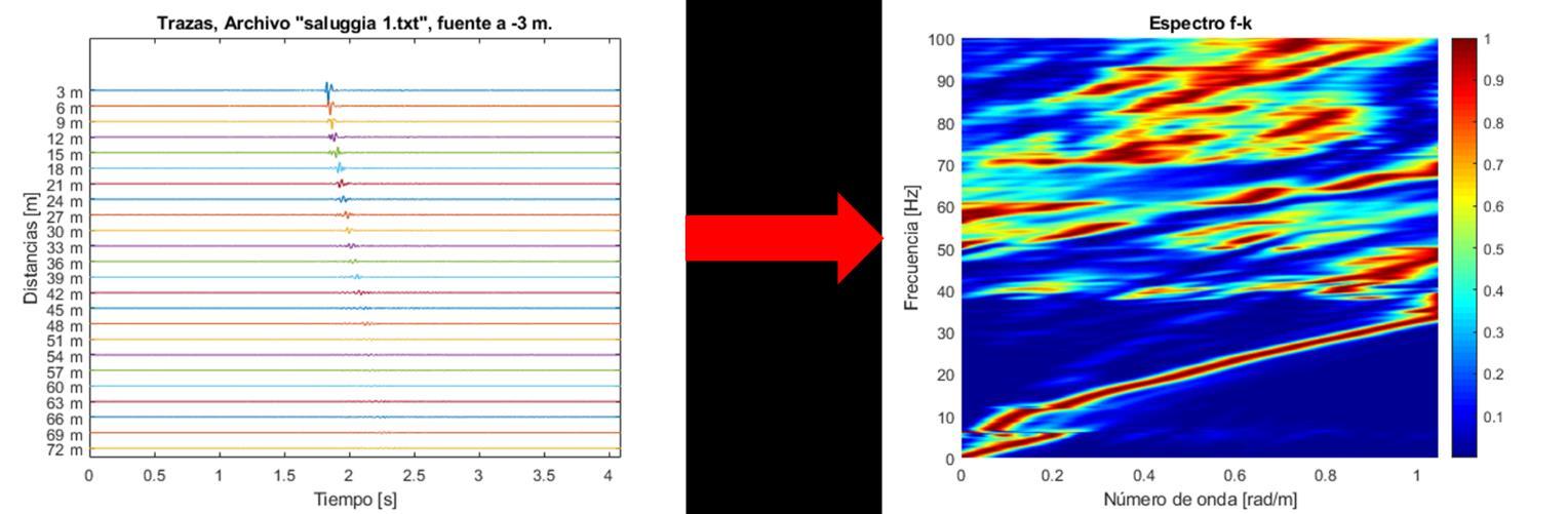
Metodología para estimar la incertidumbre de una Curva de Dispersión obtenida con Métodos de Ondas Superficiales
Reproducción del movimiento de un talud mediante análisis numérico
5259 4/12/2025 17:30
5261 4/12/2025 12:00
Aplicación de métodos geofísicos para la caracterización geomorfológica y dinámica de una sección transversal de la zona norte de la Cuenca de Santiago
Optimization of Parameters in Constitutive Models for Consolidated Undrained Triaxial Compression Tests Using Genetic Algorithms
Marta Pereira da Luz Colchagua
Juan Camilo Pineda Sierra Colchagua
Fabian Oliveras Cisternas Gran Aysen
Alberto Bard Maipo
Daniel Parra Gran Aysen
Andrés Gavidia Maipo

5262 4/12/2025 15:45
5263 4/12/2025 12:15
EVALUACIÓN DEL EFECTO DEL CONTENIDO DE FINOS SOBRE LA RESISTENCIA AL CORTE NO DRENADO Y EL POTENCIAL DE LICUEFACCIÓN EN ARENAS DE RELAVE MEDIANTE ENSAYOS TRIAXIALES MONOTÓNICOS Y CÍCLICOS
EFECTO DE LA PRECARGA EN LA RESISTENCIA A LA LICUEFACCIÓN EVALUADA EN ENSAYOS CÍCLICOS DE CORTE SIMPLE Y TRIAXIAL


Juan Tapia Colchagua
5265 3/12/2025 11:45
5268 5/12/2025 11:00
5269 3/12/2025 12:30
5271 12/3/2025 17:00
5272 3/12/2025 16:45
5278 5/12/2025 11:45
5281 3/12/2025 17:15
5283 4/12/2025 17:00
MODELO PROBABILÍSTICO DE DESENCADENAMIENTO DE LICUACIÓN BASADO EN EL PARÁMETRO DE ESTADO A PARTIR DE ENSAYOS DE LABORATORIO
PhD. Ramón Verdugo Gran Aysen
Pedro Reyes Gran Aysen
Modelling of Shallow Foundations on Rock Mass with Joint Networks Jorge Arriagada Colchagua
Compressibility Study of Cement-Stabilized Samples Under Immersed Curing Conditions
Evaluación del riesgo por remociones en masa en estructuras patrimoniales del barrio La Chimba, Región Metropolitana
Jorge Villarroel Colchagua
Karla Tapia Colchagua
Desempeño Sísmico en Pilotes Geotérmicos Javiera Calderón Maipo
Generación de registros sintéticos de aceleración a partir de modelos empíricos de amplitud y fase de Fourier
Prof. Gonzalo Montalva Gran Aysen
Evaluación de Riesgos en Presas de Relaves Chilenas basado en FMEA Miguel Jaramillo Gran Aysen
LOW SUCTION WATER RETENTION CURVE UNCERTAINTY IN LEACHING SPENT ORE & ITS IMPACT ON UNSATURATED FLOW MODELING
José Miguel Masihy Zawadzki Colchagua

5284 4/12/2025 16:15
5285 4/12/2025 11:45
5287 4/12/2025 16:30
FUNDACIONES PARA EL NUEVO PUENTE FERROVIARIO SOBRE EL RÍO BÍO BÍO
Advanced numerical study on strain history and shear strain effects in reliquefaction resistance
INFLUENCIA DEL TAMAÑO DE PROBETA Y LIXIVIACIÓN EN LA RESPUESTA TRIAXIAL NO DRENADA DE RIPIOS


Alfredo Castro Maipo
Rafael Iglesias Gran Aysen
Matías Altamirano Maipo
5290 4/12/2025 16:45
5291 4/12/2025 17:15
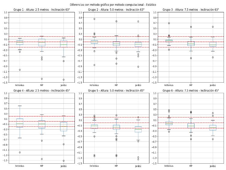
EVALUACIÓN DE LA CONFIABILIDAD DEL MÉTODO GRÁFICO DE FELLENIUS EN EL ANÁLISIS DE ESTABILIDAD DE TALUDES: CASO DE ESTUDIO EN LA RUTA 5 SUR ENTRE TALCA Y CHILLÁN
Software educativo sobre fundamentos de caracterización geotécnica usando ondas superficiales
5292 4/12/2025 17:00 Implementación de IA en el diseño de túneles
Alfredo Castro Maipo
Juan Pablo Gonzalez Gran Aysen
Freddy Arias Montenegro Maipo
5293 5/12/2025 11:45 Caracterización mineralógica de relaves Horacio Moya Colchagua
5298 4/12/2025 12:00
5299 3/12/2025 17:30
5300 3/12/2025 16:15
LIQUEFACTION MITIGATION USING NANOMATERIALS
EFECTO DE LA VARIABILIDAD ESPACIAL DE LAS PROPIEDADES GEOTÉCNICAS EN LOS DESPLAZAMIENTOS COSISMICOS DE TRANQUES DE RELAVES
Daniela Paz Barzola Gran Aysen
Tamara Orellana Villena Gran Aysen
Análisis numérico del mecanismo de falla en suelos arenosos por fugas de agua potable Sebastián Avendaño Colchagua
5301 5/12/2025 11:15 Refuerzo y reutilización de fundaciones profundas existentes
Freddy Rodrigo Lopez Loayza Colchagua
5302 4/12/2025 16:00 Análisis mineralógico y de compresibilidad para un suelo derivado de ceniza volcánica Sergio Antinao Maipo
5303 5/12/2025 12:00
Potencial de daños en la ciudad de Temuco, basado en la propuesta actualización de la norma NCh433
Matías Caro Gran Aysen

5304 4/12/2025 16:00
5306 4/12/2025 17:15
5308 5/12/2025 12:30
Importancia de los parámetros de diseño aplicado a Pilas de Lixiviación
Avances en la identificación y caracterización físico-química del "mazacote"
Selección multivariada de registros sísmicos basada en la distancia de Mahalanobis y estructura jerárquica BallTree para análisis tiempo-historia


Andrés Torres Colchagua
Pablo Villarroel Maipo
Nicolas Bastias Gran Aysen
5311 3/12/2025 11:15
5312 5/12/2025 11:00
5315 3/12/2025 17:45
Evidence of directional nonlinear site response during the 2011 Mw 9 0 Tohoku Earthquake
Influence of Basin Geometry on Nonlinear Seismic Response: A 1D vs 2D Study of the Santiago Basin
MONITOREO DEL RUIDO SÍSMICO EN CIUDADES: APLICACIONES DE LA SISMOLOGÍA AMBIENTAL
José Ignacio Bustos Fonseca Gran Aysen
José Ignacio Bustos Fonseca Gran Aysen
Nicolás Bastías Maipo
5320 4/12/2025 15:45
5325 3/12/2025 12:30
5329 4/12/2025 11:30
ANÁLISIS ITERATIVO DE INFILTRACIONES EN MURO DE RELAVES: VALIDACIÓN CON DATOS PIEZOMÉTRICOS
Diego Zambrano Lagos Maipo
Evaluación de la amplificación sísmica de una cuenca profunda El caso de Mejillones, Chile José Manuel Riffo Gran Aysen
Efectos de la solicitación sísmica bidireccional en el comportamiento de depósitos licuables tratados con columnas de grava
Vicente Urrutia Gran Aysen
5330 12/3/2025 16:45 The Santa Lucia rockslide and landslide in the Chilean Patagonia Dr. Felipe Ochoa Colchagua
5335 4/12/2025 17:45
5336 12/5/2025 12:00
THREE-DIMENSIONAL INVERSION OF ACTIVE SEISMIC GEOPHYSICAL TESTS BASED ON SURFACE WAVES
Geometría de poros y anisotropía: factores críticos que controlan la resistencia y estabilidad de rocas volcánicas para aplicaciones subterráneas
Rocío Vega Gran Aysen
Fernanda Merchán Colchagua

5338 4/12/2025 11:45
5339 4/12/2025 11:15
EVALUACIÓN EXPERIMENTAL Y NUMÉRICA DE LA AISLACIÓN SÍSMICA GEOTÉCNICA EN EDIFICIOS DE MEDIANA ALTURA


Dr Felipe Vicencio Colchagua
5340 5/12/2025 11:15
Estudio experimental en mesa vibratoria para evaluar la interacción sueloestructura en estructuras de acero
Desarrollo y uso de una caja laminar transparente para modelación física de sistemas geotécnicos a escala reducida a 1g
5353 5/12/2025 11:30 Efecto de la Licuación en la Demanda Sísmica
Dr. Felipe Vicencio Colchagua
5355 3/12/2025 12:00
5356 3/12/2025 17:45
5459 3/12/2025 16:30
5760 4/12/2025 17:15
DISEÑO DE FORTIFICACIÓN PARA LAS REPARACIONES DE PILARES EN MINERÍA SUBTERRÁNEA
Desafíos y Buenas Prácticas en la Instalación de Instrumentación Geotécnica en Muros de Relaves
Maximiliano Acuña Gran Aysen
6085 4/12/2025 17:45
5787 4/12/2025 17:30
Héctor Saldaña Gran Aysen
David Castro Maipo
Matías Valenzuela Gran Aysen
Amenaza sísmica de la Falla San Ramón usando modelos Brownian Passage Time Matias Fernandez Colchagua
Cementación y mejoramiento de propiedades mecánicas de depósitos de relaves abandonados mediante Precipitación de Carbonatos Inducida por Enzimas (EICP)
GEOTECHNICAL ANALYSIS OF SAND–COLLOID MIXTURES
Efecto de la Variabilidad Espacial de las Propiedades Geotécnicas en la Estabilidad de Taludes de un Tranque de Relaves
Jaime Cárdenas Colchagua
Daniela Paz Barzola Maipo
Francisco Pinto Colchagua



TRABAJOS
PRESENTACIÓN POSTER
MODALIDAD POSTER ELECTRÓNICO EN SMART TV

5184 12/5/2025 11:00 a m 5 min
5186 12/5/2025 11:10 a. m. 5 min
EVALUACIÓN DEL AMORTIGUAMIENTO POR RADIACIÓN DE UN EDIFICIO PARA DISTINTAS CONFIGURACIONES DE ESTRUCTURAS Y FUNDACIONES SUPERFICIALES


Francesca Navarro ePoster
5187 12/5/2025 11:15 a. m. 5 min
CONCRETOS VERDES EN EL TÚNEL MÁS LARGO DE AMERICA
5202 12/5/2025 11:20 5 min
Riesgo de inestabilidad en terraplenes y bordos de protección ante inundaciones en la planicie costera del Golfo de México
Yeisson Pérez ePoster
5218 12/5/2025 11:25 a m 5 min
Diseño de Fortificación Basado en Desempeño para Grandes Deformaciones en Minería Subterránea
Prof. Tania Cruz G. ePoster
5223 12/5/2025 11:30 a m 5 min
Principales Aspectos Geotécnicos y Buenas Prácticas en el Diseño de Depósitos de Ripios
David Castro ePoster
Verificación de la resistencia de las discontinuidades en rocas evaporíticas yeso, considerando geometría de dientes de sierra
Andrés Torres R ePoster
Luis G. Arriagada S. ePoster

5232 12/5/2025 11:35 a m 5 min
5270 12/5/2025 11:40 a. m. 5 min
Comportamiento de relave de hierro sometido a compresión confinada


Rodolfo Vasquez ePoster
5280 12/5/2025 11:45 a.m 5 min
Evaluación de la estabilidad del Cerro San Cristóbal ante remociones en masa y su impacto en el patrimonio del barrio La Chimba
5286 12/5/2025 11:50 a.m. 5 min
El Efecto de los Finos en las Propiedades Elásticas de las Arenas: Perspectivas de las Mediciones de Velocidades de Ondas
Dhylan Cabrera ePoster
5313 12/5/2025 11:55 a.m. 5 min
Estudio experimental de la penetración de un disco en arena suelta usando PIV
Claudio Cerro ePoster
5318 12/5/2025 12:00 pm 5 min
Comportamiento experimental de desechos mineros y calibración de modelos constitutivos complejos
El aporte de pilotes de pequeño diámetro para fundaciones profundas más sustentables
Javier Leyton ePoster
Alex Rioseco ePoster
Freddy Rodrigo Lopez Loayza ePoster

5346 12/5/2025 12:05 p.m. 5 min
5354 12/5/2025 12:10 p.m. 5 min
Evaluación del empuje sísmico en muros de subterráneo considerando la interacción suelo–estructura en edificios habitacionales chilenos


EVALUACIÓN DE UN MÉTODO SIMPLIFICADO DE ESTIMACIÓN DE DESPLAZAMIENTOS SÍSMICOS APLICADOS A PRESAS DE RELAVES
Josimar J. Gómez P. ePoster
Dante Loncón ePoster








INCIDENCIA DE LA INTERACCIÓN SUELO-BASE-ESTRUCTURA EN LOS EMPUJES SÍSMICOS EN SÓTANOS DE EDIFICIOS DE GRAN ALTURA
L. Gallo (1) , C. Ledezma (2)
(1) Pontificia Universidad Católica de Chile, lgallo@uc.cl
(2) Pontificia Universidad Católica de Chile, cledezma@uc.cl
RESUMEN/ ABSTRACT
El crecimiento de la población mundial ha impulsado la construcción de edificios de gran altura en zonas de alta amenaza sísmica, muchos de ellos con múltiples niveles de sótanos. Tradicionalmente, en el diseño de sótanos solo se considera la influencia del suelo circundante, asumiendo cargas pseudoestáticas basadas en la aceleración en superficie. No obstante, investigaciones recientes muestran que es necesario incorporar los efectos dinámicos de interacción suelo-base-estructura (SSBDI), que pueden modificar significativamente los empujes sobre los muros de los sótanos. Si bien este fenómeno ha sido estudiado en superestructuras, su impacto en los empujes y desplazamientos en sótanos aún no se comprende completamente. Se plantea que la geometría de la edificación, las propiedades del suelo y las características del sismo afectan la distribución de empujes y desplazamientos en los muros, debido a la activación de distintas formas modales durante el sismo. En esta investigación, se desarrollaron modelos numéricos bidimensionales basados en elementos finitos, considerando estructuras con distintos períodos naturales y diversos tipos de suelo. Cada modelo fue sometido al sismo del Maule (2010) permitiendo evaluar las variaciones en los empujes de los muros de los sótanos. El objetivo es identificar las condiciones bajo las cuales los efectos de la SSBDI deben ser considerados en el diseño estructural, evitando la subestimación de los empujes que afectan a los muros de los sótanos.
Palabras-Clave: Interacción dinámica suelo-estructura, empujes dinámicos, muros de sótanos
1. INTRODUCCIÓN
El crecimiento de la población mundial ha impulsado la necesidad de construir edificios de gran altura en diversas ciudades, muchos de ellos con varios niveles de sótanos [1] En Latinoamérica, estas construcciones se ubican en zonas de alta amenaza sísmica, como ocurre, por ejemplo, en Santiago de Chile. El diseño de este tipo de edificaciones en regiones sísmicas exige un enfoque que integre la respuesta estructural global, la influencia del suelo circundante y los efectos de la interacción dinámica entre ambos. Tradicionalmente, el diseño de edificios con sótanos asume que la superestructura y la subestructura pueden analizarse de forma independiente. Para la superestructura, se suele considerar que ésta puede analizarse asumiendo condición de base fija, mientras que para la subestructura se asume que estará influenciada únicamente por los empujes del suelo circundante. Por esta razón, es común el uso de métodos simplificados basados en la aceleración máxima medida en superficie, con el fin de estimar las presiones dinámicas en la subestructura. Sin embargo, las posibles implicancias de la interacción dinámica suelo-base-estructura (SSBDI) sobre los empujes de los muros de los sótanos aún no se comprenden completamente [2].
En los últimos años se ha avanzado en esta dirección Investigadores [3], [4], [5] desarrollaron modelos numéricos bidimensionales de distintos tipos de suelo, alturas de superestructura y profundidades de sótano. Sus resultados evidenciaron que la presencia de la superestructura puede inducir empujes laterales superiores a los estimados por métodos tradicionales, siendo su distribución y amplitud sensible a la geometría de la edificación y al espectro de respuesta de desplazamiento en superficie
Por lo anterior, la presente investigación desarrolló modelos numéricos bidimensionales para analizar la SSBDI en edificios de gran altura con sótanos, sometidos a excitaciones sísmicas controladas. Asimismo, se evaluó la influencia del contenido de frecuencia del sismo de entrada y de las propiedades
dinámicas del suelo y la superestructura, con el objetivo de identificar su impacto en la distribución y magnitud de los empujes sísmicos sobre los muros de los sótanos
2. METODOLOGÍA
Se desarrollaron modelos numéricos bidimensionales en PLAXIS 2D de edificaciones de gran altura con sótanos. El caso de estudio corresponde a una configuración estructural representativa de algunos edificios en Santiago de Chile, con núcleo central de concreto armado y un sótano más ancho que la superestructura. Se modelaron tres alturas de la superestructura (0 m, 75 m y 165 m), denominadas S0, S25 y S55, combinadas con dos profundidades de subestructura: 9 m (N3) y 21 m (N7).
Como suelos representativos para estos primeros análisis se utilizaron capas de Grava de Santiago (GS) o Berlin Sand (BS) de 200 m de profundidad, ambas modeladas con el modelo constitutivo Hardening Soil with Small-Strain Stiffness. Los elementos del suelo y del núcleo estructural se discretizaron como elementos tipo solid (15-noded, plane strain), mientras que los muros, losas y la cimentación se modelaron mediante elementos plate lineales elásticos. Se aplicaron condiciones de borde absorbentes en los extremos laterales y la base para minimizar reflexiones sísmicas. La excitación consistió en uno de los registros del sismo de Maule (2010), obtenido en la estación Rapel y deconvolucionado para representar condiciones de roca
Los empujes sísmicos se obtuvieron a partir de los esfuerzos normales en los puntos de Gauss adyacentes a los muros del sótano, los cuales fueron postprocesados para obtener las distribuciones empujes sísmicos máximos y los registros temporales de la fuerza sísmica resultante Estos resultados se compararon con las estimaciones de Mononobe-Okabe (M-O) [6], [7], Seed y Whitman (S&W) [8], Wood [9] y el Anexo C de la NCh433 [10]. Finalmente, el registro de la fuerza resultante se transformó al dominio de la frecuencia mediante un espectro de densidad de potencia (PSD), y se compararon las frecuencias dominantes identificadas con la función de transferencia del depósito de suelo y con las frecuencias naturales de las estructuras sobre base fija.
3. RESULTADOS
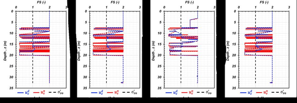
La Fig. 1 muestra la distribución de empujes sísmicos máximos (��������) obtenidos en el muro del sótano para las distintas configuraciones. En todos los casos, se observa que la presencia de la superestructura incrementa los empujes sísmicos, siendo este efecto más pronunciado en el modelo S25 y en el depósito de Grava de Santiago. Las variaciones se concentran principalmente en las zonas superior y media del muro, y las distribuciones obtenidas no reproducen los patrones propuestos por las metodologías tradicionales con las que se comparan. Además, se observa que la forma de distribución de los empujes está más influenciada por el tipo de suelo que por la superestructura.

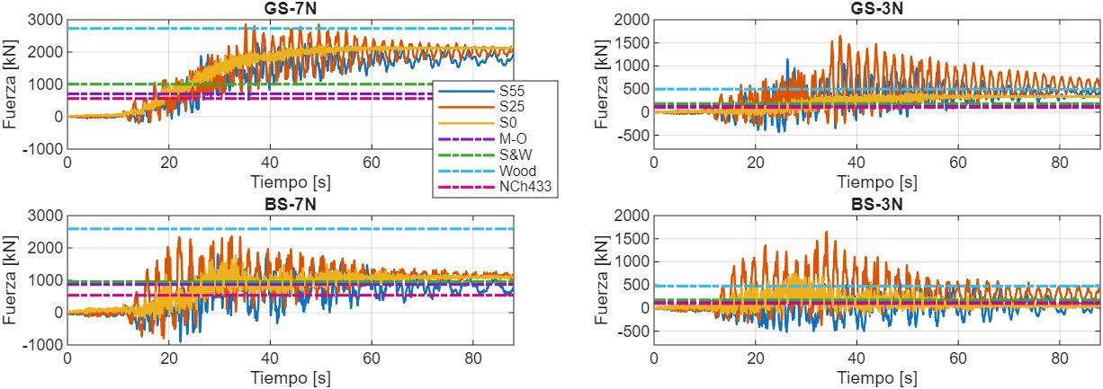
Fig. 1 Distribución de empujes sísmicos máximos para las distintas configuraciones.
La Fig. 2 muestra los registros temporales de la fuerza sísmica resultante sobre los muros del sótano para las distintas configuraciones. Similar a la figura anterior, se observa que la presencia de la superestructura incrementa la fuerza, siendo más evidente en el modelo S25. Además, mientras los modelos S0 presentan resultados cercanos a los estimados por las metodologías tradicionales, la
inclusión de la superestructura genera fuerzas adicionales que superan dichas estimaciones. Asimismo, se evidencia que la fuerza máxima alcanzada en los modelos GS y BS es similar, pero ocurre en momentos distintos, lo cual es consistente con un comportamiento predominantemente controlado por el contenido frecuencial, más que por las aceleraciones máximas registradas en superficie.

Fig. 2 Registros temporales de fuerza sísmica resultante.
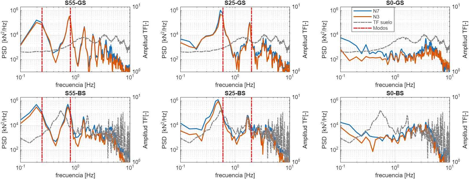
La Fig. 3 muestra el PSD de la fuerza sísmica resultante, comparado con la función de transferencia del depósito de suelo y las frecuencias naturales de la superestructura en condición de base fija. Se observa que las frecuencias de la superestructura controlan la distribución de energía en la fuerza resultante. En los modelos S0 dominan las frecuencias altas, mientras que en los modelos S25 y S55 se identifican máximos espectrales en el primer y segundo modo de vibración, respectivamente, lo que indica una transferencia de energía significativa desde la superestructura hacia el sótano. Se debe destacar que, la función de transferencia del suelo amplifica los máximos espectrales cuando las frecuencias naturales de la estructura coinciden con las frecuencias dominantes del depósito de suelo.

Fig. 3 Eje izquierdo: PSD de la fuerza sísmica resultante; eje derecho: función de transferencia del depósito de suelo. Líneas rojas: frecuencias naturales de las estructuras sobre base fija (S55: f1= 0.25 Hz y f2=0.8 Hz; S25: f1= 0.6 Hz y f2=2.0 Hz).
4. DISCUSIÓN Y CONCLUSIONES
El estudio confirma que la SSBDI influye significativamente en la magnitud y distribución de los empujes sísmicos sobre los muros de sótanos. A diferencia de los análisis desacoplados tradicionales, la
inclusión de la superestructura en los modelos numéricos mostró un aumento de los empujes y la fuerza sísmica resultante en losmuros del sótano, concentrándose en las zonas superior y media. Esto sugiere que los métodos convencionales pueden subestimar las demandas sísmicas reales en sótanos de edificios de gran altura.
La superestructura incrementa las presiones laterales en los muros del sótano, observándose este efecto principalmente en las zonas superior y media y variando según el tipo de suelo, debido a la transferencia de fuerzas inerciales. Asimismo, se evidenció un efecto de resonancia entre las frecuencias dominantes del suelo y los modos de vibración estructural, influenciado por el contenido de frecuencias del sismo, lo cual fue particularmente notorio para los modelos S25. El análisis espectral de la fuerza sísmica resultante mostró que las componentes de baja frecuencia, asociadas a los modos de la superestructura, controlan la distribución de energía del sistema acoplado.
La investigación revela que métodos de diseño tradicionales como Mononobe-Okabe, Seed y Whitman, Wood o NCh433 son insuficientes para capturar el comportamiento dinámico de los sótanos con SSBDI. Estos enfoques, basados en la aceleración máxima superficial y un comportamiento desacoplado, no consideran los efectos inerciales de la superestructura ni de la subestructura, ya que generalmente asumen que no hay masa al otro lado del muro. Esta limitación les impide reproducir las variaciones observadas, como la concentración de presiones en las zonas superior y media del muro, así como los efectos de resonancia entre el suelo, la estructura y el sismo.
Para los casos analizados, se evidencia que el comportamiento de los empujes sísmicos está regido por el contenido de frecuencias del sismo y su relación con las frecuencias naturales de la superestructura. Esto evidencia la necesidad de integrar análisis dinámicos avanzados para el diseño de estructuras de gran altura con sótanos, especialmente aquellas susceptibles a la resonancia
5. AGRADECIMENTOS
Se agradece a la Agencia Nacional de Investigación y Desarrollo (ANID) por el apoyo financiero al primer autor mediante la beca N º 2024-21240309, así como por el financiamiento de esta investigación a través del proyecto Fondecyt Regular N.º 1220796.
6. REFERENCIAS.
[1] Council on Tall Buildings and Urban Habitat (CTBUH), «Year in Review: Tall Trends of 2023».
[2] Z. L. Tadesse, H. K. Padavala, y V. R. P. Koteswara, «Seismic response assessment of building structures with underground stories: a state-of-the-art review», Innovative Infrastructure Solutions 2022 7:6, vol. 7, n.o 6, pp. 1-18, sep. 2022, doi: 10.1007/S41062-022-00942-5.
[3] F. J. Pinto, S. Dashti, C. Ledezma, y J. A. Abell, «How do tall buildings affect seismic earth pressures on their basement walls?», Soil Dynamics and Earthquake Engineering, vol. 171, p. 107968, ago. 2023, doi: 10.1016/J.SOILDYN.2023.107968.
[4] Q. T. B. Nguyen, B.-Y. Hwang, T.-H. Hwang, y S.-R. Kim, «Effect of soil-building interaction on dynamic earth pressure on basement walls», Soil Dynamics and Earthquake Engineering, vol. 186, p. 108944, nov. 2024, doi: 10.1016/J.SOILDYN.2024.108944.
[5] Q. T. Nguyen, S.-H. Hong, M.-H. Lee, y S.-R. Kim, «Effect of soil-building interaction on dynamic earth pressure of basement walls using numerical analysis», Japanese Geotechnical Society Special Publication, vol. 10, n.o 49, pp. 1847-1852, 2024, doi: 10.3208/JGSSP.V10.OS-38-06.
[6] S. Okabe, «General theory on earth pressure and seismic stability of retaining wall», J. of Japan Soci. of Civil Engineers, vol. 10, n.o 6, pp. 1277-1323, 1924.
[7] N. Mononobe, «On determination of earth pressure during earthquake», en Proc. World Engrg. Congress, Tokyo, 1929, pp. 177-185.
[8] H. B. Seed y R. V. Whitman, «Design of earth retaining structures for dynamic loads», en Lateral stress. Gr. Des. Earth-retaining structures, American Society of Civil Engineers (ASCE), 1970.
[9] J. H. Wood, «Earthquake-Induced Soil Pressures on Structures», Dissertation (Ph.D.), California Institute of Technology, 1973. doi: 10.7907/MZWQ-BA46.
[10] Instituto Nacional de Normalización, «Nch 433 Of 1996 Modificada en 2012», Santiago, 2012.



Efecto de la Interacción Suelo-Estructura en la Amplificación Dinámica del Corte
en Muros
RESUMEN
T. Fernández (1) , C. Sepúlveda (1) (1)
Universidad Técnica Federico Santa María
La próxima actualización de la normativa chilena NCh430, basada en ACI318, incluirá expresiones para la determinación del corte esperado en muros de hormigón armado, lo cual introduce un factor de amplificación dinámica del corte (����). Este factor incrementa las cargas de diseño, considerando la mayor influencia de los modos superiores tras la plastificación basal en un escenario sísmico severo Las expresiones de ACI318-19 y ACI318-25 se basan en estudios que omiten la Interacción Suelo-Estructura (SSI), lo cual altera significativamente el contenido de frecuencias, impactando directamente la amplificación dinámica del corte. Este estudio caracteriza ���� en muros de hormigón armado, considerando explícitamente la SSI mediante modelación no lineal del sistema completo a través del software OpenSees. Se analizó un muro de 25 pisos sobre suelos tipos A, B, C y D, y en condición de base fija (omitiendo la modelación del suelo), bajo cuarenta registros sísmicos escalados a nivel de MCE. Los resultados demuestran diferencias significativas en la estimación de ���� (de hasta 16%) cuando no se consideran los efectos de la SSI explícitamente, variando el impacto según las características del suelo y el contenido de frecuencias del input sísmico Esto subraya la necesidad de evaluar cuidadosamente el factor de amplificación del corte reportado en la literatura para evitar sobredimensionamiento a la hora del diseño de muros
Palabras-Clave: interacción suelo – estructura; análisis no lineal; muros de hormigón armado
1. INTRODUCCIÓN
Las normativas de diseño estructural, como ACI318 [1] y NCh430 [2], son fundamentales en la ingeniería. Un aspecto complejo de evaluar es el factor de amplificación dinámica de corte (FADC o ����), que incrementa las cargas de diseño a corte en muros para considerar la mayor participación de los modos superiores de vibrar una vez que se plastifica la base del muro ante un sismo de magnitud severa. Aunque ACI318-19 [1] adoptó una expresión basada en el trabajo de Blakeley et al. [3], esta ha sido considerada muy conservadora por varios autores, llevando a una modificación en la nueva versión del código, ACI318-25 [1] Diversos estudios señalan que las formulaciones normativas omiten parámetros dinámicos cruciales ([4 - 8]), como el contenido de frecuencias del movimiento sísmico ([9], [10]). En esa misma línea, la interacción suelo-estructura (SSI) modifica este contenido, impactando directamente la amplificación dinámica del corte. Por tanto, la omisión de la SSI puede conducir a estimaciones erróneas del FADC. Este estudio busca caracterizar el comportamiento dinámico del corte en muros especiales, mediante la modelación explícita no lineal de la SSI en OpenSees [11]
2. METODOLOGÍA
La metodología se basa en trabajos previos sobre la amplificación dinámica del corte (ADC) y SSI. La geometría del muro (P1-25) y la caracterización de la ADC se adoptaron del trabajo de Grandón & Hube [9]. La modelación de la SSI sigue los enfoques de [12 - 15]. Los parámetros de los suelos (Arena de Nevada y Grava de Santiago) se extrajeron de [16], los que fueron calibrados con experimentos de centrífuga geotécnica
2.1 Modelación del sistema muro - suelo
El sistema muro-suelo se modeló en 2D bajo el supuesto de deformaciones planas en el software STKO [17]. El muro, de 25 pisos y 62.5 m de altura, se modeló con elementos MVLEM y fue armado con refuerzo mínimo según NCh433. La fundación, pilotes+cabezal, se modeló con elementos
elasticBeamColumn. El hormigón se representó con la constitutiva Concrete02 (G25) y el acero con SteelMPF (A630-420H). Se consideró 2.5% de amortiguamiento crítico para la estructura. El dominio del suelo, de 40 m de profundidad y 120 m de ancho, se modeló con elementos quad de cuatro nodos El tamaño máximo de los elementos finitos se definió en base a 1/12 de la velocidad de onda de corte más baja del modelo, considerando una frecuencia máxima de 20 Hz Para el modelo constitutivo se utilizó PressureDependentMultiYield02, capaz de simular comportamiento elastoplástico y la dilatancia/contractancia inherente de los suelos. Se crearon estratigrafías para suelos tipo A, B, C y D, con 1% de amortiguamiento. Se asumió propagación vertical de ondas de corte y se implementaron condiciones de borde absorbentes mediante el elemento ASDAbsorbingBoundary. En la Figura 1a se presenta el modelo desarrollado y su discretización en elementos finitos.


Fig. 1. a) Modelo SSI. b) Escalado de espectros
2.2 Registros sísmicos empleados
Se utilizaron cuarenta registros sísmicos medidos en roca, extraídos de la base de datos de NGA West, escalados al nivel de MCE (TR=2475 años, ASCE 7) en el período fundamental, T1, del muro (1.56 s). Estos registros se introdujeron a nivel de roca base como historia de velocidades, dividiendo los valores del registro a la mitad [18]. La Figura 1b muestra el escalado de espectros.
2.3 Análisis Tiempo-Historia No Lineal (NLTH)
Se realizaron análisis de tipo NLTH, donde el FADC (����) se caracterizó mediante la relación entre el corte del modelo no lineal (������) y el producto del corte de diseño elástico (����) por la sobrerresistencia a flexocompresión (��), según Ec. 1.
Ec. 1
Posteriormente se determinan los valores del corte esperado, Ve, según cada una de las tres normativas evaluadas, ACI318-19, ACI318-25 y NCh430, para comparar con los valores de corte obtenidos de los análisis no lineales. Estos se calculan según la Ec. 2, donde cada normativa tiene su propia manera de definir los parámetros Ω y ����
Por cada registro sísmico, se realizaron los siguientes casos para cada tipo de suelo A, B, C y D:
• Modelo SSI: Simulación de muro y suelo en conjunto
• Modelo fixed: Simulación de muro sin suelo utilizando como input en la fundación la historia de aceleraciones medida en la estación en roca.
• Modelo fixed-FF: Simulación de muro sin suelo utilizando como input en la fundación la historia de aceleraciones de campo libre (free field), obtenida de un modelo del suelo sin considerar la estructura
3. RESULTADOS Y ANÁLISIS
A continuación, se presentan los resultados obtenidos de los factores de amplificación dinámica del corte obtenidos para cada tipo de suelo.


Fig. 2 Variabilidad de ����, a) valores promedio y b) gráfico de cajas.
Los resultados muestran que, la omisión de la SSI conduce a una estimación errónea de ����, resultando tanto en subestimaciones (suelos A y B) como en sobreestimaciones (suelos C y D) para el presente caso de estudio En la Figura 2.a) se incluyen los valores propuestos en ACI318-19 (1.80), ACI318-25 (1.16) y un valor de referencia igual a 1.00 asumido para NCh430. La Tabla 1 resume los resultados promedio de las razones de ����,����������/����,������ para cada tipo de suelo
Tabla 1 Razones de ����,����������/����,������ por tipo de suelo
Se observa que la omisión de la SSI (Fixed-FF/SSI) produce una estimación incorrecta del valor promedio de ���� de hasta un 16%. Esto evidencia que la SSI no solo modifica el input sísmico, sino que también el comportamiento conjunto suelo–estructura influye de manera sustancial en la respuesta dinámica de corte del muro.
4. CONCLUSIONES
El presente estudio caracterizó la amplificación dinámica del corte (����) en muros de hormigón armado, considerando explícitamente la interacción suelo–estructura (SSI). Los principales hallazgos son:
• La omisión de la SSI conlleva a una errónea estimación del valor de ����, donde las comparaciones directas (Fixed-FF/SSI) revelaron diferencias promedio de entre -14% y 16%. Lo anterior evidencia que incluir la SSI no siempre es “beneficioso” en términos de reducción de la demanda, como usualmente se cree en la práctica, evidenciando la necesidad de incorporar la SSI en la evaluación precisa del corte dinámico.
• Los valores de ���� obtenidos considerando SSI resultan, en general, inferiores a los propuestos en ACI318-19 (1.80) y ACI318-25 (1.16). Los resultados sugieren que un factor de amplificación cercano a 1.00 resulta razonable.
5. REFERENCIAS
[1] A. C. 318 American Concrete Institution, ACI318-19 Building Code Requirements for Structural Concrete and Commentary, 2019th ed. American Concrete Institute, 2019. doi: 10.14359/51716937.
[2] I. Instituto Nacional de Normalización, “Propuesta de Norma. Hormigón armado - Requisitos de diseño y cálculo, prNCh430. ,” Santiago, Chile
[3] R. Blakeley, R. Cooney, and L. Megget, “SEISMIC SHEAR LOADING AT FLEXURAL CAPACITY IN CANTILEVER WALL STRUCTURE S,” 1975.
[4] K. Rejec, T. Isaković, and M. Fischinger, “Seismic shear force magnification in RC cantilever structural walls, designed according to Eurocode 8,” Bulletin of Earthquake Engineering, vol. 10, no. 2, pp. 567–586, Apr. 2012, doi: 10.1007/s10518-011-9294-y.
[5] J. Eibl and E. Keintzel, “Seismic Shear Forces in RC Cantilever Shear Walls,” Tokyo, Japan, Jun. 1988.
[6] G. Rivard, S. Ambroise, and P. Paultre, “Inelastic seismic shear amplification due to higher mode effects in reinforced concrete coupled walls,” Earthquake Spectra, vol. 38, no. 2, 2022, doi: 10.1177/87552930211053347.
[7] D. Pennucci, T. J. Sullivan, and G. M. Calvi, “Prediction of Higher-Mode Response of Tall RC Wall Buildings,” 2012.
[8] L. M. Massone and E. Bass, “Dynamic shear amplification of reinforced concrete coupled walls,” Eng Struct, vol. 220, Oct. 2020, doi: 10.1016/j.engstruct.2020.110867.
[9] J. Grandón and M. Hube, “Factor de Amplificación Dinámica de Corte en Edificios de Muros de Hormigón Armado de Mediana Altura,” XIII Congreso Chileno de Sismología e Ingeniería Sísmica, ACHISINA , vol. XIII, 2023.
[10] F. J. Jimenez and L. M. Massone, “Experimental seismic shear force amplification in scaled RC cantilever shear walls with base irregularities,” Bulletin of Earthquake Engineering, vol. 16, no. 10, pp. 4735–4760, Oct. 2018, doi: 10.1007/s10518-018-0343-7.
[11] F. McKenna, “OpenSees: A Framework for Earthquake Engineering Simulation,” Comput Sci Eng, vol. 13, pp. 58–66, Jul. 2011.
[12] N. Sharma, “Optimum Lateral Extent of Soil Domain for Dynamic SSI Analysis of RC Framed Buildings on Pile Foundations Author 1,” 2019.
[13] Y. Zhang, J. P. Conte, Z. Yang, A. Elgamal, J. Bielak, and G. Acero, “Two-dimensional nonlinear earthquake response analysis of a bridge-foundation-ground system,” Earthquake Spectra, vol. 24, no. 2, pp. 343–386, 2008, doi: 10.1193/1.2923925.
[14] C. Kolay, A. Prashant, and S. K. Jain, “Nonlinear dynamic analysis and seismic coefficient for abutments and retaining walls,” Earthquake Spectra, vol. 29, no. 2, pp. 427–451, 2013, doi: 10.1193/1.4000141.
[15] N. Sharma, K. Dasgupta, and A. Dey, “Natural period of reinforced concrete building frames on pile foundation considering seismic soil-structure interaction effects,” Structures, vol. 27, pp. 1594–1612, Oct. 2020, doi: 10.1016/j.istruc.2020.07.010.
[16] F. Pinto, Y. Urrutia, C. Ledezma, J. Abell, and R. Astroza, “Efectos de la interacción suelo-estructura en edificios altos chilenos con subterráneos,” 2024.
[17] M. Petracca, F. Candeloro, and G. Camata, “STKO user manual,” 2017, ASDEA Software Technology, Pescara, Italy.
[18] S. Kramer, “Geotechnical Earthquake Engineering,” 1996.


ESTUDIO DE AMENAZA SÍSMICA DE FALLA SAN RAMÓN

R Rojas (1), R Boroschek (2), P Heresi (3), I López (4), A Acevedo (5) (1) Universidad de Chile, rodrigo.rojas.s@ug.uchile.cl (2) Universidad de Chile, rboroschek@uchile.cl (3) Universidad de Chile, pheresi@uchile.cl (4) Rubén Boroschek y Asociados, ivan.lopez@rbasoc.cl (5) Universidad EAFIT, aaceved14@eafit.edu.co
RESUMEN
En la Región Metropolitana de Santiago, las fuentes interplaca e intraplaca han sido históricamente las dominantes en la configuración de la amenaza sísmica. No obstante, investigaciones recientes han refinado la geometría y las tasas de recurrencia de la Falla San Ramón (FSR) una estructura cortical activa sugiriendo su capacidad para generar sismos entre Mw 6.8 y 7.5, con aceleraciones pico del terreno (PGA) entre 0.7 - 0.8 g en sectores adyacentes a su escarpe. Este estudio incorpora dichas actualizaciones en un análisis comparativo de amenaza mediante enfoques determinista (DSHA) y probabilístico (PSHA), integrando configuraciones geométricas alternativas y tasas de ocurrencia estimadas a partir de evidencia paleosismológica. En el marco probabilístico se modelaron procesos de ocurrencia Poisson (sin memoria) y Brownian Passage Time (BPT, con memoria).
Los resultados del DSHA indican que la FSR podría inducir PGA superiores en más del doble a las observadas en Santiago Oriente durante el terremoto del Maule de 2010. Sin embargo, su baja tasa de ocurrencia limita su contribución a la amenaza integrada en el PSHA, en el cual las fuentes interplaca e intraplaca continúan dominando la amenaza sísmica regional.
Palabras clave: Falla San Ramón; amenaza sísmica; enfoques determinista y probabilístico; Poisson; Brownian Passage Time.
1. INTRODUCCIÓN
En la zona central de Chile, aproximadamente el 95 % de la sismicidad registrada se asocia al proceso de subducción de la placa de Nazca bajo la placa Sudamericana [1]. Esta región sismogénica ha producido eventos de gran magnitud, como el terremoto de Maule de 2010 (Mw 8.8) [2]. Si bien predominan los sismos interplaca, también se han documentado sismos intraplaca por ejemplo, Chillán 1939 (Mw 7.8) [3] y eventos corticales someros, tales como Las Melosas 1958 (Ms 6.9) y Curicó 2004 (Mw 6.4) [4].
En el piedemonte andino de Santiago, la Falla San Ramón (FSR) corresponde a un sistema de falla inversa cortical de 50 km de longitud con orientación N–S, cuyo plano aflora en superficie [1]. La experiencia internacional demuestra el alto impacto de fallas corticales en entornos urbanos, como es el caso del terremoto de Northridge 1994 (Mw 6.7) [5]. En este contexto, Santiago con 7 112 808 habitantes y un PIB regional de 144 356 millones USD en 2023 [6] se encuentra amenazada por la confluencia de múltiples fuentes sismogénicas. Estudios recientes estiman que la FSR podría generar magnitudes entre Mw 6.8 y 7.5, con aceleraciones del orden de 0.7–0.8 g en su escarpe [1]. A modo de referencia, durante el terremoto de Maule de 2010 el PGA en el sector oriente de Santiago alcanzó cerca de 0.3 g [7].
Dadas estas condiciones, se justifica un análisis detallado de amenaza para la ciudad de Santiago con el objeto de sustentar decisiones de planificación territorial y medidas de mitigación basadas en evidencia.
2. METODOLOGÍA
Se aplicaron dos enfoques de evaluación de amenaza sísmica determinista (DSHA) y probabilista (PSHA) para cuantificar la amenaza asociada a la FSR y contrastarla con las fuentes de subducción interplaca e intraplaca en la Región Metropolitana. Todos los cálculos se ejecutaron en OpenQuake, con discretización de ruptura de 1 km y truncamiento de ±2.5σ. En el DSHA se modeló un escenario representativo de la FSR con magnitud momento Mw 7.5, buzamiento de 34° y profundidad mínima de ruptura de 0 km, asumiendo ruptura aflorante.
El PSHA integró de manera explícita las incertidumbres de fuente, geometría y recurrencia de la FSR. La geometría consideró configuraciones alternativas de la traza; la recurrencia abarcó periodos de retorno y tiempos desde el último evento entre 6500 y 9000 años, representados mediante distribuciones continua (Youngs & Coppersmith, 1985) y discreta, combinadas con modelos temporales de tipo Poisson y Brownian Passage Time (BPT). Se evaluaron además variaciones en el buzamiento (34° y 60°) y en la magnitud máxima (Mw 6.8–7.5). Para la predicción del movimiento del suelo se emplearon, en la FSR, cuatro GMPE del proyecto NGA-West2 [8] (ASK14, BSSA14, CB14 y CY14); y, para interplaca e intraplaca, cinco modelos: tres del proyecto NGA-Sub [9] (Abrahamson et al., 2020, AG; Kuehn et al., 2020, KBCG; Parker et al., 2020, PSBAH), el modelo Montalva et al. (2017, MBR) [10], desarrollado específicamente para Chile, y BCHydro (2016, BCHU) [11]. Se usó un valor de α de 0.38 al considerar la incertidumbre en la estimación de la recurrencia característica de la FSR, para el modelo BPT.
Las condiciones de sitio se caracterizaron con Vs30, Z1.0 y Z2.5 reportados en la literatura [12] en una malla de 7 917 puntos con espaciado de 400 m. Se seleccionó un emplazamiento Casas Viejas, Puente Alto para derivar curvas de amenaza específicas y establecer una comparación coherente entre los resultados deterministas y probabilistas. Su ubicación, además de la geometría de la FSR se muestran en la Fig. 1.
3. RESULTADOS Y ANÁLISIS

Fig. 1. Mapa de amenaza correspondiente a un escenario en la Falla San Ramón (FSR) con magnitud momento Mw 7.5, buzamiento de 34° y profundidad mínima de ruptura de 0 km. Se indica además la localización del sitio analizado (–70.5306, –33.6094), situado en la comuna de Puente Alto.

Fig. 2. Curvas de probabilidad de excedencia (PoE) en 50 años para el sitio Casas Viejas. Se presenta la comparación de los resultados obtenidos para las fuentes interplaca, intraplaca y FSR, considerando su dependencia temporal bajo modelos de Poisson y Brownian Passage Time (BPT).


Fig. 3. Desagregación de la amenaza sísmica en términos de PGA para el sitio Casas Viejas, considerando una probabilidad de excedencia del 10 % en 50 años. El gráfico A) muestra la desagregación correspondiente al modelo FSR–BPT, mientras que el gráfico B) presenta los resultados para el modelo FSR–Poisson.
El mapa del escenario asociado a la FSR de la Fig.1. muestra un PGA 0.7 en las inmediaciones del escarpe y un gradiente espacial marcado, con aceleraciones mayores en el bloque colgante. Se aprecia además un efecto de condiciones de sitio: la lengua aluvial (Peñalolén, Macul) presenta aceleraciones esperadas superiores a las de otras ubicaciones a igual distancia de la falla. En Casas Viejas, las curvas de amenaza de la Fig. 2 correspondientes a los modelos de recurrencia Poisson y BPT exhiben formas prácticamente idénticas; no se observan puntos de cruce y la curva asociada a BPT resulta aproximadamente un 30% mayor que la de Poisson a lo largo del rango de PGA considerado. La desagregación TRT–Magnitud para una probabilidad de excedenica de 10% en 50 años en la Fig. 3 evidencia el predominio de Interplaca e Intraplaca sobre FSR, con participaciones relativas a la amenaza global de 46%, 51% y 3% para Poisson y 45%, 50% y 5% para BPT. Estas observaciones son coherentes entre las tres figuras: el patrón espacial responde a la posición relativa respecto del plano de falla y a variaciones de las condiciones de sitio. Por otro lado, se observa el efecto en la amenaza al considerar modelos con memoria (BPT) o sin ella (Poisson).
A)
B)
4. CONCLUSIONES
Los resultados sustentan que, para el nivel de excedencia analizado, la gestión del peligro en Santiago debe priorizar las fuentes de subducción a escala metropolitana, manteniendo a la Falla San Ramón como condicionante local. El escenario con PGA igual a 0.7 g, superior a los valores observados en Santiago durante Maule 2010, exige considerar demandas de diseño extremas en el frente andinooccidental y en unidades aluviales. En términos de modelación temporal, la adopción de BPT eleva de manera sistemática en un 30 % el nivel de la curva de amenaza (PoE en 50 años) respecto de Poisson, sin modificar su forma ni el orden relativo de los casos; por tanto, corresponde emplearlo como caso conservador y reportar ambos para análisis de sensibilidad. La dispersión asociada al PGA reportado para los mayores valores medios (σ = 0.2 g) indica que el escenario de ruptura puede ser mucho más grande que el señalado. Estas conclusiones se formulan bajo el supuesto explícito de validez de las GMPE en campo cercano; antecedentes como Northridge 1994 (PGA igual a 1.8 g) [5] respaldan la plausibilidad de demandas muy altas, motivando validación local, instrumentación adicional e incorporación de ajustes de campo cercano cuando corresponda.
5. AGRADECIMIENTOS
Esta investigación se enmarca en el proyecto FONDECYT 1230350
6. REFERENCIAS
[1] Ammirati JB, Vargas G, Rebolledo S, Abrahami R, Potin B, Leyton F, et al. The crustal seismicity of the Western Andean Thrust (Central Chile, 33°–34°S): implications for regional tectonics and seismic hazard in the Santiago area. Bull Seismol Soc Am. 2019;109(5):1985–1999. doi:10.1785/0120190082.
[2] Ruiz S, Madariaga R. Historical and recent large megathrust earthquakes in Chile. Tectonophysics. 2018;733:37–56. doi:10.1016/j.tecto.2018.01.015.
[3] Leyton F, Ruiz J, Campos J, Kausel E. Intraplate and interplate earthquakes in Chilean subduction zone: a theoretical and observational comparison. Phys Earth Planet Inter. 2009;175(1–2):37–46. doi:10.1016/j.pepi.2008.03.017.
[4] Campos J, Ruiz S, Ruiz J, Saragoni GR, Kausel E, Thiele R, et al. Terremotos corticales de Las Melosas 1958, Chusmiza 2001 y Curicó 2004: un análisis comparativo con los terremotos de Northridge 1994 y Kobe 1995. Nuevos antecedentes para el peligro sísmico en Chile. 2005.
[5] Vahdani S, Wikstrom S. Response of the Tarzana strong motion site during the 1994 Northridge earthquake. Soil Dyn Earthq Eng. 2002;22(9-12):837-48. doi:10.1016/S0267-7261(02)00106-9.
[6] Banco Central de Chile. Producto Interno Bruto Regional 2023. 2023.
[7] Boroschek R, Contreras V, Kwak DY, Stewart J. Strong ground motion attributes of the 2010 Mw 8.8 Maule, Chile, earthquake. Earthq Spectra. 2012;28(S1):S19–38. doi:10.1193/1.4000045.
[8] Bozorgnia Y, Abrahamson NA, Atik LA, et al. NGA-West2 research project. Earthq Spectra. 2014;30(3):973–987. doi:10.1193/072113EQS209M.
[9] Bozorgnia Y, Abrahamson NA, Ahdi SK, et al. NGA-Subduction research program. Earthq Spectra. 2021;38(2):783–798. doi:10.1177/87552930211056081.
[10] Montalva GA, Bastías N, Rodriguez‐Marek A. Ground‐motion prediction equation for the Chilean subduction zone. Bull Seismol Soc Am. 2017;107(2):901–911. doi:10.1785/0120160221.
[11] Abrahamson N, Gregor N, Addo K. BC Hydro ground motion prediction equations for subduction earthquakes. Earthq Spectra. 2016;32(1):23–44. doi:10.1193/051712EQS188MR.
[12] Bustos J, Pastén C, Pavez D, Acevedo M, Ruiz S, Astroza R. Two-dimensional simulation of the seismic response of the Santiago Basin, Chile. Soil Dyn Earthquake Eng. 2023;164:107569. doi:10.1016/j.soildyn.2022.107569.



IMPACTO DE LA LICUACIÓN EN LA CAPACIDAD AXIAL DE PILOTES BASADA EN ENSAYOS CPTU PARA SUELOS CHILENOS
D. Raddatz (1) , P. Donoso (2) , L. Peña (3) , O. Taiba (4), J. Villarroel (5) (1) Stantec, dennis.raddatz@stantec.com (2) Ferrara, patricio.donoso@ferrara.cl (3) ESVAL, lpena@esval.cl (4) Ferrara, oscartaiba@ferrara.cl (5) Universidad de Magallanes, jorge.villarroel@umag.cl
RESUMEN/ ABSTRACT
La licuación del suelo durante los sismos genera una pérdida de resistencia en los estratos licuables. En áreas con potencial de licuación, los pilotes representan una solución de fundación efectiva, ya que permiten transferir las cargas de la superestructura a estratos más profundos y no licuables. Este estudio aborda la capacidad axial de pilotes de fundación en tres proyectos específicos ubicados en Chile: Viña del Mar, Concepción y Valdivia. Las condiciones de los sitios analizados presentan potencial de licuación debido tanto a la actividad sísmica del país como a las condiciones geotécnicas particulares de cada sitio. Para estimar la capacidad axial de los pilotes, se emplearon métodos de cálculo basados en ensayos de penetración de cono (CPTu). Asimismo, se revisaron y aplicaron diversos enfoques y recomendaciones que consideran los efectos de la licuación en la capacidad de los pilotes. Se analizaron las implicancias de estos métodos y se cuantificó la pérdida de capacidad, al comparar las resistencias de los pilotes con y sin considerar los efectos de la licuación.
Palabras-Clave: capacidad axial pilote; CPTu; licuación
1. INTRODUCCIÓN
Durante un sismo, ciertos estratos pueden licuarse al aumentar la presión de poros, perdiendo temporalmente su resistencia efectiva y capacidad para transmitir esfuerzos. En fundaciones profundas, la pérdida de confinamiento lateral en los estratos licuados disminuye la transferencia de carga por fricción, afectando de manera directa la capacidad axial de los pilotes [1] [2] En condiciones donde las capas licuables se encuentran confinadas entre estratos no licuables, el asentamiento relativo entre el suelo y el pilote tiende a ser limitado, reduciendo significativamente la posibilidad de desarrollar fricción negativa. En estos casos, la pérdida de capacidad se asocia principalmente a la disminución temporal de la fricción lateral, más que a la generación de downdrag adicional [3].
El presente estudio, continuación del trabajo de Raddatz et al. [4], aplica metodologías para estimar la capacidad axial de pilotes a partir de ensayos in situ (CPTu) en suelos chilenos, incorporando ahora el efecto de la licuación en la interacción suelo-pilote mediante la degradación de la fricción lateral en los estratos licuables. Para ello, se emplean factores de reducción total o parcial en función del grado de licuación, siguiendo criterios propuestos por Seed y Reese [1], Boulanger e Idriss [2] y las recomendaciones del FHWA [5], con el objetivo de estimar capacidades axiales más representativas para escenarios sísmicos y aportar una herramienta de diseño más conservadora y realista para fundaciones profundas en zonas de alta sismicidad
2. DESCRIPCIÓN GEOTÉCNICA DE LOS SITIOS
2.1 Viña del Mar
En Viña del Mar se realizaron dos ensayos CPTu que identificaron una estratigrafía de arenas y arenas gravosas, con un estrato resistente a partir de los 26 m de profundidad. Bajo un escenario sísmico de ���� =8,0 y ag =0,40g, se detectó potencial de licuación entre 5 y 7 m, y entre 13 y 26 m de profundidad
2.2 Concepción
En el proyecto de Concepción, se realizaron dos ensayos CPTu que revelaron una estratigrafía de suelos finos superficiales, seguidos por intercalaciones de arena limosa, arena gravosa y un lente de limo de baja resistencia a los 20 m. Bajo un escenario sísmico de ���� =7,6 y ag =0,78g, se detectó un potencial de licuación casi continuo entre 4 y 15 m de profundidad.
2.3 Valdivia
En el proyecto de Valdivia se realizaron dos ensayos SPT y uno CPTu, identificando una estratigrafía de arenas limosas y suelos finos, con estratos resistentes a 10,5 m y 20 m de profundidad. El análisis bajo un escenario sísmico ���� =8,0 y ag =0,44g que reveló potencial de licuación entre los 4 y 6,5 m, y entre los 8 y 10,5 m de profundidad



Fig. 1 Resultados CPTu: resistencia en punta unitaria ���� y fuste ���� (a) Viña del Mar; (b) Concepción; (c) Valdivia [4]
3. MÉTODOS DE DISMINUCIÓN DE CAPACIDAD AXIAL
En este capítulo se presentan dos enfoques comúnmente utilizados para estimar la capacidad axial de pilotes considerando la pérdida de fricción del fuste en estratos licuables:
El Método de Reducción Total de Fricción Lateral consiste en eliminar completamente la contribución de fricción lateral en los estratos susceptibles a licuación. Este método parte de la premisa de que el suelo licuado pierde su resistencia al corte y el confinamiento efectivo. Según Kramer [6], esta condición es coherente con la pérdida total de presión efectiva durante la licuación. Para la expresión del cálculo de capacidad de fuste (����) se debe considerar solo los estratos no licuables:
Ec. 1
Donde:
������: fricción unitaria en el i-ésimo estrato no licuable
������: superficie lateral del fuste en ese estrato
El Método del Factor Reductor de Fricción Lateral (α-Reduction) método plantea que, incluso en presencia de licuación, puede mantenerse cierta resistencia lateral residual en el fuste del pilote. Se introduce un factor de reducción α. Este enfoque ha sido propuesto por Seed & Reese [1] y refinado por Boulanger e Idriss [2]. La fricción unitaria lateral se calcula como:
2
Donde:
������: resistencia unitaria por fuste considerando el efecto de la licuación
����: resistencia unitaria por fuste sin considerar el efecto de la licuación
α: factor reductor por licuación (0 ≤ α ≤ 1). Valores típicos son: α = 0,0 – 0,1 → licuación completa; α = 0,1 – 0,3 → licuación parcial; α = 1,0 → sin licuación. Estos valores pueden ajustarse en función de la severidad del sismo, tipo de suelo [7] [8]. Este método permite modelar con mayor realismo el comportamiento del suelo, especialmente cuando la licuación es transitoria o parcial [9]. En este estudio, los valores de α se definieron mediante un criterio basado en la capacidad obtenida del CPTu. Al analizar los factores de seguridad frente a licuación (FS) derivados del CPTu, se estableció la equivalencia entre dichos rangos y el grado de licuación. Se adoptó α = 0,1 para licuación total (FS < 0,75), α = 0,3 para licuación parcial (0,75 ≤ FS ≤ 1,25) y α = 1,0 para estratos no licuables (FS > 1,25).
4. CÁLCULO CAPACIDAD AXIAL
Se analizó la capacidad axial última de pilotes perforados de hormigón armado de 1 m de diámetro, considerando longitudes desde el nivel de terreno de 28 m, 16 m y 22 m para los proyectos de Viña del Mar, Concepción y Valdivia respectivamente, las que fueron determinadas considerando profundidades óptimas en cuanto a capacidad. Las capacidades fueron obtenidas mediante los métodos de la norma DIN 4014 [10], y de las metodologías desarrolladas por Bustamante y Gianeselli [11], y por Eslami y Fellenius [12]. Los resultados se presentan de forma gráfica, identificando capacidad de punta y fuste por cada método, diferenciando las capacidades sin considerar disminuciones (barra izquierda), aplicando reducción total en los estratos licuables (barra central) y, considerando factor de reducción proporcional al grado de licuación en dichos estratos (barra derecha).



Fig. 2 Capacidad última pilotes para proyectos en Viña del Mar, Concepción y Valdivia
5. CONCLUSIONES
El análisis realizado para los tres casos de estudio en Viña del Mar, Concepción y Valdivia confirma que la licuación puede generar reducciones significativas en la capacidad axial de pilotes, especialmente en aquellos donde la fricción lateral constituye una proporción importante de la resistencia total.
La comparación entre el método de reducción total de fricción lateral y el método del factor reductor de fricción lateral evidenció que la reducción total de fricción en los tramos licuables conduce a estimaciones más conservadoras de la capacidad, mientras que el uso de factores α permite reflejar de forma más realista la resistencia residual cuando la licuación es parcial o transitoria.
Los resultados gráficos muestran que, dependiendo de la magnitud y extensión de los estratos licuables, las pérdidas de capacidad axial pueden variar desde reducciones moderadas del orden de un 20–30% hasta pérdidas superiores al 50% en casos de licuación generalizada. Este rango refuerza la necesidad de incorporar la evaluación de licuación como un paso esencial en el diseño de fundaciones profundas en zonas sísmicas.
Finalmente, el estudio aporta un marco metodológico aplicable a proyectos en suelos chilenos, combinando cálculos de capacidad axial en pilotes con datos de campo obtenidos mediante CPTu y metodologías de reducción por licuación. Se reconoce que la fricción negativa asociada a asentamientos diferenciales podría aumentar la demanda axial en determinados escenarios, aunque este aspecto no fue abordado dentro del alcance del presente estudio
6.
REFERENCIAS
[1] Seed RB, Reese LC. Design of pile foundations under seismic loading. Palo Alto (CA): Electric Power Research Institute (EPRI); 1992. Report No.: TR-100316.
[2] Boulanger RW, Idriss IM. Evaluation of soil liquefaction strength for design. Davis (CA): Center for Geotechnical Modeling, University of California; 2007.
[3] Dobry R, Abdoun T, O’Rourke T, Goh S. Single piles and pile groups in liquefiable sand subjected to lateral and axial ground deformation. In: 6th U.S.–Japan Workshop on Earthquake Resistant Design of Lifeline Facilities and Countermeasures Against Soil Liquefaction; 2003
[4] Raddatz D, Peña L, Donoso P, Taiba O. Aplicación de metodologías de estimación de capacidad axial de pilotes basadas en ensayos CPTu y SPT para suelos chilenos. In: Proceedings of the 17th Pan-American Conference on Soil Mechanics and Geotechnical Engineering (XVII PCSMGE); 2024; La Serena, Chile.
[5] O’Neill MW, Reese LC. Drilled shafts: construction procedures and design methods. Washington (DC): Federal Highway Administration (FHWA); 1999. Report No.: FHWA-IF-99-025
[6] Kramer SL, Stewart JP. Geotechnical Earthquake Engineering. 2ª ed. Boca Raton (FL): CRC Press.
[7] API. Recommended Practice for Planning, Designing and Constructing Fixed Offshore Platforms. Washington (DC): American Petroleum Institute; 2000. API RP 2A-WSD.
[8] Tokimatsu K, Asaka Y. Effects of liquefaction-induced ground displacements on pile performance in the 1995 Hyogoken-Nambu earthquake. Soils and Foundations. 1998;38(Special Issue
[9] Rollins K M, Strand S R. Lateral resistance of full-scale pile group in liquefied sand. Journal of Geotechnical and Geoenvironmental Engineering. 2006;132(10):1241–1251.
[10] DIN 4014. Bored cast-in-place piles. Formation, design and bearing capacity. Berlin: Deutsches Institut für Normung; 1990.
[11] Bustamante M, Gianeselli L. Pile bearing capacity prediction by means of static penetrometer CPT. In: Proceedings of the 2nd European Symposium on Penetration Testing; 1982. p. 493–500.
[12] Eslami A, Fellenius B H. Pile capacity by direct CPT and CPTu methods applied to 102 case histories. Canadian Geotechnical Journal 1997; 34(6): 886–904.



LICUEFACCIÓN DE SUELOS EN DEPÓSITOS ESTRATIFICADOS
V. Rivera (1) , C. Ledezma (2)
(1) Pontificia Universidad Católica de Chile, vriverasoto@uc.cl
(2) Pontificia Universidad Católica de Chile, cledezma@uc.cl
RESUMEN/ ABSTRACT
La ocurrencia y desarrollo del fenómeno de licuefacción en suelos estratificados ha demostrado depender no solo de las propiedades locales de cada capa, sino también de su configuración vertical y las interacciones hidráulicas y mecánicas entre estratos. En esta investigación se analiza una serie de perfiles CPTu recolectados en zonas afectadas por los terremotos del Maule (Mw 8.8, 2010) e Illapel (Mw 8.3, 2015) en Chile, con el objetivo de evaluar cómo la estratigrafía condiciona la generación y redistribución del exceso de presión de poros durante eventos sísmicos. Se aplicaron metodologías tradicionales para la evaluación del potencial de licuefacción, tales como Moss et al. (2006), Idriss & Boulanger (2014) y Robertson (2009), que permitieron obtener factores de seguridad (FS), el índice de potencial de licuefacción (LPI), su variante basada en el criterio de Ishihara (LPIish) y el número de severidad de licuefacción (LSN). Paralelamente, se desarrolló e implementó un modelo basado en la redistribución vertical del exceso de presión de poros, según Sinha et al. (2024), a través de planillas computacionales que simulan perfiles con distintas combinaciones de capas licuables y no licuables. Los resultados muestran diferencias significativas en la predicción de la licuación superficial al considerar la redistribución interestratigráfica, destacando la importancia de incorporar estos mecanismos en zonas con depósitos estratificados. Este estudio buscar contribuir al entendimiento y modelación del fenómeno en sistemas multicapa, con miras a mejorar la precisión de los estudios de amenaza sísmica por licuefacción en contextos geotécnicos complejos.
Palabras-Clave: Licuefacción, Estratigrafía, CPTu
1. INTRODUCCIÓN
La licuefacción de suelos es un fenómeno que ha generado importantes daños en infraestructura y afectado gravemente a comunidades en diversas partes del mundo [1]. En Chile, eventos recientes como los terremotos de Maule (Mw 8.8, 2010) e Illapel (Mw 8.3, 2015) han evidenciado la relevancia de este fenómeno, particularmente en zonas costeras y valles fluviales, donde predominan depósitos arenosos y estratificaciones complejas [2], [3]. La ocurrencia y manifestación superficial de la licuefacción, que incluye la expulsión de arena, subsidencia y deformaciones laterales, depende no solo de la susceptibilidad intrínseca del suelo, sino también de la interacción entre capas licuables y no licuables en el perfil estratigráfico [4].
El uso de ensayos de penetración de cono (CPT) ha demostrado ser una herramienta eficaz para la evaluación del potencial de licuación, gracias a su capacidad de caracterizar con alta resolución las propiedades estratigráficas y de resistencia del suelo [5]. A partir de los datos CPTu, se han desarrollado metodologías ampliamente aceptadas como las de Boulanger & Idriss (2014) [6], Idriss & Boulanger (2008) [7], Robertson (2009) [8] y Moss et al. (2006) [9], las cuales permiten estimar indicadores como el Índice de Potencial de Licuación (LPI) [10], su variante basada en el criterio de Ishihara (LPIish) [11] y el Número de Severidad de Licuación (LSN) [12] No obstante, estos métodos tradicionales no consideran efectos como la redistribución vertical del exceso de presión de poros entre capas licuables y no licuables, un proceso que puede modificar de forma significativa el patrón de licuación superficial [4]. Investigaciones recientes, como la de Sinha et al. (2024) [4], han propuesto modelos de redistribución que incorporan parámetros hidráulicos y mecánicos de cada estrato, permitiendo una representación más realista de la evolución de presiones de poros en sistemas multicapa.
En este contexto, el presente trabajo analiza el comportamiento de suelos estratificados chilenos frente a la licuefacción, utilizando perfiles CPTu obtenidos en zonas afectadas por los sismos de Maule e
Illapel. Se comparan los resultados de metodologías tradicionales con los de un modelo de redistribución de exceso de presión de poros implementado en planillas computacionales para simular escenarios representativos de estratigrafías observadas. El objetivo es identificar las condiciones estratigráficas y mecánicas bajo las cuales la redistribución vertical juega un papel determinante en la ocurrencia y manifestación superficial de la licuación.
2. METODOLOGÍA
El estudio se desarrolló a partir de perfiles de penetración cónica (CPT) obtenidos en zonas afectadas por los sismos de Maule e Illapel. Se seleccionaron únicamente aquellos datos que cumplían con criterios mínimos de calidad, profundidad y continuidad de datos, garantizando su representatividad para el análisis. Cada perfil fue procesado para estimar propiedades estratigráficas y parámetros derivados, incluyendo resistencia cónica normalizada, índice de comportamiento y densidad relativa, siguiendo procedimientos estandarizados.
Sobre esta base, se aplicaron cuatro metodologías de evaluación del potencial de licuación ampliamente utilizadas en ingeniería geotécnica: Boulanger & Idriss (2014) [6], Idriss & Boulanger (2008) [7], Robertson (2009) [8] y Moss et al. (2006) [9]. Con ellas se calcularon indicadores como el Índice de Potencial de Licuación (LPI), el LPI modificado según Ishihara (LPIish) y el Número de Severidad de Licuación (LSN), con el objetivo de estimar la magnitud y extensión de la licuación potencial. Además, se incorporó un modelo de redistribución vertical del exceso de presión de poros propuesto por Sinha et al. (2024) [4], adaptado para su uso con datos CPTu. Este modelo permite identificar configuraciones estratigráficas críticas, estimar la migración de presiones hacia capas adyacentes y recalcular factores de seguridad después de la redistribución. La implementación se realizó en hojas de cálculo con macros en VBA, que automatizaron la detección de escenarios, el cálculo de perfiles de presión ajustados y la actualización de los indicadores mencionados.
3. RESULTADOS
Los resultados obtenidos a partir del modelo de redistribución de exceso de presión de poros muestran diferencias relevantes entre las metodologías evaluadas. En uno de los sitios analizados, la Fig. 1 presenta los perfiles comparativos de exceso de presión de poros (ue) para las metodologías de Moss et al. (2006), Idriss & Boulanger (2008), Robertson (2009) y Boulanger & Idriss (2014), contrastando el caso sin redistribución con tres configuraciones de redistribución (simple factor, no conservadora y conservadora). Las curvas en rojo representan el cálculo sin redistribución, mientras que las azules corresponden a escenarios con redistribución. Se aprecia que, dependiendo de la metodología, la magnitud y extensión vertical del ue puede variar significativamente, especialmente en las capas licuables confinadas.

Fig 1: Perfiles de exceso de presión de poros para: (a) Moss et al. (2006), (b) Idriss & Boulanger (2008), (c) Robertson (2009) y (d) Boulanger & Idriss (2014).
La Fig 2 muestra los perfiles de factor de seguridad (FS) obtenidos para el mismo sitio y metodologías. La comparación revela que la redistribución tiende a reducir los valores de FS en zonas profundas, mientras que en estratos superficiales el efecto puede ser menor o incluso imperceptible, dependiendo del método aplicado. Estas variaciones sugieren que las metodologías responden de forma distinta a la interacción entre capas licuables y no licuables, lo que repercute en la estimación final del riesgo de licuación.

Fig 2: Perfiles de factor de seguridad para las cuatro metodologías de evaluación de licuación en uno de los sitios de estudio.
La Fig 3 presenta, a modo de ejemplo, el índice de potencial de licuación (LPI) calculado con la metodología de Boulanger & Idriss (2014) para todos los sitios analizados, considerando el caso sin redistribución y los tres esquemas de redistribución evaluados. La clasificación de manifestación superficial se realizó en base a los umbrales de LPI propuestos en la literatura (LPI < 5: sin manifestación; 5 ≤ LPI < 15: manifestación moderada; LPI ≥ 15: manifestación severa), que han mostrado buena correlación con evidencias de campo en eventos sísmicos pasados, aunque no constituyen una observación directa del fenómeno. Del total de casos, el método tradicional (sin redistribución) indica un 56 % de perfiles sin manifestación superficial, 28 % con manifestación moderada y 16 % con manifestación severa, mientras que al aplicar el modelo de redistribución estos porcentajes cambian a 64 %, 20 % y 16 %, respectivamente, evidenciando que, si bien la redistribución no altera drásticamente la proporción de casos severos, sí incrementa la cantidad de perfiles clasificados sin manifestación superficial y reduce los de manifestación moderada.

Fig 3: Comparación del índice de potencial de licuación (LPI) sin y con redistribución para la metodología de Boulanger & Idriss (2014).
4. DISCUSIÓN Y CONCLUSIONES
Los resultados obtenidos muestran que la redistribución vertical del exceso de presión de poros (ue) modifica de manera importante los valores de exceso de presión de poros y los factores de seguridad (FS) asociados en perfiles estratificados. Al considerar este efecto, se observó que capas inicialmente clasificadas como no licuables pueden reducir su FS por debajo de la unidad debido a la transferencia de presión desde estratos licuables cercanos, lo que amplía el alcance del fenómeno más allá de lo que predicen los análisis convencionales.
Este comportamiento se manifestó con mayor claridad en las metodologías de Boulanger & Idriss (2014) y Robertson (2009), donde la redistribución generó variaciones notorias en zonas medias y profundas del perfil. No obstante, indicadores integrales como el LPI y el LPIish apenas registraron cambios frente a la redistribución, lo que evidencia que su naturaleza, enfocada principalmente en estratos someros, puede pasar por alto condiciones críticas en profundidad. La comparación entre métodos indicó que las discrepancias en los perfiles de ue y FS no siempre se traducen en diferencias proporcionales en los índices globales. Esto sugiere que, en contextos con estratigrafías complejas, como los depósitos fluvio-marinos y aluviales presentes en varias regiones de Chile, la manifestación superficial de la licuación no siempre es reflejo de la estratificación existente
En síntesis, la caracterización del potencial de licuación en suelos estratificados requiere complementar los enfoques tradicionales basados en CPT con modelos que integren el efecto de redistribución de ueu_eue. Esta visión combinada permite detectar escenarios críticos que quedarían ocultos en evaluaciones convencionales, fortaleciendo la precisión de los diagnósticos y la planificación de medidas de mitigación en zonas expuestas a sismos de gran magnitud.
5. REFERENCIAS
[1] S. L. Kramer, “Geotechnical Earthquake Engineering,” 1996.
[2] R. Verdugo and J. González, “Liquefaction-induced ground damages during the 2010 Chile earthquake,” Soil Dynamics and Earthquake Engineering, vol. 79, pp. 280–295, 2015
[3] G. A. Montalva, F. Ruz, D. Escribano, F. Paredes, N. Bastías, and D. Espinoza, “Chilean Liquefaction Surface Manifestation and Site Characterization Database,” in Geotechnical, Geological and Earthquake Engineering, vol. 52, Springer Science and Business Media B.V., 2022, pp. 1893–1900.
[4] S. K. Sinha, K. Ziotopoulou, and B. L. Kutter, “Effects of Excess Pore Pressure Redistribution in Liquefiable Layers,” Journal of Geotechnical and Geoenvironmental Engineering, vol. 150, no. 4, Apr. 2024.
[5] P. K. Robertson, “GUIDE TO CONE PENETRATION TESTING,” 2022.
[6] R. W. Boulanger, I. M. Idriss, and R. W. Boulanger, “CPT AND SPT BASED LIQUEFACTION TRIGGERING PROCEDURES”, 2014.
[7] I. M. Idriss and R. W. Boulanger, Soil Liquefaction During Earthquakes. 2008.
[8] P. K. Robertson, “Interpretation of cone penetration tests - A unified approach,” Canadian Geotechnical Journal, vol. 46, no. 11, pp. 1337–1355, 2009.
[9] R. E. S. Moss, R. B. Seed, R. E. Kayen, J. P. Stewart, A. Der Kiureghian and K. O. Cetin, “CPTBased Probabilistic and Deterministic Assessment of In Situ Seismic Soil Liquefaction Potential,” 2006.
[10] T. Iwasaki, T. Arakawa, and K.-I. Tokida, “Simplified procedures for assessing soil liquefaction during earthquakes,” 1984.
[11] B. W. Maurer, R. A. Green, and O. D. S. Taylor, “Moving towards an improved index for assessing liquefaction hazard: Lessons from historical data,” Soils and Foundations, vol. 55, no. 4, pp. 778–787, 2015.
[12] S. van Ballegooy, M. E. Jacka, V. Lacrosse, and P. Malan, “LSN – a new methodology for characterising the effects of liquefaction in terms of relative land damage severity,” in Proceedings of the 19th NZGS Geotechnical Symposium, Christchurch, New Zealand: New Zealand Geotechnical Society (NZGS), 2013.

REVISIÓN
DE MÉTODOS


DE ESTIMACIÓN DE COEFICIENTES SÍSMICOS HORIZONTALES EN DEPÓSITOS DE RELAVES CHILENOS
J. Olivares (1) , C. Pastén (1), K. Monsalve (2) , G. Novoa (2), R. Gesche (1) (1) Departamento de Ingeniería Civil, Universidad de Chile, jaime.olivares@ug.uchile.cl (2) Servicio Nacional de Geología y Minería
RESUMEN/ ABSTRACT
En Chile, el diseño de presas de relaves contempla un análisis de estabilidad mediante el método de equilibrio límite en condición pseudoestática, considerando coeficientes sísmicos horizontales (kh) que representan la solicitación sísmica de un terremoto como una fuerza horizontal equivalente. Este estudio se centra en la creación y análisis de una base de datos con información geotécnica de 125 depósitos de relaves, con el objetivo de revisar los métodos más utilizados para estimar kh. Además, se analizan una serie de relaciones entre kh y otros parámetros, como, por ejemplo, la altura de la presa, la aceleración máxima del terreno (PGA) y los factores de seguridad. Los resultados indican que los kh adoptados para la condición de un terremoto máximo creíble varían entre 0,11 y 0,4; mientras que para una condición de terremoto operacional varían entre 0,04 y 0,22. También, que el método más utilizado para estimar kh es el de Saragoni (1993), que sólo considera el PGA del terremoto de diseño y no considera las características dinámicas y geométricas de la presa.
Palabras-Clave: Coeficientes sísmicos, depósitos de relaves, análisis pseudoestático
1. INTRODUCCIÓN
Actualmente en Chile, el diseño, la construcción y la operación de los depósitos de relaves (TSF, por sus siglas en inglés Tailings Storage Facilities) están regulados por el Decreto Supremo Nº 248 (DS248, [1]) y el Decreto Nº 50 (D50, [2]), que exigen diversos análisis para garantizar la estabilidad física de las presas de relaves, incluyendo análisis de estabilidad de taludes, análisis dinámicos de deformaciones, caracterización geotécnica detallada y estudios de amenaza sísmica. El análisis de estabilidad se realiza con métodos de equilibrio límite en condición estática y pseudo-estática. En el análisis pseudoestático, la fuerza horizontal que representa la fuerza inercial de un terremoto se expresa como el producto de un coeficiente sísmico horizontal (kh) y el peso de una masa potencialmente deslizante. Para que el kh represente adecuadamente la estabilidad sísmica de una presa de relaves, deben considerarse varios factores, tales como las características del movimiento sísmico del terreno, la amplificación sísmica de la presa, las propiedades geotécnicas de los materiales, así como la ubicación, la geometría, los factores de seguridad admisible y la rigidez de la masa deslizante [3]. Este estudio se centra en compilar y analizar una base de datos de coeficientes sísmicos horizontales (kh) adoptados en el diseño de 125 presas de relaves construidas en Chile entre 1983 y 2022, con el objetivo de respaldar la selección dekh en futuros diseños depresas de relaves, basándose en 50 años de experiencia.
2. BASE DE DATOS
La base de datos desarrollada en este estudio compila información facilitada por el Servicio Nacional de Geología y Minería (Sernageomin). Particularmente, la información proviene del catastro de depósitos de relaves [4], análisis de estabilidad de taludes, estudios de amenaza sísmica, análisis dinámicos, resoluciones de aprobación de proyectos, informes trimestrales de operación y mantención de depósitos de relaves (E700), e informes de ingeniería. La base de datos incluye información recopilada de los documentos más recientes disponibles de 125 depósitos de relaves construidos en Chile, incluyendo coeficientes sísmicos (horizontales y verticales), altura de la presa, información de amenaza sísmica y factores de seguridad. La base de datos considera depósitos activos, inactivos y abandonados. Las presas activas analizadas en esta base de datos representan aproximadamente el
55% del total de TSFs activos actualmente. Además, las 125 instalaciones analizadas abarcan cerca del 72% del volumen total autorizado de almacenamiento de relaves en Chile.
3. RESULTADOS
Se identificaron 11 métodos utilizados para calcular kh, los cuales se presentan a continuación de manera decreciente según su frecuencia de uso El método más utilizado es el de Saragoni (1993) [5] en 54 de 125 diseños de presas, representando un 43% del total de los casos. En segundo lugar, con el 14% de los casos, se tiene el método del Decreto Nº 86 (D86, [6]), derogado en la actualidad, que considera el número de personas potencialmente afectadas por la rotura de la presa. En tercer lugar, con el 12% de los casos, está el método de la guía del DS248 [7]. Otros métodos utilizados contemplan el método de la norma chilena NCh433 (1996) [8], kh como una fracción de la aceleración máxima del terreno (PGA), el método de Saragoni (1993) con PGA= A0 de [8], un método incremental que ajusta el kh en función de los factores de seguridad obtenidos, el método de Bray et al. (2018) [9] basado en deformaciones admisibles, el método de Saragoni (1993) modificado para sismos intraplaca, el método de Bray & Travasarou (2009) [10] y el método de Seed (1979) [11]. Finalmente, existen 8 depósitos que no utilizaron un método, sino que adujeron la práctica nacional y criterio experto para seleccionar el kh. Los factores de seguridad documentados en los informes analizados fueron calculados utilizando distintos softwares geotécnicos, tales como GeoStudio, Slide2, Utexas4 y Slope Stability Calculator. Además, en seis casos se utilizaron enfoques alternativos, como métodos gráficos o simplificados. La Figura 1 muestra las 125 presas de relaves analizadas, cada una conectada mediante una línea vertical en los cuatro paneles que presentan la altura de la presa, el PGA del sismo de diseño operacional (OBE) y máximo creíble (MCE), los factores de seguridad estático (FoSST) y pseudoestáticos para los sismos OBE y MCE (FoSOBE y FoSMCE) y el kh para los sismos OBE y MCE (kh,OBE y kh,MCE) La figura se divide en cinco sectores:
El primer sector (I) agrupa 18 presas que estimaron kh utilizando el D86 entre 1983 y 2021, ordenadas según la altura de la presa. En casi todos los casos, kh,OBE = 0,1, ya que no consideraron personas afectadas por una potencial falla. Las alturas de estas presas no superan los 58 m.
El segundo sector (II) agrupa siete presas diseñadas entre 2012 y 2020 con 1,0 < FoSMCE < 1,2 y FoSST ≥ 1,5. Las alturas de las presas en este sector varían entre 10 y 60 m. Las presas tipo A y B, según el D50, en este sector no cumplen con el factor de seguridad pseudoestático mínimo FoSPS = 1,2.
El tercer sector (III) agrupa a 58 presas diseñadas entre 2005 y 2022 con FoSMCE ≥ 1,2. Las alturas de las presas en este sector varían entre 5 y 310 m.
El cuarto sector (IV) agrupa a 19 presas diseñadas entre 2002 y 2022 cuyo FoSMCE no fue encontrado (o no fue calculado). Las alturas de las presas en este sector varían entre 5 y 157 m.
El último sector (V) agrupa a 23 presas que consideraron kh,OBE = kh,MCE y adoptaron los métodos de [7] y [8] para su estimación, en diseños realizados entre 2006 y 2022. Las presas en este sector presentan los kh más altos, y sus alturas varían entre 5 y 30 m. La mayoría de estas presas no cuenta con estudios de amenaza sísmica para estimar la PGA.
La Figura 2 relaciona el kh con PGA estimada a partir de estudios de amenaza sísmica. Los casos que no cuentan con una estimación de PGA, por no disponer de un estudio específico de amenaza sísmica, fueron agrupados en PGA= 0. La moda de kh para el OBE y el MCE se encuentra en los intervalos [0,10,15[ y [0,2-0,25[, respectivamente. La figura también muestra, con una curva continua en gris, la relación entre kh y el PGA según [5], y los casos que adoptaron este método están representados con símbolos azules y los que no, con símbolos naranjos. Algunos de estos puntos se desvían de esta curva, ya que los valores fueron redondeados, aproximados o mayorados. Adicionalmente, dos de los puntos que se ubican por debajo la curva gris corresponden a métodos basados en desempeño según [9] y [10], que, en general, tienden a reducir los valores de kh en comparación con los valores comúnmente utilizados en la práctica chilena. Por otra parte, la moda de PGA para el OBE y el MCE se encuentra en los intervalos [0,4-0,5[ g y [0,5-0,6[ g, respectivamente.

Fig. 1 a) Coeficientes sísmicos horizontales, b) Factores de seguridad estáticos y pseudo-estáticos, c) PGAs para OBE y MCE, and d) Altura de las 125 presas de relaves analizadas Los sectores I, II, III, IV, and V son descritos en el texto.Na: Número de análisis.

Fig. 2. Coeficiente sísmico horizontal como función de PGA para los 125 depósitos de relaves analizados. Son considerados 92 análisis para MCE (Na=92) y 84 análisis para OBE (Na=84).
4. CONCLUSIONES
Se identificaron 11 métodos para estimar kh en el proceso de diseño de presas de relaves en Chile entre 1983 y 2022, siendo Saragoni (1993) el más utilizado. Tres métodos dependen exclusivamente del PGA y la mayor parte de los casos no considera la geometría de la presa, las propiedades geotécnicas ni la ubicación de la masa potencialmente deslizante Los resultados de este estudio indican que los kh adoptados para la condición de un terremoto máximo creíble varían entre 0,11 y 0,4, mientras que para una condición de terremoto operacional varían entre 0,04 y 0,22 Asimismo, se observa una tendencia a menores valores de kh en presas más altas (>100 m) con un rango acotado de kh,MCE entre 0,15 y 0,224 Con base en los análisis de este estudio, incluyendo el desempeño sísmico de varias presas sometidas a mega-terremotos sin daños significativos, se llega a la conclusión de que kh,OBE en el rango de 0,1 a 0,2 y kh,MCE en el rango de 0,15 a 0,25 parecen valores adecuados para evaluaciones preliminares de estabilidad de taludes pseudoestáticos, dependiendo del nivel de riesgo sísmico y las características de la presa de relaves Finalmente, la optimización del diseño con respecto a los valores de kh adoptados puede considerarse favorable cuando se demuestra que los desplazamientos estimados mediante métodos numéricos son adecuados para garantizar la estabilidad de la presa y el confinamiento seguro de los relaves
AGRADECIMIENTOS
Este estudio fue desarrollado en colaboración con el Departamento de Seguridad Minera del Servicio Nacional de Geología y Minería de Chile (SERNAGEOMIN) y financiado por el proyecto ANID FONDECYT Nº1240744
REFERENCIAS
[1] Ministerio de Minería (2007). Decreto Supremo 248. Reglamento para la aprobación de proyectos de diseño, construcción, operación y cierre de los depósitos de relaves. 29 de diciembre de 2006.
[2] Ministerio de Obras Públicas (2015). Decreto 50. Condiciones técnicas que deberán cumplirse en el proyecto, construcción y operación de las obras hidráulicas identificadas en el artículo 294 del referido texto legal. 13 de enero de 2015.
[3] Seed, H. B., & Martin, G. R. (1966). The seismic coefficient in earth dam design. Journal of the Soil Mechanics and Foundations Division, 92(3), 25-58.
[4] SERNAGEOMIN (2022). Catastro de Depósitos de Relaves en Chile. Gobierno de Chile, Servicio Nacional de Geología y Minería. Retrieved from: https://www.sernageomin.cl/datos-publicos-deposito-de-relaves/ August 2023.
[5] Saragoni, G.R. (1993). Estimación de coeficientes sísmicos a partir de registros de terremotos. Revista Internacional ed. Métodos Numéricos para Cálculo y Diseño en Ingeniería, 9(1), 67-76.
[6] Ministerio de Minería (1970). Decreto 86. Reglamento de Construcción y Operación de Tranques de Relaves. 31 de julio de 1970.
[7] SERNAGEOMIN (2016). Guía para el cumplimiento de DS248 Depósitos de relaves bajo producción de 5000 tpm. Gobierno de Chile, Servicio Nacional de Geología y minería.
[8] Instituto Nacional de Normalización (2012). Diseño sísmico de edificios NCh433. Of 1996. Modificada en 2012.
[9] Bray, J. D. & Travasarou, T. (2007). Simplified Procedure for Estimating Earthquake induced Deviatoric Slope Displacements. Journal of Geotechnical and Geoenvironmental Engineering, 133(4), pp. 381–392.
[10] Bray, J. D., Macedo, J. &Travasarou, T. (2018). Simplified Procedure for Estimating Seismic Slope Displacements for Subduction Zone Earthquakes. Journal of Geotechnical and Geoenvironmental Engineering, 144(3).
[11] Seed, H. B. (1979). Considerations in the earthquake-resistant design of earth and rockfill dams. Geotechnique, 29(3), 215-263.

CORRELACIONES

ESPACIALES

DE MEDIDAS DE INTENSIDAD EN LA SERIE SÍSMICA DEL TERREMOTO DE RIDGECREST, CALIFORNIA, DE 2019
A. Abrigo (1) , P. Heresi (2) (1) Universidad Técnica Federico Santa María, alberto.abrigo@sansano.usm.cl (2) Universidad de Chile, pheresi@uchile.cl
RESUMEN/ ABSTRACT
En el contexto de evaluaciones de riesgo sísmico a nivel regional, las correlaciones espaciales son esenciales para analizar cómo varían las medidas de intensidad del movimiento del suelo en distintas ubicaciones durante un terremoto. Este estudio utiliza la serie sísmica de 131 eventos del terremoto de 2019 en Ridgecrest, California, para realizar un análisis detallado de las correlaciones espaciales de la aceleración máxima de terreno (PGA) y ordenadas espectrales en un rango de periodos de 0.1s a 10s. A partir de las correlaciones espaciales empíricas, se propone un modelo de correlación espacial adecuado a las características sísmicas específicas de California, siendo aplicable a terremotos de tipo strike-slip. Los resultados muestran correlaciones espaciales ligeramente más altas que las calculadas en estudios previos. Se realizó una comparación con un modelo de referencia anterior a través de un test t de Welch, el cual permitió identificar diferencias estadísticamente significativas para la mayoría de los periodos de vibración. Finalmente, se analizó la relación entre los parámetros del modelo de correlación espacial y la magnitud del evento sísmico, concluyendo que no existe una correlación significativa entre ellos.
Palabras-Clave: Correlación Espacial, Amenaza Sísmica, Terremoto de Ridgecrest
1. INTRODUCCIÓN
En las evaluaciones de riesgo sísmico a escala regional, es esencial considerar la correlación espacial de las medidas de intensidad del movimiento del suelo (IMs), ya que permite representar el comportamiento simultáneo en múltiples ubicaciones. Si bien los modelos de predicción del movimiento del suelo (GMMs) estiman la mediana y dispersión de las IMs, usualmente no incorporan la dependencia espacial entre los residuales intraevento, lo que puede resultar en una subestimación del riesgo sísmico en sistemas distribuidos [1-2].
Diversos estudios han propuesto modelos empíricos para caracterizar la dependencia espacial de IMs, entre ellos los de Goda & Hong [1], Jayaram & Baker [2] y Heresi & Miranda [3]. Así mismo, investigaciones más recientes han extendido estos enfoques a regiones como Chile [4], Turquía [5] y Nueva Zelanda [6].
En este contexto, la serie sísmica del terremoto de Ridgecrest de 2019 ofrece una base ideal para estimar correlaciones espaciales empíricas del movimiento de terreno, debido a su amplio número de eventos bien registrados en una zona tectónicamente activa [7-8]. Esta investigación presenta el estudio de dichas correlaciones y su comparación con modelos previos, para la aceleración máxima del suelo (PGA) y ordenadas espectrales (Sa) a periodos, T, entre 0.1s y 10s. Finalmente, se estudia la relación entre los parámetros de la correlación espacial y la magnitud del evento.
2. BASE DE DATOS Y FILTRADO DE EVENTOS
Para este estudio se utiliza la base de datos del Center for Engineering Strong Motion Data (CESMD), correspondiente a la secuencia sísmica de Ridgecrest, California, en 2019, compuesta por 131 eventos
de tipo strike-slip con magnitudes entre Mw 3.6 y 7.1, registrados entre el 3 julio y el 18 octubre de 2019. Los registros provienen de redes operadas por USGS, CGS, SCSN, NCSN y BDSN, con hasta 767 estaciones disponibles para el evento principal [7-9]
Para asegurar la calidad de las correlaciones espaciales, se aplicaron dos filtros: (i) se seleccionaron solo eventos registrados por al menos 100 estaciones [10]; y (ii) se consideraron únicamente intervalos de distancia entre estaciones con un mínimo de 10 pares de estaciones. Tras el filtrado, se analizaron 57 eventos distribuidos a lo largo de la zona de cizalla del este de California.
3. ESTIMACIÓN EMPÍRICA Y AJUSTE FUNCIONAL DE LA CORRELACIÓN ESPACIAL
La estimación de la correlación espacial se basa en el análisis de los residuales intraevento obtenidos a partir de modelos de predicción del movimiento del suelo (GMM). Para cada sitio i y evento j, se calcula el residual total como la diferencia entre el valor observado ln Sa(T)!" y el valor estimado por el GMM, donde Sa(T) es la ordenada espectral de pseudoaceleración para un periodo de vibración T Este residual se descompone en dos términos: el término interevento ��(T), común en todas las estaciones del evento, y el término intraevento �� (T), que representa la variabilidad entre sitios dentro de un mismo evento. El GMM utilizado en este estudio es el de Boore et al. (2014) [11]
Para representar la variabilidad espacial intraevento, se calculan las diferencias entre residuales totales de pares de estaciones separadas por una distancia Δ, agrupadas en intervalos de Δ de 3 [km]. A partir de estas diferencias, se estima su desviación estándar �# (Δ, �), la cual representa la dispersión de los residuales entre pares de estaciones separadas a una distancia Δ ± 1.5 [km]. Luego, se utiliza la Ec. 1 para estimar la correlación espacial empírica, �$ (Δ, �)
(Δ, �) =
Ec. 1
donde � ; (�) corresponde a la desviación estándar del término intraevento, la cual se estima a partir de los pares de estaciones con grandes separaciones, bajo la suposición de que la correlación tiende a cero cuando Δ es suficientemente grande. En este estudio, se adopta el intervalo de 90 a 150 [km] para dicha estimación, siguiendo lo propuesto por Heresi & Miranda [3]
Con los valores empíricos de �$ (Δ, �) obtenidos para cada intervalo de distancia y periodo de vibración, se ajusta la función exponencial propuesta por Heresi & Miranda [3], la cual se presenta en la Ec. 2. �$ = (Δ, �) = ��� A Δ � (�)C&(( )
Ec. 2
donde los parámetros � (�) y � (�) dependen del periodo de vibración T. El parámetro � (�) representa la distancia a la cual la correlación decae a � + » 0.386, mientras que � (�) controla la tasa de decaimiento con respecto a la distancia. Ambos parámetros se ajustan para cada periodo de vibración utilizando una regresión no lineal por mínimos cuadrados ponderados. Previo al ajuste, se aplica la transformación z de Fisher [12].
4. RESULTADOS Y ANÁLISIS
La Fig. 1 muestra la comparación entre la correlación espacial promedio obtenida en este estudio y los modelos desarrollados por Heresi & Miranda (2019) [3], Goda & Hong (2008) [1], Shao et al. (2023) [5] y Wen et al. (2024) [13], para las ordenadas Sa(T = 0.1s) y Sa (T = 2.0s). Se observa que, para T = 0.1s, el modelo obtenido en este estudio exhibe un decaimiento más suave que el de Shao et al. [5] y Wen et al. [13], pero más pronunciado que el de Heresi & Miranda [3]. En contraste, el modelo de Goda & Hong [1] presenta una correlación más baja en todo el rango de distancias y para todos los periodos
de vibración. En el caso de T = 2.0s, las diferencias entre modelos se reducen, mostrando comportamientos similares en el rango completo de distancias de separación de estaciones, con diferencias acotadas en la tasa de decaimiento de la correlación espacial.


Fig. 1: Comparación entre el modelo obtenido en este estudio y los estudios realizados por Wen et al. (2024) [13], Shao et al. (2023) [5], Heresi & Miranda (2019) [3] y Goda & Atkinson (2008) [1]. (a) Sa(T=0.1s) ; (b) Sa(T=2.0s).
Para comparar los diferentes modelos, se utiliza el range de cada uno, definido como la distancia a la cual la correlación espacial decae a � , . Las correlaciones espaciales de este estudio presentan, en general, valores medios range superiores a los obtenidos por el modelo de Heresi & Miranda [3] (ver, por ejemplo, Fig. 1 para T = 0.1s y T = 2.0s), por lo que se realizó una comparación estadística utilizando el test t de Welch. El análisis, efectuado para PGA y once periodos de vibración, mostró que en la mayoría de los periodos las diferencias son estadísticamente significativas (p-value < 0 05), salvo para T = 2s y T = 3s, donde no se identificaron diferencias significativas.
Finalmente, se estudia la relación entre los parámetros del modelo ajustado (i.e., � (�) y � (�), ver Ec. 2) y la magnitud de momento (Mw) de los eventos considerados. Los resultados muestran que no se identifica una dependencia sistemática o significativa entre la magnitud del evento y los parámetros de correlación espacial (p-value > 0.05). Este resultado es consistente con estudios previos, como los de Heresi & Miranda [3], quienes también reportan una alta dispersión atribuible a la influencia de otras variables, como las condiciones de sitio o las características de la fuente sísmica.
5. CONCLUSIONES
En este estudio se calcularon correlaciones espaciales empíricas del movimiento de suelo para 57 eventos de la serie sísmica de Ridgecrest, California, de 2019, para la aceleración máxima del suelo y ordenadas espectrales a periodos de vibración entre 0.1 s y 10 s. Se observa que las correlaciones obtenidas tienen un decaimiento más lento a medida que aumenta el periodo de vibración, lo que sugiere una mayor coherencia espacial en el contenido de baja frecuencia del movimiento sísmico. Las curvas promedio obtenidas se comparan con modelos existentes (Heresi & Miranda [3], Goda & Hong [1], Shao et al. [5], Wen et al. [13]), mostrando una concordancia general, aunque con diferencias relevantes en distancias cortas En particular, se encontró una diferencia estadísticamente significativa entre la correlación media de los 57 eventos analizados en este estudio y el modelo medio de Heresi & Miranda [3], obtenido con 39 eventos corticales en diferentes regiones del mundo.
En general, no se identifica una relación significativa entre la magnitud del evento y los parámetros que controlan el decaimiento de la correlación espacial. Este resultado es consistente con estudios previos que destacan la influencia dominante de factores locales y características de la fuente. Finalmente, este estudio proporciona una caracterización empírica detallada de la correlación espacial del movimiento de suelo en una región tectónicamente activa, utilizando una base de datos extensa y representativa. Los resultados obtenidos son especialmente relevantes para aplicaciones en simulaciones sísmicas regionales, generación de escenarios de amenaza multisitio y evaluaciones de riesgo en sistemas distribuidos, como redes de infraestructura crítica.
6. AGRADECIMENTOS
Los autores agradecen el acceso a la base de datos sísmicos provista por el Center for Engineering Strong Motion Data (CESMD), indispensable para la realización de los análisis presentados. El primer autor agradece a la Universidad Técnica Federico Santa María por la beca Magíster Científico/Tecnológicos USM. El segundo autor agradece a los proyectos ANID FONDECYT Iniciación en Investigación 11230463, y ANID ANILLO EASER (Evolution Assessment of Seismic Risk) ACT240044.
REFERENCIAS.
[1] Goda K, Hong H P. Spatial Correlation of Peak Ground Motions and Response Spectra. Bulletin of the Seismological Society of America 2008; 98: 354 – 365.
[2] Jayaram N, Baker J W. Correlation model for spatially distributed ground-motion intensities. Earthquake Engineering & Structural Dynamics 2009; 38: 1687 – 1708.
[3] Heresi P, Miranda E. Uncertainty in intraevent spatial correlation of elastic pseudo-acceleration spectral ordinates. Bulletin of Earthquake Engineering 2019; 17: 1099 – 1115.
[4] Aldea S, Heresi P, Pastén C. Within-event spatial correlation of peak ground acceleration and spectral pseudo-acceleration ordinates in the Chilean subduction zone. Earthquake Engineering & Structural Dynamics 2022; 51: 2575 – 2590.
[5] Shao G, Wen R, Wang H, Ren Y, Zhou B. Spatial correlations in ground motion intensity measuring from the 2023 Türkiye earthquake. Earthquake Research Advances 2024; 4: 100231.
[6] Chen Y, Bradley B A, Baker J W. Nonstationary spatial correlation in New Zealand strong groundmotion data. Earthquake Engineering & Structural Dynamics 2021; 50: 3421 – 3440.
[7] Shelly D R. A High-Resolution Seismic Catalog for the Initial 2019 Ridgecrest Earthquake Sequence: Foreshocks, Aftershocks, and Faulting Complexity. Seismological Research Letters 2020; 91: 1971 – 1978.
[8] Filippitzis F, Kohler M D, Heaton T H, Graves R W, Clayton R W, Guy R G, Bunn J J, Chandy K M. Ground motions in urban Los Angeles from the 2019 Ridgecrest earthquake sequence. Earthquake Spectra 2021; 37: 2493 – 2522.
[9] Rekoske J M, Thompson E M, Moschetti M P, Hearne M G, Aagaard B T, Parker G A. The 2019 Ridgecrest, California, Earthquake Sequence Ground Motions: Processed Records and Derived Intensity Metrics. Seismological Research Letters 2020; 91: 2010 – 2023.
[10] Goda K. Interevent Variability of Spatial Correlation of Peak Ground Motions and Response Spectra. Bulletin of the Seismological Society of America 2011; 101: 2522 – 2531.
[11] Boore D M, Stewart J P, Seyhan E, Atkinson G M. NGA-West2 Equations for Predicting PGA, PGV, and 5% Damped PSA for Shallow Crustal Earthquakes. Earthquake Spectra 2014; 30: 1057 – 1085.
[12] Fisher R A. Frequency Distribution of the Values of the Correlation Coefficient in Samples from an Indefinitely Large Population. Biometrika 1915; 10: 507 – 521.
[13] Wen P, Zhou B, Shao G. A New Spatial Variation Model for Ground-Motion Intensities Combined with Correlation and Coherency. Seismological Research Letters 2024; 95: 2239 – 2250.



ESTIMATION OF Vs PROFILES FROM STRONGMOTION RECORDS
F Leyton (1)
(1) Centro Sismológico Nacional, Universidad de Chile, leyton@csn.uchile.cl
ABSTRACT
Recently, the number of strongmotion stations deployed all over the world has increase notably, enabling the recording of large numbers of strongmotion accelerograms. While being a source of significant information for the community, this data losses relevance if sites are not properly characterized. In this study, I propose to retrieve 1D S wave velocity (Vs) profile using only strongmotion records from the respective station. I analyze data from moderate earthquakes, retrieving parameters such as horizontal-to-vertical spectral ratios of vertically incident body waves (eHVSR) and noise (nHVSR), and Rayleigh wave's ellipticity & phase velocity. This information is used to estimate the corresponding Vs profile, opening a line to characterize strongmotion sites.
Keywords: Vs profiles estimation, strongmotion records, site characterization
1. INTRODUCCIÓN
In recent years, the number of strongmotion stations deployed all over the world has increase notably, being an example the Chilean National Network [1]; this has enabled the recording of large numbers of strongmotion accelerograms [2] While being a source of significant information for the community, this data losses relevance if the sites are not properly characterized. In this study, I propose to retrieve 1D S wave velocity (Vs) profile using only strongmotion records from the respective station. I analyze data from moderate earthquakes, retrieving parameters such as horizontal-to-vertical spectral ratios (HVSR) of vertically incident body waves (eHVSR) and noise (nHVSR), and Rayleigh wave's ellipticity & phase velocity. Using a non-linear inversion thecnique, this information is used to estimate the corresponding Vs profile.
Here, I present some preliminary results that need to be further analyzed to clearly define its limitation. Nevertheless, an interesting new line of research is opened to characterize strongmotion site, enabling a better use of the rich information being collected by strongmotion networks.
2. DATA AND METHODOLOGY
We consider data from the CSN’s Strongmotion Database [2] that consists of records of PGA > 0.02 g, value used as trigger. The distribution of records as a function of magnitude and hypocentral distance are presented in Figure 1, left This database is composed of 3936 events, with a total of 20351 3-component, acceleration records. From these records, we select records from events with magnitudes Mw >= 5.0 and registered at epicentral distances > 5*depth, these records are presented in Figure 1, right.
To estimate the phase velocity dispersion curves (DC), we computed the S Transform [3] of the vertical components, between 0.01 and 1 Hz; this frequency range was determined by trial-and-error. Given that we know the distance, we can compute the slowness using: s = (time from origin)/(hypocentral distance) Eq. 1
We search for energy only between s = (0.2,0.6) s/km, equivalent to phase velocities c = (1.67,5.0) km/s, appropriate for studied the area. In this slowness-frequency range, we look for energy with clear signals of dispersion: slowness as a function of frequency; examples are shown in Figure 2. Finally, all dispersion curves form a single station is averaged to obtain the final dispersion curve (DC)


Fig. 1 Left: Distribution of records of the CSN’s Strongmotion Database as a function of hypocentral distance and magnitude, along with the corresponding histograms Right: distribution of the selected records


Fig. 2: Examples of determination of phase velocities dispersion curve (DC) from vertical records. Left panels show the trace, as a function of time from the Origin. Right panels show its corresponding S Transform; note the change of the vertical units from time to slowness, by dividing with the hypocentral distance (Eq. 1)
From the previous section, we were able to define records with Rayleigh waves; considering only these records, we compute the ellipticity. We rotated the horizontal components to Radial & Transverse and compute the radial-to-vertical spectral ratio, in the time window with known dispersion. Finally, we average all results for each station, along with the standard deviation. Examples are shown in Figure 3
To compute the earthquakes’ HVSR, we follow [4], briefly explained here. We define 3-time windows (see Figure 4, left): noise: before P wave arrival (nHVSR), signal: from S wave arrival (eHVSR), and coda: after the Signal window; for each one I used a duration of 40.96 s. Then, each one is cut, tapered, and converted into frequency, where we compute the horizontal-to-vertical spectral ratio. Note that the horizontal considers the energy of both components. An example is shown in Figure 4, right.


Fig 3: Examples of computations of Rayleigh waves’ ellipticity for R12M (right) and T10A (left). Each black line corresponds to the result of a single record, while in red is shown the average and corresponding standard deviation. Details on the procedure are presented on the text.


Fig. 4: Left: example of 3-time windows used in this study: noise, signal, and coda. Right: example of earthquakes’ HVSR; for each one, time windows are considered, following the legend.
3. RESULTS
To do the nonlinear inversion, I used Particle Swarm Optimization [5], due to its capabilities to deal with large number of parameters. In all the cases presented here, I combined Dispersion Curve with either eHVSR, nHVSR or Ellipticity, see examples in Fig 5 Modelling was made following these methodologies:
• Dispersion Curves & Ellipticity: [6]
• eHVSR: Vertically Propagating Body Waves: [4]
• nHVSR: Diffusive Field Approach – surface waves: [7] In general, better results were obtained when using Ellipticity, followed by nHVSR; very few inversions of eHVSR were successful.






Fig. 5. Left panels: results from the inversion considering from 1 to 5 layers + half space, in colored dashed lines (see legend on upper right corner of each panel); black continuous line shows the model from shallow surface waves measurements. Central and right panels: cyan shows the Dispersion Curve (DC) and nHVSR (HVn) of the data, black dashed line represent the best model. Results correspond to R12M (upper panels) and (T10A) lower panels.
4. FINAL REMARKS
In this study, we estimated Vs profiles using only strongmotion data, without any other source of information. Preliminary results show that better results were obtained using Ellipticity, while very few inversions using earthquakes HVSR were successful Further analysis should focus on the limitations that this methodology presents REFERENCES
[1] Barrientos S, and National Seismological Center (CSN) Team. "The seismic network of Chile." Seismological Research Letters 89.2A (2018): 467-474.
[2] Leyton F, García B. "La base de datos de movimiento fuerte del Centro Sismológico Nacional." Obras y proyectos 35 (2024): 15-21
[3] Stockwell R G, Mansinha L, Lowe R P. "Localization of the complex spectrum: the S transform." IEEE transactions on signal processing 44.4 (2002): 998-1001
[4] Nagashima, F et al. "Application of horizontal-to-vertical spectral ratios of earthquake ground motions to identify subsurface structures at and around the K-NET site in Tohoku, Japan." Bulletin of the Seismological Society of America 104.5 (2014): 2288-2302.
[5] Martínez J, Fernández L, et al. "PSO: A powerful algorithm to solve geophysical inverse problems: Application to a 1D-DC resistivity case." Journal of Applied Geophysics 71.1 (2010): 13-25
[6] Ben-Menahem A, Singh SJ Seismic waves and sources. Springer Science & Business Media, 2012.
[7] Wu H et al. "Application of a simplified calculation for full-wave microtremor H/V spectral ratio based on the diffuse field approximation to identify underground velocity structures." Earth, Planets and Space 69.1 (2017): 162



MODELACIÓN DEL PENETRÓMETRO DE BARRA T PARA DETERMINAR LA RESISTENCIA NO DRENADA EN RELAVES MINEROS
B. Bedwell (1) , G. Suazo (2), M. Silva (3) (1) Arcadis Chile, brian.bedwell@arcadis.com (2) Universidad Técnica Santa Maria, gonzalo.suazo@usm.cl (3) GHD, matias.silva@ghd.com
RESUMEN/ ABSTRACT
The focus of the research is the numerical modeling of the T-bar test to analyze the mechanical behavior of a specific tailings material by determining its undrained shear strength. A comparison is made between the data obtained from the test simulation, in situ penetration tests, and laboratory tests conducted on the tailings under study. This study involves a detailed analysis using the finite element methodology, including large deformation analyses with remeshing, employing the coupled Eulerian-Lagrangian approach using Abaqus software. From these analyses, the impact of using different constitutive models to represent the behavior of the tailings is examined, as well as the influence of penetration velocity and other parameters on determining the T-bar factor. Additionally, a literature review is conducted of the various values reported by different authors for the T-bar factor in different soil types. Consistency is observed between the results obtained using Abaqus software and the values reported in the state of the art. The evolution of different failure mechanisms during the T-bar penetration is verified and analyzed, with particular emphasis on the full flow mechanism.
Keywords: T-bar, Full Flow, Undrained shear strength, Tailings, Numerical Modeling, LDFE
1. INTRODUCCIÓN
La barra T corresponde a un penetrómetro de flujo total. Estos tienen la ventaja de requerir una mínima corrección de la tensión vertical in situ en suelos blandos gracias a su gran área proyectada. La resistencia se ve menos afectada por características secundarias del suelo, y cuentan con mecanismos de falla bien definidos que proporcionan una base teórica sólida para determinar el factor del penetrómetro (����), la resistencia a la penetración (��), al corte (����) [1] y sensibilidad del suelo (����).
El ensayo de barra T actualmente es ampliamente utilizado en la industria del petróleo y gas para la caracterización de arcillas blandas no drenadas de baja resistencia emplazadas en suelos marinos [2][3]. Además, este presenta un alto grado de representatividad para la estimación de la resistencia al corte no drenada al correlacionarse con otros ensayos geotécnicos (e.g. Triaxial, Veleta, CPT).
En el presente artículo se estudia la aplicabilidad del ensayo de barra T en relaves mineros con el objetivo de obtener la resistencia no drenada y un factor de barra representativo para este tipo de suelos. Para ello se realiza un análisis de elementos finitos de grandes deformaciones con remallado empleando el enfoque Euleriano-Lagrangiano acoplado utilizando el software Abaqus
2. PENETROMETRO DE BARRA T
La barra T está construida por un vástago cilindro macizo de acero inoxidable de longitud adaptable, el cual se une en el centro de otra barra cilíndrica, construyendo la forma de la letra “T”. La longitud más corta de la barra se introduce en el suelo a una razón constante. Su diseño varía según su uso, definiendo un área proyectada (����) que varía entre 1 a 100[����2] En laboratorio, las barras tienen dimensiones pequeñas (e.g., �� =20����, �� =5����), mientras que las barras para ensayos in situ son más grandes (e.g., �� =250����, �� =40����). La razón de penetración (velocidad de inserción del penetrómetro) afecta directamente la resistencia medida. Una velocidad muy alta genera efectos viscosos, mientras que una velocidad muy baja puede inducir consolidación parcial, ambos efectos aumentan la resistencia medida. Por ello, se establece una tasa óptima de 20[����/��], basada en la
velocidad utilizada en el ensayo CPT La resistencia al corte no drenada (����(��������)) se calcula como la razón entre la resistencia medida (����������) y el factor de barra T (����) según la ecuación Ec. 1: ����(��������) = ���������� ���� Ec. 1
Existen diversas estimaciones para el factor de barra (����) (Tabla 1), la cual no se ve afectada por la presión de poros ni el historial de esfuerzos del suelo. Sin embargo, diferencias entre valores teóricos y experimentales pueden deberse a factores como anisotropía, velocidad de deformación o sensitividad del suelo Si no se desea despreciar la corrección por las tensiones in situ (la cual en teoría debería ser mínima), se puede utilizar la corrección desarrollada por Randolph, 2004 [4]
Tabla 1. Valores típicos factor de barra T. ��
105
105
11.8 15.54
10.98 15.10
Tipo suelos
Empírico Stewart and Randolph, 1991, 1994 [2][3] Soft Clay, Swan River
Empírico Watson, Newson and Randolph, 1998 [1] Silty Clay NC, Timor Sea
Numérico Randolph, Martin and Hu, 2000. Kaolin Clay NC & OC. U.P.
Numérico Randolph, Martin and Hu, 2000 Kaolin Clay NC & OC. L.B. 10.9 12.7
10.75 15.12
Numérico Randolph, 2004. [4] -
Numérico Einav and Randolph, 2005.10.5 12.5
Empírico Lunne et al., 2005.
Onsøy y Burswood Clay clay 11 13
Numérico Randolph and Andersen, 2006
Onsøy Clay, Norway 116 132
Empírico Yafrate and Dejong, 2007
3. METODOLOGÍA Y MODELACIÓN
Onsøy y Gloucester Clay
Dado que el desplazamiento del suelo alrededor de la barra T implica deformaciones significativas, se utiliza un enfoque Euleriano-Lagrangiano para describir el suelo y la barra T, respectivamente. Almeida 2020 [5], emplea el mismo enfoque para el análisis de un suelo blando del lecho marino.
Primero, se caracterizó el material de estudio junto con definir los modelos constitutivos a usar, estos últimos se calibraron con la ayuda de la creación de un modelo auxiliar realizado en el mismo software que replica los ensayos triaxiales (CID y CIU). Posteriormente, se construyó y ejecutó la modelación numérica del ensayo de penetración de barra T en el software en busca de la reacción que el suelo ejerce sobre la barra T (����������). A partir de esta medición se obtuvieron valores representativos del factor de barra (����) para los distintos modelos constitutivos y se generó un perfil de resistencia no drenada, el cual fue comparado con la caracterización inicial del material
La modelación de la penetración se realiza en un entorno tridimensional con un modelo cuarteado representado el suelo como un prisma rectangular de 5,0�� de altura, 0,6�� de ancho y 0,2�� de espesor La simulación se realiza bajo una condición de saturación con distribución hidrostática, no se consideran flujos de agua. En la primera etapa se inicializan las tensiones, impidiendo el movimiento del penetrómetro de barra T en todas sus direcciones, y para la etapa de penetración se permite su desplazamiento. La barra T se asume elástica de acero inoxidable, lo que garantiza su resistencia y evita deformaciones indeseadas durante la penetración El suelo se representa con comportamiento inicial lineal elástico seguido de un comportamiento plástico (Tabla 1) Para la simulación del relave se emplearon las formulaciones disponibles en Abaqus basadas en los criterios de Mohr-Coulomb y Drucker-Prager, así como el modelo constitutivo Cam Clay (Tabla 2)
Tabla 1. Propiedades geotécnicas de relave en estudio.
Tabla 2 Parámetros adicionales para modelos constitutivos Cam Clay y Drucker Prager
Parámetros Elásticos
Ambos
Log Bulk
Modulus (��)
4. RESULTADOS Y ANÁLISIS
Cam Clay
Parámetros Plásticos
Drucker Prager
Ambos
Plas
La Figura 1 muestra la secuencia temporal del movimiento del suelo circundante (Fig.1, a-f) y la distribución de la tensión vertical en el suelo alrededor de la barra (Fig.1, i-vi), ambos durante la penetración de la barra T. Al comienzo predomina una falla global, la cual empuja y levanta el suelo circundante (Fig.1, a y b). Luego se desarrolla una etapa parcial del flujo total, se observa un vacío estable en la corona de la barra T (Fig 1, c y d), denominado mecanismo de flujo de cavidad profunda (símil a CPT). En el momento en que el suelo llega a la corona de la barra T, y la brecha de suelo se cierra, el mecanismo de flujo total se desarrolla (Fig. 1, e y f). Durante la penetración de la barra T, la distribución de presiones generada bajo ella se asemeja a la de una fundación cargada, formando un bulbo de presiones con forma de campana. La presión es máxima en el centro y disminuye hacia los extremos. El tamaño y la forma de este bulbo dependen de factores como la velocidad de penetración, la geometría de la barra T y las propiedades del suelo. En la imagen (i) se muestra la distribución de presiones para la condición geoestática. En la imagen (ii) se observa el comienzo de la generación de sobrepresiones por debajo de la base de la barra T. En la imagen (iii) y (iv) se observa que el bulbo de presiones alcanza valores máximos en el centro de la base de la barra T (color azul), mientras que hacia los extremos las sobrepresiones generadas son menores (colores amarillos a rojizos). En la imagen (v) y (vi) se observa que la extensión en profundidad del bulbo de presiones se estabiliza, alcanzado profundidades de en torno a 5 a 7 diámetros de barra T. Por último, la imagen (vi) muestra la generación de presiones sobre la barra T producto del desarrollo del mecanismo de flujo total.





a) b) c) d) e)





Fig. 1. Secuencia temporal de penetracion de la barra T.


En la Figura 2 se muestran los vectores de velocidad durante la penetración. En la imagen (a) las direcciones de los vectores son mayoritariamente en el mismo sentido que la dirección de movimiento de la barra T. Esta condición cambia en las imágenes (b) y (c), ya que se observa la generación de un área esférica circundante a la barra T En la imagen (c) se observa un arco casi completo alrededor de la barra, lo cual representa el desarrollo del mecanismo de flujo total En la Figura 3 se muestran los factores de barra obtenidos para los modelos constitutivos utilizados versus el desplazamiento normalizado. Los modelos Mohr Coulomb y Cam Clay indican valores promedio de factor de barra entre ���� =9,5 y ���� =10,5, mientras que Drucker Prager entre ���� =8,5 y ���� =9,5. A pesar de la oscilación, estos resultados son coherentes con el orden de magnitud reportado por otros autores (Tabla 1) Considerando un valor de ���� =10, la resistencia normalizada (������������/���� ′) obtenida en los primeros centímetros de penetración no es concluyente ya que no se desarrolla el mecanismo de flujo total, mientras que a mayores profundidades (más de 25 cm) decrece hasta estabilizarse alrededor de ������������/���� ′ =0,18 a partir de los 2,5 metros. Los resultados de la simulación muestran oscilaciones
significativas, la resistencia al corte normalizada es inferior a la reportada por los ensayos CPTu, que se aproxima a ������������/���� ′ =0,25, y también es menor que la derivada de los ensayos triaxiales.



a) b) c)
Fig. 2. Evolución de vectores de velocidad.

Fig. 3. Factor de barra obtenido
En cuanto a la sensibilidad de los resultados se encontró que las simulaciones con velocidad de penetración más rápida (0,2��/��) mostraron una sobre resistencia del 15 20% comparado con la velocidad estándar, aunque son una alternativa aceptable. Sin embargo, la velocidad estándar (0,02��/��) aumenta el tiempo de cálculo entre siete y nueve veces. Respecto a los parámetros secundarios, una disminución del coeficiente de rugosidad de la interfaz reduce ligeramente la resistencia, mientras que omitir el vástago de empuje en la modelación incrementa la resistencia y el factor de barra (����), debido a la menor área de contacto con el suelo.
5. CONCLUSIONES, FUTUROS
DESARROLLOS Y AGRADECIMIENTOS
La modelación del ensayo de barra T permite representar el comportamiento de flujo total y proporciona la resistencia del suelo sobre la barra (����������) y permite calcular el factor de barra (����) para el relave estudiado. Para los modelos Mohr Coulomb, Cam Clay y Drucker Prager, ���� adopta valores un 5% a 10% menores que los reportados para suelos marinos. La resistencia normalizada (������������/���� ′) obtenida desde la simulación se estabiliza a partir de 2,5 m de profundidad para un suelo homogéneo y resulta ser inferior a la resistencia estimada en ensayos CPTu y triaxiales Como futuros pasos se propone implementar ensayos de barra T a escala de laboratorio para comparar resultados, prestando atención al diseño, materialidad e instrumentación de la barra, tomando como referencia el trabajo de Chung 2005 [6], con el objetivo final de realizar pruebas in situ del penetrómetro debarra T Finalmente, sincero agradecimiento a José Campaña, por la revisión detallada de este documento. Sus observaciones y sugerencias contribuyeron para mejorar la calidad y precisión de este trabajo
6. REFERENCIAS
[1] Watson PG, Newson T, Randolph M. Strength profiling in soft offshore soils. In: Robertson PK, Mayne PW, editors. Geotechnical Site Characterization. Rotterdam, The Netherlands: CRC Press/Balkema; 1998. p. 1389-1394.
[2] Stewart DP, Randolph MF. A new site investigation tool for the centrifuge. In: Proceedings of the International Conference Centrifuge '91; 1991. p. 531-538.
[3] Stewart DP, Randolph MF. T-bar penetration testing in soft clay. J Geotech Eng. 1994;120(12):2230-2235. doi: 10.1061/(ASCE)0733-9410(1994)120:12(2230).
[4] Randolph M. Characterisation of soft sediments for offshore applications. In: Da Fonseca AV, Mayne PW, editors. Proceedings of the 2nd International. Rotterdam, The Netherlands: Millpress Science; 2004. p. 209-232.
[5] Almeida M. Numerical Modelling of the T-bar penetrometer Instituto Superior Técnico, Technical University of Lisbon Lisbon, Portugal, 2020.
[6] Chung SF. Characterisation of soft soils for deep water developments [Ph.D. thesis]. School of Civil and Resource Engineering; 2005.



CALIBRACIÓN MULTIPARAMÉTRICA DE MODELOS UNIDIMENSIONALES PARA SIMULAR LA RESPUESTA SÍSMICA EN DEPÓSITOS CON ESTRATOS LICUABLES
K. Orozco (1) , S. Arango-Serna, S. Lagos, E. Pinto, M.J. Nieto (1) Universidad Católica Luis Amigó (Medellín, Colombia), karen.orozcoco@amigo.edu.co
RESUMEN
Este estudio presentó un protocolo de calibración multiparamétrica para modelos numéricos unidimensionales, orientado a representar la respuesta sísmica en depósitos con estratos potencialmente licuables. Se emplearon modelos desarrollados en Cyclic1D para los sitios instrumentados Garner Valley Downhole Array (GVDA) y Wildlife Liquefaction Array (WLA), calibrados a partir de registros sísmicos reales. La validación del ajuste se basó simultáneamente en el espectro de pseudoaceleración en superficie y en el perfil de exceso de presión de poros máximo, empleando métricas estadísticas rigurosas como el Error Porcentual Absoluto Medio (MAPE), coeficiente de determinación R², entre otros. Los modelos finales obtuvieron valores de MAPE menores al 20% en el espectro de respuesta, y menores al 7% en el exceso de presión de poros, clasificándose como ajustes buenos a excelentes. Como resultado, se logró reproducir con precisión acelerogramas y desplacigramas en superficie, con errores inferiores al 8 % en PGA y PGD. Este enfoque demostró ser eficaz para calibrar modelos de respuesta sísmica, incluso sin recurrir a ensayos cíclicos de laboratorio, siempre que se cuente con registros sísmicos de campo.
Palabras clave: Respuesta sísmica; elementos finitos; licuación de suelos; espectros de respuesta; subducción.
1. INTRODUCCIÓN
La evaluación precisa de la respuesta sísmica en suelos susceptibles a licuación sigue siendo uno de los mayores desafíos de la ingeniería geotécnica moderna. En estos depósitos, la generación de exceso de presión de poros durante un sismo modifica la rigidez y la propagación de ondas, afectando directamente las demandas estructurales. No obstante, la mayoría de modelos numéricos se calibran únicamente con espectros de pseudoaceleración, sin considerar parámetros que representen los efectos hidrogeotécnicos asociados, lo que limita su capacidad predictiva. Para superar esta limitación, el presente estudio propone una calibración multiparamétrica que integra el ajuste simultáneo del espectro de respuesta y del perfil de presión de poros máximo. La metodología se aplicó en los sitios Garner Valley Downhole Array (GVDA) y Wildlife Liquefaction Array (WLA), utilizando modelos en Cyclic1D, con el propósito de establecer un protocolo robusto y reproducible que mejore la fidelidad de las simulaciones y su aplicabilidad en centros de monitoreo sísmico.
2. METODOLOGÍA
Se construyeron modelos numéricos unidimensionales en Cyclic1D para simular la respuesta sísmica de los sitios instrumentados Garner Valley Downhole Array (GVDA) y Wildlife Liquefaction Array (WLA), ambos con estratos potencialmente licuables y configuraciones estratigráficas contrastantes, documentadas en http://nees.ucsb.edu. La información geotécnica incluyó perfiles Vs, propiedades físico-mecánicas derivadas de ensayos CPTu y profundidad del nivel freático. Se realizó una calibración multiparamétrica que consideró simultáneamente el ajuste del espectro de pseudoaceleración (PSA) en superficie y del perfil de exceso de presión de poros máximo (Δumax). Luego de definir un modelo geométrico inicial y verificar la capacidad del modelo de replicar la respuesta sísmica elástica observada, se introdujeron las propiedades del modelo constitutivo Pressure-Dependent Multiyield Surface (PDMY), realizando ajustes iterativos en los parámetros clave hasta lograr un ajuste conjunto de espectros y presión de poros. La calidad del ajuste espectral se evaluó mediante cuatro métricas estadísticas: NRMSE ≤ 0.10, MAPE ≤ 20%, R² ≥ 0.95 y cosθ ≥ 0.98; mientras que para el perfil de Δumax
se exigió un MAPE ≤ 10% entre valores simulados y observados. El modelo de GVDA se calibró con el sismo de Borrego Spring (10/07/2010, Mw = 5.4), correspondiente al evento con mayor razón de exceso de presión de poros registrada en el sitio (ru ≈ 13%). En WLA, la calibración se realizó con el sismo del 27/08/2012 (Mw = 4.9), asociado al enjambre sísmico de Brawley, evento con mayor razón de exceso de presión de poros registrada en el sitio en los últimos 20 años (ru ≈ 55%)
3. RESULTADOS
El modelo de GVDA consideró un perfil de 90 m de profundidad (hasta la roca en el sitio) con base rígida, dividido en siete estratos y discretizado en elementos finitos de 0.5 m. Para alcanzar el ajuste requerido se procesaron 42 modelos distintos. En el caso de WLA, el perfil tuvo una profundidad de 30 m (hasta el acelerómetro profundo) con base elástica, dividido en seis estratos con igual tamaño de elemento. El ajuste de este modelo exigió 65 simulaciones. Los parámetros finales calibrados de ambos modelos se presentan en la Tabla 1
Tabla 1 Parámetros básicos de los suelos de los modelos de GVDA y WLA calibrados
En la Fig. 1 se comparan los espectros de pseudoaceleración en superficie obtenidos para WLA (izquierda) y GVDA (derecha), a partir de los modelos con mejor ajuste. En ambos casos se observa una excelente correspondencia entre el modelo numérico y el espectro observado, con valores de cosθ y R² superiores a 0.96. En GVDA, todos los indicadores presentan un ajuste sobresaliente, con un MAPE inferior al 10%, mientras que en WLA se obtiene un MAPE cercano al 20%, atribuible a discrepancias en los periodos entre 0.5 s y 4 s. Estas diferencias en WLA se asocian a la pérdida de información al emplear como sismo de entrada un registro a 30 m de profundidad sobre un perfil de suelo y no uno en roca, lo que altera la transferencia de energía en esas bandas de periodo. Aun así, la aceleración espectral máxima muestra una excelente correspondencia en ambos sitios.
En la Fig. 2 se compara, para el sitio GVDA, el perfil del exceso de presión de poros máximo (Δumax) obtenido en campo (círculos rojos) con los resultados de dos modelos numéricos que mostraron un excelente ajuste en el espectro de pseudoaceleración superficial (ambos con MAPE <10%): el Modelo 3 y el Modelo 4, este último seleccionado como modelo final calibrado. Si bien ambos modelos replicaron adecuadamente la respuesta espectral, los resultados demuestran que esto no garantiza una correcta simulación del desarrollo de presión de poros. El modelo final (No. 4) muestra una correspondencia significativamente superior con los datos de campo, alcanzando un MAPE de 5.3 % en Δumax. De forma análoga, en el sitio WLA, el modelo final obtuvo un MAPE de 6.5%, lo que valida la eficacia del proceso de calibración multiparamétrica aplicado en ambos casos.

Fig. 1. Ajuste espectral entre el modelo calibrado y los registros en campo para WLA y GVDA.


Fig. 2 Comparación del exceso de presión de poros máximo (Δumax) obtenido en campo y en modelos calibrados para el sitio GVDA
En la Fig. 3 se compara el registro en superficie del sitio GVDA con los resultados del modelo final calibrado, tanto en aceleración (izquierda) como en desplazamiento (derecha). Los acelerogramas muestran una alta concordancia, especialmente en las aceleraciones máximas (PGA) y su tiempo de ocurrencia, con errores menores al 3%. El modelo también reproduce con precisión el contenido frecuencial de la señal, reflejando una buena representación del comportamiento dinámico del sitio. Los desplacigramas evidencian una buena correspondencia entre el desplazamiento máximo (PGD) observado y el simulado con errores menores al 8%. Estos resultados confirman que lograr un ajuste simultáneo del espectro de pseudoaceleración y del perfil de presión de poros mejora significativamente
la representatividad del modelo y permite reproducir con alta precisión la respuesta del sitio, pese a las simplificaciones de los modelos unidimensionales.


Fig. 3. Comparación entre el modelo calibrado y el registro de campo en superficie para GVDA: acelerograma (izquierda) y desplacigrama (derecha).
3. CONCLUSIONES
Los resultados confirman que la calibración multiparamétrica, basada en el ajuste simultáneo del espectro de pseudoaceleración en superficie y del perfil de exceso de presión de poros, permite reproducir con alta fidelidad la respuesta dinámica de depósitos con estratos potencialmente licuables. Esta doble condición de ajuste fue esencial para generar registros simulados de aceleración y desplazamiento coherentes con el comportamiento observado en campo, pese a las limitaciones inherentes de los modelos unidimensionales, como la imposibilidad de representar efectos tridimensionales o particularidades geométricas del sitio. Durante el proceso de ajuste se observó que cumplir los criterios espectrales tradicionales (MAPE, NRMSE, R² y cosθ) no garantiza por sí solo una adecuada representación de la evolución de la presión de poros, lo que resalta la importancia de incorporar este parámetro como criterio de validación adicional, especialmente en depósitos susceptibles a licuación. Estos hallazgos coinciden con investigaciones previas, como las desarrolladas en la Universidad de Colorado en Boulder, donde se demostró que la calibración a partir de datos de entrada y salida (por ejemplo, en ensayos de centrífuga) ofrece una representación más realista del comportamiento del suelo que las estrategias basadas únicamente en ensayos de laboratorio [1]. Finalmente, el algoritmo de calibración propuesto constituye un protocolo claro y reproducible para ajustar modelos numéricos en contextos con información sísmica de campo, siendo de especial utilidad en el Centro de Observación y Análisis de Suelos Licuables de Aguablanca (COALA), recientemente implementado en Colombia [2].
REFERENCIAS
[1] J. Ramirez et al., “Site Response in a Layered Liquefiable Deposit: Evaluation of Different Numerical Tools and Methodologies” J. Geotech. Geoenvironmental Eng., vol. 144, no. 10, Oct. 2018, doi: 10.1061/(ASCE)GT.1943-5606.0001947.
[2] S. Arango-Serna, L. Gallo, J. H. Zambrano, A. Cruz, E. Sandoval, and P. Thomson, “New seismic monitoring center in South America to assess the liquefaction risk” J. Seismol., no. 0123456789, Mar. 2023, doi: 10.1007/s10950-023-10142-y



COMPARACIÓN DE MÉTODOS DE CÁLCULO DE CAPACIDADES PARA FUNDACIONES PROFUNDAS EN PROYECTO UBICADO EN EL SUR DE CHILE
D Raddatz (1) , A Figueroa (2) , V Rojas (3), L. Contreras (4) (1) Stantec, dennis.raddatz@stantec.com (2) Stantec, alan.figueroa@stantec.com (3) Stantec, valentina.rojas@stantec.com (4) Stantec, luis.contreras@stantec.com
RESUMEN/ ABSTRACT
Este estudio presenta los resultados obtenidos con la aplicación de métodos de cálculo de capacidades para fundaciones profundas mediante pilotes y micropilotes. Se describen los distintos métodos utilizados para el cálculo, basados en exploraciones in situ mediante SPT (Standard Penetration Test) y CPTu (Cone Penetration Test with pore pressure measurement). Los datos empleados corresponden a un caso real ubicado en el sur de Chile, proporcionando un contexto práctico y relevante para la evaluación de estos métodos. La completa exploración geotécnica realizada para la caracterización del proyecto permite contar con ensayos de laboratorio y variados ensayos in situ para un mismo punto de exploración. Finalmente, se analizan y comparan los resultados obtenidos por los distintos métodos de forma gráfica, permitiendo realizar conclusiones sobre las variaciones en los valores de asentamiento y capacidad entre los diferentes métodos, y destacando la importancia de seleccionar el método adecuado según las características específicas del suelo y las condiciones del sitio.
Palabras-Clave: fundaciones profundas; pilotes; micropilotes; capacidad
1. INTRODUCCIÓN
La estimación precisa de la capacidad portante en fundaciones profundas constituye un aspecto crítico en el diseño geotécnico. En este contexto, el presente trabajo compara distintos métodos de cálculo aplicados a pilotes y micropilotes, utilizando datos provenientes de una campaña de exploración geotécnica exhaustiva realizada para un proyecto en el sur de Chile. La disponibilidad de ensayos in situ (SPT y CPTu) para los mismos puntos de exploración permite realizar un análisis detallado de la estratigrafía, lo que facilita evaluar el desempeño y las diferencias entre los métodos seleccionados. Esta comparación busca aportar criterios técnicos que respalden la selección del método de cálculo más adecuado en función de las condiciones geotécnicas y del sistema de fundación. Los resultados de capacidad en pilotes y micropilotes se entregan de forma gráfica para cada uno de los perfiles, lo que permite comparar los métodos en una misma escala. Las figuras presentan la descomposición en componentes de capacidad de punta y fuste para pilotes, y presentan la capacidad de fuste para micropilotes.
2. DESCRIPCIÓN
GEOTÉCNICA DE LOS PUNTOS ESCOGIDOS
Considerando la heterogeneidad del subsuelo en el sitio, se seleccionaron cuatro perfiles estratigráficos representativos con mediciones SPT y CPTu obtenidas en el mismo emplazamiento. En cada uno de los perfiles se revisó la estratigrafía y se definieron parámetros característicos para cada estrato de resistencia por punta (����) y por fuste (����) derivados del CPTu, junto con el ��60 del SPT, utilizados como datos de entrada para los procedimientos de cálculo de capacidad de fundaciones profundas empleados en este trabajo. A continuación se ilustran gráficamente los cuatro perfiles seleccionados, los cuales ponen de manifiesto la variabilidad geotécnica del sitio y sintetizan condiciones características de distintas áreas del proyecto:

Fig. 1 Perfiles Geótécnicos Seleccionados.
3. MÉTODOS DE CÁLCULO DE CAPACIDADES EN FUNDACIONES PROFUNDAS
3.1 Métodos de Cálculo en Pilotes
La capacidad axial última de un pilote se expresa mediante la Ec.1, como la suma de las resistencias en la base (����) y fuste (����) [1], cuyos valores se determinan multiplicando las resistencias unitarias (����,����) por las áreas correspondientes de punta (����), y fuste (������).
Ec. 1
El método de Bustamante y Gianeselli o LCPC [2], define resistencias unitarias según la Ec 2 y la Ec. 3 Donde ���� y ���� son factores adimensionales que dependen del tipo de suelo y resistencia por punta del CPTu, ������ Se restringen valores máximos para resistencia unitaria [3]
2
3
El método de Eslami y Fellenius entrega resultados directos a partir del CPT [4] Para la resistencia unitaria en punta, ���� (ver Ec 4), el método utiliza el ����,��������, resistencia en punta efectiva promedio. La resistencia unitaria en fuste, ����, se utiliza ����, un factor adimensional que depende del tipo de suelo
Ec. 4
Ec. 5
La norma alemana DIN 4014 estima la capacidad de pilotes mediante una curva empírica carga–asentamiento [5]. En suelos granulares, las capacidades se determinan mediante resultados del CPTu o a partir de correlaciones con SPT. En suelos cohesivos, se basan directamente en la resistencia al corte no drenada (����). La norma establece valores máximos de resistencia unitaria para punta y fuste.
3.2 Métodos de Cálculo en Micropilotes
En el caso de micropilotes, el mecanismo resistente está dominado por la fricción [6]. La resistencia se obtiene como área del manto multiplicada por su resistencia unitaria Además, se introduce un factor de amplificación del diámetro que representa los efectos durante perforación e inyección [7].
El método de Bustamante para el cálculo de micropilotes se basa en resultados de ensayos de presiómetro [6], correlacionados con valores de SPT. Permite estimar la capacidad unitaria por fricción (����), diferenciando entre tipos de suelos y tipos de inyección.
El método de cálculo propuesto por Lizzi [8], también conocido como método de pali radice, se basa en valores empíricos de capacidad unitaria asignados según el tipo de suelo y diámetro. Estos valores se presentan en tabla. En este trabajo se ha utilizado la clasificación por Eslami y Fellenius [4].
En el método de Fujita los parámetros de adherencia pueden definirse a partir de ensayos de campo [9], tipo de suelo o correlaciones con ensayos in situ La relación de la capacidad unitaria (����) con valores del SPT, se hace por medio de una recta, donde sus características dependen del tipo de suelo.
4. CÁLCULO DE CAPACIDADES
En la Fig. 2 se presentan los resultados de capacidad última de carga axial desglosadas en resistencias por punta y fuste para unpilote de hormigón armado de 18 m de longitud y 1m de diámetro. La selección indicada previamente tiene un sustento de criterio ingenieril y de experiencia en Chile. Mientras que la Fig. 3 presenta los resultados de capacidad para un micropilote de 18 m de longitud, 73 mm de diámetro e inyección IGU. Estos parámetros se definen por criterio ingenieril y práctica en Chile.




Fig. 2. Capacidad axiales para pilote de 18 m de largo y 1 m de diámetro en los 4 perfiles.




Fig. 3. Capacidad axiales para micropilote de 18 m de largo y 73 mm de diámetro en los 4 perfiles.
5. CONCLUSIONES
Los resultados obtenidos para pilotes indican que las capacidades de carga calculadas conforme a la norma DIN 4014, utilizando parámetros derivados tanto de SPT como CPT, presentan una similitud prácticamente total. Esta concordancia sugiere que las correlaciones establecidas entre ambas metodologías de exploración, junto con la aplicación de límites superiores a las resistencias unitarias, permiten alcanzar estimaciones consistentes y coherentes entre ambos métodos de exploración in situ
Al aplicar la norma DIN 4014 en pilotes, se aprecia una reducción significativa en la contribución a la resistencia de la punta respecto a los otros métodos, debido a las limitaciones de resistencia más conservadoras establecidas por la norma.
Para micropilotes, y para los cuatro perfiles evaluados, el método de Fujita entrega las mayores capacidades ultimas, mientras que el de Lizzi proporciona las más conservadoras. Esta tendencia se mantiene incluso al aplicar la restricción propia del enfoque de Fujita, que limita el valor de SPT considerado para arenas densas a un máximo de ��60= 40 golpes/30 cm. En consecuencia, se recomienda cautela al emplear este método, especialmente considerando que estudios experimentales previos han identificado una sobreestimación de capacidad con su aplicación [10].
Las capacidades presentadas corresponden a la capacidad última, determinada a partir de la interacción suelo-fundación. La capacidad estructural de los elementos de fundación no ha sido considerada como variable en este análisis. Asimismo, para la determinación de las capacidades admisibles, deberán aplicarse los factores de seguridad establecidos por la normativa vigente
La comparación de resultados entre perfiles, tanto en micropilotes como en pilotes, revela una marcada variabilidad. Por ello, es clave delimitar el rango de esa variación y zonificar en perfiles representativos.
6. AGRADECIMENTOS
Agradecemos sinceramente a la empresa EDF Power Solutions por su valiosa colaboración y disposición para facilitar los datos necesarios para el desarrollo de este trabajo.
7. REFERENCIAS
[1] Das B M. Fundamentos de ingeniería geotécnica. México: Cengage Learning; 2015.
[2] Bustamante M, Gianeselli L. Pile bearing capacity prediction by means of static penetrometer CPT. In: Proceedings of the 2nd European Symposium on Penetration Testing; 1982. p.493-500.
[3] Fellenius BH. Basics of Foundation Design. 2nd ed. Sidney, BC, Canada: Electronic Edition; 2017. Disponible en: https://www.fellenius.net
[4] Eslami A, Fellenius B H. Pile capacity by direct CPT and CPTu methods applied to 102 case histories. Canadian Geotechnical Journal 1997; 34(6): 886-904.
[5] DIN 4014. Bored cast-in-place piles. Formation, design and bearing capacity. Berlin: Deutsches Institut für Normung; 1990.
[6] Bustamante M. Un método para el cálculo de los anclajes y los micropilotes inyectados. Boletín de la Sociedad Española de Mecánica del Suelo y Cimentaciones; 1986.
[7] Dirección General de Carreteras de España. Guía para el diseño y la ejecución de anclajes al terreno en obras de carretera. Madrid: Ministerio de Fomento; 2001
[8] Lizzi F. The pali radice (root piles) - a soil reinforcing system. In: Proceedings of the Conference on Soil Mechanics and Foundation Engineering. Stockholm: ICSMFE; 1981. p. 617-623.
[9] Fujita K, Ueda K, Kusabuka M. A method to predict the load-displacement relationship of ground anchors. Revue Française de Géotechnique 1978; (3): 58-62.
[10] Kuncar F, Mancilla C, Taiba O. Estudio experimental de la interacción bulbo-suelo en anclajes postensados inyectados en arenas eólicas del sector Reñaca-Concón. X Congreso Chileno de Geotecnia (SOCHIGE); 2018.



EFECTOS DE LA LICUACIÓN EN LOS ESPECTROS DE RESPUESTA DE DEPÓSITOS DE SUELO CON ESTRATOS POTENCIALMENTE LICUABLES
E. Pinto (1) , S. Arango-Serna, S. Lagos, K. Orozco, M.J. Nieto (1) Universidad Católica Luis Amigó (Medellín, Colombia), edward.pintoro@amigo.edu.co
RESUMEN
Esta investigación evalúa el efecto de la saturación del estrato potencialmente licuable y la consecuente generación de exceso de presión de poros sobre los espectros de respuesta en superficie, los cuales son un parámetro clave en el diseño sismorresistente. Para ello, se emplearon modelos numéricos previamente calibrados, correspondientes a dos centros de monitoreo sísmico con estratos licuables y configuraciones estratigráficas contrastantes: Garner Valley Downhole Array (GVDA) y Wildlife Liquefaction Array (WLA). Cada modelo fue sometido a 100 sismos de subducción, seleccionados del CSN de Chile y del SSN de México, bajo dos escenarios: (i) estrato licuable completamente saturado y (ii) estrato licuable no saturado. Los resultados mostraron que, cuando la razón de exceso de presión de poros supera el 92% las aceleraciones espectrales en periodos cortos se reducen hasta en un 55%, mientras que los desplazamientos espectrales en periodos largos pueden duplicarse respecto al escenario no saturado. Se concluye que un análisis sísmico que no contemple la posibilidad de licuación puede conducir a una sobreestimación de las fuerzas inerciales en estructuras de bajo periodo y, simultáneamente, a una subestimación de las deformaciones en estructuras más flexibles. Esto compromete la validez del diseño estructural frente al comportamiento real del terreno durante sismos severos generados en zonas de subducción.
Palabras clave: Respuesta sísmica; licuación de suelos; espectros de respuesta; subducción
1. INTRODUCCIÓN
Los espectros de respuesta constituyen una herramienta clave en el análisis sísmico, ya que permiten estimar la demanda dinámica impuesta a las estructuras bajo solicitaciones sísmicas en el diseño sismorresistente. Sin embargo, esta respuesta puede verse significativamente alterada debido a la generación de exceso de presión de poros y la consecuente pérdida de rigidez en los estratos licuables, lo cual afecta directamente el comportamiento dinámico del depósito de suelo en superficie. Asimismo, aunque los efectos de la licuación han sido ampliamente estudiados en contextos dominados por sismos corticales, su comportamiento frente a sismos de subducción continúa siendo poco explorado pese a su relevancia en regiones como la costa pacífica de América Latina.
En este estudio se analiza la influencia de la saturación del estrato potencialmente licuable sobre los espectros de respuesta en superficie en zonas dominadas por sismos de subducción. Para ello, se emplean modelos numéricos previamente calibrados de los sitios Garner Valley Downhole Array (GVDA) y Wildlife Liquefaction Array (WLA), los cuales se someten a 100 registros sísmicos de subducción, considerando dos escenarios: con y sin saturación del estrato licuable. Luego, se evalúa las variaciones en los espectros de respuesta en función del valor máximo de razón de exceso de presión de poros (ru) alcanzado bajo condición saturada Este enfoque permite cuantificar el efecto que puede tener la saturación en la demanda sísmica esperada sobre estructuras localizadas en depósitos susceptibles a licuación, bajo la premisa de que el nivel freático es una variable naturalmente fluctuante y que ambos escenarios son posibles al momento de un evento de subducción crítico.
2. METODOLOGÍA
Para analizar el efecto de la licuación sobre los espectros de respuesta en superficie, se desarrollaron modelos numéricos unidimensionales de los sitios instrumentados Garner Valley Downhole Array (GVDA) y Wildlife Liquefaction Array (WLA), utilizando el software Cyclic1D. Ambos sitios presentan
depósitos susceptibles a licuación y configuraciones estratigráficas contrastantes, ampliamente documentadas en http://nees.ucsb.edu La calibración de los modelos se realizó con base en registros sísmicos reales, verificando de manera simultánea la concordancia entre los espectros de pseudoaceleración (PSA) en superficie y los perfiles de exceso de presión de poros máximo (ru), mediante métricas estadísticas de ajuste. Detalles adicionales sobre el proceso de calibración y la selección de parámetros se describen en Orozco et al. [1].
Los modelos fueron sometidos a un conjunto de 100 registros sísmicos de subducción registrados en roca (Mw = 6.0–8.0, R = 14–388 km, P = 10–129 km), obtenidos de las bases de datos del Centro Sismológico Nacional de Chile (CSN) y del Servicio Sismológico Nacional de México (SSN). Se evaluaron dos condiciones hidrogeotécnicas contrastantes: un estrato licuable completamente saturado y un estrato licuable no saturado, totalizando 400 escenarios de análisis. Mediante rutinas en MATLAB, se procesaron los resultados para obtener los espectros de respuesta en superficie con 5% de amortiguamiento (valor común usado en el diseño sismorresistente), así como la razón máxima de exceso de presión de poros (ru). Posteriormente, los sismos fueron clasificados en tres categorías según el valor máximo de ru alcanzado bajo condición saturada: (i) ru < 92% (ii) 92% ≤ ru < 100%, y (iii) ru ≈ 100%. Finalmente, los espectros fueron promediados por categoría, sitio y condición de saturación, y analizados para determinar cómo la saturación del estrato potencialmente licuable afecta la forma y amplitud de la respuesta espectral en superficie.
3. RESULTADOS
En la Fig. 1 se presentan los espectros de pseudoaceleración promedio en superficie obtenidos para GVDA y WLA. Las líneas continuas corresponden al escenario con el estrato potencialmente licuable sin saturar y las líneas discontinuas con el estrato completamente saturado. Cabe señalar que, en el caso de WLA, no se registraron sismos que generaran valores de ru entre 92% y 100%. Los resultados muestran para valores de ru inferiores al 92%, las diferencias entre ambos escenarios son despreciables. No obstante, cuando ru supera este umbral, la saturación del estrato licuable produce una reducción significativa en las aceleraciones espectrales en periodos cortos, particularmente bajo condiciones de licuación (ru ≈ 100%). Por ejemplo, en GVDA la aceleración espectral máxima se redujo de 14.3 m/s² (no saturado) a 6.8 m/s² (saturado), lo que representa una disminución superior al 50%, mientras que en WLA pasó de 9.3 m/s² a 6.2 m/s², con una reducción aproximada del 35%.
a.

b.

Fig. 1. Espectros de pseudoaceleración promedio en superficie. a. GVDA. b. WLA.
En la Fig. 2 se presentanlos espectros de desplazamiento promedio en superficie obtenidos paraGVDA y WLA. Al igual que en los espectros de aceleración, los resultados muestran que GVDA presenta una mayor amplificación de las ondas sísmicas en comparación con WLA, lo cual se refleja en la magnitud de los desplazamientos espectrales. Cuando ru < 92%, las diferencias entre los escenarios de saturación son despreciables, y las curvas correspondientes se superponen a lo largo de todo el rango de periodos. Para el rango intermedio (92% ≤ ru < 100%), se observa una leve deamplificación en los periodos más cortos (T < 1 s), y una ligera amplificación de los desplazamientos espectrales bajo condición saturada cuando T > 1 s. En condiciones de licuación (ru ≈ 100%), se presenta una clara deamplificación en los desplazamientos espectrales para periodos menores a 1–1.5 s bajo condición saturada, mientras que para periodos mayores a ese umbral se evidencia una amplificación considerable en comparación con el escenario no saturado.


Fig. 2. Espectros de desplazamiento promedio en superficie. a. GVDA. b. WLA.


Fig. 3. Residual del desplazamiento espectral en superficie. a. GVDA. b. WLA.
En la Fig. 3 se presenta el residual del desplazamiento espectral en superficie para los sitios GVDA y WLA. El residual fue calculado como la diferencia entre el desplazamiento espectral promedio obtenido con el estrato licuable saturado y el correspondiente al escenario sin saturar. Los resultados muestran que, para eventos en los que ru < 92%, las diferencias en los desplazamientos espectrales entre ambos escenarios son mínimas y poco significativas. En contraste, cuando ru supera dicho umbral, se observa una deamplificación en los periodos cortos T < 1–1.5 s), y una amplificación considerable en los periodos largos (T > 1–1.5 s) bajo condición saturada. En el caso de GVDA, esta amplificación alcanza valores de hasta 4 cm en condiciones de licuación (ru ≈ 100%), lo que evidencia un efecto significativo de la saturación del estrato licuable sobre los desplazamientos espectrales en superficie.
3. CONCLUSIONES
La combinación entre la saturación del estrato potencialmente licuable y la generación de excesos de presión de poros considerables (ru > 92%) tiene un efecto directo y sistemático sobre los espectros de respuesta en superficie en zonas expuestas a sismos de subducción. En particular, se observó una reducción significativa de las aceleraciones espectrales en periodos cortos bajo estas condiciones (T < 1.5 s), siendo este efecto especialmente marcado cuando se alcanza la licuación. Este comportamiento se explica por la pérdida de rigidez del estrato licuable a medida que se incrementa el exceso de presión de poros, lo cual modifica la transmisión de ondas sísmicas y genera un efecto amortiguador que deamplifica la aceleraciones en superficie a la vez que amplifica los desplazamientos [2], [3]. En efecto, el análisis de los espectros de desplazamiento reveló que, aunque existe una leve deamplificación para T < 1.0-1.5 s, los desplazamientos espectrales aumentan significativamente en periodos mayores a dicho umbral bajo condición saturada y en presencia de licuación. Este efecto fue especialmente evidente en GVDA, donde se observaron diferencias de hasta 4 cm respecto al escenario no saturado. Esta tendencia sugiere un corrimiento del contenido energético del movimiento hacia frecuencias más bajas, como consecuencia de la reducción de rigidez del estrato licuable.
Desde el punto de vista estructural, las variaciones observadas en la respuesta espectral tienen implicaciones directas en el diseño sismorresistente. Mientras las aceleraciones espectrales controlan la demanda inercial en estructuras rígidas, los desplazamientos espectrales determinan las exigencias de deformación en sistemas más flexibles. Por tanto, si el análisis sísmico de una estructura fundada sobre suelos potencialmente licuables no incorpora la posibilidad de licuación, existe el riesgo de sobreestimar las fuerzas sísmicas en edificaciones de bajo periodo (como muros de contención o estructuras bajas) o subestimar las deformaciones en aquellas de mayor periodo (como edificaciones altas o puentes con grandes luces), comprometiendo así la representatividad del diseño frente al comportamiento real del terreno durante eventos severos. En condiciones reales, el nivel freático puede variar significativamente en el tiempo, de modo que una estructura puede encontrarse durante un sismo relevante bajo cualquiera de los dos estados analizados: estrato licuable saturado o no saturado. En consecuencia, ambos espectros de respuesta son físicamente plausibles y representan límites complementarios del comportamiento dinámico del sitio. Estos hallazgos no solo son relevantes desde el punto de vista científico, sino que también poseen implicaciones prácticas para el diseño estructural y la normativa vigente, evidenciando la necesidad de considerar escenarios hidrogeotécnicos alternativos y la conveniencia de definir espectros de diseño basados en la envolvente de ambos casos, a fin de reflejar con mayor realismo la variabilidad de la amenaza sísmica local.
REFERENCIAS
[1] K. Orozco, S. Arango-Serna, S. Lagos, E. Pinto, and M. Nieto, “Calibración multiparamétrica de modelos de respuesta sísmica en depósitos con estratos licuables,” in XII Congreso de Geotecnia, Santiago de Chile, 2025.
[2] G. D. Bouckovalas and Y. Ζ. Tsiapas, “Seismic Isolation Effects and Elastic Response Spectra of Liquefied Ground,” in 6th International Conference on Earthquake Geotechnical Engineering, 2015.
[3] G. D. Bouckovalas, Y. Z. Tsiapas, V. A. Zontanou, and C. G. Kalogeraki, “Equivalent Linear Computation of Response Spectra for Liquefiable Sites: The Spectral Envelope Method,” J. Geotech. Geoenvironmental Eng, p. 04016115, Apr. 2017, doi: 10.1061/(ASCE)GT.1943-5606.0001625.



VARIACIONES EN LAS MEDIDAS DE INTENSIDAD SÍSMICA INDUCIDAS POR EL NIVEL FREÁTICO EN DEPÓSITOS SUSCEPTIBLES A LICUACIÓN
S. Lagos (1) , S. Arango-Serna, E. Pinto, K. Orozco, M.J. Nieto (1) Universidad Católica Luis Amigó (Medellín, Colombia), susana.lagosca@amigo.edu.co
RESUMEN
Esta investigación evalúa el efecto de la saturación del estrato potencialmente licuable y de la generación de exceso de presión de poros sobre diversas medidas de intensidad sísmica. Para ello, se utilizaron modelos numéricos previamente calibrados de los sitios instrumentados Garner Valley Downhole Array (GVDA) y Wildlife Liquefaction Array (WLA), ambos con configuraciones estratigráficas contrastantes. Cada modelo fue sometido a 100 sismos de subducción, seleccionados del CSN de Chile y del SSN de México. Considerando que el nivel freático es una variable naturalmente fluctuante, se analizaron dos escenarios: (i) estrato licuable completamente saturado y (ii) estrato licuable no saturado. Los resultados muestran que, bajo condiciones de saturación y alta generación de presión de poros, se produce una reducción sistemática en las medidas de intensidad asociadas a la demanda inercial (PGA, PGV, Ia, CAV y CAV5), junto con una amplificación significativa de los desplazamientos en superficie. Esta transformación se atribuye a la pérdida de rigidez del estrato licuable y al desarrollo de grandes deformaciones durante la licuación, lo que subraya la necesidad de estudiar estos depósitos bajo ambas condiciones hidrogeotécnicas. Finalmente, se observaron diferencias relevantes entre los sitios evaluados, evidenciando el papel determinante de la estratigrafía en la respuesta dinámica del terreno.
Palabras clave: Respuesta sísmica; licuación de suelos; medidas de intensidad; subducción
1. INTRODUCCIÓN
Las medidas de intensidad (MI) sísmica son parámetros fundamentales para caracterizar la demanda y potenciales daños estructurales en enfoques de diseño sismorresistente basados en desempeño (PBEE). En depósitos con estratos potencialmente licuables, estas medidas pueden verse alteradas por la generación de exceso de presión de poros, la cual reduce progresivamente la rigidez del estrato y favorece el desarrollo de grandes deformaciones. La magnitud de estos cambios en las MI está condicionada por la posición del nivel freático, ya que este determina el grado de saturación del estrato licuable y, por tanto, su capacidad de desarrollar presiones de poro durante un sismo. Asimismo, aunque esta interacción entre el estado hidrogeotécnico del subsuelo y la respuesta dinámica ha sido documentada previamente, la mayoría de los estudios se han enfocado en escenarios dominados por sismos corticales, dejando relativamente inexplorado su comportamiento bajo sismos de subducción, a pesar de la alta exposición de regiones como América Latina a sismos de este tipo. En este estudio se evalúa el efecto del estado de saturación del estrato licuable sobre un conjunto de medidas de intensidad sísmica. Para ello, se utilizan modelos numéricos unidimensionales previamente calibrados de dos centros de monitoreo con estratos licuables de EE. UU. (GVDA y WLA), los cuales fueron sometidos a registros sísmicos de subducción representativos bajo dos escenarios hidrogeotécnicos contrastantes: con y sin saturación del estrato licuable. Losresultados se analizan en función del exceso de presión de poros máximo alcanzado bajo condición saturada, permitiendo establecer relaciones cuantitativas entre la saturación del subsuelo y la variabilidad de la respuesta sísmica en superficie.
2. METODOLOGÍA
Para evaluar el efecto del nivel freático sobre diversas medidas de intensidad sísmica, se emplearon modelos numéricos unidimensionales de los sitios Garner Valley Downhole Array (GVDA) y Wildlife Liquefaction Array (WLA), desarrollados en el software Cyclic1D y previamente calibrados con registros reales. Ambos sitios presentan estratos potencialmente licuables y configuraciones estratigráficas
contrastantes, documentadas en http://nees.ucsb.edu/ Cada modelo fue sometido a 100 sismos de subducción en roca (Mw = 6.0-8.0, R = 14-388 km, P = 10-129 km), seleccionados de las bases de datos del Centro Sismológico Nacional de Chile (CSN) y del Servicio Sismológico Nacional de México (SSN). Se evaluaron dos condiciones hidrogeotécnicas: (i) estrato licuable completamente saturado y (ii) estrato licuable sin saturar, para un total de 400 simulaciones. De cada simulación se extrajeron medidas de intensidad relevantes, incluyendo aceleración máxima (PGA), velocidad máxima (PGV), desplazamiento máximo (PGD), Intensidad de Arias (Ia), velocidad absoluta acumulada (CAV) y su versión modificada (CAV5). También se registraron variables representativas del comportamiento del estrato licuable, como la deformación cortante máxima (γmax) y la razón de exceso de presión de poros (ru). Finalmente, para analizar cómo la saturación y el desarrollo de presión de poros afectan la respuesta dinámica en superficie, los resultados se clasificaron en tres categorías según el valor máximo de ru alcanzado bajo condición saturada: (i) ru < 92 %, (ii) 92 % ≤ ru < 100 %, y (iii) ru ≈ 100 %.
3.
RESULTADOS
La Fig. 1 muestra la correlación entre la máxima razón de exceso de presión de poros (ru) y la deformación cortante máxima (γmax) en el estrato licuable para los sitios GVDA y WLA. Los resultados indican que la generación de ru significativo inicia cuando γmax supera aproximadamente 0.01% en GVDA y 0.03% en WLA. A partir de estos umbrales, ru y γmax presentan una correlación clara, representada por las líneas de tendencia punteadas cuya ecuación se incluye en la figura. Según estas tendencias, la licuación (ru ≈ 100 %) ocurriría cuando γmax excede 0.12% en GVDA y 0.32% en WLA. Este último valor es consistente con observaciones de campo reportadas por El-Sekelly et al. [1], quienes identificaron umbrales de licuación para WLA del orden de γmax > 0.2%.
La Fig. 2 compara para GVDA y WLA, la aceleración máxima en superficie (PGA) obtenida en los escenarios con el estrato licuable sin saturar y completamente saturado. Los puntos ubicados sobre la línea de 45° indican sismos en los que la PGA fue mayor en condición no saturada, mientras que los ubicados por debajo reflejan mayor respuesta en condición saturada. Los resultados muestran que, cuando PGA < 2 m/s², las diferencias entre ambos escenarios son despreciables, lo cual coincide con eventos en los que ru < 92 %. Sin embargo, al superar este umbral, la PGA tiende a ser mayor cuando el estrato se encuentra sin saturar, evidenciando una clara atenuación de las aceleraciones cuando ru alcanza valores alrededor del 100% (licuación) De forma análoga, en la Fig. 3 se compara el desplazamiento máximo en superficie (PGD) obtenido en los escenarios evaluados. Se observa que a.


. Fig. 1. Correlación entre la máxima razón de exceso de presión de poros (ru) y la deformación cortante máxima (γmax) en el estrato licuable. a. GVDA. b. WLA.
los desplazamientos tienden a ser cercanos en ambos estados (saturado y sin saturar) cuando ru < 92 %. Posterior a este umbral , el desplazamiento en estado saturado es mucho mayor que el desplazamiento en estado sin saturar.

Fig. 2. Aceleración máxima en superficie (PGA). a. GVDA. b. WLA.


Fig. 3. Desplazamiento máximo en superficie (PGD). a. GVDA. b. WLA.
En la Tabla 1 se presenta el porcentaje de variación promedio observado en las medidas de intensidad sísmica evaluadas en GVDA y WLA, clasificadas según rangos de ru. En la tabla, los valores positivos indican que la medida de intensidad fue mayor en condición saturada, mientras que los valores negativos reflejan una reducción atribuible a la saturación del estrato potencialmente licuable. Los resultados muestran que, para ru < 92 %, las diferencias entre ambos escenarios son inferiores al 12 %. No obstante, cuando ru supera el 92 %, las variaciones se tornan relevantes, alcanzando su mayor magnitud en condiciones de licuación (ru ≈ 100 %). Bajo estas condiciones, se identifican dostendencias contrastantes. Por un lado, el desplazamiento máximo superficial se ve significativamente amplificado, lo cual se asocia directamente a las grandes deformaciones inducidas en el estrato licuable durante la licuación. Por otro lado, se observa una reducción sistemática en medidas como PGA, PGV, Ia, CAV y
CAV5, lo cual se interpreta como consecuencia del efecto amortiguador generado por la pérdida de rigidez del estrato durante la licuación.
Tabla 1. Variación de medidas de intensidad cuando el estrato licuable esta saturado. Medida de
4.
CONCLUSIONES
Los resultados obtenidos en este estudio demuestran que la saturación del estrato potencialmente licuable modifica sustancialmente la respuesta sísmica en superficie, tanto en términos de deformación interna como de las medidas de intensidad que determinan la demanda estructural. Se observó una correlación clara entre el exceso de presión de poros y la deformación cortante máxima, aunque con umbrales distintos para cada sitio. A diferencia de estudios previos, GVDA mostró ser más susceptible a la licuación que WLA, posiblemente debido al mayor espesor del estrato licuable. Esta condición se reflejó en una mayor deformación interna y desplazamientos superficiales más significativos en GVDA. Las medidas de intensidad como PGA, PGV, Ia, CAV y CAV5 presentaron disminuciones sistemáticas bajo saturación, especialmente cuando ru superó el 92 %. En condiciones de licuación, estas reducciones alcanzaron valores de entre 40 % y 70 %, producto de la pérdida de rigidez del estrato licuable, que actúa como amortiguador frente a las ondas sísmicas [2]. En contraste, el desplazamiento máximo en superficie (PGD) se incrementó notablemente con la saturación, superando el 50 % en GVDA y el 80 % en WLA, en directa relación con las mayores deformaciones internas del depósito. Estos hallazgos subrayan dos aspectos fundamentales para la ingeniería sísmica. Primero, que la saturación puede transformar el comportamiento dinámico del depósito, generando cambios en las medidas de intensidad: reducción de aceleraciones y aumento de desplazamientos. Esta transición implica un cambio en el tipo de demanda estructural, desde una respuesta dominada por efectos inerciales hacia una respuesta dominada por las deformaciones. Segundo, que ambos escenarios (saturado y no saturado) son técnicamente posibles en un mismo sitio, dada la naturaleza fluctuante del nivel freático. En consecuencia, la respuesta sísmica ante un sismo de subducción dependerá del estado hidrogeotécnico del terreno en el momento del evento. Finalmente, aunque se identificaron patrones comunes, las magnitudes de respuesta variaron entre los sitios, lo que refuerza la idea de que la estratigrafía y las condiciones locales juegan un papel determinante en la respuesta dinámica de suelos susceptibles a licuación.
5. REFERENCIAS
[1] W. El-Sekelly, R. Dobry, T. Abdoun, and J. H. Steidl, “Two Case Histories Demonstrating the Effect of Past Earthquakes on Liquefaction Resistance of Silty Sand,” J. Geotech. Geoenvironmental Eng., vol. 143, no. 6, p. 04017009, Jun. 2017, doi: 10.1061/(ASCE)GT.19435606.0001654.
[2] G. D. Bouckovalas, Y. Z. Tsiapas, V. A. Zontanou, and C. G. Kalogeraki, “Equivalent Linear Computation of Response Spectra for Liquefiable Sites: The Spectral Envelope Method,” J. Geotech. Geoenvironmental Eng., vol. 143, no. 4, p. 04016115, Apr. 2017, doi: 10.1061/(ASCE)GT.1943-5606.0001625.



MECANISMOS DE MEJORAMIENTO PARA MITIGAR LICUACIÓN USANDO PILAS DE GRAVA COMPACTADA: VALIDACIÓN DE LA TEORÍA EN PRUEBAS A ESCALA REAL
A. Melo (1) , J. Rodríguez (2) (1) Geopier Foundation Company, Andres.Melo-Duque@cmc.com (2) Geopier Foundation Company, Juan.RodriguezClaudio@cmc.com
RESUMEN
Para mitigar los efectos de la licuación, los métodos de diseño de las diversas técnicas de mejora del suelo han evolucionado desde soluciones teóricas hasta modelos numéricos, pasando por validaciones en ensayos de campo a gran escala y estudios de casos reales. Las pilas de agregado compactado (o RAPs del inglés Rammed Aggregate Piers) se han consolidado como una solución probada para la mitigación de la licuación, incrementando la resistencia al corte del suelo, aumentando la densificación y reduciendo la magnitud del asentamiento post-licuación gracias al sistema compuesto suelo-mejoramiento con pilas de grava compactada. Pruebas en campo de licuación inducida con explosiones controladas en Christchurch, Nueva Zelanda y Bondeno, Italia han demostrado la eficacia del grupo de RAPs para reducir el asentamiento post-licuación y su manifestación en superficie De manera general se midió una reducción del orden del 50% al 75% en el asentamiento inducido por la licuación producto de implementar la tecnología de los RAPs. Esta mejora se atribuye a una mayor densificación del suelo arenoso potencialmente licuable, aumento en el coeficiente de presión de tierras (K0) y el efecto de refuerzo de los RAP, que en conjunto elevan el factor de seguridad y contribuyen a reducir de manera significativa la magnitud del asentamiento post-licuación en condición tratada
Palabras-Clave: Licuación, mejoramiento de suelos, Pilas de Agregado Compactado (RAPs)
1. INTRODUCCIÓN
En las últimas dos décadas, el estado del arte y de la práctica han avanzado de manera paralela con el objetivo de validar y cuantificar los mecanismos descritos en la literatura para contrarrestar la licuación, a saber: (1) Densificación; (2) aumento de los esfuerzos laterales que deriva en el incremento de la resistencia al esfuerzo cortante cíclico; (3) aumento de la rigidez axial compuesta contra deformaciones volumétricas post-licuación y refuerzo al esfuerzo cortante cíclico; (4) drenaje. En este documento se presentan y evalúan los primeros tres mecanismos para mitigar la licuación a partir del mejoramiento del suelo empleando la técnica de las Pilas de Agregado Compactado (RAPs) cuyo proceso constructivo por desplazamiento empleando herramientas especializadas junto con una alta energía de vibro-compactación de equipo tipo mástil se ilustra en la Figura 1.

Fig. 1. Proceso constructivo de Pilas de Agregado Compactado por método de desplazamiento.
2. MEJORA DEL SUELO MATRIZ: DENSIFICACIÓN E INCREMENTO DEL ESFUERZO LATERAL
Es ampliamente aceptado que la densificación en las arenas limpias es el mecanismo principal de las técnicas de mejoramiento que por su proceso de instalación inducen desplazamiento del suelo licuable. En términos de
resistencia al esfuerzo cortante cíclico, la densificación aumenta la densidad relativa del suelo potencialmente licuable, medida como resistencia por punta del piezocono qct en la Figura 2 (a). De esta manera, un suelo arenoso suelto logra pasar de un estado potencialmente licuable (según método simplificado de Seed & Idriss [1]) a un estado de mayor densidad relativa con poca probabilidad de licuación Dicha condición se ubica a la derecha de curva de FSL igual a 1 por licuación. Por su parte, la Figura 3 (a) presenta el perfil de suelos del campo de pruebas con explosivos para inducir licuación artificialmente, tal como se ejecutó en Bondeno, Italia (la Figura 3 presenta la caracterización con piezocono CPTu y dilatómetro DMT del sitio). Estas pruebas de licuación inducida con explosiones controladas en la región de Emilia Romagna tuvieron el objetivo principal de evaluar comparativamente el desempeño de un panel natural sin tratamiento y una zona tratada con RAPs Cabe destacar que el mejoramiento consistió en elementos RAP de 50cm de diámetro, instalados hasta una profundidad de 9.5m en un arreglo cuadrado de 4 por 4 elementos a un espaciamiento de 2m entre centros, equivalente a un área de reemplazo Ra de 5.2% como se indica en la referencia [2]. La densificación (incremento de la resistencia por punta del CPT qt) lograda en el suelo matriz areno limoso (SM) producto de la instalación de pilas de grava compactada es más apreciable en las capas arenosas con menor contenido de finos. Tal como se observa en la Figura 3 (b) la capa de arena limosa (SM) de densidad media tratada con RAPs se alcanzó un incremento del orden del 30% de densificación (qt) si se compara el aumento del valor “post-RAP” versus “pre-RAP”. Amoroso y otros [3] establecieron la relación directa que existe entre el incremento de esfuerzos laterales, la densificación del suelo y el proceso constructivo de los RAPs, asociado a la vibro-compactación con alta energía de impacto. En la Figura 2 (b) se ilustra conceptualmente cómo, al aumentar los esfuerzos de confinamiento lateral (a través del coeficiente de presión de tierras K0) es posible en consecuencia incrementar la resistencia cortante cíclica del suelo previamente licuable. Para el caso particular de la Figura 3 (d) y 3 (e), el esfuerzo de confinamiento lateral aumentó de manera sustancial, entre 1.4 y 2 veces, al contrastar el índice KD del dilatómetro y el valor correspondiente K0 en el panel mejorado (línea y marcadores en color rojo) frente a la condición natural.

Fig. 2. Marco conceptual de la densificación (a) e incremento de esfuerzos laterales (b) en el suelo matriz potencialmente licuable por efectos de la instalación de los RAPs [3].


(a) (b) (c) (d) (e)
Fig. 3. Perfil y resultados de piezocono qt (SBT) y e índice KD de dilatómetro DMT así como del coeficiente K0 en condición natural y post-instalación del mejoramiento con RAPs en Italia [2] [3].
3. INCREMENTO DE RIGIDEZ AXIAL COMPUESTA POST-LICUACIÓN
Esta sección aborda el efecto benéfico que representa la presencia de las pilas de grava compactada en el comportamiento compuesto de las capas de suelos potencialmente licuables. En la Figura 4 (a) y (b) se muestra el comportamiento en superficie de la zona tratada con RAPs (IP, izquierda) y del panel natural (NP) de control sin mejoramiento (derecha). Se observa que los RAPs reducen el asentamiento máximo post-licuación a 4.5cm, aproximadamente la mitad del asentamiento por licuación reflejado en superficie registrado en la zona sin mejorar, donde se alcanzaron valores de hasta 10cm en el centro.Para comprender mejor estos resultados, es necesario revisar la Figura 5 (c). Particularmente resulta relevante comparar la medición de asentamientos post-licuación con profundidad (línea de marcadores azules) con la predicción de asentamientos (línea negra continua), la cual muestra un buen ajuste cuando se incorpora la rigidez axial de los RAPs. Es importante señalar que la densificación y el incremento de esfuerzos laterales del suelo matriz, desarrollados en la Sección 2, no permiten explicar por sí solos el asentamiento observado. De hecho, tal como demostraron Rollins y otros [2], el hecho de ignorar la rigidez axial de las pilas de grava compactada conllevaría a una sobre-predicción de asentamiento del orden de 6cm (método Zhang et Al., 2002), sobre-estimando en un 30% el valor medido en condición mejorada. Rollins y otros [2] proponen incorporar la presencia de los RAPs para cuantificar la reducción en los asentamientos post-licuación (S) de acuerdo con la expresión de la Ec. (1). Este enfoque, ilustrado en la Figura 6, permite estimar la rigidez compuesta Mcomp según la Ec. (2) en función de la rigidez axial de las pilas (módulo confinado MRAP) y del espaciamiento entre pilas (o de manera equivalente, ponderar el valor Ra). Por su parte en la Ec. (3) se retrocalcula el módulo de deformación del suelo matriz Msoil en caso de que este aún experimente deformaciones volumétricas post-licuación, según se explica en la Figura 6 (a). Esta condición ocurre cuando el FSL es menor a 1.3 tal como se indica en la Figura 5 (b). La Ec. (3) establece el valor de Msoil a partir del asentamiento inicial postlicuación Ssoil, luego de evaluar previamente la densificación e incremento de esfuerzos laterales generados por la instalación de los RAPs. De esta manera el procedimiento de cálculo se denomina “método de tres pasos”, en alusión a la secuencia de aplicación de este mecanismo complementariamente a los descritos en la Sección 2.



Ec. 1
Ec. 2
Ec. 3

4. (a) Fotografía aérea del panel mejorado con RAPs (izquierda) y sin tratar (derecha) luego de las pruebas con explosivos en Bondeno, Italia [2]; (b) Mediciones de asentamiento post-licuación en superficie en la zona natural sin tratar (derecha) y en el área mejorada con RAPs (izquierda) [2].
Fig.
Sandboil (typical)


Fig. 5. Perfil de suelos, (a) resistencia medida qc; (b) FSL contra licuación; (c) asentamiento medido in-situ y calibrado en el panel mejorado con RAPs luego de las pruebas con explosivos en Italia [2].
En las anteriores Ecuaciones (1) y (3), q representa el esfuerzo vertical efectivo, I es el factor de influencia del esfuerzo vertical y H corresponde al espesor de la capa de interés. Este análisis se realiza de manera discretizada, capa por capa, en profundidad, de manera análoga al cálculo de asentamiento estático. Para mayores detalles y ajustes en la implementación, se recomienda revisar la referencia [2]. Cabe recalcar que la predicción de asentamiento post-licuación presentada en la Figura 6 incorpora un valor de módulo de rigidez axial de 194 MPa, propuesto por Rollins y otros [2] a partir de bases de datos de resultados de módulo de rigidez axial medido a elementos RAPs construidos en condiciones similares a la arena limosa del sitio (ver leyenda de la Figura 5c).

Fig. 6. (a) Asentamiento del suelo matriz licuable y (b) efecto de rigidez axial compuesta para reducir asentamiento post-licuación debido a la contribución de las pilas de agregado compactado [2].
REFERENCIAS
[1] Seed, H. B., and Idriss, I. M. Simplified procedure for evaluating soil liquefaction potential, Journal of Soil Mechanics and Foundations Div., ASCE 97(SM9); 1971. P. 1249–273med Aggregate
[2] Rollins K., Amoroso S., Andersen P., Tonni L., Wissmann K. Liquefaction Mitigation of Silty Sands using Rammed Aggregate Piers based on Blast-Induced Liquefaction Testing. Journal of Geotechnical and Geoenvironmental Engineering. Volume 147, Issue 9. June 25, 2021.
[3] Amoroso S., Rollins K., Minarelli L., Monaco P., Wissmann J. Improved Liquefaction Resistance with Rammed Aggregate Piers Resulting from Increased Earth Pressure Coefficient and Density Journal of Geotechnical and Geoenvironmental Engineering, Volume 150, Issue 6, March 27, 2024.


COMPARACIÓN DE MÉTODOS DE ANÁLISIS DE ESTABILIDAD SÍSMICA EN

DEPÓSITOS DE RELAVES
D. Abarca (1) , C. Barrueto (1) , F. Leal (1) , J. Campaña (1) (1) Arcadis, diego.abarca@arcadis.com
RESUMEN/ ABSTRACT
Se evalúa la estabilidad sísmica de dos tipologías de muros de depósitos de relaves: muro de empréstito y muro de arenas de relaves cicloneadas, considerando geometrías y propiedades de materiales acordes al tipo de estructura. Se analiza la estabilidad física usando métodos de equilibrio límite (LEM) y modelos dinámicos tensión-deformación, comparando sus resultados Se discute la consistencia de los resultados y si su interpretación puede generar impactos en el diseño y la evaluación de la estabilidad física de estos tipos de estructuras.
Palabras-Clave: Depósitos de relaves, Análisis dinámico, Análisis seudoestáticos
1. INTRODUCCIÓN
Los depósitos de relaves son obras de gran envergadura, cuyo propósito es almacenar de forma segura el material excedente del proceso de extracción de mineral Según el Estándar Global sobre Relaves para la Industria Minera (GISTM, 2020) se pretende alcanzar “cero daño a las personas y en el medioambiente, y tolerancia cero para fatalidades humanas”.
En Chile, los criterios de aceptabilidad para evaluar la estabilidad física son definidos en el DS MOP N°50 (2015) [1] y en el DS248 (2007) [2], donde se exige la realización de análisis dinámicos y por equilibrio límite (LEM). En ambos se especifica un factor de seguridad (FS) seudoestático mínimo de 1,2 para análisis por LEM para el sismo de diseño, sin explicitar un criterio de aceptabilidad para los análisis dinámicos. Sin embargo, las buenas prácticas nacionales aplican algunos criterios, según Leal et al (2024) [4]:
• Verificar que los asentamientos en coronamiento no generen un vaciamiento de la cubeta.
• Asegurarse que la zona potencial de deslizamiento no afecte más de un 30% del ancho de coronamiento para sismo operacional (OBE) y 50% para sismo máximo creíble (MCE).
• La deformación vertical remanente, en el centro de la porción del coronamiento no afectada por superficies de falla, debe ser menor a 1% de la altura del muro para OBE y 3% para MCE.
• Garantizar la continuidad operacional para el sismo OBE, y que potenciales daños sean reparables para el MCE.
2. CASOS DE ANÁLISIS
Se consideraron dos ejemplos de muros de depósitos de relaves, un muro construido con arenas de relaves compactadas y otro construido con empréstito de enrocado con resistencia similar a enrocado débil, caracterizado por Leps (1970) [5] Ambos muros fueron modelados sobre un estrato horizontal de roca competente para focalizar los resultados en el comportamiento del muro, de acuerdo con las geometrías que se presentan en la Fig. 1 Para el análisis se utilizó el software FLAC3D, adoptando un modelo elasto-plástico perfecto con criterio de falla Mohr-Coulomb, aplicando los parámetros geotécnicos indicados en la Fig. 1 La fundación se modeló como material elástico, representado por un Es=10,9 GPa y un =0,4. Los relaves en la cubeta se consideraron licuados desde el inicio del sismo, con una resistencia no drenada normalizada de Su/v’=0,1. Para las simulaciones dinámicas se utilizó un amortiguamiento de tipo histerético para los materiales de muro, a partir de curvas de degradación de literatura [6][7]
Como solicitación sísmica se utilizó un acelerograma en roca del sismo del Maule de 2010 (Mw8,8), registrado en la estación de la UTFSM de Valparaíso [8] Las componentes vertical y horizontal fueron escaladas por un factor de 1,5, para simular un MCE para los muros. Los espectros de pseudoaceleración y las trazas de aceleración utilizadas para los análisis se presentan en la Fig. 2.


Fig. 1: Geometrías de muros consideradas en este estudio
Fig. 2: Acelerogramas y espectros de respuesta de los registros empleados en los análisis
3. ANÁLISIS SEUDOESTÁTICOS
Los resultados, presentados en la Fig. 3, muestran factores de seguridad (F.S.) menores a 1,0, que abarcan la totalidad del coronamiento de ambos tipos de muros, lo que implica el no cumplimiento de la normativa Chilena Para los análisis seudoestáticos se empleó el software Slide2 (Rocscience), con un coeficiente sísmico horizontal ��ℎ =0.14 [9], y un coeficiente sísmico vertical (����) de 0,09 (���� = 2/3��ℎ). Se buscaron las potenciales superficies de deslizamiento que afectasen al menos la mitad del coronamiento y al tercio inferior de la cara aguas abajo de los muros.


Fig. 3: Factores de seguridad y superficies de deslizamiento obtenidas en los análisis
4. ANÁLISIS DINÁMICOS
Para evaluar la potencial superficie de falla, se analizan tres definiciones: a) Zonas donde la deformación de corte máxima acumulada (��������) es mayor a un 15%, b) donde los desplazamientos normalizados con respecto a la altura del muro son mayores al 1% (/H), c) similar a b) pero con respecto a la longitud de la falla (/Lf). En la Fig. 4 se presentan los resultados para el muro de arenas, donde se observa que las potenciales superficies de falla son de tipo superficial. En la Fig. 5 se presentan los resultados para el muro de enrocado donde estas superficies son más profundas. Esto coincide con lo observado para los resultados de LEM de la Fig. 3.
Muro de Arena
Muro de Enrocado
Muro de Arena
Muro de Enrocado
Nivel freático sigue cota de relaves, impermeabilización y luego sistema de drenaje (Muro no saturado).
Nivel freático sigue cota de relaves, impermeabilización y luego sistema de drenaje (Muro no saturado).

Desplazamientos totales

Criterio de 1% de la altura

Deformaciones de corte máximas acumuladas

Criterio de 1% de la longitud de superficie de falla
Fig. 4: Resultados análisis dinámico y evaluación de superficie de falla, tranque de arenas.

Desplazamientos totales

Criterio de 1% de la altura

Deformaciones de corte máximas acumuladas

Criterio de 1% de la longitud de superficie de falla Fig. 5: Resultados análisis dinámico y evaluación de superficie de falla, embalse de enrocado. En ambos tipos de muro, las deformaciones de corte máximas acumuladas sugieren una falla más extensa que podría coincidir directamente con el resultado seudoestático, pero la solicitación sísmica utilizada no es suficiente para gatillar esta falla Se aprecia que los desplazamientos remanentes no son suficientes para afectar la revancha de 10 m, que bajo las tres definiciones de superficie de falla el ancho de coronamiento afectado es menor al 50% y que los asentamientos al centro de la porción no afectada por estas superficies son menores al 1%, sugiriendo una condición es estable sísmicamente.
5. COMPARACIÓN Y DISCUSIÓN DE RESULTADOS
Las metodologías utilizadas para analizar la estabilidad física de muros de depósitos de relaves entregan potenciales superficies de falla de formas similares para cada caso estudiado y consistentes entre lo indicado por los análisis LEM y tensión-deformación. Sin embargo, el LEM sugiere una condición clara de inestabilidad, donde el FS está por debajo de lo indicado en la normativa chilena vigente, mientras que los resultados de los análisis dinámicos sugieren una condición estable ante la solicitación sísmica Si bien para estos últimos se cumplirían los criterios de buenas prácticas aplicadas a nivel nacional para ambos tipos de muro, la ausencia de criterios explícitos en la normativa nacional hace que, en situaciones donde el FS no se cumple, prevalezcan los resultados de los análisis LEM por sobre los de un análisis dinámico, lo cual no coincide con indicaciones de guías internacionales que desincentivan el uso del método seudoestático ante los análisis de deformación no lineales[3][10][11]
Zonas(en negro)con deformacionesde corteacumuladas mayores a 15%
Zonas(en negro)con desplazamientos mayores a 2m (>1%de laaltura)
Zonas(en negro)con desplazamientos mayores a 1,9m (>1%deLf)
Largodela potencial zonade desplazamiento Lf = 190m
Zonas(en negro)con deformacionesde corteacumuladas mayores a 15%
Zonas(en negro)con desplazamientos mayores a 2m (>1%de laaltura)
Zonas(en negro) con desplazamientos mayores a 1,5m (>1%de Lf)
Largodela potencial zonade desplazamiento Lf= 150m
En los análisis LEM, uno de los parámetros más discutidos técnicamente en la definición de los coeficientes sísmicos (kh, kv), el momento en que comienza el comportamiento no-drenado (en caso de existir) y la extensión de la aplicación del método a grandes taludes (asumir que kh es el mismo en todo el talud, no es correcto). En el caso de los análisis dinámicos, la elección del modelo constitutivo, su implementación y la definición de los parámetros dinámicos requeridos, algunos de los cuales carecen de sentido físico, son parte de los grandes desafíos al hacer un modelo numérico.
6.
CONCLUSIONES
Los autores consideran que, para la realidad chilena y sumado a las complejidades que implica la realización de modelos numéricos, especialmente los más avanzados, es necesario mantener que la estabilidad física de un muro de relaves se verifique aplicando tanto LEM como análisis dinámicos formales. El requisito clave es garantizar la consistencia en las superficies de deslizamiento potenciales obtenidas por ambos métodos, ya que cualquier inconsistencia indicaría que se necesitan ajustes
Adicionalmente, los autores consideran que cuando se demuestra mediante análisis dinámicos que las deformaciones son acotadas y no se pone en riesgo la capacidad de retención de los muros de relaves, el obtener FS cercanos a la unidad mediante LEM, no debiera ser un factor que declare como inestable un muro sísmicamente Así lo indican las buenas prácticas internacionales.
Finalmente, los autores consideran que se debe avanzar en el establecimiento de criterios de aceptabilidad basados en los resultados de los análisis dinámicos, y muy importante, también basados en el comportamiento sísmico observado por las presas de agua y relaves en Chile, las cuales han presentado, en general, un comportamiento satisfactorio ante los grandes terremotos ocurridos en los últimos años en la zona central del país: Mw=8 (San Antonio, 1985), Mw=7.1 (Punitaqui, 1997), Mw=8.8 (El Maule 2010), Mw=8.4 (Illapel, 2016), entre otros.
AGRADECIMIENTOS
Los autores agradecen a Arcadis las facilidades para la elaboración del presente trabajo
REFERENCIAS.
[1] SERNAGEOMIN Decreto Supremo N°248: Reglamento para la Aprobación de Proyectos de Diseño, Construcción, Operación y Cierre de los Depósitos de Relaves 2007 p 170-171.
[2] MOP. Decreto N°50: Condiciones Técnicas para el Proyecto, Construcción y Operación de las Obras Hidráulicas Identificadas en el Artículo 294 del Código de Aguas. 2015. p 19-20.
[3] ICOLD. Bulletin No. 194 – Tailings Dam Safety Versión final enviada a publicación, 2022. p 71-86.
[4] Leal F, Barrueto C, Santos E, Campaña J. Approaches to assess the physical stability of mining facilities based on the results of numerical deformation analysis 17th PANAMGEO, 2024
[5] Leps, T. M. Review of shearing strength of rockfill. Journal of the soil mechanics and foundations division, 96(4), 1970. p. 1159-1170.
[6] Seed, H. B., & Idriss, I. M. (1970). Soil Moduli and Damping Factors for Dynamic Response Analyses. Technical Report EERRC-70-10, Berkeley, CA: University of California.
[7] Gazetas, G., Dakoulas, P. (1991). Seismic Analysis and Design of Rockfill Dams: State of Art.
[8] Boroschek, R, Soto P, Leon R. Registros del Terremoto del maule Mw= 8.8 - 27 de febrero de 2010. Red Nacional de Acelerógrafos del Departamento de Ingeniería Civil, Facultad de Ciencias Físicas y Matemáticas, Universidad de Chile, Informe RENADIC 10.05, 2010.
[9] Saragoni, G.R. Análisis del riesgo sísmico para la reconstrucción del Puerto de Valparaíso. 6tas Jornadas Chilenas de Sismología e Ingeniería Antisísmica, 1993. p. 165-178
[10] ANCOLD. (2019). Guidelines on tailings dams: planning, design, construction, operation and closure. p. 48
[11] CDA (2013): DAM SAFETY GUIDELINES 2007 (2013 Edition). p. 71

SIMULACIÓN

SIMPLIFICADA DEL COMPORTAMIENTO

DINÁMICO DE SUELOS DE FUNDACIÓN SUELTOS Y SU IMPACTO EN LA RESPUESTA SÍSMICA
D. Hernández (1) , S. Maureira (2) , D. Solans (3) (1) WSP, diego.hernandez@wsp.com (2) WSP, sebastian.maureira@wsp.com (3) WSP, david.solans@wsp.com
RESUMEN/ ABSTRACT
En la práctica ingenieril, a menudo se dispone de información geotécnica limitada sobre los materiales granulares involucrados en una obra específica, lo que influye en el enfoque de modelación numérica adoptado. El uso de supuestos conservadores puede derivar en el sobredimensionamiento de estas obras geotécnicas, afectando la viabilidad de las soluciones propuestas. Este trabajo presenta y evalúa una metodología simplificada para incorporar la resistencia no drenada en la modelación numérica, con especial atención a la respuesta sísmica. La propuesta busca ofrecer una alternativa práctica que permita mejorar la estimación del desempeño sísmico sin recurrir a modelos avanzados, favoreciendo su uso en etapas tempranas de diseño o en evaluaciones de sensibilidad.
Palabras-Clave: Modelamiento – Numérico – FLAC – Sísmica
1. INTRODUCCIÓN
La modelación numérica constituye una herramienta fundamental en la evaluación de la respuesta sísmica de estructuras de suelo. Su representatividad depende de la calidad y disponibilidad de la información de entrada. En Chile, país altamente sísmico, esta problemática es particularmente relevante en proyectos de infraestructura minera y civil. La dificultad para obtener muestras inalteradas y la variabilidad espacial de las propiedades del suelo condicionan la posibilidad de realizar campañas extensas de exploración. Ante este escenario, surge la necesidad de metodologías que, sin comprometer la seguridad, permitan estimar un comportamiento más realista utilizando datos convencionales.
Este artículo propone una alternativa simplificada para modelar suelos de fundación sueltos susceptibles a responder en condición no drenada con comportamiento contractivo del tipo strain-softening. Se utiliza el modelo constitutivo Mohr-Coulomb con una envolvente bilineal que distingue entre resistencia peak y residual en función de un umbral de deformación axial.
2. METODOLOGÍA SIMPLIFICADA PROPUESTA
La metodología considera una envolvente de resistencia al corte que varía con la acumulación de deformación por corte. Inicialmente, cada elemento conserva la resistencia peak hasta alcanzar un umbral de deformación axial; superado este valor, la resistencia se reduce a residual, tal como se muestra en la Fig. 1. Este enfoque permite representar la degradación progresiva de resistencia sin recurrir a modelos constitutivos avanzados como PM4Sand o UBCSAND.
Fig. 1 Comportamiento tensión-deformación propuesto en el presente estudio.
El modelo numérico se desarrolló en FLAC2D versión 9.0¡Error! No se encuentra el origen de la referencia., representando un depósito de relaves compuesto por un muro de arenas compactadas sobre un perfil arenoso. Se definieron estratos de suelo denso y suelto, siendo este último el foco principal del análisis, tal como se muestra en la Fig. 2. Los parámetros geotécnicos que se muestran en la Tabla 1 se seleccionaron de acuerdo con rangos reportados en la literatura



Fig. 2 Geometría y malla bidimensional FLAC2D utilizada en el presente estudio.
Unidad Geotécnica
Tabla 1. Parámetros geotécnicos.
Pa: Presión atmosférica. p': Esfuerzo medio efectivo.
Se evaluaron distintos valores de deformación axial (1%–5%, y un caso teórico de 10%) para determinar el punto de transición entre resistencia peak y residual [1] [2] Además, se simuló un caso límite con resistencia residual desde el inicio del sismo.
3. SOLICITACIONES SÍSMICAS EVALUADAS
Para analizar la metodología propuesta bajo condiciones dinámicas reales, se seleccionaron registros sísmicos medidos en roca para eventos ocurridos en Chile, específicamente, Valparaíso (1985), Maule (2010) e Illapel (2015). En la Fig. 3(a), Fig. 3(b) y Fig. 3(c), se muestran las curvas tiempo aceleración de los registros mencionados. En la Fig. 3(d) se observan los espectros de pseudo aceleración correspondientes.
Además de los registros originales, cada uno de los acelerogramas fue escalado para alcanzar valores de aceleración máxima de 0,2g, 0,3g, 0,4g y 0,5g, con el objetivo de analizar el efecto del incremento de la demanda sísmica sobre la respuesta del sistema.
Por otra parte, en la Fig. 5(e) se presenta la función de transferencia obtenida para el muro, con el objetivo de identificar el rango de periodos predominantes en la respuesta dinámica, permitiendo determinar que rangos de pseudo aceleración resultan relevantes en el comportamiento ante las distintas solicitaciones sísmicas.
Valparaíso(1985)
UTFSM
Maule(2010)
ElRoble
Illapel(2015) LasTacas
Fig. 3 (a), (b) y (c) Registros tiempo-aceleración de sismos utilizados para el análisis sísmico. (d) Espectros de pseudo-aceleración. (e) Función de transferencia del muro.
4. RESULTADOS
En la Fig. 4 se presentan los resultados obtenidos del modelo numérico, expresados en términos de asentamiento vertical, desplazamiento total y área del muro afectada por desplazamientos mayores a 1 m, en función de las distintas medidas de intensidad sísmica utilizadas [3]
Resultados en Función del PGA
En los gráficos que relacionan las variables de respuesta con la aceleración máxima (PGA), se observa una mayor dispersión de resultados para valores bajos de PGA, especialmente por debajo de 0,3g. A medida que su valor aumenta, los resultados tienen a converger hacia una constante, indicando que para PGA de hasta 0,3g – 0,4g, la influencia de la metodología propuesta es importante.
Adicionalmente, se observa una tendencia particular entre los distintos sismos, ya que los puntos correspondientes al sismo de Illapel (2015) consistentemente presentan menor deformación que los obtenidos con el sismo de Valparaíso (1985) y más aún de aquellos obtenidos con el sismo del Maule (2010), para un mismo valor de PGA. Esta diferencia evidencia que el PGA no captura adecuadamente otras características del movimiento sísmico, como duración y/o contenido de frecuencias que afectan en mayor medida al muro de acuerdo con sus características particulares (geometría y rigidez).
Resultados en Función de la Intensidad de Arias y PSA0,5
Los gráficos construidos en función de la Intensidad de Arias y PSA0,5, que se muestran en la Fig. 4, evidencian una respuesta más uniforme entre los diferentes registros sísmicos. Estas medidas de intensidad, al considerar aspectos relacionados con la energía total y el contenido de frecuencias del sismo, permiten capturar de manera más representativa la demanda impuesta al sistema.
En estos casos, se valida el uso de la metodología propuesta en el rango de intensidades sísmicas de bajas a moderadas, ya que se observa una notoria variación de los resultados según el umbral de deformación axial adoptado. Sin embargo, al superar ciertos valores de intensidad, los resultados vuelven a converger, indicando que la respuesta del conjunto (muro y fundación) se vuelve prácticamente insensible a la transición entre resistencia no drenada peak y residual, hecho que resulta esperable, ya que en eventos de alta intensidad sísmica, la deformación axial supera el valor umbral adoptado rápidamente, y como consecuencia, la resistencia residual tiende a desarrollarse en los primeros segundos del sismo.
En particular, para la Intensidad de Arias, se identifica un valor crítico cercano a 3 – 4 m/s, a partir del cual el beneficio de la metodología propuesta se vuelve marginal. Mientras que, para el PSA0,5 el límite de aplicabilidad se sitúa aproximadamente en 0,8g.

Fig. 4 Resultados obtenidos según medida de intensidad sísmica y variable estudiada en modelo.
5. CONCLUSIONES
La metodología simplificada es aplicable en escenarios sísmicos de baja a moderada intensidad, permitiendo representar de manera más realista la disminución progresiva de resistencia del suelo con parámetros accesibles mediante ensayos convencionales. Su utilidad se reduce en condiciones de alta intensidad sísmica, donde la respuesta converge rápidamente hacia la resistencia residual.
Este enfoque resulta valioso en etapas tempranas de diseño, evitando supuestos excesivamente conservadores que sobredimensionen las obras. Se recomienda su aplicación con cautela y validación experimental, y se sugiere como línea futura de investigación la extensión a modelos tridimensionales y la interacción suelo-estructura.
6. AGRADECIMENTOS
Los autores agradecen a WSP Mining S.A. por el apoyo brindado para desarrollar esta investigación.
REFERENCIAS.
[1] Sadrekarimi A. Effect of the Mode of Shear on Static Liquefaction Analysis JGGE, 2014.
[2] Bray J, Macedo J, Travasarou T. Simplified Procedure for Estimating Seismic Slope Displacements for Subduction Zona Earthquakes. JGGE, 2017.
[3] Regina G, Zimmaro P, Ziotopoulou K, Cairo R. Evaluation of the optimal ground motion intensity measure in the prediction of the seismic vulnerability of earth dams. Earthquake Spectra, Vol. 39, 2023.



ESTUDIODELAINTERACCIÓNENTRELOSSEDIMENTOSYELBASAMENTOROCOSOENEL CONTEXTODEUNAFALLASUPERFICIALINVERSA
G.Candia(1),G.Rivera(2),B.Lyon(3)
(1)FacultaddeIngenieríaCivilUniversidaddelDesarrollo,gcandia@udd.cl
(2)FacultaddeIngenieríaCivilUniversidaddelDesarrollo,gariveras@udd.cl
(3)FacultaddeIngenieríaCivilUniversidaddelDesarrollo,b.lyon@udd.cl
RESUMEN
Larupturasuperficialdeunafallaproducedeformacionesdelterrenoquepuedendañarseveramente lainfraestructuracercanaalazonaderupturayamplificarlocalmenteelriesgosísmico.Sinembargo, observacionesendiversoscasoshistóricos,comolosterremotosdeSanFrancisco1906,Izmit1999, oDarfield2010,hanmostradoquelosdesplazamientosdiferencialesdelterrenopuedendistribuirse enzonasmásampliasalrededordelazonaderuptura,locualestáestrechamenterelacionadocon elmecanismodefallaylascondicionesgeológicasdelentorno.Enelcontextolocal,estudios paleosismológicosenlaprecordilleradeSantiagoestimanquelaFalladeSanRamónpuedegenerar unterremotodemagnitudMw6.5ydesplazamientospromediode1m.Adicionalmente,estafalla atraviesasedimentosnoconsolidadosdehasta200mdeespesor,loquepodríagenerar deformacionesdistribuidasenunafranjadeextensiónaúndesconocida.Enestainvestigación, empleamosunmodelodeelementosfinitosparasimularlarespuestadelossedimentosanteuna rupturainversaenlaFalladeSanRamón.Elmodelocapturavariablescomoelmecanismodefalla, lageometríayprofundidaddelbasamento,ylaresistenciayductilidaddelosmateriales.Estas simulacionespermitencaracterizarlaamenazadedistorsionesangularesenlasuperficieenfunción deladistanciaalafalla,loqueresultaesencialparalaplanificaciónterritorialyeldiseñodemedidas demitigaciónefectivascontraunarupturaensuperficie.Lamodelaciónmuestraquelas deformacionesmásintensasseconcentranenunafranjaestrechadelhangingwalladyacenteala trazadelafalla,superandoumbralestípicosdedañoestructural.Elpatróncoincideconlas deformacionessuperficialesobservadasencasoshistóricosbiendocumentados.Larápida atenuaciónfueradeestazonarefuerzalanecesidaddeincorporarcriteriosdeplanificaciónterritorial enlossectoresdelpiedemontesur-orientedeSantiagoactualmenteenexpansión.
Palabras-Clave:rupturasuperficial,deformacióndelterreno,riesgosísmico,fallaSanRamón
1.INTRODUCCIÓN
Losefectosdeunarupturasuperficialnoselimitanalatrazaprincipaldelafalla:puedenextenderse haciazonasadyacentesdelterreno,generandodeformacionesdistribuidasqueafectan significativamentelainfraestructuraexpuesta.Diversosterremotoshistóricoshanevidenciadoquela extensióndeestasdeformacionesdependedelmecanismoderupturaydelascondicionesgeológicas delentorno.UnejemploeselterremotodeSanFrancisco(1906),dondelafalladeSanAndrésprodujo desplazamientosdehasta5menunafranjaestrecha,acompañadospordeformacionesplásticasde lossedimentosqueseextendieroncientosdemetrosacadalado[1].Estasafectaronasuelosde menorrigidez,capacesdeabsorberpartedeldesplazamientosinfracturarsevisiblemente.
Terremotosmásrecienteshanevidenciadootrascomplejidadesdelprocesoderupturasuperficial, comolaactivacióndefallaspreviamentenoreconocidas.ElterremotodeDarfieldde2010,enNueva Zelandia[2]activólafallaGreendale,demecanismostrike-slipoblicuo,generandodesplazamientos lateralesde2.5 menfranjasdehasta300 mdeanchoydeformacionesverticalesdehasta1.5 m, causandodañoseveroenestructurasdemaderaygalponesagrícolas.
Diversosestudioshanempleadomodelosnuméricosparapredecirlarespuestadedepósitosdesuelo frentearupturasenfallas,evaluandotantolapropagacióndedeformacionesenelterrenocomosu
impactosobrelainfraestructura(e.g.,[3,4]).Estostrabajoshanpuestoespecialénfasisenlainteracción falla-suelo-fundación,mostrandoquelapresenciadeestructuraspuedemodificarlocalmenteelcampo dedeformacionesyaumentarelniveldedaños.
EnlazonacentraldeChile,estudiosgeofísicoshanidentificadodepósitosaluvialesprofundosenel valledeSantiago,conespesoresdehasta500 m[5].Estossedimentos,compuestosprincipalmentede gravasyarenas,seencuentransobreunbasamentoestructuralcomplejo,cuyageometríahasido inferidaapartirdeanomalíasgravimétricasyperfilesderefracciónsísmica.Esteestudioidentificó discontinuidadesestructuralesmayoresasociadasazonasdedebilidadcortical,loquesugiereuna potencialconexiónentreelbasamentoylasismicidadcorticalsuperficial.Dentrodeestecontexto,la FalladeSanRamóndestacacomounafuentesísmicaactiva[6],conpotencialdegenerar deslizamientosdehasta1 m.Estaconfiguraciónsugierelaposibleformacióndeuncorredorde deformacionessuperficiales,cuyaextensiónaúnnohasidocuantificada.Paraabordarestabrecha, estainvestigacióndesarrollaunmodelonuméricoquesimulalarespuestadelossedimentosanteuna rupturainversa,conelobjetivocaracterizarestazonadeinfluencia.Estainformaciónesunrecurso claveparalaplanificaciónterritorialylamitigacióndelriesgosísmicoenlascercaníasdefallasactivas.
2.METODOLOGÍA
Seimplementóunmodelodeelementosfinitosquesimulalarespuestadelossedimentosdel piedemontedeSantiagoanteunarupturainversaenlaFalladeSanRamón.Elmodeloreproducela propagacióndelarupturadesdeelbasamentohacialasuperficie,considerandolageometría estructural,lacinemáticadelafallayelcomportamientonolinealdelsuelo,conelobjetivodeestimar ladistribucióndedeformacionesydistorsionesangularesensuperficie.
LassimulacionesserealizaronenOpenSees,empleandoelementosfinitosbidimensionalesbajola condicióndedeformacionesplanas.Larelacióntensión-deformacióndelossedimentossemodeló utilizandoelmaterialconstitutivoPressureDependentMultiYieldMaterial(PDMY),quepermite representarelcomportamientonolinealdematerialesgranularesbajodistintastrayectoriasde tensiones.Paraalcanzarestosobjetivos,lametodologíaseestructuróencuatroetapasprincipales:
ETAPA1.SecaracterizólageometríadelbasamentoydelossedimentosentornoalaFalladeSan Ramón,apartirdedatosgeofísicos,geológicosygeotécnicosexistentes[7],Fig1(a).Serecopilaron perfilesdevelocidaddeondadecorte(Vs)paraestimarlarigidezdelosmateriales,asícomoresultados deensayostriaxialesengravasdeSantiago,quepermitieronconstruircurvasdecomportamientono lineal(tensión-deformación).
ETAPA2.SecalibróelmodeloPDMYintegrandodosfuentesdedatos:(i)lavariacióndelmódulode rigidezconlaprofundidad,inferidaapartirdeperfilesdeVs[5],empleandocomocriteriodeajuste adicionallaconsistenciaentreelperíodofundamentalestimadoymedicionesdecampo[8];y(ii)los parámetrosderesistenciayductilidadderivadosdeensayostriaxialesengrava[9];Fig.1(b-c)

Fig1.(a)EspesordesedimentosenSantiagosur-oriente;(b)perfildevelocidadesdeondadecorte(Vs)correspondienteal puntoA,comparandomedicionesenterrenoymodelonumérico,y(c)curvastensión–deformaciónobtenidasenensayos triaxialesdrenadosengravaysuajustemedianteelmodelonumérico.
ETAPA3.Seconstruyóunconjuntode10seccionesbidimensionales(condicióndedeformaciones planas)queinterceptanlaFalladeSanRamónentrelaslatitudes33°44y33°52.Cadasección incorporalageometríadelbasamento,elespesorylaspropiedadesgeomecánicasdelossedimentos, asícomolascondicionesdebordeparaelanálisis(Fig.2)
ETAPA4.Medianteunanálisispseudo-estáticosesimulalaaccióndelpesopropioyeldesplazamiento cosísmicodelbloquesuperior.Enlaetapadepostprocesoseobtienencamposdedeformacióny distorsionesangularesenfuncióndeladistanciaalafalla.

Fig2.(a)SecciónbidimensionalC-C’alolargodelaFalladeSanRamón,mostrandolaprofundidaddelbasamentoylos sedimentos,elángulodebuzamientodelafallayeldesplazamientoimpuestode1menelbloquesuperior(hanging-wall) paraelanálisispseudo-estático.Lossedimentossemodelaronconelementostriangularesyelbasamentoconelementos isoparamétricoscuadriláterosde4nodos.Seevaluarondistintasconfiguraciones,variandoelespesordelbasamento,tamaño máximodeloselementosylaextensióndelmodeloparaminimizarefectosdebordeyanalizarsuinfluenciaenlarespuesta numérica;(b)mapadedistorsionesangularesenlasuperficielibre(��)
3.RESULTADOS
Paraundesplazamientocosísmicode1myunángulodebuzamientode60°enlaFalladeSanRamón, elmodelonuméricoprediceque,enzonasdondelafallaatraviesasedimentosprofundos(d>300m), lasdistorsionesangularesmáximasalcanzan~1/500,mientrasqueensedimentospocoprofundos(d <50m)superan1/200.Asimismo,elanchodelazonadeinfluencia,definidacomolafranjadondelas distorsionesverticalesexceden1/1000,disminuyeconelespesordeldepósito:entre300y400men sedimentosprofundosymenosde200mensedimentossomeros.Porsuparte,lasdistorsiones horizontalesmuestrancompresiónenlatrazadelafallayextensiónenelhangingwall,hastaunos100 metrosdelafalla.Enconjunto,estosresultadossoncoherentesconlacinemáticadeunafallainversa, dondelacomponenteverticalrespondeprincipalmentealángulodebuzamiento,mientrasquela horizontalesmássensiblealageometríaylaspropiedadesdelossedimentos,loqueendepósitos somerosconcentraladeformaciónenunanchomenor,peroconmayoramplitud.
4.CONCLUSIONES
Elmodelodeelementosfinitospropuestoreproducecorrectamentelarigidezdelterreno,inferidaa partirmedicionesdeVsydelperiodofundamentalendistintaszonasdelacuencadeSantiago. Asimismo,capturademaneraconsistentelaresistenciadelsuelodeterminadaexperimentalmenteen ensayostriaxiales,yladegradaciónderigideztípicadesuelosgranualaresgruesos.
Losresultadosindicanquelasdistorsionesangularesmáximasenlatrazadelafallasesitúanentre 1/300y1/200,rangoque,segúncriteriostécnicos(e.g.,UFC3-220-10[10]oManualdeCarreteras), puedengenerardañossignificativosenedificiosdemurosdehormigónarmado,construccionesen albañileríao,engeneral,estructurasdebajaductilidadcercanasalafalla.Estastipologías,comunes eneláreadeestudio,sonparticularmentesensiblesadeformacionesdiferencialesquepueden comprometersuintegridadestructuralysufuncionalidad.
Este estudio aporta insumos relevantes para la planificación territorial, especialmente en sectores de Santiago sur-oriente atravesados por laFalla deSanRamón que, aunque actualmente presentanbaja densidad urbana, se encuentran en proceso de urbanización acelerada y albergarán en el corto plazo unaaltaconcentracióndepoblacióneinfraestructura.Losresultadospermitencaracterizarlamagnitud yextensióndelasdeformacionessuperficialesasociadasalfallamientoinverso,aportandoinformación clave para orientar el uso del suelo, evaluar riesgos y definir medidas de mitigación. No obstante, se trata de resultados preliminares que requieren depurar el modelo, analizar la sensibilidad frente a distintos supuestos de cálculo ycuantificar la incertidumbre delos parámetros empleados.
5. AGRADECIMENTOS
Los autores agradecen el apoyo de laFacultaddeIngenieríaCivil delaUniversidaddelDesarrollo,del Centro de Investigación para la Gestión Estratégica de Recursos (CISGER), y de ANID a través del proyecto FONDECYT Nº1251112 y del Proyecto 1523A0009FONDAP 2023.
6. REFERENCIAS
[1] Bray, J. D., & Kelson, K. I. (2006). Observations of surface fault rupture from the 1906 earthquake in the context of current practice. Earthquake Spectra, 22(2_suppl), 69-89.
[2] Quigley, M., R. Van Dissen, P. Villamor, N. Litchfield, D. Barrell, K. Furlong, T. Stahl et al. "Surface rupture of the Greendale fault during the Darfield (Canterbury) earthquake, New Zealand: initial findings." Bulletin of the New Zealand Societyfor Earthquake Engineering 43, no. 4 (2010): 236-242.
[3] Bray, JonathanD.,RaymondB.Seed, andH.BoltonSeed. "Analysisofearthquakefault rupturepropagation through cohesive soil." Journal of Geotechnical Engineering 120.3 (1994): 562-580.
[4] Oettle, N. K., & Bray, J. D. (2017). Numerical procedures for simulating earthquake fault rupture propagation. International Journal of Geomechanics, 17(1), 04016025.
[5] AcevedoPlaza,M. Á.(2021).“ModelodevelocidadesdelacuencadeSantiagoyestimacióndesurespuesta sísmica” [Tesis de magíster en Ciencias de la Ingeniería, mención Ingeniería Estructural, Sísmica y Geotécnica; memoria para optar al título de Ingeniero Civil, Universidad de Chile, Facultad de Ciencias Físicas yMatemáticas, Departamento de Ingeniería Civil].
[6] Yáñez, G., Perez‐Estay, N., Araya‐Vargas, J., Sanhueza, J., Figueroa, R., Maringue, J., & Rojas, T. (2020). Shallow anatomy of the San Ramón Fault (Chile) constrained by geophysical methods: implications for its role in the Andean deformation. Tectonics, 39(8), e2020TC006294.
[7] González, Felipe Andrés, Andrei Maksymowicz, Daniel Díaz, Luis Villegas, Maximiliano Leiva, Bárbara Blanco, Emilio Vera, Sergio Contreras, Daniel Cabrera, and Sylvain Bonvalot. "Characterization of the depocenters and the basement structure, below the central Chile Andean Forearc: A 3D geophysical modelling in Santiago Basin area." Basin Research 30, no. 4 (2018): 799-815.
[8] Lezana González, F. L. (2014). Correlación de razones espectrales H/V de registros sismológicos y características geotécnicas de suelos de Santiago [Memoria para optar al título de Ingeniero Civil con mención en Estructuras, Construcción y Geotecnia, Universidad de Chile, Facultad de Ciencias Físicas y Matemáticas, Departamento de Ingeniería Civil].
[9] Verdugo, R., & de la Hoz, K. (2006). Caracterización geomecánica de suelos granulares gruesos. Revista Internacional de Desastres Naturales, Accidentes e Infraestructura Civil, 6(2), 199-214.
[10] UFC 3-220-10, Soil Mechanics (2022, Change 1, February 1, 2022), Unified Facilities Criteria, U.S. Army Corps of Engineers, NavalFacilities Engineering Command, Air Force Civil Engineer Center


CLASIFICACIÓN SÍSMICA DEL SITIO PARA PROYECTO UBICADO EN ZONA AUSTRAL DE CHILE

A. Figueroa (1) , I. Rivera (2) , E. Vega (3) , D. Raddatz (4) L. Contreras (5) (1) Stantec, alan.figueroa@stantec.com (2) Stantec, isidora.rivera@stantec.com (3) Stantec, emiliano.vega@stantec.com (4) Stantec, dennis.raddatz@stantec.com (5) Stantec, luis.contreras@stantec.com
RESUMEN/ABSTRACT
Este caso de estudio presenta la clasificación sísmica de un sitio al norte de Punta Arenas, caracterizado por depósitos glaciares, fluvioglaciares y lacustres que reflejan una marcada heterogeneidad estratigráfica y geológica en planta y profundidad A partir de 45 puntos geofísicos y conforme a la norma NCh2369:2025, se identificaron suelos Tipo B, C y D, confirmando que la verificación conjunta de ����30 y ���� es fundamental para una clasificación sísmica precisa en contextos donde la complejidad geológica condiciona la respuesta dinámica y vuelve insuficiente el uso aislado de ����30. Este trabajo aporta antecedentes relevantes para la microzonificación sísmica en la zona austral de Chile y entrega evidencia empírica que respalda la actualización de la normativa nacional en ambientes heterogéneos. La integración de información geotécnica y geomorfológica fue fundamental para interpretar la respuesta dinámica del subsuelo y justificar la clasificación sísmica obtenida
Palabras-Clave: clasificación sísmica, normativa, microzonificación
1. INTRODUCCIÓN
La heterogeneidad geotécnica y geológica de Chile genera variaciones significativas en la respuesta sísmica local, lo que justifica el desarrollo de estudios de microzonificación que integren caracterización de suelos y contexto geológico. A diferencia de la zona central del país, en la zona austral aún existen sectores poco explorados, donde suelos particulares presentan comportamientos dinámicos complejos y poco documentados.
Investigaciones previas, como [1], [2], [3], [4] y [5]; han empleado parámetros como la velocidad promedio de onda de corte en los primeros 30 metros (����30) y el período fundamental (����) obtenido mediante el método H/V para proponer microzonificaciones sísmicas en distintas regiones del país, en concordancia con las normativas vigentes.
Durante el presente año se ha promulgado la actualización de la norma chilena NCh2369:2025 [6], la cual regula el diseño sísmico de estructuras e instalaciones industriales. Esta versión incorpora modificaciones en la clasificación de suelos, orientadas a mejorar la precisión del análisis sísmico y armonizar los criterios nacionales con estándares internacionales. La norma establece criterios técnicos específicos para su identificación y tratamiento, lo que representa un avance significativo en la caracterización sísmica del terreno. Comprender el impacto de estas modificaciones es esencial para una adecuada aplicación de la normativa en proyectos de ingeniería. El presente estudio analiza los datos obtenidos en una campaña geofísica realizada en una zona austral de Chile, específicamente al norte de la ciudad de Punta Arenas. El área de estudio de 12.000 ha se caracteriza por la presencia de suelos y geomorfologías originadas por procesos y dinámicas de ambientes glaciales, predominando depósitos de Till, fluvioglaciales y glaciolacustres, generados a fines del Pleistoceno, posterior al Último Máximo Glacial ([7] y [8]). Para clasificar sísmicamente el sitio, la campaña incluyó además de sondajes de 30 metros de profundidad, 45 puntos de medición, en los
cuales se ejecutaron un total de 90 líneas geofísicas mediante el método de ondas superficiales multicanal (MASW), complementadas con 45 ensayos utilizando el método H/V de Nakamura.
A continuación, se discutirá la aplicabilidad de la normativa vigente para casos con una marcada heterogeneidad en planta y profundidad.
2. METODOLOGÍA
En la campaña de terreno, la caracterización de los perfiles de suelo para determinar su clasificación sísmica se llevó a cabo mediante la aplicación combinada de las metodologías MASW (Multichannel Analysis of Surface Waves) y Nakamura (HVSR, Horizontal-to-Vertical Spectral Ratio) en 45 puntos geofísicos distribuidos en las 12.000 ha que abarca el sitio de estudio (ver Figura 2 a)).
Para la prueba MASW, se midieron dos perfiles preferentemente ortogonales por punto, en donde se dispuso una línea de geófonos igualmente espaciados conectados a un sismógrafo multicanal, registrando la propagación de ondas superficiales generadas por impactos controlados sobre una placa metálica. Este método permitió obtener la dispersión de velocidades de onda de corte (����) en función de la profundidad, construyendo perfiles de rigidez del subsuelo [9].
Para cada perfil se determinó la ����30, que corresponde a la velocidad de onda de corte promedio en los primeros 30 metros del subsuelo (ver Ec. 1). Además, se consideró el menor valor de ����30 obtenido entre los dos perfiles por punto
Ec. 1
Donde ℎ�� corresponde al espesor de la capa i y ������ a la velocidad de onda de corte de esta.
Paralelamente, el método Nakamura consistió en la instalación de un sensor triaxial de banda ancha en cada punto de medición, registrando vibraciones ambientales durante un intervalo suficiente para garantizar la estabilidad estadística. A partir de la relación espectral entre las componentes horizontales y vertical, se identificaron frecuencias fundamentales de vibración del terreno, obteniendo el período fundamental del suelo ���� [9].
Con los resultados de ���� en profundidad y ���� en cada punto geofísico, se clasificó sísmicamente cada punto geofísico de acuerdo con la normativa NCh2369:2025.
3. DISCUSIÓN Y RESULTADOS
3.1. Contexto geomorfológico
Uno de los primeros resultados obtenidos corresponde a la determinación de las unidades geomorfológicas en el área de estudio. A partir de un DEM (Digital Elevation Model) de alta resolución (0,5 m/píxel), se evidenció la marcada heterogeneidad geomorfológica del sector (ver Figura 1). Esta variabilidad puede ser explicada por la superposición de procesos de origen glacial, fluvioglacial, glaciolacustre, fluvial y marino ([10] y [11])
Por temas de confidencialidad de la campaña, en la figura no se explicita la ubicación particular del área de estudio.

3.2. Clasificación sísmica
El análisis de calicatas y sondajes permitió asociar estas unidades geomorfológicas a las propiedades geotécnicas de los materiales que las conforman, confirmando la existencia de una heterogeneidad tanto horizontal como vertical. En este contexto, se analizaron 45 puntos geofísicos que entregaron parámetros dinámicos del subsuelo (���� y ����) y se consideró la menor clasificación obtenida en cada punto estudiado. La clasificación sísmica conforme a la NCh2369:2025 arrojó que 3 puntos correspondieron a suelos tipo B, 24 a tipo C y 18 a tipo D. La Figura 2 a) muestra la distribución espacial interpolada de ����30, mientras que la Figura 2 b) presenta la relación ����30 – ����, en la que se aprecia la dispersión de parámetros coherente con la heterogeneidad geológica descrita.

Figura 2: a) Mapa de ����30 interpolada y b) Distribución de clasificaciones sísmicas
Un aspecto relevante se observó en un punto, el cual, a pesar de presentar ����30 superior a 350 m/s (valor que aisladamente corresponde a un suelo Tipo C) fue clasificado como Tipo D, debido a que su período fundamental (����) alcanzó aproximadamente 1 segundo (Figura 2 b), círculo rojo). El sondaje ejecutado en este punto evidenció un perfil dominado por arcillas y arcillas gravosas, con una delgada capa de grava de 1 m ubicada a 6 m de profundidad. Esta configuración puede explicar la discrepancia: la capa rígida superficial de grava eleva el valor de ����30 promedio (~ 500 m/s), pero la masa de arcillas blandas domina la respuesta dinámica, produciendo un período fundamental alto característico de suelos flexibles.
3.3. Implicancias normativas y de diseño
El resultado obtenido confirma la pertinencia del criterio adoptado en la NCh2369:2025, que exige cumplir simultáneamente con las condiciones de ����30 y ���� para la clasificación sísmica. De lo contrario, el uso exclusivo de ����30 podría inducir clasificaciones erróneas en contextos con estratigrafía compleja, como los depósitos glaciolacustres del área de Punta Arenas. En consecuencia, los hallazgos de este estudio no solo caracterizan localmente el subsuelo, sino que también refuerzan la necesidad de considerar el período fundamental como un parámetro esencial en microzonificación sísmica.
Figura 1: Mapa con unidades geomorfológicas de la zona de estudio
4. CONCLUSIONES
El análisis conjunto de la geomorfología y geotecnia es fundamental para justificar la clasificación sísmica en esta área de estudio al norte de Punta Arenas, en donde se evidencia una marcada heterogeneidad lateral y vertical de los depósitos producto de la superposición de procesos glaciales, fluvioglaciares y lacustres. En este contexto, se vuelve especialmente relevante contar con un estudio de peligro sísmico específico, dada la influencia de la sismicidad cortical asociada al sistema de fallas Magallanes-Fagnano, el cual forma parte del límite transformante entre las placas Sudamericana, Scotia y Antártica.
La identificación de sitios con ����30 elevados y períodos fundamentales altos demuestra que el uso aislado de ����30 no es suficiente para una correcta clasificación sísmica. En estos casos, la norma chilena resulta consistente, al exigir el cumplimiento simultáneo de ����30 y ����, lo que permitió clasificar como suelos Tipo D a perfiles con comportamiento dominado por arcillas.
Finalmente, los resultados obtenidos refuerzan la necesidad de considerar el período fundamental (����) como parámetro esencial en estudios de microzonificación sísmica, especialmente en contextos con alta heterogeneidad estratigráfica, donde ����30 puede entregar interpretaciones parciales del comportamiento dinámico del suelo.
5. AGRADECIMENTOS
Agradecemos sinceramente a la empresa EDF power solutions por su valiosa colaboración y disposición para facilitar los datos necesarios para el desarrollo de este trabajo.
REFERENCIAS
[1] Leyton F, Sepúlveda S, Astroza M, Rebolledo S, Acevedo P, Ruiz S, Gonzalez L, Foncea C. Seismic Zonation of the Santiago Basin, Chile. 5th International conference on Earthquake Geotechnical Engineering. Santiago, Chile; 2011.
[2] Becerra A, Podestá L, Monetta R, Saéz E, Leyton F, Yáñez G. Microzonificación sísmica de las ciudades de Arica e Iquique, Chile. VIII Congreso Chileno de Geotecnia. Santiago, Chile; 2014.
[3] Rauld R, Medina F, Leyton F, Ruiz S. Mapa de microzonificación sismo-geologica para Chile. XIV Congreso geológico chileno. La Serena, Chile; 2015.
[4] Sepúlveda N, Gálvez C, Pantoja G, Morales D. Respuesta sísmica del área urbana de San AntonioLlolleo, región de Valparaíso. Servicio Nacional de Geología y Minería Santiago; 2019.
[5] Villarroel P, Nocera F, Carrasco R. Propuesta de microzonificación sísmica para la ciudad de Punta Arenas, Chile. XVII Pan-American Conference on Soil Mechanics and Geotechnical Engineering (XVII PCSMGE) y 2nd Latin-American Regional Conference of the IAEG La Serena, Chile; 2024.
[6] Instituto Nacional de Normalización. NCh2369:2025 Diseño sísmico de estructuras e instalaciones industriales. INN Santiago, Chile; 2025.
[7] Breuer S, Kilian R, Schörner D, Weinrebe W, Behrmann J, Baeza O. Glacial and tectonic control on fjord morphology and sediment deposition in the Magellan region (53 S), Chile. Marine Geology 2013, 346, 31-46.
[8] Lovell H, Stokes C R, Bentley M J. A glacial geomorphological map of the Seno Skyring-Seno Otway-Strait of Magellan region, southernmost Patagonia. Journal of Maps, 2011, 7, 318 - 339.
[9] Instituto Nacional de Normalización. NCh3793:2025: Obtención de parámetro Vs y Tg basado en técnicas de ondas de superficie para clasificación sísmica de sitios. INN. Santiago, Chile; 2025.
[10] Mapa geológico de Chile: Publicación Geológica Digital Versión No. 4. Servicio Nacional de Geología y Minería. Subdirección Nacional de Geología, 2003.
[11] Clapperton C. Asymmetrical drumlins in Patagonia, Chile. Sedimentary Geology 1989, 62, 387398.



Use and limitations of equivalent linear analyses for the deconvolution of strong ground motions
P. Espinoza (1) , D. Solans (2) (1) WSP, pablo.espinoza@wsp.com (2) WSP, david.solans@wsp.com
RESUMEN/ ABSTRACT
In the design of geotechnical infrastructure in highly seismic areas, it is necessary to perform nonlinear deformation analyses (NDAs) to evaluate the soil-structure interaction under strong ground motions. Seismic hazard assessments usually provide time histories of acceleration records at the top surface of rock outcrops or hard soils, which are defined by the average shear wave velocities in the first 30 m (VS30). Through the deconvolution process, it is possible to bring the surface seismic signal to a certain depth, typically corresponding to the base of the domain to be analyzed using numerical methods. Unfortunately, the deconvolution process does not always produce an appropriate signal, and hence the response in top surface does not match the original record provided. The nonlinear characteristics of the soil deposits and the intensity of the ground motion play an important role in this process, controlling the site response analysis. This article examines the applicability of the deconvolution process through standard industry practice, for a series of homogenous soil deposits and ground motions. Theresults indicate the limitations in the use of this practice, especially when a higher degree of nonlinearity is induced in the response, which is associated with a combined effect between the stiffness characteristics of the material and the magnitude of the seismic event
Key-words: Site Response, Linear-Equivalent, NDAs.
1. INTRODUCTION
Nonlinear dynamic analyses (NDAs) require an input motion at the base of the model that propagates upward through the rock and soil layers, ideally, matching a target ground motion provided at the top surface given by a seismic hazard study. To accomplish this, different approaches can be adopted depending on the specific site investigation available, where the deconvolution process using the Equivalent Linear Method (ELM) is widely used in engineering practice.
This study investigates the applicability of the deconvolution process in site response analyses using an extensive database of surface-recorded ground motions and their corresponding VS30 The range of VS30 varies from 190 to 1000 m/s, which comprehends soils qualified as stiff soil (D) to rock (B), according to the IBC (2020) [1]; and medium dense soil (D) to cemented soils or rock (A) according to the DS 61 [2]. On the other hand, the ground motions examined cover a wide range of PGA values (from 0.15 to 0.89 g) and magnitudes MW (from 6.5 to 7.5) [3]
2. METHODOLOGY
2.1
Ground Motion and Site Database
The ground motion database and corresponding site conditions used in this study were obtained from the FEMA P-695 report [3]. This dataset includes a selection of recorded ground motions, as well as seismic site average characterization parameters (VS30). 36 ground motion records were selected from the dataset, each record consisting of two horizontal components (72 records in total). The dataset provides a reliable and well-documented basis for evaluating seismic responses across a range of site conditions.
The records were preprocessed by applying a baseline correction and a low-pass filter at 20 Hz. This procedure was carried out to ensure comparable results with the output of the numerical model of the wave propagation problem.
2.2 Equivalent linear method and nonlinear numerical model
The adopted methodology begins with the deconvolution of ground motions recorded at the top surface of each of the sites. Each site is then represented by a simplified, uniform, homogenous 30-meter-height soil column characterized by its average shear wave velocity (VS30), which is deemed suitable for the purpose of the analysis. Using the linear equivalent method through the Python library of STRATA [4], called PyStrata [5], the recorded surface ground motions are deconvolved to estimate the input motion at the base of each VS30-based soil column. In order to produce the deconvolved motions valid as input to be used for the numerical model, the base of the linear-equivalent model was considered as “outcrop”, which is compatible with the compliant base (quiet boundary) adopted in the numerical model, following the recommendations given Mejia & Dawson [6] The following step considers a 1D Finite Difference (FD) column, elaborated in FLAC2D [7], where the deconvolved ground motion is imposed at the base of the model, then propagated upward through soil column considering the nonlinear characteristics of the soil unit. The methodology adopted is described indicated in Fig. 1. (a and b). The accuracy of the modeling approach is evaluated by comparing the original surface motion with the motion obtained from the numerical simulation.

Fig. 1. Methodology: a) ELM; b) FD Model in FLAC2D; c) BCs for the FD model; d) Stiffness degradation and damping curves used for the equivalent-linear and nonlinear analisis.
Nonlinear numerical analyses were performed using FLAC2D. For boundary conditions, the bottom was modeled as an absorbing (quiet) boundary, while lateral boundaries used tied degrees of freedom (TDOF), constraining nodes at the same elevation to identical horizontal and vertical displacements. This type of BC, introduced by Zienkiewicz et al. 1988 [8] is widely used in Finite Elements simulations for site response analyses [12]. Spatial discretization followed Kuhlemeyer and Lysmer (1973) [9], considering degraded properties with a minimum shear wave velocity of 80 m/s. Consequently, an element size of 0.5 m was adopted for all analyses.
Each uniform soil column was characterized byVs30 and assigned stiffness degradationand damping curves based on Vs. For Vs > 350 m/s, Seed & Idriss (1970) [10] sand curves (mean) were used; for 200 < Vs < 350 m/s, Vucetic & Dobry IP = 50 (1991) [11]; and for Vs < 200 m/s, Vucetic & Dobry IP = 100 (1991) [11]. The 1D nonlinear analyses employed the Sigmoidal-3 hysteretic model in FLAC2D, calibrated to these curves (Fig. 1.d) with parameters summarized in Table 2 A Mohr Coulomb strength envelope is coupled with the Sigmoidal-3 model, considering c’=0 kPa and ��’= 37 deg. It is important to note that the same curves were adopted in the equivalent linear model for a fair comparison No water level is considered in any of the sites examined. Finally, underlying elastic base elements are considered at the bottom of the 1D analyses in order to apply the quiet boundary condition properly. This boundary condition absorbs outgoing waves and minimizes reflections, simulating an infinite half-space and ensuring stable wave propagation from the base.
Table 2. Sigmoidal 3 parameters calibrated.
Material
It is important to acknowledge the limitations of VS30 parameter as an indicator of the site response. It does not consider the sequence of the soil deposit layers, and relying solely on this parameter to characterize the low-strain dynamic properties of a site may be inadequate in certain cases For example, Verdugo, et al. (2019) [13] noticed when a soft layer overlies a rigid layer, seismic waves are amplified due to the large
impedance ratio, while when a rigid overlies a soft layer, the latter acts as a seismic isolator. Although both column profiles may have identical VS30 values, their respective predominant periods and transfer functions can differ greatly
For the purpose of this study, uniform VS profiles have been assumed due to the lack of site-specific characterization. However, the VS distribution in depth is strongly recommended, with comprehensive site characterization to ensure an accurate assessment of the seismic response
2.4
Error Metrics
The accuracy of the deconvolution process and subsequent convolution is assessed in terms of acceleration response spectra (PSA) at the top of the numerical model, comparing points 1 and 4 of the diagram in Fig 1 Two metrics are considered in this process: 1) As the absolute area between both spectrums (Eq. 1); and 2) the sum of squared error (SSE) of the logarithmic spectral ordinates (Eq. 2).
3. RESULTS
Selected results are presented in Fig. 2 in terms acceleration response spectra (PSA) at the top surface of the 1D soil column. The deconvolved response computed using FLAC2D is compared with the original ground motion. Itis important to note that the deconvolution process using PyStrata recalls the original motion at the top surface. As shown in these plots, the results suggest good agreement for sites with VS30 higher than 700 m/s (Fig. 2 c and d), in terms of PGA (PSA at T= 0.01 s) and spectral accelerations, resembling most of the peaks with satisfactory agreement in terms of amplitude. Differences are evident for VS30 values lower than 400 m/s, where the PGA and most of the spectral peaks are mismatched. An interesting example is observed in Fig. 2 b) (VS30 ~ 350 m/s), where the overall response is well reproduced However, in this case the magnitude of the motion is lower compared to previous examples with spectral peaks values around 0.6 g, as opposed to 1.4 g in the other presented cases. As expected, the magnitude of the motion clearly influences the response and controls the nonlinear behaviour of the analysis.

To quantify the differences between the target PSA and the computed ones, the results of both error metrics are plotted in Fig. 3, against the VS30 of each site. The color scales indicate Arias Intensity, IA, and PSA at theoretical fundamental period of each site, as Intensity Measures (IMs). A clear trend is observed: the error increase with a larger scatter as VS30 decreases. In other words, soft soil deposits (with lower VS30 values) tend to exhibit larger discrepancies between the spectra, for both error metrics used, while stiff soils exhibit reduced scatter in both error metrics.
As expected, the IMs, indicated in the color scales, suggest higher intensity ground motions induce greater variability in the error responses, affecting the accuracy of the adopted methodology, particularly for VS30 values lower than 700 m/s Conversely for low intensity motions, the accuracy of the method is highly variable, particularly for low VS30 values. Overall, the error metrics suggest that the adopted methodology is accurate for VS30 values higher than 700 m/s, regardless of the intensity of the motion.
Discrepancies are inherent to the equivalent linear method, which approximates soil behavior by adjusting linear properties and superposition in the frequency domain. These limitations become more pronounced under high nonlinear soil responses. Finally, from a practical point of view, in sites where high nonlinear soil response is expected, it is prefered to consider a strong motion at rock outcrop (or very stiff soil, VS30>
Eq. 1
Eq. 2
Fig. 2 Selected acceleration spectrum results at surface level
700 m/s) condition, then proceed with the deconvolution process and subsequently the assess the response at top surface in a nonlinear numerical model, considering in an accurate manner soil layers and their properties

Fig. 3. a) Error as the area between PSA spectrums. b) Error as the sum of the squared difference between PSA spectrums. IA and the PSA at the fundamental period of each soil colum are presented in colorbars.
4.
CONCLUSIONS
This study presents a series of deconvolution analyses using the ELM and examined their performance in fully nonlinear analyses 72 strong ground motions recorded at different sites (with varying VS30 between 190 and 1000 m/s) were evaluated The sites were simplified to 30 m soil columns with uniform VS
The analyses indicate that softer soil deposits tend to exhibit larger discrepancies between the spectra (target and computed), rendering the deconvolution process via the equivalent linear method less appropriate. On the other hand, for VS30 > 700 m/s, the match between spectrum seems appropriate, independently of the magnitude of the ground motion. Finally, special attention should be taken when deconvolving seismic records via this method with IMs higher than those presented in this study, as well as with soil profiles with VS distributions that differ from the uniform profiles studied.
The distribution of shear wave velocity in depth requires careful consideration, and site-specific characterization is strongly recommended to ensure an accurate assessment of seismic response It is evident that the VS30 distribution, including the presence of weak layers, can impact on the results. Therefore, special attention should be given to incorporating this approach when addressing such problems
5. ACKNOWLEDGEMENTS
We would like to express our gratitude to WSP for granting us the time and flexibility to carry out this investigation. The support was contributory by allowing working hours to focus on this research
References
[1] IBC. (2020). 2021 International Building Code: Chapter 18 – Soils and Foundations. International Code Council.
[2] MINVU. (2011). Decreto Supremo N° 61: Reglamento que fija el diseño sísmico de edificios. Gobierno de Chile.
[3] FEMA. (2009). Quantification of Building Seismic Performance Factors (FEMA P-695). Prepared by Applied Technology Council (ATC-63 Project). Washington, D.C
[4] Kottke, A. R., & Rathje, E. M. (2008). Technical Manual for STRATA. University of Texas at Austin.
[5] Kottke, A., & Millen, M. (2023). arkottke/pystrata: v0.5.2 [Software]. Zenodo.
[6] Mejia, L. H., & Dawson, E. M. (2006). Earthquake Deconvolution for FLAC. In FLAC and Numerical Modeling in Geomechanics (Procs of the 4th International FLAC Symposium), pp. 211–219
[7] Itasca Consulting Group, Inc. (2023). FLAC2D, Version 9.0 [Computer software]. Minneapolis, MN.
[8] Zienkiewicz, O. C., Bicanic, N., & Shen, F. Q. (1988). Earthquake input definition and the transmiting boundary condition. In Doltsinis IS (Ed.) Ad in computational nonlinear mechs , (pp. 109–138).
[9] Kuhlemeyer, L., & Lysmer, J. (1973). Finite Element Method Accuracy for Wave Propagation Problems. Journal of Soil Mechanics and Foundation Division, 99 (SM5), 421–427.
[10] Seed, H. B., & Idriss, I. M. (1970). Soil moduli and damping factors for dynamic response analyses. Report No. EERC 70-10, EERC, University of California, Berkeley
[11] Vucetic, M., & Dobry, R. (1991). Effect of Soil Plasticity on Cyclic Response. Journal of Geotechnical Engineering, ASCE, 117(1), 89–107.
[12] Papaspiliou, M., Kontoe, S., & Bommer, J. J. (2012). An exploration of incorporating site response into PSHA Part I: Issues related to site response analysis methods. SDEE, 42, 302–315.
[13] Verdugo, R., Ochoa-Cornejo, F., Gonzalez, J., & Valladares, G. (2019). Site effect and site classification in areas with large earthquakes. SDEE, 126



METODOLOGÍAS PARA LA OBTENCIÓN DEL PESO ESPECÍFICO BAJO N°4 EN SUELOS SALINOS
M. Bravo-Zapata (1)* , S. Escobar-Carrasco (1), C. Fuentes-Rojas (1), H. Fuentes-Céspedes (1), W. Valenzuela-Saavedra (1), S. Frez (1), E. Tapia (1) (1) Centro de Investigación, Desarrollo e Innovación en Estructuras y Materiales (IDIEM) - División Geotecnia Laboratorio, *Autor por correspondencia: matias.bravoz@idiem.cl
RESUMEN/ ABSTRACT
Los suelos salinos podrían presentar diferencias significativas en su comportamiento deformacional debido a los minerales evaporíticos que definen su estructura interna y solubilidad en agua, requiriendo una caracterización detallada de sus parámetros y propiedades. Una de las propiedades físicas importantes en esta caracterización es el peso específico de las partículas sólidas. Este trabajo compara 2 metodologías para la determinación de peso específico de suelos salinos, la tradicional empleada en suelos bajo malla #4 de acuerdo con la norma ASTM D854 que contempla el uso picnómetro y agua destilada para su ejecución y la metodología habitualmente utilizada para cementos, especificada en la norma ASTM C188, la que contempla el uso de kerosene o parafina con el objetivo de disminuir la disolución de sales solubles en agua. Para ello, se han realizado ensayos de determinación de Gs con ambas metodologías en 36 muestras con contenido de sales solubles totales variable entre 0% y 13%. Dentro de los resultados, se han observado variaciones en el peso específico de acuerdo con el contenido de sales, sin una correlación directa, lo que sugiere que ambas metodologías deben utilizarse de manera complementaria.
Palabras-Clave: Suelos salinos, peso específico en parafina, sales solubles
1. INTRODUCCIÓN
Los suelos salinos son aquellos que contienen más de un 3% de sales totales, de acuerdo con la norma chilena vigente NCh 3394-2016 [1]. En Chile, estos suelos se encuentran entre Arica y Copiapó, originados por procesos geológicos que provocaron la entrada del mar, su estancamiento y la precipitación de sales por evaporación [2]. Localidades como Alto Hospicio, Iquique y Antofagasta, entre otros, están emplazadas sobre estos suelos salinos, por lo que las diversas estructuras podrían manifestar problemas de asentamientos y corrosión si no se tratan debidamente.
Olguín y colaboradores [3] mencionan que existen diferencias significativas en las deformaciones de suelos salinos para un mismo contenido de sales, debido a la estructura interna de estos, donde los distintos minerales evaporíticos han precipitado en los vacíos entre partículas sólidas. Estos minerales, como la halita, yeso o calcita poseen distintas solubilidades en agua, por lo que es necesario tener precaución al momento de realizar algunos ensayos de laboratorio en condiciones saturadas.
Uno de estos ensayos es el de la determinación del peso específico (Gs) de las partículas sólidas del suelo a través de un picnómetro y agua destilada como indica la norma ASTM D854 [4]. Sin embargo, el uso de agua puede disolver las sales presentes en el suelo, por lo que el resultado a través de esta metodología no cuantifica del todo el peso específico. Nusier y colaboradores [5] proponen el uso de parafina para evitar la disolución o rehidratación de las sales, argumentando que los errores en la estimación de las propiedades básicas del suelo tienen un efecto importante en parámetros de diseño y en el estudio del comportamiento del suelo.
Si bien no hay una norma particular para la determinación del peso específico de las partículas sólidas del suelo con el uso de parafina, las normas ASTM C188 y NCh 154 Of.69 [6,7] detallan una metodología para determinar la densidad del cemento hidráulico con el uso de parafina.
El presente trabajo tiene por objetivo comparar el peso específico determinado mediante el procedimiento ASTM D854 [4] con el peso específico obtenido a través del uso de parafina, adaptando para ello las normas ASTM C188 [6] y NCh 154 Of.69 [7] La validación de la metodología considera la ejecución del ensayo bajo ambas metodologías utilizando la Arena de Ottawa como material de referencia. Por último, se realizan los ensayos en 36 muestras de suelo con contenido de sales entre 0,3 a 13%, para cuantificar la influencia del uso de parafina en el valor de peso específico.
2. METODOLOGÍA
Las normas ASTM C188 [6] y NCh 154 Of.69 [7] establecen el procedimiento para determinar el peso específico relativo del cemento como la relación entre su masa y el volumen de parafina desplazado en el matraz de Le Chatelier. En el caso del suelo, se considera el material bajo el tamiz N°4 (4,75 mm) al igual que en la norma ASTM D854 [4], determinando el peso específico como la relación entre la masa de suelo y el volumen de parafina desplazado.
La validación de la metodología considera el uso de Arena de Ottawa como material de referencia. Este material se clasifica como una arena pobremente graduada con un peso específico de 2,65 [8-10]. Una vez validada la metodología, se realizan los ensayos a 36 muestras de suelos salinos para cuantificar el efecto de la metodología en los valores del peso específico. Además, se define la diferencia de peso específico normalizado (��������������) a partir del peso específico convencional (������������) y el peso específico en parafina (��������������������), como se observa en la Ec. 1.
3. RESULTADOS
Los resultados de Gs para Arena de Ottawa obtenidos a través de ambas metodologías se presentan en la Tabla 1. Como se puede observar, no hay diferencia en los valores obtenidos para las muestras de Arena de Ottawa con ambas metodologías.
Tabla 1. Resultados de Gs para Arena de Ottawa. *Basado en [8-10]
Referencial* ASTM C188 – NCh 154
La Figura 1 presenta los factores de correlación de Pearson entre las variables Gs convencional (������������), Gs en parafina (��������������������), Gs normalizado (��������������) y el contenido de sales solubles totales (SST %). Los coeficientes de correlación oscilan entre -1,0 y 1,0 indica la fuerza y el sentido de la relación valores positivos representan una relación directa, mientras que los valores negativos representan una relación inversa. Se observa una correlación positiva moderada entre el ������������ y el contenido de SST% lo que sugiere que el peso específico determinado mediante este método tiende a incrementarse a media que aumenta las sales solubles totales. Por su parte, el ��������������������muestra una correlación negativa y de magnitud despreciable, indicando que el método presenta menor sensibilidad frente a la presencia de sales solubles. Esta diferencia en la correlación se debe a la solubilidad de los minerales evaporíticos (como la halita y el yeso) presentes en los suelos, donde el uso de la parafina para la determinación del peso específico recubre la masa de suelo, evitando que las sales se disuelvan durante el ensayo, a diferencia del método tradicional. En general, estos minerales poseen pesos específicos menores a las partículas sólidas del suelo, por lo que es esperable que con esta metodología se reduzca el valor del Gs.

Figura 1. Matriz de correlación de resultados de peso específico y contenidos de sales solubles totales (SST%).
La Figura 2 muestra tres gráficos de dispersión con los resultados de pesos específicos obtenidos a través de las dos metodologías. La relación entre el peso específico convencional (������������) y el peso específico en parafina (��������������������) se presenta en la Figura 2a, observándose una dispersión de los datos sin una tendencia definida, no obstante, es posible señalar que para un mismo valor de ������������ se obtiene un valor menor del ��������������������, concordando con la matriz de correlación de la Figura 1. Esta diferencia se hace más evidente en la Figura 2b, donde se comparan ambas metodologías en función del contenido de sales solubles totales (SST%), identificando que su contenido no interferiría con el valor del �������������������� , según se observa también en la Figura 1 Por último, la Figura 2c muestra la variación normalizada del peso específico (��������������) en función del SST%, observándose una tendencia creciente

Figura 2. Gráficos de dispersión. (a) Peso específico convencional vs Peso específico en parafina. (b) Contenido de Sales Solubles Totales vs Peso específico convencional y en parafina (c) Contenido de Sales Solubles Totales vs Variación de peso específico normalizado.
4. CONCLUSIONES
El uso de parafina para determinar el peso específico de las partículas sólidas es una alternativa para el método convencional, debido a que evita la disolución de las sales durante la ejecución del ensayo, permitiendo así caracterizar el material integral. No obstante, los resultados del Gsparafina serán menores al Gsconv y dependerán del contenido de SST%, así como de la estructura interna otorgada por la mineralogía del material cementante entre partículas sólidas, como consecuencia de su peso específico menor que el de las partículas sólidas del suelo. En ese sentido, el método convencional puede sobreestimar el peso específico de la masa de suelo en presencia de sales solubles, tales como el yeso y la halita.
Debido a la dispersión de los resultados, no es posible determinar una correlación matemática que se ajuste y represente la relación entre el peso específico en parafina o la variación del peso específico
normalizado, con el contenido de SST%, para la cantidad de muestras ensayadas. Sin embargo, si es posible identificar en la matriz de correlación (Figura 1) la influencia de las SST% en estas variables. En particular, �������������������� muestra una correlación negativa débil con el contenido de SST%, lo que evidencia que esta metodología presenta una baja sensibilidad frente a variaciones en la salinidad de los suelos.
Finalmente, para suelos con presencia de sales, se recomienda trabajar con ambas metodologías de trabajo, para obtener tanto con Gsconv como Gsparafina de manera complementaria, al momento de realizar una caracterización básica dentro de un proyecto, permitiendo precisar y fortalecer el diseño geotécnico en presencia de suelos salinos.
Se propone realizar ensayos con variables controladas para continuar con la línea de investigación, con el objetivo de precisar la relación entre el contenido de sales solubles totales y los valores de pesos específicos, así como también incluir ensayos de Difracción de Rayos X y determinación de contenido de cloruros, sulfatos, carbonatos y nitratos, para estudiar la influencia del tipo de mineral y su solubilidad en el peso específico.
5. REFERENCIAS
[1] NCh 3394. Suelo salino – Requisitos geotécnicos y de instalaciones sanitarias para diseño y ejecución de obras. Santiago: Instituto Nacional de Normalización; 2016.
[2] Acevedo P, Foncea C, Olguín R. Suelos salinos del norte de Chile parte I Origen, Distribución y Características de los depósitos. In: V congreso chileno de ingeniería geotécnica. 2004.
[3] Olguín R, Foncea C, Acevedo P. Suelos salinos del norte de Chile parte II Estructura y Propiedades Índices - Metodología. In: V congreso chileno de ingeniería geotécnica. 2004.
[4] ASTM D 854. Specific Gravity of Soil Solid by Water Pycnometer. ASTM International West Conshohocken, PA; 2010. DOI: 10.1520/D0854-02. Disponible en: www.astm.org.
[5] Nusier OK, Al-Mufty AA, Jaradat RA. Determination of Saline Soils Specific Gravity. Jordan Journal of Civil Engineering. 2008;2(1).
[6] ASTM C188-25. Standard Test Method for Density of Hydraulic Cement. West Conshohocken (PA): ASTM International; 2025
[7] NCh 154.Of69. Cemento - Determinación del peso específico relativo. Santiago: Instituto Nacional de Normalización; 1969 1.
[8] Hubler JF, Athanasopoulos-Zekkos A, Zekkos D. Monotonic and cyclic simple shear response of gravel-sand mixtures. Soil Dynamics and Earthquake Engineering. diciembre de 2018;115:291304.
[9] Polito CP, Martin JR, Sibley ELD. The Effect of Non-Plastic Fines Content on Pore Pressure Generation Rates in Cyclic Triaxial and Cyclic Direct Simple Shear Tests. Eng. 26 de septiembre de 2024;5(4):2410-27.
[10] Pacheco M. Mechanical study of sand-laponite mixes Santiago, Chile: Universidad de ChileFacultad de Ciencias Físicas y Matemáticas; 2023. Disponible en: https://repositorio.uchile.cl/handle/2250/199581.



COMPORTAMIENTO GEOTÉCNICO DE RIPIOS LIXIVIADOS EN ENSAYOS DE LABORATORIO TRADICIONALES – PARTE I: ESTADO DEL ARTE
E. Fuenzalida (1) , M Bravo-Zapata (1)(*), A Reyes (1), E Tapia (1), S Frez (1) (1) Centro de Investigación, Desarrollo e Innovación en Estructuras y Materiales (IDIEM) – División Geotecnia Laboratorio.
(*) Autor por correspondencia: matias.bravoz@idiem.cl
RESUMEN/ ABSTRACT
Este trabajo corresponde a una primera parte del estudio del comportamiento geotécnico de ripios lixiviados en ensayos de laboratorio tradicionales, abarcando en esta etapa el estado del arte asociado a su comportamiento geotécnico. Los ripios frescos han sido clasificados mayoritariamente como GP-GM y GP-GC, transicionando a GM, GC o GM-GC producto del proceso de lixiviación, observándose un aumento del contenido de finos generado por la alteración química del material. Estudios de campo y laboratorio dan evidencia de que la estabilidad mecánica y el comportamiento hidráulico de los ripios lixiviados se ven afectados por el desgaste y rotura de las partículas producto del transporte y consolidación del material en la pila, por lo que el estudio del comportamiento geotécnico de los ripios es requerido para las etapas de diseño estructural y operacional. Debido a la interacción del material con las soluciones ácidas se produce el chancado químico de las partículas, lo que genera una granulometría más fina y, en consecuencia, una disminución en la permeabilidad de la estructura. Por ello, se recomienda estudiar el comportamiento en distintas condiciones de drenaje, debido a que se han reportado ensayos triaxiales donde el material evidencia un comportamiento contractivo-dilatante
Palabras-Clave: ripios lixiviados, ensayos de laboratorio
1. INTRODUCCIÓN
En la actualidad, Chile es uno de los principales productores y exportadores de cobre a nivel mundial, alcanzando un 23% de participación en el año 2024 [1]. Debido a los altos niveles de producción, esta industria se ha convertido en un pilar fundamental para la economía nacional, abarcando un 13,9% del Producto Interno Bruto del país, y corresponde al área con mayor inversión extranjera [1]. Gran parte de esta inversión está destinada a proyectos mineros en etapa de construcción y operación, cuyo proceso productivo comienza con la extracción del material desde el yacimiento hasta la obtención del mineral de cobre.
El costo de la inversión depende directamente del método de obtención, cuya elección está asociada a la ley del mineral. Para minerales de baja ley, como el cobre, el método de extracción óptimo corresponde a la lixiviación en pilas. En este método, el material chancado se apila y se riega con una solución ácida, cuyo propósito es disolver y transportar los minerales presentes.
El material de las pilas de lixiviación, comúnmente denominado ripios, tiene un tamaño máximo de partículas entre 1’’ y 2’’ (25,4 a 50,8 mm), sin embargo, la distribución del tamaño de granos depende del proceso de chancado y trituración, así como la alteración y meteorización de la roca madre [2] [3]. Durante el transporte, colocación y operación de la pila se induce a la aglomeración de los finos con las partículas de grava para prevenir la emanación de polvo durante el transporte y evitar la disminución de la permeabilidad del mineral debido a la migración de finos al fondo de la pila [3].
Considerando que la resistencia al corte, en condición no drenada y la generación de presión de poros de los ripios son factores que también influyen en la estabilidad de una pila de lixiviación, además del enfoque en el control hidrometalúrgico, la inclusión de variables geotécnicas en el diseño y operación son necesarias [2][4]. En este sentido, [10] precisa que el comportamiento geotécnico de los ripios de
lixiviación está influenciado por su granulometría, contenido de finos y presión de confinamiento, lo que afecta su conductividad hidráulica y estabilidad estructural.
Dada la importancia de la minería en nuestro país y el rol de la Geotecnia en el diseño de las pilas de lixiviación, es que el siguiente artículo presenta una revisión del estado del arte del comportamiento de los ripios lixiviados disponible en la literatura científica. Dentro del artículo, se abordan aspectos de la caracterización básica de los ripios, su comportamiento mecánico e hidráulico, así como el efecto de la degradación producto de la lixiviación.
2. ANTECEDENTES DE COMPORTAMIENTO GEOTÉCNICO DE RIPIOS
El proceso de lixiviación induce transformaciones significativas en las propiedades índice de los ripios. [5] menciona que la estabilidad se ve afectada por el desgaste y la rotura de partículas durante el transporte y la consolidación debido a la depositación de material para la construcción de nuevos pisos, a lo que se suma la degradación química por elflujo de ácido sulfúrico observada por [6]. Este fenómeno produce un aumento en el contenido de finos, lo que modifica la clasificación del material.
En ensayos de clasificación USCS, [4] observó que el mineral fresco corresponde a GP-GM o GP-GC, mientras que el material lixiviado clasificó como GC, GM o GC-GM. El autor atribuye este cambio a un incremento del contenido de finos de entre un 4% y un 19%, observándose que las muestras a mayor profundidad en la pila son las que presentan un mayor aumento en el contenido de finos Por otro lado, el autor reporta valores de gravedad específica (Gs) entre 2.77 y 2.89 e índices de Plasticidad (IP) entre 4 y 20. De manera similar, [8] reporta mineral con límite líquido mayor a 20 e índices de plasticidad del orden de 10, destacando que el contenido de arcillas podría impactar negativamente la permeabilidad bajo carga.
En cuanto a propiedades como la conductividad hidráulica, [3] indica que, aunque las pilas se diseñan para operar en condición drenada, la disminución de la permeabilidad puede elevar el nivel freático y generar condiciones saturadas durante la operación o fase de cierre. La reducción de la permeabilidad se debe a la densificación del material por su propio peso, el reacomodo de partículas [2] y, fundamentalmente, al chancado químico y la consolidación [3].Este fenómeno ha sido cuantificado experimentalmente, [6] evidenció una reducción del 28% en la permeabilidad de gravas de drenaje tras cinco meses de lixiviación, identificando que la obstrucción (clogging) puede ser tanto física, por la migración de finos, como química, debido a la precipitación de compuestos insolubles generados durante las reacciones. Por su parte, [10] señala en un estudio en la mina Shahuindo de Perú [10] que, si bien la aglomeración con cemento mejora inicialmente la permeabilidad, este efecto se reduce para cargas normales superiores a 200 kPa, disminuyendo la capacidad de drenaje del PAD de lixiviación al perderse las propiedades aglomerantes Para una correcta medición en laboratorio, [2] recomiendan el uso del permeámetro de pared flexible por sobre el de pared rígida para evitar la formación de flujos preferenciales en los bordes de la probeta al no poder aplicar una presión de confinamiento, como en la celda triaxial.
Los resultados de ensayos triaxiales CIU realizados por [4] en ripios lixiviados evidenciaron un comportamiento contractivo-dilatante, logrando observar la línea de transformación de fase o quasi steady state definida por [9]. Esta tendencia contractiva subraya la importancia de estudiar la respuesta no drenada del material [3].
Para determinar el efecto de la lixiviación ácida sobre los parámetros de resistencia es un punto crítico. [11], al someter ripios de rocas graníticas a soluciones con distinto pH, concluyó que, a menor pH, parámetros como la resistencia axial y triaxial, la resistencia a la tracción, el Módulo de Young y la cohesión disminuyen, llevando la deformación de un comportamiento frágil a uno dúctil. Sin embargo, en sus ensayos, el ángulo de fricción interna se mantuvo constante. En contraste, [6] observó en partículas de óxido de cobre una reducción progresiva y significativa del ángulo de fricción interna de hasta un 25% después de ocho meses de lixiviación, sugiriendo que la duración de la exposición al ácido es un factor crítico. Otros estudios, como el de [12], también han analizado los cambios en
propiedades mecánicas, físicas y químicas del material expuesto a soluciones de distinto pH (3-5-7-911-13) durante periodos de hasta 28 días (7-14-21-28)
La complejidad del comportamiento de los ripios ha llevado a proponer diversas metodologías de análisis. [10] utilizó los criterios de Seed, Bray y Sancio, y Boulanger e Idriss para evaluar preventivamente los suelos que podrían presentar un mayor potencial de falla, basado en propiedades índice como el índice de plasticidad y en la relación entre el contenido de humedad del material y el Límite Líquido. Mediante este enfoque, se identificaron como potencialmente susceptibles a fallar, dos tipos de gravas arcillosa (GC) con índices de plasticidad entre 12 y 17, que además cumplían con una relación de humedad y límite liquido superior a 0.80. Por consiguiente, los autores concluyen que dicha clasificación justifica la necesidad de realizar análisis avanzados, como modelos de flujo no saturados y ensayos triaxiales cíclicos, para garantizar la estabilidad del depósito
No obstante, [7] advierte que los ensayos de laboratorio no representan lo que realmente pasa en la pila, debido a que el mineral se encuentra en una condición metaestable atribuida al efecto cementante de los finos generados por el chancado químico, que puede ser modificado en la etapa de saturación y consolidación de los ensayos de resistencia. Para abordar estas limitaciones, estudios como el de [8] utilizan ensayos de lixiviación en columna que permiten evaluar la evolución temporal de propiedades hidromecánicas clave bajo condiciones simuladas. Finalmente, [13] recomiendan enfáticamente que se realicen ensayos geotécnicos complementarios cada vez que se implementen o modifiquen los procesos metalúrgicos, idealmente desde etapastempranas como pruebas en columna o plantas piloto. Esto permitiría anticipar y mitigar posibles efectos adversos en el comportamiento del ripio y la estabilidad de las estructuras de disposición.
3. CONCLUSIONES Y RECOMENDACIONES
La evaluación del comportamiento geotécnico de los ripios lixiviados evidencia transformaciones complejas que impactan sus propiedades geotécnicas. El proceso de lixiviación, en particular, desencadena la degradación progresiva de partículas, tanto por efectos mecánicos como por la acción química de soluciones ácidas. Esto, a su vez, conlleva un aumento del contenido de finos, modificando la clasificación granulométrica y una disminución de la conductividad hidráulica. Como consecuencia, esta reducida capacidad de drenaje puede generar un aumento de presión de poros debido a un incremento en el grado de saturación en pilas que fueron diseñadas para operar en condiciones drenadas.
Un hallazgo de particular relevancia es el comportamiento contractivo-dilatante que los ripios lixiviados exhiben en ensayos triaxiales no drenados, donde se ha identificado el estado de transformación de fase o quasi steady state. Además, incremento de finos y la reducción de la resistencia debido a la lixiviación del mineral, lo que puede comprometer la estabilidad de la pila
Para predecir con mayor certeza este comportamiento y así mejorar la seguridad de las operaciones, es imperativo profundizar en tópicos de investigación como los mecanismos de la respuesta contractivo-dilatante y en la caracterización de los estados críticos bajo diversas condiciones. Además, es fundamental cuantificar la evolución temporal de las propiedades hidromecánicas, estudiando el acoplamiento químico-mecánico y el impacto de la generación continua de finos en la resistencia, compresibilidad y permeabilidad a largo plazo.
Igualmente, dada la posible saturación y el comportamiento contractivo, son cruciales estudios detallados sobre la resistencia no drenada y resistencia cíclica, especialmente en ripios con muchos finos, bajo cargas estáticas y dinámicas. Se recomienda realizar ensayos triaxiales consolidados no drenados y triaxiales cíclicos en grandes partículas (hasta 1’’ o 2’’ de tamaño máximo) como complemento de ensayos triaxiales consolidados drenados, para obtener la linea de estado último con mayor precisión.
También es necesario incluir metodologías complementarias a los procedimientos actuales de manera que los ensayos sean ejecutados en condiciones más representativas de la condición de campo, como
la temperatura, altas presiones o la exposición química prolongada. Este último punto, sugiere continuar con investigaciones sobre la influencia de la variabilidad del material de origen y las modificaciones en procesos metalúrgicos en el comportamiento geotécnico, a través de la inclusión de la medición de pH, pruebas de columna y difracción de rayos x en los programas de ensayos de laboratorio.
Abordar estas líneas de investigación permitirá comprender el comportamiento geotécnico propio de los ripios de lixiviación y su variabilidad en el tiempo, mejorando así la caracterización geotécnica, optimización de diseño y la operación de las pilas de lixiviación, garantizando su estabilidad y eficiencia a largo plazo.
4.
REFERENCIAS
[1] World Metal Statistics; Cochilco para cifras de producción de Chile / World Metal Statistics; Chile data by Chilean Copper Commission. Producción mundial de cobre de mina - anual. Principales países. Ene 2020 - Mar 2024. Santiago (CL): Comisión Chilena del Cobre (Cochilco); 2024. Disponible en: https://www.cochilco.cl
[2] Bard E, Campaña J. Aspectos Geotécnicos en el Diseño de Pilas y Botaderos de Ripios Lixiviados. In: V Congreso Chileno de Geotecnia; 2004 Nov.
[3] Oldecop L, Rodari R, Zabala F, Mazuelos O. Shear Strength Parameters of a Heap Leach Material. In: From Fundamentals to Applications in Geotechnics. IOS Press; 2015. p. 2505. Available from: https://doi.org/10.3233/978-1-61499-603-3-2505
[4] Garcia A. Evaluación de la resistencia al corte de los ripios de una pila de lixiviación permanente de sulfuros secundarios de cobre empleando piezoconos y ensayos de laboratorio. Tesis para optar a grado de Magister. Universidad Nacional de San Agustín de Arequipa; 2022.
[5] Dhawan N, Safarzadeh MS, Miller JD, Moats MS, Rajamani RK. Crushed ore agglomeration and its control for heap leach operations. Minerals Eng. 2013; 41:53-70. Available from: https://doi.org/10.1016/j.mineng.2012.08.013
[6] Ghasemzadeh H, Sanaye Pasand M, Mollanouri Shamsi MM. Experimental study of sulfuric acid effects on hydro-mechanical properties of oxide copper heap soils. Minerals Eng. 2018; 117:100-7. Available from: https://doi.org/10.1016/j.mineng.2017.12.010
[7] Kinard D T, Schweizer A A. Engineering Properties of Agglomerated Ore in a Heap Leach Pile (Chapter 23). En Society for Mining, Metallurgy & Exploration; 1987.
[8] Garcia AJ, Jorgensen MK. Agglomeration and heap leach testing requirements for high clay ores. In: Randol Gold Forum ’97, Conference and Exhibition; 1997 May 18-21; Monterey, California. Randol International Ltd.; 1997. p. 143-6.
[9] Verdugo R, Ishihara K. The Steady State of Sandy Soils. Soils and Foundations. 1 de junio de 1996; 36(2):81-91.
[10] Huallanca W, Landa R, Chung A. Geotechnical-Metallurgical Characterization of Crushed Agglomerated Ore in Shahuindo Heap Leach. In: [Conference Name, if applicable]; 2016.
[11] Miao S, Cai M, Guo Q, Wang P, Liang M. Damage effects and mechanisms in granite treated with acidic chemical solutions. Int J Rock Mech Min Sci. 2016; 88:77-86. Available from: https://doi.org/10.1016/j.ijrmms.2016.07.002
[12] Chen Y, Tang L, Sun Y, Cheng Z, Gong W. Physical–mechanical properties and microstructure degradation of acid–alkali contaminated granite residual soil. Geomech Energy Environ. 2023; 36:100501. Available from: https://doi.org/10.1016/j.gete.2023.100501
[13] Rimmelin R, Vergara C. Geotechnical behaviour of spent ore – impacts of metallurgical factors. The Australasian Institute of Mining and Metallurgy; 2018.



COMPORTAMIENTO GEOTÉCNICO DE RIPIOS LIXIVIADOS EN ENSAYOS DE LABORATORIO TRADICIONALES - PARTE II: OBSERVACIONES EN LABORATORIO – PREPARACIÓN DE MUESTRAS Y ENSAYOS BÁSICOS.
A Reyes-Veliz (1) , M Bravo-Zapata (1)(*), E. Fuenzalida-Muñoz (1), E. Tapia (1), S. Frez (1) (1) Centro de Investigación, Desarrollo e Innovación de Estructuras y Materiales, IDIEM (*) Autor por correspondencia: matias.bravoz@idiem.cl
RESUMEN/ ABSTRACT
En esta segunda parte del estudio del comportamiento geotécnico de ripios lixiviados en ensayos de laboratorio tradicionales, se da énfasis a experiencias y observaciones durante la preparación de muestras y ejecución de los ensayos básicos realizados en Laboratorio de Geotecnia del Centro de Investigación, Desarrollo e Innovación en Estructuras y Materiales (IDIEM), al momento de trabajar con este tipo de materiales. Se han desarrollado diversas técnicas y métodos prácticos para la ejecución de ensayos como granulometría y densidades máximas y mínimas, debido a que la estructura, composición y condiciones de ensayo varían en comparación con los suelos tradicionales, esto considerando que el ácido aglomera el material y por tanto dependiendo de la forma en que se prepare y trabaje, podrían variar los resultados obtenidos, por ejemplo el aumento de la densidad máxima y diferencias en su granulometría producto del cepillado de las gravas o el aumento de la densidad máxima compactada seca producto de la cementación y aglomeración por la interacción entre el ácido y las fases agua-suelo-aire. Finalmente, se recomienda ajustar la metodología de preparación de acuerdo con el alcance del proyecto o investigación, para evaluar la densidad del material pre-aglomeración, posterior al efecto de la lixiviación o estado final del material de la pila.
Palabras-Clave: ripios lixiviados, preparación de muestras, ensayos básicos.
1. INTRODUCCIÓN
Los ripios de lixiviación son materiales que pueden tener una distribución de tamaño variables, debido a que el material se somete durante el transporte, disposición y operación de una pila, a procesos como el chancado, trituración y aglomeración de los finos, con el objetivo evitar la migración de finos al fondo de la pila y con esto la disminución de la permeabilidad [1,2]. A su vez, el proceso de lixiviación provoca un chancado químico de las partículas, lo que debilita las partículas sólidas y favorece la rotura de estas [2] Por otra parte, estos procesos también tienen un efecto en la compactación y cementación de las partículas, así como en el comportamiento tensión-deformación del mineral lixiviado, por lo que la caracterización básica de los ripios es necesaria para la comprensión del comportamiento geotécnico del material y el diseño de las pilas de lixiviación.
Además, si se considera que las condiciones de los ensayos de caracterización (como el ensayo granulométrico, determinación del peso específico y límites de Atterberg) y compactación (Proctor modificado y Densidad máxima y mínima) pueden variar de los suelos tradicionales por su estructura aglomerada y/o cementada producto de la interacción suelo-ácido, la adaptación de las metodologías de los ensayos tradicionales resulta fundamental para una correcta interpretación. Por lo tanto, la comunicación entre los ingenieros geotécnicos y laboratorios debe enfocarse en trasmitir los objetivos del proyecto, realizando los esfuerzos necesarios para la caracterización de la pila de lixiviación a través de las metodologías adecuadas
En esta segunda parte del estudio del comportamiento geotécnico de ripios lixiviados en ensayos de laboratorio tradicionales, se da énfasis a experiencias y observaciones durante la preparación de muestras y ejecución de los ensayos básicos realizados en el Laboratorio de Geotecnia del Centro de Investigación, Desarrollo e Innovación en Estructuras y Materiales (IDIEM), al momento de trabajar con
este tipo de materiales, donde se han desarrollado técnicas y métodos prácticos para la ejecución de ensayos de caracterización y compactación
2. OBSERVACIONES EN LABORATORIO
2.1 Aglomeración y estructura del material
La aglomeración corresponde a una de las principales etapas del proceso de lixiviación en pilas y este hace referencia a la adhesión de material fino a partículas de mayor tamaño por la adición de agua u otra solución, con el objetivo de formar una estructura denominada "glómeros". Dependiendo del tipo de muestreo, es posible observar una variación en la estructura del material integral. En el caso de que este provenga de muestreo realizado en calicatas o trincheras, es posible notar una aglomeración heterogénea, presentándose gravas subangulares con finos adheridos como “polvillo” formando aparentes costras en su superficie, o también, de forma botroidal (Figura 1 izq). Por otro lado, los sondajes sónicos con tubos acrílicos, si bien pueden perturbar el material mediante la vibración o rotación del cabezal, permiten recuperar material a profundidad manteniendo la estructura de este en la pila. En estos casos, es frecuente encontrar partículas de tamaño mayor a 3’’ y un contenido de finos en torno al 20%, observándose una alta cementación en la estructura del suelo, como ejemplifica la Figura 1 (der.)

Figura 1. Muestras de ripios de lixiviación proveniente de: calicatas (izq), sondaje sónico (der). Base de datos IDIEM.
Tanto en muestras de calicatas como de sondajes es posible notar la presencia de trazas de ácido, el que al interactuar con el agua y las partículas sólidas desencadenan reacciones químicas que pueden tener un efecto en los ensayos de laboratorio. Debido a esto, la preparación del material para la ejecución de ensayos de laboratorio requiere el uso de técnicas y métodos prácticos adicionales a las recomendaciones de las normativas. Algunas de estas metodologías consideran el sumergimiento iterativo del material en agua, el secado al aire, cepillado de las gravas, ensayo en probetas inalteradas con sobre tamaño, entre otros. La elección de la metodología de preparación o ensayo dependerá del alcance de la campaña geotécnica y de la experiencia tanto del ingeniero geotécnico, como del equipo de laboratorio Sin embargo, la metodología de preparación del material a ensayar debe ser consistente en todos los ensayos de laboratorio.
2.2 Ensayo Granulométrico
De acuerdo con la norma ASTM 422 [3], el ensayo granulométrico determina la distribución de tamaño de partículas superior a las 75 μm a partir del tamizado del material seco, previamente preparado. Al comparar el mineral fresco con el mineral lixiviado, se observa una degradación granulométrica en el material lixiviado, como se observa en la Figura 2 (izq.) A su vez, comparando el mismo tipo de material, la preparación depende de la metodología empleada, ya sea por método seco o método húmedo. El primero, considera únicamente el lavado de la fracción bajo #4, mientras que el método húmedo incluye
adicionalmente el lavado de las gravas. Esta diferencia metodológica, por lo tanto, inducirá cambios en la curva granulométrica de los ripios lixiviados, debido a que el lavado de las gravas eliminará la estructura aglomerada provocando el aumento del contenido de finos, observando una granulometría más gruesa en el material ensayado por vía seca que en el ensayado por vía húmeda, como muestra la Figura 2 (der.)

Figura 2. Resultados de ensayos granulométricos. Base de datos IDIEM
2.3
Ensayos de Compactación
La ejecución de ensayos de compactación, como densidad máxima y mínima [4, 5] o Proctor modificado [6], está condicionada por el tamaño máximo de partículas y contenido de finos. Sin embargo, características como la aglomeración o la cementación influenciarán en la ejecución de estos, como se ejemplifica a continuación.
En ensayos de densidad máxima y mínima realizados en IDIEM, se ha observado que la aglomeración disminuye ambas densidades, debido a que el cambio de la forma de las partículas y la estructura del mineral ha sido modificado, difiriendo de los valores iniciales obtenidos en el mineral fresco El sumergimiento del material en agua y el cepillado de las gravas con cepillos de cobre son alternativas para el desprendimiento de los finos, lo que permite un mejor reacomodo de las partículas durante el ensayo, sin embargo, los resultados no serán representativos de la pila de lixiviación y también aumentarán los tiempos de preparación Ejemplo de estos son unas muestras de ripio de densidad mínima entre 1,4-1,5 g/cm3 y densidad máxima entre 1,66-1,68 g/cm3 las que luego de ser cepilladas aumentan ambos valores a rangos de 1,59-1,61 g/cm3 de densidad mínima y 1,87-1,89 g/cm3.
La Figura 4 muestra una probeta de ensayo Proctor Modificado en ripio. Como resultado, se obtuvieron valores de densidad máxima compactada seca entre 2,19-2,29 g/cm3 (notoriamente mayor a las densidades máximas mencionadas anteriormente), debido a que durante la ejecución del ensayo se produce la rotura de las partículas sólidas degradadas por la lixiviación, además de la cementación de las partículas producto de la interacción de la fase líquida-ácida y el contenido de finos.

3. CONCLUSIONES
La forma en la que se aglomera el mineral está relacionada con las condiciones operacionales y diseño, mientras que su estructura estará dada por el tipo de mineral depositado en la pila, el efecto del riego, cementación y consolidación del material. Esta estructura puede verse modificada por el tipo de prospección y forma de extracción de las muestras, o bien, por la metodología de preparación del material para realizar los ensayos de laboratorio
La elección de la metodología de preparación debe ser consistente con el objetivo de la campaña geotécnica y entre los ensayos de laboratorio. Si se requiere caracterizar el material dispuesto en la pila de lixiviación, la ejecución de los ensayos debe realizarse en el material aglomerado o, por el contrario, si el objetivo es la caracterización de mineral degradado producto de la lixiviación u observar la migración de finos, los ensayos deben prepararse de manera que el fino se desprenda.
En caso contrario, los resultados de los ensayos granulométricos y compactación no permitirán interpretar y validar correctamente el comportamiento tensión-deformación del ripio o su permeabilidad, debido a diferencias aparentes en el contenido de finos y grado de compactación, así como la estructura del glómero y la cementación de las partículas.
Por lo tanto, la comunicación entre los ingenieros geotécnicos y laboratorios debe enfocarse en trasmitir los objetivos del proyecto, realizando los esfuerzos necesarios para la caracterización de la pila de lixiviación a través de las metodologías adecuadas.
4. REFERENCIAS
[1] Oldecop L, Rodari R, Zabala F, Mazuelos O. Shear Strength Parameters of a Heap Leach Material. In: From Fundamentals to Applications in Geotechnics. IOS Press; [year unknown, please provide]. p. 2505. Available from: https://doi.org/10.3233/978-1-61499-603-3-2505
[2] Bard E, Campaña J. Aspectos Geotécnicos en el Diseño de Pilas y Botaderos de Ripios Lixiviados. In: V Congreso Chileno de Geotecnia; 2004 Nov.
[3] ASTM D422-63 Standard Test Method for Particle-Size Analysis of Soils. ASTM International. 1963
[4] ASTM D4253-16. Standard Test Methods for Maximum Index Density and Unit Weight of Soils Using a Vibratory Table. ASTM International; 2016
[5] ASTM D4254-16: Standard Test Methods for Minimum Index Density and Unit Weight of Soils and Calculation of Relative Density. ASTM International; 2016
[6] ASTM D1557: Standard Test Methods for Laboratory Compaction Characteristics of Soil Using Modified Effort (56,000 ft-lbf/ft³ (2,700 kN-m/m³). ASTM International; 2021.
Figura 4. Probeta de ensayo Proctor modificado en ripio lixiviado. Base de datos IDIEM.



COMPORTAMIENTO GEOTÉCNICO DE RIPIOS LIXIVIADOS EN ENSAYOS DE LABORATORIO TRADICIONALES – PARTE III: OBSERVACIONES EN LABORATORIO – COMPORTAMIENTO TENSIÓN-DEFORMACIÓN, HIDRÁULICO Y ROTURA DE PARTÍCULAS
M Bravo-Zapata (1)(*) , E Fuenzalida-Muñoz (1), A. Reyes-Veliz (1), E. Tapia (1), S. Frez (1) (1) Centro de Investigación, Desarrollo e Innovación en Estructuras y Materiales (IDIEM)- División Geotecnia Laboratorio
(*) Autor por correspondencia: matias.bravoz@idiem.cl
RESUMEN/ ABSTRACT
Este trabajo corresponde a la tercera parte del estudio del comportamiento geotécnico de ripios lixiviados en ensayos de laboratorio tradicionales, enfocado en el comportamiento tensióndeformación e hidráulico de los ripios lixiviados y la rotura de las partículas sólidas durante el ensayo. En primera instancia, se han recopilado resultados de ensayos triaxiales consolidados no drenados (CIU) y permeabilidad pared flexible en probetas de 150 mm de diámetro y 300 mm de altura, además de ensayos de consolidación en molde de 200 mm de diámetro con medición de permeabilidad en pared rígida, disponibles en la base de datos del Laboratorio de Geotecnia del Centro de Investigación, Desarrollo e Innovación en Estructuras y Materiales (IDIEM). Estos ensayos se realizaron en muestras de ripios lixiviados provenientes de distintos proyectos, seleccionando aquellas que contaban con una clasificación completa y compactación. En estas muestras se evidencia la interacción entre la fase ácida y la interfaz agua-suelo-aire, cuya reacción óxidoreducción desencadena la generación de gases y burbujas al interior de las muestras. Dentro de los resultados, se observa un “comportamiento” contractivo-dilatante en los ensayos triaxiales CIU además del aumento de la resistencia en el plano q-ε después de cierto porcentaje de deformación unitaria, para distintos grados de compactación de las probetas estudiadas. Adicionalmente, se ha observado el cambio de la permeabilidad del material cuando se deja pasar agua por demasiado tiempo, debido a la generación de gases. Finalmente, la rotura de las partículas evidencia un desgaste producto del efecto de la lixiviación, según lo observado.
Palabras-Clave: ripios lixiviados, comportamiento tensión-deformación, comportamiento hidráulico
1. INTRODUCCIÓN
El diseño de las pilas de lixiviación ha sido controlado por criterios hidrometalúrgicos y geotécnicos, en la cual la resistencia al corte, el comportamiento hidráulico y la generación de presiones de poro son clave para asegurar la estabilidad estructural y optimizar los procesos productivos [1-3], por lo que la realización de ensayos de resistencia al corte, consolidación edométrica y permeabilidad son esenciales al momento de caracterizar el material lixiviado. No obstante, la ejecución de los ensayos de laboratorio y los resultados obtenidos son influenciados por la reacción de solución ácida con las partículas sólidas, lo que provoca la degradación de las partículas y la generación de gases, modificando las condiciones tradicionales de los ensayos y el agua
El presente trabajo tiene por objetivo abordar las particularidades observadas en el análisis de ensayos de laboratorio ejecutado sobre ripios lixiviados, abarcando su comportamiento en ensayos triaxiales consolidados no drenados, consolidación edométrica y permeabilidades en pared flexible y rígida, dando énfasis en el efecto que tienen las condiciones propias de cada proceso en la distribución granulométrica post ensayo. Los datos analizados pertenecen a la base de datos del laboratorio de la División Geotecnia Laboratorio (DGL) del Centro de Investigación, Desarrollo e Innovación de Estructuras y Materiales (IDIEM) de la Universidad de Chile.
2. OBSERVACIONES EN LABORATORIO
Los ripios constituyen un material cuya composición y comportamiento se encuentran condicionadas por el proceso de aglomeración y lixiviación al cual fue sometido durante el proceso minero. Como resultado, se obtiene un material con presencia de solución ácida residual y un grado de cementación y/o aglomeración que influye directamente en la estructura interna del material y en la planificación de los ensayos de laboratorio.
Durante el estudio del material en condiciones saturadas, se ha observado la formación de burbujas de gas producto de la interacción entre la fase líquida y fase sólida, adicionando una fase gaseosa en un modelo trifásico tradicionalmente compuesto por suelo, agua y aire. Este fenómeno ha sido evidenciado en ensayos de consolidación edométrica con medición de permeabilidad (basado en ASTM D2435 y ASTM 2434) en molde de 20 cm (Figura 1), donde se han identificado burbujas durante el ensayo, así como cavidades y burbujas remanentes en la superficie de las probetas durante el desmontaje una vez finalizado el ensayo. Por otro lado, en ensayos de permeabilidad en pared flexible con agua destilada, donde la saturación se controla mediante el parámetro de Skempton (B ≥ 0,95), la generación de gas ha provocado alteraciones en las mediciones, generando flujos de salida discontinuos, debido a la dificultad de liberar el gas acumulado, además de la disminución del coeficiente de permeabilidad medido con el transcurso del tiempo.


1. Observaciones en ensayo de consolidación edométrica; izq Generación de burbujas durante el ensayo; der Cavidades y burbujas remanentes en proceso de desmontaje.
3. COMPORTAMIENTO GEOTÉCNICO
El estudio de este material en laboratorio se encuentra fuertemente condicionado por los fenómenos antes mencionados, los cuales definen su comportamiento geotécnico. A continuación, se abordan los principales aspectos asociados a su desarrollo en ensayos triaxiales consolidados no drenados, y permeabilidades en pared flexible y pared rígida, además del efecto que estos tienen en su distribución granulométrica original.
3.1. Comportamiento tensión-deformación – Ensayos Triaxiales CIU
La Figura 2 presenta el comportamiento en el espacio p’-q de 6 muestras de ripios lixiviados clasificados como GP-GC a GC, con un contenido de finos entre el 6-20%, IP entre 6-14, con grados de compactación post consolidación variable entre el 73% y 124% (respecto a la densidad máxima compactada seca del Proctor Modificado), ensayados a confinamientos entre 0.5 a 9 kg/cm2 La trayectoria de tensiones indica inicialmente un comportamiento contractivo seguido de una respuesta “dilatante”, independiente del grado de compactación y estado tensional en el cual se encuentran las muestras previo a la etapa de corte. En el gráfico ε-q se observa un aumento de la resistencia al corte en torno al 3% de deformación unitaria, sin embargo, esto no se traduce en una disminución del exceso de presión de poros, el que se estabiliza posterior al 3% de deformación unitaria. Este cambio en el
Figura
comportamiento probablemente es atribuible al efecto de la solución ácids en el material más que a un comportamiento intrínseco de la muestra.

Figura 2. Resultados ensayos triaxiales consolidados no drenados (CIU). Base de datos IDIEM.
El análisis de la resistencia de este tipo de material arroja valores del ángulo de fricción interna que dependen de la interpretación adoptada para la Línea de Estado Último (LEU). Al evaluar la resistencia en torno al 20% de la deformación unitaria, los valores del ángulo de fricción interna se encuentran en un rango de 45° a 55°. En cambio, al considerar la LEU en el cambio de la trayectoria de tensiones (línea de transformación de fase – en torno al 3% de deformación unitaria), los resultados se ubican entre 33° y 40°, asumiendo en ambos casos una cohesión igual a cero.
Resultados en otras muestras de ripios han sido reportados por [3, 4], quienes analizaron muestras de ripios lixiviados compactadas al 70% y 90% de la densidad óptima del Proctor modificado, respectivamente. En ambos estudios fue identificado el comportamiento contractivo-dilatante en el gráfico p’-q, sin registrar un aumento en la resistencia como en los casos presentados en la Figura 2.
3.2. Comportamiento hidráulico
El análisis de permeabilidad se llevó a cabo utilizando dos metodologías: la de pared flexible, conforme a la norma ASTM D5084-10, aplicada a probetas de 15 cm de diámetro y 30 cm de altura; y la de pared rígida, según la norma ASTM D2434-22, con probetas de 20 cm de diámetro y 11 cm de altura, en ambos casos utilizando agua destilada. Para probetas preparadas con densidades secas similares a las utilizadas en los ensayos triaxiales anteriormente expuestos se obtuvo valores de conductividad hidráulica que varían entre 1x10-2 y 1x10-4 cm/s, siendo ligeramente mayores en los ensayos realizados con la metodología de pared rígida. Este comportamiento se atribuye a la falta de control sobre el estado de saturación inicial de la probeta y a la formación de flujos preferenciales en los bordes de la pared rígida, debido a la granulometría gruesa de los ripios.
La Figura 3 presenta un ensayo de permeabilidad empleando una solución ácida, registrando la disminución del coeficiente de permeabilidad del ripio a medida que aumenta el tiempo de ensayo. Lo anterior, sugiere realizar un control de los tiempos de medición del volumen escurrido durante la ejecución del ensayo.

Figura 3. Resultados de ensayos de permeabilidad. Base de datos IDIEM
3.3. Observaciones sobre rotura de partículas
En los ensayos de laboratorio también es posible identificar cambios en la granulometría adicionales, a los ocurridos en la pila de lixiviación, particularmente durante la confección de probetas y la ejecución de los ensayos producto de los esfuerzos aplicados. En la primera instancia, es posible que para alcanzar densidades de montaje altas se requiera aplicar una mayor energía de compactación y, por ende, provocar la rotura de las partículas de mayor tamaño con el pisón compactador, debido a la alteración del mineral. Por otro lado, en ensayos de resistencia al corte o consolidación, la densificación del material y el reacomodo de las partículas generará mayor fricción interna, provocando la rotura de los cantos de las gravas y arenas. Ambos casos relatados, han sido evidenciados mediante la realización de granulometría posterior a ensayos triaxiales y consolidación. Por otro lado, si bien el proceso de lixiviación tiene por objetivo recuperar el mineral de interés económico, es posible que las soluciones ácidas tengan un efecto en los minerales formadores de rocas, generando un desgaste (meteorización química) en las partículas sólidas del material.
4. CONCLUSIONES
La caracterización geotécnica del ripio lixiviado ha aportado evidencia relevante sobre su desempeño y comportamiento bajo condiciones específicas de laboratorio, abriendo puertas a futuras líneas de investigación que permitan su mejor entendimiento. A continuación, se desarrollan las principales conclusiones obtenidas de esta investigación:
▪ En la evaluación de los ensayos de laboratorio geotécnicos realizados sobre ripio lixiviado en condición saturada, es fundamental considerar la generación de gases, así como el efecto cementante inducido por la presencia de solución ácida en el material.
▪ El análisis del comportamiento tensión-deformación bajo condiciones no drenadas revela una respuesta contractiva-dilatante (transformación de fase), la cual se presenta de forma independiente al grado de compactación inicial o al alcanzado antes de la fase de corte, sin reflejarse en la disminución del exceso de presión de poros
▪ La conductividad hidráulica varía entre 1x10 ² y 1x10 ⁴ cm/s, mostrando una clara dependencia respecto al tiempo de exposición, a partir de la etapa de saturación. En algunos casos, se ha registrado una reducción en la permeabilidad de hasta tres órdenes de magnitud para un mismo gradiente y presión de confinamiento en un periodo de 7 días (por ejemplo, de 1x10-2 a 1x10-4 cm/s).
▪ La rotura de las partículas sólidas se ha observado durante la confección de probetas y verificado con ensayos de granulometría post. Esta rotura puede estar influenciada por la degradación del material producto de la lixiviación, por lo que se recomienda complementar los ensayos geotécnicos con ensayos mineralógicos y geoquímicos para evaluar el cambio mineralógico del material producto de la lixiviación.
5. REFERENCIAS
[1] Oldecop L, Rodari R, Zabala F, Mazuelos O. Shear Strength Parameters of a Heap Leach Material. In: From Fundamentals to Applications in Geotechnics. IOS Press; 2015 p. 2505. Available from: https://doi.org/10.3233/978-1-61499-603-3-2505
[2] Bard E, Campaña J. Aspectos Geotécnicos en el Diseño de Pilas y Botaderos de Ripios Lixiviados. In: V Congreso Chileno de Geotecnia; 2004 Nov.
[3] Garcia A. Evaluación de la resistencia al corte de los ripios de una pila de lixiviación permanente de sulfuros secundarios de cobre empleando piezoconos y ensayos de laboratorio. Tesis para optar a grado de Magister. Universidad Nacional de San Agustín de Arequipa; 2022.
[4] Rimmelin R, Vergara C. Geotechnical behaviour of spent ore – impacts of metallurgical factors. The Australasian Institute of Mining and Metallurgy; 2018.



EVALUACIÓN DE ASENTAMIENTOS POR LICUACIÓN CON CPTu CON MÉTODOS DE PARÁMETRO DE ESTADO
M. Molina (1) , V. San Martín (2), G. Montalva (3) (1) NAVA Consulting, fernanda.molina@nava.cl (2) Gestiona Consultores, vsanmartin@gestiona.cl (3) Universidad de Concepción, gmontalva@udec.cl
RESUMEN/ ABSTRACT
Los asentamientos inducidos por licuación se han estimado históricamente mediante modelos semi empíricos basados en ensayos in situ e índices normalizados. Modelos más recientes han explorado el uso del parámetro de estado, así como alternativas para separar los efectos de activación y manifestación Este estudio evalúa dos metodologías de estimación de asentamientos post-licuación basadas en el parámetro de estado y CPTu, utilizando el modelo de San Martin et al. (2025). Los resultados se contrastaron con una base de datos de asentamientos por licuación en campo libre y se compararon con otros métodos de la práctica ingenieril. Los resultados indican que, aunque el desempeño del método es sensible a la profundidad de contribución al asentamiento y dependiente de los modelos de triggering que se utilicen, los métodos basados en el parámetro de estado muestran un mejor desempeño que el resto, alcanzando errores menores dentro del rango de profundidades evaluadas. Se concluye que los métodos basados en el parámetro de estado presentan un alto potencial para refinar la estimación de asentamientos inducidos por licuación, requiriendo especial atención en la contribución en profundidad de los asentamiento para el desarrollo de modelos más robustos basados en la CSSM
Palabras-Clave: asentamientos por licuación, licuación cíclica, parámetro de estado.
1 INTRODUCCIÓN
La estimación de los asentamientos inducidos por licuación es un desafío relevante en la práctica geotécnica, dada su directa relación con los niveles de daño observados tras eventos sísmicos. Los modelos convencionales utilizan índices de estado normalizados y con correcciones “por finos” como Qtn,cs o qc1Ncs, cuyo origen es netamente empírico con el objetivo de uniformar los datos para obtener una CRR única. De forma alternativa, se han propuesto modelos basados en el parámetro de estado, ofreciendo una perspectiva más directa y relacionada con la mecánica de suelos de estado crítico [1]. Además, se ha demostrado la importancia de separar los efectos de triggering y manifestación en los modelos de licuación cíclica [2]. Esto ha llevado al desarrollo de modelos más consistentes con las resistencias cíclicas observadas en laboratorio, los cuales, análogos a las curvas de “activación verdadera” [2], predicen resistencias cíclicas menores que los modelos más tradicionales. Pese a lo anterior, es importante evidenciar las implicancias de este modelo en otros aspectos del estado de la práctica, como la estimación de asentamientos por licuación.
En este contexto, el presente estudio evalúa una metodología para estimar asentamientos inducidos por licuación basada en el parámetro de estado, utilizando los modelos de triggering recientemente propuestos por San Martin et al. [3], y contrastando los resultados con una base de datos de 179 casos históricos de asentamiento en campo libre
2 ASENTAMIENTOS POR LICUACIÓN CON PARÁMETRO DE ESTADO
2.1 Modelos de resistencia cíclica
Los modelos de licuación cíclica basados en el parámetro de estado () a partir de ensayos CPTu [1, 3] utilizan los principios de la mecánica de suelos de estado crítico, requiriendo así menos factores de corrección. Jefferies y Been [1] propusieron la Ec 1, sin embargo, con la intención de separar los efectos de triggering y su manifestación en superficie, San Martin et al [3] propusieron la Ec. 2, la cual es independiente de las bases de datos empíricas y muestra un buen desempeño predictivo frente a otros modelos del estado de la práctica. Dicha expresión se utilizó junto con las expresiones para CSR de Moss et al. (2006) y Green et al. (2019), en concordancia con la metodología utilizada en [3]
1
2.2 Asentamientos por deformación volumétrica
Los modelos de asentamientos post-licuación con CPTu como Zhang et al (ZEA02) [4] e Idriss y Boulanger (IB08) [5] se basan principalmente en ensayos CDSS en probetas de arenas limpias del río Fuji, a partir de los cuales Ishihara y Yoshimine (1992) propusieron curvas para estimar la deformación volumétrica (v) en función de la densidad relativa (DR), el factor de seguridad contra la licuación (FSL) y la deformación de corte máxima (max); pudiendo así estimar el asentamiento mediante la Ec. 3
3
Donde, zi y DF corresponden al espesor de la capa licuable y a un factor de ponderación en profundidad del asentamiento en superficie, respectivamente. Dado que estas curvas son sólo representativas para arenas del rio Fuji, Olaya y Bray [6] ampliaron la base de datos original con ensayos cíclicos adicionales, y propusieron nuevas ecuaciones para estimar v y max en función de distintos índices como la densidad relativa, el índice de vacíos y el parámetro de estado.
3 EVALUACIÓN DEL MÉTODO PROPUESTO CON PARÁMETRO DE ESTADO
3.1 Base de datos y estimación del error
Los modelos descritos fueron evaluados utilizando la base de datos de Bray y Olaya [7], que compila 179 casos de asentamientos en campo libre ocurridos durante eventos sísmicos en distintos lugares del mundo, con un total de 808 ensayos CPTu. Además, para evaluar la capacidad predictiva, se utilizó la raíz del error cuadrático medio (RMSE) entre el asentamiento estimado y observado
3.2 Ponderación del asentamiento en profundidad
Los factores de ponderación en profundidad se pueden encontrar en modelos de manifestación como LPI, LPIISH, LSN, e incluso en modelos de asentamientos por licuación con SPT como Cetin et al (2009)
Se analizó la inclusión de un factor de ponderación lineal (DF en Ec. 3) en la estimación de asentamientos, considerando profundidades máximas de contribución (Dlim) hasta 10, 18 y 20 m
4 RESULTADOS
La Figura 1 resume los métodos de asentamientos post-licuación evaluados con sus respectivas componentes. El parámetro de estado se estimó según Plewes et al. (1992) (PEA92).

Fig. 1. Métodos de asentamientos post-licuación evaluados.
La Figura 2 presenta el asentamiento estimado versus el observado para el método propuesto (con DF igual a 1) y para otros modelos de la práctica (i.e. ZEA02, IB08), considerando capas licuables hasta 20 m de profundidad Se observa que el modelo ZEA02 y el de +MEA06 presentaron los menores errores en términos del RMSE, mientras el resto (Figuras 2b y 2d) tienden a sobreestimar.




Fig. 2. Asentamientos post-licuación para todos los casos de campo libre con los métodos de: (a) ZEA02, (b) IB08, (c) P92+MEA06, y (d) P92+GEA19.
La Figura 3a analiza la sensibilidad del RMSE respecto a la profundidad máxima, considerando entre 5 a 20 m, sin ponderación, observándose que reducirla disminuye el RMSE considerablemente en 3 de los 4 métodos. Además, en torno a los 10 m los modelos de alcanzan su óptimo.
En la Figura 3b, se presenta el mismo análisis, pero considerando la ponderación lineal en profundidad (DF igual a 1 en z=0, y 0 en z=Dlim). Con esto, los diferencias entre los RMSE de los modelos se reducen, y alcanzan errores similares a los obtenidos a los 10 m sin ponderación (Fig. 3a)
Los resultados tanto para los 10 m sin ponderación como para los 20 m con ponderación lineal no mostraron diferencias notables en términos del RMSE y la distribución de sus residuales. Sin embargo, Bray y Olaya [8] han indicado que el factor de ponderación en profundidad podría generar ajustes mecánicamente incorrectos en la estimación de asentamientos con otros modelos convencionales de triggering, lo cual no se evidenció en gran medida para este caso.
Además, se analizó la distribución de los residuales para diferentes rangos de asentamiento estimado, lo cual no se incluyó por temas de extensión. Considerando la profundidad de contribución de 10 m, donde, para asentamientos pequeños (0-7 cm), los 4 métodos evaluados entregan residuales similares entre sí y medianas cercanas a 0. En el rango de 7-15 cm, ZEA02 y +MEA06 mantienen esta condición, mientras que el resto muestra una leve sobreestimación. Para asentamientos estimados grandes (15-30 cm), los métodos de +MEA06 y +GEA19 entregan medianas más cercanas a 0 que IB08 y ZEA02.
5
a)

b)

Fig. 3. RMSE obtenidos por modelo para diferentes Dlim: (a) sin DF, y (b) con DF
CONCLUSIONES
En el presente artículo se evaluaron 2 metodologías de asentamiento post-licuación mediante un enfoque de parámetro de estado, combinando las expresiones de triggering de San Martin et al. [3] con las expresiones de Olaya y Bray [6] Reducir la profundidad de Dlim hasta 10 m, mejoró el desempeño de 3 de 4 modelos, y los basados en parámetro de estado presentaron un mejor desempeño
Esto sugiere que una reducción en la profundidad de contribución podría representar un ajuste razonable al supuesto de que todas las capas licuables aportan por igual al asentamiento en superficie en sitios de campo libre. Además, incluso al incluir un factor de ponderación lineal en profundidad, se evidencia una ligera ventaja de los modelos de parámetro de estado frente a los más convencionales. Así, se concluye que la estimación de asentamientos post-licuación usando un enfoque de parámetro de estado entrega resultados positivos frente a los métodos más convencionales, destacando así el potencial de profundizar en la licuación cíclica desde el punto de vista de la CSSM.
6 AGRADECIMENTOS
Agradecimientos al proyecto EASER número ACT240044, financiado por la Agencia Nacional de Innovación y Desarrollo (ANID) y al Grupo de Geotecnia de la Universidad de Concepción
REFERENCIAS
[1] Jefferies, M. G., & Been, K. (2015). Soil liquefaction – a critical state approach (2nd ed.). CRC Press.
[2] Upadhyaya, S., Green, R. A., Rodriguez-Marek, A., & Maurer, B. W. (2023). True Liquefaction Triggering Curve. Journal of Geotechnical and Geoenvironmental Engineering, 149(3).
[3] San Martín, V., Montalva, G., & Schnaid, F. (2025). Stress-Based CPTu Cyclic Liquefaction Triggering Procedures: Improvements from a State Parameter Approach. Journal of Geotechnical and Geoenvironmental Engineering, 151(4), 04025009.
[4] Zhang, G., Robertson, P. K., & Brachman, R. W. (2002). Estimating liquefaction-induced ground settlements from CPT for level ground. Canadian Geotechnical Journal, 39(5), 1168-1180.
[5] Idriss, I.M. and Boulanger, R.W. (2008). Soil liquefaction during earthquakes. Monograph MNO-12, EERI, Oakland, CA, 261 pp.
[6] Olaya, F. R., & Bray, J. D. (2022). Strain Potential of Liquefied Soil. Journal of Geotechnical and Geoenvironmental Engineering, 148(11), 1–16.
[7] Olaya, F. R., & Bray, J. D. (2023). Post-Liquefaction Free-Field Ground Settlement Case Histories. ISSMGE International Journal of Geoengineering Case Histories, 7, 18.
[8] Bray, J. D., & Olaya, F. R. (2023). 2022 H. Bolton Seed Memorial Lecture: Evaluating Liquefaction Effects. Journal of Geotechnical and Geoenvironmental Engineering, 149(8), 1–23.



ENSAYOS DE CARGA EN PILOTES DE GRAN TAMAÑO EMPLAZADOS EN LA SELVA DEL PERÚ
D. Campos (1) , C. Gonzalez (2) (1) Pilotes Terratest, dcampos@terratest.com.pe (2) Pilotes Terratest, cgonzalezp@terratest.cl
RESUMEN/ ABSTRACT
En la región Selva del Perú se vienen ejecutando puentes para atravesar el caudaloso río Huallaga, el río varía entre 300 m - 900 m de ancho y 11 m - 15 m de profundidad, estas características sumado al tipo de suelo que constan de limos y arcillas de baja plasticidad con presencia de lodolitas en profundidad, hacen que la cimentación de los puentes sea profunda y robusta. A la fecha se ha ejecutado el puente Huallaga con 42 pilotes de 2 m de diámetro y longitud máxima de 45 m y el puente Tarata con 44 pilotes de 2 m de diámetro y longitud máxima de 57 m.
Durante la ejecución de la cimentación se realizaron ensayos de carga bidireccional en pilotes de sacrificio de ambos puentes y ensayos de carga dinámica en pilotes de servicio del puente Tarata. Ambos ensayos permitieron encontrar la capacidad de fuste y punta del pilote. Los resultados confirman hasta 2 veces la carga de servicio en los ensayos de carga bidireccional y hasta 4.5 veces la carga de servicio en los ensayos de carga dinámica en pilotes.
Palabras-Clave: Carga bidireccional, carga dinámica, capacidad geotécnica, pilote de gran diámetro
1. INTRODUCCIÓN
En la región Selva del Perú se desarrollan los ríos más extensos del país, en donde la comunicación vial se ve limitada y se requiere la conexión de las ciudades a través de puentes. Uno de estos ríos es el Huallaga, que parte de la cuenca superior del río Amazonas con una longitud del orden de 1130 km, anchos que varía entre 350 m y 900 m y profundidades que pueden superar los 15 m.
Se analizan dos puentes ejecutados recientemente denominados puente Huallaga y puente Tarata con longitudes de 396 m y 510 m y anchos de 14.2 m y 12.6 m, respectivamente. El tipo de suelo en las fundaciones de los puentes son origen aluvial y fluvial compuestos por suelos tipo ML, CL y SP-SM depositados por la acción del río y favorecidos por el relieve plano, bajo estos suelos se presentan rocas sedimentarias blandas (lodolitas y areniscas) Por esta razón, los puentes poseen cimentación profunda constituida por pilotes de 2 m de diámetro y longitudes de hasta 57 m.
2. ENSAYOS DE CARGA ESTÁTICA BIDIRECCIONAL (CB) Y CARGA DINÁMICA (CD).
Los ensayos de carga estática bidireccional basados en la ASTM D 8169 utilizan celdas de carga que se accionan hidráulicamente similares a un gato de alta capacidad que se instalan dentro del pilote a una profundidad definida, en general coincidente con el eje neutro de cargas [1]. Los resultados de las pruebas de carga estática bidireccionales permiten obtener curvas de carga y asentamiento considerando los siguientes supuestos: el pilote es un cuerpo rígido, los movimientos de la cabeza y la base del pilote son los mismos y la fricción superficial ascendente es igual a la fricción superficial descendente Cuando la carga se aplica a través de la celda de carga, esta actúa en dos direcciones, el segmento inferior del pilote equilibra la carga aplicada mediante la reacción en la punta y la fricción lateral, mientras que el segmento superior solo mediante la fricción lateral.
Por otra parte, los ensayos dinámicos de alta deformación en pilotes basados en la ASTM D 4945 se definen como pruebas en la que se genera un esfuerzo en el pilote con la caída de una masa a distintas alturas. En cada golpe se mide la aceleración y desplazamiento a través de sensores y aplicando la teoría de ondas se obtienen los esfuerzos. El ensayo dinámico comúnmente utilizado en la hinca de
pilotes, se viene aplicando desde finales de 1970 en pilotes excavados usando el mismo principio [2], y ha sido validado con pruebas de carga estática [3], [4], [5]



Fig. 1. Instalación de celdas y sensores de deformación CB y ejecución de ensayo de CD en pilotes estudiados.
3. DESCRIPCIÓN CASOS EN ESTUDIO
Los ensayos de carga estática bidireccional (CB) se aplicaron en el puente Huallaga y puente Tarata, uno en cada pilar ubicado en ambos márgenes. Mientras que los ensayos de carga dinámica (CD) se aplicaron solo en el puente Tarata, uno en cada estribo. En la Tabla 1 se presentan las características de los pilotes de prueba en cada puente, todos los pilotes son de concreto armado de 2 m de diámetro y los pilotes sometidos a la prueba CB poseen 5 niveles de sensores de deformación a lo largo del pilote, 3 ubicados por encima y 2 ubicados por debajo de la celda.
Tabla 1. Características de los pilotes ensayados y características de los instrumentos utilizados
dadas por el calculista del proyecto.
En el puente Huallaga, el pilar izquierdo presenta suelos finos tipo ML - CL y SM - SC a mayor profundidad, la punta del pilote se aloja en una mezcla de SC con algunas gravas; el pilar derecho presenta suelos finos y SM - GM en profundidad, la punta se aloja en GM; por lo que se intuye que la resistencia por fuste es mayor en el pilar derecho que en el izquierdo.
En el puente Tarata, el pilar izquierdo presenta lodolita con intercalaciones de arenisca de poco espesor y la punta del pilote se aloja en lodolita; el pilar derecho presenta SM en los primeros 16 m seguido por intercalaciones de lodolita y arenisca en un espesor de 10 m y la punta del pilote se aloja en lodolita. La resistencia a la compresión simple de la lodolita del pilar izquierdo oscila entre 9000 y 14000 kPa.
Masa
Celda
4. RESULTADOS Y ANÁLISIS
Los ensayos CB finalizaron por alcanzar la capacidad máxima del conjunto de celdas, observándose que el desplazamiento por debajo de las celdas es mayor al desplazamiento por encima de estas (Ver Tabla 2) La máxima resistencia por fuste se da en el suelo por debajo de las celdas en todos los pilotes de prueba, siendo el fuste del pilar derecho mayor al del pilar izquierdo y los desplazamientos son menores en el pilar derecho que en el pilar izquierdo; esto debido a la naturaleza del suelo y roca que es más firme en esa margen del río en ambos puentes. De acuerdo con el alto desplazamiento por debajo de la celda del pilar izquierdo del puente Huallaga se concluyó que la posición de la celda debía ser a una profundidad menor
Tabla 2. Resultados de ensayos de carga bidireccional. Puente
En el pilar izquierdo de puente Tarata se llegó a activar la punta durante el ensayo desarrollando una resistencia por punta de 1 900 kPa mientras que en el pilar derecho no se activó la punta (solo fuste) a pesar de aplicar mayor carga al sistema de celdas, por lo que el suelo en el pilar derecho tiende a desarrollar mayor resistencia.
La curva de carga equivalente en cabeza (ETL) es una estimación del comportamiento de la carga –desplazamiento en la cabeza del pilote que resultaría de una prueba de carga estática de arriba hacia abajo sobre una cimentación, se obtiene a partir de las cargas generadas para un mismo desplazamiento por encima y por debajo de la celda. Ahora bien, en el puente Huallaga se observa que el suelo en el pilar derecho es más rígido que en el pilar izquierdo y en el puente Tarata el suelo del pilar izquierdo es más rígido que en el pilar derecho (Ver Fig. 2)
Los ensayos de CD que se realizaron en pilotes de producción del puente Tarata dieron resultados en términos de carga movilizada debido a que no se alcanzó la carga última de estos como se observa en la Tabla 3. La máxima resistencia por fuste alcanzada es de 249 kPa en suelo tipo SM-GM del estribo izquierdo, no se logró desarrollar toda la resistencia por punta en ninguno de los pilotes. La curva carga desplazamiento muestran que el suelo en el estribo derecho es ligeramente más rígido que en el estribo izquierdo (ver Fig. 3).
Tabla 3. Resultados de ensayos de carga dinámica.
Estribo Carga de fuste [kN] Carga de

Fig. 2. Curva de carga equivalente en cabeza (ETL) de puente Huallaga y Tarata.
5. CONCLUSIONES
Fig. 3. Curva carga desplazamiento de pilotes de prueba dinámica en estribos de puente Tarata.
Los ensayos de carga de los casos de estudio (pilotes de sacrificio y producción) muestran la activación de la resistencia por fuste y no alcanzan a desarrollar toda la resistencia por punta. En los ensayos de carga estática bidireccional, la resistencia desarrollada se encuentra limitada por la capacidad de las celdas utilizadas y en los ensayos de carga dinámica, la resistencia movilizada se encuentra condicionada por el monitoreo de los esfuerzos del material del pilote con el fin de mantener su integridad y sin evidencia de daños en el elemento
Ambos ensayos permitieron verificar la aptitud de los pilotes y definir el margen de seguridad entre la capacidad resistente real y la de diseño Se ratifica que el diseño geotécnico realizado por métodos analíticos fue muy conservador, por lo que se recomienda ejecutarse las pruebas de carga en la etapa de diseño que permitan hacer reingeniería (no solo como validación del diseño) y así lograr proyectos óptimos desde el punto de vista constructivo y económico manteniendo el nivel de seguridad acorde a la importancia de la infraestructura.
6. REFERENCIAS
[1] England M. Bi-directional static loading testing state of the art. In: van Impe W F ed. Deep Foundation on Bored and Auger Piles. Ghent, Belgium: Millpress Science Publishers, 2003: 309–313.
[2] Robinson, B., Rausche, F., Likins, G., & Ealy, C. Dynamic load testing of drilled shafts at national geotechnical experimentation sites. In Deep Foundations 2002: An International Perspective on Theory, Design, Construction, and Performance. 2002, pp. 851-867.
[3] Likins, G., & Rausche, F. Correlation of CAPWAP with static load tests. In Proceedings of the seventh international conference on the application of stresswave theory to piles. 2004, pp. 153165.
[4] Chandan, B. K., & Laheriya, M. K. Examinig the accuracy of different analytical approaches in pile test evaluation 2025.
[5] Omarov, A. R., Zhussupbekov, A. Z., Mussakhanova, S. T., & Issakulov, A. B. Accuracy of determining pile capacity by static and dynamic methods in difficult ground conditions in Astana. In Smart Geotechnics for Smart Societies. 2023. pp. 1375-1379. CRC Press.
Carga



ESTUDIO DEL FACTOR ESCALA EN LA RESISTENCIA A COMPRESIÓN SIMPLE DE MUESTRAS RECONSTITUIDAS DE ROCAS EVAPORÍTICAS YESO.
L. Arriagada (1), R. Galindo (2), I. Pérez (3), J. Bustamante (4) . (1) Universidad Politécnica de Madrid, gaston.arriagada@alumos.upm.es (2) Universidad Politécnica de Madrid, rubenangel.galindo@upm.es (3) Universidad de Vigo, iperez@uvigo.gal (4) Universidad de Los Lagos, jonhjahiro.bustamante@alumnos.ulagos.cl
RESUMEN/ ABSTRACT
En geotecnia convivimos con el factor escala, ya que debemos reproducir en el Laboratorio el comportamiento que van a tener en el terreno las rocas, aceptando algunas buenas aproximaciones que nos acercan a la realidad.
Por otro lado, cuando queremos aumentar en Laboratorio la escala del tamaño de las muestras se hace complejo, dado su envergadura, la capacidad de extracción y transporte de las muestras de rocas y la capacidad de los equipos necesarios para realizar los ensayos.
El presente Articulo estudia, como afecta en el resultado final del ensayo de compresión simple, cuando cambiamos la escala en la cual realizamos los ensayos sobre muestras reconstituidas de rocas evaporíticas yeso.
Para lograrlo, se preparan muestras reconstituidas de rocas evaporíticas yeso, de diferentes tamaños, las cuales serán sometidas a ensayos de compresión simple, estudiando su resistencia a compresión simple y la forma en la cual se generan los planos de rotura y la forma de las discontinuidades en los planos de rotura.
Palabras-Clave: Factor escala, rocas evaporíticas yeso, ensayo de compresión simple.
1. INTRODUCCIÓN
“La Mecánica de Rocas se ocupa del estudio teórico y práctico de las propiedades y comportamiento mecánico de los materiales rocosos y de su respuesta ante la acción de fuerzas aplicadas en su entorno físico” [1, p. 118].
“Las rocas son agregados naturales duros y compactos de partículas minerales con fuertes uniones cohesivas permanentes que habitualmente se consideran un sistema continuo” [1, p. 121].
“La resistencia evalúa cuantitativamente el comportamiento mecánico de la roca matriz. Es uno de los parámetros más importante y es prácticamente imprescindible en cualquier estudio de mecánica de las rocas” [2].
“El ensayo de compresión simple, también llamado compresión uniaxial y compresión no confinada es el ensayo más frecuente en mecánica de rocas. Es prácticamente imprescindible en cualquier cuestión de esta disciplina” [3].
“Los ensayos de laboratorio son necesarios para determinar las propiedades de las rocas, constituyendo uno de los aspectos más importantes de la mecánica de rocas. El tipo y número de ensayos a realizar depende, principalmente, de la finalidad de las investigaciones y del tipo de proyecto; el tamaño, número y lugar de procedencia de las muestras a ensayar depende del problema de ingeniería geológica a resolver y de los condicionamientos económicos” [1, p. 175].
“Los ensayos de laboratorio no proporcionan las propiedades de los macizos rocosos, aunque aportan valores que a veces pueden ser extrapolados o correlacionados con las propiedades fundamentales de los mismos. Su ventaja es que son más asequibles que los ensayos de campo, y puede realizarse un
gran número de ellos en condiciones variables. Sin embargo, los ensayos de laboratorio y los resultados que a partir de ellos se obtienen presentan una serie de limitaciones a la hora de extrapolar los datos a escala de macizo rocoso, relacionadas con los siguientes aspectos: Representatividad, Escala y Velocidad” [1, pp. 175 - 176].
La “Escala se ensayan pequeñas porciones de material, a partir de las cuales se pretende la caracterización y la predicción del comportamiento de ámbitos más amplios. La diferencia con las escalas y comportamientos reales hace necesaria la utilización de factores de conversión o correcciones para extrapolar los resultados a escala de macizo rocoso” [1, p. 176].
En el presente Articulo se evalúa la influencia en la escala del tamaño de las muestras reconstituidas de roca evaporítica yeso al ser sometidas a ensayos de compresión simple.
2. EJECUCIÓN DE LOS ENSAYOS Y RESULTADOS.
Se fabricaron 7 series de probetas cilíndricas de roca evaporítica yeso reconstituidas, de distinto diámetro cada serie y relación diámetro/altura (D:H) 1:2, de acuerdo con lo establecido en [4].
En cada una de las 7 series se fabricaron 5 probetas, siendo en total 35 las probetas, Tabla 1.
Se utilizó una razón de agua/yeso de 0,60 [5]. Los resultados de los valores mínimos de pesos específicos (ϒ) de cada probeta y su resistencia a compresión simple (Qu) son los siguientes, Tabla 1: Tabla 1. Tamaño de Probetas Cilíndricas.
Serie (N°)
Diámetro (D) v/s Peso Específico (ϒ)
Diámetro (D) (cm)
Fig. 1. Gráfico Diámetro (D) v/s Peso Específico (ϒ)
Para Qu Mínimos
Para Qu Máximos
Peso Específico ϒ v/s Qu
Peso Específico ϒ (KN/m3)
Fig. 2. Gráfico Peso Específico ϒ v/s Qu de cada probeta de cada diámetro (D).
Diámetro (D) v/s Resistencia Compresion Simple (Qu)
0,0 0,5 1,0 1,5 2,0 2,5 3,0 3,5 012345678 Qu (MPa)
Qu Maximo = 0,2469D + 1,5131 R² = 0,7957
Qu Mínimo
Qu Máximo
Qu Minimo = 0,3207D + 0,3744 R² = 0,9256
Diámetro (D) (cm)
Fig. 3. Gráfico Diámetro (D) v/s Resistencia a compresión simple (Qu)
A partir de la Fig. 3, se puede obtener las siguientes correlaciones entre el Diámetro (D) y la Resistencia a compresión simple (Qu) para valores mínimo, Ec. 1 y para valores máximos, Ec. 2: ���� ������
2
3. DISCUSIÓN
Y CONCLUSIONES.
El resultado de los ensayos realizados, muestra una tendencia creciente en la resistencia a compresión simple (Qu) a medida que aumenta el tamaño de las probetas a ensayar, tanto si se consideran los valores mínimos como los valores máximos. 0,00 0,50 1,00 1,50 2,00 2,50 3,00 3,50 10,0011,0012,0013,0014,0015,00 Qu (MPa)
La correlación obtenida, Ec. 1, presenta un valor de R-cuadrado que sugiere una homogeneidad en los datos obtenidos y una relación entre el diámetro (D) y la resistencia a compresión simple (Qu). La correlación obtenida, Ec. 2, presenta un menor valor de R-cuadrado, siendo aun aceptable el resultado de los ensayos obtenidos.
La diferencia entre el valor mínimo y el valor máximo de la resistencia a compresión simple (Qu) considerando solo los valores mínimos es de 1,66 (MPa) lo que representa un 221 (%) más de resistencia con respecto al valor mínimo (0,75 MPa), y que corresponde a la serie de diámetro 1,3 (cm), siendo el diámetro mayor de 7,0 (cm) el que tiene el mayor valor de Qu, lo cual indica un rango muy amplio en la variación de la resistencia a compresión simple (Qu) en función del diámetro escogido para realizar los ensayos al considerar todos los valores mínimos.
Si se consideran los valores máximos de Qu de cada serie, la diferencia entre el valor mínimo y máximo corresponde a 1,35 (MPa) lo que representa una diferencia entre el valor mínimo y máximo de 75 (%), y nuevamente la serie correspondiente al menor diámetro de 1,3 (cm) tiene la menor resistencia y la serie correspondiente al mayor diámetro de 7,0 (cm) registra el mayor valor de Qu, y se evidencia que la variación en el diámetro de las muestras a ensayar es relevante.
Aun cuando se observan dispersiones en los valores mínimos y máximos para los distintos diámetros ensayados, se puede observar que al aumentar el tamaño de la muestra, aumenta la resistencia a compresión simple (Qu).
La selección del tamaño de la probeta a ensayar es importante para poder determinar la resistencia a compresión simple (Qu), ya que podría determinarse un valor que no represente la resistencia real que pueda tener la roca. Se podría sobreestimar la resistencia a compresión simple (Qu) lo cual conlleva el riesgo de asignar una mayor resistencia a compresión simple a la roca, siendo este valor asignado superior a su real resistencia real.
4. REFERENCIAS
[1] L. I. González de Vallejo, M. Ferrer, L. Ortuño, y C. Otero, Ingeniería Geológica, Madrid: Pearson Educación, 2002.
[2] Serrano A. Mecánica de las Rocas I: Descripción de las Rocas. 9ª ed. Madrid: E.T.S. Ingenieros de Caminos, Canales y Puertos; 2006, p. 42.
[3] Serrano A. Mecánica de las Rocas II: Propiedades de las Rocas. 6ª ed. Madrid: E.T.S. Ingenieros de Caminos, Canales y Puertos; 2004, p. 83.
[4] ASTM International, ASTM D2938-95: Método de ensayo estándar para resistencia de compresión no confinada de especímenes de núcleo de roca intacto, West Conshohocken, PA, USA: ASTM International, 1995.
[5] E. Z. Briones Gatica, Influencia del tipo y la relación agua/yeso sobre la compresión, porosidad, densidad, fraguado y expansión para la conservación de edificaciones. Trujillo 2018, Tesis de Ingeniería Civil, Universidad Privada del Norte, Trujillo, Perú, 2018.



ANÁLISIS PSEUDO-ESTÁTICO DE PRESAS DE RELAVES CONSIDERANDO MODELO GEOMÉTRICO TRIDIMENSIONAL
R. Verdugo (1) , J. González (2), R. Castro (3) y G. Peters (4) (1) CMGI Ltda., rverdugo@cmgi.cl (2) CMGI Ltda., jgonzalez@cmgi.cl (3) CMGI Ltda., rcastro@cmgi.cl (4) CMGI Ltda., gpeters@cmgi.cl
RESUMEN/ ABSTRACT
Debido a la regulación chilena, los análisis de presas de relaves deben incluir la evaluación de los factores de seguridad, utilizando el procedimiento pseudo-estático, considerando normalmente un modelamiento bidimensional. Esto último es adecuado cuando la relación de aspecto de la presa, largo-altura, es superior a cuatro, pues las condiciones de borde que establecen los estribos pasan a ser secundarias, asimilándose el cuerpo de la presa sometido a un estado tensional de deformacionesplanas. Esta condición significa que a lo largo de la presa se repite el estado tensional, resultando entonces posible analizar simplemente una sección transversal cualquiera (alejada de los estribos). En general, las presas de relaves cumplen la relación de aspecto L/H > 4, sin embargo, es relativamente común que el terreno de fundación sea heterogéneo con importantes diferencias de suelos y resistencias, analizándose conservadoramente la sección transversal (modelo bidimensional) donde se encuentren los materiales de fundación de menor resistencia. En este artículo se propone la utilización de modelos geométricos tridimensionales donde se incorporen las heterogeneidades del terreno de fundación y de la presa Para evaluar los factores de seguridad asociados a análisis pseudo-estáticos se propone la utilización tanto del método de reducción de resistencias como elde equilibrio límite. En este artículo se presentan ejemplos que permiten verificar la efectividad y consistencia de la metodología propuesta de utilizar modelación 3D.
Palabras-Clave: Presas de relaves, estabilidad sísmica, modelo tridimensional
1.
INTRODUCCIÓN
La catastrófica falla de la presa de relaves El Cobre, gatillada por el sismo de La Ligua del 28 de marzo de 1965 (Mw = 7.4), impulsó a los ingenieros y al Estado de Chile a generar un reglamento que evitara la ocurrencia de fallas de depósitos de relaves. Como resultado, en 1970 se promulgó el Decreto Supremo No. 86 "Reglamento de construcción y operación de tranques de relaves" [1], cuyo Artículo 38º establece que, cualquiera sea el método que se aplique para el estudio de la estabilidad del talud, del tranque de relaves, el factor de seguridad deberá ser igual o mayor que 1,2. En 2007 dicho criterio fue ratificado por el Decreto Supremo No 248 “Reglamento para la aprobación de proyectos de diseño, construcción, operación y cierre de los depósitos de relaves” [2], debiéndose cumplir con lo siguiente: Fase I: Simulación de estabilidad estática (Análisis pseudo-estáticos) asumiendo licuefacción total de los relaves de la cubeta. Fase II: Simulación de estabilidad estática (Análisis pseudo-estáticos) con determinación simplificada de las presiones de poros. El factor de Seguridad resultante del cálculo de las fases anteriores, no debe ser menor de uno coma dos (1,2). Para el caso de depósitos pequeños (con muros menores de 15 metros de alto) cumplida esta condición, no será necesario cumplir la fase III. Fase III: Análisis dinámicos basados en ensayos de propiedades dinámicas de los suelos, incluyendo cálculosde desplazamientos. Fase IV: Análisispara condición de Cierre, incluyendo eventos solicitantes máximos y efectos del tiempo en las propiedades de los depósitos. En consecuencia, la reglamentación chilena vigente exige la aplicación de dos metodologías diferentes para establecer que una presa de relave es sísmicamente estable: a) Método pseudo-estático, con una
exigencia de factor de seguridad (FS ≥ 1,2), y b) Método análisis dinámico tensión-deformación, con evaluación de desplazamientos sísmicos.
La exigencia de cumplir con un factor de seguridad no menor a 1,2, en muchos proyectos controla la estabilidad, generando la necesidad de mejoramientos que permitan satisfacer la normativa Por otra parte, tanto en el desarrollo de análisis pseudo-estáticos como dinámicos, es común el uso de modelos bidimensionales, 2D, por sobre modelos tridimensionales, 3D. La razón se asocia a la mayor información geotécnica y topográfica que requiere un modelo dinámico 3D en extensión para evitar interferencias de las condiciones de borde. Sin embargo, un análisis pseudo-estático 3D no requiere de una significativa mayor información, no existiendo así justificación para no realizar un análisis 3D.
2. EVALUACIÓN DEL FACTOR DE SEGURIDAD
El concepto de Factor de Seguridad, FS, es utilizado en distintas aplicaciones de ingeniería, correspondiendo, en general, a la razón entre resistencia y solicitación. En caso del análisis sísmico de FS en obras de suelos, se debe tener presente lo siguiente:
- La determinación de la resistencia al corte depende si el suelo está en estado contractivo o dilatante. Es decir, si su estado está por sobre o por debajo de la línea de estado crítico. Si el estado es contractivo, se emplea la resistencia no-drenada del suelo, Su; y si es dilatante, se usan los parámetros de resistencia drenada: cohesión, c, y ángulo de fricción, ϕ.
- Se deben incluir las fuerzas inerciales sísmicas “equivalentes” horizontal y vertical, a través de coeficientes sísmico Esta metodología es cuestionable, sin embargo, desde un punto de vista ingenieril, la experiencia mundial en países de alta sismicidad es altamente satisfactoria [3]. En Chile se han establecido correlaciones entre la aceleración máxima del sismo y el coeficiente sísmico horizontal, para sismos interplaca e intraplaca [4]. En cuanto a la componente vertical, la práctica considera un coeficiente sísmico vertical igual a dos tercios del horizontal.
- El FS puede evaluarse mediante métodos de equilibrio límite o de reducción de resistencia, los cuales coinciden en la definición del FS, pero difieren en su formulación y desarrollo.
3. SUPERFICIE POTENCIAL DE FALLA EN MODELO 3D
Existe amplia experiencia, tanto nacional como internacional, en análisis bidimensionales para evaluar la estabilidad sísmica de presas y taludes, ya sea mediante métodos de equilibrio límite con solicitación pseudo-estática o métodos numéricos dinámicos tensión-deformación con aplicación de historiales sísmicos. En la Fig. 1-izquierda se ilustran las fuerzas que compromete un análisis pseudo-estático en un modelo 2D, observándose que las fuerzas laterales de la franja analizada no son incluidas. Esto es correcto mientras la franja se repita invariable a lo largo de la presa, salvo en los estribos, lo que implica que la potencial superficie de falla abarcaría toda su extensión


Fig. 1. Izq.: Fuerzas en análisis pseudo-estático. Der.: Superficie de falla en fundación heterogénea.
De existir variaciones en la geometría, materiales del muro, o en el terreno de fundación, la potencial superficie de falla tenderá a comprometer la zona más débil, generando un volumen tridimensional, que un modelo 2D no representa adecuadamente (Fig. 1-derecha). El hecho de que la potencial superficie de falla se concentre en un sector específico, hace que la resistencia al deslizamiento en las paredes laterales sea relevante, por lo que un análisis 2D sin incluir estas fuerzas es conservador.
4. GEOMETRÍA, PARÁMETROS Y CONSIDERACIONES DE LOS MODELOS
A modo de ejemplo ilustrativo se modeló una presa de relaves típica de 100 m de altura (H), con taludes aguas arriba 2:1 (H:V) y aguas abajo 3.5:1 (H:V). Los análisis consideraron distintas geometrías y diferentes escenarios de fundación (Figs. 2 y 3). Los parámetros de los materiales se detallan en la Tabla 1 Todos los análisis son de tipo pseudo-estático, utilizando coeficientes sísmicos de KH=0.20 y KV=0.13 Este último fue aplicado en la dirección que genera el menor FS, que generalmente es hacia abajo en suelos cohesivos y hacia arriba en suelos friccionantes.
Tabla 1. Parámetros de los materiales. Material �� (t/m3) �� (°) �� (kPa)
�� (t/m3) �� (°) �� (kPa)
200 kPa)
Relaves 1.7 18 5
A diferencia de los modelos dinámicos, donde se busca evitar la reflexión de ondas, en un análisis pseudo-estático las condiciones de borde no son relevantes mientras la falla no alcance los bordes. Por ello, no fue necesario extender los modelos Se utilizaron los softwares FLAC3D (reducción de resistencia) y Slide3 (equilibrio límite) FLAC incluye un comando para determinar el FS; sin embargo, los resultados son sensibles al criterio de convergencia utilizado (“mechanical ratio”), por lo que debe emplearse con cautela. Para este estudio, se evaluaron varios casos con diferentes criterios, y se seleccionó el FS tras inspeccionar los resultados. Los detalles están fuera del alcance de este artículo.
5. EFECTO DE LA RELACIÓN DE ASPECTO DE LA PRESA
Se evaluó el efecto del ancho de la garganta mediante el análisis de la relación entre la longitud (L) y la altura (H) de la presa La Fig. 2 muestra la geometría evaluada y la curva resultante del FS en función de la razón L/H. Los resultados obtenidos con los modelos FLAC3D (reducción de resistencia), y Slide3 (equilibrio límite) muestran una alta similitud en los valores de FS y en la geometría de las superficies.

la presa.
Fig. 2. Resultados evaluación del efecto de la relación de aspecto de
Para L/H > 4, el FS tiende al valor obtenido en el análisis 2D (FS2D=1.49). En cambio, para L/H < 4, se observa un aumento del FS, alcanzando un valor cercano a FS3D=1.64 para L/H=1, correspondiendo a un incremento de hasta 10% respecto al valor 2D. Por tanto, para relaciones de aspecto L/H menores a 4, se verifica que el análisis bidimensional resulta conservador.
6. EFECTO DE ESTRATO DÉBIL EN TERRENO DE FUNDACIÓN
En el diseño de presas, la garganta suele definirse según la calidad geomecánica e hidrológica del terreno de fundación y estribos. En cambio, el emplazamiento de una presa de relaves está condicionado por la disponibilidad de terreno aguas abajo de la planta de procesos Generalmente, el terreno de fundación es el que resulta tras las prospecciones, sin posibilidad de reubicación. Por ello, no es raro que éste sea heterogéneo y con zonas de suelos débiles Se modeló una presa, de longitud L = 600 m, sobre un terreno que posee un suelo fino de baja resistencia en un ancho variable (D). Los resultados (Fig. 3), muestran que en FLAC3D el FS es ligeramente superior a Slide3. El modelo 2D con fundación en finos es conservador para todos los anchos analizados, observándose, además, que en general, para anchos de suelo fino menores a 200 m, el muro resulta estable en el análisis 3D.

FUNDACIÓNENGRAVA
FUNDACIÓNENFINOS
Fig. 3. Resultados evaluación del efecto de estrato débil en terreno de fundación.
7. CONCLUSIONES
Se evaluó la estabilidad pseudo-estática de una presa de relaves chilena típica, bajo diversas configuraciones geométricas y escenarios de fundación. Se utilizaron los métodos de reducción de resistencia y de equilibrio límite, cuyos resultados son similares Los análisis muestran que el uso de modelos 2D en presas con relaciones de aspecto L/H menores a 4, o con terrenos de fundación heterogéneos, entregan resultados conservadores, lo que puede llevar a desarrollar medidas de mejoramiento, que podrían no ser estrictamente necesarias Se propone el uso de modelos 3D para representar con mayorprecisión la estratigrafía y la topografía delentorno. No obstante, su confiabilidad depende fuertemente de la calidad y cantidad de la información geotécnica (incluyendo prospecciones y ensayos), por lo que es esencial contar con una base de datos sólida y técnicamente respaldada.
8. REFERENCIAS
[1] Decreto Supremo 86 (1970). Reglamento de Construcción y operación de tranques de relaves.
[2] Decreto Supremo 248 (2007). Reglamento para la aprobación de proyectos de diseño, construcción, operación y cierre de los depósitos de relaves.
[3] Towhata (2008). Geotechnical Earthquake Engineering. ISBN 978-3-540-35782-7
[4] Saragoni R, Garrido B (2022). Coeficientes Sísmicos Estáticos de Diseño para Estudios de Estabilidad de Tranques de Relaves para Terremotos Subductivos Intraplaca Chilenos.



RETRO-ANÁLISIS Y MODELACIÓN DE FALLAS DE TALUD EN RELLENOS SANITARIOS UTILIZANDO EL MÉTODO DEL PUNTO MATERIAL
J. Jofré (1) , L. Lemus (2) , J. Farfán (3), J. Rodríguez (4) (1) GA Consultores, jjofre.avalos@gmail.com/jjofre@geotecniaambiental.cl (2) Universidad de La Serena, Departamento de Ingeniería en Obras Civiles, llemus@userena.cl (3) GA Consultores, jfarfan@geotecniaambiental.cl
RESUMEN/ ABSTRACT
En este trabajo se estudia la falla y el posterior deslizamiento de residuos del Relleno Sanitario Santa Marta, Chile, ocurrido el 16 de enero del 2016. Se analizan parámetros geotécnicos de resistencia al corte para identificar los mecanismos y los factores desencadenantes del colapso. El estudio se lleva a cabo a través de un “Retro-Análisis” de la falla del talud, utilizando un modelo computacional basado en el Método del Punto Material (MPM). Se busca calibrar los parámetros geotécnicos para el modelo clásico de Mohr-Coulomb con reblandecimiento artificial, de acuerdo con las observaciones posteriores al colapso, considerando específicamente los desplazamientos y las grandes deformaciones alcanzadas. El modelo adopta un enfoque bidimensional de deformación plana en un medio poroso saturado con una formulación hidro-mecánica acoplada. El Retro-análisis validó parámetros geotécnicos críticos de estabilidad, los cuales influyen también en la forma del colapso, cuantificando así los mecanismos detrás del desplazamiento de 300 m medidos desde el pie del talud. Esta investigación representa una primera aplicación del MPM de un caso real en rellenos sanitarios, contribuyendo a la predicción de colapsos, desarrollo de estrategias de diseño y operacionales en sitios de disposición de RSU.
Palabras-Clave: Relleno sanitario, retro-análisis, método del punto material
1. INTRODUCCIÓN
La disposición final de los residuos sólidos urbanos (RSU) se realiza mediante rellenos sanitarios, construidos y diseñados con controles ambientales y de seguridad para evitar daños al entorno y a la salud. La Ingeniería Civil y específicamente la geotecnia cumplen un rol clave en asegurar la integridad estructural, continuidad operacional y la eficiencia de estas obras Sin embargo, a nivel mundial se han producido una cantidad no menor de colapsos de este tipo de estructuras [1]
En Chile, el relleno sanitario Santa Marta,ubicado en Talagante, sufrió una falla el 16 de enero de 2016, provocando un deslizamiento de talud de 400 m de desplazamiento máximo y un incendio que duró aproximadamente tres días [2]
El presente trabajo propone analizar esta falla mediante modelación computacional usando el software Anura3D, basado en el MPM, para simular el comportamiento del relleno bajo distintos escenarios. El objetivo es identificar las causas del colapso, evaluar parámetros de resistencia al corte, aportando al entendimiento sobre fallas en rellenos sanitarios
2. FALLA DE TALUD DEL RELLENO SANITARIO SANTA MARTA
El relleno sanitario Santa Marta inició su operación en el año 2002 Durante varios años funcionó con normalidad, hasta que el 11 de enero de 2016 se detectaron signos de inestabilidad, evidenciando en la superficie una extensa grieta de aproximadamente 110 m de largo por 4 m de ancho, acompañada por el afloramiento de lixiviados [2], estos hallazgos se pueden apreciar en la figura 1. Cinco días después, el 16 de enero, se produjo un deslizamiento de gran magnitud en el talud del relleno, en dirección de este a oeste. El colapso abarcó un área de 400 m de largo, 300 m desde el pie del talud y 200 m de ancho, movilizando aproximadamente 200,000 m³ de residuos, equivalente al 10% del total acumulado [2]. La zona afectada se muestra en la figura 2

3. MÉTODO DEL PUNTO MATERIAL (MPM)

El MPM ha sido ampliamente utilizado para la modelación de problemas con grandes deformaciones, y recientemente se ha convertido en una potente herramienta computacional para reproducir distintos tipos de colapsos de masas de suelo o roca. Para abordar los diferentes y complejos escenarios que puede presentar un medio granular, se han desarrollado diversas formulaciones matemáticas para estudiar el medio en condición seca, saturada o parcialmente saturada. En este estudio se usa la formulación para un medio completamente saturado considerando el acoplamiento de las ecuaciones de balance de masa para las fases sólida y líquida (1 Punto-2 Fases). A continuación, se indican las ecuaciones de gobierno del modelo establecidas en términos de velocidades vL-vS [3]




En la ecuaciones se tiene que: aL es la aceleración de la fase líquida; vS y vL son las velocidades de la fase líquida y sólida, respectivamente; b es el vector de fuerza de cuerpo (peso propio); pL es la presión del líquido; L es la densidad del líquido (agua); KL es la compresibilidad volumétrica del líquido; L es la viscosidad cinemática del líquido; L es la permeabilidad intrínseca del líquido; n es la porosidad del medio; aS es la aceleración de las partículas sólidas; es el tensor de tensiones totales de Cauchy de la mezcla; S es la densidad de las partículas sólidas y m es la densidad de la mezcla bifásica [3]
4. PARÁMETROS GEOTÉCNICOS
Un desafío importante en este tipo de obras corresponde a la definición de los parámetros geotécnicos, dada la elevada heterogeneidad de los materiales, factores como la composición, humedad, descomposición, compactación influyen fuertemente en estos parámetros [4]. A continuación, en la siguiente tabla se detalla los parámetros adoptados para los RSU del Relleno Sanitario Santa Marta
Tabla 1. Parámetros de los residuos sólidos.
Parámetros Símbolo Valor Unidad Referencia
Porosidad n 0,5 - Jofré [5]
Densidad de los Sólidos s 2,3 t/m3 Jofré [5]
Permeabilidad 6,72 ∙ 10-8 m/s Jofré [5]
Coeficiente de empuje en reposo k0 0,4 - Lapeña [6]
Módulo de Poisson v 0,3 - Jofré [5]
Módulo de Corte G 5,0 ∙ 107 Pa Chugh [7]
Módulo de Elasticidad E 12.857 kPa Jofré [5]
Cohesión c 0 – 30 kPa Lapeña [8]
Ángulo de Fricción Interna �� 20 – 27,5 ° Lapeña [8]
Figura 1 Grietas Visualizadas [2]
Figura 2. Colapso del relleno sanitario.[2]
5. RETRO ANÁLISIS
Debido a la variabilidad física de los residuos, es complejo definir sus parámetros de resistencia al corte. Por ello, se realiza un retro análisis para determinar valores representativos.
5.1 Fase estática
El análisis comienza con una etapa estática calculada en dos pasos, en los cuales se aplica gradualmente la carga de gravedad. Se desarrollan cuatro modelos en total para estudiar el comportamiento de esta fase inicial. El Modelo 4 fue el seleccionado tras un estudio de sensibilidad, ya que mostró un desplazamiento menor a 1 m (ver Figura 3), correspondiente a una deformación vertical del orden de un 1%, condición que para este estudio se considera en equilibrio estático Este modelo servirá como base para la etapa dinámica, la cual no incluye acción sísmica, dado que el colapso del relleno sanitario no fue causado por un sismo En la Tabla 2 se muestra el detalle de los resultados de las simulaciones para distintos parámetros de resistencia y de deformabilidad.
Tabla 2. Parámetros y resultados de la etapa estática.
Modelo Cohesión (kPa) Angulo de Fricción (°) Módulo de Elasticidad (kPa) Desplazamiento (m)

Figura 3. Desplazamiento vertical en fase estática
5.2 Fase Dinámica
Esta fase incluye 800 pasos de cálculo de 0,1 segundos cada uno, totalizando 80 segundos de tiempo real de simulación, lo cual permite replicar un desplazamiento de 300 m medido desde el pie del talud. En esta fase se analizan únicamente variacionesen la cohesión yel ángulo de fricción interna, partiendo de los valores estáticos y reduciéndolos progresivamente hasta alcanzar condiciones críticas (cohesión de 0 kPa y fricción de 20°). Tras el análisis de sensibilidad (ver Tabla 3), se determinó que los valores que mejor reproducen el desplazamiento observado son una cohesión de 0 kPa y un ángulo de fricción de 21,5°.
Tabla 3. Resultados modelos de la etapa dinámica.
Modelo Cohesión (kPa) Ángulo de fricción (°) Desplazamiento (m)
1 20 20 170
2 0 27 230
3 0 25 250
4 0 23 280
5 0 20 320

Figura 4. Definición del Ángulo de Fricción 21,5 º
6.


5. a) Deformaciones a los 5 s y b) Desplazamiento final del modelo 5.
CONCLUSIONES
Una de las posibles evidencias de falla fue el afloramiento de lixiviados [9] ocurrido días antes del accidente, debido a un aumento en la presión de poros y, con ello, una disminución en las tensiones efectivas y afectando negativamente los parámetros de resistencia al corte A esto se sumó el incumplimiento de la RCA N.º 76/2012, que exigía capas de 60 cm y celdas de hasta 4 m, mientras que las celdas construidas alcanzaban espesores mayores a lo establecido, lo que aumentó la carga e inclinación del talud.
El análisis retrospectivo mostró que los parámetros resistentes en el momento de la falla podrían reducirse a una cohesión de 0 kPa y un ángulo de fricción interna de 20°, en línea con lo propuesto por Lapeña [8]. El estudio de sensibilidad confirmó que los valores que mejor representaban la falla, que se extendió 300 m desde el pie del talud, fueron una cohesión de 0 kPa y un ángulo de fricción de 21,5°. Estos resultados permiten evidenciar un rango de valores críticos frente una situación de colapso inminente, por lo que brinda información para definir un estado de alerta temprana frente a condiciones extremas de inestabilidad. Finalmente, estos hallazgos destacan la importancia del adecuado mantenimiento y operación de los rellenos sanitarios, especialmente en instalaciones que generan biogás, donde la acumulación de lixiviados compromete significativamente su estabilidad estructural.
7. REFERENCIAS
[1] Blight G. Slope failures in municipal solid waste dumps and landfills: a review, 2008.
[2] Altabella J, Szanto M, Colomer F, Izquierdo A. Análisis del deslizamiento del relleno sanitario de Santa Marta, Chile. CONAMA 2016.
[3] Zekkos D, Bray J, Kavazanjian E, Matasovic N, Rathje E, Riemer M, Stokoe K. Unit weight of municipal solid waste, 2006.
[4] Lemus L, Harris B, Bravo A, Rodríguez J. Post-failure modelling of Las Palmas tailings dam using the Material Point Method, 2025.
[5] Jofré J. (2024). Modelación computacional de la falla de talud del relleno sanitario Santa Marta mediante el Método del Punto Material, Trabajo de Titulación Ingeniería Civil USerena, Chile.
[6] Lapeña P. Caracterización experimental del comportamiento resistente de vertederos de residuos sólidos urbanos convencionales (R.S.U) y sometidos a pre-tratamiento (R.S.U-M.B. T), 2017.
[7] Chugh A, Stark T, DeJong K. Reanalysis of a municipal landfill slope failure near Cincinnati, Ohio, USA, 2007.
[8] Lapeña P, Cañizal J, Palma J, Sagaseta J. Análisis de deslizamiento del talud del vertedero de residuos sólidos urbanos de Santa Marta (Chile), Barcelona, España, 2022
[9] Espinace R, Farfán J, Rojas R, Pávez P. Propuestas para la determinación y el diagnóstico de la estabilidad física en rellenos sanitarios, XI congreso de Geotecnia, Chile, 2021.
Figura



Influencia de los parámetros de diseño en la estabilidad física de Pilas de Lixiviación
S. Palma (1) , D. Villanueva (1) , J. Riquelme (1) y A. Torres (1) (1) SRK Consulting Chile
RESUMEN/ ABSTRACT
El método de lixiviación es ampliamente utilizado en minería para la recuperación de minerales. La estabilidad física de esta se encuentra condicionada por la geometría de la pila y la distribución de presiones de poros generadas por la infiltración de la solución irrigadora. La solución lixiviante y su aplicación suele definirse a partir de pruebas geometalúrgicas que determinan la recuperación del mineral.
Este estudio analiza la influencia de parámetros de diseño clave en la estabilidad de una pila, integrando modelos de flujo no saturados con análisis de estabilidad mediante el método de equilibrio límite. Se realizó un análisis de sensibilidad considerando distintas tasas de riego y permeabilidades, evaluando cuatro materiales de ripio caracterizados mediante curvas de retención de humedad Los resultados muestran que la permeabilidad del cover es uno de los parámetros más influyentes en la estabilidad global, mientras que la permeabilidad del ripio y la tasa de riego presentan un efecto secundario dentro de los rangos analizados. Estos resultados destacan la importancia de una correcta definición de los parámetros clave en las etapas de diseño, ya que variaciones en ellos pueden afectar significativamente la estabilidad de la pila. Este estudio proporciona lineamientos para optimizar el diseño y la seguridad de pilas de lixiviación.
Palabras-Clave: Curva de retención de humedad, estabilidad física, pilas de lixiviación
1. INTRODUCCIÓN
La lixiviación en pilas constituye una técnica fundamental en la minería chilena para la extracción de metales desde minerales como óxidos y sulfuros de baja ley. Existen principalmente dos tipos de pilas: dinámicas, donde el mineral es apilado y removido en ciclos sucesivos, y estáticas, en que el material permanece inalterado durante todo el proceso hidrometalúrgico.
El diseño geotécnico de pilas de lixiviación exige una evaluación rigurosa de diversos parámetros como la tasa de riego, la altura de la pila y las propiedades hidráulicas del material (permeabilidad saturada y curva de retención de humedad), cuya adecuada caracterización requiere considerar el comportamiento parcialmente saturado de los materiales [1]. A ello se suman las propiedades geotécnicas de resistencia y deformabilidad, las condiciones climáticas, la topografía del emplazamiento y la implementación de sistemas de drenaje e impermeabilización.
La infiltración de la solución lixiviante puede generar variaciones significativas en las presiones de poros, modificando el régimen de esfuerzos efectivos y comprometiendo la estabilidad de los taludes [2]. En el presente trabajo se evalúa la estabilidad física de una pila de lixiviación dinámica mediante el método de equilibrio límite, integrando resultados de modelos de flujo no saturado que consideran la sensibilidad de los parámetros hidráulicos del mineral y manto drenante (cover), junto con distintas tasas de riego El estudio busca contribuir al diseño seguro y eficiente de pilas de lixiviación, identificando el impacto de la caracterización hidráulica en los factores de seguridad.
2. METODOLOGÍA
En un estudio paralelo [3] se desarrollaron modelos de flujo no saturado bidimensionales (2D) mediante SVFlux (SVOffice 2009), con el objetivo de evaluar la influencia de distintos parámetros en la generación de niveles freáticos en pilas de lixiviación dinámica. Se analizaron variaciones en la tasa de
riego, la permeabilidad saturada de los ripios y la permeabilidad del cover. A partir de los resultados de dichas simulaciones, en este estudio se extraen las grillas de presión de poros para analizar el efecto de estas condiciones sobre los factores de seguridad, manteniendo la misma configuración geométrica de referencia.
2.1. Configuración Geométrica
La geometría considerada corresponde a una pila de 8 m de altura, con un manto drenante (cover) de 0,8 m de espesor, taludes con pendientes de 30° y una pendiente basal de 2%. Para los análisis de estabilidad se incorporó, además, una geomembrana basal instalada entre el suelo de fundación y el cover. La configuración adoptada se esquematiza en la Fig. 1.

Fig. 1. Configuración geométrica considerada en los análisis de estabilidad.
2.2. Materiales
Para caracterizar los ripios, se utilizaron los mismos materiales considerados en [3], correspondientes a cuatro muestras de mineral/ripio (R1, R2, R3 y R4), para las cuales se dispone de ensayos de laboratorio que incluyen curvas de succión, granulometría y propiedades de resistencia. Las muestras R1, R2 y R3 corresponden a gravas con distinto contenidos de finos (GM-GC y GP-GC), mientras que la muestra R4 clasifica como arena arcillosa (SC), en el sistema USCS. En promedio, las muestras presentan 50% de gravas, 30% de arenas y 20% de finos, alcanzando un máximo de 33% de finos en la muestra R3.
Para el suelo de fundación, el cover y la geomembrana se emplearon valores representativos conforme a la experiencia de SRK La Tabla 1 resume los parámetros geotécnicos de resistencia de cada material incluido en el estudio.
Tabla 1. Parámetros geotécnicos de resistencia.
Parámetro
SueloGeomembrana
2.3. Análisis de Estabilidad
El análisis de estabilidad física de la pila de lixiviación se realizó mediante el método de equilibrio límite en el software Slide2 (Rocscience) para determinar los Factores de Seguridad (FS) asociados a las superficies de deslizamiento más críticas. Se consideraron superficies circulares y no circulares en
condiciones estáticas y pseudoestáticas; en estas últimas se aplicó un coeficiente sísmico horizontal de 0,15, valor referencial acorde con los rangos habitualmente empleados en proyectos similares desarrollados por SRK en Chile
Las condiciones hidráulicas se representaron mediante la importación de grillas de presiones de poros obtenidas a partir de los modelos de flujo no saturado generados con SVFlux. En total, se evaluaron siete configuraciones, combinando tasas de riego de 4 y 10 L/h/m2, permeabilidades saturadas de los ripios de 1x10-4 y 1x10-5 m/s y permeabilidades del cover de 1x10-4 y 1x10-7 m/s. La única combinación no analizada fue aquella con una tasa de riego de 10 L/h/m2 , una permeabilidad de 1x10-5 m/s en ripios y 1x10-7 m/s en el cover, dado que generaba un nivel de saturación completo del modelo, resultando en un escenario extremadamente crítico Cada una de estas configuraciones fue evaluada considerando los cuatro materiales distintos de mineral/ripio
Cabe mencionar que se aplicó un “negative pore pressure cutoff” de 0 kPa, omitiendo el incremento de resistencia al corte por succión con el objetivo de adoptar un enfoque conservador.
3.
RESULTADOS
Los resultados del análisis de estabilidad, expresados como FS obtenidos para los distintos escenarios de material, permeabilidad, tasa de riego y tipo de falla, se muestran en la Fig. 2. Se incluyen los resultados correspondientes al mecanismo de falla no circular, considerando tanto condiciones estáticas como pseudoestáticas, y diferenciando entre la permeabilidad del ripio/mineral y la tasa de riego. Cabe destacar que también se analizaron las fallas circulares, cuyos FS fueron superiores a los de las fallas no circulares y mostraron tendencias similares; por ello, no se incluyen en la figura.

Fig. 2. Resultados - Factores de seguridad. En general, los mayores factores de seguridad se alcanzan bajo condiciones estáticas, especialmente cuando la permeabilidad del cover es alta (1x10-4 m/s), lo que favorece la infiltración y disminuye la magnitud de las presiones de poros generadas. Además, en un cover de alta permeabilidad, la dispersión de los FS obtenidos para un mismo ripio es menor, lo que indica que la influencia de la permeabilidad de los ripios es limitada. En contraste, en escenarios con permeabilidad de cover más baja (1x10-7 m/s), la falta de un drenaje eficiente aumenta la relevancia de la permeabilidad de los ripios en los resultados de estabilidad.
Por otra parte, el aumento de la tasa de riego de 4 a 10 L/h/m² no produce una reducción significativa del FS, tanto bajo condiciones estáticas como pseudoestáticas.
4. DISCUSIONES
Los resultados muestran que, bajo las condiciones analizadas, la permeabilidad del cover es la variable más influyente en la estabilidad de la pila. Un cover de mayor permeabilidad (1x10-4 m/s) favorece el drenaje de la solución lixiviante, reduce las presiones de poros y conduce a factores de seguridad más altos, mientras que un cover de menor permeabilidad (1x10-7 m/s) incrementa la sensibilidad de la respuesta a la permeabilidad del ripio Entre los materiales, R3 se identifica como el caso más crítico, lo que se relaciona con su mayor contenido de finos
Al analizar ripios con diferentes CRH, se observa que las variaciones en el factor de seguridad pueden alcanzar hasta 0.3 unidades. Esto resalta la importancia de realizar una caracterización adecuada de la CRH para obtener estimaciones confiables de la estabilidad de la pila.
El aumento de la tasa de riego de 4 a 10 L/h/m² no tuvo un efecto significativo en la estabilidad, lo que indica que, dentro de los rangos evaluados, su influencia es secundaria frente a la permeabilidad del cover. Asimismo, se constató que las fallas no circulares entregan factores de seguridad más bajos en todos los escenarios, independiente del tipo de material o de la tasa de riego, tendencia que se mantiene tanto en condiciones estáticas como pseudoestáticas.
Estos hallazgos coinciden con [4], donde se señala que el diseño de una capa de drenaje es clave en pilas de lixiviación. Esto refuerza la importancia de una caracterización hidráulica adecuada y de una selección precisa de los parámetros de diseño, dado que la variabilidad en la permeabilidad del cover y, en menor medida, en las condiciones de riego, afectan directamente la estabilidad global de la pila.
5. CONCLUSIONES
En el presente estudio se evaluó la estabilidad física de pilas de lixiviación dinámica mediante el método de equilibrio límite, integrando resultados de modelos de flujo no saturado y análisis de sensibilidad de parámetros hidráulicos. Los resultados muestran que la permeabilidad del cover es uno de los factores más determinantes en la estabilidad, seguida por la permeabilidad del ripio y la tasa de riego.
El análisis desarrollado presenta limitaciones asociadas a la adopción de un único caso base con geometría fija (altura y ángulo de talud), así como a la exclusión del riego en los taludes de la pila, lo que constituye una simplificación respecto a condiciones operacionales habituales.
Se recomienda que investigaciones futuras incorporen variaciones en altura de las pilas, ángulos de talud y pendiente basal, así como la aplicación de riego en los taludes. De igual modo, se sugiere complementar el enfoque de equilibrio límite con modelos numéricos de tensión-deformación, que permitan analizar el comportamiento bajo distintos escenarios de manera más realista. Con estas mejoras, sería posible establecer criterios de diseño más robustos y acordes a las condiciones reales de operación, contribuyendo a incrementar la seguridad y eficiencia de este tipo de estructuras en la minería chilena.
REFERENCIAS
[1] D. Van Zyl, «Integrated heap leach design incorporating unsaturated material considerations,» Rock Dumps 2008: Proceedings of the First International Seminar on the Management of Rock Dumps, Stockpiles and Heap Leach Pads. Australian Centre for Geomechanics, pp. 153-166, 2008.
[2] R. Rodríguez, L. Oldecop y C. García, «Comportamiento geotécnico-estructural e hidromecánico de pilas de lixiviación de mineral,» Energía & Minas, pp. 32-45, 2018.
[3] D. Villanueva, S. Palma, J. Riquelme y A. Torres, «Importancia de los parámetros de diseño aplicado a Pilas de Lixiviación,» 2025.
[4] B. Ulrich, H. Andrade y T. Gardner, «Lessons learnt from heap leaching operations in South America - An update,» The Journal of The South African Institute of Mining and Metallurgy, pp. 23-28, 2003.



INSIGHTS ON SEISMIC DIRECTIVITY IN THE DYNAMIC BEHAVIOUR OF A SEDIMENTARY BASIN
F. Ortiz W. (1)* , J. Bustos (2), C. Pastén(2)
(1) Department of Civil and Environmental Engineering, Imperial College London, UK. *f.ortiz-wall23@imperial.ac.uk
(2) Department of Civil Engineering, University of Chile, Chile
1. ABSTRACT
Three-dimensional physics-based numerical modelling (3D-PBNM) is used to perform simulations of the seismic response of the Santiago Basin, Chile, using a large-scale velocity model and considering shallow crustal earthquake scenarios to investigate the phenomena of seismic amplification and directivity. Acceleration response spectra for different azimuthal directions were calculated for all receivers on the surface of the basin, for a range of low to high vibration periods. Results show that the direction of maximum spectral acceleration is not uniform across all soil units. While competent materials exhibit consistent results over all ranges of periods analysed, softer materials tend to show greater variability. It is suggested then that the response is influenced by dynamic properties of the soil, the basin and bedrock geometry and the inherent properties of the seismic source such as its focal mechanism. These findings contribute to improve the understanding on the influence of soil type and basin geometry on the directional response to seismic loading and underscores the importance of carefully considering the multidimensional interactions with soil type when assessing seismic hazard
Keywords: Physics-based numerical simulations; Seismic directivity; Shear-wave velocity model
2. INTRODUCTION
Recent advances in 3D-PBNM have significantly improved our ability to reproduce complex seismic phenomena that are often oversimplified or entirely missed in simplified or empirical approaches. Nevertheless, modelling seismic-related problems remains challenging, particularly for shallow crustal events. While distant subduction-type earthquakes can often be modelled as plane shear waves, due to their great depth and distance from the site of interest, shallow earthquakes present a distinct set of difficulties. Their proximity to the surface and to populated regions introduces considerable uncertainty, especially regarding the modelling of the location and focal mechanism of the seismic source. These factors can have a strong influence on soil response, with directivity and near-field effects playing a significant role
In this study, we examine how these source-related uncertainties interact with local soil conditions in the Santiago Basin, Chile. Using 3D-PBNM and a large-scale velocity model, we evaluate how different soil types respond to varying source directions and mechanisms of two seismic events associated with the activation of the San Ramón Fault (SRF).
3. METHODOLOGY
A large-scale model of the Santiago Basin has been developed to perform numerical simulations using the finite-difference code FDSim3D [1], which allows the propagation of seismic waves in threedimensional media. The model is 46 km in the north-south direction, 46 km in the east-west direction, 18 km in depth and the adopted grid spacing ensures numerical stability and adequate wave propagation within the frequency ranges of interest (up to 5 Hz). Receivers at the surface and bedrock level were placed every 800 m in each horizontal direction, which store the response as ground motion timehistories.
The geological-sedimentary properties of the basin are based on the updated model proposed by Acevedo [2], which defines the bedrock depth and 7 distinct soil units as shown in Fig. 1: Santiago Gravels (units A1 and A2), with high strength, stiffness, and shear wave velocities (Vs), fine-grained soils (unit F1) and ignimbrites (units P1 and P2), which are mainly soft soils with low stiffness and strength, and alluvial soils (units C1 and C2) with moderate stiffness

Fig. 1: (a) Plan view of the 3D sedimentary model considered for the Santiago Basin and the SRF trace. The shaded areas on the trace show the segments considered in the SRF1 and SRF2 simulations. The focal mechanism of each case is shown to the right of each segment, in the location of each epicentre. (b) Depth distribution of the sedimentary model.
Two seismic scenarios associated with the activation of the SRF were considered, directly related to the activation of the shaded segments shown in Fig. 1, defined based on the surface manifestation of the SRF and supported by results of gravity profiles and the fluctuation of the sinuosity index along the fault trace [3], and selected for their proximity to the most populated areas, critical infrastructure, and softer fine-grained soils, which are of particular interest due to their poor dynamic properties. Both seismic sources are defined by double couple points within the domain of the model, and are characterised by strike, dip, rake, depth, and a normalised-displacement time function Further details on the methodology can be found in Ortiz et al. [4].
4. RESULTS AND DISCUSSION
Ground motion response to both seismic scenarios are stored at every receiver as time-histories for EW, NS, and Z directions Since soil behaviour is inherently multidirectional rather than purely unidirectional, combining time histories to address, for example, horizontal response, is not straightforward, as the direction of incoming shear waves can significantly influence the seismic response.
To assess this phenomenon, the NS and EW acceleration traces were combined to obtain a single horizontal ground motion for different azimuths ranging from – 90° to 90° with 5° increments. Then, the acceleration response spectra Sa(T) with 5 % damping was calculated for the combined response at each receiver. Finally, the azimuthal directions with the largest spectral acceleration in the response spectra were identified for a range of periods ranging from T = 0.2 – 3.0 s. Fig. 2 shows the variation in the direction of maximum horizontal spectral acceleration, evaluated at several control points on different soil units (the location of control points P1 to P8 is shown in Fig. 3).
Softer soils, such as fine-grained soils and ignimbrite deposits, show high variability in the direction of maximum spectral acceleration as a function of the period (Fig. 2a and 2b). In contrast, the direction remains relatively constant in receivers on top of more competent soils, such as gravelly and alluvial soils (Fig. 2c and 2d).

Fig. 2: Direction of maximum horizontal spectral acceleration for periods between 0.2 and 3 s, evaluated at 8 control points in the model surface (a) Fine-grained soils, (b) Ignimbrite deposits, (c) Santiago Gravel, and (d) Alluvial soils.
Fig. 3 shows the direction of maximum horizontal spectral acceleration in the model surface for simulations SRF1 and SRF2 at T = 0.5 s and 1.0 s. In stiff soils, there is a gradual direction variation influenced by the focal mechanism of the seismic events. In contrast, the directions in soft soils seem to be further influenced by variations in the bedrock depth and interactions between the different soil units, as well as the proximity to rock outcrops.
5. CONCLUSIONS
This study highlights the complex, multidirectional nature of seismic ground response in the Santiago Basin through 3D-PBNM of shallow crustal earthquake scenarios. By evaluating the variation in the direction of maximum horizontal spectral acceleration across a range of periods and soil types, it was observed that softer soils such as fine-grained deposits and ignimbrites exhibit considerable variability in directional response. This contrasts with the more stable directional trends found in competent soils like gravels.
These results suggest that the seismic response is governed not only by the dynamic properties of the soil itself, but also by the geometry of the basin and bedrock, as well as the characteristics of the seismic source—particularly its focal mechanism—with the influence of these factors further amplified in softer soils.
From a design perspective, this directional variability introduces additional challenges for infrastructure on soft soils, as the response depends on a broader range of interacting factors. This makes seismic design in such areas inherently more uncertain and potentially more vulnerable. These findings underscore the importance of adopting site-specific, multidimensional analysis approaches when assessing seismic hazard in heterogeneous basins.

Fig. 3: Direction of maximum horizontal spectral acceleration in the model surface at T=0.5 s for (a) SRF1 and (b) SRF2, and at T=1.0 s for (c) SRF1 and (d) SRF2. The star to the right of each panel indicates the epicentre of each simulation.
REFERENCES
[1] Kristek J, Moczo P. FDSim3D - the Fortran95 code for numerical simulation of seismic wave propagation in 3D heterogeneous viscoelastic media www.cambridge.org/moczo
[2] Acevedo MA. Modelo de velocidades de la Cuenca De Santiago y estimación de su respuesta sísmica. Universidad de Chile; 2021. URL: https://repositorio.uchile.cl/handle/2250/183383
[3] Estay, N.P., Yáñez, G., Carretier, S., Lira, E., Maringue, J., 2016. Seismic hazard in low slip rate crustal faults, estimating the characteristic event and the most hazardous zone: Study case San Ramón Fault, in southern Andes. Nat. Hazards Earth Syst. Sci. 16, 2511–2528. https://doi.org/10.5194/nhess-16-2511-2016
[4] Ortiz, F., Pastén, C., Bustos, J., Ruiz, S., Astroza, R., & Easton, G. 2024. Soil amplification in the Santiago city, Chile, due to shallow crustal earthquakes. Soil Dynamics and Earthquake Engineering, 181, 108633. https://doi.org/10.1016/j.soildyn.2024.108633

MODELACIÓN

Y MONITOREO

GEOTÉCNICO DEL SOSTENIMIENTO DE UNA EXCAVACIÓN Y RECALCE MEDIANTE COMBINACIÓN DE MURO ANCLADO Y JET GROUTING
M. Colil (1) , C. González (2), A. Guzmán (3) (1) Pilotes Terratest Chile/Perú, mcolil@terratest.cl (2) Pilotes Terratest Chile/Perú, cgonzalezp@terratest.cl (3) Soilforce, aguzman@soilforce.cl
RESUMEN/ ABSTRACT
En ciudades densamente pobladas, los espacios entre el eje de excavación y las estructuras cercanas son cada vez más reducidos, lo que complica la ejecución de soluciones tradicionales como muros soil nailing o pilas de hormigón armado. Esta última opción de construcción manual está sujeta a riesgos, sobre todo en excavaciones profundas y con presencia de napas colgadas. Frente a esto, una solución alternativa es el muro anclado ampliamente utilizado preferentemente en grava en otros países de la región (Perú, Bolivia, México, entre otros) Este método utiliza anclajes postensados, que permiten controlar en mayor medida las deformaciones y, además el muro de entibación es también el muro definitivo del edificio.
Se presenta un caso de diseño y monitoreo geotécnico de un muro anclado en la grava de Santiago para alojar 7 subterráneos, colindante con edificios de hasta 8 pisos. Para el recalce de los edificios vecinos se utilizaron columnas de jet grouting. Estas columnas se diseñaron también para evitar la socavación por detrás del muro anclado, permitiendo su construcción sin el uso de bataches, acelerando la secuencia constructiva, caso inédito en proyectos de muros anclados en la región.
Se describen los aspectos constructivos del muro anclado y del recalce con jet grouting, así como de su diseño. Finalmente se presentan resultados del monitoreo geotécnico, que permitieron validar la solución.
Palabras-Clave: Muro anclado, Jet grouting, Modelación numérica.
1. INTRODUCCIÓN
Para la ampliación de un hospital en Santiago se proyectó un nuevo edificio junto a la estructura existente El nuevo edificio alojaría 7 subterráneos, con una profundidad máxima de sostenimiento de 23,75 m, y con una geometría irregular, debido a estar limitado por otros edificios existentes del hospital en la mayor parte de su perímetro (ver Fig. 1).
El diseño original se realizó considerando el uso de pilas de socalzado, ejecutadas de forma manual y ubicadas debajo de las zapatas perimetrales de los edificios vecinos a socalzar, debido a que no existía el espacio suficiente para desarrollar una solución más común de contención basada en pilotes o muros pantalla, ambos ejecutados de forma mecanizada.
Dada la gran profundidad requerida para la excavación de las pilas y la probable presencia de napas colgadas, el Cliente desestimó la solución con pilas debido al alto riesgo para los trabajadores que la ejecutarían. Por tal motivo se estudió una alternativa que permitiera resolver las entibaciones y el socalzado de los edificios vecinos. La solución correspondió a una combinación de columnas de Jet Grouting (JG) para socalzar los edificios vecinos y muro anclado para entibar la excavación y al mismo tiempo construir el muro definitivo del edificio.

Fig. 1. Planta de excavación y edificios vecinos.
2. ANTECEDENTES GEOTÉCNICOS
El perfil estratigráfico estaba constituido por 2 m superficiales de relleno de escombros y arcillas. Los estratos que le subyacen son la segunda depositación de la grava de Santiago cuya profundidad alcanzo los 9,50 m y posteriormente la primera depositación. El informe geotécnico alertaba de probable presencia de napas “colgadas”, en particular en épocas de lluvias, las que fueron encontradas durante la excavación, pero apropiadamente agotadas, no generando problemas para la construcción de las soluciones de contención y socalzado propuestas.
3. MURO ANCLADO Y JET GROUTING
Tradicionalmente el denominado muro anclado o “muro bajando” de hormigón armado se ejecuta en forma descendente, secuencialmente por paños o paneles alternos pares e impares en cada nivel mediante el uso de bataches, siguiendo la idea de mantener siempre una contención parcial con cuñas de suelo, evitando abrir el perímetro completo de un nivel, de tal forma de privilegiar la estabilidad de la pared excavada y del muro que se ejecutó en el nivel anterior. Para este proyecto, la altura de los paneles fue de 1,40 m para el primer anillo del muro anclado, para luego alcanzar una altura máxima de 3,80 m en los siguientes niveles o avances de excavación.
Las columnas de JG de socalzado de las fundaciones de los edificios vecinos, se realizaron tangentes entre sí, con un diámetro de 1,20 m y en tres niveles durante la excavación, de manera tal de que la desviación en su ejecución no implicase que la columna se alejase en gran medida del eje de excavación. El uso de las columnas de JG tangentes por detrás del muro anclado generó como beneficio para la secuencia constructiva, la realizaron aperturas completas de excavación en cada nivel, sin el uso de bataches lo cual permitió acelerar la excavación y ejecutar la armadura y hormigonado del muro en paños extensos.

Fig. 2. Muro anclado con columnas de JG tangentes. Izquierda: corte vertical referencial. Centro: planta con la distribución de columnas. Derecha: muro anclado sin uso de bataches
4. MODELACIÓN NUMERICA DE LA EXCAVACIÓN
En una primera etapa, se realizó un prediseño para determinar las cargas en los anclajes postensados y su longitud utilizando el software especializado en entibaciones GGU-Retain V10.36 [1] Se consideraron dos estados de carga, uno estático con empujes ponderados considerando un 50% de empuje activo y un 50% de empuje en reposo de acuerdo con la EAB [2], y un caso sísmico utilizando un coeficiente de aceleración horizontal kh = 0,18 g para un desplazamiento sísmico permanente de ∆eq = 10 mm según NCh3206 [3]
El comportamiento del muro se estudió en mayor detalle con una modelación numérica con el software Plaxis 2D [4] considerando las etapas constructivas y utilizando el modelo HS small con parámetros para la Grava de Santiago determinados por Salas et al [5]. La Fig. 3 compara los desplazamientos totales obtenidos sin y con columnas de JG para el caso estático, siendo posible observar que los desplazamientos estimados en la superficie inmediatamente detrás del muro son del orden de 10 – 12 mm en el caso sin JG y aproximadamente de 4 mm en el caso con JG.


Fig. 3. Desplazamientos totales Plaxis 2D en última etapa de excavación. Izq: sin columnas de JG, Der: con columnas de JG (caso estático).
5. INSTRUMENTACIÓN Y MONITOREO
Para controlar el comportamiento del muro anclado a ejecutar, se planificó un control detallado de los desplazamientos de este en su coronamiento mediante el uso de primas de control topográfico dispuestos en el perímetro. Se realizó un monitoreo 3D mediante estación total en una frecuencia inicialmente semanal y ya avanzada la excavación en al menos 2 mediciones por mes.

4: Puntos de monitoreo topográfico en planta.
6. COMPARACIÓN RESULTADOS MONITOREO GEOTÉCNICO CON MODELO NUMÉRICO
A modo de ejemplo, en la Fig. 5 se muestran las deformaciones horizontales del muro con y sin JG obtenidas de la modelación numérica para la zona vecina al edificio B. En la misma figura se presenta el valor medido en terreno mediante el uso de primas de control topográfico a lo largo de la obra, cuyo valor acumulado estuvo en el rango de 4 – 5 mm, cercana a la estimación con modelo numérico (curva negra)

Fig. 5. Deformaciones horizontales del muro según Plaxis 2D para la zona vecina al edificio B (caso estático).
7. CONCLUSIONES
La ejecución de columnas de JG, combinadas con el muro anclado ejecutado en forma descendente permitió resolver las condiciones de borde presentadas, permitiendo controlar los desplazamientos inducidos a los edificios vecinos y la construcción del muro anclado sin bataches.
La modelación numérica utilizando el modelo HS small implementado en Plaxis 2D, en conjunto con las cargas de tensado de anclajes determinadas por el software GGU Retain, permitieron obtener desplazamientos horizontales del muro anclado y asentamientos del terreno muy próximos a los valores medidos en terreno mediante control topográfico, reflejando el buen ajuste en los parámetros geotécnicos definidos para las depositaciones de la grava de Santiago.
8. REFERENCIAS
[1] GGU-Retain (2021). Analysis and design deep excavation, Prof. Dr. Johann Buß, Steinfeld.
[2] EAB. (2014) – Recommendations on Excavations. German Geotechnical Society.
[3] NCh3206. (2010) – “Geotecnia – Excavaciones, entibaciones y socalzados – Requisitos”, INN.
[4] PLAXIS (2019) PLAXIS 2D Reference Manual. Bentley Systems International
[5] Salas, F., Sáez, E. Ovalle, C y Fernández, J. (2019) “Análisis dinámico de una excavación profunda contenida mediante pilotes anclados en la grava de Santiago”
Fig.



METODOLOGÍA PARA ESTIMAR EL COEFICIENTE SÍSMICO HORIZONTAL DE UNA PRESA DE RELAVES A PARTIR DE UNA PROBABILIDAD ACEPTABLE DE EXCEDER UN ESTADO DE DAÑO
A. Meriño (1*) , C. Pastén (1) , P. Heresi (1) (1) Departamento de Ingeniería Civil, Universidad de Chile, agustin.merino@ug.uchile.cl
RESUMEN
Este trabajo desarrolla una metodología racional, basada en el marco de la Ingeniería Sísmica Basada en el Desempeño, para establecer una relación entre el coeficiente sísmico horizontal (kh) y una probabilidad anual de exceder un determinado estado de daño (PDS), considerados en el diseño de presas de relaves El método depende del coeficiente sísmico de fluencia (ky) del talud aguas abajo de la presa, la curva de fragilidad de la estructura y la curva de amenaza sísmica. Para ejemplificar la metodología, se analiza una presa de 100 m de altura. Los kh obtenidos con esta metodología están asociados a probabilidades anuales de exceder un estado de daño en el rango de 10-4 a 10-3
Palabras-Clave: Presas de relaves, coeficiente sísmico horizontal, ingeniería sísmica basada en el desempeño
1. INTRODUCCIÓN
El diseño de presas de relaves en Chile, prescrito por el Decreto Supremo N°248 del Ministerio de Minería [1] y el Decreto N°50 del Ministerio de Obras Públicas [2], incluye análisis pseudo-estáticos y de deformaciones para depósitos de gran altura o capacidad. Sin embargo, la normativa no orienta sobre la selección del coeficiente sísmico horizontal (kh) para los análisis pseudo-estáticos ni sobre la evaluación del diseño basado en los desplazamientos calculados. En la práctica, los desplazamientos admisibles dependen de los criterios adoptados por el diseñador y el titular del depósito de relaves, y varía de un proyecto a otro, basándose en la experiencia profesional y relaciones empíricas disponibles en la literatura Asimismo, la definición actual del kh rara vez considera las características de la presa ni su desplazamiento sísmico admisible. La industria minera global promueve la adopción de enfoques de diseño basados en el desempeño e informados por el riesgo, con el fin de facilitar la toma de decisiones respecto al riesgo sísmico por parte de los distintos actores involucrados y mitigar riesgos futuros En este contexto, este trabajo desarrolla una metodología racional, basada en el marco de la Ingeniería Sísmica Basada en el Desempeño (PBEE) para seleccionar el coeficiente sísmico de diseño de grandes presas de relaves aguas abajo en la zona de subducción chilena, integrando la vulnerabilidad estructural de la presa, la amenaza sísmica del sitio de emplazamiento y una probabilidad máxima aceptable de exceder un determinado estado de daño en un periodo de tiempo
2. METODOLOGÍA
La metodología se compone de cinco etapas: (1) Desarrollo de modelos numéricos representativos de presas de relaves aguas abajo; (2) evaluación de la eficiencia de diez medidas de intensidad (IM) para predecir el asentamiento en el coronamiento de la presa (Uy); (3) construcción de curvas de fragilidad para distintos estados de daño; (4) cálculo de las probabilidades anuales de excedencia de cada estado de daño (pDS); (5) Análisis de la relación entre kh y pDS La Fig. 1a presenta de manera esquemática la metodología para estimar las pDS de este estudio.
2.1. MODELACIÓN
NUMÉRICA DE PRESAS DE RELAVES CHILENAS REPRESENTATIVAS
Se desarrollaron modelos de elementos finitos con el software PLAXIS2D para representar el comportamiento dinámico de tres arquetipos de presas de relaves chilenas. La Fig. 1b muestra esquemáticamente la geometría considerada, representativa de presas construidas con material de empréstito Se seleccionaron tres razones Horizontal(H):Vertical(V) para el talud aguas abajo, H:V =
1,8:1,0; 2,0:1,0 y 2,2:1,0, mientras que para el talud aguas arriba se consideró H:V= 2:1 Cada modelo numérico se compone de tres materiales, el de la presa de contención, los relaves almacenados y el suelo de fundación. Los modelos constitutivos utilizados fueron el “Hardening Soil with Small Strain Stiffness” (HSS) para la presa, “Mohr Coulomb” (MC) para los relaves y “Lineal elástico” (LE) para el suelo de fundación. El modelo HSS es el modelo no lineal elastoplástico más simple implementado en el software PLAXIS2D que puede capturar la degradación de rigidez y el amortiguamiento histerético de materiales granulares. A pesar de que el modelo elastoplástico de MC no es adecuado para cargas cíclicas, fue seleccionado por su simplicidad y bajo costo computacional, dado el gran número de simulaciones requeridos en este estudio, al igual que el modelo LE. El material de fundación fue definido con una alta rigidez (Vs = 1200 m/s), dado que muchas presas de relaves construidas en el norte de Chile se emplazan sobre suelos rígidos. Los parámetros de los modelos constitutivos se pueden encontrar en [3] y no se incluyen en este documento por limitaciones de espacio. Cabe destacar que los módulos de rigidez utilizados son el doble de los valores reportados en dicho estudio (G0 ref= 330 MPa para una presión de referencia de 100 kPa). La discretización espacial de los modelos se definió para garantizar la transmisión de ondas de corte de hasta 25 Hz
Modeloprobabilísticode demanda

Análisisdinámicos nolineales


Casoshistóricosde terremotos
Modeloprobabilísticode capacidad

Curvadeamenaza sísmica

Curvadefragilidad

Leyenda Nododecontrol Condicióndeborde“free-field” Condicióndeborde“Compliantbase”



Fig. 1. (a) Esquema de la metodología utilizada para calcular pDS, (b) Esquema del modelo numérico de elementos finitos desarrollado en PLAXIS2D.
2.2. EVALUACIÓN
DE LA EFICIENCIA PARA PREDECIR EL ASENTAMIENTO DE LA PRESA
La eficiencia se relaciona con la certeza con la que la IM estima la demanda estructural EDP En este trabajo, el EDP se define como el asentamiento del centro de coronamiento Uy (punto C1 en Fig. 1b) y se evalúa la eficiencia de nueve IMs, calculadas a partir del movimiento fuerte simulado en nodo de control del campo libre (campo libre en Fig. 1b)
Se realizó un análisis dinámico incremental utilizando 14 registros sísmicos instrumentales de los últimos tres megaterremotos en Chile. Se consideraron exclusivamente terremotos de gran magnitud debido a la influencia de la duración del movimiento fuerte del suelo en la acumulación de desplazamientos sísmicos en taludes, donde la magnitud se puede considerar como una variable representativa de la duración. Cada registro sísmico fue escalado por cinco factores de escala: 1,0;1,25;1,50;1,75 y 2,0. Las simulaciones que excedieron en el campo libre una aceleración máxima (PGA) de 1,2 g o una velocidad máxima (PGV) de 1 m/s fueron descartadas. Los resultados en las siguientes secciones consideran un total de 57 simulaciones por arquetipo.
La Figura 2b muestra Uy en función de la pseudo-aceleración espectral promedio optimizada (Saavg opt) para los tres arquetipos analizados. La pseudo-aceleración espectral promedio, Saavg, fue definida por [4] como la media geométrica de las ordenadas del espectro de pseudo-aceleración en el rango [0,2∙T0– 3∙T0], donde T0 es el periodo fundamental de la estructura. En este trabajo, el rango de periodos utilizados para calcular Saavg opt fue [0,10 s – 0,75 s], correspondiente al intervalo que mostró una mayor eficiencia en la predicción de Uy en un conjunto de doce arquetipos de presas que consideraron dos alturas, dos materialidades y las mismas pendientes aguas abajo utilizadas en este estudio (ver Fig. 2a).
La eficiencia de nueve IMs para predecir Uy se evaluó mediante la desviación estándar de los residuos de una regresión lineal entre los logaritmos naturales de Uy y los logaritmos naturales de IM (ver Fig. 2a), la según la siguiente ecuación:
Uy|IM
(ln(Uy) ln(Uy p))2 n i=1 n 2
Ec. 1
Donde n es el número de simulaciones en cada arquetipo, Uy es el desplazamiento obtenido en la simulación y Uy p es el desplazamiento vertical predicho por la regresión lineal.
100m|H:V=1.8:1.0| =330MPa
100m|H:V=2.0:1.0| =330MPa
100m|H:V=2.0:1.0| =330MPa



Fig. 2. (a) Eficiencia de las IMs evaluadas para predecir Uy (b) Uy en función de Saavg_opt para los tres arquetipos analizados, (c) modelos de capacidad y (d) curvas de fragilidad asociadas al estado de daño por pérdida de revancha.
2.3. CURVAS DE FRAGILIDAD
Las curvas de fragilidad desarrolladas definen la probabilidad de exceder un estado de daño dado un nivel de intensidad sísmica en campo libre, P(DS|Saavg opt) (ver Fig.1a). En este estudio, se evalúan tres estados de daño: (1) una extensión del índice de razón de área en falla (FAR), propuesto por [5]; (2) el estado de daño severo definido por [6]; y (3) un estado de daño relacionado con la pérdida revancha libre. La Fig.2c muestra los modelos de capacidad de cada estado de daño, los cuales definen la probabilidad de exceder un determinado estado de daño en función de Uy, P(DS|Uy). Finalmente, la Fig. 2d presenta únicamente, a modo de ejemplo, las curvas de fragilidad correspondientes a los tres arquetipos para el estado de daño asociado a la pérdida de revancha. Para incorporar la variabilidad epistémica asociada a la selección de registros, se aplicó un procedimiento Bootstrap con remuestreo con reemplazo de las 57 simulaciones por arquetipo, repetido 30.000 veces, generando 30.000 curvas de fragilidad en cada caso.
2.4. CÁLCULO DE KH A PARTIR DE PROBABILIDADES ANUALES DE EXCEDENCIA
La tasa media anual de excedencia de un estado de daño, λDS, se calcula mediante la convolución entre las curvas de fragilidad y la curva de amenaza sísmica (ver Fig.1a) Luego, a partir de λDS se puede calcular la pDS, asumiendo un modelo de Poisson La Fig. 3 resume para cada estado de daño los pDS por arquetipo, caracterizado cada uno por ky (el coeficiente sísmico asociado a la masa deslizante crítica del talud aguas abajo cuando el factor de seguridad pseudo-estático es FS=1,0) y por kh (el coeficiente sísmico asociado a FS=1,2 de la misma masa deslizante), donde cada diagrama de caja representa el rango intercuartil (percentiles 25–75) de los resultados. Los coeficientes sísmicos fueron utilizando el software comercial Slide2, utilizando métodos de equilibrio límite.
La metodología para establecer kh consiste en definir una probabilidad anual máxima aceptable de exceder un determinado estado de daño (pDS máx). A partir de pDS máx se determina el valor de kh que lo satisface, a partir de la Fig. 3 De esta forma, la estimación de kh se vincula directamente con los desplazamientos calculados en los análisis dinámicos y al estado de daño considerado.

Fig. 3. Relación entre las probabilidades anuales de excedencia de cada estado de daño DS con kh y ky.
3. CONCLUSIONES
Los resultados de la metodología planteada en este trabajo permiten establecer las siguientes conclusiones:
• Saavg opt es la IM más eficiente para predecir Uy, y puede estimarse mediante modelos de predicción de movimiento fuerte, lo que facilita su aplicación práctica.
• Las presas analizadas presentan un buen desempeño sísmico frente a escenarios compatibles con la amenaza sísmica chilena, considerando los estados de daño evaluados.
• Se observa una disminución sistemática de la probabilidad anual de excedencia de un estado de daño (pDS) al reducir la inclinación del talud aguas abajo (aumentar el valor de ky)
AGRADECIMIENTOS
Este trabajo fue financiado por los proyectos ANID FONDECYT Nº1240744, ANID FONDECYT N°11230463 y ANID EASER (Evolution Assessment of Seismic Risk) Nº ACT240044
REFERENCIAS.
[1] Ministerio de Minería. Decreto Supremo N°248: Reglamento para la aprobación de proyectos de diseño, construcción, operación y cierre de los depósitos de relaves. Santiago de Chile. 2007.
[2] Ministerio de Obras Públicas. Aprueba reglamento a que se refiere el artículo 295 inciso 2°, del código de aguas, estableciendo las condiciones técnicas que deberán cumplirse en el proyecto, construcción y operación de las obras hidráulicas identificadas en el artículo 294 del referido texto legal. 2015.
[3] Pastén C, Garrido B, Heresi P Defining Efficient Ground Motion Intensity Measures to Estimate Engineering Demand Parameters of Tailings Dams. 1ST International conference on geotechnics of tailings and mine waste. Ouro Preto. 2023.
[4] Eads L, Miranda E, Lignos D G. Average spectral acceleration as an intensity measure for collapse risk assessment. Earthquake Engineering Structural Dynamics 2015; 44(12): 2057-2073.
[5] Boada G, Pastén C, Heresi P. Analytical fragility curves for abandoned tailings dams in NorthCentral Chile. Soil Dynamics and Earthquake Engineering 2023; 164:107637.
[6] He J, Rathje E M. Seismic capacity models for earth dams and their use in developing fragility curves. Earthquake Spectra 2024. 40(3): 1986-2007.



CONSIDERACIONES PARA EL DISEÑO DEL SOSTENIMIENTO DE EXCAVACIONES PROFUNDAS CON MÚLTIPLES NIVELES DE TÚNELES INTERMEDIOS E INTERFERENCIAS PERIMETRALES
C. González (1) , M. Colil (2)
(1) Gerente de Ingeniería Pilotes Terratest Chile/Perú, cgonzalezp@terratest.cl (2) Ingeniero de Proyectos Pilotes Terratest Chile/Perú, mcolil@terratest.cl
RESUMEN/ ABSTRACT
La nueva Línea 7 del Metro de Santiago presenta diversos desafíos en su diseño y construcción, principalmente debido al poco espacio disponible, a la existencia de estructuras sensibles a las deformaciones en su perímetro y a la profundidad importante tanto de sus túneles, como la de sus piques de construcción y estación. Dentro de estos últimos, alcanzando profundidades de excavación cercanas a los 40 m desde el nivel de terreno natural.
La gran profundidad de estos piques, sumado a las interferencias cercanas, así como la presencia de uno o más niveles de túneles que los interceptan, generan un desafío técnico complejo tanto para el diseño de su sostenimiento, a nivel de estabilidad y deformaciones, así como la constructibilidad de las soluciones posibles.
Se presentan las principales consideraciones del diseño de una de las entibaciones más profundas desarrolladas en la grava de Santiago en el contexto del Metro de Santiago Línea 7, considerando la interacción de la entibación con la secuencia constructiva de túneles proyectados, así como las interferencias de servicios, edificios y túneles perimetrales. Para ellos se muestran los criterios de cálculo y modelamiento numérico utilizados, tanto para la evaluación de la estabilidad, estudio de deformaciones y diseño estructural. Así como las medidas de modelamiento 3D para tratar las interferencias cercanas en conjunto con la recomendación de constructibilidad de los elementos del sostenimiento.
Palabras-Clave: Metro Línea 7, excavación profunda, modelación numérica.
1. INTRODUCCIÓN
La nueva Línea 7 del Metro de Santiago contará con alrededor de 26 Km de vías, con 19 nuevas estaciones y comunicará la zona norponiente de Santiago con comunas del nororiente. Esta línea es construida mediante túneles, en un primer tramo (zona norte) con el uso de TBM y en un segundo tramo mediante el método tradicional NATM. Conectará con las líneas 1, 2, 3, 5 y 6. Una de estas conexiones se construye con uno de los piques más profundos excavados dentro de Santiago (38m de profundidad), rodeado de edificios de gran altura, túneles y de infraestructura crítica (acueductos, redes de gas y electricidad), sumado a la confluencia de vías de tránsito de importancia. Estos aspectos generan un desafío técnico complejo tanto para su diseño como su construcción.
En este artículo se presentan las principales consideraciones para el diseño de los sostenimientos del pique, considerando la interacción de la entibación con la secuencia constructiva de túneles galería proyectados en su altura, así como con las interferencias de servicios y edificios cercanos.
2. DESCRIPCIÓN DEL PIQUE EN ESTUDIO E INTERFERENCIAS
El pique de excavación en estudio considera una profundidad de 38m, con una sección en planta trapezoidal con un largo de 55,8m y un ancho cercano a los 44m, en donde en 3 de sus lados es interceptado por 1 o 2 túneles galería en elevación (ver Tramo 1, 2 y 3 en Figura 1).
En los sectores fuera de los tramos de intersección con galerías, se consideró como entibación una solución tradicional de pilotes de hormigón armado más anclajes postensados, mientras que para los sectores con galerías se consideró una solución mixta entre pilotes anclados (sobre las galerías), soil



nailing con pernos de fibra de vidrio más pilotes con hormigón de baja resistencia, sin armadura, en la traza de los túneles, que posteriormente deberían ser demolida para su construcción.
En cuanto a las interferencias existentes en el perímetro que impactan en el control de deformaciones, en la definición del empuje sobre el sostenimiento, la disposición de anclajes, etc. se encuentran: subterráneos de edificios vecinos, calles con transito continuo, acueductos de agua potable, redes de gas enterradas y los túneles galería y estación proyectados que deben ser ejecutados mientras la entibación se mantiene funcional.

Fig. 1 Izq: Planta general de excavación, Cen: elevación de tramo 3, der: planta con interferencias hacia los anclajes
3. DESCRIPCIÓN ESTRATIGRÁFICA
Y CARACTERIZACIÓN GEOTÉCNICA
Las unidades de suelo corresponden principalmente a la primera y segunda depositación del río Mapocho, con características ampliamente conocidas por lo que no se adentrará en su descripción.
4. METODOLOGIAS
Y CRITERIOS DE DISEÑO DEL SOSTENIMIENTO
Para el diseño del sostenimiento, se agrupó el pique en dos grupos, el primero de ellos asociado a los tramos en donde solo se consideró pilotes de hormigón armado arriostrados con anclajes postensados (con diseño tradicional que no se estudia en este artículo), otro grupo era el tramo de los piques en donde es interceptado por las galerías en altura, en el cual se consideraron la solución mixta de pilotes anclados, soil nailing y pilotes no armados de baja resistencia.
Los pilotes anclados que sostendrán la entibación desde el nivel de terreno hasta la clave de la galería principal (sector de pilotes armados, ver Figura 1) son calculados para un empuje rectangular considerando la presión horizontal de las bases de diseño de Metro (ver Figura 2) y utilizando el método de equilibrio limite. Las cargas en los anclajes postensados y anclajes pasivos, y los esfuerzos en los pilotes son obtenidos utilizando el software SAP2000 de acuerdo con solicitud del equipo revisor de Metro.



Fig. 2 Izq: diagrama de empujes para la grava de Santiago de los criterios de Metro, der: secciones de cálculo con software SAP2000 del tramo 3.



Los anclajes postensados son diseñados de acuerdo con las bases de diseño de metro, los anclajes pasivos son diseñados de acuerdo con las recomendaciones de la FHWA [1] al no existir un criterio para estos elementos en las bases de diseño de Metro Los pilotes son diseñados de acuerdo con el código ACI-318 [2].
El sostenimiento desde la clave de la galería principal hasta el sello de excavación global es sostenido mediante un muro Soil Nailing cuyo diseño se realiza utilizando las recomendaciones de la FHWA [1], considerando la estabilidad global de toda la altura del sostenimiento, utilizando el método de equilibrio limite implementado en el software Slide2 (ver Fig. 3)
Los análisis mencionados anteriormente se basan en el método de equilibrio limite y son realizados para la condición sin excavación de galerías. Para considerar el efecto de la excavación de las galerías en los elementos de sostenimiento, se realizó una verificación utilizando el método de elementos finitos implementado en el software Plaxis 2D (Hardening soil model), con el que se estudian posibles variaciones en carga de los anclajes y esfuerzos en el sostenimiento. Para ello se impuso conservadoramente un desplazamiento vertical en la clave del túnel (tanto peatonal como principal) de 12 mm para propiciar la deformación del suelo y la sobrecarga adicional sobre los elementos de entibación.

Fig. 3 Izq: modelo de equilibrio límite para análisis de estabilidad global con software Slide2, der: modelo de elementos de la entibación utilizando Plaxis 2D.
5. RESOLUCIÓN DE INTERFERENCIAS
Los anclajes postensados y pasivos se introducen en el terreno circundante, es por ello que en su diseño (inclinaciones, desviaciones constructivas, longitudes, etc.) se debe considerar la existencia de las estructuras existentes y proyectadas alrededor del pique. Las interferencias se resuelven con métodos 3D en donde se evalúa uno a uno la posición de cada anclaje, considerando que las diferencias en inclinaciones son motivos de ajuste en la carga de diseño de estos. Es relevante en este punto el levantamiento topográfico de detalle de las interferencias existentes.

Fig. 4: Modelo 3D para resolución de interferencias de anclajes


6. RESULTADOS DESTACADOS

La Fig. 5 izquierda presenta los momentos flectores en los pilotes obtenidos en Plaxis 2D, donde se compara la etapa constructiva de excavación hasta la base de la galería principal (línea negra) con la etapa posterior correspondiente a la excavación de la galería. En ella se observa el aumento de momentos debido a la imposición del asentamiento en la clave de la galería (incremento de 49,2%)
La Fig. 5 central compara los resultados de los diagramas de momento para el mismo pilote entre los modelos de Plaxis 2D y SAP2000. En el modelo desarrollado en Plaxis 2D la excavación de las galerías implica una disminución en los esfuerzos verticales y la aplicación de esfuerzos horizontales casi nulos en la zona de galerías (excavación de suelo) lo cual es menos solicitante en término de momentos en el pilote, que lo obtenido por SAP2000.
Finalmente, la Fig. 5 derecha presenta los esfuerzos normales cuya resultante es de 3161 kN/m (Plaxis Hardening Soil) levemente superior a los 3062 kN/m obtenido de los criterios de metro para la altura del sostenimiento (caso sin apertura de galerías)



Fig. 5 Resultados de la modelación numérica, izq: diagrama de momentos flectores en los pilotes del tramo 3 obtenidos en Plaxis 2D, cen: comparación de los momentos obtenidos entre Plaxis 2D y SAP2000, der: esfuerzos normales obtenido de Plaxis 2D.
7. CONCLUSIONES
Se presento el estudio de una entibación profunda afecta por la intersección de dos niveles de galería en altura, así como la existencia de múltiples interferencias perimetrales
La solución aplicada consistió en el uso de pilotes de hormigón armado anclados en los sectores no coincidentes con las galerías, mientras que, en la zona de intersección de galerías, se consideró muro soil nailing con anclajes de fibra de vidrio y pilotes de hormigón de menor resistencia sin armaduras con el fin de facilitar la posterior apertura de los túneles.
El diseño de esta solución requirió la modelación numérica con elementos finitos que permitiera considerar los efectos inducidos por la excavación de las galerías en la entibación, en complemento a los métodos de equilibrio límite
Dada la presencia de múltiples interferencias perimetrales (acueductos, tuberías y túneles proyectados), fueron requeridos modelos geométricos de interferencia 3D que permitieran ejecutar los anclajes sin afectar estas instalaciones.
8. REFERENCIAS
[1] FHWA-NHI-14-007 (2015). Soil nailing walls reference manual.
[2] ACI 318-08 (2008). Código de diseño de hormigón armado.



INFLUENCE OF COMPRESSIONAL WAVE VELOCITY ON THE ESTIMATION OF SHEAR WAVE VELOCITY PROFILES USING SURFACE WAVES METHODS
F. Oliveras (1) , C. Pastén (1), F. Leyton (2) (1) Departamento de Ingeniería Civil, Universidad de Chile, f.oliverascisternas@gmail.com (2) Centro Sismológico Nacional, Universidad de Chile
ABSTRACT
International and national standards (ISO 24057 and PrNCh3793) provide guidelines for estimating shear wave velocity (Vs) profiles using surface wave methods (SWM). During the inversion stage of SWM, a nonlinear problem is solved under variousassumptions, resulting in multiple one-dimensional Vs profiles that are equally compatible with the target dispersion curve. Previous studies have demonstrated the influence of Poisson's ratio (v) on the direct calculation of the fundamental mode Rayleigh wave dispersion curve, as well as the significance of appropriate parameterization during the inversion. Different approaches can lead to distinct sets of Vs profiles, potentially affecting seismic site classification, especially when using the harmonic average of shear wave velocity in the top 30 meters (Vs30) as a classification parameter. This study examines the impact of compressional wave velocity (Vp) profiles on the estimation of Vs profiles, both in direct and inverse analyses.
Key-Words: Vs30, Surface Wave Methods (SWM), Compressional Wave Velocity (Vp).
1. INTRODUCTION
Surface wave methods (SWMs) are widely used to estimate one-dimensional (1D) shear wave velocity (Vs) profiles. From these profiles, the harmonic average shear wave velocity in the upper 30 meters (Vs30) can be computed a parameter used for seismic site classification in various international standards. Recent standards, such as the ISO 24057 [1] and the prNCh3793 [2], provide guidelines for estimating Vs profiles using SWMs, though they place limited emphasis on uncertainty quantification and sensitivity analysis of the parameters defining the dispersion curve, particularly considering the nonlinear and non-unique nature of the inversion process
The application of SWMs is structured into three stages: i) data acquisition, ii) processing to obtain the dispersion curve (DC), and iii) inversion of DC to estimate the Vs profile [3]. This final stage aims to find profiles whose theoretical DC closely match the observed one [4] and consists of three phases: defining the target curve, parameterizing the search domain, and selecting the search approach [5]. The inverse problem is often simplified by focusing on the estimation of Vs, due to its significant influence on the dispersion curve [5]. This practice involves parameterizing a larger number of layers for Vs, followed by fewer layers for compressional wave velocity (Vp), and even fewer for density (��) and Poisson's ratio (��) [6]. However, various studies have highlighted the influence of �� on the dispersion curve, recommending that both Vs and Vp be treated as unknowns in each layer [4,5,7]. It has also been noted that assuming a constant �� can significantly bias the results [4]. Direct analyses have also demonstrated the sensitivity of the DC to Vp and ��, highlighting their relevance in surface wave data interpretation [8, 9].
This study focuses on the inversion stage, evaluating the sensitivity of the DC to the Vp using a synthetic profile. The influence of Vp (and its associated v) is analyzed by computing the forward response of a fixed Vs profile with varying Vp. The effect of this variability on the inversion process is then assessed by comparing solutions obtained with different allowable ranges of �� in the parameterization.
2. METHODOLOGY
In this study, a synthetic stratified profile is analyzed to assess the impact of Vp on the DC. It consists of three layers with increasing Vs with depth, representing a normally dispersive soil over a half-space located at 31 meters depth, with Vs = 1020 m/s. Variations in the parameters used for the theoretical calculation of the DC are introduced in both the forward and inverse analyses to evaluate their influence on the results obtained through SWM.
The fundamental mode DC of the Rayleigh wave in a horizontally stratified soil profile is governed by four parameters per layer: Vs, layer thickness (H), Vp and ��. Vp and Vs are related through ��, as expressed in Equation 1, with typical values for geotechnical materials ranging from 0.2 to 0.5 [10].

Fig. 1 Impact of Vp on the dispersion curve through forward analysis. (a) Vs profile; (b) Vp profiles; (c) dispersion curves; and (d) relative difference in ���� with respect to ����,��=0,3 Values of Poisson’s ratio vary from 0.15 to 0.45 in increments of 0.01 [-].
Table 1. Geotechnical Parameters of Synthetic Profiles.
Inverse
Note: H: layer thickness; Vs: shear wave velocity; ��: Poisson’s ratio; σ: standard deviation; CoV: coefficient of variation.
In the forward analysis, the base Vs profile and layer thicknessesdefined in Table 1 and shown in Figure 1a are used. Based on this profile, 31 Vp profiles were generated using Equation (1), varying �� from 0.15 to 0.45 in increments of 0.01 (Figure 1b). For each combination of the Vs profile, the 31 Vp profiles, and a constant density (�� = 1.85 g/cm³), the fundamental mode DC is computed using the gpdc module of Geopsy [5]. This yields a set of 31 dispersion curves in the 2–60 Hz frequency range, as shown in Figure 1c. Figure 1d presents the relative difference, in percentage, of each curve with respect to that corresponding to �� = 0.3, which is highlighted in black in Figure 1c. The difference is computed as:
Eq. 2
Where ����,���� is the phase velocity obtained for a specific value of ����, and ����,��=0,3 is the reference curve with ��= 0,3. Relative differences of up to 30% are observed at intermediate frequencies. This forward analysis shows that profiles with high �� generate dispersion curves with VR values above the reference curve (�� = 0.3), while those with low �� yield systematically lower phase velocities.
For the inverse analysis, 5000 Vs profiles were generated (Figure 2a, black lines) by introducing simultaneous variations in Vs and H of the base profile, representative of a heterogeneous geological site. Density was kept constant at �� = 1.85 g/cm³, while Vs and H vary according to the values listed in Table 1, following log-normal distributions and generating 5000 values per parameter. The total soil thickness is kept constant at 31 meters. Subsequently, by randomly combining the generated parameters, the 5000 Vs profiles were obtained, along with the mean profile and standard deviations (blue lines in Fig. 2a). Vp profiles were calculated using Equation (1), assuming ��= 0.3.

Fig. 2 Target models: (a) Vs profiles; (b) Dispersion curves; and (c) Vs30 histogram
The theoretical fundamental mode DC was then computed for each profile (Fig. 2b). From these, the mean and standard deviation of VR were obtained for each frequency, thus defining the target DC (blue lines in Fig. 2b). The frequency range was restricted to 7.2 and 43 Hz (corresponding to wavelengths of 4 to 90 m), ensuring that the resulting DC would be representative of the upper 30 m of the profile. Accordingly, it is assumed that VR at a given wavelength represents the material at one-third of that depth [4]. Based on this set of Vs profiles, Fig. 2c shows a histogram of Vs30 was constructed and fitted to a Gaussian distribution, along with the seismic soil classification according to Chilean standard DS61 [12].

Fig. 3. Inversion results for both parameterizations. (a) Dispersion curves; (b) Vp profiles; (c) Vs profiles; (d) Vs30 Histogram
Two independent inversions were performed to adjust the target DC using different parameterizations for the allowable range of ��. In both cases, the model consisted of three layers over a half-space, with independent parameters for Vs, Vp, and layer thickness (12 variables in total), while keeping the density constant with depth (�� = 1.85 g/cm³). In the first parameterization, �� was constrained to the range [0.15, 0.20], while in the second to [0.40, 0.45]. The inversions were conducted using the dinver module of the Geopsy software [10], following a Monte Carlo approach. The resulting profiles were then ranked by misfit, and the 500 best-fitting models were selected for each case. Fig 3a shows the DCs of the selected models and Fig. 3b the corresponding Vs and Vp profiles. Fig. 3d presents the Vs30 histograms for both sets of profiles, compared against the theoretical distribution shown in Fig. 2c.
This inverse analysis demonstrates that, when parameterizing with low �� values, the profile requires higher Vs to match the VR of the target curve; the opposite occurs when high �� values are used. Consequently, the Vs30 solutions (Figs. 3d) tend to cluster at the extremes of the theoretical probability density function derived from the set of synthetic Vs profiles (Fig 2c). From a practical standpoint, these differences could affect the seismic site classification, inducing a change of categoryaccording to DS 61
3. CONCLUSIONS
This study assesses the influence of the Vp profile on the estimation of the Vs profile through both forward and inverse analyses. Starting from a representative base profile, it examines how the choice of Poisson’s ratio in the inversion parameterization can introduce systematic errors in Vs estimation. The results show that insufficiently constrained Vp profiles can lead to significant deviations in Vs30, potentially altering the seismic site classification as defined in DS 61.
REFERENCES
[1] International Organization for Standardization. Geotechnical investigation and testing Field measurement of shear wave velocity Surface wave testing method ISO 24057:2024. Geneva: ISO; 2024.
[2] Instituto Nacional de Normalización. Técnicas geofísicas sísmicas para la caracterización dinámica de sitios. prNCh3793. Santiago: INN; [en desarrollo, Comité Técnico 30.92].
[3] Foti S, Lai C G, Rix G J, Strobbia C. Surface wave methods for near-surface site characterization. CRC Press; 2014.
[4] Foti S, Hollender F, Garofalo F, Albarello D, Asten M, Bard P Y, Comina C, Cornou C, Cox B, Di Giulio G, Forbriger T, Hayashi K, Lunedei E, Martin A, Mercerat D, Ohrnberger M, Poggi V, Renalier F, Sicilia D, Socco V Guidelines for the good practice of surface wave analysis: a product of the InterPACIFIC project. Bull Earthquake Eng; 2018, 16(6):2367–2420.
[5] Vantassel J P, Cox B R. SWinvert: a workflow for performing rigorous 1-D surface wave inversions. Geophysical Journal International; 2021, 224(2):1141–1156.
[6] Humire F, Sáez E, Leyton F, Yañez G. Combining active and passive multi-channel analysis of surface waves to improve reliability of VS₃₀ estimation using standard equipment. Bull Earthquake Eng; 2015, 13(5):1303–1321.
[7] Wathelet M. An improved neighborhood algorithm: parameter conditions and dynamic scaling. Geophys Res Lett; 2008, 35(9).
[8] Karray M, Lefebvre G. Significance and evaluation of Poisson's ratio in Rayleigh wave testing. Can Geotech J; 2008, 45(5):624–635.
[9] Socco L V, Papadopoulou M, Comina C. Surface wave analysis for comprehensive soil characterization and Poisson's ratio estimation. In: International Conference on Engineering Geophysics. Tulsa: Society of Exploration Geophysicists; 2017, p. 68–71.
[10] Wathelet M. Array recordings of ambient vibrations: surface-wave inversion [PhD thesis]. Liège: University of Liège; 2005.
[11] Wathelet M, Chatelain J L, Cornou C, Di Giulio G, Guillier B, Ohrnberger M, Savvaidis A. Geopsy: a user-friendly open-source tool set for ambient vibration processing. Seismol Res Lett; 2020, 91(3):1878–1889.
[12] MINVU, 2011. Ley Chile - Decreto 61 13-DIC-2011 MINISTERIO DE VIVIENDA Y URBANISMOBiblioteca del Congreso Nacional



OPORTUNIDADES EN EL USO DE CURVAS DE FRAGILIDAD PARA LA EVALUACIÓN DE LA SEGURIDAD SÍSMICA DE PRESAS DE MATERIALES SUELTOS
J. M. Barbagelata (1) (1) Università degli Studi di Napoli Federico II
RESUMEN
Garantizar la seguridad de presas de materiales sueltos frente a terremotos es un requisito fundamental debido a las graves consecuencias que podrían derivarse de su daño o colapso durante eventos sísmicos. A lo largo de los años, diversas metodologías de análisis han sido utilizadas para evaluar la respuesta sísmica de este tipo de estructuras geotécnicas, avanzando en complejidad conforme se incorporaban herramientas numéricas avanzadas capaces de capturar fielmente la respuesta del terreno ante acciones dinámicas. Este trabajo tiene por objeto presentar diversas aplicaciones de las curvas de fragilidad en la evaluación de la seguridad de presas, contemplando su empleo en la evaluación de desempeño sísmico, riesgo y sistemas de alerta temprana. Se exponen brevemente los lineamientos generales para la obtención de curvas de fragilidad representativas de los principales modos potenciales de falla de una presa, considerando la variabilidad e incertidumbre asociadas a acciones y parámetros geomecánicos. Asimismo, se aborda la definición de niveles de desempeño y criterios para definir umbrales de riesgo aceptables. Como resultado, una visión integral de las etapas críticas en la obtención de las curvas de fragilidad para una presa de materiales sueltos, refiriendo sus bondades en la mitigación del riesgo sísmico es ofrecida. La evaluación cuantitativa del riesgo es una exigencia de la ingeniería de presas en la actualidad, y las funciones de fragilidad se presentan como una herramienta capaz de integrarse de forma eficaz en la valoración del riesgo y la definición del desempeño sísmico de estas estructuras, beneficiando a la seguridad de las presas de materiales sueltos frente a terremotos.
Palabras-Clave: desempeño sísmico, fragilidad, presas de tierra.
1. INTRODUCCIÓN
Las consecuencias del daño severo o colapso de una presa de materiales sueltos hacen que las evaluaciones de su seguridad, especialmente en zonas de elevada sismicidad, sean un requisito fundamental. Estas evaluaciones buscan no solo proteger a las poblaciones e infraestructura aguas abajo del proyecto, sino también garantizar la explotación ininterrumpida del recurso hídrico, vital en zonas áridas como el centro-sur de Sudamérica Las metodologías utilizadas para estas evaluaciones varían en complejidad, utilizando aquellas más avanzadas modernas herramientas numéricas capaces de capturar la respuesta cíclica de los diferentes geo-materiales que componen tanto presa como fundación No obstante, y a pesar de sus capacidades, muchos de estos métodos no contemplan de forma explícita y sistemática la variabilidad e incertidumbre tanto en las características de los materiales como en las acciones, así como también en la evaluación de los resultados, generalmente determinística
Esta condición, sumada a la creciente necesidad de la introducción de análisis de riesgo adoptados ya por diversas agencias internacionales (USBR & USACE, 2019), hace que la evaluación del desempeño sísmico de presas esté migrando hacia métodos probabilísticos capaces de contemplar tanto la incertidumbre tanto aleatoria como la epistémica. Estos métodos, relegados en la práctica regular de la ingeniería por su aparente sofisticación y necesidad de considerables recursos computacionales, son en la actualidad un requisito fundamental en la evaluación de la seguridad sísmica de presas, y las curvas de fragilidad una parte integral de aquellos métodos más difundidos Este trabajo busca presentar los aspectos fundamentales de la construcción de curvas de fragilidad para presas de materiales sueltos, para luego exponer algunas aplicaciones de las mismas en la
evaluación de la seguridad sísmica desde la evaluación del desempeño, riesgo y como componente de sistemas de alerta temprana. La adopción de metodologías de análisis que puedan integrar la incertidumbre de forma sistémica en la evaluación del desempeño sísmico, así como expresar los resultados en términos de medidas de riesgo, constituyen un requisito fundamental para la ingeniería geotécnica sísmica moderna
2. CURVAS DE FRAGILIDAD PARA PRESAS DE MATERIALES SUELTOS
Las curvas o funciones de fragilidad son relaciones que vinculan la probabilidad de ocurrencia de una “falla” de una gravedad dada, con una medida de intensidad del sacudimiento sísmico. Estas funciones pueden ser obtenidas de forma empírica con datos de campo luego de terremotos fuertes, basadas en la opinión de expertos, o derivadas de forma analítica. Estas últimas son generalmente obtenidas en base a métodos estadísticos que evaluan la probabilidad de falla a diversas intensidades del sacudimiento sísmico en base a la información de análisis dinámicos no lineales, para luego ajustar una distribución de probabilidad acumulada log-normal como la presentada en la Ec. 1 En la expresión de Ec. 1 se presentan otros componentes fundamentales en la derivación de curvas de fragilidad ligadas a la caracterización del desempeño sísmico de la estructura geotécnica (EDP, o parámetro de desempeño), la identificación de niveles de daño (DM, o medida de daño) y la intensidad del movimiento sísmicos de referencia (IM, o medida de intensidad).
Ec. 1
Donde los parámetros y pueden ser calibrados utilizando diversas metodologías, siendo las más difundidas “Multiple Stripes Analysis” (MSA), “Incremental Dynamic Analysis” (IDA), y “Cloud Analysis” (CA), todas ellas con sus ventajas y desventajas a la hora de su aplicación a estructuras geotécnicas
A la hora de derivar curvas de fragilidad para presas de materiales sueltos es preciso, previamente a cualquier evaluación, identificar no solo las características de los materiales que componen tanto la presa como la fundación, sino también identificar (al menos de forma preliminar) los principales modos de falla potenciales de la presa (PFMs). Este paso es crucial, ya que garantizar que las curvas de fragilidad sean representativas de un modo de falla que la presa pueda fehacientemente desarrollar durante un evento sísmico. Asimismo, los parámetros de desempeño (EDP) deben ser seleccionados para ser representativos del desempeño de la presa durante el desarrollo de un modo de falla potencial en particular. De igual forma, la disponibilidad de medidas de daño (DM) vinculadas a diversos niveles de daño y usualmente provenientes de la evaluación de casos históricos, condiciona la selección de los EDPs obtenidos de los análisis dinámicos no lineales y utilizados en las evaluaciones de fragilidad. Otro componente fundamental, y que se encuentra condicionado por la metodología de calibración, es la selección y escalado de los registros sísmicos utilizados en los análisis dinámicos y caracterizados a través de las medidas de intensidad del movimiento sísmico IM No obstante las diferencias entre los métodos, la selección y escalado de los registros debe ser hecha para que estos sean consistentes con el peligro sísmico del sitio de emplazamiento, en el mejor de los casos evaluado en base a un análisis probabilístico de peligro sísmico. Además, la elección de la IM que mejor pueda representar las variaciones en la respuesta de la presa es un aspecto importante a la hora de la obtención de las curvas de fragilidad, y existen diversas metodologías y métricas para evaluar cuál es la IM óptima para cada caso en particular, entre las cuales destaca su eficiencia (Regina et al., 2023)
Si bien los métodos de calibración de curvas de fragilidad obligan a tener en cuenta la variabilidad en la definición de la acción sísmica, la incertidumbre en las propiedades de materiales debe ser introducida a costa de una mayor cantidad de análisis. Tal introducción es idealmente fundamentada en una caracterización estadística de la variación de estas propiedades, y puede ser organizada de forma sencilla y bajo hipótesis estadísticas razonables a través de un árbol lógico
3. APLICACIONES DE LAS CURVAS DE FRAGILIDAD EN INGENIERÍA SÍSMICA DE PRESAS
Las curvas de fragilidad brindan, en sí mismas o como componentes de una evaluación o sistema más complejo, gran información acerca del desempeño sísmico del sistema en análisis. Esto no es solo por la cantidad de análisis (en ocasiones numerosos) que respalda sus resultados, sino también por la capacidad que tienen de poder presentar en términos de una magnitud uniforme como lo es la probabilidad de fallo, las prestaciones de la presa para varios modos potenciales de falla. Esto es una característica de la cual los métodos tradicionales adolecen, ya que regularmente se expresan en términos de factores de seguridad que no permiten una clara identificación del nivel de seguridad que presenta la presa para los diversos modos de falla potenciales.
a. Evaluación sísmica utilizando curvas de fragilidad
La evaluación de la capacidad a través de curvas de fragilidad puede darse por simple inspección de curvas que corresponden a distintos modos potenciales de falla, como aquellas de la Figura 1

Fig. 1 Curvas de fragilidad para una presa de tierra, diversos modos de falla para el nivel de daño de colapso (Regina et al., 2023)
Si se considera un nivel de sacudimiento sísmico específico, puede identificarse aquellos modos potenciales de falla que tengan la mayor o menor probabilidad de tener un daño de cierta intensidad en relación a ese nivel de sacudimiento del terreno. Estas probabilidades pueden variar según el nivel de daño, como así también ser diferentes para diversas IM, con lo cual es posible establecer una extensa evaluación de la respuesta sísmica a partir de la inspección de diversas familias de curvas de fragilidad.
b. Valoración probabilística del desempeño y riesgo sísmico
La evaluación del riesgo sísmico, similar a la evaluación del desempeño sísmico probabilístico utilizando la metodología PEER (Kramer, 2024), considera a las curvas de fragilidad como un componente fundamental a la hora de evaluar tanto el desempeño como el riesgo en términos de probabilidad de falla, como así también en términos de pérdidas, por ejemplo en términos monetarios. La necesidad en este ámbito de curvas de fragilidad confiables es primordial, y se pone en evidencia al ver el rol central que tienen las mismas dentro de la integral utilizada para la evaluación del desempeño sísmico probabilístico en términos de la tasa anual de falla (Ec 2)
Ec. 2
Tal integral puede resolverse de forma numérica como una sumatoria, y brindar información muy útil con respecto a la recurrencia o tiempo de retorno con el cual podrían esperarse los diversos modos de falla potenciales, característicos de cada nivel de daño.
c. Alerta temprana y manejo de emergencia
Finalmente, las curvas de fragilidad pueden integrarse dentro de un sistema de alerta temprana, como los componentes que vinculan el desempeño esperado por la presa con el nivel de sacudimiento medido por el sistema de monitoreo de la misma. Una propuesta de su uso es la presentada en la Figura 2, la cual muestra de forma sencilla cómo las probabilidades de ocurrencia de los diversos niveles de daño pueden ser usadas como información complementaria a las inspecciones visuales y análisis de registros de monitoreo para un mejor manejo de la emergencia post evento sísmico

Fig. 2 Esquema de un sistema de alerta temprana que incluye curvas de fragilidad como modelo interpretativo del desempeño sísmico (Barbagelata et al., 2024)
4. CONCLUSIONES
La integración de curvas de fragilidad a la práctica regular de la evaluación de la seguridad sísmica de presas de materiales sueltos presenta significativas ventajas en vistas de sus diversas aplicaciones y útiles resultados Las diversas componentes del proceso de calibración deben ser abordadas con atención para garantizar curvas de fragilidad representativas y confiables. Su aplicación en la evaluación del desempeño y riesgo sísmico, como en sistemas de alerta temprana demuestra su versatilidad y las hace una herramienta atractiva en la evaluación de la seguridad sísmica de presas
REFERENCIAS
[1] USBR, & USACE. (2019). Best practices in dam and levee safety risk analysis (Guidelines No. 4.1; p. 1300). United States Department of the Interior Bureau of Reclamation & United States Army Corps of Engineers.
[2] Regina, G., Zimmaro, P., Ziotopoulou, K., & Cairo, R. (2023). Evaluation of the optimal ground motion intensity measure in the prediction of the seismic vulnerability of earth dams. Earthquake Spectra, 39(4), 2352–2378.
[3] Kramer, S. (2024). The evolution of performance-based design in geotechnical earthquake engineering (International Association for Earthquake Engineering, Vol. 3). Eucentre.
[4] Barbagelata, J. M., Zimmaro, P., d’Onofrio, A., Pagano, L., & Silvestri, F. (2024). A proposal for earthquake early warning systems for embankment dams using fragility functions. Incontro Annuale dei Ricercatori di Geotecnica 2024- IARG 2024, Gaeta, Italy.



Análisis numérico 3D de un depósito de relaves con elevaciones de muro variable: Impacto en la respuesta sísmica.
D. Inzunza (1), D. Hernandez (2) , D. Solans (3) (1) WSP Chile, diego.inzunza@wsp.com (2) WSP Chile, diego.hernandez@wsp.com (3) WSP Chile, david.solans@wsp.com
RESUMEN/ ABSTRACT
Los estudios de deformaciones sísmicas en depósito de relaves tienen por objetivo evaluar su estabilidad sísmica, principalmente en términos de desplazamientos, con el fin de dar cumplimiento a la normativa vigente en Chile (i.e. DS 248 Of. 2007 y D50 Of. 2015). Una práctica común en la industria es realizar análisis 2D de las secciones críticas representativas de la geometría, considerando como criterio la mayor altura del muro, o máxima pendiente del suelo de fundación. Por otro lado, para las secciones bajas, usualmente, son desestimadas debido a que resultan poco representativas de la totalidad de la geometría. Sin embargo, estas secciones pueden resultar críticas en la estabilidad.
Para este trabajo se ha elaborado un modelo numérico 3D de un depósito de relaves hipotético, con un muro construido con material de lastre. La geometría considera cambios en la topografía para una única elevación del coronamiento. Con lo anterior, se comparan los resultados de respuesta sísmica en diversas alturas del muro en el modelo, variando desde 15 m hasta 135 m Los análisis evidencian que los asentamientos en el coronamiento, para el caso de sectores altos se comportan de acuerdo con lo esperado, mientras que, para el caso de secciones bajas de observan valores mayores, que potencialmente pueden afectar la estabilidad. Finalmente, se presentan los desplazamientos sísmicos totales y aceleraciones espectrales del modelo, recalcando la importancia de incorporar en los análisis zonas de baja altura.
Key-words deformaciones sísmicas, aceleraciones espectrales, muros de lastre.
1. INTRODUCCION
Para el diseño y operación de depósitos de relaves en zonas altamente sísmica, es necesario llevar a cabo análisis de deformaciones con el fin de evaluar la estabilidad de dicha estructura ante eventos de distinta magnitud y fuentes sismogénicas Es habitual dentro de la etapa del diseño para enfoques 2D realizar los análisis en secciones en las que el muro alcanza mayores alturas, y no se evalúa el desempeño sísmico en secciones de menores alturas, suponiendo que tendrán una respuesta favorables. Como una primera aproximación de deformaciones, es recurrente estimar desplazamientos en función de la altura de la sección analizada a través de expresiones simplificadas
Los criterios anteriores corresponden a relaciones empíricas desarrolladas para presas de agua, y no incorporan mayor detalle de las características de los eventos sísmicos, geometría y propiedades de la estructura de retención. Avances recientes en este tópico, han sido propuestos por el trabajo de Bray ([1]), donde de una forma simplificadas han sido abordado parte de las limitantes de las metodologías empíricas. Este trabajo examina la respuesta sísmica de un depósito de relaves utilizando un modelo 3D para distintas alturas del muro, utilizando los registros sísmicos en las 3 direcciones para un sismo del tipo Interplaca y otro Intraplaca.
2. METODOLOGÍA
Se ha modelado un depósito de relave utilizando el software Flac3D como se muestra en la Fig. 1. El modelo está compuesto de 3 materiales: una roca basal, un muro de lastre y la cubeta de relaves. El método constructivo de crecimiento es aguas abajo; considerando 5 etapas de crecimiento En la Fig. 1
se muestran los perfiles transversales analizados, con alturas de muro de 35 m, 135 m y 15 m, de izquierda a derecha respectivamente.

Fig. 1 Modelo numérico: Vista isométrica y perfiles secciones analizadas
Para la discretización del continuo, se siguieron las recomendaciones de Kuhlmeyer & Lysmer (1973) [2], permitiendo una propagación de la solicitación sísmica en un rango de frecuencias, hasta 20 Hz
En términos de condiciones de borde, el caso estático considera desplazamientos horizontales y verticales iguales a cero en la base del modelo, mientras las caras laterales son solo restringidas en las direcciones horizontales. La etapa dinámica considera condiciones del tipo free field en las caras laterales, mientras la base es considerada como quiet boundaries
Los registros sísmicos utilizados son el sismo Interplaca 1985 en la zona central de Chile, registrado en Valparaíso [3] y el sismo Intraplaca 2019 en Coquimbo, Chile, registrado en Andacollo [4].
Las propiedades geotécnicas utilizadas en las diferentes unidades (ver Tabla 1) se han adoptado en base a la literatura técnica (material de lastre [5] y relaves[6]), además de base de datos de proyectos de WSP. En términos de modelos constitutivos, la etapa estática considerada un modelo elástico para la roca y Mohr-Coulomb para los restantes materiales; mientras que la etapa dinámica considera la introducción de un amortiguamiento Rayleigh para la roca (0,5% de amortiguamiento), y los materiales de lastre y relaves utilizan la misma envolvente Mohr-Coulomb acoplada con un modelo cíclico no lineal en la forma de Sigmoidal-3 Finalmente, las señales sísmicas han sido incorporadas en la base del modelo en las tres componentes, previo a una corrección de línea base y filtro de altas frecuencias.
Tabla 1 Caracterización de los materiales
Descripción
Densidad natural (kN/m3)
de Fricción Ф (°)
(kg/cm2)
Velocidad de onda de corte (Vs) (m/s)
f(Gmax) f(Gmax) Resistencia no drenada normalizada, ���� ���� ′ ⁄
Módulo de Deformación Estático (E0) (kPa)
de Poisson (ν)
Nota (*) ��3 ′: Presión efectiva menor; ��0= presión atmosférica (101,3 kPa), Gmax=Módulo de corte máximo
Para material lastre y relaves, se han considerado Gmax= 10 Go
3. RESULTADOS Y ANÁLISIS
Las Fig. 2 y Fig. 3 resumen los resultados de desplazamientos totales al final de los sismos (Interplaca e Intraplaca), desplazamientos máximos en cada componente, además de espectro de respuesta de aceleraciones, para los puntos P1 a P3 en el coronamiento del muro, para ambos sismos examinados.


Fig. 3 Resultados de deformaciones máximas absolutas sismo Intraplaca
Para ambos sismos examinados, los mayores desplazamientos absolutos se concentran en los sectores donde el muro disminuye su altura, cercanos a los estribos. Particularmente, el punto de control P1 alcanza valores 4 a 5 veces mayores (componente E) que lo que ocurre en la sección representativa del perfil P2. Las restantes componentes (N y Z) resultan también mayores, sugiriendo un grado de concentración de desplazamientos sísmicos en los sectores de la vecindad del punto P1. Del mismo modo, en términos de respuesta espectral, resulta evidente las variabilidades en términos de aceleraciones máximas y amplitud en los espectros para cada punto de control y componente sísmica utilizada, a continuación, los principales aspectos a destacar:
1- La mayor amplitud de respuesta espectral ocurre en los puntos P1 y P3. Mientras el punto P2, la amplificación sísmica resulta acotada, coincidente con los patrones de desplazamientos observados. Es evidente, el efecto de los estribos en términos de amplificación sísmica, lo que, sumado al bajo espesor de material de muro (contraste de rigidez), hace que estos sectores sean susceptibles a mayores desplazamientos (puntos P1 y P3)
2- La ocurrencia de mayores desplazamientos en sectores cercanos a los estribos en presas fundadas en valles escarpados resulta coincidente con observaciones documentadas en presas de almacenamiento de aguas
3- Cabe destacar las altas amplitudes en la respuesta para la componente vertical, la que muchas veces es desestimada en el diseño. Sin embargo, la compleja interacción entre direccionalidad de sismos, topografía y contraste de rigideces, entre otros, hace compleja su interpretación mediante modelos 3D.
Fig. 2. Resultados de deformaciones máximas absolutas sismo Interplaca
Se debe destacar que secciones de muro más bajas cercanas a estribos son susceptibles a recibir grandes demandas de energía, que muchas veces son desestimadas en los análisis efectuados. En la Fig. 4 se presenta un esquema del rango de periodos, Ts, que pueden variar a lo largo de un muro, incluyendo los 2 tipos de sismos examinados. Al comparar los periodos estimados a través de expresiones teóricas, se observa que las demandas sísmicas en sectores de muros bajos pueden ser comparables e inclusive mayores con las obtenidas en la sección de máxima altura, impactando en la respuesta sísmica de muro, con desplazamientos que muchas veces son desestimados.

Fig. 4. Espectros de respuesta de sismos y franja de periodos fundamentales de interés
4. CONCLUSIONES Y RECOMENDACIONES
El presente articulo examina la respuesta sísmica de un depósito de relaves con alturas variables de muro. Los resultados, en términos de desplazamientos y respuesta espectral, muestran la importancia de incluir en los diseños las verificaciones de zonas de muros bajos, cercanos a los estribos. A pesar de la complejidad del modelo numérico efectuado, y la gran cantidad de variables que juegan un rol en la respuesta sísmica de estas estructuras (i.e. materiales, direccionalidad de sismos, contrastes de rigidez), los análisis efectuados evidencian la importancia de los efectos 3D en sectores de muros de bajo espesor, lo que pueden manifestarse como desplazamientos y agrietamientos no esperados, inclusive para sismos de baja a media intensidad, como los examinados en este trabajo.
REFERENCIAS
[1] Bray, J., Macedo, J. & Travasarou, T. (2018). Simplified procedure for estimating seismic slope displacements in subduction Zones. JGGE 144(3)
[2] Kuhlemeyer, R. L. And Lysmer, J. (1973). Finite Element Method Accuracy for Wave Propagation Problems. Journal of Soil Mechanics & Foundations, 421-427.
[3] Wyllie, L. A., Abrahamson, N., Bolt, B., Castro, G., Durkin, M. E., Escalante, L., Gates,J. H., Luft, R., McCormick, D., Olson, R., Smith, P. D., & Vallenas, J. P. (1986c). The Chile Earthquake of March 3, 1985 Seismological Features. Earthquake Spectra, 2 (2),253–272.
[4] Bastias, N., Montalva, G. A., Leyton, F., Heresi, P., & Dominguez, H. (submitted). An extended and updated strong ground motion database for the Chilean subduction earthquakes. Manuscript submitted for publication in Earthquake Spectra.
[5] Ovalle, C., Linero, S Dano, C , Bard, E., Hicher, P & Osses, R. (2020). Data Compilation from Large Drained Compression Triaxial Tests on Coarse Crushable Rockfill Materials. JGGE. 146.
[6] Macedo, J., & Vergaray, L. (2022). Properties of mine tailings for static liquefaction assessment. Can. Geotech. J. 59: 667–687 (2022)
[7] Rollins, K., Evans, MD., Diehl, NB. & Daily, WD. (2000). Shear modulus and damping relationships for gravels (vol, 124, pg 396, 1998). JGGE. 126. 1218-1218.
[8] Rojas-González, L., Ben-Khalal, H. & Lewis, K. (1985). Dynamic Properties and Behaviour of Copper Tailings, XI International Conference on Soil Mechanics and Foundation Engineering



MODELACIÓN TERMO-HIDRO-MECÁNICA DE DESLIZAMIENTOS RÁPIDOS CON MPM
L. Lemus (1), N. Pinyol (2) , E. Alonso (2) (1) Universidad de La Serena, Chile, llemus@userena.cl (2) Universidad Politécnica de Cataluña, España, nuria.pinyol@upc.edu
RESUMEN/ ABSTRACT
Los deslizamientos rápidos se caracterizan por tener un gran poder destructivo, debido a que pueden movilizar grandes volúmenes de suelo o roca a elevadas velocidades. Es de interés reproducir este problema para avanzar en el entendimiento de los procesos involucrados que causan la aceleración de un deslizamiento. En este trabajo se presenta una modelación numérica mediante el Método del Punto Material (MPM), el cual fue desarrollado para modelar la interacción suelo-fluido-estructura en materiales dependientes de la historia que involucran grandes deformaciones. Se implementa una formulación Termo-Hidro-Mecánica en el código Anura3D, entérminos de velocidades y temperatura, explícita en el tiempo y en medio saturado, que busca modelar el incremento acelerado de las presiones de agua debido al calor generado por el trabajo de deformación plástico de la banda de corte en la superficie de deslizamiento. Se estudia de manera acoplada la presurización térmica y la falla inducida por una carga sísmica en un deslizamiento real con características catastróficas. El modelo computacional y la formulación propuesta logra capturar las elevadas velocidades en estos deslizamientos producto de la presurización por calor, mostrando además el proceso de falla y el post-colapso.
Palabras-Clave: Deslizamientos rápidos, Formulación termo-hidro-mecánica, Método del Punto Material
1. INTRODUCCIÓN
Los deslizamientos rápidos constituyen uno de los fenómenos geológico-geotécnicos más destructivos en la naturaleza, alcanzando velocidades superiores a 10-30 m/s, movilizando volúmenes del orden de millones de metros cúbicos pudiendo cubrir extensas áreas La predicción de su cinemática luego de la falla resulta esencial para la gestión del riesgo y el diseño de medidas de mitigación. Los métodos de análisis tradicionales (equilibrio límite y elementos finitos) presentan limitaciones para describir grandes deformaciones y el comportamiento durante el colapso debido a problemas de distorsión de malla. En este contexto, el Método del Punto Material (MPM), originalmente desarrollado por Sulsky et al. (1994) [1], surge como una alternativa robusta para modelar inestabilidades rápidas y procesos acoplados dentro de la familia del medio continuo Diversas hipótesis se han planteado para explicar las elevadas velocidades en deslizamientos masivos, entre las cuales destaca el incremento de la presión de poros por efectos térmicos en bandas de corte generando aceleraciones extremas a nivel de la superficie de deslizamiento [2],[3].
En este trabajo se implementa una formulación Termo-Hidro-Mecánica (THM) explícita en el tiempo dentro del enfoque del MPM, aplicada al caso del deslizamiento Jiufengershan Este deslizamiento ocurrió el 21 de septiembre de 1999, producto del terremoto de Chi-Chi (Mw = 7,3), el cual azotó la isla de Taiwán, reactivando la falla inversa de Chelungpu. Los principales desastres ocurrieron aproximadamente a lo largo de esta falla, y entre ellos, el deslizamiento Jiufengershan se considera uno de los más catastróficos, ya que no solo cobró 39 vidas, sino que también condenó dos pequeños ríos y formó tres pequeños lagos con el material movilizado [3],[4] En la Figura 1a se muestra una fotografía aérea tomada posterior al colapso y en la Figura 1b se muestra una sección transversal en donde se puede visualizar el volumen de material movilizado, la distancia recorrida y la zona afectada


Fig 1 a) Fotografía aérea del deslizamiento de tierra de Jiufengershan [4], b) Sección transversal situación antes y después del deslizamiento utilizando LiDAR [5]
2. METODOLOGÍA
2.1. Implementación computacional de THM-MPM en código Anura3D
El MPM combina un esquema Lagrangiano-Euleriano donde la masa y variables de estado se concentran en puntos materiales, mientras el cálculo se realiza en una malla de fondo. Para este estudio se implementó una formulación de velocidades (sólido y líquido) y temperatura, vS–vL– en el código Anura3D, que incorpora balance de momento, masa y energía en un medio saturado. La hipótesis fundamental es que el trabajo plástico en bandas de corte se disipa en forma de calor, provocando un aumento de temperatura y, por consiguiente, un incremento de la presión de poros bajo condiciones no drenadas. Esto un proceso cíclico que conlleva a una reducción de resistencia al corte y eventual aceleración del movimiento. Se utiliza el procedimiento de banda de corte embebida propuesto por Pinyol et al. (2017) [3], el cual se esquematiza en la Figura 2. A continuación, se indican las ecuaciones de gobierno para la formulación THM-MPM. En las ec. 1-5, se presentan las ecuaciones de equilibrio de momentum y de balance de masa considerando cambio volumétrico por temperatura. También, en la ec. 6, 7 y 8 se presenta el balance de energía del medio, en la banda de corte y el respectivo término fuente de calor por deformación plástica.
Ec.(6) (1 n)ρS ���� +nρL ���� =∇∙��+ρm �� (Ec.2) ρm =ρS(1 n)+ρLn (Ec.3) (ρc)m dθB dt = fθ B M + HB
dn dt =(1 n)[∇∙���� βS dθ dt] (Ec.4) dpL dt = KL n [∇ ���� +(1 n)∇ ���� β dθ dt] (Ec.5) H


Fig. 2. Esquema del procedimiento de deformación de banda de corte embebida [3].
Por otro lado, el aumento de temperatura modifica la ecuación de balance de masa de la fase líquida tanto en la matriz como en la banda y los flujos entre ambos medios, según las siguiente expresiones: nαL dpL M dt +βm dθM dt +(1 n)∇ ���� +n∇ ���� = 1 ρL fL B M (Ec.9); nαL dpL B dt +βm dθB dt = 1 ρL fL B M (Ec.10) fL B M =ΨL(pL B pL M) (Ec 11); fθ B M =Ψθ(θB θM) (Ec 12); ΨL = ρLk μLAref ; Ψθ = Γ Aref (Ec 13)
2.2. Caso de estudio
La geometría se modela en dos dimensiones según la sección propuesta por Chang et al. (2003) [5], con un talud de 22° y extensión entre 1–1,5 km (ver Figura 3a). La superficie de deslizamiento
corresponde a la interfaz entre la lutita Changukeng y el material de ladera. El dominio se discretiza en una malla triangular de tamaño variable, tal como se observa en la Figura 3b. Los elementos de ladera y roca basal contienen tres puntos de material, mientras que la base y columna rígida contienen uno. El modelo incluye 3581 elementos, 1107 nodos y 4203 puntos materiales, con refinamiento en la zona de falla limitado por el costo computacional.


Fig. 3. a) Configuración de materiales y b) definición de la malla computacional del modelo
En el modelo se definieron dos materiales: la ladera se representó con un modelo elastoplástico MohrCoulomb con reblandecimiento (MCSS) y la roca basal con un modelo elástico. Los parámetros provienen de ensayos in situ y de laboratorio [4] y se resumen en la Tabla 1.
Tabla 1. Resumen de parámetros adoptados para el modelo THM-MPM.


En Anura3D, la carga sísmica se aplicó mediante condiciones de velocidad prescrita a nivel basal, con un intervalo de 0,05 s. Se utilizaron los registros de aceleración y velocidad de la estación TCU089 del terremoto de Chi-Chi (Taiwán, 1999), obtenidos del VDC (COSMOS, 1999). Aunque la duración total del sismo fue de 150 s, el análisis consideró 70 s (20–90 s) (ver Figura 4), correspondientes al intervalo de movimiento fuerte para la iniciación y el desarrollo del deslizamiento.



Fig 4. Registros de aceleración y velocidad, y configuración del modelo
3. RESULTADOS
3.1 Caso isotérmico (sin acoplamiento THM)
El análisis puramente hidromecánico muestra desplazamientos limitados (~3 m) y ausencia de aceleraciones significativas. La falla se mantiene en estado “estable” con desplazamientos y deformaciones moderadas, tal como se puede observar en puntos de control de la Fig. 5.




Fig. 5. Desplazamientos totales y deformaciones en el instante final de cálculo (Caso isotérmico).
3.2 Caso no-isotérmico (con acoplamiento THM)
Luego de una fase estática, en la Fig. 6, se puede visualizar la dinámica del deslizamiento que inicia en la zona superior (P1) con un movimiento lento de 2–3 m/s, que se acelera rápidamente hasta 30 m/s a los 25 s producto del aumento de la presión de poros en las bandas de corte. Posteriormente, la zona inferior (P2) se acelera por el impacto del material aguas arriba, alcanzando un run-out de ~620 m y cubriendo completamente el valle. Se registran temperaturas de hasta 160 °C y presiones de poros de 2,5 MPa en la superficie de falla, concentradas en las zonas de mayor deformación plástica






Fig. 6. Desplazamientos totales, temperatura y presiones de poros en el instante final de cálculo (Caso noisotérmico) y evolución de desplazamientos y velocidades en puntos de control.
4. CONCLUSIONES
La presurización térmica es fundamental para explicar las altas velocidades en deslizamientos rápidos, ya que sin este acoplamiento el modelo no reproduce el evento real. El modelo THM-MPM alcanzó 30 m/s y un Runout de 620 m en los puntos de control. Estos resultados concuerdan con las observaciones LiDAR [5] y confirman la capacidad del MPM para representar fenómenos altamente acoplados.
5. REFERENCIAS
[1] Sulsky, D., Chen, Z., Schreyer, H. A particle method for history-dependent materials. Comput. Methods Appl. Mech. Eng. 118, 179–196. 1994.
[2] Alonso, E. E., Zervos, A. & Pinyol, N. M. Thermo-poromechanical analysis of landslides: from creeping behaviour to catastrophic failure. Géotechnique 66, No. 3, 202–219. 2016.
[3] Pinyol, N.M., Alvarado, M., Alonso, E.E. and Zabala, F. Thermal effects in landslide mobility. Géotechnique, 68, 1–18. 2017.
[4] Shou, K. J., and C. F. Wang. Analysis of the Chiufengershan landslide triggered by the 1999 ChiChi earthquake in Taiwan, Eng. Geol., 68, 237– 250. 2003.
[5] Chang, K.-J., A. Taboada, and Y.-C. Chan. Geological and morphological study of the Jiufengershan landslide triggered by the Chi-Chi Taiwan earthquake, Geomorphology, 71(3 – 4), 293 – 309. 2003.



DETERMINACIÓN DEL COEFICIENTE DE POISSON A PARTIR DE MEDICIÓN DE VIBRACIONES AMBIENTALES
F. Calderón (1) (2) , E Giolo (2) , C. Frau(2), J. Cueto(2), S. Panella(2), S, Via(2), F, Luján(2) (1) Catedra de Cimentaciones, Ing. Civil, Facultad Regional Mendoza – Universidad Tecnológica Nacional, francisco.calderon@frm.utn.edu.ar (2) CeReDeTec. Facultad Regional Mendoza – Universidad Tecnológica Nacional.
RESUMEN
En este trabajo se presenta una metodología para la determinación del coeficiente de Poisson de una columna de suelo para un sitio determinado. Esta metodología se basa una expresión analítica que surge de relacionar las frecuencias de vibración vertical (determinada mediante Fourier) y horizontal (determinada mediante el método H/V). Para la aplicación del método se realizaron mediciones de vibraciones ambientales con un acelerómetro triaxial. A partir de estas mediciones se determinó el coeficiente de Poisson del sitio “ponderado”. Este coeficiente se comparó con un coeficiente Poisson ponderado a partir de los coeficientes determinados para cada estrato a partir de ensayos MASW. Los resultados muestran coincidencia en la mayoría de los casos analizados. Los casos donde no se encontró coincidencia son los que poseen napa freática, donde el coeficiente determinado con la nueva metodología, dan como resultado 0.50, es decir el coeficiente de Poisson del agua. Como conclusiones se destaca: i- la rapidez para la determinación del coeficiente y ii- al aplicar el método H/V, la determinación es inmediata. Por otro lado, surgen nuevas hipótesis para trabajos futuros: i- es posible determinar la presencia de napa freática, ii- la polarización de frecuencias horizontales en el método H/V está relacionado a diferentes coeficientes de Poisson en diferentes direcciones y iii- las frecuencias del suelo en acantilados y terrenos con pendientes está relacionado a la falta de confinamiento lateral, y por ende el coeficiente de Poisson.
Palabras-Clave: Coeficiente de Poisson, H/V, MASW
1. INTRODUCCIÓN
El coeficiente de Poisson es una constante elástica de los materiales que representa una medida del estrechamiento o ensanchamiento de sección de un prisma de material elástico lineal e isótropo cuando se estira o comprime longitudinalmente. Este coeficiente es cercano a cero cuando no hay movimiento lateral, ya que el suelo se carga en dirección uniaxial. Alcanza 0.5 cuando no hay cambios volumétricos en la muestra de suelo. Normalmente, el rango del coeficiente para arcillas rígidas a blandas es de 0.2 a 0.45, para limos es de 0.20 a 0.35 y para arenas densas a sueltas es de 0 15 a 0 35. El coeficiente de Poisson se necesita como input en análisis y simulaciones numéricas para suelos saturados y no saturados, incluyendo estabilidad de taludes, empuje de tierras, asentamiento, capacidad de carga y rigidez de las fundaciones [1], [2]. La determinación del coeficiente de Poisson en el campo no siempre es sencilla. Una forma es mediante un ensayo de ondas superficiales (MASW o REMI) donde en realidad se restringe a un rango. Desde el punto de vista de la dinámica de suelos existen relaciones que implican a las constantes elásticas con las frecuencias de vibrar del suelo. En este trabajo se presenta un método para la determinación del coeficiente de Poisson de una columna de suelo a partir de la medición de las frecuencias (horizontal y vertical) del mismo mediante análisis espectral.
2. MARCO TEÓRICO
La frecuencia del primer modo axial de vibrar de una columna prismática empotrada en la base deducida en [3], donde E: módulo elástico, A: sección transversal, L: longitud (luz libre) y m: masa por unidad de longitud; es:
1
Si, reescribimos en términos de frecuencia cíclica, donde fv= ω/2π y m/A (ρ) es la densidad del material, pero también se puede expresar Vp= √(E/ρ) [2] y para el caso de suelo L= H, entonces:
Ec. 2
Esta ecuación es similar a la ecuación del periodo de vibración horizontal [4] del suelo la cual se presenta a continuación:
Ec. 3
Por otro lado, el coeficiente de Poisson (μ) se relaciona con las velocidades Vp y Vs de la siguiente forma:
4
De las Ec. 2 y Ec. 3, se puede despejar la relación Vp/Vs y luego igualarla a la Ec. 4, dando lugar a una ecuación que relaciona las frecuencias con el coeficiente de Poisson Ec. 6
A partir de esta ecuación sería posible obtener el coeficiente de Poisson de una columna de suelo a partir de las frecuencias vertical y horizontal de la misma. Como la ecuación ha sido obtenida a partir de consideraciones elásticas, isótropas y homogéneas, esto solo sería aplicable a un suelo con estas condiciones. Sin embargo, al aplicarlo a un suelo estratificado se podrían considerar que el coeficiente de Poisson resultante daría como resultado una ponderación de los coeficientes de cada estrato en función del espesor de cada estrato. La determinación de la frecuencia f0, puede realizarse aplicando el método H/V [5]. Sgattoni y Castellaro [6] han trabajado con espectros de Fourier verticales para la determinación de fv, donde junto con los espectros H/V ha desarrollado técnicas para determinar forma y profundidad de cuencas. De esta forma, es posible mediante una sola medición de vibraciones ambientales obtener las frecuencias fv y f0 y posteriormente un coeficiente de Poisson ponderado del sitio.
3. APLICACIÓN DEL MÉTODO Y CONSTRASTACIÓN
Para la aplicación del método y su contrastación se han realizado mediciones de vibraciones ambiental en sitios donde se poseían estudios de sísmica (MASW y REMI) realizados por profesionales del medio. A partir de los perfiles de Vs y Vp y la Ec. 4 se obtuvieron los valores de μi y luego se ponderaron en función del espesor (subíndice i, indica el estrato) de cada estrato de la siguiente forma:
Ec. 7
Ec.
Ec.5
Ec.6
Ec. 8
Con las mediciones de vibración ambiental se realizaron los dos espectros de Fourier horizontales y el espectro vertical. A partir de estos se determinó el espectro H/V y la frecuencia del sitio (horizontal) f0. La frecuencia vertical fv se obtiene directamente del espectro de Fourier vertical. Luego se aplicó la Ec. 6 a fin de obtener el coeficiente de Poisson. El procesamiento se realizó con el software libre Geopsy [7]. A continuación, se presenta la Tabla 1 y Tabla 2 con los datos de un sitio particular donde se aplicaron las Ec.7 y Ec. 8 a partir de datos de un estudio de suelo y por otro lado presenta las frecuencias determinadas como se indicó en el párrafo anterior y el coeficiente de Poisson con la metodología propuesta. La figura 1, presenta el espectro de Fourier para la componente vertical y el espectro H/V. La Tabla 3 presenta otros casos de estudio y los resultados obtenidos.
Tabla 1. Ponderación a partir de ensayo sísmico.
Tabla 2 Ponderación a partir de las frecuencias del sitio
Tabla 3: Resultados obtenidos de cuatro casos de estudios.
VibraciónAmbiental Sitio Comentario Diferencia
4. CONCLUSIONES
En este trabajo se ha presentado una metodología para obtener un coeficiente de Poisson ponderado a partir de medición de vibraciones ambientales. A fin de contrastar los valores se utilizaron estudios de suelo del ámbito profesional de cuatro sitios. En estos cuatro sitios se realizaron mediciones de vibración ambiental de manera independiente y se obtuvieron los coeficientes de Poisson ponderados de cada sitio.
Si bien la cantidad de casos analizados es poca, se pueden obtener algunas conclusiones al respecto y el planteo de nuevas hipótesis. En los casos 1, 2 y 4, los resultados poseen una diferencia de menos de 3%. En el caso 3, los resultados son inconsistentes, ya que la ponderación (obtenida mediante MASW) muestra un coeficiente de Poisson de 0,28, mientras que el coeficiente de Poisson obtenido mediante la Ec. 6 es de 0,50. Cabe aclarar que, en este caso, al igual que en el caso 4, los suelos poseen napa freática a poca profundidad. El coeficiente de Poisson para el agua es de 0,50 [8], por lo que es posible que en estos dos casos (3 y 4), la Ec. 6 también refleje la presencia de agua en el suelo, es decir napa freática a poca profundidad.


Figura 1. Gráficas de los espectros vertical y H/V, obtenidas de Geopsy.
Adicionalmente la determinación de este coeficiente ponderado podría utilizarse en los métodos sísmicos (MASW y REMI) para restringir el rango a utilizar en el proceso de inversión.
Por otro lado, surgen nuevas hipótesis para trabajos futuros:
i- es posible determinar la presencia de napa freática,
ii- la polarización de frecuencias horizontales en el método H/V está relacionado a diferentes coeficientes de Poisson en diferentes direcciones, es decir un comportamiento ortótropo del suelo,
iii- las frecuencias del suelo en acantilados y terrenos con pendientes diferentes en las direcciones paralela y perpendicular a la pendiente o al acantilado están relacionado a la falta de confinamiento lateral, y por ende el coeficiente de Poisson en esa dirección
5. AGRADECIMENTOS
Los autores desean expresar su agradecimiento a la Universidad Tecnológica Nacional por el financiamiento del presente proyecto (MEECECI359).
REFERENCIAS
[1] Thota, S. K., Cao, T. D., Vahedifard, F. Poisson’s Ratio Characteristic Curve of Unsaturated Soils. Journal of Geotechnical and Geoenvironmental Engineering. DOI: 10.1061/(ASCE)GT.19435606.0002424. 2020 American Society of Civil Engineers.
[2] Das, B. M., Luo, Z. Principles of Soil Dynamics. 3rd edition. Cengage Learning. 2016.
[3] Clough, R., Penzien, J. Dynamics of Structures. CSI (Computers and Structures, Inc.). 1995.
[4] Kramer, S. L.Geotechnical Earthquake Engineering. Prentice Hall. 1996.
[5] Nakamaura, Y.; A method for dynamic characteristic estimation of subsurface using microtremors on the ground surface. Quartely Report of Railway Technical Research Institute, 1989, 30: 25-33.
[6] Sgattoni, G., Castellaro, S., 2020. Detecting 1-D and 2-D ground resonances with a single-station approach. Geophysical Journal International 223, pp. 471-487.
[7] Guidelines for the implementation of the H/V spectral ratio technique on ambient vibrations, measurements, processing and interpretation; SESAME European Research Program; 2004.
[8] Thorne, L., Wallace, T. Modern Global Seismology. Elsevier Science, 1995.



EFECTODEFORMADEPARTÍCULASENSIMULACIONESDEENSAYOSDETORSIÓNCÍCLICACON MEMBRANAFLEXIBLE
J.E.Necochea(1)(2),E.Sáez(1),K.J.Hanley(2)
(1)PontificiaUniversidadCatólicadeChile,DIEG,Macul,Santiago,Chile,jenecochea@uc.cl (2)TheUniversityofEdinburgh,IIE,Edinburgh,Scotland,UnitedKingdom,J.E.Necochea@sms.ed.ac.uk
INTRODUCCIÓNLarepresentacióndepartículasrealistasensimulacionesdeelementosdiscretos(DEM)esun desafíocomún,debidoaquemuchassimplificacionessonnecesariaspararepresentarmaterialesrealesenDEM, yaseadebidoalimitacionescomputacionalesy/ofaltadeinformacióndelaformadepartículas(O’Sullivan,2011); sinembargo,notodasestassimplificacionessonrealistas.Enesteestudiounaarenamalgraduada,retenida entrelasmallasde1.18mmy2.00mm,fueensayadaencortetorsionalenelLaboratoriodeGeotecnia ExperimentaldelaPontificiaUniversidadCatólicadeChiley,posteriormente,modeladoconesferasyelipsoides
DESARROLLOLamuestraensayadaconsistióenuncilindrode100mmdealturay50mmdediámetro confinadaa100kPa.ElensayodetorsióncíclicafuerecreadoenDEM,representandolosgranosatravésde esferasconfricciónrotacionalyelipsoidespuramentefriccionales.Losgranosfuerongeneradosapartirdela informacióndeunamicrotomografíacomputarizada,creandoesferasdeequivalentevolumenyelipsoidesdel mejorajustederazóndeaspectoyvolumen.LassimulacionesfueronrealizadasenLIGGGHTS3.8,usandouna combinacióndemurosrígidos(tapassuperioreninferior)yunamembranaflexiblerepresentadaatravésde esferassinfricciónconconfinamientoradial,similaralmétodousadoporWilsonySáez(2017).EnlaFig.1ase puedeverlasprobetasdeesferasydeelipsoidesconfinadas.Laspropiedadesdelosgranosdearenafueron calibradasenunestudioprevio(Necocheaetal.,2024),aexcepcióndelarigidezdelaspartículas,lacualfue recalibradaenestainstancia.Finalmente,elmóduloderigidezutilizadoparaalcanzarlarigidezdecorteinicial delamuestrefuede7.5GPay5.0GPaparaesferasyelipsoides,respectivamente.EnlaFig.1bsepuedever lacurvadedegradacióndelarigidezylacurvadeamortiguamientodelamuestraensayadaenlaboratorioylas muestrassimuladas.Ambosmétodospresentanunarazonableconcordanciaconellaboratorioamuypequeñas deformaciones,mientrasqueadeformacionessuperioresaaproximadamente5.0E-3%,ladegradacióndel módulodecorteyelamortiguamientoenlasprobetassimuladassuperanlasobservacionesdelaboratorio.


Fig.1.(a)Muestrassimuladasdeesferas(izquierda)yelipsoides(derecha)confinadasa100kPapor membranaflexible.(b)CurvadedegradacióndemóduloderigidezdecorteGyamortiguamiento.
CONCLUSIONESLasdiferenciasdecomportamientopuedenserexplicadasporlainhabilidaddecapturarla concavidadnaturaldelosgranosdearena.Sibienelipsoidesfriccionalessecomportandesimilarmaneraalas esferasconfricciónrotacional,partículasmáselaboradaspodríanmejorarelajuste.Además,deresaltarquea pequeñasdeformacioneselmódulodeYoungdelaspartículasjuegaunrolpreponderanteenelmódulodecorte macroscópico,mientrasqueadeformacionesmayoresa2.0E-3%lafricciónentrelaspartículasesmásrelevante.
AGRADECIMENTOS:LosautoresagradecenelfinanciamientootorgadoporlaAgenciaNacionaldeInvestigaciónyDesarrollo(ANID) bajolabecadeDoctoradoNacionalnúmero21200396;adicionalmentealfinanciamientoparcialdelproyectoFondecytnúmero1250685.
REFERENCIAS:
[1]O’Sullivan,C.ParticulateDiscreteElementModelling.CRCPress.2011.
[2]NecocheaJE,SáezE,HanleyKJ.Effectofsandparticleshapeonmicromechanicalmodelingindirectsheartesting.Computersand Geotechnics2024;169(106222).
[3]WilsonJF,SáezE.Useofdiscreteelementmodelingtostudythestressandstraindistributionincyclictorsionalsheartests.Acta Geotechnica2017;12:511–526.



DURABILITY ASSESSMENT OF THIN HDPE GEOMEMBRANES IN GEOTECHNICAL APPLICATIONS
M. Luz (1) , M. Aparicio-Ardila (2) , C. Valentin (3) , J. Filho (4) , J. da Silva (5) (1) Pontifical Catholic University of Goiás, Eletrobras, marta.eng@pucgoias.edu.br (2) University of São Paulo, maparicio@usp.br (3) University of São Paulo, cclever@sc.usp.br (4) Federal University of Western Bahia, jledfilho@ufob.edu.br (5) University of São Paulo, jefferson@sc.usp.br
ABSTRACT
This study evaluates the durability of thin high-density polyethylene (HDPE) geomembranes with nominal thicknesses of 0.8 mm and 1.0 mm after two years of outdoor exposure in southeastern Brazil. Physical and mechanical tests were conducted to evaluate degradation, and the rate of antioxidant depletion was determined. The standard oxidation induction time (Std-OIT) showed a reduction of more than 90% for both geomembranes, indicating rapid antioxidant exhaustion and loss of polymer protection. Despite this, the mechanical properties remained within the GRI-GM13 specification limits, except for the strain at break in the 1.0 mm geomembrane. Although short-term mechanical performance was still acceptable, the severe antioxidant depletion reveals a potential risk of premature ageing under continued exposure. These results highlight that thin HDPE geomembranes can experience accelerated ageing under tropical conditions, reinforcing the importance of monitoring durability parameters such as Std-OIT in addition to mechanical performance.
Keywords: Geosynthetics, Geomembrane, Barrier.
1. INTRODUCTION
HDPE geomembranes are widely used as fluid barriers in geotechnical engineering projects, such as mining facilities and landfills, as well as in applications with lower environmental liability, including agricultural uses like water reservoirs and irrigation canals. In the latter context, due to the lower environmental risk, thinner geomembranes are often adopted, in contrast to the thicker ones typically used in more demanding sectors, such as mining and waste management. Evaluating the durability of these materials under weathering exposure is essential to ensure their long-term performance.
Most durability studies on HDPE geomembranes have focused on thicknesses commonly used in applications such as landfills or mining, typically 1.5 mm or 2.0 mm. Durability assessments can be conducted under accelerated ageing conditions in the laboratory, most commonly through immersion in aggressive leachates [e.g., 1] or UV chamber exposure [e.g., 2], or in the field, through exposure at sites with well-characterized weather conditions [e.g., 3,4], or by exhuming geomembranes from service in various applications [e.g., 5,6].
Few studies have examined exhumed thin HDPE geomembranes, such as [6], which analysed the 0.8 mm and 1.0 mm samples after 2 to 15 years of service in various applications. This study presents the results of an experimental program in which 0.8 mm and 1.0 mm HDPE geomembranes were exposed on a weathering panel for two years under real weather conditions in southeastern Brazil. The original properties of the geomembranes were compared with those after exposure. The primary objective of this work is to assess thedurability of thin HDPE geomembranes under typical environmental conditions.
2. MATERIALS AND METHODS
In this study, two commercially available HDPE geomembranes manufactured in Brazil, with nominal thicknesses of 0.8 mm and 1.0 mm, were evaluated. Table 1 presents the initial properties of the exposed geomembranes (Virgin). The mechanical properties (strength and strain at yield and at break) reported correspond to the machine direction of the manufacturing process.
Table 1. Virgin properties of the geomembranes.
The geomembranes were exposed on a weathering panel in the city of São Carlos, Brazil (Fig. 1) alongside other types of geosynthetics that are beyond the scope of this study. The exposure period lasted two years, and the local conditions were identical to those reported in [12]. The panel was positioned at an inclination angle of 22° to maximize the solar radiation index.
The physical properties analyzed to assess material degradation included: Std-OIT, melt flow index (MI) at 190 °C under Low Load (2.16 kg, LLMI) and High Load (21.6 kg, HLMI). All tests were conducted in accordance with the ASTM standards listed in Table 1.
Additionally, the antioxidant depletion rate of the samples was estimated using a first-order model (Eq. 1), which has been previously applied in studies on samples exposed to climatological conditions [e.g., 4,5].
In this model, OITt (minutes) is the Std-OIT at time t (months), OIT0 (minutes) is the initial Std-OIT, s is the antioxidant depletion rate (months−1), and t is the exposure time (months).


1. weathering panel.
3. RESULTS AND DISCUSSION
Among the evaluated properties, the physical indicators exhibited the most pronounced degradation, particularly the Std-OIT. After two years of outdoor exposure, the 0.8 mm geomembrane presented a Std-OIT of 13.2 min, corresponding to an s of 0.103 months ¹, while the 1.0 mm geomembrane showed a Std-OIT of 7.4 min with s = 0.130 months ¹. Both materials experienced a reduction exceeding 90%
Fig.
in Std-OIT, evidencing an accelerated depletion of antioxidants. In long-term accelerated ageing studies on HDPE geomembranes [1], residual Std-OIT values between 2 and 3 minutes have been associated with the end of the antioxidant phase. Considering these references, the geomembranes tested in this study will reach residual levels within a relatively short period of natural exposure, suggesting that the polymer matrix is now largely unprotected against ultraviolet radiation and oxidative degradation.
For the 0.8 mm geomembrane, the HLMI retention was 78.68%, while the LLMI retention was 65.78%. Conversely, the 1.0 mm geomembrane showed higher LLMI retention (79.66%) compared with HLMI (71.12%). These differences may reflect variations in molecular weight distribution and processing history between the two materials, which can influence their resistance to chain scission and oxidative processes.
The mechanical performance results are presented in Fig. 2, along with the minimum values specified by the GRI-GM13 [13] for HDPE geomembranes. Since the standard does not include requirements for 0.8 mm materials, the reference values shown in Figs. 2a and 2c were obtained by linear interpolation between the 0.75 mm and 1.0 mm specifications. Both the virgin and exposed samples met the GRIGM13 references, except for strain at break in the 1.0 mm geomembrane (Fig. 2d), which was 10.23% below the reference threshold. The only property that increased after exposure was strength at yield in the 1.0 mm sample (Fig. 2a), a behavior possibly associated with the formation of cross-links between polymer chains, as discussed by [4].
Among the mechanical parameters, strength at break exhibited the most significant reduction after exposure (Fig. 2c), followed by strain at break (Fig. 2d). Although HDPE geomembranes are designed to operate within the elastic deformation range (less than strain at yield) during service, their functional performance ultimately depends on the balance between resistance and field demand (e.g., tensile stresses, wrinkles, gravel contacts, and welds) [5]. The reduction of rupture-related properties indicates a loss of ductility and energy absorption capacity, reflecting the onset of embrittlement. This degradation reduces the material’s safety margin against localized stresses that may occur in field conditions.




Fig. 2.
4.CONCLUSIONS
After two years of outdoor exposure in southeastern Brazil, 0.8 mm and 1.0 mm HDPE geomembranes maintained mechanical properties within GRI-GM13 limits, except for a slight reduction in strain at break for the 1.0 mm sample. However, both materials exhibited over 90% loss in Std-OIT, indicating rapid antioxidant depletion and early susceptibility to oxidative degradation. These results highlight that thin HDPE geomembranes used in low-risk applications can experience accelerated ageing under tropical conditions, reinforcing the importance of monitoring durability parameters, such as Std-OIT, in addition to mechanical performance.
ACKNOWLEDGEMENTS
The authors acknowledge the Geosynthetics Laboratory of the School of Engineering of São Carlos, University of São Paulo, for providing the infrastructure for the experimental program. This study was supported by CAPES (Postdoctoral Scholarship – Asymmetry Reduction Program, Process No. 23038.003836/2023-39), by FAPEG (Foundation for Research Support of the State of Goiás) and by the Postgraduate Program in Transportation Engineering at EESC/USP.
REFERENCES
[1] e Silva R, Abdelaal F, Rowe R. A 9-year study of the degradation of a HDPE geomembrane liner used in different high pH mining applications. Geotextiles and Geomembranes. 2024.
[2] Aparicio-Ardila M, Valentin C, da Silva J. Colored HDPE Textured Geomembranes Exposed to UV: Laboratory Insights into Material Degradation International Journal of Geosynthetics and Ground Engineering. 2025; 11(3):23.
[3] Reis A, Barroso M, Graça Lopes M. Evolução de cinco geomembranas expostas a condições climáticas em Portugal durante 12 anos. Geotecnia. 2017. 41–58.
[4] Aparicio-Ardila M, Kobelnik M, Valentin CA, Palomino CF, Sabogal-Paz LP, Silva JL. Natural weathering effects on white, green, and black HDPE textured GMs. Geosynthetics International 2025; 1–40.
[5] Rowe R, Ewais A. Ageing of exposed geomembranes at locations with different climatological conditions. Canadian Geotechnical Journal 2015
[6] Lavoie F, Kobelnik M, Valentin C, de Lurdes Lopes M, Palmeira E, da Silva J. Service life of some HDPE geomembranes. Case Studies in Construction Materials. 2023.
[7] ASTM D 5199: Standard test method for measuring the nominal thickness of geosynthetics. ASTM International West Conshohocken, 2012.
[8] ASTM D792 . Standard Test Methods for Density and Specific Gravity (Relative Density) of Plastics by Displacement. ASTM International West Conshohocken, 2020.
[9] ASTM D1238. Standard Test Method for Melt Flow Rates of Thermoplastics by Extrusion Plastometer. ASTM International West Conshohocken, 2020.
[10] ASTM. ASTM D8117. Standard Test Method for Oxidative Induction Time of Polyolefin Geosynthetics by Differential Scanning Calorimetry. ASTM International West Conshohocken, 2021.
[11] ASTM D6693. Standard Test Method for Determining Tensile Properties of Nonreinforced Polyethylene and Nonreinforced Flexible Polypropylene Geomembranes. ASTM International West Conshohocken, 2020.
[12] Aparicio-Ardila M, Pedroso G, Kobelnik M, Valentin C, da Luz M, Lins da Silva J. Evaluating the degradation of a nonwoven polypropylene geotextile exposed to natural weathering for 3 years. International Journal of Geosynthetics and Ground Engineering 2021; 7(3), 69.
[13] GRI-GM13. Standard Specification for test properties and testing frequency for high density polyethylene (HDPE) smooth and textured geomembranes. 2025. Geosynthetics Research Institute.

ENSAYOS DE

INTEGRIDAD
RESUMEN/ ABSTRACT

Y CARGA EN PILOTES, MICROPILOTES E INCLUSIONES RÍGIDAS: UNA EXPERIENCIA RECIENTE
M. Ayarza (1) , I Ríos (2), C González (3) , (1) Pilotes Terratest S.A., mayarza@terratest.cll (2) Pilotes Terratest S.A., irios@terratest.cl (3) Pilotes Terratest S.A., cgonzalezp@terratest.cl
Los ensayos de aceptación y de investigación realizados in-situ a elementos de refuerzo de suelo y de fundación profunda como inclusiones rígidas, pilotes y micropilotes, son una excelente herramienta para garantizar la capacidad geotécnica y estructural de estos, y de la misma forma, asegurar el correcto traspaso de carga al suelo. Dentro los ensayos más comunes se encuentran los ensayos no destructivos de integridad como el Crosshole Sonic Logging (o CSL) y PIT (Pile Integrity Test), así también ensayos de cargas estática o dinámica, los cuales pueden ser destructivos (ensayos de investigación en elementos de sacrificio) o no destructivos (ensayos de aceptación en elementos de producción)
En el presente artículo se presenta el caso de un proyecto de cimentaciones profundas para la ampliación de una planta industrial recientemente ejecutado, en donde se realizaron aproximadamente 300 ensayos PIT, 6 ensayos CSL, 10 ensayos de carga estática en micropilotes y pilotes, y1 ensayo de carga dinámica en un pilotede producción. Se muestran losprincipales detalles de preparación, montaje, ejecución y limitantes de estos ensayos, además de los principales aspectos a revisar en los resultados logrados.
Palabras-Clave: ensayo, integridad, carga, micropilote, pilote
1. INTRODUCCIÓN
El presente estudio se desarrolla en el contexto de la ampliación de una planta industrial, en la costa central de Chile, en donde se ejecutaron fundaciones profundas y mejoramiento de suelo para las nuevas estructuras (estanques, máquinas y otros equipos).
Las condiciones geotécnicas del sitio, el nivel freático y las solicitaciones de las nuevas estructuras, combinados con accesos y espacios disponibles dentro de la planta para la realización de los trabajos, llevaron a que las fundaciones fueran resueltas con micropilotes (principalmente en sectores de difícil acceso o espacios reducidos), pilotes de hormigón armado e inclusiones rígidas de hormigón. Debido a la importancia operacional de las estructuras y a la heterogeneidad de los suelos del sector, se realizaron ensayos de integridad en casi la totalidad de los pilotes e inclusiones rígidas. Adicionalmente, se realizaron ensayos de carga en pilotes y micropilotes estratégicamente escogidos ya sea por su representatividad dentro de un grupo o por su alta solicitación, con el objetivo de llevar un adecuado control de la construcción de estos elementos y probar las hipótesis de diseño
2. CONTEXTO GEOTÉCNICO
De manera general, el terreno de fundación se encuentra emplazado en un sector constituido predominantemente por sedimentos aluviales, compuestos principalmente por limos, arenas y gravas, intercalados o engranados con depósitos coluviales heterogéneos. Así también, existen materiales antrópicos no controlados en superficie.
El nivel freático se encuentra entre 1 a 2 metros bajo el nivel de la superficie. Y de acuerdo con estudio de mecánica de suelos del proyecto, existe potencial de licuación en los primeros metros de profundidad.
3. CARACTERÍSTICAS GENERALES DE LOS ELEMENTOS EJECUTADOS
Dentro de las tecnologías ejecutadas en este proyecto se encuentran las siguientes:
- Micropilotes tipo TITAN 73/35 y TITAN 73/53 de hasta 15m de longitud
- Pilotes encamisados y CFA de diámetros de 0,6m, 0,8m y 1,0m de hasta 26m longitud
- Inclusiones rígidas de diámetro 0,6m de hasta 15m de longitud
4. ENSAYOS DE INTEGRIDAD
Los ensayos de integridad de pilotes e inclusiones rígidas, realizados en terreno, suministran principalmente información de la continuidad o la consistencia de los materiales empleados en los elementos, y no suministran información directa sobre el comportamiento en condiciones de carga. Así también, entregan información limitada sobre las dimensiones físicas a lo largo de los elementos.
Se realizaron ensayos de integridad por el Método Sónico o PIT en casi la totalidad de los pilotes e inclusiones rígidas del proyecto (aproximadamente 300 ensayos en total) Este ensayo consiste en golpear la cabeza del elemento con un martillo ligero, con el cual se genera una onda que viaja y retorna por el elemento. La señal resultante (reflectograma) es capturada por un acelerómetro digital y transmitida a un datalogger, permitiendo determinar tiempos de viaje de propagación de onda e identificar la existencia de diferencias de impedancia dentro del elemento El procedimiento responde a lo estipulado en la norma [1] y es una una técnica para evaluar la continuidad del pilote y la homogeneidad del hormigón de forma cualitativa.
Por su parte, el ensayo de Integridad Ultrasónico (CSL) está considerado como una técnica de mayor precisión que el PIT para medir la integridad y homogeneidad en fundaciones profundas, siendo uno de los métodos más recomendado como control de calidad en proyectos de pilotaje Consiste en registrar el tiempo que tarda una onda ultrasónica en propagarse desde un emisor a un receptor que se desplazan simultáneamente por dos tubos paralelos, sujetos a su armadura en el interior del pilote, atendiendo a las recomendaciones generales en [2].


Fig. 1 Fotografía Durante la Ejecución de Ensayo PIT.
Fig. 2 Fotografía Durante la Ejecución de Ensayo CSL.
Tubos
Martillo
Pilote aislado Poleas
Los ensayos de integridad deben contar con la preproducción y condicionesen terreno específicas para su correcta ejecución. En el caso de los ensayos PIT:
- El elemento debe estar descabezado, con hormigón sano, con la cabeza pulida y accesible.
- El elemento debe estar aislado de losas u otros cabezales.
Mientras que para los ensayos CSL, se debe:
- Considerar los tubos de auscultación correctamente colocados con la armadura de los pilotes previo al hormigonado y con la cantidad de tubos acorde al diámetro del pilote (ver [2]).
- Accesible en planta y altura para realizar las mediciones.
La calidad de los resultados de los ensayos de integridad dependerá directamente de las condiciones externas de ejecución. Asimismo, estos resultados deben interpretarse apoyándose en los antecedentes geotécnicos, los que pueden afectar los resultados, los planos de proyecto con la definición de longitudes y calidad de los materiales, así como en los partes de ejecución de los elementos (cotas de perforación y de armadura, volúmenes de hormigonado, etc.)
5. ENSAYOS DE CARGA
El proyecto contó con 7 ensayos de carga estática en micropilotes, 6 de tracción y 1 en compresión. Las cargas de prueba consideradas se encontraron entre 80kN a 300kN y los procedimientos de estos ensayos se basaron en las recomendaciones del manual de referencia [3]. En estos ensayos se movilizó entre un 25% y un 50% de carga sobre el servicio de los elementos.
Por otra parte, se ensayaron 7 pilotes, 3 de ellos mediante ensayos de tracción estática con cargas de entre 700kN a 2000kN siguiendo las recomendaciones generales de [4] y 3 ensayos de compresión estática con cargas de 1200kN a 1900kN, de acuerdo con el procedimiento de [5].
Así también, se realizó 1 ensayo de carga dinámica que permitió el desarrollo de 4800kN como carga de prueba en compresión según lo estipulado en [6] Todos estos ensayos de carga en pilotes movilizaron hasta un 50% sobre la carga de servicio del elemento.
En el caso de los ensayos carga, se debe contar con una estructura de reacción dimensionada a una mayor capacidad que la carga de prueba y sistemas auxiliares de vigas, coplas, placas de apoyo, entre otros para poder ejecutarlos. La carga se aplica mediante gatos hidráulicos certificados y calibrados para los rangos de carga de ensayo. Así también, se considera el uso de diales de deformación de alta precisión para medir la deformación en la cabeza del elemento utilizado. Este sistema de medición requiere espacios libres de interferencias y accesos de gran envergadura, que pueden ser un desafío importante sobre todo cuando se usan dentro de elementos de servicio de un proyecto.
El ensayo de carga dinámica se definió debido a que el pilote a ensayar se encontraba en un sector de espacios reducidos con alta interferencia con otras estructuras, lo que impedía la instalación de un adecuado sistema de reacción para el desarrollo de una prueba de carga estática (ver Figura 3) Cabe destacar que este ensayo utiliza ondas de esfuerzo generadas mediante golpes controlados en la cabeza del pilote, en donde para movilizar la carga de ensayo se requirió el golpe con una masa de 7,22 ton con una altura de caída libre de 1,0 m. Así también, el ensayo se dimensiona para evitar el daño del pilote por las cargas de compresión que se generan producto de la carga dinámica.


6. CONCLUSIONES
El presente artículo describió de manera general, los diferentes ensayos de integridad y de aceptación (carga) realizadosen pilotes,micropilotes e inclusiones rígidasde la ampliación de una planta industrial Con el objetivo de poder probar las hipótesis de diseño y llevar un control de los procesos constructivos de los elementos, los ensayos fueron realizados en elementos de servicio del proyecto, lo que implicó mayores desafíos por concepto de:
- Interferencias físicas dadas las dimensiones de las estructuras de reacción de los ensayos de carga, mínimo un radio libre de 3m desde el eje del elemento a ensayar, dependiendo de condiciones particulares (carga) este mínimo puede aumentar.
- Accesibilidad a pie de los elementos a ensayar.
- Coordinación entre el montaje y la ejecución de los ensayos y el avance de obra. Es de suma importancia limitar las expectativas de optimizaciones de proyecto en base a resultados de ensayos de integridad yde aceptación.Por una parte, losensayosde integridad apuntan principalmente a verificar la calidad de la materialización de los pilotes e inclusiones rígidas y, por otra parte, los ensayos de carga de aceptación no llegan a la rotura de los elementos si no sólo a un porcentaje sobre el servicio
REFERENCIAS
[1] Norma ASTM D5882: Standard Test Method for Low Strain Impact Integrity Testing of Deep Foundations, 2000.
[2] Norma ASTM D6760: Standard Test Method for Integrity testing of concrete Deep foundations by ultrasonic Crosshole Testing, 2002.
[3] Manual de Referencia FHWA-NHI-05-039 - Micropile: Design and Construction, 2005
[4] Norma ASTM D3689/D3689M: Standard Test Methods for Deep Foundation Elements Under Static Axial Tensile Load, 2022
[5] Norma ASTM D1143/D1143M: Standard Test Methods for Deep Foundations Under Static Axial Compressive Load, 2020.
[6] Norma ASTM D4945/D4945M: Standard Test Methods for High - Strain Dynamic Testing of Deep Foundations, 2017.
Fig. 3 Fotografía Ejecución ensayo de Carga a Tracción a Micropilote
Fig. 4 Fotografía Ejecución Ensayo de Carga Dinámica a Pilote



LONG-TERM PERFORMANCE ASSESSMENT OF HDPE GEOMEMBRANES IN MINE CLOSURE APPLICATIONS: CASE STUDY FROM BRAZIL
M. Aparicio-Ardila (1) , C. Valentin (2) , M. Luz (3) , J. da Silva (4) (1) University of São Paulo, maparicio@usp.br (2) University of São Paulo, cclever@sc.usp.br (3) Pontifical Catholic University of Goiás, Eletrobras, marta.eng@pucgoias.edu.br (4) University of São Paulo, jefferson@sc.usp.br
ABSTRACT
This study presents the evaluation of a smooth HDPE geomembrane, 1.00 mm thick, with a greenexposed surface and a black underside (in contact with the residue), used as the final cover system of an alumina plant located in northern Brazil. The material was exhumed after approximately 16 years of continuous service to assess degradation caused by both direct contact with the residue and prolonged weathering exposure. Physical and mechanical characterization tests were conducted. The results indicate that, despite the extended exposure period, the main mechanical properties of the geomembrane (strength at yield and tear resistance) in both manufacturing directions remained above the minimum reference values, demonstrating that the material preserved its structural integrity under service conditions and maintained good resistance to defect propagation. This study provides evidence on the durability of green-surfaced HDPE geomembranes and their performance as longterm geotechnical barriers.
Keywords: Geosynthetics, Geomembrane, Barrier, Mining Geotechnics
1. INTRODUCTION
High-density polyethylene (HDPE) geomembranes most employed in geotechnical applications are black on both surfaces due to the presence of carbon black in their formulation, primarily because of its lower manufacturing cost. However, certain specific applications require geomembranes with differentiated surfaces, either for aesthetic purposes, such as landscape integration (e.g., greensurfaced geomembranes), or for technical reasons, such as increased solar reflectivity in the case of white-surfaced geomembranes.
References on the use of green-surfaced HDPE geomembranes are scarce. For example, [1] reported the use of a green HDPE geomembrane in landfill covers, where its performance was monitored over several years. Consequently, studies evaluating the degradation of green-surfaced HDPE geomembranes are limited; references could be reduced to [1-4], evaluating oven ageing [2], Ultraviolet (UV) chamber ageing [3], exposure in weathering panels [4], and exhumation from service conditions [1]. It is important to highlight that it is difficult to have access to the original reference, so in cases where no original reference sample is available, several researchers have adopted the GRI-GM13 [5] specification as a reference for material performance [e.g., 6–8].
The use of colored-surface HDPE geomembranes has led to the development of new quality control methodologies, such as the recently introduced GRI-GM39 standard [9], which establishes spectrophotometric and colorimetric testing for color evaluation. This research investigates the performance of a green-surfaced HDPE geomembrane installed as a cover in a bauxite residue disposal facility. The geomembrane was exhumed after more than 16 years of exposure to environmental conditions, primarily UV radiation, and direct contact with mining residue. The findings aim to advance the understanding of the long-term performance of colored HDPE geomembranes.
2. MATERIALS AND METHODS
A smooth HDPE geomembrane, manufactured by the round-die process with a nominal thickness of 1.00 mm, was exhumed from a mine closure facility in northern Brazil after approximately 16 years of exposure to weathering and direct contact with bauxite residue Table 1 summarizes the mechanical properties and corresponding ASTM test methods considered in this study, along with the minimum requirements specified by GRI-GM13 [5] for 1.00 mm thick HDPE geomembranes. These values were adopted as reference parameters for the analysis and discussion of the experimental results.
Table 1. Mechanical properties tested and GRI-GM13 minimum requirements
ASTM D6693 [10]
ASTM D1004 [11]
Mechanical properties were evaluated in both the Machine Direction (MD) and Cross-Machine Direction (CMD), with all tests performed in triplicate. In addition to mechanical testing, the Melt Flow Index (MFI) was determined, as it is widely employed in studies assessing the durability of HDPE geomembranes [3,4,6–8] and is also included in the GRI-GM13 [5] specification for polyethylene resin quality control. The test was conducted by ASTM D1238 [12], under the conditions of Low Load Melt Index (LLMI; 190 °C/2.16 kg) and High Load Melt Index (HLMI; 190 °C/21.6 kg). The Melt Flow Ratio (MFR), defined as the ratio between HLMI and LLMI, was also calculated.
3. RESULTS AND DISCUSSION
Table 2 presents the values obtained for the MFI under the different testing conditions, as well as the corresponding MFR. Compared with the results reported in [3] for a green, double-textured HDPE geomembrane of the same thickness, the values obtained in this study were lower. While [3] reported initial LLMI and HLMI values of 0.413 and 16.780 g/10 min, which decreased to 0.223 and 13.831 g/10 min after 10.5 years of exposure in southern Brazil, the present results are closer to those of the black, double-textured geomembrane exposed for 8.5 years in [3]. This difference may be related to the characteristics of the analyzed sample, which was green on only one face and black on the other, and therefore likely contained carbon black and a different formulation. It should be noted, however, that the exposure conditions and times were not identical, and thus the comparison is indicative rather than conclusive.
Table 2 MFI properties




Fig. 1. Mechanical properties: a) Strength at break and at yield, b) Tear resistance, c) Strain at break, and d) Strain at yield.
According to the GRI-GM13 [5] specification, strength at yield, strength at break, and tear resistance vary with thickness, while strain at break and strain at yield remain constant for 0.75–3.00 mm. Figure 1 presents the results of the mechanical properties, with each bar representing the mean value and the corresponding standard deviation.
As shown in Figure 1a, after more than 16 years of exposure, the geomembrane still exceeded the minimum yield strength requirement by approximately 40% in both MD and CMD. Since geomembranes are designed to operate within the elastic regime, limited by yield strength, this result indicates that the material retained its structural integrity under service conditions. Beyond yield strength, plastic deformation begins and continues until the break strength, which is an indicator of ductility and deformation capacity. In this study, the break strength was below the reference values by 22.10% in MD and 53.37% in CMD.
Tear resistance exceeded the minimum requirement in both directions, by 17.20% in the machine direction (MD) and 33.28% in the cross-machine direction (CMD), indicating good resistance to defect propagation and preservation of the geomembrane’s macroscopic mechanical integrity against localised damage.
Strain at break was the most affected property, with values of 62.58% (MD) and 145.6% (CMD), far below the 700% specification and consistent with previous durability studies [3,4,7]. Although tensile break properties are not typically the governing design parameter for HDPE geomembranes, as yield properties usually dominate, their deterioration still diminishes the safety margin against unexpected failure mechanisms. Conversely, the strain at yield showed a mixed behaviour, 24.25% lower than the reference value (12%) in the machine direction (MD), but 8.33% higher in the cross-machine direction (CMD).
4. CONCLUSIONS
Exhumation studies are crucial for assessing the long-term performance of HDPE geomembranes and understanding the impact of environmental exposure on their degradation. Although the GRI-GM13 specification provides proper benchmark values, the absence of initial material characterisation in this study limits a more precise quantification of degradation. The markedly reduced strain at break indicates that the geomembrane is entering an accelerated embrittlement phase, becoming highly susceptible to
brittle failure under the sustained stresses typically encountered in service. For colored-surface geomembranes, complementary analyses such as spectrophotometric or colourimetric testing (GRIGM39) are recommended. Additional tests, including stress crack resistance (SCR), should also be considered, as embrittlement-related failures may occur even when tear resistance remains high. The findings of this study provide new evidence on the durability of green-surfaced HDPE geomembranes after extended field exposure, contributing to more reliable design criteria and long-term performance evaluations of geotechnical barrier systems.
ACKNOWLEDGEMENTS
The authors acknowledge the Geosynthetics Laboratory of the School of Engineering of São Carlos, University of São Paulo, for providing the infrastructure for the experimental program This study was supported by CAPES (Postdoctoral Scholarship – Asymmetry Reduction Program, Process No. 23038.003836/2023-39), by FAPEG (Foundation for Research Support of the State of Goiás) and by the Postgraduate Program in Transportation Engineering at EESC/USP.
REFERENCES
[1] Ramsey B 13-year study of exposed, green geomembrane cover. Geosynthetica.com Web; 2016.
[2] Ramsey B, Maskal A. White polyethylene GM: Forensic and laboratory evidence for superior durability. Proceedings of the international conference “12 ICG Leading the Way to a Resilient Planet”. CRC Press; 2023. pp. 739–746.
[3] Aparicio-Ardila M, Kobelnik M, Valentin C, Palomino C, Sabogal-Paz L, Silva J. Natural weathering effects on white, green, and black HDPE textured GMs. Geosynthetics International 2025; 1–40.
[4] Aparicio-Ardila M, Valentin C, da Silva J. Colored HDPE Textured Geomembranes Exposed to UV: Laboratory Insights into Material Degradation. International Journal of Geosynthetics and Ground Engineering. 2025; 11(3):23.
[5] GRI-GM13. Standard Specification for test properties and testing frequency for high density polyethylene (HDPE) smooth and textured geomembranes. 2025 Geosynthetics Research Institute
[6] Safari E, Rowe, R, Markle J. Antioxidants in an HDPE geomembrane used in a bottom liner and cover in a PCB containment landfill for 25 years. Proceedings of the Pan Am CGS Geotechnical Conference, Toronto, ON, Canada 2011. p. 2-6.
[7] Lavoie F, Kobelnik M, Valentin C, da Silva Tirelli É, de Lurdes Lopes M, Lins da Silva J. Environmental protection with HDPE geomembranes in mining facility constructions. Construction Materials 2021; 1(2), p.122-133.
[8] Lavoie F, Kobelnik M, Valentin C, de Lurdes Lopes M, Palmeira E, da Silva J. Service life of some HDPE geomembranes. Case Studies in Construction Materials, 2023; 18, e02212.
[9] GRI-GM39. Standard Test Method for Determining the Color, Color Comparison and Colorfastness of Geomembranes. 2024. Geosynthetics Research Institute
[10] ASTM D6693. Standard Test Method for Determining Tensile Properties of Nonreinforced Polyethylene and Nonreinforced Flexible Polypropylene Geomembranes. ASTM International West Conshohocken, 2020.
[11] ASTM D1004. Standard Test Method for Tear Resistance (Graves Tear) of Plastic Film and Sheeting ASTM International West Conshohocken, 2021
[12] ASTM D1238. Standard Test Method for Melt Flow Rates of Thermoplastics by Extrusion Plastometer. ASTM International West Conshohocken, 2020.



METODOLOGÍA PARA ESTIMAR LA INCERTIDUMBRE DE UNA CURVA DE DISPERSIÓN OBTENIDA CON MÉTODOS DE ONDAS SUPERFICIALES
F. Oliveras (1) , C. Pastén (1), F. Leyton (2) (1) Departamento de Ingeniería Civil, Universidad de Chile, f.oliverascisternas@gmail.com (2) Centro Sismológico Nacional, Universidad de Chile
ABSTRACT
Los métodos de ondas superficiales son ampliamente utilizados en exploración geotécnica debido a su versatilidad y menor costo de ejecución en comparación con técnicas invasivas. Normas internacionales y nacionales, como ISO 24057 y prNCh3793, establecen lineamientos para su aplicación. Sin embargo, un desafío pendiente es la incorporación de métricas de incertidumbre en la estimación de la curva de dispersión (CD). Estudios resaltan la importancia de considerar la incertidumbre en los análisis de respuesta de sitio o clasificación sísmica para obtener estimaciones robustas de error. La CD representativa del sitio se obtiene a partir del procesamiento de registros temporales de ensayos activos y pasivos mediante técnicas espectrales. Métodos como FK y FK activo (MASW) estiman densidades de probabilidad de las velocidades de fase en función de la frecuencia, de donde se puede estimar la CD. No obstante, la fuga de energía en el análisis espectral introduce artefactos que dificultan la obtención de una CD media con su correspondiente desviación estándar, lo que ha llevado a prácticas subjetivas como la selección manual de curvas o la consideración exclusiva de valores medios de la velocidad de fase. En este trabajo se implementa y evalúa una metodología para automatizar la estimación de los valores medios y sus desviaciones estándar en la CD, mediante la detección de peaks espectrales y el cálculo del ancho a media altura (FWHM). Esta estrategia permite cuantificar la incertidumbre de forma más representativa y reducir la subjetividad asociada a la selección manual de la curva.
Palabras-Clave: Incertidumbre, Curva de dispersión, Métodos de ondas superficiales.
1. INTRODUCCIÓN
Los métodos de ondas superficiales (MOS) son comúnmente utilizados en exploración geotécnica para la caracterización del perfil de velocidades de onda de corte (Vs), debido a su menor costo, carácter no invasivo y capacidad de operar en entornos urbanos. Normativas como la ISO 24057 [1] y el prNCh3793 [2] establecen criterios técnicos para estimar perfiles de Vs mediante MOS. No obstante, persiste una limitación metodológica: la ausencia de procedimientos estandarizados para cuantificar la incertidumbre asociada a la curva de dispersión (CD), lo que restringe el análisis estadístico posterior y la evaluación objetiva de la variabilidad del perfil Vs estimado.
La aplicación de los MOS se divide en tres etapas: i) adquisición de registros de ondas mediante ensayos activos y/o pasivos, ii) procesamiento espectral para estimar la CD, y iii) inversión para obtener el perfil de Vs [3] En la etapa de procesamiento, existen múltiples técnicas para estimar la CD, incluyendo métodos basados en amplitud (e.g., FK, FK lineal, MASW) y en fase (e.g., autocorrelación espacial SPAC y derivados). En particular, el método FK, implementado en el software de uso libre Geopsy [4], permite estimar la densidad de energía dispersiva mediante el análisis de la semblanza espectral en el dominio de frecuencia y número de onda. La resolución espectral de estos mapas está limitada por el tamaño finito de las ventanas de análisis, tanto temporales como espaciales [3] Este muestreo discreto introduce efectos que redistribuyen la energía espectral y generan peaks secundarios, dificultando la identificación de máximos únicos y bien definidos, especialmente cuando se superponen varios eventos en frecuencia o cuando modos débiles son enmascarados por energía espuria [3].
La elección de la CD suele realizarse de forma manual o mediante algoritmos automáticos que no siempre consideran la forma completa del espectro, lo cual introduce subjetividad y dificulta la estimación de medidas estadísticas asociadas a cada frecuencia. Para abordar esta limitación, se han propuesto métodos de trimming manual, que descartan concentraciones de energía no representativas del modo fundamental de la CD. Esta estrategia permite calcular estadísticas más robustas a partir de subconjuntos filtrados, excluyendo aquellas estimaciones dominadas por ruido o artefactos derivados de una adquisición deficiente [5].
En este trabajo se implementa una metodología automática para la estimación de la CD y su incertidumbre, basada en la detección de peaks espectrales en el dominio FK, el cálculo del ancho a media altura (FWHM) de cada peak como medida de dispersión, y la separación del modo fundamental de modos superiores o soluciones espurias. El algoritmo aplica umbrales de energía, seguimiento de peaks entre ventanas y criterios de coherencia para generar una representación continua de la CD con su desviación estándar. Esta estrategia busca reducir la subjetividad en la selección de curvas y proporcionar métricas cuantitativas que respalden los análisis de inversión y clasificación sísmica de sitio.
2. METODOLOGÍA
La metodología propuesta se basa en el análisis automatizado de las densidades de probabilidad obtenidas mediante el método FK implementado en Geopsy. Se utilizan tanto los resultados generados por el módulo Linear FK for Active Experiments, exportados desde la interfaz gráfica, como los archivos de extensión “*.max” generados automáticamente por los módulos de análisis pasivo. Estos archivos contienen mapas de semblanza espectral, definida como la razón entre la transformada FK y la potencia espectral [6] evaluados sobre una grilla discreta en frecuencia (Hz) y lentitud (s/m). Dado que Geopsy opera internamente en el dominio de la lentitud, este enfoque fue adoptado en todo el desarrollo del algoritmo. Sin embargo, los resultados se presentan en términos de velocidad de fase, por ser la convención más utilizada en aplicaciones geotécnicas.
Los resultados de ensayos activos exportados desde Geopsy entregan una matriz de semblanza normalizada, ������������������ ,����, donde cada columna representa la distribución espectral de energía en lentitud para una frecuencia ��. Esta estructura permite detectar concentraciones de energía por frecuencia mediante técnicas de detección de peaks, como se ilustra en las Figuras 1b y 1c para 15 Hz y 45 Hz (líneas azules verticales en el mapa espectral de la Fig. 1a). El procesamiento de estas soluciones se realiza en Python con librerías científicas para análisis de señales.
La identificación de peaks se realiza utilizando la función scipy.signal.find_peaks [7] Para cada peak detectado, se calcula su ancho a media altura (FWHM, por su sigla en inglés Full Width at Half Maximum) mediante la función scipy.signal.peak_widths [7] La incertidumbre espectral se cuantifica transformando el FWHM en una desviación estándar σ, bajo el supuesto de que la forma del peak puede aproximarse localmente por una distribución gaussiana [8]. En dicho caso, la relación entre ambos parámetros es:
�������� =2 √2 ln2 �� ≈2.355 �� Ec. 1
El FWHM es una medida geométrica ampliamente utilizada en análisis espectral para caracterizar la dispersión de un peak alrededor de su valor máximo En métodos de ondas superficiales, por ejemplo, es empleado para definir la resolución del arreglo de sensores (��������) la cual corresponde al menor número de onda (longitud de onda más larga) medible por el método FK clásico y corresponde al ancho, a media altura, del peak principal de la respuesta del arreglo. Este parámetro está directamente vinculado a la capacidad de separar dos ondas que se propagan con números de onda similares [3, 6]. En este trabajo, esta relación se adopta como una aproximación para estimar la desviación estándar σ asociada a cada peak, permitiendo así caracterizar la variabilidad espectral de manera objetiva a partir de la geometría de los máximos.

Fig. 1. Resultados FK Activo: (a) curva de dispersión; densidad de probabilidad de velocidades a (b) 15 Hz; y (c) 45 Hz. Lineas azules verticales muestran secciones de (b) y (c).
Para estimar la incertidumbre en ensayos pasivos, la metodología difiere del caso activo, ya que los archivos “*.max” contienen valores discretos de lentitud por frecuencia y ventana temporal, sin generar curvas continuas. En su lugar, se obtiene una nube de datos puntuales que se analiza mediante histogramas de lentitud por frecuencia. Estos histogramas se suavizan con un filtro de Savitzky-Golay para estimar una densidad de probabilidad empírica. Luego, se identifican los peaks locales, se calcula su ancho a media altura (FWHM) y se estima una desviación estándar inicial con la ecuación 1, en forma análoga al caso activo. Luego, la media y desviación estándar reales se calculan considerando únicamente los datos dentro de un intervalo de confianza de ±2.575σ en torno al peak (percentil 99 %)
La Fig. 2 ilustra este proceso para 4 Hz, donde se identifican tres concentraciones de energía (Fig. 2a–2b) y se calcula la estadística dentro del intervalo.

Fig. 2. Resultados FK Pasivo: (a) curva de dispersión; (b) densidad de probabilidad de lentitudes a 4 Hz.
Una vez identificados los peaks válidos por frecuencia, se clasifica el modo fundamental separándolo de posibles soluciones espurias o modos superiores. El modo fundamental se define como el peak de mayor energía o aquel cuya lentitud está más próxima al valor del modo principal en la frecuencia anterior, dentro de un intervalo definido por su desviación estándar. Los modos secundarios se asignan según amplitud descendente Los resultados se exportan en archivos “*.txt” compatibles con los módulos de Geopsy, como Dinver, max2curve, y los visualizadores de curvas en la interfaz gráfica. La Fig 3 muestra el resumen de las soluciones de ensayos pasivos y activos realizados un mismo sitio Sobre los mapas espectrales se grafican los valores medios y desviaciones estándar obtenidos con la metodología propuesta Se observa que en frecuencias intermedias (≈12-13 Hz) ambos métodos se
solapan y se complementan, generando una CD continua con incertidumbre, entre longitudes de onda de 2.2 y 180 m

Fig. 3 Curva de dispersión con medidas de incertidumbre, soluciones de ensayos activos y pasivos
3. CONCLUSIONES
Este trabajo presenta una metodología para estimar la desviación estándar de la velocidad de fase en curvas de dispersión, a partir del análisis automatizado de los mapas espectrales generados mediante métodos FK en Geopsy. El procedimiento permite cuantificar la incertidumbre asociada a cada frecuencia, considerando el valor máximo y la geometría local del espectro en torno a las concentraciones de energía. A diferencia de herramientas existentes como max2curve, que evalúa las estadísticas sobre un intervalo fijo de velocidades para todas las frecuencias, la metodología propuesta realiza el análisis únicamente en el entorno local de los máximos de energía. En el caso de ensayos activos, se diferencia también de autopick, que se limita a identificar los peaks sin entregar una estimación de incertidumbre. Esta estrategia permite cuantificar la incertidumbre de forma más representativa y reduce la intervención subjetiva del usuario
REFERENCIAS
[1] International Organization for Standardization. Geotechnical investigation and testing Field measurement of shear wave velocity Surface wave testing method ISO 24057:2024. Geneva: ISO; 2024.
[2] Instituto Nacional de Normalización. Técnicas geofísicas sísmicas para la caracterización dinámica de sitios. prNCh3793. Santiago: INN; [en desarrollo, Comité Técnico 30.92]
[3] Foti, S., Lai, C. G., Rix, G. J., & Strobbia, C. Surface wave methods for near-surface site characterization CRC press, 2014.
[4] Wathelet, M., Chatelain, J. L., Cornou, C., Giulio, G. D., Guillier, B., Ohrnberger, M., & Savvaidis, A. (2020). Geopsy: A user‐friendly open‐source tool set for ambient vibration processing. Seismological Research Letters, 91(3), 1878-1889.
[5] Vantassel, J. P., & Cox, B. R. (2022). SWprocess: a workflow for developing robust estimates of surface wave dispersion uncertainty. Journal of Seismology, 26(4), 731-756.
[6] Wathelet, Marc. Array recordings of ambient vibrations: surface-wave inversion Diss. PhD thesis, 2005.
[7] Virtanen, P., et al. (2020). SciPy 1.0: fundamental algorithms for scientific computing in Python. Nature Methods, 17, 261–272.
[8] Knoll, G. F. (2010). Radiation Detection and Measurement (4th ed.). Wiley.



REPRODUCCIÓN DEL MOVIMIENTO DE UN TALUD MEDIANTE ANÁLISIS NUMÉRICO
A. Bard (1) , A. Di Mariano (2) (1) SRK Consulting, abard@srk.cl (2) Centre Internacional de Mètodes Numèrics a l'Enginyeria (CIMNE)-Universitat Politècnica de Catalunya (UPC), alessandra.dimariano@upc.edu
RESUMEN
Un talud adyacente a una de las principales carreteras de Barcelona presenta signos de inestabilidad desde el año 2004. Un extenso sistema de instrumentación instalado desde el año 2017 permite monitorear el movimiento del talud y localizar la superficie de deslizamiento, que se desarrolla a través de un estrato de lutitas alteradas. La interpretación de ensayos de laboratorio y de la instrumentación geotécnica se utiliza para caracterizar el estrato de lutitas alteradas con el objetivo de reproducir los movimientos horizontales registrados por los inclinómetros.
El presente trabajo destaca la importancia de comprender el contexto geológico y el desarrollo de los eventos históricos, así como la relevancia de los sistemas de auscultación, como herramientas fundamentales para interpretar el mecanismo de inestabilidad y gestionar de manera adecuada el riesgo a ello asociado.
Palabras-Clave: Caracterización geotécnica, Inestabilidades de taludes, Modelación numérica.
1. INTRODUCCIÓN
Las inestabilidades de taludes son fenómenos complejos debido a la gran variedad de eventos posibles de causa-efecto que las desencadenan. Comprender el contexto geológico de un talud, así como el desarrollo de los diferentes sucesos cronológicos, son herramientas fundamentales para interpretar el mecanismo de inestabilidad y gestionar de forma adecuada el riesgo a ello asociado.
El talud en estudio se encuentra ubicado en una de las principales carreteras que conecta Barcelona con el norte de Cataluña la cual, a partir del año 2004 y en un tramo de 500 metros de longitud, comienza a presentar desperfectos que se reproducen repetidamente. Una campaña de instrumentación geotécnica en el año 2017 comprueba que los desperfectos son causados por el movimiento del talud adyacente, con dirección hacia la carretera.
El presente trabajo expone los resultados de un análisis numérico de elementos finitos realizado para reproducir el movimiento horizontal observado en una sección del talud, a partir de la información proporcionada tanto por la campaña de sondajes como por la instrumentación geotécnica.
2. CASO DE ESTUDIO
En la zona de estudio, que se encuentra en la provincia de Barcelona, los materiales geológicos más antiguos pertenecen al período Triásico, tratándose principalmente de lutitas sobre las cuales se disponen niveles litológicos de calizas y dolomías. Por encima, se encuentran materiales del Cuaternario formados principalmente por arcillas limosas con gravas [1]
A partir del año 1945, en la zona objeto de estudio, empezó un proceso de extracción de roca caliza que finalizó en el año 2003 [2]. Durante este período, además de la descarga en la coronación del talud, se deprimió el nivel freático para llevar a cabo el proceso de extracción en seco. Este proceso de extracción generó la exposición del estrato profundo de lutitas a la acción de agentes atmosféricos que favorecieron su alteración y degradación.
Con el término de la actividad extractiva, a partir del año 2004, comenzó un proyecto de restauración ambiental del talud que fue convertido en un depósito controlado de residuos. Este período coincide con el comienzo de la aparición de patologías en la carretera [1].
En septiembre 2017, se instaló un extenso sistema de monitoreo que, junto a la exploración mediante sondajes, tuvo por objetivo el reconocimiento del terreno y el seguimiento del movimiento del talud. La
instrumentación incluye inclinómetros biaxiales, hitos topográficos, piezómetros abiertos y de cuerda vibrante, prismas automáticos y células de carga [3]
Los datos de la instrumentación geotécnica indican que el talud se mueve con velocidad variable en el tiempo, dependiendo de variaciones en el estado tensional del terreno, asociadas por ejemplo a cambios en las condiciones hidráulicas del entorno Como medida de estabilización, a finales del año 2018, se lleva a cabo la descarga de la parte alta del talud que produce una ralentización de su movimiento a excepción de un periodo, en enero del 2020, en que se produjo una fuerte tormenta (153 l/m2 en 3 días) que causó un rápido incremento dela presión intersticial en la superficie de deslizamiento [3] (Fig. 1)
La información obtenida de la instrumentación permite determinar que la superficie de deslizamiento se encuentra localizada principalmente en el estrato de lutitas Triásicas. A esta profundidad, las lutitas tienen un alto grado de alteración y presentan un comportamiento tipo suelo [2] [4], a diferencia de las lutitas más profundas, que son cementadas y presentan un comportamiento de roca (Fig. 2).


(a) (b)
Fig. 1 (a) Evolución del movimiento del talud y del nivel freático [4]; (b) Evolución de la velocidad de movimiento del talud y del volumen de residuos excavados [3].
Lutitas Alteradas Lutitas Cementadas


2. Reconocimento geotécnico unidad de lutitas [2].
3. CARACTERIZACIÓN GEOTÉCNICA
Durante la campaña geotécnica se perforaron 12 sondajes, con profundidades entre 15 y 60 metros, tanto para el reconocimiento del terreno como para la extracción de muestras para la realización de diversos ensayos de laboratorio que incluyen: clasificación, ensayos de densidad, compresión simple, corte directo, corte anular y consolidación edométrica. Los ensayos se concentraron en su mayor parte en la unidad de lutitas alteradas en la que se desarrolla la superficie de deslizamiento, siendo clave su caracterización [2].
Fig.
Desde el punto de vista geotécnico, las lutitas alteradas (B) se clasifican principalmente como arenas arcillosas (SC) o arcillas de baja plasticidad (CL), con un promedio de 46% de finos (bajo #200) y un contenido de humedad del 11%. De los ensayos de corte directo se obtienen valores de ángulo de fricción entre 17 y 44° con una cohesión con valores entre 0 y 82 kPa. Los resultados de los ensayos edométricos presentan valores de módulos edométricos entre 3 y 46 MPa, en donde los valores bajos se concentran en muestras con profundidad mayor a 20 metros [2]. Finalmente, del ensayo de corte anular se obtienen parámetros de resistencia residual caracterizados por un ángulo de fricción de 18° y cohesión nula. En base a estos resultados y a las observaciones del terreno, este estrato se compone de lutitas alteradas con mayor contenido de finos, que caracterizan la superficie de deslizamiento (BSD), y lutitas alteradas con menor contenido de finos, fuera de la misma (B) (Tabla 1).
4. ANÁLISIS NUMÉRICO
Para el análisis numérico, siendo el tramo de talud inestable suficientemente largo, se utiliza un modelo de deformación plana en donde la sección transversal (Fig. 3) corresponde al perfil geotécnico más representativo del talud por la cantidad de sondajes realizados e inclinómetros instalados [2]. Las fases de cálculo consideran la cronología de los diferentes eventos de manera aproximada [5]. Los análisis se realizan en condición drenada, ya que los acontecimientos se han producido en un intervalo de tiempo de varios años en el que verosímilmente las sobrepresiones intersticiales han podido disiparse
El comportamiento de las unidades de calizas y lutitas cementadas se modeliza mediante el criterio Hoek-Brown generalizado [1] [4], el material de restauración de la cantera (residuos) mediante el criterio Mohr-Coulomb [2]. En cambio, las lutitas alteradas se modelizan mediante el modelo constitutivo Hardening Soil (Tabla 1). El valor de rigidez edométrica de la lutita alterada (B) se encuentra en el rango característico de arenas [6] que concuerda con la clasificación del material (SC).
Se consideran los registros de los inclinómetros IT-01, IT-11 e IT-13 hasta el día 11 de julio de 2018, siendo este el último día de toma de lectura de los tres inclinómetros. Los movimientos horizontales observados varían entre 44 y 98 mm. El inclinómetro IT-11, situado en el centro, registra menores movimientos que los inclinómetros IT-01 e IT-13 (Fig. 4), lo cual no puede reproducirse en un modelo 2D.
Tabla 1. Parámetros Hardening Soil – Lutitas degradadas
Parámetro
Material

Fig. 3. Perfil Geotécnico de Análisis



Fig. 4. Comparación perfiles de movimiento horizontal observado y calculado, por inclinómetro
5. CONCLUSIONES
Implementar un sistema de monitoreo es importante para el control y seguimiento de las obras geotécnicas, en particular para casos de inestabilidades de taludes pues permite identificar la superficie de deslizamiento y estudiar su evolución
Mediante la interpretación de ensayos de laboratorio y de monitoreo se caracteriza el estrato de lutitas y se reproducen de manera adecuada los desplazamientos horizontales del talud. Es importante destacar que el modelo numérico 2D reproduce sólo de forma cualitativa el perfil de movimientos, consiguiendo sin embargo representar de forma adecuada la superficie de deslizamiento.
La rigidez edométrica de la superficie de deslizamiento (material B-SD) es 10 veces menor que la de las lutitas alteradas (B). Si bien originalmente el material es el mismo, el desarrollo de la superficie de deslizamiento cambia las características físicas del material (mayormente arcilloso) Los resultados obtenidos muestran que el movimiento del talud se produjo por el cambio del estado tensional causado por la recarga de la coronación del talud con residuos, sobre un material degradado.
6. AGRADECIMENTOS
Los autores desean expresar su agradecimiento a Xavier Gost (TYPSA Barcelona) por el apoyo dado a la elaboración del presente trabajo.
7. REFERENCIAS
[1] Di Mariano, A., Gost, X., Gens, A. & Álvarez, E. Auscultación y análisis numérico de un talud en movimiento. X Simposio Nacional sobre Taludes y Laderas Inestables. Granada, 2022, p.695-703.
[2] TPYSA. Estudi Geotècnic: Reparació Tram de la C-17 entre el PK 43+050 I el PK 43+550, Centelles.Seva. Barcelona. 2018.
[3] Di Mariano, A., Gost, X., Gens, A. & Álvarez, E. Estabilización de un talud mediante descarga de cabeza. X Simposio Nacional sobre Taludes y Laderas Inestables. Granada, 2022, p.430-438.
[4] Di Mariano, A. & Gens, A. Observation and analysis of a moving slope. A: "Geotechnical engineering in the digital and technological innovation era". Berlín: Springer, 2023, p. 503-510.
[5] Bard, A. Análisis espectral de la cinemática de un talud. Tesis Máster Ingeniería del Terreno. Universitat Politècnica de Catalunya (UPC), Barcelona, 2024.
[6] Obrzud, R.F., Truty, A. The Hardening Soil Model-a practical guidebook. Z Soil. PC 100701 report. Switzerland: Zaca Service Ltd, 2018.



APLICACIÓN DE MÉTODOS GEOFÍSICOS PARA LA CARACTERIZACIÓN GEOMORFOLÓGICA Y DINÁMICA DE UNA SECCIÓN TRANSVERSAL DE LA ZONA NORTE DE LA CUENCA DE SANTIAGO
D. Parra (1) , C. Pastén (1), A. Maksymowicz (2), S. Ruiz (2) y P. Heresi (1) (1) Departamento de Ingeniería Civil, Universidad de Chile. dparra.ing@gmail.com (2) Departamento de Geofísica, Universidad de Chile.
RESUMEN
La amplificación sísmica de la Cuenca de Santiago varía significativamente debido a la morfología y contrastes de impedancia entre los sedimentos y el basamento rocoso, especialmente en su zona norte, donde predominan suelos finos. Este estudio tiene como objetivo caracterizar la morfología y las propiedades dinámicas de una sección transversal que abarca las comunas de Lampa, Quilicura, y Huechuraba, mediante prospecciones gravimétricas y métodos de ondas superficiales. Se modeló la geometría del basamento y se estimaron espesores sedimentarios, mientras que el análisis de la curva de dispersión y mediciones de ruido sísmico permitieron determinar las propiedades dinámicas. Los resultados identifican un depocentro en Quilicura, con profundidad máxima cercana a 400 m y un área de al menos 4 km². En la zona se registran frecuencias predominantes entre 0.35 y 0.55 Hz. La compatibilidad entre el modelo gravimétrico y el dinámico refuerza la presencia del depocentro y resalta el valor de integrar métodos geofísicos para evaluar la amenaza sísmica en zonas urbanas.
Palabras-Clave: depocentro, gravimetría, geofísica
1. INTRODUCCIÓN
La Cuenca de Santiago es una depresión estructural delimitada por la Cordillera de la Costa y la Cordillera Principal. En su interior destacan cerros isla, como el Lipangue, Lo Castro y Renca, y cauces como los esteros Lampa y Colina, y los ríos Mapocho y Maipo Los sedimentos son principalmente materiales cuaternarios, depósitos volcánicos y rocas graníticas terciarias distribuidas heterogéneamente [1-3] La geología superficial del área norte está dominada por depósitos finos (limos, arcillas, cenizas) [4]. Estudios gravimétricos previos indican una morfología irregular, con espesores sedimentarios de hasta 500 m, y la presencia de subcuencas y depocentros distribuidos a lo largo de la depresión estructural [1, 5]. Se evidencian fallas geológicas, entre las cuales destacan la de Lo Castro y Renca, que atraviesan los cerros homónimos en dirección sur-norte [6]. La zona norte de la Cuenca de Santiago está caracterizada por suelos finos que han evidenciado una alta vulnerabilidad sísmica frente a terremotos de gran magnitud [7]. Razones espectrales H/V registran frecuencias predominantes bajas (<0,5 Hz) en Quilicura, con suelos de tipo D y E según la nueva propuesta de normativa sísmica chilena [8]. Simulaciones numéricas en estos sectores muestran que la amplificación está fuertemente relacionada con los altos contrastes de impedancia entre los sedimentos y el basamento rocoso, y evidencian la necesidad de modelos bidimensionales para representar adecuadamente la respuesta dinámica [8, 9].
2. METODOLOGÍA
Se definió una sección transversal de estudio (en adelante Perfil 1) de 27,6 km que cruza las comunas de Lampa, Quilicura y Huechuraba, en dirección oeste-este, a lo largo de la cual se realizaron mediciones gravimétricas. Adicionalmente, se definieron tres secciones secantes a la principal, para incorporar restricciones adicionales (Perfiles 2, 3 y 4, ver Fig. 1). Se realizaron 46 mediciones gravimétricas que se complementaron con mediciones previas [5], usando gravímetros de alta precisión Lacoste&Romberg G-411 y CG–3/3M Autograv Scintrex, y GPS Diferencial Topcon Hiper V para determinar con precisión centimétrica ubicación y altitud. Se aplicaron correcciones de marea y deriva
instrumental a los datos prospectados. Para obtener la anomalía de Bouguer completa se consideraron densidades de 2,67 ��/����3 para el basamento y 2,1 ��/����3 para los sedimentos. La reducción de los datos gravimétricos se realizó considerando corrección por el elipsoide WGS84, corrección por aire libre, corrección topográfica y por placa de Bouguer. La remoción del regional, necesaria para obtener el residual gravimétrico, se realizó considerando una distribución lineal de la anomalía gravimétrica entre condiciones de bordes de cada sección transversal, definidas en puntos con afloramientos rocosos o con espesores mínimos obtenidos a partir de la información de pozos profundos [2, 3, 5] Se modelaron los 4 perfiles utilizando el algoritmo de Bott, con prismas rectangulares y densidad constante
Para la caracterización dinámica, se definieron 12 sitios (S1 a S12, ver Fig.1) en los que se desplegaron 27 arreglos de al menos 4 sismómetros cada uno. En los sitios S1 a S8 se utilizaron métodos pasivos y activos (correlaciones cruzadas, SPAC y MASW) para obtener curvas de dispersión de velocidad de fase de onda Rayleigh, el método H/V para estimar las frecuencias predominantes ��0 y elipticidad de onda Rayleigh. En los sitios S9 a S12 solo se estimaron las frecuencias predominantes. Se utilizaron sismógrafos Tromino 3G (4), Tromino Blu (1), Güralp 40T (3) y Güralp Certimus (1) para las mediciones de ruido ambiental y 24 geófonos en configuración lineal, acoplados a un sismógrafo GEODE para la medición con fuente activa, generada por un martillo de 10 lb. El procesamiento se realizó con el software Geopsy. La determinación de las frecuencias fundamentales se realizó siguiendo las recomendaciones de la guía SESAME [10-12]
Se modelaron los perfiles de velocidad de onda de corte ���� de los sitios S1 a S8 utilizando el software Dinver, el cual se basa en el método del vecindario [11, 12]. La resolución del problema de inversión consideró como parámetros de búsqueda la velocidad de onda de corte (����), velocidad de onda compresional (����), espesor (��) y coeficiente de Poisson (��) de modelos compuestos por 10 capas homogéneas sobre un semiespacio homogéneo. Se utilizó una densidad constante (��=2000����/��3). Se realizaron inversiones de la curva de dispersión, así como inversiones conjuntas con la curva de elipticidad de onda Rayleigh y la frecuencia predominante.

Fig. 1 Perfiles modelados (líneas continuas) y mediciones gravimétricas (círculos). Se destacan los cerros isla Lipangue (L), Lo Castro (LC), Renca (R) y San Cristóbal (SC).
3. RESULTADOS
El Perfil 1 revela dos depresiones en donde el sedimento alcanza un espesor máximo de 250 m (Lampa) y de 400 m (Quilicura). La morfología de la sección exhibe irregularidades en ambas zonas, con crestas
y valles (ver Fig. 2). En Quilicura los espesores duplican los valores estimados por modelos previos [1, 5] El depocentro D2 se extendería hacia el norte y sur. Las propiedades dinámicas de esta zona evidencian frecuencias predominantes entre 0,35 y 0,55 Hz (ver Fig. 3). Los modelos de velocidad de onda de corte ���� en esta zona (sitios S3 y S4), muestran valores que varían entre 120 m/s en superficie y 650 m/s a profundidades de 300-400 m. El resto de los sitios prospectados presentan valores de ����30 entre 260 y 340 m/s, con perfiles de velocidad de onda de corte mayores a los reportados en estudios anteriores [8]

Fig. 2 Modelo de velocidad de onda de corte ���� a partir de los sitios prospectados en el presente estudio (sitios S1 a S8) y el trabajo de Acevedo, 2021 (sitios A1 a A8). La línea discontinua representa el contraste entre sedimentos y basamento rocoso inferido a partir de los perfiles de ����.

Fig. 3 Modelo de espesores sedimentarios a partir de mediciones gravimétricas Frecuencias predominantes a partir de razones espectrales H/V. Se destacan los cerros isla Lipangue (L), Lo Castro (LC), Renca (R) y San Cristóbal (SC).
4. CONCLUSIONES
El método gravimétrico permitió identificar un depocentro sedimentario en Quilicura con espesores de hasta 400 m y morfología compleja, con cerros isla y estructuras enterradas. La interpretación de los
perfiles de ���� muestra una morfología consistente con la obtenida mediante el método gravimétrico. La inversión conjunta de curvas de dispersión y razones espectrales H/V, resultó ser una herramienta eficaz para caracterizar perfiles de ���� profundos en sectores urbanos Se reconoce como limitación principal la calidad y rango de longitudes de onda en la curva de dispersión de onda Rayleigh. La integración de ambos métodos permite caracterizar con precisión la morfología y propiedades dinámicas del subsuelo en áreas urbanas densamente pobladas, siendo herramientas recomendadas en estudios futuros de amenaza sísmica en áreas urbanas
5. AGRADECIMIENTOS
Los autores agradecen a los proyectos ANID FONDECYT Iniciación en Investigación 11230463, ANID ANILLO EASER (Evolution Assessment of Seismic Risk) ACT240044 y ANID Fondecyt Nº1240744 por financiar parcialmente este trabajo.
REFERENCIAS
[1] Araneda C M, Avendaño R M S, Díaz Del Río G. Modelo estructural de la Cuenca de Santiago, Chile y su relación con la hidrogeología. Revista Geofísica. 2010;62:29-48. Disponible en: https://revistasipgh.org/index.php/regeofi/article/view/541
[2] Falcon E, Castillo O, Valenzuela M. Hidrogeología de la Cuenca de Santiago. Publicación especial n ° 3. Santiago: Instituto de Investigaciones Geológicas; 1970.
[3] Valenzuela B G. Suelo de fundación del gran Santiago. Boletín n.° 33. Santiago: IIG; 1978.
[4] Leyton F, Sepúlveda S, Astroza M, Rebolledo S, González L, Ruiz S. Zonificación sísmica de la Cuenca de Santiago, Chile. En: Actas del Congreso Chileno de Sismología e Ingeniería Antisísmica. 2011. p. 22–7.
[5] González F A, Maksymowicz A, Díaz D, Villegas L, Leiva M, Blanco B, Vera E, Contreras S, Cabrera D, Bonvalot S. Characterization of the depocenters and the basement structure, below the central Chile Andean Forearc: A 3D geophysical modelling in Santiago Basin area. Basin Research 2018;30:799–815. doi:10.1111/bre.12281
[6] Munoz-Saez C, Pinto L, Charrier R, Nalpas T. Influence of depositional load on the development of a shortcut fault system during the inversion of an extensional basin: The Eocene-Oligocene Abanico Basin case, central Chile Andes (33°–35°S). Andean Geology. 2014;41:1–28. doi:10.5027/andgeoV41n1-a01
[7] Astroza R, Astroza M, Ruiz S, Molina J. Seismic intensities. Mw=8.8 Chilean earthquake, February 27, 2010. Santiago: Editora Maval; 2012.
[8] Acevedo Plaza M. Modelo de velocidades de la Cuenca de Santiago y estimación de su respuesta sísmica. 2021. Disponible en: https://repositorio.uchile.cl/handle/2250/183383
[9] Bustos J, Pastén C, Pavez D, Acevedo M, Ruiz S, Astroza R. Two-dimensional simulation of the seismic response of the Santiago Basin, Chile. Soil Dynamics and Earthquake Engineering 2023;164:107569. doi:10.1016/j.soildyn.2022.107569
[10] Pastén C, Sáez M, Ruiz S, Leyton F, Salomón J, Poli P. Deep characterization of the Santiago Basin using HVSR and cross-correlation of ambient seismic noise. Engineering Geology 2016;201:57–66. doi:10.1016/j.enggeo.2015.12.021
[11] Wathelet M, Chatelain J L, Cornou C, Di Giulio G, Guillier B, Ohrnberger M, Savvaidis A. Geopsy: A user-friendly open-source tool set for ambient vibration processing. Seismological Research Letters. 2020;91:1878-1889. doi:10.1785/0220190360
[12] Wathelet M. Array recordings of ambient vibrations: surface-wave inversion. Liège: Liège University; 2005.



OPTIMIZATION OF PARAMETERS IN CONSTITUTIVE MODELS FOR CONSOLIDATED UNDRAINED TRIAXIAL COMPRESSION TESTS USING GENETIC ALGORITHMS
A. Gavidia (1) , C. Morales (2), G. Corral (3) (1) SRK Consulting SpA, agavidia@srk.cl (2) SRK Consulting SpA, camorales@srk.cl (3) Inteligencia Geotécnica SpA, gcorral@inteligenciageotecnica.com
ABSTRACT
The loss of soil strength in undrained behavior is one of the main causes of failure in geotechnical engineering projects. The most widely used constitutive model worldwide is the linear-elastic-perfectly plastic Mohr-Coulomb model, which is unable to adequately represent undrained behavior, leading to non-conservative designs or parameter configurations not recommended for simulating strength loss. To address this problem, the parameter updating methodology proposed by Corral (2013), based on the genetic algorithm, is used. Three constitutive models are compared: Mohr-Coulomb, Hardening Soil small-strain stiffness, and NorSand, available in the commercial software PLAXIS. The methodology for parameter optimization using undrained triaxial compression tests and considering the maximum allowable measurement errors according to ASTM D4767. The advantage of this methodology over traditional parameter adjustment is demonstrated. Additionally, the different constitutive models are compared, and the superiority of advanced models over the linear-elasticperfectly plastic model is evidenced, achieving improvements ranging from 50 % to 98 % in some undrained triaxial tests. It is observed how, through advanced models and this methodology, it is possible to represent the stress path and simulate the strength loss that can cause brittle failures in geotechnical projects
Keywords: Undrained triaxial tests, Parameter optimization, Genetic algorithm
1. INTRODUCTION
In geotechnical engineering, limit equilibrium models are commonly used for physical stability analysis of slopes. Nevertheless, this method cannot provide any information about the deformations. The finite element and finite difference methods allow solving this great limitation. However, the implementation of these analysis methods entails other challenges, mainly related to the selection and calibration of constitutive models to represent the behavior of geomaterials.
The most widely used constitutive model in the world is the linear-elastic-perfectly plastic Mohr-Coulomb (MC) model. However, this model has significant restrictions for simulating undrained soil behavior, since it does not adequately reproduce the stress path, maintaining the mean effective stress constant during the evolution of behavior [1][2] On the other hand, advanced constitutive models like MIT-E3 [3] can accurately capture undrained soil behavior. However, this model is not available in commercial applications like PLAXIS, one of the widely used finite element programs for deformation analysis. Reproducing this behavior in numerical models is essential for developing reliable analysis; for this reason, more advanced alternatives such as Hardening Soil small-strain stiffness (HSs) and NorSand (NS) exist, which can better capture the undrained stress path and the strength loss of soft soils, a critical phenomenon in geotechnical engineering project failures
The calibration of parameters in constitutive models is crucial to achieve an adequate representation in a geotechnical project. However, the absence of sufficient geotechnical tests in projects or the experience of the person in charge of the analysis can hinder the routine use of these models, increasing the risk of significant errors when the inherent limitations of each model are unknown. Various studies have proposed the use of inverse analysis at the element scale to adjust parameters, obtaining favorable results through genetic algorithms [4][5]
This article applies the parameter optimization methodology by Corral (2013) [6], which aims to calibrate the soil response in undrained triaxial compression tests (TxCU) exhibiting strength loss behavior The allowable errors according to ASTM D4767 [7], which establishes an accuracy of 1% of the axial load at failure, and pressure control within 2 kPa for effective consolidation pressures less than 200 kPa and within 1 % for effective consolidation pressures greater than 200 kPa
2. PARAMETER UPDATING METHODOLOGY
The parameter updating methodology consists of a series of iterative steps, represented in Figure 1 The process begins with obtaining laboratory measurements (��), from which the parameters of the selected constitutive model are adjusted to obtain initial predictions (��)
With the initial predictions and the measurements, two key parameters proposed by Corral (2013) [6] are calculated: the Structured Square Residual (SSR) and the Structured Global Variance (SGV). Then the Sensitivity Analysis is performed to identify the parameters of the constitutive model to be updated, followed by the Inverse Analysis to obtain the update parameters of the constitutive model, thus allowing for more accurate numerical model predictions

Figure 1 Simplified procedure for parameter updating
In summary, this methodology integrates TxCU test results with finite element models for parameter adjustment and adequate representation of soil behavior. The integration is achieved through the combination of sensitivity analysis and inverse analysis, thus favoring the improvement of numerical predictions and model adjustment. To ensure a satisfactory response at the element level, the recommendations of Tasso et al. (2024) [8] are followed, where should be compared: (i) the stress path in terms of deviatoric stress (q= σ’1-σ’3) and mean effective stress (p’=(σ’1+2σ’3)/3), (ii) the relationship between deviatoric stress and axial strain, and (iii) the evolution of the excess pore pressure respect to axial strain.
The application of this methodology requires the estimation of the covariance matrix and the error structure, as defined in Corral (2013) [6] Considering that the estimation of both variables involves the calculation of variance, based on the ASTM D4767 [7], for this article a general standard deviation of 1% is established for all recommended variables [8], including deviatoric stress, mean effective stress, and excess pore pressure
As an error structure, the maximum likelihood approach is used (��), detailed in Eq. 1, which is defined through covariance matrices (������) and residual vectors (����), the residual vector being the difference between the measurement (��) and the prediction (��)
The main advantage of using Eq. 1 lies in the possibility of combining different types of measurements with various units, allowing this methodology to be applied to both drained and undrained triaxial tests, enabling the joint adjustment of volumetric deformations and other variables involved with pressure. Finally, this methodology, through a genetic algorithm, to minimize Eq. 1 by varying the parameters identified as critical in the sensitivity analysis. Subsequently, to quantify the improvement obtained after the inverse analysis, the incremental improvement ratio is used in relation to the initial value of J described in Eq. 2
3. CASE STUDY
This study employs twelve tests of a low plasticity sandy silt gold tailing characterized by Reid (2023) [9]. This program includes a set of triaxial compression tests, with isotropic and anisotropic consolidation stages, different mean effective stress conditions; in addition, drained and undrained shearing. The specimens tested were performed by Air Dried (AD) and Moist Tamped (MT).
For the implementation of the methodology, three constitutive models are used: MC, as it is the most widely used constitutive model in the industry, and the constitutive models HSs and NS, which allow for a more accurate representation of the non-linear behavior of soils and are used in flow liquefaction analysis [10]
The data used includes between 600 and 1,200 measurement points per triaxial test, considering three fundamental variables: deviatoric stress, mean effective stress, and excess pore pressure [8]. From these data, the average error is obtained using Eq. 1. Figure 2 shows the error associated with the initial parameter adjustment (���������������� ��������������), where adjustments are made through traditional methods, for example, from theoretical adjustments recommended for each constitutive model. Likewise, the error after applying the methodology (�������������������� �������������� ) is also observed, showing a significant improvement. When quantifying the improvement with Eq. 2 an 84% error reduction is observed in the NS model, 68% in the HSs model, and 22% in the MC model, as a general average of all triaxial tests.

Figure 2. Error structure for initial adjustment and final adjustment after parameter optimization
4. CONCLUSIONS
In the application of the methodology, a consistent improvement in the adjustment of undrained triaxial test results is observed. The NS constitutive model demonstrates better performance in comparison between the evaluated constitutive models, while the HSs model also shows a notable ability to reproduce undrained triaxial tests. In contrast, the MC model does not achieve satisfactory adjustment, as it does not adequately represent the stress path and maintains an almost constant effective mean pressure until reaching the critical state line. This limitation forces the representation of strength loss to depend mainly on the dilatancy parameter.
Although the methodology facilitates the parameter calibration process in different constitutive models, the breadth of the search ranges used in the genetic algorithm makes it difficult to identify the best possible adjustment. Additionally, unusual or unrealistic parameter values are often used to optimize the adjustment, especially in the case of the MC model, where average friction angle values of 15° and dilatancy angles of -3.8° are obtained to represent strength loss behavior, highlighting the inherent limitations of this model in representing stress paths.
The validation of the methodology should be extended to a single set of triaxial tests and optimized using specimens with identical initial conditions. In this study, twelve independent tests are optimized, with each specimen having different initial conditions.
REFERENCES
[1] Corral Jofré, G. A. Re-analysis of deep excavation collapse using a generalized effective stress soil model. Thesis (Civ. E.) – Massachusetts Institute of Technology, Dept. of Civil and Environmental Engineering; 2010
[2] Bentley. PLAXIS Material Models Manual 2D; 2024
[3] Whittle, A. J., & Kavvadas, M. J. Formulation of MIT-E3 constitutive model for overconsolidated clays. Journal of Geotechnical Engineering; 1994. 120(1). p. 173–198.
[4] Rokonuzzaman, Md., & Sakai, T. Calibration of the parameters for a hardening-softening constitutive model using genetic algorithms. Computers and Geotechnics. 2010. 37(4), p. 573–579.
[5] Samarajiva, P., Macari, E. J., & Wathugala, W. Genetic Algorithms for the Calibration of Constitutive Models for Soils. International Journal of Geomechanics. 2005. 5(3), p. 206–217.
[6] Corral Jofré, G. A. Methodology for updating numerical predictions of excavation performance Thesis (Sc. D. in Geotechnical Engineering) – Massachusetts Institute of Technology, Department of Civil and Environmental Engineering; 2013.
[7] American Society for Testing and Materials. ASTM D4767-11: Standard Test Method for Consolidated Undrained Triaxial Compression Test for Cohesive Soils; 2020
[8] Tasso, N., Rivarola, F. L., De Santiago, O., Rivas, N., & Sottile, M. Calibrating constitutive models for flow liquefaction: a word of caution. In International Symposium of Tailing Deposits. Hotel Sheraton Soberano, Chihuahua, Mexico; 2024.
[9] Reid, D. Slope stress prediction benchmarking exercise: Triaxial calibration data; 2023
[10] Sottile, M. A comparison of advanced constitutive models to evaluate flow liquefaction of upstream raised tailings dams. Proceedings of the 17th Pan-American Conference on Soil Mechanics and Geotechnical Engineering (XVII PCSMGE), La Serena, Chile; 2024



EVALUACIÓN DEL EFECTO DEL CONTENIDO DE FINOS SOBRE LA RESISTENCIA AL CORTE NO DRENADO Y EL POTENCIAL DE LICUEFACCIÓN EN ARENAS DE RELAVE MEDIANTE ENSAYOS TRIAXIALES MONOTÓNICOS Y CÍCLICOS
J. Tapia (1) , O. Nuñez (2) , R. Gallardo(3) (1) ONE Geotecnia, juan.tapia@onegeotecnia.cl (2) ONE Geotecnia, omar.nunez@onegeotecnia.cl (3) Escuela de Ingeniería en Construcción y Transporte, Pontificia Universidad Católica de Valparaíso, ricardo.gallardo@pucv.cl
RESUMEN/ ABSTRACT
Los suelos arenosos sueltos, saturados y con bajo contenido de finos no plásticos o de baja plasticidad, son susceptibles al fenómeno de licuefacción. Este fenómeno se desencadena debido a la generación de excesos de presión de poros y en consecuencia se reduce drásticamente la resistencia al corte del suelo, provocando grandes deformaciones. Esta investigación evalúa el efecto del contenido de finos no plásticos (5%, 15% y 25%) sobre la susceptibilidad a la licuación, en arenas de relave provenientes de una faena minera del norte de Chile. Se elaboraron probetas cilíndricas de 5 cm de diámetro y una altura de 10 cm, compactadas mediante el método moist tamping, manteniendo constante la energía de compactación. Las muestras fueron ensayadas en un equipo triaxial manufacturado por GDS Instruments, bajo condiciones monotónicas (a 0,2 mm/min) y cíclicas (a 0.1 Hz) sin drenaje, a una presión de confinamiento de 100 kPa. Los resultados muestran que, bajo cargas monotónicas un menor contenido de finos presenta mayor resistencia al corte, con incrementos en el ángulo de fricción a gran deformación de hasta un 15%. Mientras que, bajo cargas cíclicas, se observó que un mayor contenido de finos incrementa la susceptibilidad a la licuefacción con un incremento de hasta un 73% en el número de ciclos requeridos para alcanzar igual CRR
Palabras-Clave: licuefacción, relaves, triaxial monotónico, cíclicos
1. INTRODUCCIÓN
Los diseños de tranques de relaves se rigen por el DS 248 [1] y la Guía Técnica de Operación y Control de Depósitos de Relaves [2], los cuales exigen verificar la compactación mediante ensayos normalizados. El comportamiento frente a la licuefacción varía según la composición y estructura del suelo, según lo descrito por Seed et al. (2003) [3]. Este estudio analiza la influencia del contenido de finos no plásticos (material <0,075 mm) en arenas de relaves mezcladas con un 5%, 15% y 25% de fracción fina. La licuefacción, inducida por cargas cíclicas como sismos o equipos industriales de compactación, depende de variables como saturación, densidad, energía de compactación y confinamiento. En relaves, el contenido de finos no cohesivos puede alterar significativamente la resistencia al corte y la estabilidad cíclica. Estudios previos indican que mayores contenidos de finos pueden aumentar la susceptibilidad a la licuefacción [4] [5] [6]
2.
METODOLOGÍA
Se evaluaron tres muestras de arenas de relaves mezcladas con un 5%, 15% y 25% de finos no plásticos y compactadas con igual energía [E=1,237 kgf*cm/cm3], mediante el método de subcompactación propuesto por Lade [7] Para la probeta con 15 % de finos se consideró un índice de vacíos inicial e = 0,90, en concordancia con investigaciones previas que estudian el mismo fenómeno manteniendo dicho valor [6]. Cabe señalar que este valor inicial de e solo aplica a la muestra con 15 % de finos; en las demás probetas, si bien se empleó la misma energía de compactación, no necesariamente se alcanzó el mismo índice de vacíos y son las bases de la investigación. Este método
contempla la redistribución de energía entre capas sucesivas y requiere ajustar la altura de cada una según el molde utilizado, totalizando seis capas de compactación
Las muestras fueron caracterizadas mediante ensayos granulométricos (obtención de Cc y Cu), determinación del peso específico (Gs) y límites de Atterberg (IP) para definir la clasificación del suelo (ver Tabla 1). Este material de estudio es comparable con las curvas granulométricas descritas por Pantaleón (2007) [8] y Compaña (2011) [9], con un rango de límites de Atterberg potencialmente licuables o punto de licuefacción [3] Por otro lado, se determinaron las densidades (ρ) secas mínima y máxima, el grado de densificación (DR %) y el ensayo Proctor modificado con el fin de determinar el grado de compactación. Finalmente, se realizaron ensayos triaxiales monotónicos y cíclicos no drenados para evaluar la trayectoria de esfuerzos efectivos (TEE) y detectar condiciones de licuefacción cuando este alcanza un 5% de deformación en doble amplitud axial, considerando una presión de confinamiento efectiva (σ3’) de 100 kPa.
Tabla 1. Clasificación de las Arenas de Relave estudiadas (USCS)
Parámetro 5% fino 15% fino 25% fino
Fino 5%
Suelo SP SP - SM SM
3. RESULTADOS
El método de compactación descrito por Lade, se aplicó con una energía de compactación constante de 1,237 kgf·cm/cm³ y un contenido de agua del 5% cercano a la humedad óptima del suelo (replicando condiciones típicas de pruebas en laboratorios). Los resultados muestran una tendencia lineal entre el contenido de finos y la densidad seca alcanzada: a mayor proporción de finos, mayor densidad, debido al relleno de vacíos por partículas finas (ver Fig. 1a). En contraste, la densidad relativa (DR%) no presentó una tendencia lineal clara respecto a las densidades secas entre las tres 3 probetas obtenidas (ver Fig. 1b). Sin embargo, hubo una reducción del índice de vacíos con el aumento del contenido de finos. Tanto DR% como el índice de vacíos son parámetros relevantes para evaluar la susceptibilidad a la licuefacción, aunque estudios han demostrado que una caracterización más precisa se logra mediante el uso del parámetro de estado (Been & Jefferies, 1985) [10].
(a) (b)


Fig. 1 (a) Densidad seca al variar el porcentaje de finos, manteniendo contante la energía de compactación E=1,237 kgf·cm/cm³. (b) Relación entre Densidad relativa, Densidad seca e Índice de Vacíos al variar el porcentaje de finos.
Los ensayos triaxiales monotónicos no drenados indican que, a mayor contenido de finos, la resistencia al corte disminuye bajo un confinamiento efectivo de 100 kPa (ver Fig. 2a) En las muestras con 15% de finos (e=0,87) mantienen una respuesta contractiva constante, mientras que las de 5% de finos (e=1,0) muestran una tendencia contractiva de manera sostenida la cual es asociada al reacomodo granular.
La trayectoria de esfuerzos efectivos en términos de p′ y q sigue la línea de estado último (LEU) cuya tendencia lineal fue descrita por Casagrande (1936), según lo citado por Oldecop (2007) [11]. La pendiente de la LEU evaluada a una deformación axial del 15% para muestras con 5%, 15% y 25% de finos, se estima ángulos de fricción interna residual de 30°,31° y 26°, respectivamente (ver Fig. 2b). (a) (b)


Fig. 2.(a) Deformación axial versus Resistencia al corte. (b) Trayectoria de Tensiones Efectivas (TTE) Máximas y Residuales en Compresión Axial en Términos de p’ vs q, para cada porcentaje de fino.
En la Fig. 3 se observa la variación del comportamiento de las arenas de relaves en función del número de ciclos alcanzados, considerando el criterio de falla de una deformación axial del 5 % en doble amplitud según la norma ASTM D5311 [12], al modificar el porcentaje de finos. Los resultados muestran que, a medida que aumenta el contenido de finos no plásticos, se incrementa la susceptibilidad a la licuefacción, registrándose diferencias de hasta un 73 % entre muestras bajo la misma razón cíclica aplicada.

Fig. 3 Numero de ciclos versus Razón Cíclica (CRR = ∆σ/2σc) de tres grupos de arenas de relaves al variar el porcentaje de finos y bajo una misma energía de compactación de 1.237 kgf·cm/cm³.
4. CONCLUSIONES
Los resultados obtenidos muestran que, bajo un confinamiento efectivo de 100 kPa, la resistencia al corte disminuye con el aumento de finos no plásticos, lo que incrementa la susceptibilidad a la licuefacción. Este comportamiento coincide con investigaciones más recientes: Monkul y Tütüncü (2024) [4] identifican que la influencia de los finos sobre la resistencia cíclica depende de la densidad relativa, mientras que Du et al. (2024) [5] evidencian una respuesta no lineal en el comportamiento dinámico de relaves con diferentes contenidos de finos, y lo que coincide con lo descrito por Verdugo (1985) [6] quien demostró que un mayor contenido de finos incrementa la susceptibilidad a la licuefacción al modificar la respuesta contractiva-dilatante de las arenas de relaves En conjunto, estos hallazgos indican que la evaluación del potencial de licuefacción debe basarse en la energía de compactación, más que en un valor fijo de densidad relativa o índice de vacíos, dado que el comportamiento también puede estar influenciado por la compacidad alcanzada durante el montaje de las probetas y no únicamente por el contenido de finos. Para el diseño de tranques de relaves, resulta esencial realizar ensayos cíclicos de laboratorio que consideren la energía de compactación, el método de conformación de las muestras y la influencia del contenido de finos frente a solicitaciones sísmicas. Se recomienda aplicar estos criterios en las etapas constructivas de los tranques, mediante un control periódico de la compactación y la limitación de la fracción fina liberada por los hidrociclones, con el fin de reducir la susceptibilidad a la licuefacción. Además, se sugiere investigar el efecto combinado de la compactación, saturación, confinamiento y velocidades de ondas de corte en distintos tipos de relaves, para fortalecer los criterios de diseño en zonas sísmicas y generar un registro comparativo de resultados.
5. AGRADECIMIENTO
Laboratorio profesional One Geotecnia quién aportó de forma no pecuniaria.
6. REFERENCIAS.
[1] Chile, Ministerio de Minería. (2007). Decreto Supremo N.º 248: Aprueba Reglamento para la aprobación de proyectos de diseño, construcción, operación y cierre de los depósitos de relaves. Diario Oficial de la República de Chile, 5 de febrero de 2007.
[2] Servicio Nacional de Geología y Minería [SERNAGEOMIN]. (2007). Guía técnica de operación y control de depósitos de relaves. SERNAGEOMIN
[3] Seed, H. B., Cetin, K. O., et al. (2003). "Liquefaction susceptibility criteria for soils with fines content.
[4] Monkul, M. M., & Tütüncü, Y. E. (2024). Revisiting the effect of relative density on cyclic liquefaction of clean and silty sands: the crossing effect. Bulletin of Earthquake Engineering, 22, 3817–3843
[5] Du, C., Jiang, X., Wang, L., Yi, F., & Niu, B. (2024). Experimental study on the dynamic characteristics of tailings under different consolidation conditions. Scientific Reports, 14, Article 73
[6] Verdugo, R. (1985). Dynamic behavior of tailings sands (Doctoral dissertation). University of California, Berkeley.
[7] Lade, P. V. (2016). Triaxial testing of soils. Wiley-Blackwell.
[8] Pantaleón, C. H. (2007). Mejoras de terrenos potencialmente licuables con inyección de compactación (Tesis doctoral). Universidad Politécnica de Madrid. https://oa.upm.es/379/1/CARLOS_HENRIQUEZ_PANTALEON.pdf.
[9] Campaña, J. (2011). Comportamiento de arenas de relave a altas presiones (Tesis de magíster en Ciencias de la Ingeniería, mención Ingeniería Geotécnica). Universidad de Chile.
[10] Been, K., & Jefferies, M. G. (1985). A state parameter for sands. Géotechnique, 35(2), 99–112. https://doi.org/10.1680/geot.1985.35.2.99.
[11] Oldecop, L. (2007, julio). Licuefacción de los relaves mineros. Riesgo ambiental. Ponencia presentada en el V Simposio Nacional de Seguridad Minera y Desarrollo Sostenible, Lima, Perú. https://doi.org/10.13140/RG.2.1.1795.2409
[12] ASTM International. (2013). Standard Test Method for Load Controlled Cyclic Triaxial Strength of Soil (ASTM D5311/D5311M-13). ASTM International



EFECTO DE LA PRECARGA EN LA RESISTENCIA A LA LICUEFACCIÓN EVALUADA EN ENSAYOS CÍCLICOS DE CORTE SIMPLE Y TRIAXIALES
R. Verdugo (1), V. Bravo (2), R. Castro (3) y G. Peters (4) (1) CMGI Ltda., rverdugo@cmgi.cl (2) CMGI Ltda., vbravo@cmgi.cl (3) CMGI Ltda., rcastro@cmgi.cl (4) CMGI Ltda., gpeters@cmgi.cl
RESUMEN/ ABSTRACT
La ocurrencia del fenómeno de licuefacción puede generar daños catastróficos y por tanto su análisis y mitigación son de gran importancia. En este contexto, se han desarrollado una gran cantidad de estudios y propuestas para aumentar la resistencia a la licuefacción. Una metodología que se tiende a descartar es el uso de precarga debido a que los materiales granulares sólo aumentan levemente su densidad por efectos de precarga. Sin embargo, los resultados de laboratorio muestran un efecto importante en la resistencia a la licuefacción por la aplicación de una precarga, confirmándose eso sí, que sólo se observa un leve aumento de densidad por la precarga. En este artículo se presenta evidencia experimental sobre este fenómeno a través de resultados de ensayos de corte simple cíclico y de triaxiales monótonos. Se analizan los resultados en términos del efecto de una precarga tanto en el contexto de falla de flujo como de movilidad cíclica.
Palabras-Clave: Licuefacción, Precarga, Corte Simple Cíclico
1. INTRODUCCIÓN
Es reconocido que el fenómeno de licuefacción se encuentra entre lasfallasde suelosmás catastróficas debido principalmente a los significativos niveles de desplazamientos que se pueden desarrollar, por lo que su estudio ha sido y es ampliamente abordado por la comunidad geotécnica. Es importante tener presente que la licuefacción se puede dar de dos maneras diferentes: falla de flujo o movilidad cíclica. En ambas se desarrolla un importante aumento de presión de poros, sin embargo, en la falla de flujo el suelo pierde súbitamente resistencia bajo solicitación estática o cíclica, mientras que en la movilidad cíclica se produce una pérdida de rigidez del suelo en la medida que ciclos de carga y descarga van solicitando la masa de suelos. La diferenciación de estos comportamientos es fundamental para un correcto análisis de estabilidad y también para desarrollar adecuadas soluciones de mitigación. Esto último es un tema importante, pues comúnmente las soluciones de mitigación a la potencial ocurrencia de licuefacción resultan de alto a significativamente alto costo, por lo que investigar alternativas de mitigación que puedan ser de mediano costo, como la aplicación de precarga, es relevante. En este contexto, se ha llevado a cabo una campaña de ensayos de laboratorio tendientes a investigar el efecto de la precarga en la resistencia a la licuefacción, tanto en términos de falla de flujo como de movilidad cíclica. Los ensayos realizados han sido de corte simple cíclico y triaxial.
En suelos potencialmente licuables, como arenas, finos de baja plasticidad y combinaciones de estos, el estado crítico de mecánica de suelos, o similarmente, el estado último o steady state, permiten establecer un marco de comportamiento mecánico incluyendo variaciones de densidad, nivel de tensiones y condiciones drenadas y no-drenadas de solicitación [1] En la Fig. 1a se presenta el esquema de un elemento de suelo en estado de densidad y tensiones por sobre la línea de estado crítico, es decir, fuertemente contractivo Inicialmente, el suelo es sometido a un esfuerzo de corte bajo condición drenada, alcanzándose un nivel de corte estático, est, el que es inferior que la resistencia
2. FALLA DE FLUJO
drenada, Sd, y por tanto es una situación estable para cargas drenadas. Si se produce una perturbación de características rápidas, que induce la respuesta no-drenada, como sismo o impacto, se gatillará la falla de flujo al modificar la resistencia al valor residual, Su. En definitiva, una falla de flujo sólo se puede generar si la condición inicial estática es tal que: est > Su
3. MOVILIDAD CÍCLICA
Cuando un suelo arenoso es sometido a cargas cíclicas bajo condición no-drenada, se observa que las presiones de poros van gradualmente aumentando y desarrollándose deformaciones que van aumentando a una mayor tasa cuando las presiones de poros han alcanzado un incremento del orden del 60%. En la Fig. 1b se presentan los primeros ensayos que mostraron este comportamiento [2], siendo interesante notar que una vez que se hubo alcanzado un 100% de presión de poros, se continuó con una solicitación monótona no-drenada, observándose que el suelo desarrolla dilatancia, disminuyendo la presión de poros y movilizando resistencia, es decir, la condición de solicitación cíclica sólo indujo importantes deformaciones, pero no redujo la resistencia al corte del suelo cuando éste es solicitado en una dirección. Este fenómeno, asociado solo con la ocurrencia de cargas cíclicas, Casagrande lo identificó con el nombre de movilidad cíclica.
ENSAYOTRIAXIALCÍCLICO
SacramentoRiversand;Dr=78%

CARGAMONÓTONA
CARGACÍCLICA
DESPLAZAMIENTOSAXIALES
PRESIÓNDEPOROS
DESPLAZAMIENTOAXIAL
PRESIÓNDEPOROS
Fig. 1. (a) Esquema ocurrencia falla de flujo. (b) Ensayo triaxial cíclico seguido de carga monótona [2].

4. PROGRAMA
DE ENSAYOS DE LABORATORIO
Se llevó a cabo un programa de ensayos, utilizando una arena de relaves con 17% de finosno plásticos. Para evaluar el efecto de una precarga en la resistencia cíclica, se ejecutaron ensayos de corte simple cíclicos en probetas con y sin precarga, es decir, en probetas pre-consolidadas y normalmente consolidadas. La solicitación cíclica fue aplicada bajo una condición de volumen constante, sobre probetas de arena seca. Esta metodología es equivalente a ensayar arenas saturadas bajo una condición no-drenada de solicitación [3]. En paralelo para evaluar el efecto de una precarga en la resistencia frente a una potencial falla de flujo se realizaron ensayos triaxiales monótonos, solicitados axialmente hasta grandes deformaciones (~20%), con y sin precarga, es decir con y sin aplicación de una sobre presión de cámara,que indujo una pre-consolidación isótropa. Lasprobetasfueron saturadas verificando un B>0.95, y cargadas axialmente en condición no-drenada.
5. EFECTO DE LA PRECARGA EN LA RESISTENCIA CÍCLICA
En la Fig. 2a se presentan los resultados en términos de curvas de resistencia cíclica para las probetas normalmente consolidadas a 100 kPa y las pre-consolidadas a una carga vertical de 300 kPa y luego descargadas a 100 kPa. Adicionalmente, en la Fig. 2b se presenta la diferencia en la respuesta cíclica entre probetas sin y con precarga, sometidas a similar nivel de solicitación cíclica. Resulta evidente el significativo efecto de la aplicación de una precarga en la respuesta cíclica de arenas, siendo posible
señalar que, en determinados proyectos podría resultar adecuado y económicamente atractivo la mejora de un terreno frente a la ocurrencia de licuefacción, mediante la aplicación de una precarga. Resultados similares han sido ampliamente difundidos en la literatura técnica, por ejemplo, ver [4].

Fig. 2. Resultados ensayos de corte simple cíclicos. Arena sin (OCR=1) y con pre-carga (OCR=3).
6. EFECTO DE LA PRECARGA EN LA RESISTENCIA RESIDUAL NO-DRENADA
La línea de estado crítico o línea de estado último (LEU) en los planosq-p’ ye-p´ se determinó mediante ensayos triaxiales monótonos, utilizando probetas con y sin precarga, obteniéndose los datos que se presentan en la Fig. 3. Se observa que la aplicación de precarga ejercida mediante una presión de confinamiento superior a la del ensayo de carga axial, no tiene mayor efecto en la LEU.
Precarga ConPrecarga
efectivo,
Fig. 3. Línea de estado último. Planos q-p’ y e-p’.
Estos resultados confirman otros datos experimentales sobre la invariabilidad de la línea de estado último, con respecto al historial de solicitaciones [5] Sin embargo, como se observa en la Fig. 4, las trayectorias de tensiones efectivas son significativamente diferentes, mostrando las probetas pre-consolidadas una zona inicial definitivamente de menor contractividad, desarrollándose, además, valores de resistencia no-drenada máxima claramente superiores a los de la muestra normalmente
consolidada. Es decir, en términos de resistencia residual no-drenada no existe efecto de la precarga, pero sí existe un notorio efecto de ésta en la resistencia máxima. Sólo en condiciones muy especiales es posible apoyarse en la resistencia no-drenada máxima, por lo que, en la práctica común, el uso de precarga no resulta efectivo para evitar una potencial falla de flujo.
Precarga ConPrecarga
Fig. 4. Trayectorias de tensiones para ensayos triaxiales con y sin precarga.
7. CONCLUSIONES
Los resultados de ensayos de corte simple cíclicos en probetas sin y con precarga muestras consistentemente un significativo aumento de la resistencia cíclica, por lo que la utilización de un mejoramiento de suelos vía la aplicación de sobrecarga permitiría aumentar la resistencia a la licuefacción en el contexto de movilidad cíclica. Por otra parte, los resultados obtenidos en ensayos triaxiales monótonos en probetas pre-consolidadas muestran nulo efecto de ésta en la resistencia residual no-drenada, llegándose a la misma línea de estado crítico o línea de estado último. No obstante, hay un claro efecto en la resistencia máxima no-drenada, la cual sólo puede ser utilizada en condiciones especiales de diseño. Por lo anterior, el uso de precarga no sería indicado como mejora frente a una potencial falla de flujo.
AGRADECIMENTOS
Se agradece a la empresa de ingeniería geotécnica CMGI Ltda., por las facilidades otorgadas para la realización de ensayos y presentación de resultados.
REFERENCIAS
.
[1] Verdugo, R. (1995). “Licuación de Suelos Arenosos Saturados” Invited Lecture, Proceedings X Panamerican Conference on Soil Mechanics and Foundation Engineering, México.
[2] Seed, H. B. and Lee, K. L. (1966): "Liquefaction of Saturated Sands During Cyclic Loading," Journal of Soil Mechanics and Foundations Division, ASCE, Vol. 92, No SM6, Nov.,pp. 105-134.
[3] ASTM International. (2019). ASTM D8296 19: Standard Test Method for Consolidated Undrained Cyclic Direct Simple Shear Test under Constant Volume with Load Control or Displacement Control.
[4] Nagase, H., Yasuda, S., Tsujino, S. (1996). “Liquefaction Strength Characteristic of Overconsolidated Sand Samples”. XI World Conference on Earthquake Engineering.
[5] Verdugo, R. (2009): “Seismic performance based-design of large earth and tailing dams,” 1st PBD Tokio, Japan. Kokusho, Tsukamoto & Yoshimine (eds). ISBN 978-0-415-55614-9



MODELO PROBABILÍSTICO DE DESENCADENAMIENTO DE LICUACIÓN BASADO EN EL PARÁMETRO DE ESTADO A PARTIR DE ENSAYOS DE LABORATORIO
P. Reyes (1), G. Montalva (2), D. Escribano (2), V. San Martín (2) (1) Universidad de Concepción, pereyes2019@udec.cl (2) Universidad de Concepción
RESUMEN
Los modelos simplificados de desencadenamiento de licuación se han construido clásicamente a partir de casos históricos en sitios afectados por terremotos, donde se registró (o no) manifestación superficial de licuación. Sin embargo, la fiabilidad de estas observaciones puede verse comprometida por diversos factores, introduciendo una incertidumbre significativa en los modelos resultantes. Para enfrentar este problema, se plantea un enfoque probabilístico de licuación a partir de datos de resistencia cíclica obtenidos directamente en laboratorio.
Se adopta una forma funcional discutida en la literatura para la resistencia cíclica CRR, cuyos coeficientes se estiman mediante un modelo jerárquico bayesiano implementado en Stan. A partir de un recopilatorio de ensayos triaxiales cíclicos y estáticos, compuesto por parámetros de la teoría de estado crítico (CSSM) y de resistencia a la licuación específicos para cada material, se obtienen el parámetro de estado �� y el esfuerzo cíclico normalizado a 15 ciclos, CSR15, capturando sus incertidumbres mediante simulaciones Monte Carlo. Con estos se modela la relación CSR15–CRR, incorporando tanto la variabilidad entre materiales como la incertidumbre en los datos.
Se presenta un protocolo de validación con perfiles CPT, basado en análisis de curvas ROC lo que permite comparar directamente con otras metodologías del estado de la práctica. Este manuscrito se enfoca en la formulación del modelo y el protocolo de validación. La evaluación cuantitativa detallada se presentará en una publicación científica en preparación. El esquema propuesto permite estimar el factor de seguridad (FS) y la probabilidad de licuación (PL) de un estrato mediante un análisis de incertidumbres en los componentes del parámetro de estado, modelos de resistencia y esfuerzo cíclico.
Palabras-Clave: Licuación – Parámetro de Estado – Modelo Jerárquico Bayesiano – Stan –Probabilidad de Licuación
1. INTRODUCCIÓN
Los modelos simplificados de desencadenamiento de licuación se han construido clásicamente a partir de casos históricos en sitios afectados por terremotos, donde se registró (o no) manifestación superficial de licuación. Sin embargo, la fiabilidad de estas observaciones puede verse comprometida por diversos factores, introduciendo una incertidumbre significativa en los modelos resultantes. Para enfrentar estas limitaciones, se propone un enfoque probabilístico construido exclusivamente a partir de ensayos de laboratorio, donde las condiciones de esfuerzo, densidad y drenaje son controladas. El esquema se fundamenta en la teoría del Estado Crítico y utiliza el parámetro de estado �� como predictor de la resistencia cíclica a la licuación (CRR).
Los objetivos de este artículo son: (i) presentar la formulación del modelo y su estructura jerárquica; (ii) describir el flujo de incertidumbres que conduce a la distribución del factor de seguridad FS y la probabilidad de licuación PL; y (iii) mostrar un protocolo de validación con perfiles CPT basado en análisis de curvas ROC. El foco es principalmente metodológico; los resultados numéricos y comparaciones se mostrarán en una publicación científica en preparación.
2. METODOLOGÍA
Se compiló una base de 15 arenas con ensayos triaxiales cíclicos (curvas ���� ������) y triaxiales estáticos (curvas ������ ′ ������) disponibles en literatura (Tabla 1)
Tabla 1. Materiales con ensayos triaxiales cíclicos y estáticos
ID Material 8 CLK Sand
1 Toyoura 9 TP Lisbon
2 TKO Sand 10 Ticino
3 TSW Sand 11 West Kowloon
4 Tung Chung 12 Fraser River Sand
5 Sacramento 13 Arena Biobio
6 Ottawa Sand 14 Hokksund Sand
7 Banding 15 Monterey 0/30
2.1. Estimación de �� y CSR15 de laboratorio
A partir de los ensayos triaxiales estáticos se estiman distribuciones de ��y��. Con los valores de ������ ′ ,������ de cada muestra, se propaga la incertidumbre en el parámetro de estado �� mediante simulaciones Monte Carlo según Ec. 1 ψ=��0 (�� ��∙����(��′))
Ec. 1
De las curvas triaxiales cíclicas, se deriva la distribución del esfuerzo cíclico normalizado a 15 ciclos, por material (Ec. 2)
)
2
2.2. Relación de CRR ��
Para relacionar los anteriores, se adopta la forma funcional de la Ec. 3 discutida en literatura [1], [2] para la resistencia cíclica.
Ec. 3
La función de estado límite utilizada en la inferencia se define en la Ec. 4 ��(��0,��1,��,������15)= ����(������15,������) ����(������15)
4
Dado además que se desea ajustar un modelo jerárquico para capturar la variabilidad entre materiales, los coeficientes se modelan como en las Ecs. 5a 5b:
Ec. 5a
Ec. 5b con ��0,�� y ��1,�� correspondientes a los coeficientes específicos por material, ����0 y ����1, correspondientes a los coeficientes globales, ����0 y ����1 , correspondientes a la dispersión entre materiales, y, ��0,�� y ��1,�� correspondientes a las desviaciones estandarizadas por material.
Ec.
2.3. Validación con ensayos CPT
Para evaluar el comportamiento del modelo ajustado según registros CPT, se utilizan bases de datos con registros completos en profundidad, y con selección de capas críticas. Para esto se utiliza el enfoque clásico (Ec. 6) de Been et al, 1986 [3], estimando los coeficientes ��y�� según Plewes [4], considerando su incertidumbre, al evaluar esta metodología con datos de celdas de calibración [5]:
Ec. 6
La demanda cíclica se estima con la Ec. 7 utilizando modelos que permiten cuantificar la incertidumbre en los coeficientes de reducción de esfuerzos ���� [6] y el factor de escalamiento por magnitud ������ [7],
Ec. 7
Posteriormente, se estima una distribución del factor de seguridad (Ec. 8a), considerando el factor ������ que busca relacionar el comportamiento de una muestra desde condiciones triaxiales a corte simple Además de la probabilidad de licuación (Ec. 8b), considerando los valores de FS menores a 1
Ec. 8a
Ec. 8b
El procedimiento se resume esquemáticamente en la Fig. 1, que muestra los parámetros de entrada, los módulos de CRR (enfoque bayesiano) y CSR, además de las salidas FS y PL:

Fig. 1. Esquema metodológico propuesto para estimar FS y PL mediante propagación Monte Carlo
3. RESULTADOS Y ANÁLISIS
Se aplicó el flujo descrito en Metodología a perfiles CPT con registros completos en profundidad y a una base con capas críticas identificadas, ambos con indicador de presencia/ausencia de manifestación superficial. Para cada perfil se calcularon las distribuciones de FS y el valor de PL por profundidad. La evaluación del desempeño se realizó mediante curvas ROC y el área bajo la curva (AUC).
3.1. Desempeño para perfil CPT completo
A nivel de perfil, las distribuciones de FS en profundidad permiten el cálculo de indicadores de severidad de licuación como LPI, LPIISH, LSN, LSNISH, que integran la estratigrafía del sitio. La evaluación a partir de curvas ROC contrastando la manifestación superficial con los índices señalados, muestra consistencia cualitativa y resulta comparable con otros modelos de la práctica. (Moss et al., 2006 [8]; Boulanger & Idriss, 2014 [9])
3.2. Desempeño para capa crítica en registro CPT
La evaluación a partir de curvas ROC contrastando la manifestación superficial con la mediana de la distribución de FS o directamente PL de las capas críticas, exhiben un comportamiento coherente en una base de registros mundiales, con resultados comparable a los modelos ya mencionados.
En síntesis, el modelo propuesto muestra indicios de mejor discriminación frente a metodologías existentes basadas en el parámetro de estado, en ambas evaluaciones Además, muestra indicios de ser equiparable a modelos clásicos basados en parámetros directamente de ensayos CPT o SPT, calibradas con estos mismos casos históricos de prueba
4. CONCLUSIONES
Se presentó un flujo probabilístico para estimar el factor de seguridad FS y la probabilidad de licuación PL por estrato, con propagación de incertidumbres en: la relación CRR– �� a partir de ensayos de laboratorio, el parámetro de estado a partir de registros CPT, y la demanda sísmica
El flujo desarrollado permite calibrar un modelo de licuación sin depender de registros históricos potencialmente mal etiquetados con presencia/ausencia de licuación en las bases de datos de calibración, al separar el desencadenamiento de licuación de su manifestación superficial.
La estructura jerárquica bayesiana comparte información entre materiales, disminuyendo la varianza de estimación y permitiendo evaluar materiales no presentes en la base inicial dentro de un mismo marco inferencial.
La implementación probabilística permite conocer contribuciones de incertidumbre de cada fuente, ejecutar análisis de sensibilidad y se alinea con enfoques por desempeño al cuantificar riesgos.
5. AGRADECIMENTOS
Agradecimientos a ANID BECAS/MAGISTER NACIONAL 22240930, Proyecto Anillo EASER ACT 240044, y al grupo de geotecnia de la Universidad de Concepción por su apoyo durante la investigación.
6. REFERENCIAS
[1] Jefferies M, Been K. Soil liquefaction: a critical state approach. CRC Press; 2015.
[2] San Martín V, Montalva G, Schnaid F. Stress-Based CPTu cyclic liquefaction triggering procedures: improvements from a state parameter approach. Journal of Geotechnical and Geoenvironmental Engineering 2025; 151(4): 04025009. https://ascelibrary.org/doi/epdf/10.1061/JGGEFK.GTENG12857
[3] Been K, Jefferies MG. Discussion: A state parameter for sands. Géotechnique 1986; 36(1).
[4] Plewes HD, Davies MP, Jefferies MG. CPT based screening procedure for evaluating liquefaction susceptibility. In: Proceedings of the 45th Canadian Geotechnical Conference; 1992; Toronto.
[5] Liu W, Ghafghazi M. Evaluation of state parameter interpretation methods using CPT calibration chamber data. Geotechnical Research 2024; 11(4): 226-242.
[6] Lasley SJ, Green RA, Rodriguez-Marek A. New stress reduction coefficient relationship for liquefaction triggering analyses. Journal of Geotechnical and Geoenvironmental Engineering 2016.
[7] Lasley SJ, Green RA, Rodriguez-Marek A. Number of equivalent stress cycles for liquefaction evaluations in active tectonic and stable continental regimes. Journal of Geotechnical and Geoenvironmental Engineering 2017; 143(4): 04016116.
[8] Moss RE, Seed RB, Kayen RE, Stewart JP, Der Kiureghian A, Cetin KO. CPT-based probabilistic and deterministic assessment of in situ seismic soil liquefaction potential. Journal of Geotechnical and Geoenvironmental Engineering 2006; 132(8): 1032-1051.
[9] Boulanger RW, Idriss IM. CPT and SPT based liquefaction triggering procedures. Report No. UCD/CGM-14. University of California; 2014.

MODELLING OF

SHALLOW FOUNDATIONS

ON ROCK MASS WITH JOINT NETWORKS
J.A. Arriagada Triana (1) (1) School of Civil Engineering, Universidad de Valparaíso, jorge.arriagada@uv.cl
RESUMEN/ ABSTRACT
The design of shallow foundations on fractured rock masses presents significant challenges to geotechnical engineers due to the complex behavior of jointed rock that cannot be adequately captured by conventional soilmechanicsapproaches. While previous research hasexplored empirical methods based on RQD and rock mass classification systems, these approaches often fail to account for the specific characteristics of discontinuity networks that profoundly influence bearing capacity and settlement behavior. This study extends our previous work by implementing a Joint Network in a numerical model of a double ring foundation in RS2 (Rocscience). A first approach is to characterize the pseudo homogeneous rock mass and compare it with an unfavorable to very unfavorable joint patterns to replicate natural fracture systems observed in Chilean project sites. The research specifically investigates how varying joint persistence, spacing, orientation, and network configurations affect stress distribution and deformation beneath shallow foundations. Our methodology involved developing parametric finite element models calibrated against field measurements and empirical methods, with particular focus on the transition from continuum to noncontinuum behavior as joint spacing decreases relative to foundation dimensions. Results demonstrate that joint network configuration significantly influences the bearing capacity compared to predictions from conventional empirical methods. Sensitivity analyses revealed that joint persistence and orientation relative to the loading direction are the most critical parameters affecting foundation performance. The approach developed in this study provides to practicing engineers with guidelines for assessing foundation stability on fractured and complex rock mass conditions and highlight the importance of incorporating representative joint networks in numerical models for a more robust framework in geotechnical design.
Keywords: joint networks, rock mechanics, shallow foundations
1. INTRODUCTION
Shallow foundations are essential for civil and mining projects. In areas with complex geology, like the Andean Cordillera in Chile, these foundations often rest on jointed rock masses. The presence of joints, faults, and bedding planes makes the rock behave in ways that classical soil and rock engineering can’t fully capture. The previous work [9] did a deep review of the state of the art for empirical, analytical and numerical approaches to design and model foundations on rock. Historically, the design has relied heavily on empirical methods [1, 3, 5, 6, 7, 8] derived from rock mass classification systems like RMR and Q-System (Bieniawski, 1989 and Barton et al., 1974). While invaluable for preliminary assessment, these systems simplify the rockmass into an equivalent isotropiccontinuum [2], averaging the properties of the intact rock and the discontinuities. This approach can be non-conservative, as it may fail to identify kinematically controlled failure mechanisms governed by the joint network. The ultimate bearing capacity and settlement of a shallow foundation on a jointed rock mass are often dictated by the sliding, rotation, or crushing of discrete rock blocks, a behavior that is fundamentally discontinuous. Thanks to advances in numerical modeling, we can now go beyond these simplifications. Using finite element methods (FEM) combined with joint network models [4], we can better represent the actual structure of the rock mass. This study uses RS2 (2025) software to analyze how two joint network parameters affect the behavior of a double ring shallow foundation The primary objective is to visualize and the gap between simplified empirical methods and a first level complex non-continuum analysis, providing practical insights for practicing geotechnical engineers.
2. METHODOLOGY OF WORK AND NUMERICAL MODEL SETUP
The methodological approach involved the development of a series of two-dimensional, plane-strain finite element models to simulate the loading of a doble ring shallow foundation. The rock mass gabbro has been characterized in the previous work [9] with the Hoek–Brown generalized criteria (Fig. 1). For the joint network analysis, a two set of unfavorable and very unfavorable discontinuity orientation with 67,5° and 90° has been applied to the numerical model considering the Barton-Bandis slip criterion. The parameters for both joint networks are JCS = 40 MPa, JRC 6 and residual friction angle ���� =26°, the spacing is considered at 1 m with infinite length, open at surface/excavation and material contact.

Fig. 1 Rock mass parameters for the numerical model in RS2.
3. INTERPRETATION OFTHE NUMERICAL MODELLING AND COMPARISON WITH ANALYTICAL APPROACH
The foundation bearing capacity was carried with the empirical and analytical approaches based on the RQD, RMR from the rock and with the Bowles, Canadian Foundation Manual, Serrano and Olalla and Wyllie methods. The results are shown in the Fig. 2. It can be considered the empirical approach from the drilling evaluation as a lower boundary while the analytical could be considered an upper bound. The results of both methods are within the range of the rock capacity.

Fig. 2. Bearing capacity with empirical and analytical methods.
The results of the numerical model are shown in (Fig. 3, Fig. 4, Fig. 5, Fig. 6) with the pseudo homogeneous rock mass and the joint network approach. The interpretation of the major principal stresses for the first numerical model are within the lower and upper bound results from the shown
previously. This is because this model can capture the interaction of the foundations with the rock and the foundation’s geometry layout. It can be seen in the three set of figures how the distribution of the major and minor principal and differential stress and total displacements are modified (increase) with the angle of the joint networks, pushing it towards the slope of the un favorable and very unfavorable arrangement. These values are higher than the pseudo homogenous simplified model.



Fig. 3 Distribution of major principal stresses for a pseudo homogeneous model and unfavorable/very unfavorable joint network.
Fig. 4 Distribution of minor principal stresses for a pseudo homogeneous model and unfavorable/very unfavorable joint network.
Fig. 5 Distribution of the differential stresses for a pseudo homogeneous model and unfavorable/very unfavorable joint network.

Fig. 6. Distribution of the total displacements for a pseudo homogeneous model and unfavorable/very unfavorable joint network.
4. CONCLUSIONS
This work has demonstrated the application of finite element modeling with explicit joint networks to analyze the behavior of shallow foundations on fractured rock. The results from the parametric analysis led to the following key conclusions:
The traditional characterization of a rock mass as an equivalent continuum is not enough for foundation design when the joint spacing is on the same order of magnitude as the foundation dimensions. In these cases, the non-continuum behavior dominates the rock mass behaviour. The bearing capacity of a shallow foundation on jointed rock is highly sensitive to the geometric properties of the discontinuity network. Joint persistence and orientation relative to the loading direction were found to be the most critical parameters controlling the failure mechanism and ultimate capacity. Empirical design methods based on rock mass classification systems can be non-conservative and should be used with caution, particularly where unfavorably oriented and persistent discontinuities are present. Based on these findings, it is recommended that the foundation of critical structures on fractured rock consider a deep geotechnical design process with a sensitivity analysis using numerical tools like RS2 and classical empirical and analytical calculations. This requires a complete site investigation program to classify the rock mass, in-situ tests and a systematically collect statistical data on the orientation, spacing, and persistence of discontinuity sets. This approach provides a more robust framework for assessing foundation stability and leads to safer, more reliable engineering design.
5. REFERENCES
[1] Goodman, R. E. Introduction to Rock Mechanics, 2nd ed.; Wiley: New York, 1989.
[2] Serrano, A., Olalla, C., González, J. Ultimate Bearing Capacity of Rock Masses Based on the Modified Hoek–Brown Criterion. International Journal of Rock Mechanics and Mining Sciences 2000, 37 (6), 1013–1018.
[3] Singh, B., Goel, R.K. Engineering Rock Mass Classification Tunnelling, Foundations and Landslides; 2011
[4] Wittke, W. Rock Mechanics Based on an Anisotropic Jointed Rock Model (AJRM); 2015.
[5] Zhao, J. ISRM Course on Rock Engineering Practice, 2020.
[6] Barton, N. ISRM Course 2021 Barton Course on Empirical Methods in Rock Mechanics and Rock Engineering; 2021.
[7] Barton, N. Rock quality, seismic velocity, attenuation and anisotropy; 2007.
[8] Hoek, E. Practical Rock Engineering; 2023.
[9] Arriagada, J.A. M.Eng. Thesis Analysis of a special foundation in fractured rock; 2025.



Compressibility Study of Cement-Stabilized Samples Under Immersed Curing Conditions
J. Villarroel-Ortega (1)(2) (1) Universidad de Magallanes, Jorge.villarroel@umag.cl (2) University of Coimbra, Jorge.ortega@uc.pt
RESUMEN/ ABSTRACT
This study investigates the compressibility behavior of cement-stabilized samples prepared under a modified curing procedure. Samples were treated with Portland cement (250 kg/m³), cured for 28 days in a water tank at controlled temperature (20±2ºC) instead of a standard humidity-controlled environment. This adjustment ensures that oedometer samples remain submerged, maintaining negligible pore pressure and equating effective stress to applied total stress. To allow direct comparison, unconfined compressive strength (UCS) samples were also prepared under the same immersed curing conditions, requiring new reference UCS tests. Oedometer and UCS tests incorporating a prior cyclic loading stage followed standardized parameters: 5,000 cycles at 0.5 Hz, with a stress level of 50% and an amplitude of ±10% of strength from reference tests. The following sections present compressibility results, beginning with new reference tests and followed by UCS and oedometer test outcomes, both with and without prior cyclic loading.
Palabras-Clave: compressibility, cyclic loading, reinforced soils
1. INTRODUCTION
It is known that in chemically stabilised soils there are cementitious bonds between the solid particles (induced by the binder), responsible for increasing the strength and stiffness of the solid matrix and reducing the compressibility [1], [2], [3], [4], [5], [6]. It was observed that under a static monotonic loading the recompressibility index (Cr) decreases compared to the natural soil since stabilisation induces a stiffer solid skeleton. However, the chemical stabilisation promotes an increase of the yield stress compared to the pre-consolidation stress of the natural soil; this increase is due to the higher strength of the solid skeleton resulting from the cementitious bonds. The impact of the fibre addition and the cyclic loading will be studied in the present article through oedometer tests and UCS tests subjected to a prior cyclic stage.
2. MATERIALS
This study was carried out using a Portuguese soft soil, from the “Baixo Mondego” area, located in the centre of Portugal near the Mondego River, which has been characterised by many researchers [5], [7], [8] The soil deposit was formed more than 20.000 years ago in a fluviomarine depositional environment and shows a thickness higher than 20 metres. On this work it was used a sample that was collected at a depth of 2.5 meters. Table 2 summarizes the main physical and chemical properties. It may be seen that the soil has a largely silty grain size distribution (71%) a low unit weight (14.6 kN/m3), a high void ratio (> 2.0), a high natural water content (80.6%) and a higher organic matter (OM) content (9.3%). Also, those results have a high influence in the mechanical behaviour, inducing a low undrained shear strength (cu ≈ 25 kPa) and a high compressibility [7]. This clayey-silt organic soil with high plasticity was classified as OH (ASTM D2487). The chemical composition of the soil shows a high silica content (SiO2=62%) and an alumina (Al2O3) content of 16%, which conferred pozzolanic properties to the soil.
The soft soil was stabilised with a Portuguese Portland cement binder (Portland cement Type I 42.5 R, produced by CIMPOR), which main chemical characteristics are presented in Table 3. Portland cement reacts immediately with water producing a high quantity of reaction products in the short terms; with time, the physico-chemical reactions (pozzolanic reactions) develop at a lower rate, helping the
production of more cementitious products responsible for the enhancement of the mechanical properties of the stabilised soil.
Table 1: Coimbra soft soil main characteristics (average values) [10], [7] Baixo Mondego Soil Portland Cement
3. LABORATORY TESTING AND PROCEDURES
The methodologies follow [5], [9] with minor adaptations. Soil was first mixed manually, then blended with cement (250 kg/m³) and water to raise its natural moisture from 80.67% to 115%. The mixture was homogenized in a mechanical mixer (142 rpm, 4 min) and placed in PVC molds (37 mm × 78 mm) in three layers, each lightly compacted and scarified. Samples were cured for 28 days at 20 ± 2 °C and 95 ± 5% humidity, then trimmed to 37 mm × 76 mm. Moisture content was determined from remaining material. UCS tests were performed at 1%/min strain rate (BS 1377-7, 1990). Cyclic loading was applied for 5,000 cycles at deviatoric stress levels of 10%, 25%, and 70% (0.5 qu-max), using sinusoidal excitation (0.5 Hz) and amplitudes of ±5, ±10, and ±20 (≈ 0.1 qu-max). Afterward, a monotonic UCS (UCSpc) test was carried out. To ensure reliability, tests were repeated at least twice.
Table 2: Results of the UCS reference tests performed on stabilized samples unreinforced and reinforced with fibres for different curing conditions (CI42.5 R; binder quantity = 250 kg/m3; curing time = 28 days; vertical stress = 0 kPa)
Table 3: Results of the UCS and UCSpc tests performed on stabilized samples unreinforced for different cyclic confining conditions
Table 4: Characterisation of the compressibility of unreinforced stabilised samples through classic oedometer and cyclic oedometer tests
1) average ofqu max of the corresponding UCS tests; 2) UCS test ID

Figure 1: Compression curves from classical oedometer and cyclic oedometer tests carried out on unreinforced stabilised samples
4. RESULTS AND DISCUSION
Figure 1 shows the evolution of void ratio with vertical effective stress in oedometer tests on stabilised samples, with and without prior cyclic loading. From the compression curves, compressibility parameters such as yield stress (σ′y), recompression (Cr), and compression indices (Cc) were obtained and a correlation with UCS strength was established.
The stabilised soil exhibits high yield stress and low compressibility up to σ′y, due to cementitious bonds that provide strength and stiffness. After yield stress, destructuring leads to high compressibility, though
only under stresses greater than qu-max, usually above service loads [5]. Cyclic tests showed similar compressibility indices but higher yield stress, attributed to reduced void ratio from cyclic deformation
Table also indicates a UCS–σ′y ratio between 0.51–0.70, enabling yield stress estimation from UCS tests.
5. AKNOWLEDGEMENT
The author appreciate supervisor guide the PhD Thesis Antonio Alberto Santos Correia, Paulo da Venda Oliveira, Luis Lemos, and also the support of CIMPOR and to BEKAERT for supplying the binder and the fibres, and to the institutions that financially supported the research: CIEPQPF (UIDB/00102/2020), ISISE (UIDB/04029/2020), and ARISE (LA/P/0112/2020), FCT (POCI-01-0145-FEDER-028382), ACIV, Universidad de Magallanes, Punta Arenas, Chile and CONICYT PAI/INDUSTRIA 79090016.
6.
REFERENCIAS
[1] Nagaraj, T.S.; Pandian, N.S. and Narasimha Raju, P.S.R. (1998). “Compressibility behaviour of soft cemented soils”. Géotechnique, Vol. 48, Issue 2, p. 281–287.
[2] Kamruzzaman, A.H.M. (2002). “Physico-chemical and engineering behavior of cement treated Singapore marine clay”. PhD Thesis, Department of Civil Engineering, National University of Singapore
[3] Horpibulsuk, S. (2001). “Analysis and assessment of engineering behavior of cement stabilized clays”. PhD Dissertation, Saga University, Saga, Japan.
[4] Horpibulsuk, S.; Bergado, D. and Lorenzo, G.A. (2004). “Compressibility of cement-admixed clays at high water content”. Géotechnique, Vol. 54, No. 2, p. 151–154.
[5] Correia, A. A. S. (2011). Aplicabilidade da Técnica de Deep Mixing aos Solos Moles do Baixo Mondego. Ph.D Thesis. Universidade de Coimbra, Coimbra.
[6] Costa, H.C.X. (2018), “Estudo da Compressibilidade e da Consolidação Primária de Solos Artificialmente Estabilizados”, Dissertação de Mestrado Integrado em Engenharia Civil, DECFCTUC.
[7] Coelho, P. (2000). ‘Caracterização geotécnica de solos moles: estudo do local experimental da Quinta do Foja’ (Baixo Mondego) (Master's thesis).
[8] Teles, J. M. (2014). Comportamento Mecânico do Solo Mole do Baixo Mondego Quimicamente Estabilizado Com Adição de Fibras Metálicas. MSc. Dissertation. Universidade de Coimbra.
[9] EuroSoilStab (2002). Development of design and construction methods to stabilise soft organic soils: Design guide soft soil stabilisation. Industrial and Materials Technologies Programme (Brite-EuRam III), European Commission, p. 94.
[10] Villarroel-Ortega. (2022), 'Characterisation of stress-strain behaviour of a chemically stabilised soft soil reinforced with fibres under monotonic and cyclic loadings', PhD Thesis, Univ. of Coimbra, Coimbra, Portugal.



EVALUACIÓN DEL RIESGO POR REMOCIONES EN MASA EN ESTRUCTURAS PATRIMONIALES DEL BARRIO LA CHIMBA, REGIÓN METROPOLITANA DE SANTIAGO, CHILE.
Y. Santiago (1) . I Tapia (2) , (1) Universidad Andrés Bello, yrene.santiago@unab.cl (2) Universidad Andrés Bello, k.tapiagmez@uandresbello.edu
RESUMEN
El barrio La Chimba ubicado en la comuna de Recoleta de la Región Metropolitana de Santiago de Chile constituye uno de los sectores históricos más antiguos de la ciudad, siendo reconocido por su alto valor patrimonial y cultural. Este barrio alberga 2962 edificaciones, de las cuales 765 son patrimoniales [1]. La mayoría de estas son de adobe o albañilería no reforzada, lo que refleja la identidad arquitectónica y social de la zona. Estratégicamente ubicado entre el río Mapocho y las laderas de los Cerros San Cristóbal y Blanco, el barrio combina una intensa actividad urbana con una exposición significativa a procesos de remoción en masa de tipo flujo, capaces de generar daños estructurales severos, pérdidas patrimoniales irreversibles y riesgos para la seguridad de sus habitantes. Esta investigación evalúa el riesgo de remociones en masa, mediante la estimación del Índice de Riesgo de Desastres (IRD) [2] que integra variables geofísicas, estructurales, funcionales y sociales. La evaluación incluyó 23 variables en edificaciones cercanas a ambos cerros, ampliándose a 29 al considerar la amenaza de cada cerro por separado La amenaza se calculó considerando la pendiente de la ladera, la cobertura vegetal, el tipo de suelo y el coeficiente de escorrentía. La vulnerabilidad y la resiliencia se determinaron a partir de catastros, inspecciones visuales y registros institucionales. Los resultados muestran una amenaza alta (>70%) en zonas adyacentes a las laderas, vulnerabilidad predominante moderada-alta en construcciones patrimoniales de materiales frágiles y resiliencia baja por ausencia de planes de emergencia, mantenimiento y accesibilidad reducida. Se elaboraron mapas individuales para amenaza, vulnerabilidad y resiliencia para identificar sectores más expuestos y con menor capacidad de respuesta. La integración espacial de las capas de amenaza, vulnerabilidad y resiliencia permitió generar mapas IRD que delimitan áreas críticas, constituyendo una herramienta clave para priorizar intervenciones y planificar la conservación patrimonial.
Palabras clave: IRD; remociones en masa; patrimonio urbano; La Chimba; gestión del riesgo.
1. INTRODUCCIÓN
Las remociones en masa corresponden al movimiento descendente de roca, suelo o detritos por efecto de la gravedad, pudiendo clasificarse en diversos tipos según la naturaleza del movimiento y de su material involucrado [3]. Entre estos movimientos se encuentran los flujos, caracterizados por el desplazamiento abrupto y rápido de suelo saturado que cede ante la gravedad y pierde su cohesión, fenómeno que, si ocurre en Barrio La Chimba puede generar daños estructurales severos, pérdida de valor patrimonial y riesgo para la población. Según el Servicio Nacional de Geología y minería (SERNAGEOMIN) [3], la remoción en masa es el movimiento de una masa de roca, detritos o suelo cuesta abajo por efecto de la gravedad Este proceso puede originarse por distintos factores condicionantes como pendientes pronunciadas, tipo de material o vegetación [4]
Para la gestión del riesgo, el término amenaza se define como la probabilidad de ocurrencia de un fenómeno de origen natural, biológico o antrópico que puede causar daños y trastornos a la población, infraestructura, entre otros. En este estudio, dicha probabilidad se cuantifica considerando variables físicas y ambientales, mientras que la vulnerabilidad describe la susceptibilidad a sufrir trastornos, daños o perdidas por el impacto de una determinada amenaza, en este caso, la remoción en masas
[5]. En cuanto a la resiliencia se define como la capacidad de un sistema y de sus componentes para anticipar, resistir, absorber, adaptar y recuperarse de los efectos de un evento de manera integral, oportuna y eficaz [5 ]
En este estudio se evalúa el Índice de Riesgo de Desastres (IRD) propuesto por el Servicio Nacional de Prevención y Respuesta ante Desastres (SENAPRED), el cual integra cuantitativamente la amenaza, vulnerabilidad y resiliencia para identificar y priorizar sectores críticos para la conservación y gestión del patrimonio [6].
2. METODOLOGÍA
La evaluación del riesgo considera tres componentes principales: amenaza, vulnerabilidad y resiliencia Siguiendo la metodología propuesta por SENAPRED, el IRD se estima mediante la (Ec. 1), donde cada componente se normaliza en una escala entre 0% y 100%.
Se evalúan 765 edificaciones patrimoniales del área de estudio (Fig. 1(a)). Para cada componente se aplica un sistema de valoración y cuantificación de variables, con rangos establecidos en el manual IRD de SENAPRED [6]. Para la amenaza se evalúan dos tipos de amenaza (i) amenaza por condicionantes de generación y (ii) amenaza por potenciales áreas de alcance, donde cada una por si sola es capaz de generar una remoción, para su cuantificación se consideran variables como pendiente de ladera, tipo de suelo, distancia a taludes entre otras, de acuerdo a los rangos establecidos se clasifica la variable en una escala de 0 a 1, donde valores más altos indican mayor propensión a remociones en masa. La vulnerabilidad se estima contemplando aspectos físicos, sociales y funcionales, cuantificando parámetros como el índice de pobreza o eluso de la edificación. Cada criterio es valorado mediante inspección visual, catastros municipales y registros históricos. En cuanto a la resiliencia, se valoran variables como la existencia de planes de emergencia, accesibilidad vial, medidas de prevención del riesgo tanto dentro como fuera de la edificación a evaluar entre otros.
Las ponderaciones de cada componente se definieron según el manual IRD de SENAPRED y se resumen en la Tabla 1.
Tabla 1 Ponderaciones principales de las variables de amenaza, vulnerabilidad y resiliencia
Componente (IRD) Factor Valor (%)
Amenaza I
Amenaza II
Vulnerabilidad
Resiliencia
Condicionante de generación 100
Área de alcance 100
Vulnerabilidad física 31,14
Vulnerabilidad funcional 33,29
Vulnerabilidad social 35,56
Capacidad física dentro y fuera del emplazamiento 25,78
Resiliencia funcional 63,77
Resiliencia social a nivel local 10,45
Es importante recordar que cada amenaza puede provocar una remoción por sí sola, por lo que se obtienen 3 IRD, Amenaza I para cada cerro y amenaza II. Los resultados obtenidos en la evaluación por componentes y del riesgo se presentan en los mapas desarrollados (Fig 1). La metodología completa, con detalle de variables y ponderaciones aplicadas, se encuentra descrita en el trabajo in extenso asociado a este artículo [7], prontamente disponible en el repositorio UNAB.
3. RESULTADOS Y ANÁLISIS
Para la componente de amenaza los resultados indican niveles altos (>70%) en sectores adyacentes a las laderas de Cerro San Cristóbal (CSC) y Cerro Blanco (CB). Para CSC se obtiene una distribución más amplia de zonas con amenaza alta (Fig. 1(b)), abarcando áreas residenciales y comerciales. En contraste, CB concentra sus valores altos en un área más reducida, pero con
mayor densidad de edificaciones patrimoniales (Fig. 1(c)). En cuanto a vulnerabilidad los valores se encontraron principalmente entre niveles moderados y altos, siendo más altos en construcciones de adobe y albañilería no reforzada. La antigüedad de estas estructuras, la fragilidad mecánica y la falta de intervenciones o mejora de refuerzos explican estos resultados [4]. Respecto a la resiliencia, los resultados muestran valores generalmente bajos (<40%), estos se ven estrechamente relacionados a la ausencia de planes de emergencia, deficiencias en accesibilidad vial y carencia de recursos locales para recuperación o restauración luego de que la estructura sea sometida al desastre.




(c)
(d)
Figura 1. Mapas de las componentes y del riesgo sobre el patrimonio del Barrio La Chimba. (a) Amenaza CSC por condicionantes de generación; (b) Amenaza CB por condicionantes de generación; (c) IRD más desfavorable.
La integración de estas componentes principales arroja valores de IRD que oscilan entre 4% y 30% para CSC. Las zonas de mayor riesgo, es decir, IRD cercano a 1 (100%), se ubican en las manzanas situadas al pie de las laderas como era de esperarse, especialmente en el límite oriente del área de estudio (Fig. 1(d)). Se elaboraron mapas individuales para amenaza, vulnerabilidad y resiliencia, además del mapa IRD final para identificar sectores más expuestos, priorizar intervenciones preventivas yde conservación y comparar nivelesde amenaza entre CSC y CB, donde para la amenaza relacionada a CSC se expande un nivel alto, mientras que para CB se presentan valores de amenaza más bajos pero concentrados en más zonas patrimoniales.
4. CONCLUSIONES
La presente investigación contempló la evaluación del riesgo de remociones en masa IRD sobre las estructuras patrimoniales del barrio La Chimba mediante la metodología del Índice de Riesgo de Desastres (IRD) propuesto por el SENAPRED la cual integra las componentes de amenaza, vulnerabilidad y resistencia con el fin de identificar las áreas críticas y aportar una base técnica para la conservación patrimonial yla gestión del riesgo. Los resultadosmuestran que la amenaza por remoción en masa es mayor en áreas cercanas a Cerro San Cristóbal, como por ejemplo la zona de Bellavista, donde hay un alto valor patrimonial y económico de la zona, mientras que en Cerro Blanco la amenaza se concentra en un área más reducida pero con mayor concentración de edificaciones patrimoniales como por ejemplo la Iglesia La Viñita o la Iglesia Recoleta Franciscana, lo que eleva su criticidad. En cuanto a la segunda componente, la vulnerabilidad se concentra principalmente en edificaciones de adobe y albañilería no reforzada por ejemplo la Iglesia Recoleta Domínica, materiales cuya fragilidad incrementa la susceptibilidad ante eventos de desastre natural potencialmente destructivos.
La resiliencia por su parte, resulta baja en la mayoría de edificaciones, incluso, en componentes como la resiliencia social llega a ser 0, esto se encuentra asociado principalmente a la ausencia de planes de emergencia y limitaciones en la accesibilidad de vehículos de ayuda hasta la estructura en cuestión. Los mapas de resumen constituyen herramientas clave para priorizar intervenciones y orientar la planificación tanto en conservación del patrimonio histórico como densificación urbana. Es importante priorizar aquellas zonas que elevan la economía local como La Vega y el Barrio Bellavista, a pesar de que el estudio entrega resultados demostrativos y contundentes se recomienda complementar esta evaluación con estudios geotécnicos actualizados y detallados que permitan refinar el análisis y fortalecer medidas de prevención y mitigación
5. REFERENCIAS
[1] Chile, “Ley N.º 17.288 sobre Monumentos Nacionales,” Biblioteca del Congreso Nacional de Chile, 1970. [En línea]. Disponible en: https://www.bcn.cl/leychile/navegar?idNorma=2860
[2] SENAPRED, Metodología de cálculo del índice de riesgo de desastre (IRD), 1ª ed., Servicio Nacional de Prevención y Respuesta ante Desastres, 2022. [En línea]. Disponible en: https://www.senapred.cl
[3] SERNAGEOMIN, “REMOCIONES EN MASA – sernageomin.cl”, 2024. [Online].
[4] Servicio Nacional de Geología y Minería (SERNAGEOMIN), “Remociones en masa – Región de Los Ríos”, díptico de divulgación, marzo 2024.
[5] Sistema Nacional de Inversiones (SNI), “Metodología complementaria para la evaluación de riesgo de desastres en proyectos de infraestructura pública,” marzo 2022.
[6] A. Y. Hauser, “Evaluación preliminar del riesgo de desprendimientos y proposición de medidas de control en un sector del Parque de Santiago, Región Metropolitana,” Servicio Nacional de Geología y Minería (SERNAGEOMIN), 1999
[7] K. I. Tapia Gómez, Evaluación del riesgo por remoción en masas en estructuras patrimoniales del barrio La Chimba, Región Metropolitana de Santiago, Chile, Tesis de pregrado, Universidad Andrés Bello, Facultad de Ingeniería, Escuela de Obras Civiles, Santiago, Chile, 2025.


DESEMPEÑO SÍSMICO EN PILOTES GEOTÉRMICOS
J. Calderón (1) , G. Montalva (2). E. Sáez (3) (1) Universidad de Concepción, javieracalderon@udec.cl (2) Universidad de Concepción, gmontalva@udec.cl (3) Pontificia Universidad Católica de Chile, esaez@ing.puc.cl
RESUMEN/ ABSTRACT

Ante la necesidad de desarrollar fuentes de energía sustentables, los pilotes geotérmicos se presentan como una alternativa que combina funciones de intercambio térmico y cimentación. Durante su operación, las variaciones de temperatura generan deformaciones y esfuerzos en el suelo circundante, afectando la interacción suelo-pilote, cuyo comportamiento bajo cargas sísmicas aún no es claro. Este estudio evalúa la respuesta sísmica de pilotes geotérmicos, analizando los efectos de ciclos térmicos sobre el suelo y su comportamiento mecánico y dinámico. Mediante PLAXIS 2D y el método de elementos finitos, se modeló un pilote geotérmico sometido a variaciones de temperatura, carga estática y carga sísmica. Los ciclos térmicos producen redistribuciones de esfuerzos y cambios en la resistencia de fuste en régimen estático. La respuesta sísmica se examinó a través de los asentamientos generados, fuertemente influenciados por el contenido de energía del movimiento incidente, caracterizado mediante la Duración Significativa (D05-95) y la Velocidad Absoluta Acumulada (CAV). Se observó una alta correlación entre el CAV y los asentamientos sísmicos, con diferencias del 3–5% entre ciclos térmicos para un mismo registro. Los resultados entregan antecedentes relevantes sobre la aplicabilidad de pilotes geotérmicos en zonas sísmicamente activas.
Palabras-Clave: Pilotes Geotérmicos - Desempeño Sísmico - Modelación Numérica
1. INTRODUCCIÓN
Las variaciones de temperatura en los pilotes, generadas por intercambiadores con bombas de calor, producen cambios volumétricos en los materiales que inducen tensiones adicionales en la interacción suelo-estructura. Este fenómeno plantea un desafío geotécnico, y numerosos estudios se han enfocado en evaluar cómo la expansión térmica del suelo afecta la capacidad de carga y el desempeño de los pilotes activados térmicamente.
Aunque la respuesta estática de estos pilotes ha sido ampliamente estudiada, aún existe incertidumbre respecto de su comportamiento bajo cargas sísmicas. Dado que pueden estar expuestos a eventos de alta intensidad, es necesario analizar cómo los ciclos térmicos influyen en su respuesta dinámica y compararla con la de pilotes convencionales.
Para abordar esta brecha, en el presente trabajo se modeló numéricamente un pilote geotérmico en operación y se evaluó cómo las cargas cíclicas sísmicas afectan su respuesta estructural, especialmente en términos de asentamientos.
2. ESTADO DEL ARTE PARA EL ANÁLISIS DE PILOTES GEOTÉRMICOS
Las estructuras termoactivas y el suelo circundante experimentan expansiones y contracciones debido al intercambio de calor, generando esfuerzos térmicos que pueden modificar el comportamiento del elemento estructural [1]. La interacción térmica entre pilote y suelo se define por el equilibrio entre desplazamientos y tensiones internas, de modo que una mayor restricción al movimiento implica tensiones más elevadas [2]. En pilotes geotérmicos, la magnitud y distribución de los esfuerzos
termomecánicos dependen del tipo de suelo y de las restricciones a la deformación, siendo habitual una restricción en la cabeza del pilote por la carga de la supraestructura. Se han estudiado tanto pilotes cargados verticalmente [4] como horizontalmente [5]
Los ciclos térmicos generan asentamientos que se acumulan con el tiempo. Según [3], su magnitud depende de la carga en la cabeza del pilote, de las condiciones del suelo y, principalmente, de los cambios de temperatura. El desplazamiento, la deformación y la tensión residual generados al inicio del intercambio térmico son irreversibles [6].
En particular, [7] En particular, [7] demostraron que los cambios volumétricos por efecto térmico no comprometen la integridad del pilote; sin embargo, estas deformaciones y tensiones adicionales deben considerarse, ya que pueden afectar su desempeño en estado límite de servicio.
3. METODOLOGÍA
En este estudio se modeló la respuesta dinámica de un pilote geotérmico aislado, utilizando las condiciones geotécnicas de un sitio en Concepción y un conjunto de registros sísmicos corticales y de subducción. Para cada combinación sismo–ciclo de operación se registraron los asentamientos en la punta del pilote. La Fig. 1 muestra las condiciones del sitio y los registros sísmicos considerados.


Fig. 1. a) Condiciones geotécnicas del sitio de estudio; b) Registros sísmicos considerados.
La respuesta del pilote se analizó mediante un modelo de elementos finitos en Plaxis 2D, realizando simulaciones no lineales con los modelos constitutivos PM4Sand y Hardening Soil Small Strain (HS Small).
La operación del pilote se representó mediante una fase drenada Fully-Coupled Flow Deformation, en la cual su temperatura varió en el tiempo según los ciclos térmicos mostrados en la Fig 2. Esto permitió capturar la transferencia de calor y los cambios volumétricos en el pilote y el suelo. Las condiciones finales de estos ciclos (temperatura, deformaciones y esfuerzos) se emplearon como condiciones iniciales para las simulaciones sísmicas. Para fines de este estudio, no se consideró la variación de las propiedades mecánicas del suelo ni del pilote con la temperatura.

4. RESULTADOS
En la Fig. 3 se muestran, a modo de ejemplo, los asentamientos durante la fase dinámica para registros de subducción, donde la profundidad de la cabeza del pilote al inicio del sismo varía entre ciclos térmicos debido a su dilatación longitudinal.

Fig. 3. Asentamiento durante fase sísmica para registros de subducción
La Fig. 4 muestra la variación de los asentamientos sísmicos del pilote según los distintos ciclos de operación, en función de la duración significativa y el CAV de los registros. El mayor grado de correlación se obtuvo con el CAV, ya que este integra tanto la duración como la intensidad del registro en una sola medida.


Fig. 4 Correlación entre asentamiento sísmico e intensidad sísmica según los distintos ciclos de operación.
Fig. 2. Ciclos térmicos analizados
Al comparar los asentamientos para la misma intensidad sísmica, se observan diferencias de hasta 3% entre ciclos de operación, siendo mayores durante los ciclos de calentamiento, como indica la Ec 1
��[����]={2.435∙������[��/��]+11.753, ��(0); ������������������ 2 =0.983
5. CONCLUSIONES
2.447∙������[��/��]+13.978, ��(+); ������������������ 2 =0.984 2449∙������[��/��]+10610, ��( ); ������������������ 2 =0985
Ec. 1
Los pilotes geotérmicos han sido ampliamente estudiados en cuanto a su comportamiento mecánico y los efectos de los cambios de temperatura; sin embargo, su respuesta sísmica bajo condiciones térmicas ha recibido poca atención. A partir de este estudio se concluye que:
• La dilatación y contracción del pilote generan diferencias en el asentamiento inicial, siendo el asentamiento en el ciclo de calentamiento un 7,3% mayor que en el de enfriamiento.
• Para un mismo registro sísmico, los asentamientos varían entre un 3% y un 5% según el ciclo térmico considerado.
• Los asentamientos dependen fuertemente de la intensidad sísmica (PGA), con variaciones de hasta un 41%.
• También se correlacionan con el contenido de energía del sismo (Duración Significativa y CAV).
• El CAV mostró la mejor correlación con los asentamientos, con R² = 0,98.
Estas conclusiones aplican a las condiciones específicas del estudio: un pilote aislado en arena, sometido a una carga vertical estática de 2000 kN/m.
6. AGRADECIMENTOS
Agradecimientos al proyecto EASER número ACT240044, financiado por la Agencia Nacional de Innovación y Desarrollo (ANID), y al Grupo de Geotecnia de la Universidad de Concepción.
REFERENCIAS
[1] Baffa, M. A., Mustaffa, Z., Ahmad, N. R., El-Atroush, M. E., Aliyu Yaro, N. S., & Ben Seghier, M. E. A. (2025). Performance of geothermal energy piles in buildings: A bibliometric analysis and systematic review. Energy and Buildings, 331, 115357.
[2] Bourne-Webb, P. J., & Bodas Freitas, T. M. (2020). Thermally-activated piles and pile groups under monotonic and cyclic thermal loading–A review. Renewable Energy, 147, 2572–2581.
[3] Kramer, S. L., & Mitchell, R. A. (2006). Ground motion intensity measures for liquefaction hazard evaluation. Earthquake Spectra, 22(2), 413–438.
[4] Pasten, C., & Santamarina, J. C. (2014). Thermally Induced Long-Term Displacement of Thermoactive Piles. Journal of Geotechnical and Geoenvironmental Engineering, 140(5).
[5] Peng, C., Ding, X., Wang, C., Kong, G., & Wu, D. (2023). Thermo-mechanical characteristics of laterally loaded energy piles under multiple heating-cooling cycles in mountain area. Journal of Energy Storage, 63.
[6] Perić, D., Cossel, A. E., & Sarna, S. A. (2020). Analytical Solutions for Thermomechanical Soil Structure Interaction in End-Bearing Energy Piles. Journal of Geotechnical and Geoenvironmental Engineering, 146(7).
[7] Rotta Loria, A. F., Bocco, M., Garbellini, C., Muttoni, A., & Laloui, L. (2020). The role of thermal loads in the performance-based design of energy piles. Geomechanics for Energy and the Environment, 21.



GENERACIÓN DE REGISTROS SINTÉTICOS DE ACELERACIÓN A PARTIR DE MODELOS EMPÍRICOS DE AMPLITUD Y FASE DE FOURIER.
M Osses (1*) , G Montalva(1) , J. Ojeda (1) , F. Leyton (2) (1) Universidad de Concepción, Facultad de Ingeniería, Departamento de Ingeniería Civil (2) Universidad de Chile, Facultad de Ciencias Físicas y Matemáticas, Centro Sismológico Nacional *email autor principal : maximiloss2016@udec.cl
INTRODUCCIÓN: La subducción en Chile exige métodos que representen eventos de interfase e intraplaca, un amplio rango de magnitudes/distancias y efectos de sitio. Por la convergencia de las placas de Nazca y Sudamericana, el país ha sufrido sismos severos (p. ej., Chillán, Maule, Illapel, Tarapacá). En este contexto, varios GMM globales muestran aplicabilidad limitada (e.g., Bayless and Abrahamson,2019, Bora et al., 2015) y hay pocos estudios de registros sintéticos, abriendo espacio a enfoques empíricos simples y prácticos. Se proponen modelos de amplitud y fase de Fourier específicos para Chile; existen antecedentes para amplitud, pero la fase está poco modelada. Los modelos incorporan escalamientos por fuente, trayectoria y sitio bajo hipótesis de fuente puntual, dando lugar a estimadores empíricos EAS y GDT ajustados con registros de M 4–7. Capturan el comportamiento esencial entre 0.1–40 Hz y permiten generar registros sintéticos para interfase e intraplaca. Estos resultados son adecuados para análisis de ingeniería que requieren coherencia temporal y espectral y podrían extenderse a eventos de mayor magnitud.
DESARROLLO: La metodología comienza con la construcción de una base de datos a partir del Centro Sismológico Nacional (Barrientos and CSN team, 2018), dicha base es complementada con metadatos de eventos obtenidos desde Global CMT (Ekström et al., 2012). Los acelerogramas se procesan conforme a (Bastías and Montalva, 2016). Sobre esta base se estiman el Espectro de Amplitud Efectiva (EAS) y el Group Delay Time (GDT), aplicando suavizado de Konno & Ohmachi. Se formulan modelos empíricos con escalamiento por magnitud, trayectoria, sitio y estilo de falla, y sus coeficientes se infieren mediante regresión bayesiana en Stan (Carpenter et al., 2017) En la siguiente ecuación se muestra el modelo para EAS.
Por otra parte, el modelo para GDT corresponde a la siguiente ecuación.
Para sintetizar registros, se compone el espectro complejo combinando el módulo provisto por EAS con la fase recuperada a partir del GDT (integración del retardo de grupo) y se aplica la IFFT para obtener a(t). Finalmente, se realiza un análisis de residuales para evaluar sesgos y dispersión. Los resultados no muestran tendencias significativas con variables explicativas como la magnitud, la distancia de ruptura VS30, f0 o A0, lo que indica un buen ajuste del modelo y la ausencia de sesgos sistemáticos en el rango de frecuencias analizado.
CONCLUSIONES
En este trabajo desarrollamos modelos empíricos de EAS y GDT para registros de aceleración en zona de subducción, a partir de una base de datos curada y estimación mediante inferencia bayesiana. Ambos modelos reproducen de forma consistente la energía espectral y la cinemática de fase; en particular, EAS entrega valores confiables entre 0.1–40 Hz. El análisis de residuales confirma la robustez del ajuste y la ausencia de tendencias sistemáticas, además de facilitar la identificación y acotación de sesgos. En conjunto, los resultados respaldan la validez del esquema propuesto para aplicaciones de ingeniería y estudios de peligrosidad sísmica.
AGRADECIMENTOS: Los autores agradecen el financiamiento del proyecto EASER (Evolution Assesment of SEismic Risk) ACT240044 de la Agencia Nacional de Investigación y Desarrollo [ANID/Anillos/ACT240044], y M O-V agradece el respaldo para desarrollar sus estudios de posgrado mediante la beca financiada por ANID [ANID-Subdirección de Capital Humano/Magíster Nacional/2024-22241143].
REFERENCIAS:
[1] Barrientos, S. and CSN team (2018). “The seismic network of chile.” Seismological Research Letters, 89(2A), 467–474..
[2] Bastías, N. and Montalva, G. A. (2016). “Chile strong ground motion flatfile.” Earthquake Spectra, 32
[3] Bayless, J. and Abrahamson, N. A. (2019). “Summary of the ba18 ground-motion model for fourier amplitude spectra for crustal earthquakes in california.” Bulletin of the Seismological Society of America, 109.
[4] Bora, S. S., Scherbaum, F., Kuehn, N., Stafford, P., and Edwards, B. (2015). “Development of a response spectral ground-motion prediction equation (gmpe) for seismic-hazard analysis from empirical fourier spectral and duration models.” Bulletin of the Seismological Society of America, 105(4), 2192–2218
[5] Carpenter, B., Gelman, A., Hoffman, M. D., Lee, D., Goodrich, B., Betancourt, M., Brubaker, M., Guo, J., Li, P., and Riddell, A. (2017). “Stan: A probabilistic programming language.” Journal of statistical software, 76, 1–32.
[6] Ekström, G., Nettles, M., and Dziewoński, A. (2012). “The global cmt project 2004–2010: Centroid-moment tensors for 13,017 earthquakes.” Physics of the Earth and Planetary Interiors, 200, 1–9



EVALUACIÓN DE RIESGOS EN PRESAS DE RELAVES CHILENAS BASADO EN FMEA
M. Jaramillo (1) , C. Pastén (2) , J. Campaña (3) (1) Arcadis, Chile, miguel.jaramillo.t@arcadis.com (2) Universidad de Chile, cpasten@uchile.cl (1) Arcadis, Chile, jose.campana@arcadis.com
RESUMEN/ ABSTRACT
La evaluación de riesgos en depósitos de relaves es una labor crítica en la industria minera, especialmente frente a las exigencias del Estándar Global de Gestión de Relaves para la Industria Minera (GISTM). Una de las metodologías más ampliamente utilizadas para este fin es el Análisis de Modos de Falla y sus Efectos (FMEA); sin embargo, su implementación en el contexto nacional ha evidenciado importantes desafíos, entre ellos, la falta de experiencia en este tipo de análisis, falta de criterios comunes, aspectos culturales, falta de claridad en el objetivo del análisis y ausencia de registros de eventos, lo que se traduce finalmente en una desalineación entre las expectativas del cliente y consultoras. Este trabajo propone mejoras metodológicas del FMEA, adaptado a la práctica nacional, con el objetivo de facilitar su aplicación por parte de empresas consultoras y profesionales del rubro. Las propuestas son validadas mediante reuniones de trabajo con expertos del área, desarrolladas en colaboración con una consultora. En estas reuniones de trabajo, se revisan las soluciones y alternativas de la propuesta, permitiendo contrastar versiones y resultados, y analizar la efectividad del método. Como resultado, se establece un esquema más estructurado y replicable que sirve de base para futuros estudios y como estándar en la evaluación de riesgos en presas de relave, promoviendo una práctica más eficiente y segura en la industria minera.
Palabras-Clave: FMEA, Evaluación de riesgos, Depósito de relaves
1. INTRODUCCIÓN
La evaluación de riesgos en depósitos de relaves es una tarea crítica dentro de la ingeniería geotécnica aplicada a la minería. En los últimos años, la metodología FMEA (por sus siglas en inglés, Failure Modes and Effects Analysis) ha ganado terreno como herramienta para identificar modos de falla creíbles y analizar sus consecuencias. No obstante, en la práctica nacional, su implementación ha evidenciado una amplia variabilidad entre consultoras e incluso entre distintos servicios, lo que ha llevado a inconsistencias en cuanto a estándares, profundidad del análisis y expectativas del cliente.
Este trabajo tiene como objetivo principal identificar deficiencias recurrentes en la aplicación de la metodología FMEA en proyectos de análisis de riesgo en presas de relaves en Chile, y proponer soluciones metodológicas que puedan fortalecer su desarrollo. La propuesta nace desde el marco de una tesis de magíster, desarrollada en colaboración con profesionales de Arcadis, basada en la experiencia acumulada de diversos servicios prestados por esta empresa en el país
2. LISTADO DE ACRÓNIMOS
Algunos de los acrónimos utilizados en este trabajo se describen a continuación:
▪ EoR (Engineer of Record): Ingeniero de registro, responsable de certificar que la instalación de relaves ha sido diseñada, construida y operada conforme a los criterios de diseño, estándares técnicos, normativas y lineamientos vigentes.
▪ FMEA (Failure Modes and Effects Analysis): Metodología sistemática para identificar modos de falla potenciales, evaluar sus causas y consecuencias, y priorizar acciones para reducir riesgo.
▪ RTFE (Responsible Tailings Facility Engineer): Ingeniero responsable de la integridad, requisitos de alcance del trabajo y de índole presupuestarios de la instalación de relaves.
▪ PFM (Potential Failure Mode): Modo de falla potencial, técnicamente factible, que describe una secuencia de eventos que podría conducir a la falla de la instalación de relaves.
▪ QRA / SQRA (Quantitative Risk Assessment / Semi-Quantitative Risk Assessment): Evaluación cuantitativa o semicuantitativa del riesgo. SQRA puede considerar juicio experto
3. DESARROLLO METODOLÓGICO
Se realizó un análisis crítico de la metodología FMEA actualmente aplicada en proyectos reales de evaluación de riesgo en depósitos de relaves chilenos, considerando su estructura, secuencia y enfoque en talleres técnicos. Este análisis fue complementado con una revisión bibliográfica de buenas prácticas internacionales y con reuniones de trabajo con profesionales expertos en FMEA y análisis de riesgos geotécnicos, quienes participaron en procesos reales previos de identificación y análisis de modos de falla.
4. RESULTADOS Y ANÁLISIS
A partir de este proceso, se identificaron diez problemas clave distribuidos a lo largo de las principales etapas del proceso FMEA: planificación, preparación del taller y desarrollo del mismo. Estos problemas se agruparon según su ubicación dentro del flujo general de un estudio FMEA, como se muestra en la Fig. 1. Por ejemplo, se detectó que no existe una forma unificada de definir el marco de trabajo ni el tipo de profundidad que debe tener el análisis. Asimismo, se evidenció que no todos los participantes del taller son expertos en los temas tratados, generando confusión en roles y calidad técnica de la discusión. Además, se identificaron deficiencias en la definición de los PFM, tales como la falta de una secuencia de eventos que lleven al fallo o la consideración de mecanismos que no corresponden a fallas físicas.
La Tabla 1 sintetiza los problemas detectados y las soluciones metodológicas propuestas para cada uno. Estas soluciones incluyen desde la estructuración de criterios mínimos para la conformación del equipo FMEA, hasta la elaboración de pautas claras para descartar modos de falla no creíbles y mejorar la documentación generada durante el taller. La validación de estos problemas y soluciones se realizó mediante reuniones internas de trabajo, donde se discutió su aplicabilidad, factibilidad y relevancia práctica para servicios reales.

identificados
Fig. 1 Estructura del proceso FMEA con 10 problemas
Sección
1 Planificación y criterios de inicio
2 Planificación y criterios de inicio
Tabla 1. Problemas identificados y soluciones propuestas
Conformación del Equipo FMEA
3 Planificación y criterios de inicio
4 Planificación y criterios de inicio
5 Preparación del taller
Definición de alcance y objetivos del servicio
No se definen requisitos de experiencia, cantidad de profesionales y disciplinas necesarias para conformar el Equipo FMEA
1. Definir requisitos para Equipo FMEA en el alcance del estudio particular
2. Establecer cualidades/ experiencia mínima de los profesionales a modo general
1. Abordar cada FMEA según el nivel de profundidad de análisis requerido o solicitado (screening, periódico, SQRA, QRA):
- Nivel 1 Screening y Nivel 2 Periódico: Etapa actual y etapa siguiente del depósito
6 Preparación del taller
Definición del marco de trabajo
Definición del marco de trabajo
Descripción del depósito
Identificación de potenciales modos de falla
Falta de estandarización en la definición del horizonte de tiempo del estudio (etapas a estudiar)
- Nivel 3 SQRA y Nivel 4 QRA: Etapa actual del depósito
2. La etapa de cierre del depósito debe ser estudiada en FMEA periódicamente y por separado de los FMEA de etapa actual/ siguiente
3. Recomendación de buena práctica es siempre estudiar etapa actual de operación y la siguiente, además de la identificación temprana de singularidades que la ingeniería debe hacerse cargo
7 Taller FMEA Dinámica del taller: Presentación de participantes
Iteración de proceso FMEA al avanzar en Análisis de Riesgo, debido a incompleta identificación del modo de falla
No todo el personal que asiste al taller es especialista en ciertos temas a tratar
No existe una forma única de definir una instalación de relaves, y muchas veces no se realiza este paso
En lluvia de ideas para identificar nuevos PFM, no es requisito establecer la secuencia de eventos que llevan a la falla, por lo que a veces se terminan considerando como PFM algunos que no lo son
No se menciona explícitamente que EoR e IRIR tienen la última palabra ante discusiones técnicas
1. Definir claramente proceso metodológico de Análisis de Riesgo, incluido proceso FMEA. Estableciendo como máximo una iteración una vez finalizada la etapa de FMEA, pero con menos personas (con Equipo FMEA, EoR e IRIR)
1. Establecer distintas sesiones de taller según la o las especialidades necesarias. Por ejemplo: operacional con personal de operación, temas químicos con personal geoquímico, entre otros
1. Establecer lineamientos básicos para una definición sistemática más estándar de un depósito de relaves
2. Dejar a criterio del Equipo FMEA
1. Definir claramente el proceso de falla durante la identificación del PFM, incluyendo una mención o listado breve de los eventos de progresión necesarios para que este alcance la falla, idealmente incorporándolos en la descripción de su ficha.
1. Mencionar en el taller, en Definiciones Generales, o en Definición de Roles Claves
2. Mostrarlo escrito en la presentación, sin mencionarlo
3. Establecer, por escrito en la presentación, qué roles deben estar presentes (IRIR, EoR, Encargado de la operación del tranque, u otros)
8 Taller FMEA
9 Taller FMEA
10 Taller FMEA
Resumen del depósito y puntos clave en el contexto evaluado
Se asume que todos los participantes tienen bastos conocimientos del depósito, al menos en su área de expertise, pero esto no siempre es así
Definiciones generales
Identificación y valoración del PFM
Puede no haber acuerdo unánime para algunas definiciones de conceptos
No hay un esquema definido para el descarte de PFM derivados de FMEA anteriores
1. Se facilita (y elabora en caso de no existir) un documento con antecedentes del depósito con anterioridad a los participantes, puede ser un informe de bases de diseño
2. Se explica brevemente la definición y situación actual del depósito, para luego profundizar los problemas específicos que han presentado ciertos sub-sistemas, ayudando a introducir ciertos modos de falla a tratar en el mismo taller
1. Las definiciones adoptadas por el Equipo FMEA de conceptos clave deben haber sido inicialmente enviadas como propuesta a IRIR y EoR, y posteriormente modificadas de acuerdo al feedback recibido por estos. Definiciones deben estar alineadas con límite de batería del estudio.
1. Descarte por juicio experto durante el taller
2. Se establece que el descarte debe quedar registrado y justificado en el informe
El análisis permitió reconocer que muchas de las ineficiencias en los talleres FMEA no se deben al desconocimiento técnico, sino a la falta de lineamientos metodológicos estandarizados. Las soluciones
propuestas buscan abordar este vacío, orientando la ejecución del proceso FMEA hacia una mayor rigurosidad, eficiencia y claridad tanto para consultoras como para compañías mineras.
Al momento de esta presentación, algunas de las recomendaciones propuestas están siendo incorporadas en servicios de análisis de riesgo en depósitos de relaves reales en Chile, lo cual permitirá validar su impacto en términos de eficiencia, calidad técnica del taller y claridad de la documentación producida.
5. CONCLUSIONES
El análisis realizado permitió identificar diez problemas recurrentes en la aplicación de la metodología FMEA para la evaluación de riesgos en presas de relaves en Chile, abarcando todas las etapas de su desarrollo. Las soluciones metodológicas propuestas, validadas con expertos, constituyen una base para estandarizar criterios, optimizar el uso del tiempo en los talleres y mejorar la rigurosidad técnica del análisis. Si bien su implementación práctica aún está en curso, se espera que este marco metodológico contribuya a fortalecer la gestión de riesgos y la seguridad operacional en la industria minera.
6. AGRADECIMENTOS
Se agradece la colaboración y participación en reuniones de trabajo de Constanza Bugueño, Meili Carvajal, David Hernández y Claudio Larenas, profesionales de Arcadis que contribuyeron con sus experiencias al desarrollo de este trabajo.
REFERENCIAS
[1] FERC Risk-Informed Decision Making Guidelines. Federal Energy Regulatory Commission; 2016.
[2] Hartford D, Baecher G. Risk and Uncertainty in Dam Safety. CEA Technologies Dam Safety Interest Group; 2004.
[3] ICMM. Global Industry Standard on Tailings Management. International Council on Mining and Metals; 2021.
[4] ICMM. Good Practice Guide: Tailings Management. International Council on Mining and Metals; 2021
[5] ICMM. Conformance Protocols. International Council on Mining and Metals; 2020
[6] ICOLD. Risk Assessment in Dam Safety Management, A reconnaissance of benefits, methods and current applications. Bulletin 130. International Commission on Large Dams; 2005
[7] IEC. IEC 60812:2018 – Failure Modes and Effects Analysis (FMEA and FMECA). Geneva: International Electrotechnical Commission; 2018
[8] INN. NCh-ISO 31010:2013 – Gestión del Riesgo – Técnicas de Evaluación del Riesgo. Santiago: Instituto Nacional de Normalización; 2013
[9] ISO. ISO Guide 73:2013 – Risk management – Vocabulary. Geneva: International Organization for Standardization; 2013.
[10] ISSMGE. Administrative report: TC32 - Engineering practice of risk assessment and management. International Society for Soil Mechanics and Geotechnical Engineering; 2004
[11] Morrison K. (Ed.). Tailings Management Handbook: A Life-Cycle Approach. Society for Mining, Metallurgy & Exploration (SME); 2022.
[12] USBR. Risk Management: Best Practices and Risk Methodology. United States Bureau of Reclamation; 2023.
[13] Zhang L, Peng M, Chang D, Xu Y Dam Failure Mechanisms and Risk Assessment. John Wiley & Sons; 2016



LOW SUCTION WATER RETENTION CURVE UNCERTAINTY IN LEACHING SPENT ORE AND ITS IMPACT ON UNSATURATED FLOW MODELING
J. Masihy, S. Meneses and C. Morales SRK Consulting Chile SpA, jmasihy@srk.cl
ABSTRACT
The Water Retention Curve (WRC) is a key tool used tocharacterize the behavior of partially saturated media, as it describes the variation of moisture content or saturation as a function of suction. In general, in Chile, the most used instrument to measure the suction curve in commercial laboratories are pressure plate devices, which use the axis translation technique. Granular soils (such as sands and gravels), common in mining, tend to present air entry values (ψAEV) lower than 20 kPa. This value presents a challenge for the regular pressure plate device as one of its fundamental assumptions, the continuous gas phase, is often not met for these low suctions (high degree of saturation). In spent ore materials, commonly classified as clayey gravels soils (GC), this problem is quite common and complicates the determination of the ψAEV which is typically in the mentioned range. To assess the impact of not having data at low suctions, three curves obtained from parameterizations of different authors are analyzed, based on points measured with pressure plate devices (suctions greater than 10 kPa). These are implemented in two-dimensional finite element models to simulate a generic leaching heap irrigation case and review the impact of moisture within the mentioned suction range, based on the variation in the results.
Water Retention Curve - Air Entry Value - Unsaturated Flow Modeling
1. INTRODUCTION
Comprehension of the hydraulic behavior of unsaturated soils is fundamental for the efficient design and operation of heap leaching in mining. The water retention curve (WRC), which relates the moisture content or degree of saturation (Sr) to the suction (ψ) of the material, has proven to be a very useful tool for understanding this behavior [1]. In Chile, its measurement in commercial laboratories is usually performed using pressure plates with the axis translation technique, since this method is relatively quick and inexpensive [2].
However, its application to leaching spent ore, commonly classified as poorly graded gravels and clayey gravels (GP-GC), presents several challenges in practice [3] One of these challenges is grain size, since these instruments are generally designed for sandy or fine soils and the coarse material must be cut, which results in a loss of its representativity. By the other hand, because the material is so coarse, it tends to have air entry values (ψAEV) lower than a 10 kPa [3] where the pressure plate instrument presents difficulties measuring the difference between air (ua) and water (uw) pressure, because the liquid phase becomes discontinuous.
This limitation introduces uncertainties in the determination of the WRC within the mentioned suction range, especially in obtaining ψAEV, which is highly relevant for estimating the onset of desaturation (e.g., the decline in permeability) and capillary rise. In this context, the present study analyzes how uncertainties in the determination of ψAEV, arising from different fitting approaches to obtain a continuous WRC, can affect parameters such as unsaturated permeability, flow, and moisture retention in a generic heap leach, modeled using the finite element method and applied to experimental data.
2. DATA FITTING AND UNSATURATED FLOW MODELING
Numerical Modeling Approach
Unsaturated flow modeling was performed using the SVFlux software [4] based on the finite element method. The analysis was conducted in two dimensions under transient flow conditions, simulating solution irrigation in a generic 10-meter-high heap leach with a basal geomembrane as an impermeable barrier and 4-inch diameter drainage pipes at the base of the heap, spaced every 3 meters.
Hydraulic Characteristics of Leaching Spent Ore
The model properties are derived from pressure plate test results on leaching spent ore samples at a density of 16 kN/m³, which corresponds to approximately 40% relative density, for ψ values greater than 10 kPa. This material corresponds to a poorly graded gravel containing clay and sand (GP-GC), with a maximum particle size of 1 inch (around 30% of the sample was trimmed), with fines content (FC) and sand content (SC) of 11.4% and 37.1%, respectively. The recorded moisture contents are used to estimate the WRC according to the fitting proposed by Gardner in 1956 [5], the Van Genuchten model from 1980 [6], following Mualem’s 1976 simplification [7], and the more recent model proposed by Fredlund and Xing in 1994 [8]. Their estimation is presented in Fig. 1 (a) in terms of Sr, assuming a constant void ratio (e) as a simplification of the analysis, in order to correctly determine ψAEV. This assumption represents a limitation of the present study, since the material’s shrinkage curve is not available.
On the other hand, based on the WRC of the leaching spent ore and considering a saturated permeability (Ksat) of 5·10 ⁵ m/s [3], obtained from flexible wall permeability tests, the unsaturated vertical permeability (Kvunsat) is predicted, as presented in Fig. 1 (b), for the Gardner [9], van Genuchten [6], and Fredlund and Xing [10] models. In addition, to account for the effect of anisotropy in K due to the layered deposition of the material [11], the horizontal permeability (KH) was considered to be five times greater than the vertical permeability (KV).

(a)

(b)
Fig. 1. (a) Water retention curve and (b) vertical unsaturated permeability for leaching spent ore.
Boundary
and Initial Conditions in Heap Leaching Modeling
Fig. 2 shows the mesh of the modeled profile, which is composed of 1,523 triangular elements (with a maximum size of one meter) and 3,226 nodes. The solution is irrigated onto the heap at a rate of 8 L/hr/m² for 90 consecutive days, leaving a 5-meter-long area without irrigation from the edge of the slope. To simplify the mesh and avoid computational issues, the impermeable base of the heap includes a 50-cm wide drainage surface spaced every 15 meters, equivalent to the assumed drainage system.
On the other hand, the leaching spent ore material has an initial Sr of 60% prior to irrigation. Additionally, to quantify the effect of anisotropy on K, a profile is modeled whose length is at least five times greater than its height (see Fig. 2).

Fig. 2 Initial and boundary conditions for numerical modeling of a heap leach pad
3. RESULTS
The values of Sr after 90 days of irrigation are presented in Fig. 3 for the three models studied. In all cases, the development of a water table above the impermeable geomembrane and between the drainage pipes is observed, with higher concentrations beneath the irrigated area. In particular, Fig. 3 (c) shows an Sr above the water table that is at least 10% lower than in the other cases. Additionally, vertical flow predominates over horizontal flow in the deposited material, despite KH being greater than Kv.
Table 1 summarizes the results of the analysis. Fredlund and Xing [8] yield the highest ψAEV and, consequently, the greatest capillary rise of the solution. In contrast, the ψAEV values obtained using Gardner [5] and van Genuchten [6] are similar and less than 1 kPa.
The water table are less than 10% of the heap height in all cases. Gardner [5] and van Genuchten [6] yield the highest water table, approximately 10% greater than those obtained with Fredlund and Xing [8]. This difference may be related to the fact that the Fredlund and Xing [10] fitting defines Ksat over a wider range of ψ, as shown in Fig. 1 (b).

Fig. 3. Sr results at day 90 for the (a) Gardner, (b) van Genuchten and (c) Fredlund and Xing fits.
Table 1. Summary of results from unsaturated flow modeling
4. SUMMARY AND CONCLUSIONS
Three fitting approaches for estimating the WRC of leaching spent ore were applied to moisture data obtained from pressure plate tests. Given the uncertainty in the WRC for ψ values below 10 kPa, its impact was evaluated based on the variation in the results of unsaturated flow models using the different fittings. However, there is a limitation due to the pressure plate test, in which around 30% of the sample was trimmed
The modeling results suggest that, since the water table elevation varies by about 10% between Fredlund and Xing [8] and the other authors (with nearly identical water table), the uncertainty in the WRC at ψ values below 10 kPa does not significantly affect the hydraulic response of leaching spent ore. Therefore, performing additional moisture retention tests in these ψ ranges using other measurement instruments is not especially significant for this type of material.
Fig 3 (c) shows an Sr above the water table that is at least 10% lower than in the other cases, which is attributed to the fact that the Fredlund and Xing [10] fitting defines Ksat over a wider range of ψ (higher ψAEV). On the other hand, Kv prevails over KH in all cases, despite being five times lower, due to inertia in the flow direction (vertical irrigation) and the effect of gravity included in the models.
The WRC in terms of Sr, from which ψAEV is derived, is calculated assuming a constant void ratio (e). This assumption represents a limitation of the analysis, as it is not applicable to loose soils. For such cases, it is recommended to perform tests that allow the shrinkage curve of the material to be obtained. Additionally, the results for the water table should be interpreted with caution, as the models do not incorporate the reduction of Ksat due to material densification at depth.
REFERENCES
[1] Fredlund DG, Rahardjo H. Soil Mechanics for Unsaturated Soils. New York: John Wiley & Sons; 1993.
[2] Fredlund DG, Rahardjo H. Unsaturated Soil Mechanics in Engineering Practice Hoboken: John Wiley & Sons; 2012.
[3] Morales C, Pérez C, Orellana T, Loncón D. Partially saturated behavior of spent ore materials Proceedings of the 4th Panamerican Conference of Unsaturated Soils Ottawa; 2025.
[4] SVFlux Software. Version 7. Saskatoon (SK), Canada: SoilVision Systems Ltd.; 2009.
[5] Gardner WR. Representation of soil water retention and conductivity functions by analytical expressions. Soil Science. 1956;81(2):81–92.
[6] van Genuchten MT. A closed-form equation for predicting the hydraulic conductivity of unsaturated soils. Soil Science Society of America Journal. 1980;44(5):892–898.
[7] Mualem Y. A new model for predicting the hydraulic conductivity of unsaturated porous media. Water Resources Research. 1976;12(3):513–522.
[8] Fredlund DG, Xing A. Equations for the soil-water characteristic curve. Canadian Geotechnical Journal. 1994;31(4):521–532.
[9] Gardner WR. Some steady-state solutions of the unsaturated moisture flow equation with application to evaporation from a water table. Soil Science. 1958;85(4):228–232.
[10] Fredlund DG, Xing A, Huang S. Predicting the permeability function for unsaturated soils using the soil-water characteristic curve. Canadian Geotechnical Journal. 1994;31(4):533–546.
[11] Blight GE. Geotechnical Engineering for Mine Waste Storage Facilities. Boca Raton: CRC Press; 2010.



FUNDACIONES PARA EL NUEVO PUENTE FERROVIARIO SOBRE EL RÍO BÍO BÍO
Alfredo Castro (1) , Esteban Moreno (1) , Matías Cuitiño (2), Felipe A. Villalobos (1), Víctor Aguilar (3) , Óscar Link (3) (1) Universidad Católica de la Santísima Concepción, acastroq@magister.ucsc.cl , emoreno@ing.ucsc.cl , avillalobos@ucsc.cl (2) Sacyr, cuitino.matias@gmail.com (3) Universidad de Concepción, victoraguilar@udec.cl , olink@udec.cl
RESUMEN
Se presenta el proyecto de fundaciones profundas para el nuevo puente ferroviario que atraviesa el río Bío Bío y que une Concepción con San Pedro de la Paz. La obra es única en su tipo debido a los casi 2 km de longitud. Además, viene a reemplazar el puente ferroviario histórico de 135 años construido sobre pilotes de hierro fundido. El terreno de fundación contempla roca granítica meteorizada en el estribo de Concepción y suelos saturados de arena gruesa a fina, entre suelta y densa, en la mayor parte del proyecto; también existen intercalaciones de limo. Dada la gran longitud del puente se diseñan diferentes estructuras de cepas y distribución de pilotes. Los pilotes de hormigón armado preexcavados fueron construidos mediante perforación rotatoria utilizando encamisado en los primeros metros, además de lodos poliméricos recuperables. Los pilotes tienen diámetros entre 1.8 y 2 m y longitudes de 20 a 50 m de profundidad. La construcción de las fundaciones se realizó por medio de terraplenes sobre el río y paralelos al puente histórico. Los cambios en la dirección del flujo y las crecidas del río fueron un desafío constante. Finalmente, se presenta la realización de pruebas de integridad con medición de velocidad de ondas propagadas en el pilote. También se presenta la ejecución de ensayos de carga dinámica.
Palabras-Clave: pilotes de hormigón armado preexcavados, ensayo de carga dinámica, fundaciones
1. INTRODUCCIÓN
En este trabajo se presentan los aspectos de diseño geotécnico del proyecto nuevo puente Ferroviario Bío Bío. Esta obra es impulsada por la Empresa de Ferrocarriles del Estado (EFE) con un plazo de 3 años y 6 meses de ejecución, iniciando el trabajo a fines del 2022. La función principal del puente será el transporte de pasajeros y de carga con velocidades de diseño de hasta 100 km/h. El puente se proyecta a través del cerro Chepe al llegar a Concepción por medio de un nuevo túnel de 335 m en roca. El antiguo puente ferroviario de acero (Fig.1.) con más de 130 años de antigüedad, ha excedido la vida útil esperada, considerando, además, el desgaste de material, socavación por crecidas hidrológicas y los más grandes terremotos de Chile (Talca 1928, Mw = 7.7; Chillán 1939, 7.8; Concepción 1960, 8.1; Valdivia 1960, 9.5; Maule 2010, 8.8)

Fig. 1. Antiguo puente ferroviario Bío Bío en marzo del año 2010
El nuevo puente está diseñado y construido con viga cajón de acero y prelosas de hormigón armado, con mayor capacidad decarga y doble vía, ofreciendo una solución estructural que garantiza estabilidad frente a solicitaciones hidrodinámicas, sísmicas y geotécnicas En este contexto, se optó por un sistema
de fundación profunda mediante pilotes preexcavados in situ de hormigón armado, dada la alta variabilidad estratigráfica del lecho del río, presencia de depósitos fluviales con intercalaciones de limo y arenas sueltas y densas, y basamento rocoso en los estribos. Esta elección responde tanto a criterios de capacidad de soporte como la necesidad de controlar la socavación en periodos de crecidas y la licuefacción del terreno, asegurando la integridad estructural y continuidad del servicio ferroviario
2. METODOLOGÍA
Se analizan los antecedentes del proyecto relacionados con el diseño y construcción de las fundaciones, incluyendo antecedentes geológicos y geotécnicos, hidráulicos, procesos constructivos, pruebas de integridad y ensayos de carga dinámica en pilotes de fundación.
2.1. Estructura base e infraestructura
La estructura base del nuevo puente ferroviario se conforma de dos estribos en sus extremos norte y sur apoyados en pilotes de 2 m de diámetro, junto a muros de contención y 61 cepas en el trazado entre los estribos. Las cepas se conforman en grupos de 4, 6 y 8 pilotes, con profundidades entre 20 a 53 m
2.2. Caracterización geotécnica del terreno y ensayos asociados
Se realizaron sondajes con recuperación de testigos HQ3 (95 mm). En el año 2018 se ejecutaron 41 perforaciones con una profundidad promedio de 50 m distribuidas en las cepas, aplicando ensayos SPT, CPTu y ensayos de laboratorio (granulometría, clasificación USCS, resistencia a la compresión, triaxiales y edométricos). Además, se efectuaron ensayos presiométricos y ensayos de resistencia en roca. En paralelo, se desarrollaron 20 perfiles geofísicos REMI (120 m c/u) y dos ensayos downhole. Posteriormente, se realizó una segunda campaña (2020-2021), ejecutando 8 ensayos SPT entre 50 y 57 m
Se realizó una clasificación litológica del terreno presente en la zona de construcción del puente, basada en estudios geológicos y geotécnicos in situ y ensayos geofísicos. Se identificaron dos unidades principales (Fig. 2.): la Unidad 1 (color rojo), correspondiente a granito de grano grueso PZg; y Unidad 2 (color amarillo y naranjo): depósitos cuaternarios fluviales del río Biobío (arenas con indicios de limos y limos Qf)


2.3. Diseño hidráulico y criterios para el análisis de socavación
Para el diseño por socavación se adoptó un criterio conservador, evaluando el escenario de una crecida con un período de retorno de 200 años, superior al estándar de 100 años que establece el MOP [1]. Esta decisión, justificada por la gran envergadura de la estructura, se consideró un caudal de 20.000 m³/s, lo que resultó en una profundidad de socavación total de diseño de 11 m. Finalmente se evaluó la socavación general y específica por cada cepa [1, 2].
2.4. Fundaciones
El criterio de diseño para el tipo y profundidad de las fundaciones fue la necesidad de transmitir las cargas de la superestructura a un estrato competente y no licuable. Por ello, se estableció la
Fig. 2. Estratigrafía en el estribo norte del Nuevo Puente Ferroviario Bío Bío.
construcción de pilotes de hormigón armado, preexcavados con diámetros entre 1.8 y 2.0 m cuyo criterio de profundidad fue garantizar tanto un empotramiento en el macizo rocoso y un sello en los suelos más densos, asegurando así la estabilidad frente a escenarios sísmicos y socavación. Una vez determinadas las cotas y profundidades de sello de fundación, se procedió a la ejecución constructiva mediante el método mixto de camisa metálica y lodos poliméricos recuperables perforados por rotación.
La capacidad de soporte última y admisible de punta del pilote en macizo rocoso se obtuvo mediante el criterio de Hoek-Brown modificado [3, 4]
Donde ��ℎ es la capacidad de soporte última en la punta de la fundación en roca (kN), �������� la carga admisible de la fundación (kN), β factor que depende de los parámetros ����, σci y RMR (Rock Mass Rating), Nβ factor de carga (según inclinación de carga y geometría por ábaco en [4]), ξ factor corrector por otros parámetros geotécnicos, ���� factor de seguridad por resistencia del macizo y ���� factor de modo de falla.
Para los tramos que presentaban suelos granulares arenosos se consideró la resistencia total dada por la suma de la resistencia de punta y fuste [1, 2]. Por último, el tramo donde las cotas de sello de fundación presentaban estrato de limo, se considera la metodología simplificada para suelo cohesivo y carga admisible a corto plazo, es decir, condición no drenada [2].
La verificación de pilotes se realizó mediante la aplicación de prueba de Integridad del pilote y ensayos de carga dinámica. Con la finalidad que cumplan con los requerimientos constructivos y estructurales según diseño propuesto en base a la normativa y recomendaciones [1, 2, 5, 6, 7]
3. RESULTADOS Y ANÁLISIS
3.1. Capacidad de pilotes por socavación
La capacidad de los pilotes se realizó mediante el cociente entre la carga solicitante y la carga límite admisible post-socavación, obteniendo factores de utilización (FU). En algunas cepas, como la C1, se registraron valores levemente superiores a 1.0 (FU = 1.13), lo que indica que la carga solicitada excede en un 13% la carga límite admisible bajo condiciones extremas de socavación. La socavación se evaluó como condición de pérdida de suelo, exigiendo que la resistencia residual del terreno sea mayor que la carga actuante [2]; y las fundaciones se proyectaron considerando la socavación máxima prevista [1]. Por ello, los casos de las cepas con FU>1 se justifica en la adopción de parámetros conservadores y escenarios extremos siendo aceptados dentro del marco normativo [1, 2, 5] y confirmando el cumplimiento de diseño estructural de las fundaciones.
3.2. Verificación de pilotes de fundación mediante prueba de integridad
La prueba de integridad consistió en la aplicación de golpes en la cabeza del pilote para generar una propagación de ondas a lo largo de su fuste. Estas ondas son detectadas por un acelerómetro posicionado en el eje del pilote [6]. La Fig. 3(a) muestra un ejemplo de pilote en buen estado sin variaciones significativas antes de la reflexión al llegar a la punta. En cambio, la Fig. 3(b) muestra reflexiones antes de la punta, lo cual se manifiesta en una reducción de impedancia expresada en una baja en la velocidad de 3550 a 3400 m/s.


Fig. 3. Resultados de pruebas de integridad en cepa 57: (a) pilote 2 de velocidad de onda 3550 m/s y (b) pilote 3 velocidad de onda 3400 m/s.
3.3. Ensayos de carga dinámica
Los ensayos de carga dinámica se realizaron para los pilotes con presencia de limos y arenas según normativa [7]. La Fig. 4(a) muestra que la carga es absorbida mayoritariamente por el fuste, ya que la resistencia de punta representa menos del 20% de la carga total.


Fig. 4. Resultados ensayo de carga dinámica pilote cepa 14: (a) carga-deformación y (b) distribución carga de fuste y punta del pilote.
4. CONCLUSIONES
El estudio geotécnico permitió caracterizar de manera integral el subsuelo del eje del puente, evidenciando una estratigrafía compuesta por arenas densas, limos arenosos y sustrato de roca meteorizada, lo cual condicionó el tipo de fundación profunda adoptada. La ejecución de ensayos de integridad en pilotes seleccionados permitió validar la continuidad estructural del fuste, detectando en su mayoría una señal reflejada limpia y sin anomalías. Los ensayos de carga dinámica confirmaron que los pilotes preexcavados alcanzaban o superaban la carga de diseño estructural con desplazamientos aceptables, evidenciando un buen comportamiento frente a condiciones exigentes de carga y socavación. En conjunto, los resultados confirman que el sistema de pilotes de fundación proyectado responde satisfactoriamente a las condiciones exigidas por el proyecto.
5. REFERENCIAS
[1] Manual de Carreteras. Instrucciones y criterios de diseño. Vol. 3. MOP Chile; 2018.
[2] AASHTO. LRFD Bridge design specifications. 8th ed. American Association of State Highway and Transportation Officials, Washington DC, USA; 2017.
[3] Hoek E, Carranza-Torres C, Corkum B. Hoek-Brown failure criterion – 2002 edition. Toronto: Rocscience; 2002.
[4] Serrano A, Olalla C. Cargas de hundimiento en macizos rocosos según el criterio de Hoek-Brown modificado. Madrid: CEDEX, Ministerio de Fomento; 2001.
[5] AREMA. Manual for Railway Engineering. Volume 1–4. Landover, MD: American Railway Engineering and Maintenance-of-Way Association; 2017.
[6] ASTM D5882. Standard test method for low strain impact integrity testing of deep foundations. West Conshohocken, PA, USA, 2016.
[7] ASTM D4945 Standard test method for high-strain dynamic testing of deep foundations West Conshohocken, PA, USA, 2017.



Advancednumericalstudyonstrainhistoryandshearstraineffectsin Reliquefactionresistance
R.Iglesias(1),S.Kontoe(2),J.K.Möller(3) (1)Arcadis,Chile,rafael.iglesias@arcadis.com (2)UniversityofPatras,Greece/ImperialCollegeLondon,UnitedKingdomskontoe@upatras.gr (3)WoodThilsted,UnitedKingdom,jkm@woodthilsted.com
ABSTRACT
Ithastraditionallybeenassumedthatsoilsincreasetheirresistancetoliquefactionfollowinganinitial liquefactioneventduetodensificationduringreconsolidation.However,emergingevidencesuggests thatstrainhistory[1],[2],[3],anisotropy[4],[5],andfabricchanges[5],[6]canhaveamoresignificant impactthandensityonpost-liquefactionresistance.Thisstudyexaminestheeffectofstrainhistory onreliquefactionresistanceofOttawaF-65sandthroughadvancednumericalmodellingusingthe PM4Sandconstitutivemodel.
Finiteelementsimulationsareconductedtoreplicatecyclicdirectsimpleshear(CDSS)tests,witha focusonevaluatingtheinfluenceofstrainhistoryonreliquefactionresistanceTheresultsdemonstrate thatthePM4Sandconstitutivemodeliscapableofrepresentingashearstrainthresholdbeyondwhich reliquefactionresistancedecreases,assuggestedbyFinnetal[1].Thestudyhighlightsthevalueof advancedconstitutivemodelsinunderstandingreliquefactionmechanismsandimprovingseismic hazardmitigationstrategies.
Keywords:Liquefaction,Reliquefaction,PM4sand.
1.INTRODUCTION
Liquefactionremainsoneofthemostcriticalgeotechnicalhazardsassociatedwithseismicevents. Whilesignificantresearchhasbeenfocusedonunderstandingliquefactiontriggering,thephenomenon ofreliquefactionhasgainedincreasingattentioninrecentyearsduetoitsimplicationsfortheseismic performanceofstructures[4],[7],[8].Reliquefactionreferstotheoccurrenceofliquefactionina previouslyliquefiedsoil,afterareconsolidationphasehastakenplace.Forthepurposesofthisstudy, theterm“liquefaction”willbeusedtorefertoastatewhereasingleamplitudeshearstrainof3.0%has beenreachedduetoasignificantriseinporewaterpressure.
Thispaperpresentsanumericalstudyfocusedontheinfluenceofmaximumshearstrainexperienced duringaninitialliquefactioneventonthesubsequentresistancetoreliquefaction,usingthePM4Sand [12]constitutivemodelimplementedinPlaxis,version22.01.00.452.
2.BACKGROUNDONRELIQUEFACTION
Reliquefactionhasbeendocumentedinseveralseismicevents.InJapan,the1983Nihonkai-Chubu earthquakeprovidesevidenceofreliquefactionat11sites,withsomelocationsexperiencingliquefaction upto5timesduring1964to1983[8].InNewZealand,earthquakesinChristchurchbetweenSeptember 2010andDecember2011(Mw5.3to7.1)alsoshowednumerousreliquefactioncases[9],[10].InChile, studiesfollowingthe2010MauleEarthquake(Mw=8.8)suggestthatsitesthatliquefiedduringthe1960 Valdiviaearthquake(Mw=9.5)werestillpronetoliquefactionanddidsoagainin2010[11].
Amongtheearlieststudiesonreliquefaction,Finnetal.[1]performedbothcyclicundrainedtriaxialtests andundrainedcyclicdirectsimplesheartestsonOttawaSand.Theirfindingsrevealedthat reliquefactionresistancesignificantlydecreasedonbothcyclictriaxialandcyclicdirectsimpleshear testswherelargestrainsweredeveloped.Ontheotherhand,theirresultssuggestedthatforcyclic eventswithsmallstrainsandlowexcessporewaterpressuresthatdonotreachastateoffull liquefaction,theresistancetoreliquefactionsignificantlyincreases,astheeliminationoflocalinstabilities allowsforabetterinterlockingofparticles.Theypostulatedtheexistenceofathresholdshearstrain valuebeyondwhichreliquefactionresistancedecreasesifthatthresholdwasexceededduringa previousliquefactionevent.
3.METHODOLOGY
ThisstudybuildsuponthenumericalmodelingframeworkdevelopedbyParraBastidas[7],who performedcyclicdirectsimpleshear(CDSS)testsonOttawaF-65sandandproposedacalibrationof thePM4Sand[12]model.Amongtheproposedalternativesinthatstudy,CalibrationN°2wasadopted andindependentlyvalidatedinthisstudybyreproducingCDSSsimulationsinPLAXISandcomparing themwiththesameexperimentaldataset.ThisstepensuredthatthemodelresponseinPLAXISwas consistentwithlaboratoryevidencebeforeadoptingtheparametersetforthereliquefactionsimulations. Inthisresearch,44single-elementsimulationsofcyclicdirectsimplesheartests(CDSS)were performed,eachconsideringdifferentrelativedensityandcyclicstressratio(CSR)values.Each simulationincludedtwoconsecutiveundrainedCDSStests.Allsimulationsbeganwithaninitialvertical effectivestressofσv0’=100kPa(compression,actingdownward),andadifferentinitialrelativedensity wasadoptedatthestartofeachsimulation.Afterthe1stundrainedCDSStestwassimulated,the elementrepresentingthesamplewasre-centeredtoazero-shearstraincondition(γ=0),followedbya reconsolidationphase.Finally,the2ndundrainedCDSStestwassimulatedtoevaluatetheeffectthat themaximumshearstrain(γmax)reachedduringthe1stcyclicloadinghasontheliquefactionresistance duringthe2ndloadingcycle.
ThesimulationswereconductedusingthePLAXIS2Dsoftwareandwereorganizedintofourgroups (A,B,C,andD),basedonthemaximumshearstrain(γmax)developedduringthefirstcyclicloading event.Eachgroupconsiders11singleelementsimulations,witheachsimulationconsistingoftwo consecutivecyclicsimplesheartests.InGroupA,γmaxwasapproximately3.0%duringthefirstloading cycle.ForGroupB,γmaxwascloseto1.0%.InGroupC,γmaxreachedaround0.2%andinGroupD,γmax wasabout0.1%.Testsineachgroupwereconductedatrelativedensitiesrangingfrom30%to74%, withCSRvaluesbetween0.12(forloosersamples)and0.40(fordensersamples).%.Itisimportantto highlightthatastherelativedensityincreases,theCSRappliedwasalsoincreasedinordertofacilitate theliquefactiontriggeringindensersamples.TheadoptedCSRvaluesareindicatedonFigure3.
4.RESULTSANDANALYSIS
Figure1presentstheresultsof1ofthe44simulationsconducted.Inthiscase,γmaxreachedaround3% duringthefirstcyclictest.Duringthisinitialcyclicloadingevent,theelementexperiencedabout6cycles beforecompletelylosingitsstiffnessandstrength.Followingthisinitialcyclicloadingphase,a reconsolidationprocesswasperformed.Inthe2ndcyclicloadingtest,excessporewaterpressure developedextremelyquickly,resultinginliquefactioninlessthanonecycle,withthesoilexhibitingvery lowresistancetoreliquefaction.

Figure1:AnalysisA.3.DRinitial=35%.CSR=0.12.γmax≈3.0%forfirstcyclicload.Thevertical effectivestress(σ′v)isplottedasnegativeincompression(actingdownward),consistentwiththesign conventionadoptedforthecyclicdirectsimpleshear(CDSS)simulations.
Figure2presentstheresultsofthe2ndcyclicloadingeventfor4ofthe44simulationsconducted,each correspondingtoadifferentmaximumshearstrainvalueappliedduringthe1stcyclicloading.In Figure2-a(whichshowsthesamesimulationasFigure1,butonlythe2ndcyclicloadingtest),withγmax =3%duringthe1stcyclicloading,liquefactionisreachedinonecycleforthe2ndcyclicloading.Itcan beseenthat,asγmaxduringthe1stcyclicloadingdecreases(movingfromFigure2-atoFigure2-d),the numberofcyclesrequiredtoreachliquefactionduringthe2ndcyclicloadingeventincreasessignificantly, peakingatγmax≈0.2%(GroupC).
Figure3summarizestheinfluenceofstrainhistoryonreliquefactionresistance,definingliquefactionas thestatecorrespondingtoasingleamplitudeshearstrainof3.0.


Figure2:2ndcyclicloadingfordifferentvaluesofγmaxduringfirstcyclicloadingevent.DRinitial=35%.

Figure3:strainhistoryeffectonreliquefactionresistance.GroupsA,B,CandDsummary(*).
ForgroupsA,B,C,andD,theverticalaxisonFigure3correspondstothenumberofcyclesrequired toachieveasingleamplitudeshearstrainof3.0%duringthe2ndcyclicloadingevent,asafunctionof γmaxduringthe1stcyclictest.InordertoclarifytheinformationpresentedonFigure3,2pointsofthe graphwillbeexplained:
Point1:CorrespondstothesimulationwithaDR=41%,whichhadbeenpreviouslytesteduptoashear strainofabout0.2%duringthe1stcyclicloadingevent(whichconsidered14cycles).Lateron,the2nd cyclicloadingsimulationrequires27cyclestoreachashearstrainof3.0%(reliquefaction),which correspondstoanincreaseinliquefactionresistancewhencomparedwiththevirginsample,whichas previouslymentioned,requiredonly14cyclestoreachthesamestrainlevel(Point2).
Point2:CorrespondstothesimulationwithaDR=41%thathasnotpreviouslyexperiencedanyshear strain(virginsample).Afterabout14cycles,itreachesashearstrainof3.0%duringthe1stcyclic loading.
(*)Theverticalaxisindicatesthenumberofcyclesrequiredtoreachγ=3.0%onthe2ndcyclictest,withtheexceptionoftheintersectionof thecurveswiththeverticalaxis,whichcorrespondstothevirginsamplesimulations(whichhaven’thadanypreviousshearstrain),and thereforethenumberofcyclesreferstothe1st(andnotthe2nd)cyclictest.
When examining Figure3, itcanbe noticed that ifthemagnitude ofthe shear strain reached duringthe 1st cyclic event increases up to around 0.25 % (which includes groups C and D), the resistance to reliquefaction for the 2nd cyclic load event increases up to a 90 % in terms of the number of cycles required for reaching a single amplitude shear strain of 3.0 %. On the other hand, if the shear strains duringthe1stcyclicloadeventreachesvaluesbetween0.5%and3%(groupsAandB),theresistance toreliquefactiondecreases significantly.Moreover,ifamaximumshearstrainvalueof3.0%isreached during the 1st cyclic load (group A), the soil experiences a loss of stiffness and strength resulting in immediateliquefaction during the 2nd loading.
5. CONCLUSIONS
The single element simulations performed with the constitutive model PM4Sand indicate the existence of a shear strain threshold value, beyond which the resistance to reliquefaction significantly decreases if exceeded in a previous liquefaction event, while increasing if the shear strains remain below that threshold during a previous cyclic event where a full state of liquefaction is not reached. Despite undergoing reconsolidation, the soil fails to regain significant structural resistance, suggesting that a criticalshearstrainthreshold(γₘₐₓ)wasexceeded,leadingtolastingdegradationofthe soilfabric. The results support the existence of a shear strain threshold for assessing reliquefaction resistance, which was initially observed in lab tests performed by Finn et al.[1].
For the examined cases, the results suggest that when the shear strains during a 1st liquefaction event fallwithintherangeof[0.03% -0.25%],theresistancetoreliquefactionsignificantly increasesfor a2nd event. Onthe contrary, if the shear strains duringa 1st liquefaction event lie within therange of [0.5 %3.0 %], the reliquefaction resistance for a 2nd liquefaction event significantly decreases.
6.
REFERENCES
[1] Finn, W. D. L., Bransby, P. L. & Pickering, D. J. Effect of Strain History on Liquefaction of Sand. Journal of the Soil Mechanics and Foundations Division, 1970; 96(6): 1917-1934. 10.1061/JSFEAQ.0001478.
[2] Seed, B., et al. Influence of Seismic History on Liquefaction of Sands. Journal of the Geotechnical Engineering Division, 1977.
[3] Ishihara, K. & Okada, S. Effects of Stress History on Cyclic Behavior of Sand. Soils and Foundations, 1978; 18(4): 31-45. 10.3208/sandf1972.18.4_31.
[4] Yamada,S.,etal.EffectsonReliquefactionResistanceProducedbyChangesinAnisotropyDuring Liquefaction. Tokyo: Japanese Geotechnical Society, 2010.
[5] Nemat‐nasser, S. & Takahashi, K. (1984) Liquefaction and Fabric of Sand. American Society of CivilEngineers (ASCE).
[6] Nemat-Nasser, S. & Tobita, Y. Influence of fabric on liquefaction and densification potential of cohesionless sand. Mechanics of Materials, 1982; 1(1): 43-62. 10.1016/0167-6636(82)90023-0.
[7] Parra Bastidas, A. M. Ottawa F-65 Sand Characterization. ProQuest Dissertations Publishing, 2016.
[8] Yasuda, S. & Tohno, I. Sites of Reliquefaction Caused by the 1983 Nihonkai-Chubu Earthquake. Tokyo: Japanese GeotechnicalSociety, 1988.
[9] Cubrinovski, M., Robinson, K., Taylor, M., Hughes, M. & Orense, R. Lateral spreading and its impacts in urban areas in the 2010-2011 Christchurch earthquakes. New Zealand Journal of Geology and Geophysics, 2012; 55(3): 255-269. 10.1080/00288306.2012.699895.
[10]Van Ballegooy, S., Malan, P., Lacrosse, V., Jacka, M. E., Cubrinovski, M., Bray, J. D., O'Rourke, T.,D.,Crawford,S.A.&Cowan,H.Assessmentofliquefaction-inducedlanddamageforresidential Christchurch. Earthquake Spectra, 2014; 30(1): 31-55. 10.1193/031813EQS070M.
[11]Verdugo&González.Liquefaction-inducedgrounddamagesduringthe2010Chileearthquake.Soil Dynamics and Earthquake Engineering, 2015; 79: 280-295. 10.1016/j.soildyn.2015.04.016.
[12] Boulanger, R. W. & Ziotopoulou, K. Formulation of a sand plasticity plane-strain model for earthquake engineering applications. Soil Dynamics and Earthquake Engineering, 2013; 53: 254267. 10.1016/j.soildyn.2013.07.006.



INFLUENCIADELTAMAÑODEPROBETAENLARESPUESTATRIAXIALNODRENADA DERIPIOSLIXIVIADOS
S.Meneses(1),M.Altamirano(2)&C.Palma(3) (1)SRKConsultingChileSpA,smeneses@srk.cl (2)SRKConsultingChileSpA,maltamirano@srk.cl (3)SRKConsultingChileSpA,cpalma@srk.cl
RESUMEN/ABSTRACT
Lapreparacióndeprobetasparaensayosgeotécnicosenmaterialesgruesosestácondicionadapor larelaciónentreeltamañomáximodepartículaylasdimensionesdelamuestra,loquepuedeafectar larepresentatividaddelosresultados.
Enesteestudioseanalizalainfluenciadeltamañodeprobetaenlaresistenciaalcorteenequipo triaxialdematerialesderipioslixiviados,utilizandoprobetasde20cmx10cmy30cmx15cm.Se ensayarondostiposderipios,R1yR2,ambosclasificadoscomogravasarcillosas(GC),con tamañosmáximosde2”y1½”,respectivamente.
Losresultadosmuestranque,paralosmaterialesensayadosytamañodeprobetasutilizados,la resistenciaalcortenovaríasignificativamenteconeltamañodelaprobetaniconelcontenidode finos;sinembargo,elanálisisdelarelaciónentreeldiámetrodelaprobetayeltamañomáximode partículaconfirmaquevalorescercanosalcriterionormativoreducenladispersióndelángulode fricción,asegurandoelcumplimientodelvolumenelementalrepresentativo(VER).
Palabras-Clave:Ripios,ÁngulodeFricción,VolumenElementalRepresentativo.
1.INTRODUCCIÓN
Lapreparacióndeprobetasparaensayosgeotécnicosenmaterialesgruesossuelerequerirlaexclusión departículasdemayortamañodebidoalaslimitacionesdimensionalesdelosequipos.Normascomo ASTMD7181establecenqueeldiámetrodelaprobeta(D)debeserentre6y10veceseltamaño máximodepartícula(��)paraminimizarefectosdebordeyaseguraruncomportamiento representativo,sinmodificarpropiedadesclavescomoresistenciaalcorte,permeabilidad,entreotros. (Marsal,1967;Marachietal.,1969;ASTMInternational,2020;Lineroetal.,2007,2020;Bardetal., 2012;Ovalleetal.,2014).
Enlapráctica,laeleccióndeltamañodeprobetatambiénobedeceafactoreslogísticosyeconómicos. Probetasdemenortamañoreducenelconsumodematerialyloscostosdepreparación,porloqueson preferiblescuandoelporcentajedematerialremovidoesbajo.
Diversosautoreshananalizadoelescalamientodeprobetasenmaterialesgruesoscuyalimitaciónde laspartículasdegrantamañoafectaelcomportamientodelmaterial.Sinembargo,lainvestigación existenteenmaterialesderipioeslimitada.
Enestetrabajoseanalizanresultadosdeensayostriaxialesrealizadossobreripiosprovenientesde unafaenamineraalnortedeChile,sometidosaprocesosdelixiviación.Seevaluólainfluenciadel tamañodeprobeta(20cm×10cmy30cm×15cm)sobrelaresistenciaalcorteysuvolumenelemental representativo(VER),considerandoelporcentajedefinosdecadamaterialyelporcentajedemuestra quefueexcluido(cortedelmaterial)paralarealizacióndeensayostriaxialesnodrenados(CIU).
2.MUESTRASCONSIDERADAS
Seconsiderandostiposdemateriales,Ripios1(R1)yRipios2(R2).LosR1correspondenamineral frescoaglomeradoconclorurodesodio(80g/L)previoalalixiviación,mientrasquelosR2provienen
delreprocesamientoderipiosmezcladosconmineralfrescobajoelmismotratamiento.Ambos materialespresentanunaclasificaciónsimilar,correspondiendoagravasarcillosas(GC)contamaños máximosde2”paraR1y1½”paraR2.Entérminosgenerales,exhibencaracterísticasgranulométricas yplásticascomparables,conunadiferenciadeun10%enelcontenidodefinos,ligeramentemayoren R1.EnTabla1semuestranlasprincipalespropiedadesdeambosmateriales.
Tabla1.SíntesisgranulométricayclasificatoriapromediodelosripiosR1yR2 Material
R11,615-3319-3041-632,8222-325-15GC/GM-GC R21,616-2527-3542-572,8617-254-7GC/GM-GC
Paraevaluarelniveldeconfinamientodeestematerial,seutilizanlosvaloresdeλ₁₀(Jefferies,2015), dondeseencontraronvaloresentre0,08y0,20,rangoquecorrespondeaestadosinicialessueltosa intermedios,sinregistrarsecondicionesdensas.
Lacantidaddemuestrasensayadascorrespondeauntotalde35probetas.Porcadatipodematerial serealizaron3seriesdeensayosadistintosnivelesdeconfinamiento,quevariaronentre0,5kg/cm²y 4,0kg/cm².Lashumedadesdeconfeccióndelasprobetasoscilanentreel5%y8%,paraambostipos demateriales.

(a)
Fig.1:(a)Gráficodedeformaciónaxialversusdesviadorqparaambostiposderipios;(b)Gráficodedeformaciónaxialversus presionesdeporosparaambosripios.Lasmuestrasseencuentranasociadasaltipoderipio.
RespectoalosgráficospresentadosenlaFig.1,seobservaquelaspresionesdeporosseestabilizan rápidamenteenlasprobetasdetamaño20cm×10cm,loqueevidenciaunmejorcontroldelas presionesdeporosyunmayorgradodesaturación.Porotraparte,yenparticularparalosR2,se aprecianfluctuacionesenlascurvasdedeformaciónaxialversusdesviador,loquepodríadebersea irregularidadesenlaaplicacióndelacargaoareacomodosinternosdelmaterialduranteelensayo. Adicionalmente,laaltapermeabilidaddeestosmaterialespodríainfluirenlarespuestanodrenada observada.
EnlosgráficosdelaFig.2-aserelacionaelángulodefricciónconeldiámetromediodepartícula(D₅₀), elporcentajedefinosyelporcentajedemuestracortada.Porotraparte,enlaFig.2-bsepresentanlas envolventesderesistenciaobtenidasparalosmaterialesR1yR2,diferenciadassegúneltipode materialyevaluadasparanivelesdedeformacióndel15%y20%.
(b)
Losresultadosmuestranqueambasseriesdescribenprácticamentelamismatendencia,conángulos defriccióninternaquevaríansoloen1°entresí,ysinevidenciadecohesiónaparente.Este comportamientosugiereque,independientementedelorigendelosripios,ambosmaterialescomparten unaenvolventederesistenciacomún.

RipiosRipios2 1 15201520Deformación(%) 1,451,491,431,47M 36°37°35°36°Ang.Fricción(ɸ) Seasumecohesiónnula.
Ripios1-15%dedeformación
Ripios1-20%dedeformación
Ripios2-15%dedeformación
Ripios2-20%dedeformación
Presiónmediaefectiva,p'(kg/cm2)
Fig.2:(a)RelaciónentreD50y%definosy%demuestracortada;(b)EnvolventesderesistenciadeRipios1yRipios2 determinadasal15%y20%dedeformaciónaxial.
3.DISCUSIÓN
Losresultadosindicanque,paraambostiposderipios(R1yR2),noseobservanvariaciones significativasenelángulodefricciónefectivaatribuiblesaltamañodeprobeta,contenidodefinoso procesodelixiviación.Noobstante,alanalizarlarelacióndeaspecto(��/��max)entreeldiámetrodela probetayeltamañomáximodepartícula(Fig.3),seapreciaquevaloresmenoresa5,5generanuna mayordispersiónenϕ(≈33°–42°),mientrasquerazonescercanasa6reducendichavariabilidad (≈34°–37°).
Estaestabilidadsugiereunefectodeescalamientoasociadoalcumplimientodelcriteriodetamaño relativo.Porlotanto,losresultadosmuestranqueambasdimensionesevaluadascumplenconun volumenelementalrepresentativosuficienteparacaracterizarelcomportamientodeestosmateriales.

Fig.3:Relaciónentrerelacióndeaspectoyángulodefricción Entérminosdedesempeñodelasprobetasdurantelosensayos,lasmuestrasR2exhibieronun comportamientomenosuniformeenlarelaciónentredeformaciónaxialydesviador,confluctuaciones ydispersiónmásnotorias,paraambostamañosdeprobetas.Estosugiereciertaheterogeneidad internaovariabilidadenelprocesodeconstruccióndelaprobeta.Encontraste,lasprobetasdelos ripiosR1mostraronmayordispersiónyunarespuestamenosconsistenteentérminosdepresionesde poros,conincrementosmásgraduales,loquesugierediferenciasdesaturaciónopresenciadeaire
atrapadoenelsistema.Apesardeesto,losR1presentaronunaevoluciónmáscoherenteycontrolada, tanto en esfuerzos comoen presiones.
Finalmente,lasenvolventesderesistenciadeR1yR2sonprácticamentecoincidentes,condiferencias menores en el ángulo de fricción (≈1°), lo que indica que, en las condiciones ensayadas, la respuesta está controlada por la granulometría del material, más que por el tamaño de probeta que se estudió duranteeste trabajo.
4. CONCLUSIONES
El comportamiento resistente de los ripios estudiados se encuentra gobernado principalmente porsufraccióngruesa,sinqueeltamañodeprobetaolacantidaddefinosmodifiquedemanera significativa los valores de fricción.
Lavariabilidaddelosresultadosmejoraalaumentarlarelación��/�� ,haciavalorescercanos al criterio normativo (≥6), lo que confirma la relevancia de este parámetro como guía práctica para asegurar la representatividad en ensayos triaxiales con ripios.
Ambosripios presentaron envolventesde resistenciaequivalentes,lo queindica que el VERse ajusta en ambos tamaños de probeta, considerando una exclusión de material del orden del 5%-10%.
Serecomiendaaumentarlavariabilidadycondicionesdeensayos,conelobjetivodelograr una aproximación preliminar de parámetros de diseño paraen proyectos deingeniería geotécnica.
Aunque los ensayos serealizaron con muestras lixiviadas, laposibleinfluenciadel ácido en las propiedades mecánicas no fue analizada en detalle. Explorar este aspecto en futuras investigacionespermitirádeterminar sielmedioquímicointroducealteracionessignificativasen la resistenciade los ripios.
REFERENCIAS
[1] ASTM International 2020, Standard Test Method for Consolidated Drained Triaxial Compression Test for Soils (ASTMD7181), ASTM International, West Conshohocken.
[2] Bard, E, Anabalón, ME & Campaña, J 2012, ‘Chapter 4’, Waste Rock Behavior at High Pressures, John Wiley & Sons, Hoboken, pp. 83–112.
[3] Linero,S,Bradfield,L,Fityus,S,Simmons,J&Lizcano,A2020,‘Designofa720-mmsquaredirect shearboxandinvestigationoftheimpactofboundaryconditionsonlarge-scalemeasuredstrength’, Geotechnical Testing Journal, vol. 43, 20190344.
[4] Linero, S, Palma, C & Apablaza, R 2007, ‘Geotechnical characterisation of waste material in very high dumps with large scale triaxial testing’, in Y Potvin (ed.), Slope Stability 2007: Proceedings of the2007InternationalSymposiumonRockSlopeStabilityinOpenPitMiningandCivilEngineering, AustralianCentreforGeomechanics,Perth,pp.59–75,https://doi.org/10.36487/ACG_repo/708_2.
[5] Marachi, N 1969, Strength and Deformation Characteristics of Rockfill Materials, PhD thesis, University of California, Berkeley.
[6] Marsal, RJ 1967, ‘Large scale testing of rockfill materials’, Journal of the Soil Mechanics and Foundations, div. 93, no. 2, pp. 27–43.
[7] Ovalle, C, Frossard, E, Dano, C, Hu, W, Maiolino, S & Hicher, P-Y 2014, ‘The effect of size on the strength of coarse rock aggregates and large rockfill samples through experimental data’, Acta Mechanica, vol. 225, pp. 2199–2216.
[8] Jefferies M, & BeenK. Soil Liquefaction: a Critical State Approach. CRC press, 2015.



EVALUACIÓN DE LA CONFIABILIDAD DEL MÉTODO GRÁFICO DE FELLENIUS EN EL ANÁLISIS DE ESTABILIDAD DE TALUDES: CASO DE ESTUDIO EN LA RUTA 5 SUR ENTRE TALCA
Y CHILLÁN
Alfredo Castro (1) , Pablo Romero (2) , Sebastián Muñoz Herrera (3) , (1) Universidad Católica de la Santísima Concepción, acastroq@magister.ucsc.cl (2) Basalto Ingeniería SpA, promero.icg@gmail.com (3) Universidad del Desarrollo, semunoz@udd.cl
RESUMEN
Este estudio analiza la estabilidad en taludes simulados con los materiales geotécnicos encontrados a lo largo de la Ruta 5 Sur, entre Talca y Chillán, cuya estabilidad se evaluó mediante el método Gráfico de Fellenius propuesto en el Manual de Carreteras de Chile. El objetivo principal es determinar la precisión de este método para estimar el factor de seguridad en condiciones estáticas y sísmicas. Para ello, se comparó el Método Gráfico de Fellenius con los métodos de equilibrio límite (LEM), mediante el uso del software Slide2D, y análisis estadístico mediante boxplots y ANOVA. La investigación incluyó la reconstrucción estratigráfica de sondajes geotécnicos existentes, enfocándose en perfiles con arcillas y limos de mayor espesor, dada su vulnerabilidad frente a cargas externas, presión de poros y sismos. Los resultados muestran que el método Gráfico de Fellenius proporciona valores adecuados para el diseño en la mayoría de los casos; no obstante, presenta limitaciones en suelos no cohesivos y taludes altos, donde se desvía de los resultados obtenidos por métodos LEM. En particular, los métodos de Morgenstern & Price y Janbú corregido entregan valores más conservadores. Se establecen límites conservadores para el uso del Método Gráfico de Fellenius, y se recomienda complementar el Método Gráfico con LEM para aumentar la precisión en el análisis de estabilidad de taludes.
Palabras-Clave: Estabilidad de Taludes, Métodos de Equilibrio Límite, Fellenius, ANOVA
1. INTRODUCCIÓN
El diseño geotécnico en Chile, regulado por normativas como NCh1508 y NCh3206 [1, 2] y el Manual de Carreteras (MC) [3], establecen criterios de estabilidad de taludes para zonas de alta sismicidad. El MC [3] introduce el Método Gráfico de Fellenius para estimar el F.S. en taludes, aunque limita a fallas circulares en suelos homogéneos, sin sobrecarga ni nivel freático.
En la práctica geotécnica, existen condiciones complejas como suelos estratificados, saturados, o con presencia de arcillas/limos de baja resistencia mecánica, que pueden limitar el método propuesto por el MC. En este escenario, la presente investigación evalúa la confiabilidad del Método Gráfico de Fellenius presentado por el MC [3] el cual indica que para calcular el factor de seguridad estático se emplea un ábaco cuyo valor se ajusta mediante un factor de reducción para el caso sísmico. Para comparar estos resultados con otras metodologías de análisis, se generan modelos en Slide2D y se utilizan métodos de equilibrio límite (Fellenius [4], Morgenstern & Price [5] y Janbú [6]), considerando un coeficiente pseudoestático de ��ℎ =0,15�� ,y para el diseño de taludes, se reconstruyeron perfiles estratigráficos a partir de más de 50 antecedentes de exploración geotécnica en el tramo de la ruta 5 Sur entre Talca y Chillán
Finalmente, se desarrolló un análisis estadístico con técnicas de diagramas de caja (boxplots) y ANOVA, con el fin de comparar cuantitativamente los resultados entre métodos. Esta aproximación permitió identificar limitaciones y diferencias del método gráfico de Fellenius, logrando proponer criterios de uso complementario o mejora.
2. REVISIÓN DE LA LITERATURA
2.1. Manual de carreteras de Chile
El Manual de Carreteras (MC) es una guía técnica oficial que unifica los criterios, metodologías y especificaciones para el desarrollo de proyectos viales, con el objetivo de apoyar a la Dirección de Vialidad (DV) en la gestión de la red vial. Es utilizado por profesionales como herramienta de análisis y diseño, permitiendo proponer soluciones alternativas siempre que cuenten con respaldo técnico y sean equivalentes o superiores a las indicadas en el MC [3] y sean aprobadas por un profesional de la (DV).
2.2. Métodos de equilibrio límite
Fellenius [4] introdujo el método ordinario para superficies de falla circulares. Janbú [4, 6] desarrolló un método simplificado para superficies a falla no circulares. Posteriormente, Morgenstern & Price [5] desarrollaron un método que satisface todas las condiciones de equilibrio.[4] y entre otros métodos de análisis existentes.
2.2.1. Fellenius Método Gráfico
En esta solución se asume que, para cada dovela, la resultante de las fuerzas interslice (entre dovelas) es cero [6]. La solución implica resolver las fuerzas en cada dovela en dirección normal a la base, expresada en la siguiente ecuación:
Por lo tanto, el factor de seguridad en términos de esfuerzos efectivos se expresa como
Ec. 2
Donde c’ es la cohesión efectiva (kPa), ���� longitud de la circunferencia de falla (m),��′ángulo de fricción efectivo, �� peso de cada dovela (kN), ���� ángulo de la dovela respecto al radio de falla, �� presión de poros (kPa) y �� altura de cada dovela (m). Sin embargo, el Método Gráfico de Fellenius del MC [3] no considera el nivel freático.
2.2.2. Morgenstern & Price
Morgenstern & Price [5] es un enfoque general que satisface todas las condiciones de equilibrio para superficies de falla de cualquier forma. Define fuerzas normales, cortantes y de agua en un elemento infinitesimal, y establece dos ecuaciones diferenciales clave a partir de equilibrio de momentos.
2.2.3. Janbú corregido
El método de Janbú esta pensado para superficies de falla no circulares, como las que se podrían observar en embalses, terraplenes y taludes. Su versión simplificada, satisface el equilibrio global de fuerzas, pero no el equilibrio de momentos [4, 6] Su versión corregida aplica un factor empírico de corrección ��0 a los resultados del método simplificado:
Ec. 3
Donde, ��0 es un coeficiente empírico de corrección [4, 6], ���� factor que depende de la geometría de la pendiente y parámetros del suelo ���������� factor de seguridad ajustado ���������� factor de seguridad por medio de Janbú simplificado.
3. METODOLOGÍA
Se recopilaron y analizaron más de 50 informes de mecánicas de suelos en la ruta 5 sur entre Talca y Chillán Para el diseño de taludes se proponen diferentes configuraciones y especificaciones bajo normativas [1, 2, 3] La comparación se realizó modelando los taludes en Slide2D, donde se utilizo el criterio de falla de Mohr-Coulomb para el comportamiento del suelo. Se modelaron taludes con tres alturas distintas (2,5; 5 y 7,5 m). Finalmente, la comparación del F.S. entre el Método Gráfico y los LEM se realizó con herramientas estadísticas (boxplots) y un análisis de varianza (ANOVA), este último para
evaluar la significancia y la relación lineal entre los parámetros resistentes del suelo: peso específico del suelo (�������� ��3 ), ángulo de fricción �� y cohesión ��(�������� ��2 )
3.1. Procesamiento de datos y variables de diseño consideradas
El MC [3] indica considerar un suelo homogéneo para el Método Gráfico de Fellenius. Sin embargo, la estratigrafía de la ruta 5 sur en general presenta suelos estratificados, entonces para lograr utilizar el Método Gráfico se calculó un suelo equivalente (promedio de parámetros resistentes).
Tabla 1. Resumen consideraciones de diseño para el análisis de estabilidad de taludes
Métodos de equilibrio límite (LEM)
Estratigrafía considerada
Método Gráfico de Fellenius
Suelo equivalente
Software computacional: Slide2D
Fellenius Morgenstern & Price Janbú corregido
Suelo estratificado
Nivel freático No considera No considera De acuerdo con los informes de mecánica de suelos
Sobrecarga Sin sobrecarga No considera Sobrecarga básica (12kPa) de acuerdo con NCh3206 [2]
Consideraciones sísmicas Factor de reducción (de acuerdo con MC [3]) Conservadoramente se considera un coeficiente pseudoestático ��ℎ =0,15��
4. RESULTADOS Y ANÁLISIS
4.1. Representación gráfica métodos equilibrio límite
En la Fig. 1 se observa que el método de Morgenstern & Price y Janbú corregido son más conservadores respecto al Método Gráfico de Fellenius, a partir de una altura de talud >2,5 (m) con F.S <1,0. (a) (b)
Método Gráfico de Fellenius
Fellenius
Morgenstern & Price
Janbú corregido
(1,0)
de seguridad (F.S)
Método Gráfico de Fellenius
Fellenius
Morgenstern & Price
Janbú corregido
F.S (1,0)
5 7,5
Talud (m)
Fig. 1. Comparación del Factor de seguridad en función de la altura del talud para los distintos métodos. (a) Caso Estático 2V:1H y (b) Pseudoestático 2V:1H.
4.2. Diagramas de caja (boxplots)


Fig. 2. Diagramas de caja (boxplots) F.S caso estático entre el Método Gráfico de Fellenius y LEM computacionales (a) Dispersión de datos en cuartiles y (b) Diferencias a un 20% de los LEM, respecto al Método Gráfico de Fellenius.
5. CONCLUSIONES
El Método Gráfico de Fellenius del MC [3] es una herramienta útil para análisis preliminares, mostrando una dispersión de resultados comparable a los métodos LEM en el 50% central de los datos (rango intercuartílico), con diferencias generalmente menores al 20%. Sin embargo, este estudio confirma sus limitaciones prácticas: su fiabilidad disminuye significativamente en taludes de más de 5 metros de altura y en suelos con baja cohesión, donde tiende a sobreestimar el Factor de Seguridad.
El análisis ANOVA confirmó que el ángulo de fricción (��) y la cohesión (��) son parámetros de mayor influencia en la estabilidad. Adicionalmente, se identificó que el peso específico del suelo se vuelve un factor estadísticamente significativo en taludes de mayor altura (>5,0 m), un aspecto no considerado explícitamente en el Método Gráfico.
Se concluye que los métodos Morgenstern & Price y Janbú corregido son más conservadores y confiables para el diseño definitivo de taludes en las condiciones estudiadas. Para la práctica de ingeniería en Chile, se recomienda usar el Método Gráfico del MC solo para diseños preliminares en geometrías simples (H<5,0 m) y validar siempre los resultados con un método LEM, especialmente en proyectos de alta complejidad o riesgo. Los hallazgos sobre el impacto de la estratigrafía, el nivel freático y las sobrecargas, omitidas por el MC, deberían servir como base para futuras actualizaciones de normativa vial.
6. REFERENCIAS
[1] NCh1508.Of2008. Geotecnia –Estudio de mecánica de suelos. Santiago (Chile): INN; 2008.
[2] NCh3206.Of2010. Geotecnia – Excavaciones, entibaciones y socalzados – Requisitos. Santiago (Chile): INN; 2010.
[3] Manual de Carreteras. Instrucciones y criterios de diseño. Vol. 3. MOP Chile; 2018.
[4] Craig RF. Craig’s soil mechanics. 7th ed. London: Spon Press; 2004.
[5] Morgenstern N, Price VE. The analysis of the stability of general slip surfaces. Geotechnique 1965;15(1):79–93.
[6] Janbu N. Slope stability computations. In: Hirschfeld RC, Poulos SJ, editors. Embankment Dam Engineering: Casagrande Volume. New York: John Wiley & Sons; 1973. p. 47–86.



SOFTWARE EDUCATIVO SOBRE FUNDAMENTOS DE CARACTERIZACIÓN GEOTÉCNICA
USANDO ONDAS SUPERFICIALES
J. P. González (1), F. Ochoa (2) (1) Universidad de Chile, juan.gonzalez.2@ug.uchile.cl (2) Universidad de Chile, fochoac@uchile.cl
RESUMEN
En el presente trabajo, se presenta el desarrollo de un software educativo sobre los fundamentos de una caracterización geotécnica utilizando métodos de ondas superficiales. Este programa, emplea el método Spectral Analysis of Surface Waves (SASW), y su propósito es proporcionar un apoyo pedagógico a la comprensión de métodos geofísicos no invasivos de prospección geotécnica y sus resultados. La herramienta permite realizar un análisis de registros multicanal obtenidos de mediciones activas en terreno, usando análisis espectral, con base en transformadas de Fourier y análisis de coherencia de fase entre múltiples pares de canales, para obtener la curva de dispersión experimental. Posteriormente, utilizando métodos iterativos, se resuelve el problema inverso, para la obtención de la aproximación teórica de la curva de dispersión, y el perfil de velocidad de onda de corte en profundidad. El desarrollo del software ha sido enfocado en un análisis educativo con representaciones gráficas de cada etapa del análisis, facilitando la comprensión del proceso de obtención de resultados. Utilizando registros reales, se ha obtenido resultados prometedores al ser comparados con programas para el procesamiento de señales sísmicas. Esta herramienta presenta un aporte pedagógico a la comprensión y uso del análisis con ondas superficiales para la caracterización de suelos.
Palabras-Clave: Software, SASW.
1. INTRODUCCIÓN
En el trabajo presentado, se detalla el funcionamiento y aplicaciones de un software educativo sobre los fundamentos de una caracterización geotécnica usando el método de ondas superficiales. Este programa considera el uso de la metodología Spectral Analysis of Suface Waves (SASW) utilizando pares de receptores de un arreglo multicanal, así como también el uso del análisis f-k para el procesamiento simultaneo múltiples receptores. Su propósito es proporcionar un apoyo pedagógico a la comprensión de métodos geofísicos no invasivos de prospección geotécnica y sus resultados
2. ANÁLISIS SASW
El método SASW establece el análisis de trenes de ondas sísmicas usando dos receptores para la determinación de velocidades de onda de corte, módulos de corte y espesores de estratos de suelo cuyo procedimiento fue propuesto por Nazarian & Stokoe (1983). Este método establece una relación entre la distancia de los receptores con la velocidad de onda Rayleigh, donde la distancia de entre receptores será un múltiplo de la longitud de onda. [1]
El programa permite realizar un análisis de registros multicanal con fuente común obtenidos de mediciones activas de terreno, este considera pares de canales para la realización de un análisis de los espectros de potencia directos y cruzados. Así para cada par de receptores del arreglo se puede obtener su ángulo de fase y coherencia. Fig. 1 presenta el arreglo trabajado en terreno y los resultados de parámetros espectrales. [2]

Fig. 1. (a) Arreglo de receptores en terreno. (b) Parámetros espectrales.
El análisis de dispersión se efectúa evaluando individualmente cada frecuencia contenida en el tren de ondas registrado por los receptores. Para cada frecuencia, se determina la velocidad de fase a partir de la relación entre la frecuencia estudiada, la distancia de receptores (Δ��) y su diferencia de fases correspondiente (Δ��), en el dominio de espectro de fase – distancia. (Ec. 1).[3]
1
Los pares (��,����) obtenidos permiten la construcción de la curva de dispersión experimental, la cual es posteriormente picada mediante la selección de las frecuencias que exhiben un comportamiento coherente con el esperado según la teoría. Con base en los resultados derivados de múltiples combinaciones, es posible realizar el proceso de inversión aplicando metodologías de optimización orientadas a la minimización del error, con el fin de ajustar los modelos teóricos de una capa sobre semiespacio a los datos experimentales, obteniendo el perfil de velocidad de onda S en profundidad. Fig. 2 presenta los resultados del procesamiento de datos.

Fig. 2. (a) Iteración de modelos teóricos. (b) Ajuste de mejor modelo. (c) Perfil de ���� en profundidad.
3. ANÁLISIS F-K
De forma complementaria al análisis SASW, se realiza el análisis f-k, sobre registros multicanal. Esta metodología permite obtener la curva de dispersión experimental mediante la aplicación de un análisis de Fourier bidimensional. El procedimiento transforma las señales activas registradas en terreno desde el dominio bidimensional definido por la distancia a la fuente y el tiempo, al dominio de frecuencia y número de onda, facilitando así la caracterización de las propiedades de propagación de las ondas superficiales. Fig. 3 presenta los registros activos en los dominios distancia-tiempo y frecuencia-número de onda.

Fig. 3 Dominio distancia - tiempo y dominio frecuencia – número de onda para registro multicanal. Para el análisis de la velocidad de fase de las ondas, se considera el dominio del número de onda hasta el valor de Nyquist [2]. La velocidad de fase se determina mediante la Ec. 2, evaluando el número de onda correspondiente al máximo de energía en el espectro bidimensional. Al aplicar este procedimiento a cada frecuencia contenida en el tren de ondas, se obtiene la curva de dispersión experimental, la cual se emplea posteriormente en el proceso de inversión, de manera análoga a lo realizado con los resultados obtenidos mediante el método SASW. Fig. 3 muestra los resultados obtenidos del análisis fk preliminar.
2

f-k.
4. RESULTADOS Y COMPARACIÓN
Utilizando resultados obtenidos de mediciones activas para un arreglo de 24 receptores con un espaciamiento de 3 metros, se puede obtener la curva de dispersión para 15 combinaciones de pares de geófonos aplicando la metodología SASW. Estos resultados pueden ser comparados con resultados obtenidos en el software de procesamiento de señales sísmicas Geopsy y resultados de inversiones de la herramienta Dinver (paquete Geopsy). En Fig. 4 se presenta la comparación entre resultados extraídos de Geopsy y Dinver, con los del software confeccionado.
Fig. 4. Curva de dispersión por método

Fig. 5. (a) Resultados de inversión Geopsy/Dinver. (b) Resultados de software.
5. CONCLUSIONES
Se presenta que el software desarrollado permite un análisis educativo presentado representaciones graficas de cada etapa del análisis, facilitando la comprensión del método SASW y análisis f-k Utilizando registros reales, se ha obtenido resultados prometedores de curvas de dispersión para arreglos multicanal, al ser comparados con programas utilizados de forma masiva (Geopsy), se presentan resultados comparables en magnitud y comportamiento.
Esta herramienta presenta un aporte pedagógico a la comprensión y uso del análisis con ondas superficiales para la caracterización de suelos, al generar un análisis guiado de procesamiento de las señales permitiendo mayor control y entendimiento sobre cada etapa necesaria para una caracterización geotécnica.
Agradecimientos al profesor Felipe Ochoa C. por su guía y apoyo en el desarrollo del trabajo.
REFERENCIAS.
[1] Nazarian S., Stokoe II K.H., Hudson W.R. Use of Spectral Analysis of Surface Waves Method for Determination of Moduli and Thicknesses of Pavement Systems. In Transportation Research Record 930, TRB, National Research Council, Washington, D.C., 1983, pp. 38-45
[2] Ochoa Cornejo, F A. Caracterización geotécnica a través del uso de ondas Rayleigh. Tesis para optar al grado de Magíster en Ciencias de la Ingeniería, mención Ingeniería Geotécnica. Santiago: Universidad de Chile; 2007.
[3] Roesset J.M., Chang D.W., Stokoe K.H. “Comparison of 2-D and 3-D models for analysis of surface wave tests”, Prooc. 5th Int. Conf. on Soil Dyn. and Earthq. Eng., Kalsruhe, vol. 1, 1991, pp. 111126
[4] Foti S. Multistation methods for geotechnical characterization using surface waves. Torino: Politecnico di Torino; 2000, p. 105 – 136


IMPLEMENTATION OF AI IN TUNNEL DESIGN
F. Arias (1), M. Parra (2) , X. Valenzuela (3) , F. Ochoa (4) (1) Universidad de Chile, freddy.arias@ug.uchile.cl (2) Universidad de Chile, parrasilva24@gmail.com (3) Universidad de Chile, xaviera.valenzuela@ug.uchile.cl (4) Universidad de Chile, fochoac@uchile.cl
ABSTRACT

This article presents the implementation of artificial intelligence tools, specifically deep neural networks (DNN), to predict the 2D responses of excavated tunnels with the NATM method, relying on a database consisting of more than 100,000 numerical models generated in PLAXIS 2D. After a rigorous sensitivity analysis, the most influential variables were selected, and model generation was automated via Python.
For static behavior, DNNs were trained to predict with high accuracy the maximum settlement, the width of the settlement trough and the plastic radius. In the kinematic analysis, seismic deformations were simulated by applying edge displacements to the tunnel contour and three DNNs were developed to estimate the maximum axial stress, shear stress, and bending moment, to enable evaluation of stress distribution along the tunnel lining.
While the models showed robust performance, limitations were identified in the concentrated distribution of the data, as well as the need of extending and balancing the database to improve generalization. These results mark an advance in the application of AI to tunnel engineering, enabling fast and accurate predictions of settlements and stresses in seismic zones.
Keywords: NATM tunneling, PLAXIS 2D, deep neural networks, static analysis, kinematic analysis
1.
INTRODUCTION
Tunneling in seismically active regions poses distinct challenges. Unlike surface structures governed by inertial forces, tunnels primarily respond to ground deformations during earthquakes [1]. Effective design thus demands consideration of both static and kinematic responses. Integrating artificial intelligence (AI) with high‐resolution numerical modeling enables efficient processing of geotechnical data and the development of predictive frameworks that more accurately capture tunnel deformation and stress redistribution under seismic loading.
This study evaluates a deep‐learning framework for the static and kinematic design of tunnels constructed using the New Austrian Tunneling Method (NATM). The framework employs input parameters spanning a wide range of geotechnical materials, emphasizing the properties of Santiago’s gravels. A dataset of 100,000 PLAXIS 2D simulations was used to train supervised deep neural networks (DNNs). In the static phase, the DNNs predicted maximum surface settlement (��������), settlement trough width (��), and tunnel plastic radius (����). For the kinematic phase, pseudo‐static boundary displacements representing shear‐wave–induced ovaling were included to estimate maximum axial stress (��������), shear stress (��������), and bending moment (��������).
2. METHODOLOGY
The procedure for both static and kinematic analyses was structured similarly. It was unfolded in three sequential phases: 1) sensitivity analysis, 2) automated numerical modeling to generate the synthetic database, and 3) DNN training, validation, and performance testing
2.1. Sensitivity analysis
This stage was based on the work of [2] It began by configurating a reference PLAXIS 2D model, considering the section of a tunnel constructed under NATM method, without including a water table
The model incorporated soil properties: deformation modulus (E), friction angle (��), cohesion (c), unit weight (��), Poisson’s ratio (νs), lateral earth pressure coefficient (��0), and reduction factor due to arching effect (��); lining parameters: thickness (t), concrete compressive strength (��′��), and Poisson’s ratio (νl); geometric variables: tunnel radius (R), depth to center (H), stratum height (SH), surface overburden (S) and, for kinematic analysis, surface displacement (Displ.). A constant model width of 180 m was used, with soils represented by a linear elastic perfectly plastic Mohr–Coulomb model. Each parameter was varied individually within defined ranges to quantify its influence on the dependent variables.

Fig. 1. Model and parameters
Figure 1 illustrates the base model configuration, key parameters, and their variation ranges. These limits were defined considering general soil properties and representative values for Santiago’s gravels. The range for (Displ.) followed [3], who analyzed surface displacements in various soil profiles using 21 Chilean earthquake records. Through this iterative analysis, parameters with negligible influence on the control variables were identified and given fixed values during the generation of the synthetic database.
2.2. Automated numerical model for synthetic database generation
The database was generated through automated PLAXIS 2D modeling and post‐processing using scripted iterations. For each generated model, soil layers, tunnel geometry, lining properties, load states, and the NATM construction sequence were defined, varying one input parameter at a time.
For the static analysis, �������� was obtained from the maximum vertical displacement at surface nodes (y = 0), the settlement trough width from the span between nodes showing 5% of ��������, and the plastic radius from the maximum shortest distance from lining nodes to plasticized soil points. In the kinematic analysis, ��������, ��������, and �������� were extracted from PLAXIS 2D outputs after filtering to identify their peak values.
2.3. DNN training, validation, and performance testing
The final stage involved developing DNN models in Python using TensorFlow library, defining specific architectures and hyperparameters for each output variable. Data from the numerical simulations were divided into 1) Training, 2) Validation, and 3) Evaluation subsets. The first two were used to train and validate the models, mitigating overfitting, while the third assessed predictive performance against PLAXIS 2D results.
Accuracy was evaluated by comparing predicted and actual values through fitted trend lines against the ideal 1:1 reference and by calculating statistical metrics. Finally, field data from 12 tunnels [4], [5], [6] were used to validate settlement predictions, comparing DNN outputs with observed measurements.
3. RESULTS
3.1. Static analysis
The sensitivity analysis identified five parameters (νl, ��′��, ��, νs, and ��) as having minimal influence on maximum settlement; these were therefore held constant, while the remaining nine were varied through iterations. Once the database was completed and the DNN models developed, their predictions were compared with PLAXIS 2D results. Statistical metrics including the coefficient of determination (R²),
mean absolute error (MAE), mean squared error (MSE), and root mean squared error (RMSE) were computed for the three control variables, as summarized in Table 1.
Table 1. Statistical metrics of the models’ performance for static analysis
Figure 2 illustrates the static analysis models’ predictions fitted lines in comparison to the 1:1 line.



Fig. 2. DNN models’ performance for predicting: (a) ��������; (b) ��; (c) ����
The accuracy obtained for �������� is comparable to that reported by [7], who achieved a MAE of 2.29 mm and R² of 0.9939. The higher MAE in this study likely reflects the broader settlement range considered, extending up to 600 mm, which are extreme cases associated with weak soils, flexible linings, large tunnel diameters, and significant surface loads. The predicted trend closely followed the 1:1 line, confirming strong model performance. For �� and ����, the results also showed high accuracy, with R² of 0.9972 and 0.9923, respectively, with fitted trends nearly overlapping the 1:1 line. Notably, few prior studies have applied AI techniques to predict these parameters, limiting direct comparisons.
3.2. Kinematic analysis
The sensitivity analysis for the kinematic phase followed the same procedure as the static analysis, but evaluating the influence of variables on �������� and ��������. The least influential parameters remained consistent with those identified previously, while the remaining variables were iteratively varied. Surface kinematic displacement was found to be a dominant factor affecting maximum internal stresses.
After constructing the database and training the DNN models for ��������, ��������, and �������� predictions, statistical metrics were computed as summarized in Table 2.
Table 2. Statistical metrics of the models’ performance for kinematic analysis
Figure 3 illustrates kinematic analysis models’ predictions fitted lines in comparison to the 1:1 line.



Fig 3. DNN models’ performance for predicting: (a)��������; (b) ��������; (c) ��������
The DNN models demonstrated high predictive accuracy within the ranges of 0–1500 kN/m for ��������, 0–150 kN/m for ��������, and 0–500 kNm/m for ��������. Therefore, by limiting the analysis’s reliability to a defined range of values, better performance could be expected. As few prior studies have applied AI to predict these variables, comparative benchmarks remain limited.
The comparison between DNN-predicted and field-measured settlements yielded R² = 0.8091, lower than in the numerical validation but sufficient to capture the general settlement trends and provide a preliminary assessment of surface deformations in real tunneling projects.
4. CONCLUSIONS
The approach developed in this study demonstrated quick, first-order estimates of surface settlement, plastic radius, settlement trough width, and internal stresses The primary advantages include efficient management of large data volumes and near real-time prediction capability, which can improve preliminary design iterations and risk assessments in geotechnical tunnel engineering.
The DNN models consistently achieved R² values above 0.97 and low MAE for the targeted predictions within the sampled ranges, confirming the hybrid framework’s potential as a rapid design aid. The observed deviations at high-stress or large-deformation cases underscore the need for careful range selection during training but do not detract the utility of the framework as an initial assessment tool.
This research established a foundational AI–FEM hybrid methodology for geotechnical tunnel design. By addressing data and modeling limitations through enhanced automation, balanced sampling, and expanded validation, subsequent work can transform this proof-of-concept into a reliable, industry-ready tool for more efficient underground infrastructure modeling and development.
5. ACKNOWLEDGMENTS
EPEC grant for doctoral studies is gratefully acknowledged REFERENCES
[1] A. Bobet, “Comportamiento sísmico de túneles,” Revista Internacional de Desastres Naturales, Accidentes e Infraestructura Civil, vol. 12, no. 1, pp. 69–75, 2012.
[2] S. R. Moeinossadat and K. Ahangari, “Estimating maximum surface settlement due to EPBM tunneling by Numerical-Intelligent approach – A case study: Tehran subway line 7,” Transportation Geotechnics, vol. 18, pp. 92–102, Mar. 2019, doi: 10.1016/j.trgeo.2018.11.009.
[3] J. I. Orellana, “Análisis Sísmico Y Curvas De Fragilidad En Túneles,” Universidad de Chile, Santiago, 2019.
[4] K. Ahangari, S. R. Moeinossadat, and D. Behnia, “Estimation of tunnelling-induced settlement by modern intelligent methods,” Soils and Foundations, vol. 55, no. 4, pp. 737–748, Aug. 2015, doi: 10.1016/j.sandf.2015.06.006.
[5] A. Darabi, K. Ahangari, A. Noorzad, and A. Arab, “Subsidence estimation utilizing various approaches – A case study: Tehran No. 3 subway line,” Tunnelling and Underground Space Technology, vol. 31, pp. 117–127, Sep. 2012, doi: 10.1016/j.tust.2012.04.012.
[6] S. B. Layera Díaz and J. Pozo Rojas, “Back analysis del modelo numérico utilizado para el diseño de los túneles interestación de la Línea 3 del Metro de Santiago,” Report for the degree of civil engineer, Universidad de Chile, Santiago, 2018.
[7] A. Mahmoodzadeh, M. Mohammadi, A. Daraei, H. Farid Hama Ali, N. Kameran Al-Salihi, and R. Mohammed Dler Omer, “Forecasting maximum surface settlement caused by urban tunneling,” Autom Constr, vol. 120, p. 103375, Dec. 2020, doi: 10.1016/j.autcon.2020.103375.


CARACTERIZACIÓN MINERALOGICA DE RELAVES
H. Moya (1) , V Martínez (2) , F. Ochoa (3) (1) Universidad de Chile, horacio.moya@ug.chile.cl (2) Universidad de Chile, valeria.martinez.s@ug.uchile.cl (3) Universidad de Chile, fochoac@uchile.cl>
RESUMEN

El estudio presenta una caracterización mineralógica exhaustiva de arenas de relave mediante granulometría, índice de vacíos, microscopía óptica y electrónica (SEM). Las muestras analizadas incluyeron material integral, fracciones gruesas sin finos, y dos tamaños específicos de partículas finas: Tamaño 1 (0,075-0,053 mm) y Tamaño 2 (0,045-0,020 mm). Se realizaron mezclas con arena limpia y 13% de finos en ambos tamaños para evaluar sus diferencias granulométricas y efectos sobre la estructura. La granulometría reveló que Tamaño 2 presenta partículas significativamente más finas que Tamaño 1, observándose un efecto de aglomeración debido a fuerzas de interacción entre las partículas finas al utilizar dispersantes durante el análisis. Las mezclas AFT2 mostraron mayor contenido de partículas finas pequeñas en comparación con AFT1. Las observaciones microscópicas destacaron la presencia heterogénea de partículas finas adheridas sobre partículas más grandes. A partir del índice de vacíos, se identificó claramente un punto de cambio estructural donde la participación de partículas gruesas y finas afecta significativamente la configuración del suelo. El análisis SEM confirmó una morfología predominantemente angular e irregular en todas las fracciones, compuestas principalmente por oxígeno y sílice. Estos resultados permiten evaluar la influencia del tamaño y la interacción de los finos sobre el comportamiento mecánico de las arenas de relave.
Palabras-Clave: Relaves, índice de vacíos, tamaño de finos, SEM, granulometría.
1. INTRODUCCIÓN
En Chile, los depósitos de relaves representan una de las infraestructuras más críticas para la minería, dada la gran sismicidad del territorio, la magnitud de los volúmenes almacenados y la necesidad de garantizar la estabilidad física y química a largo plazo. La caracterización de sus componentes y su interacción a nivel microestructural resulta esencial para comprender y predecir su comportamiento mecánico.
Diversos estudios han mostrado que el contenido y la distribución de finos dentro de un material granular pueden modificar sustancialmente su densidad, su capacidad de drenaje, su tendencia a la dilatancia o contractividad y, en consecuencia, su susceptibilidad a fenómenos como la licuefacción [1, 2]. Sin embargo, la mayoría de las investigaciones se han centrado en el contenido total de finos, prestando menos atención al efecto del tamaño específico de estas partículas [3, 4].
En este contexto, el presente trabajo busca evaluar de forma sistemática cómo el tamaño de los finos en arenas de relave influye en la estructura del material y, por extensión, en sus propiedades mecánicas potenciales. Para ello se comparan muestras con igual contenido de finos (13%) pero con rangos granulométricos distintos, empleando técnicas de caracterización mineralógica y morfológica.
2. METODOLOGÍA
Se trabajó con arena de relave proveniente del tranque El Torito. El material integral (INT) fue caracterizado en su estado original. La fracción gruesa se obtuvo por lavado, y posteriormente se prepararon tres mezclas: INR (fracción gruesa + finos originales), AFT1 (fracción gruesa + finos 0,075–0,053 mm) y AFT2 (fracción gruesa + finos 0,045–0,020 mm), todas con 13% en peso.
Se aplicó tamizado en seco y para analizar la fracción fina en mayor detalle se realizó granulometría láser e hidrometría obteniendo la distribución granulométrica completa (Figura 1).

Fig. 1 Granulometría de los materiales
Se determinaron los índices de vacíos máximo y mínimo para los distintos materiales variado el porcentaje de finos.

Fig. 2 Índice de varios vs % de finos para INT, T1 y T2
Se realizaron observaciones microscópicas de cada mezcla utilizando cortes transparentes impregnados con resina epóxica y pulidos, con el objetivo de analizar la distribución e interacción de las partículas finas y su interacción con la fracción gruesa. Las imágenes obtenidas permiten identificar el grado de recubrimiento de los granos, la disposición de los finos en los intersticios y posibles patrones de aglomeración, información clave para interpretar la estructura interna del material (Figura 6).
Se analizaron muestras representativas de cada mezcla para observar morfología superficial a través Microscopía electrónica (SEM-EDX), tamaño y forma de los finos, así como composición química elemental.


(a) (b)
Fig. 3. a) SEM Material Integral b) SEM Arena Limpia
3. RESULTADOS Y ANALISIS
AFT2 presentó un D50 de 0,016 mm y mayor contenido de partículas <0,020 mm respecto de AFT1 (D50=0,050 mm), con un coeficiente de uniformidad más alto, lo que indica mezcla de tamaños más variados. Ambas fracciones mostraron aglomeración de partículas finas, lo que se observó en la granulometría al tener tamaños menores al de la banda definida efecto que se acentúa en AFT2 (Figura 4)


(a) (b)
Fig. 4. Granulometría a) Tamaño 1 b) Tamaño 2.
AFT2 registró valores de índice de vacíos máximo 10% superiores a AFT1, reflejando mayor empaquetamiento. El índice mínimo también fue mayor, indicando menor capacidad de compactación. INR y AFT1 mostraron densidades relativas similares.
La Figura 5 muestra la relación entre emax y emin para las tres condiciones (Integral, Tamaño 1 y Tamaño 2) a distintos contenidos de finos (FC). Se observa que, para bajos contenidos de finos (FC=2%), las diferencias entre las curvas son mínimas; sin embargo, al aumentar el contenido de finos, especialmente en torno a FC=40% y superiores punto en donde empieza a controlar la fracción fina, las mezclas con Tamaño 2 tienden a presentar valores más altos de emax y emin, lo que indica una estructura más suelta y menor potencial de compactación. Este efecto se amplifica a contenidos altos (FC=100%), lo que respalda la hipótesis de que las partículas más finas afectan el empaquetamiento y la rigidez del material [2, 3]

Fig. 5. Índice de vacíos mínimo vs índice de vacíos máximo
Las imágenes obtenidas mediante microscopía óptica (Figura 6) muestran contrastes marcados entre las mezclas. En AFT1, los finos se presentan mayoritariamente en agregados localizados, mientras que en AFT2 se distribuyen formando recubrimientos continuos sobre las partículas gruesas. Esta diferencia en la disposición interna sugiere variaciones en la eficiencia del empaquetamiento y en la rigidez estructural, lo que coincide con las tendencias observadas en los índices de vacíos.

(a)

(b)
Fig. 6. (a) Microscopia corte Transparente 4x (b) Microscopia 20x
Todas las fracciones presentan morfología angular con superficies rugosas y bordes irregulares. El EDX confirma predominio de Si y O, asociado principalmente a cuarzo y feldespatos con presencia menor de Fe, Al y K para todos los tamaños estudiados. En AFT2 se observa mayor proporción de finos adheridos y fragmentos laminares, lo que incrementa su área superficial específica.
4. CONCLUSIONES
• El tamaño de las partículas finas influye en la estructura y compresibilidad de la arena de relave, incluso con igual porcentaje de finos
• Los finos más pequeños (0,045–0,020 mm) generan presenta un mayor número de partículas, favoreciendo una distribución continua alrededor de los granos gruesos.
• La mayor compresibilidad observada en AFT2 sugiere un mayor potencial de contractividad y susceptibilidad a inestabilidad bajo solicitaciones.
• La caracterización mineralógica y morfológica obtenida aporta insumos clave para estudios mecánicos y criterios de diseño en tranques de relave.
5. AGRADECIMENTOS
Se agradece al profesor Felipe Ochoa C. por su guía y colaboración junto con el equipo de laboratorio de Geotecnia por su apoyo en la ejecución de ensayos.
6. REFERENCIAS
[1] Thevanayagam, S. (1998). Effect of fines on undrained shear strength of sand. J. Geotech. Geoenviron. Eng. 124(6): 479–491.
[2] Yamamuro, J. A., & Covert, K. M. (2001). Monotonic and cyclic liquefaction of very loose sands with high silt content. J. Geotech. Geoenviron. Eng. 127(4): 314–324.
[3] Silva, D. (2020). Efecto De Los Finos No Plásticos En La Respuesta No Drenada De Una Arena a Altas Presiones. Universidad de Chile.
[4] Bravo. M (2018). Efecto del Confinamiento y el Contenido de Finos No Plásticos en el Comportamiento Monótono Drenado de Arenas de Relave. Universidad de Chile.



ANÁLISIS GEOTÉCNICO DE MEZCLAS DE ARENA Y COLOIDES
D. Paz (1), M. Pacheco (2), F. Ochoa (3), J. Beltrán (4) (1) Universidad de Chile, daniepaz@ug.uchile.cl (2) Universidad de Chile, marcelo.pacheco@gmail.com (3) Universidad de Chile, fochoac@uchile.cl (4) Universidad de Chile, jbeltran@ing.uchile.cl
RESUMEN
El presente trabajo experimental examina la mejora del comportamiento mecánico de la arena de Ottawa seca mediante la incorporación de laponita, una nanoarcilla sintética de alta plasticidad. Las muestras de material híbrido se prepararon mediante pluviación seca utilizando concentraciones de laponita del 0, 1, 3, 5, 10, 15, y 20% por masa seca de arena en estado suelto y denso. Se estudiaron de manera sistemática el arreglo granular, las propiedades de resistencia al corte, el comportamiento de consolidación e hinchamiento, así como otras características mecánicas de la muestra. Los resultados, en concordancia con estudios previos sobre arenas con finos de alta plasticidad, sugieren que pequeñas cantidades de laponita influyen en las propiedades físicas y mecánicas de la arena seca en términos de deformación y resistencia debido a la fuerte adhesión entre las partículas de arena y la nanoarcilla. Estos hallazgos refuerzan estudios previos y sugieren que pequeñas cantidades de finos de alta plasticidad mejoran las propiedades de los materiales granulares comúnmente utilizados en la industria de la construcción.
Palabras clave: Laponita, nanopartículas, estructura del suelo, arreglo granular
1. INTRODUCCIÓN
Las mezclas de arena y finos consisten en arenas con diferentes porcentajes de limo o arcilla en su estructura granular. Estas mezclas permiten comprender el comportamiento mecánico de suelos naturales, a medida que se abordan diferentes propiedades geomecánicas a partir de la naturaleza granular heterogénea obtenida en función del contenido de finos. Estudios experimentales han identificado un umbral del contenido de finos, típicamente entre el 20% y 30% [1] , donde el comportamiento de la mezcla cambia de un comportamiento controlado por la arena con bajos contenidos de finos no plásticos a un comportamiento controlado por los finos en porcentajes más altos. Para arenas mezcladas con finos plásticos, los estudios han reportado efectos positivos como el control de la erosión, reducción de asentamientos en terraplenes mediante la optimización de finos, y una respuesta a la compresión mejorada [2] Los finos plásticos adecuadamente proporcionados pueden mejorar significativamente las propiedades geotécnicas, tales como la resistencia al corte, la compresibilidad, el rango elástico, y la respuesta a la presión de poros [3] Sin embargo, estas mejoras dependen tanto del contenido de finos como de su plasticidad. Este estudio investiga el comportamiento de las mezclas de arena-laponita bajo condiciones secas mediante un programa experimental Se examinan el efecto del tamaño de partícula, la adherencia, el arreglo granular y las propiedades de resistencia al corte. Se realizan pruebas complementarias de consolidación edométrica, expansión o hinchamiento libre y presión de hinchamiento para evaluar más a fondo las interacciones entre partículas
2. METODOLOGÍA
El estudio experimental usó arena de Ottawa gradada, una arena de fina a media limpia y uniforme (Cu=1.7) con un D50=0.35mm y menos del 5% de finos, con una gravedad especifica de Gs=2.65, e índices de vacíos máximo y mínimo de emax=0.783 y emin=0.48 respectivamente [4] Se utilizó laponita RD, una nanoarcilla sintética, como finos plásticos La unidad elemental de la laponita tiene forma laminar de 25 nm de diámetro y 1 nm de altura Las propiedades geotécnicas reportadas de este
material son ángulo de fricción ϕ entre 27.2°-37.9° y cohesión c entre 3.1-20.7 (kPa) en ensayos de corte directo [5] Las muestras de suelo fueron preparadas mediante mezclado en seco de arena de Ottawa y laponita en un rango del 1% a 20% de la masa de arena, dependiendo del ensayo específico realizado. El programa experimental incluye ensayos de distribución granulométrica, corte simple, hinchamiento libre, presión de hinchamiento y consolidación edométrica
3. RESULTADOS Y ANÁLISIS
3.1. Índice de vacíos e interacción de partículas
La adición de laponita modificó el índice de vacíos de la arena de Ottawa. Los índices de vacíos máximo y mínimo presentaron una tendencia similar: un ligero aumento con el 1% de finos, seguido de un descenso progresivo hasta el 15%, y un aumento más allá de este contenido En porcentajes bajos de laponita (< 5%), los diámetros característicos D10, D30, y D60 aumentaron, lo que sugiere que el nanomaterial influye en la distribución granulométrica aparente y en el empaquetamiento de las partículas
3.2. Resistencia al corte y rigidez
La Figura 1 presenta el esfuerzo cortante no linear frente a la deformación angular de las mezclas de arena y laponita bajo esfuerzos de confinamiento de 98.1 kPa, 196.2 kPa y 294.3 kPa, con densidades relativas de 20% y 70%. A un confinamiento constante, las muestras más densas (Dr=70%) exhibieron una resistencia al corte entre un 10-14% mayor en comparación con las muestras más sueltas (Dr=20%) Para una densidad determinada, el esfuerzo cortante aumentó entre un 30%-85% al incrementar el confinamiento, correspondiendo con el límite superior de las muestras densas La laponita pura, ensayada por separado, también mostró un aumento de la resistencia con el confinamiento

Fig 1 Esfuerzo cortante vs deformación angular para arena de Ottawa con a) 0%, b) 1%, c) 3%, d) 5% con Dr 20% y Dr 70%, y e) laponita pura
El análisis de la Línea de Estado Crítico reveló una disminución en el ángulo de fricción con el incremento del contenido de laponita La cohesión aumentó sistemáticamente, aproximándose al parámetro de resistencia de la laponita pura con un ángulo de fricción de 31.6 ° y una cohesión de 26.5 kPa. El módulo de corte también se elevó con el confinamiento, con un incremento promedio del 15% y 30%, para las muestras sueltas y densas respectivamente
3.3. Hinchamiento libre y presión de hinchamiento
La Figura 2a muestra las curvas de hinchamiento libre para las mezclas de arena de Ottawa-Laponita en concentraciones que oscilan entre el 1% y el 20%, a densidades relativas del 20% y 70%. La deformación volumétrica aumentó con el contenido de laponita. Con un contenido del 1%, el hinchamiento ocurrió solo en las mezclas sueltas, mientras que, a contenidos más altos, las muestras densas mostraron generalmente una mayor expansión máxima (3%-14%). La ausencia de hinchamiento en las mezclas densas con 1% de laponita se atribuyó a la presencia de finos en las zonas de contacto entre las partículas y a la distribución no homogénea de las partículas en los vacíos intergranulares. Considerando una densidad aparente de la laponita de 10 kN/m³, se requiere aproximadamente un 2% respecto a la masa seca de la arena para ocupar totalmente los vacíos de la arena de Ottawa. Para los estados sueltos la laponita hidratada separó las partículas de arena, mientras que, en los estados densos la fricción del suelo en la cámara se opuso a la expansión.
La Figura 2b presenta la evolución de la presión de hinchamiento para diferentes mezclas de arenalaponita La laponita pura alcanzó un máximo de 2200 kPa después de 2 días, al contrario de las mezclas que alcanzaron su punto máximo en 1 día con rangos de 80 kPa (5% laponita) hasta 260 kPa (20% laponita). Los resultados muestran que el esfuerzo axial máximo y el tiempo necesario para alcanzar dicho valor dependen en gran medida del contenido de laponita. Los porcentajes más bajos promovieron una hidratación más rápida debido a la alta permeabilidad. Los porcentajes más altos retrasaron la presión máxima debido a la reducción de la permeabilidad


mezclas de arena y laponita.
3.4. Consolidación
La Figura 3 presenta las curvas de consolidación para mezclas de arena-laponita con un contenido de 5% al 20%. En la fase de carga inicial, la mezcla mostró una baja compresibilidad con pequeñas deformaciones volumétricas para un incremento de esfuerzo dado. Estarespuesta se atribuyó al arreglo inicial suelto de las partículas de arena y laponita. Al aumentar el esfuerzo efectivo las mezclas se densificaron más rápidamente, produciendo una tasa de deformación volumétrica más pronunciada. Durante la descarga, la trayectoria esfuerzo-deformación siguió una tendencia no lineal pero más plana
Fig 2 a) Curvas experimentales de hinchamiento libre para Dr de 20 y 70; b) Presión de hinchamiento de muestras
en comparación con la carga, resultando en un ciclo de histéresis debido a la combinación de la deformación plástica

Fig 3 Diagrama del proceso de consolidación de todas las muestras.
4.
CONCLUSIONES
Los resultados experimentales demostraron que la incorporación de laponita modifica la respuesta mecánica de la arena de Ottawa A bajo contenidos, la laponita se adhiere a las partículas de arena mejorando su resistencia al corte mediante el aumento de la cohesión. A contenidos altos domina la estructura granular, reduciendo el ángulo de fricción y aumentando la compresibilidad El comportamiento de hinchamiento resulta ser altamente sensible a la densidad y a la distribución de finos, mostrando una hidratación más rápida a bajos contenidos y máximos retrasados a medida que la permeabilidad disminuía con contenidos más altos. Los ensayos de consolidación confirmaron un aumento en la compresibilidad en comparación con la arena limpia. En general, los hallazgos destacan que incluso pequeñas adiciones de finos de alta plasticidad pueden influir fuertemente en la estructura del suelo y en sus propiedades mecánicas. Se enfatiza la necesidad de definir umbrales de contenidos de finos de acuerdo con la propiedad y la condición que se evalúe
5. REFERENCIAS
[1] Fan J, Rowe R K, Brachman R W. Compressibility and permeability of sand–silt tailings mixtures. Canadian Geotechnical Journal 2022; 59(8): 1348–1357. doi: 10.1139/cgj-2021-0356.
[2] Shi X S , Yin J. Consolidation Behavior for Saturated Sand–Marine Clay Mixtures Considering the Intergranular Structure Evolution. J Eng Mech 2018; 144(2). doi: 10.1061/(asce)em.19437889.0001391.
[3] Ochoa-Cornejo F. Dynamic Behavior of Sand with NanoParticles 2017.
[4] Ochoa-Cornejo F. Cyclic Behavior of Sands With Superplastic Fines. Ph.D. Dissertation, School of Civil Engineering, Purdue University, West Lafayette, IN 47906, USA; 2015.
[5] Pardo Ojeda K I. Física/Química/Geotecnia de Laponita: Potenciales aplicaciones. Universidad de Chile, Santiago de Chile; 2020.



EFECTO DE LA VARIABILIDAD ESPACIAL DE LAS PROPIEDADES GEOTÉCNICAS EN LOS DESPLAZAMIENTOS COSISMICOS DE TRANQUES DE RELAVES
T. Orellana (1) , F. Pinto (2), C. Pastén (3), R. Gesche 43) (1) SRK Consulting Chile SpA, torellana@srk.cl (2) Universidad de Chile, franpinto@uchile.cl (2) Universidad de Chile, cpasten@uchile.c l (2) Universidad de Chile, rgesche@uchile.cl
RESUMEN/ ABSTRACT
Chile, como principal productor de cobre, reúne algunos de los tranques de relaves más grandes del mundo en una zona de alta sismicidad, donde su falla puede generar severas consecuencias humanas, económicas y ambientales. Normativas nacionales e internacionales exigen estudios geotécnicos detallados para garantizar su estabilidad, integrando análisis estáticos y dinámicos no lineales. No obstante, persisten incertidumbres ligadas a la sismicidad, las propiedades del material y las decisiones de diseño y construcción. A diferencia de la variabilidad espacial natural de los suelos de formación geológica, los relaves presentan alta variabilidad espacial producto del proceso constructivo y origen del geomaterial En consecuencia, se evalúa el efecto de esa variabilidad en los desplazamientos cosísmicos mediante análisis dinámicos no lineales estocásticos con elementos finitos, modelando un tranque arquetípico de arenas de relave e incorporando teoría de campos aleatorios y ensayos CPTu in situ. Los resultados una dispersión global más reducida, pero con una mayor variabilidad local, lo que permitió representar de forma más realista las heterogeneidades naturales del terreno, resaltando la necesidad de incluir la variabilidad espacial en evaluaciones sísmicas y sentando bases para futuros enfoques probabilísticos.
Palabras-Clave: Desplazamientos cosísmicos, Variabilidad espacial, depósitos de relaves
1. INTRODUCCIÓN
Chile concentra grandes tranques de relaves en una zona altamente sísmica, donde su falla puede acarrear consecuencias humanas, ambientales y económicas severas. Aunque la normativa nacional (DS N°248, 2007) establece lineamientos claros para el diseño y operación de estas estructuras, incluyendo análisis estáticos y dinámicos, en la práctica persisten importantes incertidumbres. Un aspecto crítico es la variabilidad espacial de los parámetros geotécnicos, producto de procesos constructivos prolongados, compactación por capas, uso de distintos materiales, maquinaria y condiciones ambientales. Esta heterogeneidad genera zonas con diferente resistencia y deformabilidad que no siempre son capturadas en los análisis deterministas, comprometiendo la estabilidad de la presa (Guo et al., 2019; Phoon & Kulhawy, 1999).
Para abordar este desafío, la variabilidad espacial del suelo puede representarse mediante campos aleatorios, construidos a partir de descriptores estadísticos como la media, el coeficiente de variación y la escala de fluctuación, obtenidos en ensayos in situ o de laboratorio (Phoon & Kulhawy, 1999). Estas caracterizaciones permiten generar correlaciones espaciales, por ejemplo, con funciones de tipo Markov, que se integran en simulaciones numéricas estocásticas con el método de Elementos Finitos (EF) (Guajardo et al., 2024). En este trabajo se aplica dicho enfoque para modelar las deformaciones cosísmicas de un tranque arquetípico de arenas de relave, contrastando escenarios deterministas y probabilísticos. Losresultados permiten identificar el efecto de la variabilidad espacial en asentamientos y desplazamientos sísmicos, aportando criterios que refuercen la confiabilidad y seguridad en el diseño y gestión de estas infraestructuras críticas (Griffiths & Fenton, 2004).
2. METODOLOGIA
Se desarrolló un modelo numérico bidimensional mediante el método de elementos finitos (OpenSees) para simular el comportamiento dinámico de un tranque de relaves de arenas ciclonadas, bajo las consideraciones detallas en Orellana (2025). La presa presenta una altura de 63,7 m, un ancho de coronamiento de 20 m y las demás características geométricas se muestran en la Fig.1. En los límites laterales y la base se implementaron condiciones de bordes absorbentes. El mallado se generó con un sesgo en el tamaño de los elementos, alcanzando aproximadamente 0,5 m junto al muro y aumentando gradualmente hacia los bordes, cumpliendo con el criterio establecido por Lysmer y Kuhlemeyer (1969).

Fig. 1 Esquema de las dimensiones (m) y materiales constitutivos de cada parte del modelo
El análisis se ejecutó en tres etapas: estática elástica (gravedad), estática plástica (posible fluencia por peso propio) y dinámica. El registro sísmico utilizado corresponde al evento de Iquique 2014 (estación PB11), con una duración de 130 s y un intervalo de muestreo de Δt = 0,01 s, aplicado como velocidad en la base. La respuesta se monitoreó en 3 nodos: NCI, NCC y NCD en coronamiento.
La modelación constitutiva, distingue diferentes zonas: la fundación se idealiza elástica (Vₛ ≈ 900 m/s); los relaves se representan con PIMY acoplado a FluidSolidPorous para capturar comportamiento no drenado, usando una resistencia al corte dependiente del esfuerzo efectivo dado por la Ec. 1, implementada mediante capas de 1 m para calcular σ′ᵥ localmente.
Sᵤ = 20 + 0,1·σ′ᵥ (kPa) Ec. 1
El muro de partida y la presa se modelan con PDMY02; los parámetros clave de la presa de arenas ciclonadas (peso específico γ, ángulo de fricción efectiva ϕ′, rigidez a pequeñas deformaciones G₀) se obtienen a partir de ensayos CPTu, mediante correlaciones geoestadísticas y su relación con Vₛ. Se calcula Gᵣ a presión de referencia a partir de G₀, usando la dependencia con presión Los parámetros adicionales se tomaron desde los valores sugeridos, calibrados para la arena Nevada Sand en el trabajo de Parra (1996).
Se implementaron amortiguamientos de Rayleigh para pequeñas deformaciones, definidos a partir de las frecuencias fundamentales de cada material. Estas frecuencias se obtuvieron mediante funciones de transferencia 1D considerando el perfil Vs(z).
Con esta caracterización se definen tres casos:
(1) Caso determinístico: con los perfiles promedio obtenidos desde los CPTu del γ, ϕ′ y G₀;
(2) Caso probabilístico: se modelaron los parámetros γ, G₀ y φ′ mediante distribuciones lognormales ajustadas a datos de CPTu, obteniendo los percentiles 5, 50 y 95. A partir de ellos se generaron 27 combinaciones mediante un muestreo factorial general.
(3) Caso con campos aleatorios: se incorporan directamente en el modelo de Elementos Finitos los parámetros de variabilidad espacial (coeficiente de variación y longitudes de correlación), siguiendo la metodología establecida por Guajardo et al. (2024) y utilizada en Miranda (2024). Esta se basa en la función de correlación de Gauss que genera un campo aleatorio bidimensional Ec. 2, propuesta originalmente por Vanmarcke et al. (1986).
Ec. 2
3. RESULTADOS
Los asentamientos obtenidos desde el modelo están presentados en la Fig. 2. Donde el grafico (a) muestra el comportamiento en el tiempo y en la gráfica (b) se resumen los asentamientos en un diagrama de caja y bigotes, donde la línea naranja representa la media, la caja está dada por los percentiles 25 y 75, siendo los bigotes los valores mínimos y máximos.
En el caso determinístico, el coronamiento presenta un asentamiento global con descensos de 8 cm en NCC, 9 cm en NCI y 11 cm en NCD, evidenciando deformación diferencial. En el probabilístico, los asentamientos crecen durante la solicitación sísmica y se estabilizan entre 4 y 12 cm. Con campos aleatorios, NCI y NCC se desplazan aguas arriba (2–8 cm y 1.5–5 cm), mientras NCD lo hace aguas abajo (0–2 cm).

Fig. 2. Asentamientos obtenidos en los nodos del coronamiento para los 3 casos de estudio. (a) Curvas de asentamientos en el tiempo. (b) Diagramas de cajas y bigotes para los asentamientos.
4. ANALISIS DE RESULTADOS
En términos de asentamientos, los resultados muestran que los valores determinísticos en los nodos del coronamiento (NCC, NCI y NCD) tienden a ubicarse en el extremo superior de los intervalos probabilísticos, coincidiendo en varios casos con los máximos observados. Para el nodo central (NCC), por ejemplo, el asentamiento residual de 8.5 cm equivale al valor máximo del análisis probabilístico y supera en 21.2 % la mediana, en 20 % la media y en 4.7 % y 34 % a los percentiles 25 y 75, respectivamente. Este patrón se repite en los nodos laterales, lo que evidencia que un análisis determinista, basado en parámetros promedio, no necesariamente refleja el comportamiento medio esperado, sino que tiende a entregar estimaciones conservadoras de los asentamientos en el coronamiento.
Al incorporar la variabilidad espacial mediante campos aleatorios, los resultados muestran un comportamiento diferente: en los nodos del coronamiento, los valores determinísticos resultaron menores que las medianas de los campos aleatorios, con diferencias de 11.7 %, 14 % y 2 % en NCI, NCC y NCD, respectivamente. Este contraste refleja que el modelo estocástico asigna propiedades distintas a cada elemento de la presa, permitiendo representar de manera más realista las heterogeneidades del suelo. De esta forma, se logra capturar escenarios que localmente pueden ser Parámetro
Tabla 1. Parámetros del perfil de suelo.
más o menos favorables en términos de deformaciones, entregando una visión más cercana al comportamiento esfuerzo-deformación real de la estructura frente a solicitaciones sísmicas. Finalmente, la comparación entre los enfoques probabilístico y estocástico evidencia diferencias claras en la dispersión de resultados. Mientras el análisis probabilístico depende de un número limitado de combinaciones discretas de percentiles, los campos aleatorios generan respuestas continuas dentro de las bandas de desviación estándar, lo que se traduce en boxplots más compactos y coherentes. Esto no implica menor representatividad, sino una mejor captura de la heterogeneidad natural del terreno, lo que permite identificar zonas localmente más estables o más propensas a deformaciones, ofreciendo un marco metodológico más robusto para la evaluación sísmica de tranques de relaves.
5. CONCLUSIONES
Este trabajo evaluó el efecto de la variabilidad espacial de parámetros geotécnicos (peso específico, ángulo de fricción interna y módulo de corte) sobre la respuesta de desplazamientos cosísmicos de una presa de relaves mediante tres enfoques: determinístico, probabilístico y estocástico con campos aleatorios. El análisis determinista sirvió como base de comparación y mostró un comportamiento coherente con lo esperado, aunque con valores cercanos al límite superior de seguridad. El enfoque probabilístico evidenció que los resultados deterministas tienden a ser más conservadores y permitió explorar un rango más amplio de posibles respuestas. El análisis con campos aleatorios permitió introducir directamente la variabilidad espacial en el modelo numérico, representando de forma más realista las heterogeneidades del terreno. Esto generó respuestas más localizadas, pero estadísticamente consistentes, capturando mejor los efectos de zonas con diferentes propiedades geotécnicas dentro del muro. A pesar de una menor dispersión global respecto al caso probabilístico, los desplazamientos y asentamientos se mantuvieron dentro de las bandas de desviación estándar, validando la robustez del enfoque. En conjunto, se cumplieron los objetivos planteados, demostrando que los enfoques estocásticos ofrecen herramientas más sólidas y precisas para el diseño y la evaluación sísmica de presas de relaves.
6. AGRADECIMIENTOS
Este estudio fue financiado por el Advanced Mining Technology Center (AMTC) a través del Proyecto Basal AMTC AFB230001. Financiamiento adicional fue proporcionado ANID, Proyecto Postdoctoral FONDECYT 3230313 y el Proyecto FONDECYT 1240744. Además, se recibió apoyo de la Vicerrectoría de Investigación a través del Proyecto N° AYV036/01-23.
7. REFERENCIAS
[1] Decreto Supremo N°248. Reglamento para la aprobación de proyectos de diseño, construcción, operación y cierre de los depósitos de relaves. Ministerio de Minería; 2007. Disponible en: https://bcn.cl/2f8x6
[2] Guajardo B, Pinto F, Astroza R. Effects of soil spatial variability on the seismic response of multi-span simply-supported highway bridges. Bulletin of Earthquake Engineering 2024;22:2643-2675. https://doi.org/10.1007/s10518-024-01872-6
[3] Guo X, Dias D, Pan Q. Probabilistic stability analysis of an embankment dam considering soil spatial variability. Computers and Geotechnics. 2019;113:103093. https://doi.org/10.1016/J.COMPGEO.2019.103093
[4] Lysmer, J., & Kuhlemeyer, R. L. (1969). Finite dynamic model for infinite media. Journal of the Engineering Mechanics Division, ASCE, 95(EM4), 859–876.
[5] Miranda Muñoz VP. Efecto de la variabilidad espacial de las propiedades geotécnicas en la estabilidad física de un tranque de relaves [Memoria para optar al título de Ingeniera Civil]. Universidad de Chile; 2024.
[6] Orellana Villena TF. Efecto de la variabilidad espacial de las propiedades geotécnicas de la presa en la respuesta sísmica de un tranque de relaves [Tesis de pregrado]. Santiago de Chile: Universidad de Chile; 2025.
[7] Parra-Colmenares, E. J. (1996). Numerical modeling of liquefaction and lateral ground deformation including cyclic mobility and dilation response in soil systems (Doctoral dissertation). Rensselaer Polytechnic Institute. https://www.semanticscholar.org/paper/Numericalmodeling-of-liquefaction-and-lateral-and-Parra-Colmenares/c59c77e59acd58e237899d87ee755740da4ba69c
[8] Phoon, K.-K., & Kulhawy, F. H. (1999). Characterization of geotechnical variability. Canadian Geotechnical Journal, 36(4), 612–624. https://doi.org/10.1139/t99-038
[9] Vanmarcke E, Shinozuka M, Nakagiri S, Schuëller GI, Grigoriu M. Random fields and stochastic finite elements. Structural Safety 1986;3:143-166. https://doi.org/10.1016/0167-4730(86)90002-0



Análisis Numérico del Mecanismo de Falla en Suelos Arenosos por Fugas de Agua Potable
S. Avendaño (1), Y. Niño (2) (1) Departamento de Ingeniería Civil, Universidad de Chile, sebastian.avendano@ing.uchile.cl (2) Departamento de Ingeniería Civil y Advanced Mining Technology Center (AMTC), Universidad de Chile, ynino@ing.uchile.cl
RESUMEN /ABSTRACT
Las fugas en tuberías provocan pérdidas de agua, erosión interna y riesgos de asentamientos o socavones, sin embargo, la modelación numérica de alta resolución para distintas direcciones y profundidades de fuga aún es limitada. Este trabajo acopla CFD-DEM (OpenFOAM-LIGGGHTS) para resolver la interacción fluido-partícula en un lecho granular saturado sometido a exfiltración lateral. Se simula un contenedor rectangular con partículas y una tubería defectuosa bajo presión, evaluando parámetros como caudal, área y geometría de falla. La comparación de tres casos con distinto diámetro hidráulico D muestra que el adimensional D/L gobierna la intensidad de la erosión: a mayor D/L,se acelera la socavación,aumenta el amontonamiento aguas abajo y se alcanza antes un régimen cuasi estacionario. Las líneas de corriente se curvan hacia la superficie, arrastrando partículas y generando un patrón cíclico de circulación que culmina en socavones en la superficie sobre el origen de la fuga. Se validan modelos analíticos de pérdida de presión en el suelo, vinculados a la configuraciónde la fuga. Esteenfoque mejorala comprensión de la interacciónaguasuelo y ofrece herramientas para mitigar daños en infraestructuras críticas.
Palabras-Clave: Fugas de Agua Potable, Erosión de Suelo, Acople CFD-DEM.
1. Introducción
Se han reportado múltiples accidentes socavones asociados a fugas en redes de agua potable, que van desde fallas en el pavimentoy caídas de vehículos hasta la inhabilitación de viviendas, comoen el caso de los edificios en las dunas de Concón. Comprender rel mecanismo físico de la socavación es clave para diseñar medidas de mitigación y protocolos de inspección. El tamaño, forma, ubicación y direcciónde la rotura; las diversas condiciones hidráulicas; y el tipo de suelo son variables que cambian sustancialmente las condiciones del problema [1][2]. Este artículo aborda la modelación numérica, acoplando las fasesfluido-partícula, para elproblema deexfiltraciónen suelos granulares, describiendo el mecanismo de erosión y contrastando con modelos analíticos.
2. Metodología
El estudio analiza una fugalateral en una tubería enterrada en arena a baja profundidad, con salida de agua horizontal. La simulación se realiza en un contenedor de 22,5 x 12 x 8 cm, con un orificio en el muroizquierdo de 1,2 cm deancho y alto variable. Este inicia un flujo de agua horizontal que incide en el lecho de partículas.



(a) (b) (c)
Figura 1. Condiciones iniciales y de borde de la simulación. (a) Contenedor con partículas. (b) Entrada de agua. (c) Salida de agua.
Las simulaciones se realizan en CFDEM [3], que acopla las fases sólida y líquida mediante la transferencia de fuerzas fluído-partícula, empleando OpenFOAM para modelar el fluido y LIGGGHTS para las partículas. El flujo se modela con un modelo de turbulencia RANS y el lecho está conformado por partículas mono-tamaño no cohesivas, saturadas. Los parámetros físicos y computacionales se presentan en la Tabla 1.
Tabla 1. Parámetros físicos y ajustes computacionales
Propiedades de partículas
Densidad, ρp (kg/m³) 2500 Diámetro de partícula, dp (mm) 2,6
Módulo de Young, E (Pa) 5⋅106 Número de Partículas 122048
Poisson, ν 0,45
Propiedades del Fluido
Densidad, ρf (kg/m³)
Ajustes Computacionales
(m²/s)
(s) 10
de tiempo CFD, ΔtCFD (s) 1 10 6 Tiempo de cómputo (horas) 8
La velocidad del chorro aumenta de 0 a 2,8 m/s en los primeros 4 s, y se mantiene en esta velocidad hasta el final de la simulación (10 s). Se analizan tres alturas de orificio: 9, 12 y 15 cm, con igual velocidad máxima. Para comparar los casos se utiliza el parámetro adimensional D/L, siendo D el diámetro hidráulico y L la profundidad de fuga (L). El diámetro hidráulico se calcula según �� = 2����/(��+��), donde W y H son el ancho y el alto, respectivamente,del orificiode fuga. Los casos se resumen en la Tabla 2.
Tabla 2. Resumen de los casos considerados. Caso W (cm)H (cm) D (cm) L (cm) D/L Caudal Máx (l/h)
1
3. Mecanismo de Falla y Modelación de Presiones
En la Figura 2 se puede observar el estado final a los 10 segundos de las simulaciones, para los tres casos D/L. Se incluye la representación de las partículas comoesferas grises y un panel vertical de la magnitud de velocidad del fluido. Es posible notar que el nivel de erosión, tanto en velocidad de flujo, socavación y amontonamiento de partículas, está directamente relacionado con el adimensional D/L, que representa el tamaño del orificio de fuga.



(a) (b) (c)
Figura 2. Estado final de las simulaciones en t=10 segundos. (a) D/L=0,14. (b) D/L=0,16. (c) D/L=0,17.
Esta correlacióntambién queda demostradapor elnivel desocavadoy amontonamientode lasuperficie en función del tiempo. En la Figura 3, se muestra el desplazamiento vertical de la partícula más profunda de la superficie en (a) y de la más prominente en (b), para los tres casos. Estos desplazamientos son caracterizados conel parámetro Δ��/��,donde Δ�� es la diferenciaen el eje vertical entre la superficie original y su mayor asentamiento o amontonamiento, y �� es la profundidad del punto medio del orificiode fuga Enambos procesos, la erosión del caso 3 se desarrolla primero, seguida por el caso 2 y, finalmente, el 1. Se alcanza un estado aproximadamente estacionario en los 3 casos, aunque la formade la curvadel caso1 sugiere que suestado de erosión podría seguir desarrollándose. El porcentaje de erosión presenta una relación lineal con la apertura del orificio.


(a) (b)
Figura 3. Proceso de erosión de las simulaciones. (a) Socavación. (b) Amontonamiento.
Las mediciones cercanas a la fuga permiten obtener el perfil de velocidades en tres direcciones y la presión (Figura 4, Caso 2, similar en formapara los otros casos). En las velocidades, las direccionesx (coincidente con el jet de la fuga) y z (dirección vertical) incrementan linealmente hasta t ≈ 2 s. En este punto, Uz disminuye a0 mientras Ux aumentanuevamente hasta t ≈4 s, indicando inicio de fluidización de las partículas y menor resistencia al flujo horizontal. En presión, el aumento es monótono hasta t ≈ 2 s, momento en que desciende brevemente y alcanza un estado estacionario hacia t ≈ 2,5 s. La dispersión posterior podría deberse al ingreso de partículas al flujo.

Figura 4. Perfil de velocidades (arriba) y presiones (abajo) cercano a la fuga en el caso 2. La ecuación de Ergun [4] modela la pérdida de presión en lechos granulares, pero para un chorro horizontal la ecuaciónde Peng & Fan [5] resulta másadecuada al considerar la geometría cónica de la falla [6]. La Figura 5 compara ambas soluciones analíticas con los resultados numéricos, mostrando que a Uz ≈ 0,15 m/s se observa un corrimiento de la solución analítica, posiblemente por el inicio de la fluidización.

Figura 5. Pérdidas de presión muestreadas y modeladas analíticamente.
4. CONCLUSIONES
Los resultados muestran una relación directa entre el nivel de erosión del lecho granular y la apertura del orificio de fuga. La pérdida de presión previa a la fluidización puede modelarse con la ecuación de Peng and Fan [5], válida hasta ciertas velocidades, tras las que diverge, posiblemente por el inicio de la fluidización. Si bien el estudio se realizó con tuberías a 10 centímetros de profundidad, la expresión analítica podría ser extrapolable a profundidades mayores, aunque este uso requiere validación experimental y/o numérica. Conociendo el caudal y profundidad de fuga en lechos granulares no cohesivos, sería posible estimar la presencia de fluidización localizada en la cercanía de la fuga, permitiendo evaluar su criticidad.
5. AGRADECIMENTOS
Esta investigación se realizó con el apoyo de ANID-Subdirección de Capital Humano/Doctorado Nacional/2023/Folio(21232179) y Proyecto Basal AMTC AFB230001.
6. REFERENCIAS
[1] Zhang, D. M., Du, W. W., Peng, M.Z., Feng, S. J., y Li, Z. L. (2020). Experimental and numerical study of internal erosion around submerged defective pipe. Tunnelling and Underground Space Technology, 97.
[2] Dastpak, P.,Sousa, R.L., y Dias, D. (2023). Soil Erosion Dueto DefectivePipes: A Hidden Hazard Beneath Our Feet. Sustainability (Switzerland), 15 (11).
[3] Goniva, C., Kloss, C., Deen, N.G., Kuipers, J.A.M. and Pirker, S. (2012): “Influence of Rolling Friction Modelling on Single Spout Fluidized Bed Simulations”, Particuology, DOI 10.1016/j.partic.2012.05.002
[4] Ergun, S. (1952). Fluid flow through packed columns. Chem. Eng. Prog., 48 , 89–94.
[5] Peng, Y., & Fan, L. (1997). Hydrodynamic characteristics of fluidization in liquid-solid tapered beds. Chemical Engineering Science, 52 (14), 2277–2290.
[6] Alsaydalani, M. O. (2020). Failure mechanism of a granular bed induced by a horizontal water jet using particle image velocimetry. KSCE Journal of Civil Engineering, 24(6), 1696–1705.



REFUERZO Y REUTILIZACIÓN DE FUNDACIONES PROFUNDAS EXISTENTES
F. Lopez
(1)
(1) Tiroler Rohre GmbH, freddy.lopez@trm.at
RESUMEN/ ABSTRACT
La sustentabilidad en la industria de la construcción solo puede alcanzarse si se reduce la huella de carbono de las soluciones constructivas implementadas. En este sentido, la reutilización de estructuras existentes - incluyendo sus fundaciones - resulta ser la solución más sustentable. En el caso de las fundaciones, éstas no siempre pueden ser simplemente reutilizadas y precisan de ser recalzadas o reforzadas. En el marco de un estudio de factibilidad para una intervención en la ciudad de Colonia (Alemania), se evaluó la ampliación de una estructura de hormigón armado que se diseñó como espacio de estacionamiento. La estructura en cuestión estaba fundada sobre pilotes preexcavados. Debido a la envergadura de la extensión y el cambio de uso previsto, se esperaban elevadas cargas incrementales actuantes sobre las fundaciones, mismas que ya no podían ser transferidas con adecuada seguridad al subsuelo mediante los pilotes existentes sin considerar elementos de refuerzo. El presente artículo describe el refuerzo propuesto, empleando pilotes de pequeño diámetro (< 30 cm), con el fin de incrementar la capacidad portante externa de las fundaciones existentes. El artículo se centra en la evaluación de la interacción entre los elementos de la fundación reforzada, realizada mediante el desarrollo de modeles numéricos. En base a los resultados obtenidos, se presentarán también recomendaciones constructivas para la implementación del refuerzo.
Palabras-Clave: reutilización, refuerzo, pilotes de pequeño diámetro, decarbonización
1. INTRODUCCIÓN
Para el recalce de fundaciones existentes, es común llevar a cabo los trabajos de refuerzo desde los niveles de cimentación, con las correspondientes restricciones de espacio, considerando típicamente la mejora del subsuelo (p.ej. mediante inyecciones) y/o el recalce con elementos portantes adicionales (columnas de jet grouting, pilotes de pequeño diámetro, etc.).
Este documento presenta los resultados de un análisis teórico, llevado a cabo durante el estudio de factibilidad del proyecto de ampliación de la piscina pública “Aggripabad” en Colonia, Alemania. El alcance del estudio incluía la reutilización de un estacionamiento de dos plantas (con un nivel subterráneo) para albergar una ampliación del edificio contiguo, así como la propuesta de refuerzo de sus fundaciones existentes (pilotes preexcavados) mediante pilotes de pequeño diámetro (micropilotes autoperforantes y pilotes de hierro dúctil). La definición del proyecto y el análisis de la interacción entre los pilotes existentes y el refuerzo se presenta a continuación.
2. ANÁLISIS DE LA FUNDACIÓN REFORZADA
Según la información proporcionada por el Ingeniero Estructural, el estacionamiento existente está fundado sobre pilotes preexcavados de 9.0 m de longitud y 0.8 m de diámetro, que fueron diseñados en 1999 para una carga de servicio a compresión de Nserv,0 = 1000 kN, de acuerdo con las normas alemanas DIN 1054 y DIN 4014, vigentes en ese momento. Debido a la ampliación de las instalaciones, se espera una nueva carga de servicio para los pilotes Nserv,1 = 2500 kN (Fig. 1, izquierda). El considerable incremento de carga hace preveer que los pilotes existentes no cumplirían los nuevos requisitos de carga por sí solos, por lo que se presentaron posibles alternativas de refuerzo mediante pilotes de pequeño diámetro, dispuestos simétricamente alrededor de los pilotes existentes (Fig. 1, derecha).

Fig. 1 Izquierda: intervención prevista. Derecha: refuerzo propuesto
Para el análisis de la cimentación reforzada, se desarrolló un modelo numérico en el Instituto de Ingeniería Geotécnica (IGtH) de la Universidad Leibniz de Hannover, Alemania, en 2019. La descripción detallada del análisis realizado se encuentra en [Lopez et al., 2019] Un análisis preliminar se centró en evaluar el comportamiento de los pilotes individuales, comparando los resultados de la simulación numérica con Plaxis 3D con los resultados de un modelo analítico descrito en las “Recomendaciones sobre Pilotaje (EAP)” [DGGT, 2012], que conjuntamente con el Eurocódigo 7 [EN 1997-1, 2010] representa la práctica alemana actual para el diseño de fundaciones pilotadas. Los resultados del análisis preliminar (Fig. 2, derecha) muestran una buena concordancia entre las resistencias mobilizadas por los pilotes para asentamientos de hasta 3.0 cm. Ambos modelos muestran un asentamiento aproximado s ≈ 1 cm para una carga de servicio Nserv,0 = 1000kN. De igual forma, ambos modelos evidencian que los pilotes experimentarían asentamientos inadmisiblemente elevados (> 6 cm) para una carga de servicio Nserv,1 = 2500kN.

Fig. 2. Análisis del pilote individual. Izquierda: Modelo analítico (EAP 2012). Centro: modelo numérico (Plaxis 3D). Derecha: curvas carga-asentamiento para un pilote individual
Dado que los asentamientos admisibles para cargas de servicio suelen estar en el rango comprendido entre 2 cm - 3 cm, el comportamiento portante de la fundación pilotada, simulado mediante el modelo numérico, puede considerarse adecuado para el análisis posterior del refuerzo y su interacción con el pilote existente.
El cálculo se realiza en cinco pasos (Fig. 3): en el primer paso, se genera el estado de tensión inicial teniendo en cuenta únicamente los elementos del suelo: las tensiones horizontales (σH) se definen mediante el coeficiente de empuje en reposo (k0). En el segundo paso, los elementos predefinidos que definen la geometría del pilote se sustituyen por elementos de hormigón (material lineal-elástico) y se activa el contacto entre el pilote y el suelo circundante. En el tercer paso, se aplica la carga vertical de Nserv,0 = 1000 kN al centro del pilote. En un cuarto paso, se activan los elementos predefinidos que representan el refuerzo (micropilotes o pilotes de hierro dúctil) y el cabezal (conexión rígida). En el último y quinto paso, se aplica una carga vertical incremental (Ninc) al centro del cabezal hasta que se alcanza un asentamiento igual al 10 % del diámetro del pilote (D).

Fig. 3. Presentación esquemática de los pasos de cálculo (modelo axi-simétrico)
Los resultados del análisis se muestran en la Fig. 4. Mientras que el pilote aislado requeriría un asentamiento de spilote ≈ 6.2 cm para movilizar una resistencia igual a la carga de servicio requerida de Nserv,1 = 2500 kN, la fundación reforzada (pilotes y pilotes de pequeño diámetro) requiere un asentamiento mucho menor sref ≈ 1.6 cm, poniendo de manifiesto la contribución de los elementos de refuerzo. Debido a la conexión rígida entre los diferentes elementos, los asentamientos incrementales (0.6 cm) de la fundación reforzada también se inducen al pilote. Para el asentamiento total mencionado anteriormente de sref = 1.6 cm, el pilote recibiría una carga de servicio de Nserv,pilote = 1200 kN, y los pilotes de pequeño diámetro recibirían ∆N = 1300 kN. El comportamiento portante de la fundación reforzada puede considerarse completamente satisfactorio.

Fig. 4. Curva Carga-Asentamiento de la fundación reforzada
3. ASPECTOS DE SUSTENTABILIDAD EN LA REUTILIZACIÓN DE FUNDACIONES EXISTENTES
La sustentabilidad en la industria de la construcción solo puede alcanzarse si se reduce la huella de carbono de las soluciones constructivas implementadas. Actualmente, el foco está centrado en minimizar al máximo las emisiones iniciales y en reducir, o como último recurso, compensar todo el carbono incorporado restante con el fin de alcanzar el objetivo de cero emisiones netas a lo largo del ciclo de vida de cualquier edificio o infraestructura [WGBC, 2019] En este sentido, la reutilización de estructuras existentes – incluyendo sus fundaciones – sigue el principio de “construir menos” y puede dar lugar a reducciones considerables. Los enfoques de “construir de forma inteligente y de forma más eficiente”, relacionados principalmente con la selección de materiales con menor huella de carbono y la adopción de nuevas técnicas para eliminar residuos, son aplicables a las obras de refuerzo y pueden dar lugar a importantes reducciones adicionales [HM Treasury, 2013]
4. RESUMEN Y CONCLUSIONES
En el marco de un estudio teórico de factibilidad, se contempló ampliar las instalaciones de la piscina pública “Aggripabad” en la ciudad de Colonia, Alemania. Para la ampliación, se evaluó reutilizar las fundaciones de un espacio de estacionamiento, fundado sobre pilotes preexcavados (longitud de 9.0m, diámetro de 0.8 m), diseñados para una carga de servicio de 1000 kN. Debido a las nuevas condiciones estructurales, se espera un notable incremento en las cargas actuantes, llegando hasta 2500 kN por pilote. En el presente documento se describe la metodología de análisis de las fundaciones existentes, así como de fundaciones reforzadas mediante el uso de pilotes de pequeño diámetro, dispuestos simétricamente y conectados rígidamente a los pilotes existentes, con el fin de aumentar la capacidad de carga del sistema reforzado y cumplir satisfactoriamente con los nuevos requisitos estructurales. La interacción entre los elementos de refuerzo y los pilotes existentes se analizó con la ayuda de un un modelo numérico, desarrollado por el Instituto de Ingeniería Geotécnica (IGtH) de la Universidad Leibniz de Hannover, Alemania. Para el refuerzo de las fundaciones existentes se consideraron micropilotes autoperforantes y pilotes de hierro dúctil., ya que su instalación flexible permite realizar intervenciones incluso en áreas con espacio restringido.
El refuerzo y la reutilización de fundaciones existentes cumplen con la filosofía central de reducción de las emisiones de carbono incorporado, en línea con los principios de “construir menos, de forma inteligente y más eficiente”; lo que supone una importante contribución a una industria de fundaciones especiales más sustentable. En este contexto, los pilotes de hierro dúctil entran en la categoría de materiales con bajas emisiones de carbono, debido al uso de chatarra de hierro 100 % reciclada y a la constante implementación de mejoras en el proceso de fabricación para reducir el carbono gris o incorporado (reutilización del calor residual, uso de energías renovables, etc.).
REFERENCIAS
[1] German Geotechnical Society (DGGT). Recommendations on Piling (EAP); 2012
[2] European Norm EN 1997-1: Eurocode 7, Geotechnical Design – Part 1: General Rules; 2010.
[3] German Norm DIN 1054: Subsoil: Permissible loading of subsoil; 1976
[4] German Norm DIN 4014:1990-03: Subsoil: Bored cast-in-place piles – Construction, design and bearing capacity; 1990
[5] HM Treasury. Infrastructure carbon review, London, UK, Rep. PU1593; 2013. Disponible en: www.gov.uk/government/publications/infrastructure-carbon-review
[6] Lopez, F., Terceros, M., Achmus, M. Verstärkung bestehender Tiefgründungen mittels Mikropfählen: das Aggripabad in Köln. Proceedings of the Pile Symposium Braunschweig; 2019
[7] World Green Building Council. Bringing embodied carbon upfront: 2019. Disponible en: www.worldgbc.org/reports/



ANÁLISIS MINERALÓGICO Y DE COMPRESIBILIDAD PARA UN SUELO DERIVADO DE CENIZA VOLCÁNICA
R. Osses (1) , M. Hermosilla (2), S. Antinao (3) (1) Universidad Católica de Temuco, rodrigo.osses@uct.cl (2) Universidad de La Frontera, mauricio.hermosilla@ufrontera.cl (3) MAHS Servicios de Ingeniería Civil Ltda., ingenierogeotecnico@gmail.com
RESUMEN
Diversas investigaciones, en particular, países con volcanismo activo como Indonesia, Japón, Nueva Zelanda y Chile han sido realizadas con el objetivo de estudiar el comportamiento y las propiedades que poseen los suelos derivados de ceniza volcánica. Estas propiedades son: alta humedad, altos valores de límite de consistencia, cambios irreversibles por secado, bajo peso unitario seco, alta sensibilidad al remoldeo y tensiones de preconsolidación (σpc) de origen químico, donde la mayoría de ellas se debe a la abundancia de minerales no cristalinos como alofán e imogolita.
Este trabajo estudia la composición mineralógica y la compresibilidad de un suelo derivado de cenizas volcánicas de la ciudad de Temuco. Técnicas de difracción de rayos x (XRD) y microscopía electrónica de barrido (SEM), además de ensayos de consolidación y corte directo consolidadodrenado fueron realizados. El análisis mineralógico revela la presencia de filosilicatos e imogolita, sugiriendo un suelo volcánico joven, además de estructuras alofónicas no bien definidas. En relación al análisis edómetrico, σpc varía de 1,70 a 2,80 kgf/cm² para método Casagrande y se obtiene un valor de 1,60 y 2,90 kgf/cm2 para el ensayo de corte directo y del método trabajo volumétrico, respectivamente.
Palabras-Clave: derivados de ceniza volcánica, tensión de preconsolidación, alofán e imogolita.
1. INTRODUCCIÓN
En la región de La Araucanía, Chile, dada su importante actividad geológica, es posible encontrar una alta presencia de suelos derivados de ceniza volcánica, los cuales presentan minerales como el alofán e imogolita, cuya estructura poco cristalina les otorga un comportamiento no convencional [1], por lo que no es posible aplicar conceptos de la mecánica de suelos tradicional. Esto puede afectar directamente el diseño de obras civiles, como deformaciones con el tiempo, afectando el diseño de fundaciones.
De acuerdo con el párrafo anterior, y dado el crecimiento urbano en la ciudad de Temuco, donde la necesidad de construir sobre estos suelos es inminente, se vuelve fundamental estudiarlos en profundidad para evaluar posibles problemas estructurales como asentamientos.
2. METODOLOGÍA
2.1 Descripción del suelo estudiado
La muestra corresponde a un suelo extraído del sector noroeste de la ciudad de Temuco, el cual está conformado por limos y limos arenosos, de color café anaranjado, consistencia firme, homogéneo y baja plasticidad, y cuyas propiedades geotécnicas presentan los siguientes valores: humedad w = 72%; densidad seca ρd = 0,72 g/cm3; densidad húmeda ρ = 1,40 g/cm3; una gravedad especifica Gs = 2,77; además de un porcentaje partículas de tamaño < 0,075 mm igual a un 99%.
2.2 Ensayo de consolidación
Para este estudio, y considerando el tipo de suelo, se aplicó método B de la norma ASTM D2435, la cual indica que se debe aplicar incrementos de carga una vez alcanzado el 100% de la consolidación primaria. La muestra fue tratada como se ve en la Figura 1.a) y las tensiones aplicadas, para el ciclo de carga fueron las siguientes: 0,125; 0,25; 0,5; 1,0; 2,0; 4,0; 8,0; y 16,0 kgf/cm2 Luego, las tensiones para el ciclo de descarga fueron las siguientes: 4,0; 1,0; 0,25 y 0 kgf/cm2 cada 24 horas.
2.2 Ensayo de corte directo consolidado – drenado
El ensayo se ejecutó considerando 5 probetas inalteradas, y de acuerdo a lo estipulado en la norma ASTM D3080 como se ve la Figura 1.b) Las tensiones normales aplicadas, luego de la etapa de consolidación, fueron las siguientes: 0.5; 1,0; 1,13; 2,0; y 3,2 kgf/cm2, mientras que la tasa de aplicación del ensayo fue de 0,25 mm/s

1. a) Muestra en anillo edómetrico;

2.3 Técnica de difracción de rayos X (XRD) y de microscopia electrónica de barrido (SEM)
Para el análisis por medio de difracción de rayos X, se utilizó el equipo de marca RIGAKU modelo Smartlab, perteneciente al Centro BIOREN de la Universidad de La Frontera, el cual, durante elanálisis, somete a la muestra a un haz de rayos X. Cuando los planos cristalinos de la muestra se alinean con el haz, se produce una reflexión que es registrada y graficada. Para este ensayo, la muestra fue acondicionada en un horno a 40°C, luego fue desmenuzada a través de un mortero de ágata con el objetivo de no reducir el tamaño de las partículas individuales y no alterar su mineralogía, y finalmente se seleccionó una muestra con partículas de tamaño inferior a 0,075 mm
Por otro lado, para el análisis de microscopia electrónica de barrido de presión variable (SEM), se utilizó un equipo Hitachi, modelo SU-3500, el cual permite analizar la composición química en un área determinada de la muestra con imágenes a escala 1000x Las muestras analizadas correspondieron a muestras de suelo inalterado y muestras provenientes de las probetas ensayadas en el edómetro, las cuales fueron tratadas de manera similar al análisis XRD, pero seleccionando una muestra con partículas de tamaño inferior a 0,038 mm
3. RESULTADOS Y DISCUSIÓN
3.1 Resultado y discusión ensayo de consolidación
De acuerdo con la Figura 2.a) la muestra presentó altos valores de índices de vacíos, típicos de suelos volcánicos, y con el método de Casagrande la tensión de preconsolidación (σpc) se encuentra en un rango de 1,70-2,40 kgf/cm2 , dependiendo del rango de tensiones verticales aplicadas. Además, la linealidad de la curva entre 4 y 16 kgf/cm2 sugiere que al disminuir la tensión máxima afectaría la estimación de la tensión de σpc
Por otra parte, la Figura 2.b) el suelo no presenta un cambio de pendiente bien definido en la curva de presión vertical en escala aritmética [2] por lo que este método no resultó adecuado en este suelo para estimar la tensión de σpc Finalmente, según la Figura 3 se puede observar que el método del trabajo propuesto en [3] entregó una tensión de σpc = 2,83 kgf/cm2, cercana al límite superior del rango estimado por Casagrande.
Fig.
b) Muestra en la caja de corte directo
Diámetro anillo : 63,5mm; Altura anillo: 20,0mm
Dimensiones Caja: 10x10 cm
a)
b)


Fig 2 Curva de compresibilidad del suelo: a) Método de Casagrande; b) Método de escala aritmética.

PC = 283,1kPa

Fig. 3. Aplicación del método del trabajo volumétrico
3.2 Resultado y discusión ensayo de corte directo consolidado – drenado
De acuerdo a la Figura 4.a) el ángulo de fricción obtenido fue ϕ’ = 28,3° y la cohesión c’ = 0,27 kgf/cm2 , valores coherentes con los obtenidos por [4] los cuales atribuyen esta resistencia al entrelazamiento entre fibras de imogolita y alofán para suelos derivados de ceniza volcánica. Además, en la Figura 3.b) a partir de la intersección entre las rectas de las tensiones en estado Normalmente Consolidado (NC) y Sobeconsolidado (SC), se observa una tensión σpc = 1,60 kgf/cm2, lo cual coincide con el límite inferior del rango obtenido con el método de Casagrande.

Φ = 28,3°; C=0,27 kgf/cm2
NC
SC

Φ = 32,4°; C=0,0 kgf/cm2
Φ = 24,7°; C=0,35 kgf/cm2
Fig. 4. a) Envolvente de falla obtenida; b) Intersección estado SC y NC.
3.2 Resultado análisis de difracción de rayos X (XRD) y análisis SEM
La Figura 5.a) muestra el análisis mineralógico por difracción de rayos X, donde se identificaron metahalloisita y caolinita, minerales derivados de la transformación del alofán [5]. Además, el difractograma presentó un fondo ruidoso, característico de suelos con material amorfo [6]. Por esta razón, el alofán no puede ser identificado mediante esta técnica, ya que, al ser amorfo, no genera picos definidos en el análisis. Por otra parte, en la Figura 5.b) y 5.c) se presentan imágenes obtenidas mediante la técnica SEM, donde es posible observar la una clara disminución del tamaño de las partículas luego de la aplicación la tensión vertical igual a 16,0 kg/cm2, dado que en la Figura 5.b) se presentan partículas sin estructuras y con espacios huecos entre ellas, mientras que la Figura 5.c) se observa una estructura más homogénea entre sí y distinta a la que se tiene en la Figura 5.b)




Fig. 5 a) Difractograma resultante del suelo; b) Imagen SEM 1000x, muestra inalterada; c) Imagen SEM 1000x, muestra post-ensayo
4. CONCLUSIONES
A partir del ensayo de consolidación, se tiene que el coeficiente de compresión se vuelve constante desde los 4,0 kgf/cm2 La tensión σpc estimada mediante el método de Casagrande varió entre 1,70 y 2,40 kgf/cm2, mientras que por el método del trabajo volumétrico se obtuvo un valor cercano a 2,90 kgf/cm2 En relación al ensayo de corte directo, entregó parámetros mayores a los de un suelo fino tradicional y una tensión σpc del orden de 1,60 kgf/cm2
Finalmente, el análisis de difracción de rayos X presentó un alto contenido de material amorfo con presencia de filosilicatos, específicamente metahoilisita. Por otro lado, a través de la microscopia electrónica de barrido se observaron cambios en el tamaño de partículas tras la consolidación, aunque no se puede atribuir a la carga aplicada.
5. REFERENCIAS
[1] [4] Paredes, M., y Verdugo, R. (2004). Génesis y estructura de los suelos alofánicos en Chile. V Congreso Chileno de Ingeniería Geotécnica. Universidad de Chile, Santiago
[2] Wesley, L. (2009). Behavior and geotechnicalproperties of residual soils and allophane clays. Obras y Proyectos: Revista de Ingeniería Civil. 1(06):33-50.
[3] Becker, D.E., Crooks, J.H., Been, K., y Jefferries, M.G. (1987). Work as a criterion for determining in situ and yield stresses in clays. Canadian Geothecnical Journal. 24(4):549-564. https://doi.org/10.1139/t87-070
[5] Bauluz, B. (2015). Halloysite and Kaolinite: Two Clay Minerals with Geological and Technological Importance. Revista Real Academia de Ciencias. 70:7-38.
[6] Pozo, M., González, J., y Giner, J. (2004). Introducción a la aplicación de la difracción de rayos X en la identificación mineralógica. En M. Pozo, J. González, y J. Giner, Geología Práctica (pp. 27-33). Madrid, España: PEARSON Prentice Hall.
b)
c)
a)



POTENCIAL DE DAÑOS EN LA CIUDAD DE TEMUCO, BASADO EN LA PROPUESTA ACTUALIZACIÓN DE LA NORMA NCH433
M. Hermosilla (1) , R. Osses (2) , M. Caro (1) (1) Universidad de La Frontera, m.hermosilla@ufrontera.cl (2) Universidad Católica de Temuco, rodrigo.osses@uct.cl m.caro04@ufromail.cl
RESUMEN
Debido a la alta sismicidad en Chile y los daños generados por sismos a lo largo de su historia, se vuelve necesario mantener actualizada la normativa sísmica, recientemente existe un proyecto de actualización de la norma NCh433, la cual rige la clasificación sísmica de suelos y donde se presenta como la amplificación sísmica se relaciona con parámetros de rigidez dinámica del suelo, tales como el periodo fundamental del suelo (TN).
El presente estudio busca correlacionar el valor de TN con el potencial de daños en estructuras de hormigón armado ante sismos en la ciudad de Temuco. Para ello se generó un catastro a través de la recopilación de datos disponibles como: parámetros de velocidad de ondas de corte a 30 m (Vs30), TN, antecedentes de sondajes geotécnicos y daños estructurales ocurridos tras el terremoto del 27 de febrero de 2010. Los resultados arrojaron una importante correlación entre el valor de TN y los daños estructurales, sugiriendo que TN puede ser considerado como un indicador confiable del potencial de daños. Además, se observó que el valor de la razón espectral (H/V) es coherente con la información estratigráfica disponible, incluso en el contexto del ambiente sedimentario complejo que caracteriza a Temuco.
Palabras-Clave: periodo fundamental, velocidad de ondas de corte, razón espectral
1. INTRODUCCIÓN
Los efectos de los terremotos históricos en Chile han impulsado la creación y una mejora continua de normativas de diseño y construcción, con el fin de garantizar la seguridad de las personas y minimizar daños estructurales y costos
La demanda sísmica que se genera sobre una estructura y la respuesta sísmica en superficie que tendrá el suelo de fundación, dependen principalmente de las características del depósito de suelo en profundidad, lo que conlleva a una previa clasificación sísmica del suelo al momento de diseñar [1]
Actualmente, se trabaja en una nueva propuesta de la norma NCh433 liderada por la SOCHIGE, que incluye el periodo fundamental del suelo (TN), estimado mediante el método de razones espectrales (H/V)
El parámetro TN ha demostrado ser un buen predictor del potencial de daño estructural, especialmente en suelos con periodos TN > 0.4 s. Este estudio permitió analizar una correlación entre TN y el potencial de daño en distintas zonas de Temuco, ampliar el territorio evaluado en estudios previos, y evaluar la nueva propuesta normativa para clasificar sísmicamente los suelos de la ciudad.
2. METODOLOGÍA
2.1. Recolección de datos
Se recolectaron datos de periodo fundamental (TN), velocidad de ondasde corte a 30 m (Vs30) y registros de daños estructurales en edificaciones de hormigón armado obtenidos luego del terremoto del Maule de 2010 en la ciudad de Temuco, estos datos se presentan en las Fig. 1.a), 1.b) y 1.c), respectivamente
Para el registro de daños estructurales, se consultaron informes profesionales y académicos generados tras el sismo de 2010. Los daños se clasificaron en tres niveles: sin daños considerables, moderado y severo [2] Respecto a TN, se analizaron datos obtenidos en estudios anteriores [3] y [4], a través del método H/V en distintos sectoresde Temuco. Respecto a Vs30, se accedió a mediciones proporcionadas por empresas privadas, incluyendo sondajes y clasificación sísmica oficial del sitio según el DS61.



Fig 1 Distribución geográfica de los datos analizados: a) Mediciones de TN, b) Mediciones de Vs30 y c) Reporte de daños estructurales en la ciudad de Temuco [5].
2.2. Selección zona de trabajo
Como zona de estudio se abordó el área donde se concentran los edificios de hormigón armado incluidos en el registro de daños tras el terremoto del Maule. Se priorizaron los sectores con mayor densidad de datos de Vs30, abarcando una parte importante del macro-sector centro y poniente de Temuco, donde se concentró la totalidad de las estructuras con registros de daño estructural, además de una cobertura significativa de datos sobre Vs30
2.3. Medición de razones espectrales H/V
Siguiendo las recomendaciones de [6], se empleó una malla base de 500 m, aumentando la densidad de puntos en zonas con mayor daño estructural. La adquisición de datos se realizó con un sismógrafo triaxial Geobox SR04. Para el procesamiento de datos se utilizó el software SeismoWIN para el registro de microtemores y cálculo de la curva H/V en tiempo real. Luego para la estimación de la razón H/V del espectro registrado se utilizó el software GeoExplorer HVSR. Como parte del análisis, se aplicaron ventanas de análisis de 10, 20 y 50 s según el nivel de ruido. Para el suavizado de las curvas H/V se utilizó la función de Konno y Ohmachi, ajustando el ancho de banda de suavizado según fuera necesario. Finalmente, las curvas obtenidas fueron clasificadas según los criterios de fiabilidad y forma del peak [7], según las categorías: peak somero, marcado, muy marcado o no identificado.
2.4. Clasificación sísmica
Para la clasificación sísmica se aplicó el criterio propuesto en el proyecto de actualización de la norma NCh433, considerando los parámetros Vs30 y TN dentro de un radio de 50 m. Primero, se clasificó cada sitio según Vs30, y luego se ajustó dicha clasificación en función del periodo TN. También se verificó la consistencia espacial de los parámetros en los alrededores, para asegurar que no existieran variaciones abruptas en distancias cortas.
2.5. Correlación entre TN y los daños registrados
Para evaluar la correlación entre TN y los daños estructurales registrados en Temuco, se estableció un umbral de TN = 0.4 s. Estructuras en suelos con TN > 0.4 s presentan mayor riesgo de daño, mientras que valores inferiores o curvas H/V planas indican bajo potencial de daño [8]. Se analizaron las zonas con daños estructurales severos, verificando los valores de TN y Vs30, complementados con las estratigrafías disponibles en [9]. Esto permitió confirmar o ajustar las interpretaciones obtenidas a partir de los parámetros geofísicos.
3. RESULTADOS Y ANÁLISIS
Se evaluaron 44 estructuras dañadas en la ciudad de Temuco: 36 sin daños significativos, 5 con daño moderado y 3 con daño severo. Todas se emplazan sobre la unidad geológica Glaciación Llanquihue “Plgf1” Además, se recopilaron 139 mediciones de H/V. No se encontró una correlación directa con la geología superficial, pero se identificó una tendencia: valores TN < 0.15 s en el sur y más altos hacia el norte. Además, se validaron tres puntos comparando con estudios anteriores. Todos presentaron curvas planas, confirmando la confiabilidad de la metodología. Posteriormente, se recopilaron 136 registros de Vs30, los valores aumentan hacia el norte, aunque muestran menor variabilidad que TN, lo cual sugiere que el parámetro TN es más preciso al representar las condiciones del lugar
A partir de las nuevas mediciones H/V y de las estratigrafías disponibles, se observó que las zonas con presencia predominante de gravas o bolones tienden a presentar curvas H/V planas, mientras que, en sectores con limos o estratos intercalados de baja rigidez, se identificaron peaks marcados en las curvas H/V. Lo anterior confirma la coherencia entre la estratigrafía y los resultados del método H/V.
Por otro lado, se clasificaron 15 sitios según la actualización de la norma NCh433, comparándose en algunos casos con el DS61. Se identificaron suelos tipo B, C y D, donde el 53% corresponde a suelo tipo C. Los suelos tipo D se concentraron en el sector oeste. Se consideraron las clasificaciones complementadas con sondajes, con el fin de comparar ambas tablas de clasificación sísmica del suelo.
Se analizaron tres zonas con estructuras severamente dañadas, cuya distribución se presenta en la Fig. 2.a), evaluando su relación con los valores TN, Vs30 y las estratigrafías disponibles: para la zona 1 (Torre Mistral 1), se obtuvieron valores de TN > 0.4 s, mientras que Vs30 osciló entre 350 y 500 m/s, la estratigrafía mostró presencia de limo intercalado con gravas, lo que sugiere que las características del suelo contribuyeron al daño estructural, evidenciando una buena correlación entre TN y el daño observado; para la zona 2 (Hospital Hernán Henríquez Aravena) los registros de TN mostraron curvas planas y Vs30 > 500 m/s, no se observó una relación clara con los daños, en este caso, se plantea que la vulnerabilidad estructural podría haber sido un factor determinante, considerando antecedentes de fallas similares en otras obras; para la zona 3 (Torre Thiers A y B), al sur y oeste, las curvas TN fueron planas,mientras que alnorte yeste presentaron peaks con TN entre 0.4 y 1.0 s, la estratigrafía evidenció un cambio en la composición del subsuelo, con mayor presencia de suelos finoshacia el sector noreste, coincidiendo con las zonas más dañadas del edificio, en esta zona TN demostró ser un buen indicador del potencial de daño.
Finalmente, se elaboró una proyección de isoperiodos basado en mediciones H/V sobre macrosectores de Temuco (ver Fig. 2 b) Sectores con TN > 0.4 s tienen alto potencial de daños sísmicos Las zonas más críticas se ubican al norte del macro-sector poniente, extendiéndose hacia el noroeste


Fig. 2 a) Distribución de las zonas estructurales 1, 2 y 3 establecidas; 1, 2 y 3; b) Distribución de los isoperiodos establecidos y los macro-sectores de Temuco [5].
4. CONCLUSIONES
Se observa una correlación entre TN, la estratigrafía disponible y los daños observados en las zonas 1 y 3 establecidas, a diferencia del parámetro Vs30, que resultó menos representativo, especialmente en zonas con suelos homogéneos. Se concluye que sitios con TN > 0.4 s presentan alto potencial de daño estructural, aunque también influye la vulnerabilidad de edificaciones, como se observó en la zona 2. Por lo tanto, la razón H/V no es útil para explicar la distribución de daños en la ciudad, pero sí estimar efectos de sitio.
Por otro lado, los sectores con mayor riesgo en Temuco se ubican al norte, en los macro-sectores Poniente, Fundo El Carmen, Pedro de Valdivia y parte del centro. Esto respalda la aplicación del proyecto de actualización de la norma NCh433. La comparación entre la clasificación sísmica según el DS61 y la propuesta en la NCh433 mostró que, en varios puntos, la nueva norma reclasifica los sitios en una categoría más severa.
Finalmente, se destaca que TN es más representativo que Vs30, por lo que se recomienda usar ambos parámetros en conjunto [10] Además, se identificó una posible anomalía geotécnica en el noroeste del macro-sector centro, asociada a deslizamientos recurrentes en el cerro Ñielol, lo que amerita una investigación futura más detallada.
REFERENCIAS
[1] Ministerio de Vivienda y Urbanismo (MINVU). (2011). DS N°61 Aprueba Reglamento que fija el Diseño Sísmico de Edificios y deroga D.S. N° 117 de V. y U. Santiago, Chile.
[2] Torres, C. (2019). Calibración de un índice de vulnerabilidad sísmica para edificios de hormigón armado en un cuadrante de la ciudad de Temuco. [Trabajo de título de pregrado, Ingeniería Civil, Universidad de La Frontera, Temuco, Chile].
[3] Castilla, F. (2021). Implementación de los nuevos requerimientos asociados a la clasificación sísmica de la norma NCh433 en la empresa consultora CIYC Ltda. [Trabajo de título de pregrado, Ingeniería Civil, Universidad de La Frontera, Temuco, Chile].
[4] Kruuse, H. (2019). Medición y análisis del periodo natural del subsuelo del sector poniente de la ciudad de Temuco, utilizando el método de Nakamura. [Trabajo de título de pregrado, Ingeniería Civil, Universidad de La Frontera, Temuco, Chile].
[5] Cayunao, A. (2022). Evaluación del potencial de daños en los suelos de fundación de la ciudad de Temuco, basado en el proyecto de actualización de la norma NCh433. [Trabajo de título de pregrado, Ingeniería en Construcción, Universidad de La Frontera, Temuco, Chile].
[6] SESAME. (2004). Guidelines for the implementation of the H/V spectral ratio technique on ambient vibrations measurement, processing and interpretation. European Commission.
[7] Lezana, F. (2014). Correlación de razones espectrales H/V de registros sismológicos y características geotécnicas de suelos de Santiago. [Memoria de título, Ingeniería Civil con mención Estructuras, Construcción y Geotecnia. Universidad de Chile, Santiago, Chile]
[8] Ruz, F. y Finn, W.D.L. (2017). Performance of Chilean sitesunder strong earthquake shaking. PBDIII Vancouver 2017 - The 3rd International Conference on Performance Based Design in Earthquake Geotechnical Engineering, Vancouver, Canadá.
[9] Delgadillo, V. (2007). Catastro, sectorización e implementación de un sistema digital de ubicación de los suelos de fundación de la ciudad de Temuco, IX región. [Trabajo de título de pregrado, Ingeniería en Construcción, Universidad de La Frontera, Temuco, Chile].
[10] Gallipoli, M.R. y Mucciarelli, M. (2009). Comparison of Site Classification from Vs30, Vs10, and HVSR in Italy. Bulletin Seismological Society of America. 99(1):340-351.



Importancia de los parámetros de diseño aplicado a Pilas de Lixiviación
D. Villanueva (1) , S. Palma (1) , J. Riquelme (1) y A. Torres (1) , (1) SRK Consulting Chile
RESUMEN/ ABSTRACT
El diseño geotécnico de pilas de lixiviación requiere un modelamiento preciso del flujo en medios no saturados, con el objetivo de estimar adecuadamente el nivel freático potencial dentro de ésta Entre los factores clave que deben ser considerados está la geometría de la pila, las propiedades del material y las consideraciones operacionales. Estos aspectos afectan directamente la estabilidad física y la eficiencia del proceso de lixiviación.
Este estudio analiza la influencia de distintos parámetros de diseño en la estimación de los niveles freáticos en pilas de lixiviación, evaluando distintas configuraciones de altura, tasas de riego y propiedades hidráulicas del material lixiviado.
Se desarrollaron modelos de flujo no saturado mediante el software de elementos finitos SVFlux, en 1D y 2D, permitiendo analizar la evolución de la saturación en función de distintos escenarios operacionales y condiciones del material. Los resultados permiten determinar la importancia la conductividad hidráulica saturada del mineral/ripio, evidenciando que, variaciones en sus parámetros pueden influir significativamente en la evolución y desarrollo de niveles freáticos. Además, se resalta la relevancia de considerar un cover con adecuada capacidad de drenaje.
Este análisis proporciona información para optimizar el diseño y operación de pilas de lixiviación, minimizando riesgos de inestabilidad
Palabras-Clave: Curva de retención de humedad; flujo no saturado, pilas de lixiviación
1. INTRODUCCIÓN
La minería del cobre tiene una importancia estratégica a nivel mundial debido a la creciente demanda impulsada por la transición energética, el desarrollo tecnológico y la electrificación del transporte [1]. Ante este escenario, la lixiviación de pilas se consolida como una técnica clave para el procesamiento de minerales de baja ley, permitiendo una producción eficiente y económicamente competitiva frente a métodos convencionales de mayor demanda energética [2]
El análisis de flujo no saturado y la correcta caracterización hidráulica del ripio, mediante parámetros como la Curva de Retención de Humedad (CRH) y la granulometría, resultan fundamental para predecir la formación y evolución de niveles freáticos, y del mismo modo, asegurar la estabilidad y eficiencia operativa de las pilas de lixiviación [3]. El desarrollo y empleo de modelos numéricos permite evaluar el impacto de los parámetros más relevantes bajo condiciones representativas de la operación, contribuyendo a la gestión y optimización de procesos mineros.
Esta investigación aborda la modelación del flujo no saturado en pilas de lixiviación dinámica para determinar cómo los factores de diseño influyen en la formación de niveles freáticos en la pila.
2. METODOLOGÍA
Se desarrollaron simulaciones de flujo no saturado con SVFlux (SVOffice 2009), basado en el método de elementos finitos. La simulación considera condiciones típicas de la operación de pilas.
En una primera etapa, se ejecutaron 144 modelos unidimensionales (1D) orientados a identificar los parámetros con mayor incidencia en: el contenido gravimétrico de agua (GWC), los días que se alcanza el equilibrio en la pila, la saturación al cese del riego y la saturación al final del ciclo, mediante un análisis de sensibilidad multivariable Posteriormente, y en función de estos resultados, se desarrollaron
32 modelos bidimensionales (2D), incorporando condiciones geométricas más representativas de una pila e identificando los parámetros con mayor incidencia en el nivel freático y la saturación final del ciclo
2.1. Materiales
La CRH caracteriza el suelo en condición parcialmente saturada En este estudio se utilizaron resultados de ensayos de laboratorio realizados en cuatro muestras de ripios, ajustados con los modelos de van Genuchten [4]. Los parámetros obtenidos se resumen en la Tabla 1
Tabla 1. Parámetros de ajuste van Genuchten. Parámetro
Parámetros de ajuste del modelo de van Genuchten
La Fig. 1 presenta la distribución granulométrica de las muestras consideradas. Las muestras R1, R2 y R3 corresponden a gravas con distinto contenidos de finos, mientras que la muestra R4 clasifica como arena arcillosa (SC), en el sistema USCS En promedio, las muestras presentan 50% de gravas, 30% de arenas y 20% de finos, alcanzando un máximo de 33% de finos en la muestra R3 En la misma figura, del lado derecho se muestra el ajuste de van Genuchten (línea segmentada) y los datos de laboratorio para cada muestra (puntos).
R1
R2
R3
R4
0,1 1 10 100
Tamaño de partícula (mm)
Saturación (%) Succión (kPa)
0,1 1 10 100 1000 10000 100000
Fig. 1. Distribución granulométrica y curvas ajustadas de van Genuchten 2.2. Modelos 1D
Los modelos 1D representan una columna de ripios, con riego superficial y drenaje libre en la base. Se evaluaron tres variables: altura de pila (4, 8 y 12 m), tasa de riego (4, 6, 8 y 10 L/h/m2) y permeabilidad saturada (1x10-3, 1x10-4 y 5x10-6 m/s), en los cuatro ripios analizados Los rangos de variación de estos parámetros fueron seleccionados en base a valores típicos de diseño y operación de pilas de lixiviación. Se asumió una saturación equivalente al 40% como condición inicial. Para las condiciones de borde, se aplicó “drenaje libre” en la base y “flujo perpendicular” en superficie para simular el riego de la pila. El ciclo de riego fue de 100 días, dividido en tres etapas: reposo (días 0-20), riego (días 20-70) y drenaje (días 70-100). Durante la etapa de riego se aplicó la tasa correspondiente a cada escenario, mientras que las etapas de reposo y drenaje no contemplaron aporte, permitiendo el drenaje natural de la pila. 2.3. Modelos 2D
La configuración geométrica de los modelos 2D consideró un manto drenante (cover) de 0,8 m en la base, taludes con pendientes de 30° y una pendiente basal de 2%. Con base en los resultados obtenidos en los modelos 1D, se adoptó una altura de pila única de 8 m.
Las condiciones de borde incluyeron “sin flujo” en la base del modelo, para representar el efecto impermeabilizante de la geomembrana; “drenaje libre” en los bordes laterales, que permite la salida del flujo cuando existe gradiente de humedad; y “flujo vertical” en la superficie de la pila, asociado a la aplicación de la tasa de riego, el modelo no considera flujo en los taludes. El ciclo de lixiviación aplicado es igual al de los modelos 1D: 20 días de reposo inicial, 50 días de riego y 30 días de drenaje final.
La simulación evaluó la formación de nivel freático máximo em el tiempo a partir de la variación de tres parámetros: tasa de riego (4 y 10 L/h/m2), permeabilidad saturada de los ripios (1x10-4 y 1x10-5 m/s) y permeabilidad del cover (1x10-4 y 1x10-7 m/s), asumiendo este último en condición saturada durante toda la modelación.
3. RESULTADOS
3.1. Resultados 1d
Se realizó un análisis de regresión lineal múltiple para evaluar la influencia de la altura de pila (H), la tasa de riego (TR) y la permeabilidad saturada (��������) sobre el GWC al final del ciclo de riego (GWCF), tiempo requerido para alcanzar el equilibrio (días, Deq), y la saturación tanto al finalizar el riego (SF) como al final del modelo (S100) Los resultados del análisis se resumen en la Fig. 2¡Error! No se encuentra el origen de la referencia.
Fig. 2 : Regresión lineal múltiple: parámetros hidráulicos en modelos 1D

La regresión lineal múltiple indica que la permeabilidad saturada (��������) tiene un impacto estadístico en todos los parámetros analizados. Valores bajos de p y coeficientes negativos muestran que, a mayor ��������,la humectación y secado de la pila se produce más rápido.
La Altura de la pila (H) y la Tasa de Riego (TR), muestran ambas significancias para los días en que se logra la uniformidad de humectación al interior de la pila con correlación directa e inversa respectivamente. Además, TR tiene una correlación significativa directa con lo que pasa hacia el final del ciclo de riego.
3.2. Resultados 2d
A partir de un nuevo análisis de regresión lineal múltiple, se evaluó el efecto de la permeabilidad del ripio (KRipio), la tasa de riego (TR) y la permeabilidad del cover (KCover) sobre: el nivel freático (NF) y la saturación al día 100 (S100). Los resultados se resumen en la Fig. 3
Fig. 3: Regresión lineal múltiple: parámetros hidráulicos en modelos 2D

De la Fig. 3, se puede concluir que para el NF los tres parámetros evaluados presentan influencia estadísticamente significativa en distinto grado. Por un lado, la TR y KRipio no tienen significancia para S100, mientras que la permeabilidad del cover sí
En este sentido, se puede observar que, en la formación del nivel freático máximo durante el periodo de lixiviación de la pila, tanto las variables de diseño como las características del material influyen, esto tiene una implicancia directa en la estabilidad física de la pila. Por otro durante el periodo de secado de la pila (S100) la mayor importancia está en las características del material lixiviado.
4. DISCUSIONES
El análisis de regresión identificó la permeabilidad saturada como un factor clave en el comportamiento hidráulico de las pilas de lixiviación. En modelos 1D, una mayor permeabilidad del material disminuye la saturación al día 100. Sin embargo, en modelos 2D, la presencia de un Cover modifica esta relación: la permeabilidad del cover influye significativamente sobra la formación del nivel freático, con una relación inversa. Esto resalta la importancia de seleccionar materiales de cover con alta capacidad drenante para limitar niveles freáticos y mejorar la estabilidad de la pila.
La tasa de riego solo tuvo un efecto secundario, aumentando levemente el nivel freático y acelerando el equilibrio hidráulico, sin impactar significativamente la saturación final. La altura de pila mostró influencia marginal, justificando la selección de una altura fija para los casos 2D.
Por último, la CRH afecta la dinámica de saturación, influyendo en el tiempo de equilibrio y la velocidad de desaturación tras el riego Una caracterización hidráulica precisa y una adecuada selección de parámetros de diseño son esenciales para optimizar la eficiencia y seguridad de las pilas.
5. CONCLUSIONES
El estudio confirma que la permeabilidad saturada del ripio y el cover es el parámetro clave para controlar los niveles freáticos y la saturación en pilas de lixiviación, impactando directamente en su estabilidad física. La tasa de riego exhibe un efecto secundario sobre la saturación final.
La simplificación de la geometría en los modelos y la ausencia de riego en taludes restringen la extrapolación de los resultados a todos los escenarios reales. Por tanto, se recomienda que futuros estudios consideren distintas configuraciones geométricas, variaciones en taludes y pendientes basales, y ciclos de riego más diversos, para aumentar la aplicabilidad y representatividad de los resultados.
REFERENCIAS
[1] Comisión Chilena del Cobre, «Caracterización del Mercado de Cátodo de Cobre,» Gobierno de Chile, Santiago, 2025.
[2] E. S. J. D.-Q. S. M. N. V. T. E. H. Jélvez, «A novel methodology to generate an optimal irrigation plan on a copper-oxide ore heap leaching process,» Minerals Engineering, vol. 233, p. 109660, 2025.
[3] B. A. P. Q. D. N. Benjamín Olivares, «Saturation regulation in heap leaching: A nonlinear model predictive control approach,» Minerals Engineering, vol. 229, p. 109346, 2025.
[4] M. T. van Genuchten, «A Closed-form Equation for Predicting the Hydraulic Conductivity of Unsaturated Soils,» Soil. Sci. Soc. Am., pp. J. 44:892-898, 1980.



AVANCES EN LA IDENTIFICACIÓN Y CARACTERIZACIÓN FÍSICO-QUÍMICA DEL “MAZACOTE”
P. Villarroel(1) , F. Nocera(1) , R. Carrasco(1) (1) Geotecnia Patagonia, contacto@geotecniapatagonia.cl
RESUMEN/ ABSTRACT
En desarrollo de la industria del Hidrógeno Verde en la Patagonia Chilena ha impulsado extensas campañas de exploración geotécnica, que han permitido robustecer el conocimiento geotécnico de los distintos suelos de la región, y en especial de aquellas zonas próximas al Estrecho de Magallanes. El presente trabajo sintetiza los resultados de cientos de ensayos de laboratorio y de terreno en campañas geotécnicas realizadas por los autores, enfocándose principalmente en las distintas unidades compuestas por suelos finos, identificando y diferenciando sus principales características geotécnicas
En específico para el mazacote, se logró identificar y definir subclases, complementándose con resultados de ensayos de campo, ensayos químicos y de caracterización mineralógica, que permitieron comprender sus principales características de interés.
Los resultados confirman que el mazacote es un suelo geotécnicamente único, caracterizado por su alta deformabilidad, baja rigidez, muy baja resistencia, y un alto potencial de agresividad química. Esta información resulta esencial para el desarrollo de planificación y diseño de estos grandes proyectos industriales.
Palabras-Clave: Mazacote, Magallanes, Hidrógeno Verde
1. INTRODUCCIÓN
La dinámica glacial de la Patagonia Chilena dio origen a extensos depósitos de suelos finos de consistencia blanda a muy blanda, siendo los de coloración grisácea denominados localmente como “mazacote” los que históricamente han concentrado el interés desde el punto de vista geotécnico [1].
En los últimos años, el desarrollo de la industria del Hidrógeno Verde ha impulsado grandes campañas de exploración geotécnica, abarcando extensos terrenos cercanos al Estrecho de Magallanes, y que hasta entonces eran inexplorados en términos geotécnicos. Esto ha permitido robustecer el conocimiento de los distintos suelos locales, estableciendo diferencias significativas entre ellos e identificando las características que hacen del mazacote un suelo único.
2. CONTEXTO GEOLÓGICO DE DEPÓSITOS ARCILLOSOS DE LA ZONA
Los orígenes de los suelos finos blandos de la Patagonia se asocian a ambientes de depositación de baja energía, donde los materiales erosionados son transportados y sedimentados, formando capas arcillosas acumuladas, presumiblemente en entornos lacustres y glaciolacustres. En los alrededores del Estrecho de Magallanes se encuentran extensos depósitos de estos suelos finos, atribuido a la presencia de un gran paleo lago progracial “Lago Kawésqar”, el cual cubrió gran parte del estrecho durante el retroceso glacial (15 - 12 ka) [2].
Fenómenos similares se evidencian al norte de la ciudad de Punta Arenas, con depósitos masivos de “Mazacote”, que geomorfológicamente se asocian a extensas terrazas marinas, en la que se encuentran, generalmente en conjunto con sedimentos arenosos, y que se han definido por algunos autores como “Terrazas Marinas de Primer Orden” [3]. Lo anterior sugiere que este tipo de suelo también se originó en un ambiente de transición entre condiciones lacustres-glacio-fluviales y litoralesmarinas, reflejando la interacción entre la ingresión marina y los depósitos de la deglaciación.
3. RESULTADOS
3.1. Caracterización física
Se han considerado resultados de ensayos en laboratorios acreditados, a un total de 285 muestras de suelos arcillosos obtenidas en las inmediaciones del Estrecho de Magallanes. Para el análisis e interpretación gráfica se agruparon según el tipo de suelo observado, donde se definió: Arcillas Café a Café Claro de consistencia blanda a media (Arcilla Café); Arcillas grises a gris azuladas blandas (Mazacote); y, Arcillas grises de consistencia muy firme con rasgos de cementación (Till Glaciar), obteniendo un total de 94, 89 y 102 muestras, respectivamente. Para el análisis bajo el tamiz N°200, se han considerado resultados de 20 ensayos de sedimentación con hidrómetro.
En el caso del mazacote, la variabilidad de los resultados permitió identificar subclases, diferenciando el mazacote arenoso del mazacote puro, definiendo para ello un valor umbral de contenido de finos del 80%. En la Fig.1 (A, B y C) se presentan los resultados obtenidos para cada tipo de suelo analizado, observando que el mazacote puro presenta una marcada diferenciación respecto a los otros tipos de suelo, cuyos parámetros promedio se resumen en la Tabla 1. Este tipo de suelo es el que genera el mayor interés geotécnico, dado que en estado natural se presenta como un fluido viscoso y pegajoso al tacto, lo que se relaciona con una baja densidad y una alta humedad cercana o sobre su límite líquido También es el tipo de suelo que desarrolla las mayores deformaciones en los distintos ensayos analizados, según se observa en la Fig.2-A y Fig.2-C.



Fig. 1. A) Granulometrías promedio por tamizado tradicional e hidrómetro según tipo de suelo. B) Límites de Atterberg por tipo de suelo. C) Diagrama p’/q de ensayos Triaxiales según tipo de suelo. Elaboración propia.
Tabla 1. Parámetros geotécnicos promedios por tipo de suelo Elaboración propia.
de Suelo
En la Fig. 2-A se muestran los resultados de 20 ensayos de consolidación con sus respectivos valores promedio y desviaciones estándar, donde se observa que el mazacote puro, presenta prácticamente el doble de deformación que la obtenida para el mazacote arenoso, lo que también se refleja en los Índices de compresión “cc”, y recompresión “cr“ (Tabla 1), siendo otro factor diferenciador entre sí De estos ensayos se desprende que el mazacote puro presenta un OCR cercano a la unidad, mientras que el mazacote arenoso puede presentar un OCR de hasta 4. Es importante mencionar que la arcilla café, es la que se presenta bajo la capa vegetal, en un estado húmedo, y, por lo tanto, no sería aplicable la
A)
B)
C)
teoría de consolidación. En el caso de los ensayos de hinchamiento libre (Fig. 2-B), se obtiene que el “mazacote puro” obtuvo en promedio un hinchamiento libre del orden de 3.5%, mientras que la arcilla café y el mazacote arenoso, obtienen un hinchamiento similar del orden de 2.75%.



Fig. 2 A) Resultados promedio y desviaciones estándar para ensayos de consolidación. B) Resultados promedio para ensayos de Hinchamiento Libre y Presión de Hinchamiento. C) Curvas carga-deformación para ensayos de placa de carga estática PLT según tipo de suelo.
En la Fig.3 se muestran los resultados de pares de ensayos CPTu y DPSH-Grizzly realizados en 3 distintas zonas donde se presentan los 4 tipos de suelos considerados en el presente estudio. En la Fig. 3-A se presenta además los resultados de un ensayo con Presiómetro de Menard (PMT), cuyos resultados confirman la característica de fluido viscoso o “fangoso” del mazacote puro. En la Fig.3-B y Fig. 3-C, junto con observar en términos generales una similitud de los perfiles de resistencia entre ambos ensayos, también se evidencia una muy baja resistencia del mazacote puro en comparación a los otros tipos de suelos (Fig.3-B y Fig.3-C).


Fig. 3 Resultados de ensayos PMT, CPTu
3.2. Caracterización química

Se realizaron ensayos para la determinación de la agresividad química a distintas muestras de suelo (Tabla 2), donde se observa que el mazacote, en sus 2 clases, presenta en promedio valores altos de sulfatos y bajos de resistividad, lo que es indicativo de un alto potencial de corrosión para estructuras enterradas como estanques, tuberías o pilotes. Es importante mencionar que la acidez puede aumentar considerablemente si el suelo se expone a condiciones oxidantes (intemperie).
Los resultados de cuantificación mineralógica por difracción de rayos x, realizados a muestras de mazacote puro, indican que la composición mineralógica modal está constituida principalmente por: Cuarzo (39.2%), Oligoclasa (25.8%), Moscovitas (17.8%); Cloritas (7.5%); K-Feldespato (3.0%); Montmorillonita (0.9%); entre otros. Por otro lado, la composición elemental indica la presencia de: Si (29.6%); Al (8.3%); Fe (4.3%); K (1.8%); Na (1.5%); Ca (1.3%); entre otros. Finalmente, para la composición elemental de óxidos se obtuvo una distribución de: SiO2 (59.8%); Al2O3 (15.7%); LOI (5.6%); entre otros.
y DPSH-Grizzly
Tabla 2. Resumen parámetros para agresividad química
Suelo
4. CONCLUSIONES
El análisis de los resultados de los ensayos de laboratorio en conjunto con los ensayos in situ, permitieron identificar los distintos tipos de arcillas predominantes en zonas cercanas al Estrecho de Magallanes, obteniendo una clara diferenciación para el mazacote, donde la subclase definida como “mazacote puro” se distingue por su alta deformabilidad, baja rigidez y muy baja resistencia.
El análisis mineralógico del mazacote puro permite inferir que su distintiva coloración gris a gris azulada es un reflejo de su origen en ambientes anóxicos, con la presencia de minerales ferrosos en estado reducido. La característica brillantez del material, por su parte, se atribuye a la abundancia de moscovita, una mica de estructura laminar. Además, el conocimiento de su composición química elemental proporciona una base sólida para la interpretación de los parámetros físico-químicos en las muestras de agua de pozos profundos que atraviesen este estrato.
Considerando que el mazacote presenta un potencial de expansión libre cercano al 3.5% y una baja concentración de montmorillonita (0.93%) (el único mineral con capacidad de expansión presente), se infiere que este mineral se encuentra predominantemente en un estado cálcico, con una capacidad de hinchamiento reducida, del orden de 3 a 4 veces su volumen. No obstante, dado que el mazacote se encuentra naturalmente cerca de la saturación, el hinchamiento, aunque leve a moderado, solo sería efectivo en presencia de cambios drásticos de humedad, como ciclos de secado y re-humectación.
Finalmente, el presente estudio entrega a la comunidad geotécnica valiosa información del reconocimiento de los suelos finos de la Patagonia. En particular, en el caso del mazacote, que combina propiedades geotécnicas deficientes con un alto potencial de agresividad química, representa un desafío significativo para el diseño geotécnico, lo que no inhabilita técnicamente el desarrollo de infraestructura, y para lo cual, sin duda, se requiere de una adecuada caracterización y planificación de exploraciones.
5. AGRADECIMENTOS
Los autores desean agradecer a las empresas HIF Global, EDF Power Solutions y Acciona-Nordex Green Hydrogen, por disponer de la información geotécnica esencial para el desarrollo del presente estudio.
6. REFERENCIAS
[1] Vásquez, A & Foncea, C. Geotechnical characteristics of glacial soil deposits at Punta Arenas in Chilean Patagonia 18th International Conference on Soil Mechanics and Geotechnical Engineering, 2013.
[2] McCulloch, R.D.; Bentley, M.J.; Fabel, D.; Fernández-Navarro, H.; García, J.L.; Hein, A.S.; Huinh, C.; Stewart, S.R.; Lira, M.P.; Lüthgens, C.; Nield, G.; San Román, M.; Tisdall, E. 2024. Resolving the paradox of conflicting glacial crhonologies: Reconstructing the pattern of deglaciation of the Magellan cordilleran ice dome (53-54°S) during the Last glacial – Interglacial transition. Quaternary Science Reviews, Volume 334.
[3] De Muro, S.; Tecchiato, S.; Porta, M.; Buosi, C.; Ibba, A. 2018. Geomorphology of marine and glacio-lacustrine terraces and raised shorelines in the northern sector of Península Brunswick, Patagonia, Straits of Magellan, Chile. Journal of Maps. Vol 13., N°2, 135-143.



Selección multivariada de registros sísmicos basada en la distancia de Mahalanobis y estructura jerárquica BallTree para análisis tiempo-historia
N. Bastías (1,2) , G. Montalva (1)
(1) Universidad de Concepción, Facultad de Ingeniería, Departamento de Ingeniería Civil, nicobastias@udec.cl (2) GENSIS Ingeniería & Prospecciones, Chile, www.gensis.cl
RESUMEN/ ABSTRACT
Con el avance de la complejidad de los modelos numéricos y los análisis dinámicos del tipo tiempo-historia, la selección de registros sísmicos constituye una etapa crítica para caracterizar correctamente la demanda sísmica. En la práctica, los registros sintéticos se generan a partir de un conjunto preseleccionado de semillas con una magnitud, distancia, tipo de fuente sísmica y condiciones de sitio compatibles con la desagregación del peligro sísmico sitio-específico. Luego, estas semillas son ajustadas espectralmente o escaladas linealmente para representar el espectro de diseño.
El desarrollo reciente de bases de datos de registros sísmicos de la subducción chilena, junto con modelos predictivos actualizados de intensidades sísmicas tanto espectrales como no espectrales (e.g., Ia), así como sus correlaciones, permite para una selección de registros orientada hacia los parámetros de diseño.
Este trabajo propone una metodología innovadora de selección de registros sintéticos basada en la distancia de Mahalanobis, que incorpora explícitamente las correlaciones entre parámetros de diseño. A partir de un vector objetivo representativo de la demanda sísmica esperada y su matriz de covarianza, se identifican los registros más similares en un espacio multivariado, permitiendo escalamientos que preserven la forma original de la señal. La búsqueda se optimiza mediante el uso de estructuras tipo BallTree, lo que permite una exploración eficiente de vecinos cercanos y obtención de un numero finito de registros representativos. Así, se obtiene un set de registros sísmicos coherentes con la demanda esperada, orientada a los parámetros de diseño y estadísticamente representativos considerando la correlación paramétrica.
Palabras-Clave: Registros Sintéticos, Análisis Dinámicos, Diseño sísmico
1. INTRODUCCIÓN
Los registros sísmicos constituyen un insumo fundamental para los análisis dinámicos no lineales, ya que definen de manera directa la demanda estructural y condicionan los resultados de desempeño obtenidos. Sin embargo, corresponde a una de las mayores fuentes de sesgo e incertidumbre en el análisis de estructuras civiles [1]. En el marco de la ingeniería sísmica basada en desempeño, no basta con caracterizarúnicamente el contenido espectral, puesparámetrosno espectralescomo la Intensidad de Arias (Ia), la velocidad absoluta acumulada (CAV) o la duración significativa se han mostrado estrechamente vinculados a la generación de daño y a la degradación del desempeño estructural [2,3] Su incorporación conjunta con medidas espectrales permite una caracterización más completa y representativa del impacto sísmico esperado. El objetivo del presente trabajo es presentar un marco metodológico para la selección de un set de registros sísmicos útiles para análisis dinámicos y orientados a parámetros no espectrales.
2. METODOLOGÍA
La selección de registros sísmicos se realizó utilizándola distancia de Mahalanobis como métrica de distancia multivariada entre un vector objetivo de intensidades sísmicas (i.e., de diseño) y un conjunto de registros candidatos. Este enfoque permite incorporar de manera explicita las correlaciones entre diferentes medidas de intensidad, ya sea espectrales (e.g., PSa) o no espectrales (e.g., Intensidad de
Arias), evitando sobreponderar en la búsqueda intensidades altamente correlacionadas y cuantificando las desviaciones según su dispersión estadística.
Para definir los coeficientes de correlaciones entre intensidades sísmicas se utilizó una adaptación de la propuesta de [3] según Ec. 1.
(����2) Ec. 1
En donde, ��0 es la varianza corregida por evento y sitio, �� es la varianza entre eventos y ��0 la varianza total corregido por sitio (i.e., ��0 =√��0 2 +��2). Por su parte, ��������ℎ���� ���������� y ���������������� ���������� corresponden a las correlaciones entre las intensidades sísmicas ����1 y ����2 estimadas a partir de los residuales nativos de regresiones no ergódicas [4] para registro sísmicos de la subducción chilena.
Luego, el vector objetivo de IMs se definió a partir de un escenario de diseño y sus respectivas predicciones por los modelos predictivos de intensidad sísmica desarrollados. La matriz de covarianza se construyó combinando los coeficientes de correlación estimados a partir de residuales y las desviaciones estándar nativas reportadas para cada IM. Luego, se define la matriz según Ec. 2. Σ=������
Ec. 2
En donde, R es la matrizde correlación entre IMs yD una matriz diagonal con lasdesviacionesestándar de cada IM.
Para cada registro candidato “i” con vector ���� de intensidades se calculó la distancia de Mahalanobis al vector objetivo ��, se tiene una distancia (����) en el espacio multivariado según la Ec. 3. ���� =√(���� ��)
Ec. 3
Dado que la selección cada vez más involucra grandes bases de datos de registros candidatos, se implementó una búsqueda eficiente de vecinos cercanos mediante la estructura jerárquica BallTree [5]. Esta estructura organiza los datos en hiperesferas anidadas y permite reducir significativamente el costo computacional de las búsquedas al descartar regiones completas del espacio de candidatos, utilizando la distancia de Mahalanobis como métrica.
Finalmente, para evitar la selección de registros excesivamente escalados, se incorporó una penalización sobre el factor de escala s_i, de maneja que el puntaje para jezarquizar quedo definido según la Ec. 4.
Ec. 4
Donde, ���� controla la tolerancia al escalamiento y �� el peso relativo de este término (definido como 0.15) Este score permite favorecer registros con valores de escala más cercanos a 1, es decir, más representativos físicamente.
En resumen, a partir del ranking multivariado y la búsqueda jerárquica con BallTree, se seleccionó un conjunto reducido de registros. Sobre estos, se calcularon espectros representativos (mediana, bandas percentiles) y se compararon con el espectro objetivo, verificando la representatividad estadística y la dispersión aceptable.
3. RESULTADOS
El set de intensidades sísmicas no espectrales corresponde a duraciones significativas (Ds), velocidad máxima del suelo (PGV), aceleración máxima del suelo (PGA) y la Intensidad de Arias (Ia). En la Fig.1 se muestra la estructura de correlaciones para las diferentes intensidades no espectrales estudiadas e intensidades espectral mostradas como referencia (i.e., RotD50, que corresponde al percentil-50 de aceleraciones espectral; RotD100, que corresponde al percentil-100 de aceleraciones espectral y g_Z,
que corresponde a la componente vertical). Notarque la matriz essimétrica, por los valores del triangulo inferior son los representados en colores del triangulo superior. Estas correlaciones han sido obtenidas para eventos de subducción interplaca.

Fig. 1. Matriz de correlación de registros sísmicos chilenos de subducción interplaca
Los registros sísmicos han sido obtenidos de la base de datos disponible en [6] y han sido escalados por los factores lineales 0.1, 0.2, 0.4, 1, 5, 2.5 y 10. Dado que algunos parámetros sísmicos no espectrales no responden linealmente al escalamiento, cada parámetro fue recalculado para el registro escalado. Finalmente, con las intensidades de los registros escalados se construye una matriz de candidatos.
Para evaluar las diferencias en incluir diferentes parámetros sísmicos dentro de la selección de registros se han definido dos escenarios de subducción (Mw=8.5; ZH=35km) idealizados para Chile costero (Rrup=50 km) y cordillerano (Rrup=250km). En la Fig, 1 se muestran los espectros medianos del set de registros sísmicos seleccionados luego de ir agregando diferentes parámetros no espectrales al vector de intensidades objetivo.



Fig. 2. Set de registros seleccionados para Escenario #1 (Rrup=50km)
Finalmente, en la Fig. 3 se comparan los espectros medianos de los diferentes sets desarrollados con lo que sería el espectro de aceleraciones predicho para el escenario de análisis Notar que una selección de registros basados en Spectral Matching no será representativo de la selección de registros más cercanos al vector de diseño objetivo


Fig. 4. Comparación de espectros según los diferentes sets de parámetros objetivo-seleccionados
4. CONCLUSIONES
La metodología propuesta, basada en la distancia de Mahalanobis, demostró ser una alternativa eficiente y estadísticamente consistente para la selección de registros sísmicos, ya que permite incorporar de manera explícita tanto parámetros espectrales como no espectrales en un marco multivariado. La consideración de las correlaciones entre medidas de intensidad evita redundancias en el proceso de selección y asegura una mejor representatividad estadística del conjunto final respecto al escenario de diseño. Los resultados obtenidos muestran que la selección multivariada puede diferir significativamente de enfoques tradicionales basados únicamente en Spectral Matching, lo que evidencia la importancia de incluir parámetros no espectrales relevantes en el proceso. En consecuencia, la metodología desarrollada contribuye a generar conjuntos de registros más realistas, físicamente representativos y coherentes con el vector de intensidades (espectrales y no espectrales) de diseño que define la demanda sísmica
5. AGRADECIMENTOS
Los autores agradecen el financiamiento del proyecto EASER (Evolution Assesment of SEismic Risk) ACT240044 de la Agencia Nacional de Investigación y Desarrollo [ANID/Anillos/ACT240044]. El primer autor agradece el apoyo de la beca de Doctorado Nacional ANID 2024-21241239.
6. REFERENCIAS
[1] Caicedo, D., Karimzadeh, S., Bernardo, V. et al. Selection and Scaling Approaches of Earthquake TimeSeries for Structural Engineering Applications: A State-of-the-Art Review. Arch Computat Methods Eng 31, 1475–1505 (2024).
[2] Manfredi V, MasiA,Özcebe AG,et al.Selection and spectral matching ofrecorded ground motions for seismic fragility analyses. Bull Earthquake Eng 2022; 20: 4961–4987.
[3] Roy R, Thakur P, Chakroborty S. Scaling of ground motions and its implications to plan-asymmetric structures. Soil Dyn Earthq Eng 2014; 57: 46–67.
[4] Kotha SR, Bindi D, Cotton F. Site-corrected magnitude- and region-dependent correlations of horizontal peak spectral amplitudes. Earthq Spectra 2017; 33(4): 1415–143
[5] Lavrentiadis G, Abrahamson NA, Nicolas KM, et al. Overview and introduction to development of non-ergodic earthquake ground-motion models. Bull Earthquake Eng 2023; 21: 5121–5150.
[6] Omohundro SM. Five balltree construction algorithms. Int Comput Sci Inst Tech Rep 1989; TR-89-063.
[7] Bastias N, Montalva GA, Leyton F, Heresi P, Dominguez H. An extended and updated strong ground motion database for the Chilean subduction earthquakes. Manuscript submitted for publication in Earthquake Spectra.



EVIDENCE OF DIRECTIONAL NONLINEAR SITE RESPONSE DURING THE 2011 MW 9.0 TOHOKU EARTHQUAKE
J. Bustos (1)* , C. Pastén (1) , S. Ruiz (2) , P. Heresi (1) , F. Bonilla (3) (1) Departamento de Ingeniería Civil, Universidad de Chile, jose.bustos.f@ug.uchile.cl (2) Departamento de Geofísica, Universidad de Chile (3) Université Gustave Eiffel
ABSTRACT
Nonlinear site response critically influences seismic ground motion, especially in shallow soil layers where shear modulus degradation reduces shear wave velocity and resonance frequencies during strong shaking. Accurately characterizing these effects in different directions allows reliable seismic hazard assessment and geotechnical design. This study quantifies directional nonlinear site response of the KiK-net vertical array station IBRH11 during the 2011 Mw 9.0 Tohoku Earthquake by analyzing the earthquake seismic record and 3423 recorded events, using the Stockwell transform. Predominant frequencies and intensity measures were estimated for multiple azimuthal directions in each earthquake record. Then, the Site Response Parameter (SRP) was introduced to quantify nonlinear behavior by relating the squared normalized frequency reduction to the peak ground velocity (PGV). The SRP reveals significant azimuthal variations, with smaller frequency reductions, and thus weaker nonlinear effects, in directions near rock outcrops. This spatial variability is attributed to local geomorphological influences on wave propagation and interference.
Keywords: Directional Site Response, Nonlinear Soil Behavior, Geomorphological Effects
1. INTRODUCCIÓN
Nonlinear site response, characterized by reductions in shear wave velocity and resonance frequency shifts during strong shaking, significantly impacts seismic hazard and structural design. Time-frequency analysis techniques have advanced the detection of nonlinear effects directly from seismic records, emphasizing the role of local geology and site conditions [1-3]. However, directional variability of nonlinear response remains challenging to capture due to limitations of 1D models and the complexity of full 3D simulations.
This study introduces a Site Response Parameter (SRP) that quantifies directional nonlinear soil behavior by linking frequency reduction to seismic intensity (PGV). The SRP calculated for the KiK-net station IBRH11 during the 2011 Mw 9.0 Tohoku Earthquake reveals azimuthal variations in nonlinear response influenced by local geomorphology. This parameter offers a practical tool to improve sitespecific seismic hazard characterization and engineering design in complex geological settings.
2. DATA AND SITE DESCRIPTION
The IBRH11 station (Fig. 1a) locates in northern Sakuragawa city, within a basin surrounded by rock outcrops. The site consists of approximately 30 m of soil with a time-averaged shear wave velocity (Vs30) of 242 m/s, underlain by stiff bedrock with Vs near 2100 m/s. During the 2011 Mw 9.0 Tohoku earthquake, the station recorded intense shaking, with peak ground acceleration exceeding 900 cm/s² and peak ground velocity over 60 cm/s.
A total of 3,423 seismic events were analyzed in eighteen azimuthal directions spaced every 10°. Fig 1b shows the backazimuth versus the maximum directional PGV, colored by moment magnitude (Mw), while Fig. 1c presents hypocentral distance versus magnitude, with PGV as a color scale. The dataset spans a broad range of magnitudes, distances, and directions. While event distribution is not uniform, coverage is sufficient across azimuths to support meaningful evaluation of directional variability. The
strongest concentration occurs between 20° and 90°, corresponding to the most active segment of the subduction zone along the Japan Trench.
Events were grouped into four bins based on their maximum directional PGV: Bin 1 (0.1–0.75 cm/s) serves as the linear reference; Bin 2 (0.75–3 cm/s), Bin 3 (3–5 cm/s), and Bin 4 (5–30 cm/s) represent increasing seismic demand. The goal is to evaluate directional nonlinear site response across these bins and compare it with the strong motion recorded during the Tohoku earthquake.

Fig. 1 (a) DEM map of station IBRH11 showing azimuth lines every 30°. (b) Backazimuth vs. maximum directional PGV for all events; colors indicate moment magnitude (Mw), and shaded bands represent the four PGV bins. (c) Hypocentral distance vs. magnitude; color scale indicates maximum directional PGV
3. METHODOLOGY
3.1. Spectral Response Estimation by Direction
For each seismic event, the spectral content was estimated using the Stockwell Transform (ST), applied to the horizontal velocity records along each azimuthal direction. A 20-s window, centered 25% after the time of maximum directional PGV, was used to isolate the S-wave energy and exclude P-wave arrivals. The resulting time-frequency spectra in the 20-s window were averaged to obtain a power spectral density (PSD) for each direction.

Fig. 2 Directional spectral response estimation. (a) Velocity time series and PSD at azimuth 90° using a 20-s analysis window. (b) Azimuthal variation of PGV (top) and normalized PSD (bottom), with crosses signaling predominant frequencies and the shaded grey area highlighting the frequency range where the PSD exceeds 90% of the maximum. Red box highlights the 90° direction
Each PSD was normalized by the peak value across all analyzed directions to emphasize the azimuthal distribution of spectral energy. The predominant frequency was then defined as the frequency corresponding to the maximum of the normalized PSD for each direction and event. This process is illustrated in Fig. 2, which shows the analysis for azimuth 90° and its location within the complete directional response.
3.2. Small-Strain Reference
To establish a robust small-strain reference, the mean directional normalized PSD was calculated by averaging the normalized PSD of the 2235 low-PGV events within Bin 1. Due to their low ground motion intensities, these events are assumed to induce small shear strains in the soil, representing almost linear soil behavior. Fig 3a shows the resulting mean PSD of Bin 1
3.3. Frequency Estimation
To evaluate changes in predominant frequency with increasing seismic intensities, the peak frequencies were calculated for the rest of the bins. Additionally, directional frequency analysis was performed on the 2011 Tohoku Earthquake record. Fig 2b shows the directional frequency estimates for the Tohoku event while Fig 2c presents the maximum predominant frequencies estimated across all bins and the Tohoku event for comparison. The frequency reduction in each bin clearly illustrates the increase in nonlinear soil behavior with the seismic intensity, represented by PGV, being consistent with [1-3]

Fig. 3 (a) Mean normalized directional PSD for low PGV events (Bin 1), (b) Directional predominant frequencies during the 2011 Tohoku earthquake. (c) Max predominant frequencies across PGV bins and Tohoku event.
3.4. Site Response Parameter (SRP)
Regarding the proportionality between predominant frequency and shear wave velocity and recognizing that frequency reduction relates to shear modulus degradation, we define the Site Response Parameter (SRP) as the squared normalized frequency reduction normalized by the peak ground velocity (PGV) in each azimuthal direction θ.
Here, ��������(��) is the reference predominant frequency estimated from low-intensity events in Bin 1, ������������(��) is the predominant frequency during the seismic event under analysis, and ������������ is the reference PGV, set to 100 cm/s. This parameter captures the nonlinear site response by linking frequency reduction to seismic demand, with PGV serving as a proxy for shear strain [2, 3].
4.
RESULTS AND DISCUSSION
Fig. 3a shows the ratio ������������/�������� for each event and azimuth, plotted against PGV, along with the SRP curve for the Mw 9.0 Tohoku Earthquake. ������������/�������� <1 indicate a reduction in predominant frequency due to nonlinear soil behavior, which increases consistently with PGV. Fig. 3b presents the azimuthal distribution of SRP in polar coordinates. Higher SRP values, indicative of stronger nonlinear response, are observed toward the north. In contrast, lower SRP values occur along the east-west direction. The reduced nonlinearity between azimuths 70° and 110° aligns with nearby rock outcrops, indicating geomorphological control from the bedrock–soil interface. This likely results from interference between body and surface waves near steep slopes, enhanced by shallow soils and high impedance contrast. As a result, higher PGVs may occur without significantly increasing shear strains, limiting nonlinear attenuation

Fig. 3 (a) Frequency ratio ������������/�������� vs PGV for all directions with SRP curve for the Tohoku Earthquake, (b) Polar plot of SRP by azimuth.
5. CONCLUSIONS
This study introduces a Site Response Parameter (SRP) to quantify directional nonlinear soil behavior by linking reductions in predominant frequency to seismic intensity, with PGV serving as a proxy for shear strain. Application of the SRP at KiK-net station IBRH11 revealed consistent frequency reductions with increasing intensity, along with pronounced azimuthal variability. The strongest nonlinear response was observed toward the north, while reduced effects along the east-west direction coincided with nearby outcrops, suggesting geomorphological control on wave propagation. These results underscore the importance of local subsurface conditions and basin geometry in modulating directional nonlinear site response.
6. ACKNOWLEDGMENTS
This study was supported by ANID through the National Doctoral Scholarship Program (Grant No. 21231469), the FONDECYT Regular Project No. 1240744, the FONDECYT Iniciación Project No. 11230463, and the ANILLO Project ACT240044 (EASER: Evolution Assessment of Seismic Risk).
REFERENCES
[1] Bonilla LF, Tsuda K, Pulido N, Régnier J, Laurendeau A. Nonlinear site response evidence of KNET and KiK-net records from the 2011 off the Pacific coast of Tohoku Earthquake. Earth Planets and Space 2011; 63(7):785–789.
[2] Chandra J, Guéguen P, Bonilla LF. PGA-PGV/Vs considered as a stress–strain proxy for predicting nonlinear soil response. Soil Dynamics and Earthquake Engineering 2016; 85:146–160
[3] Lai ST, Schibuola A, Bonilla LF. Unveiling nonlinear site response through time-frequency analysis of earthquake records. Geophysical Journal International 2025; 241(3):1600–1631



INFLUENCE OF BASINGEOMETRYON NONLINEAR SEISMIC RESPONSE: A 1D VS 2D STUDY IN THE SANTIAGO BASIN
J. Bustos (1)*, C. Pastén (1), P. Heresi (1), S. Ruiz (1), R. Abreu (2), F. Bonilla (3) (1) Universidad de Chile, jose.bustos.f@ug.uchile.cl (2) Université Paris Cité (3) Université Gustave Eiffel
ABSTRACT
Sedimentarybasinscansignificantlyamplifygroundmotionsduetotheirgeometry,velocitycontrasts, and nonlinear soil behavior. Traditional one-dimensional (1D) site response analyses, though widely used, cannot capture lateral wave propagation or surface wave generation, potentially underestimating seismic demand in complex basins such as Santiago. This study evaluates the influence of basin geometry on surface ground motion, explicitly accounting for nonlinear soil behavior. 1D and two-dimensional (2D) finite difference simulations were conducted using a hyperbolic-typenonlinearsoilmodeltocaptureshearmodulusreductionandhystereticdamping.The models incorporatedthemostrecentshear wavevelocity characterizationfrom a2Dcross-section in the northern part of the Santiago basin, an area dominated by soft sediments. The 1D simulations assumed vertical SH wave propagation and the 2D P-SV model included lateral heterogeneity and a flat free surface. Near basin edges, 2D simulations exhibited up to 40% higher amplification than the 1Dsimulations.Thesedifferencesareattributedtowavesinteractingwithadjacentoutcropsandwave interferences,whichonly2Dmodelscanreproduce.Nonlinearbehaviorreducedamplificationinboth cases.
Keywords: Nonlinear Site Response, Basin Geometry, 2D vs 1D Nonlinear Numerical Modeling
1. INTRODUCCIÓN
Seismicsiteresponseinsedimentarybasinsisstronglyinfluencedbybasingeometryandnonlinearsoil behavior. Traditional 1D models cannot capture important lateral effects such as surface wave generation and wavefield heterogeneity, often underestimating seismic demand [1]. Multidimensional nonlinear simulations are therefore essential for accurate hazard assessment in urban basins like Santiago. [1] developed2D linear models that only captured basinedge effects, disregarding nonlinear soilbehavior,criticalduringstronggroundmotion.Inaddition,theirlarge-scalesimulationsusedcoarser grids limiting detailed analysis of bedrock geometry impacts. This study improves upon these two aspectsbyfocusingonasmallerarea,whereupdatedvelocityprofilesandmorerealisticbedrockdepth geometry are available, with a finer gridandimplementing anonlinear constitutivemodelto account for bedrock geometry influencing nonlinear seismic response. By comparing nonlinear 1D and 2D simulations, this work quantifies the combined effects of nonlinear soil behavior and basin morphology on seismic amplification, highlighting the need for multidimensional wave propagation and nonlinear modeling to reliably assess seismic hazards in complex sedimentary basins.
2. METHODOLOGY
2.1. Geological and Geotechnical Model
The analyzed EW cross-section corresponds to a simplified segment of the profile previously modeled by [1], located in the northern part of the Santiago Basin (Fig. 1d). The basin sediments consist of soft soilscharacterizedbyaverticallyincreasingshearwavevelocityprofile(Fig.1c)withoutlateralvariability within the sedimentary layers. The shear wave velocity (Vs) at the surface is approximately 200 m/s, increasingtoslightly over 600m/snearthebedrock interface. Thebedrock shear wavevelocityis1900 m/s. The absolute slope and geometry of the bedrock–soil interface are shown in Fig. 1a and Fig. 1b.
Soil behavior was modeled using the nonlinear multi-shear mechanism constitutivemodel proposed by [2], which effectively captures shear modulus degradation and the increase in damping with increasing shear strain. A reference shear strain, �� =10 , representing the strain at which the shear modulus is reduced by 50%, was adopted to characterize a clayey soil with high plasticity, consistent with [3]. The bedrock was modeled as alinear elastic material.

Fig. 1. Analyzed cross section. (a) Absolute bedrock-soil interfaceslope; (b) 2D shear wave velocity distribution; (c) 1Dshear wave velocity profile at a representative basinsite; (d) (d) Surface geology of the Santiago Basin [4], with the analyzed cross-section shown in red.
Seismic wave propagation was simulated using 1Dand 2D finite difference methods[5]. The 1Dmodel assumes vertical SH wave propagation, while the 2D model employs a staggered-grid velocity–stress finite difference solver for P–SV waves without viscoelasticity, incorporating the previously described nonlinearmulti-shearmechanismconstitutivemodel.Thecomputationalgridspacingwas2m,providing a maximum resolved frequency of approximately 8.33 Hz based on 12 grid points per wavelength and a minimum shear wavevelocity of 200m/s.Simulations wererunfor 30s,with theinputmotionapplied atadepthof600mintheformofRickerwaveletscenteredat0.5Hz.Twoinputcaseswereconsidered: wavelets scaled to peak particle velocities of 0.1 cm/s and 10 cm/s, representing, respectively, smallstrain (linear) and large-strain (nonlinear) site response conditions. The free surface was assumed flat, and absorbing boundary conditions were implemented via a 60-grid-point-thick exponential damping sponge layer.
3. RESULTS ANDDISCUSSION
3.1.
Surface Velocity Response
Fig. 2 compares the surface velocity responses from the 1D and 2D models for input pulses with peak velocities of 0.1 cm/s and 10 cm/s normalized by the outcrop Peak Ground Velocity (PGV). The 2D simulations capture complex wave phenomena, including the generation of Rayleigh surface waves predominantly at the basin edges. These waves propagate with varying velocities due to dispersive effects from the increase in Vs with depth, as shown by the shaded grey band representing the propagation velocity range (200–620 m/s) characteristic of the basin soils. Higher apparent velocities are also observed, consistent with the low-frequency content of the input pulses. In contrast, the 1D simulations produce only vertically propagating trapped waves in the soil column, without lateral interactions or surface wave generation.
For the 10 cm/s input, nonlinear soil behavior slightly reduces the maximum PGV across the section relativetotheoutcropinbothmodelstoasimilardegree.Inthe2Dsimulations,however,Rayleighwave amplitudes experience amuch pronounced reduction due to nonlinear attenuation.

Fig. 2. Surface velocity responses normalized by the outcrop PGV for input amplitudes of 0.1cm/s (left) and 10 cm/s (right). The top panel depicts the 1D horizontal velocity, while the bottom panel shows the 2D horizontal velocity. Gray dashed lines mark the outcrops at both basin edges.
3.2. Amplification and Aggravation Factors
Amplification factors (AF)were calculatedfor peakground acceleration(PGA) and cumulative absolute velocity (CAV) by comparing values at the soil surface to those at the outcrop, estimated as the mean intensity measure between 11 and 13 km, which represents ground motion without site amplification. PGAamplificationreaches valuescloseto4andshows agoodagreement between1D and2Dmodels throughout most of the basin, except near the left outcrop where the 2D model tend to amplify considerably more than 1D models. This discrepancy is likely related to the high bedrock-soil interface slope in that region. In contrast, CAV exhibits larger differences between 1D and 2D results, primarily duetotheincreasedgroundmotiondurationcausedbythegenerationofRayleighsurfacewavesinthe 2D simulations.

Fig. 3. Amplification factors for PGV, PGA, CAV, and AI for 0.1 and 10 cm/s. Gray dashed lines mark the outcrops at both basin edges.
Aggravationfactors(AGF) werecalculated astheratio oftheamplificationfactorsfromthe2Dmodel to those from the 1D model, providing a measure of the 2D amplification change relative to 1D. For peak groundacceleration(PGA), AGFvaluesindicateamplificationincreasesofuptoapproximately40%for bothlow andhigh input pulseamplitudes. However,for the higher amplitude pulse, thespatial extent of this aggravated region is reduced and shifted toward the basin interior. In the case of cumulative absolutevelocity(CAV),aggravationfactorsreachvaluescloseto2.5,butthesedecreasebelow2when nonlinear soil behavior develops (input with 10 cm/s), reflecting the strong attenuation of Rayleigh surface waves observedin the 2Dsimulations (see Fig. 2).

Fig. 4. Aggravation factors for PGV and CAV for 0.5 Hz input pulseamplitudes of 0.1cm/s and 10 cm/s. Gray dashed lines mark the outcrops at both basin edges.
4. CONCLUSIONS
Themost pronounceddifferencesbetween1Dand2Dsiteresponsemodelsoccur neartheleftoutcrop of the basin, where a steep bedrock–soilinterface slope strongly influences seismic wave propagation. This geometry induces complex refraction and reflection of body waves, which, coupled with Rayleigh wave generation, results in spatial amplification patterns that cannot be captured by traditional 1D analyses.
Nonlinearsoilbehaviordoesnotsignificantlyreducetheamplificationassociatedwithbedrockgeometry on peak ground acceleration (PGA). Instead, it induces slight shifts in the spatial extent of these amplifiedregions.ThenonlinearresponseprimarilyaffectsRayleighsurfacewavegeneration,markedly reducing the duration and spatial reach of strong ground motions within the basin.
Thesefindings highlight the critical importanceofbasingeometry inseismic siteresponse. Evenduring megathrust earthquakes, geometric effects may persist in producing substantial surface amplification that 1D models fail to represent. Therefore, seismic hazard assessments in sedimentary basins must incorporate multidimensional nonlinear modeling approaches to accurately capture these essential geometric influences and ensurereliable groundmotion predictions.
5. ACKNOWLEDGMENTS
This study was supported by ANID through the National Doctoral Scholarship Program (Grant No. 21231469), the FONDECYT Regular Project No. 1240744, the FONDECYT Iniciación Project No. 11230463, and the ANILLO Project ACT240044 (EASER: Evolution Assessment of Seismic Risk).
REFERENCIAS
[1] Bustos J, Pastén C, Pavez D, Acevedo M, Ruiz S, Astroza R. Two-dimensional simulation of the seismic response of the Santiago Basin, Chile. Soil Dynamics and Earthquake Engineering 2023; 164:107569. https://doi.org/10.1016/j.soildyn.2022.107569
[2] Towhata I. Modeling soil behavior under principal stress axes rotation. In: Proceedings of the 5th International Conference on Numerical Methods in Geomechanics; 1985; Nagoya, Japan. Vol. 1. p. 523–530.
[3] VuceticM,DobryR.Effectofsoilplasticityoncyclicresponse. Journal of Geotechnical Engineering 1991; 117(1):89–107.
[4] Leyton F, Sepúlveda SA, Astroza M, Rebolledo S, Acevedo P, Ruiz S, Gonzalez L, Foncea C. Seismic zonation of theSantiago Basin, Chile. In: Proceedings of the 5th International Conference on Earthquake Geotechnical Engineering; 2011; Santiago, Chile.
[5] Bonilla LF. NOAH: user’s manual. Santa Barbara (CA): Institute for Crustal Studies, University of California; 2001. 38 p.

MONITOREO
DEL RUIDO


SÍSMICO EN CIUDADES: APLICACIONES DE LA SISMOLOGÍA AMBIENTAL
J Ojeda (1*), N. Bastías (1), G. Montalva (1), F. Leyton (2), P. Heresi (3) (1) Universidad de Concepción, Facultad de Ingeniería, Departamento de Ingeniería Civil (2) Universidad de Chile, Facultad de Ciencias Físicas y Matemáticas, Centro Sismológico Nacional (3) Universidad de Chile, Facultad de Ciencias Físicas y Matemáticas, Departamento de Ingeniería Civil *email autor principal : jojeda@udec.cl
INTRODUCCIÓN
La creciente necesidad de estudiar y monitorear procesos superficiales de la Tierra, tales como cambios hidrológicos, examinar inestabilidades y expandir el enfoque de lo que tradicionalmente la sismología ofrece para estudiar procesos tectónicos, ha posicionado a la sismología ambiental como una herramienta innovadora para investigar tanto procesos naturales como antropogénicos usando registros sísmicos continuos medidos en un amplio espectro de frecuencias. Esta disciplina permite caracterizar con alta resolución la dinámica espaciotemporal en la subsuperficie, proporcionando información clave sobre la interacción entre fuentes de ruido y el entorno, tanto urbano como natural En este estudio, analizamos las fuentes de ruido sísmico y la microsismicidad local en la ciudad de Concepción, Región del Biobío, Chile, mediante datos recopilados por el Observatorio de Respuesta de Sitio en Cuencas Aluviales (ORSCA). Esta red cuenta con seis estaciones con sensores de banda ancha instalados en superficie y un sensor instalado a profundidades de 80 metros, los que configuran un laboratorio idóneo para estudiar señales de baja amplitud en los registros sísmicos continuos
DESARROLLO
La metodología empleada incluyó el procesamiento de registros medidos por las seis estaciones de la red ORSCA, considerando un período desde inicios de 2024 hasta mayo de 2025. También se incorporaron las tres estaciones operativas por el Centro Sismológico Nacional, durante el mismo período de tiempo. En este trabajo analizamos la información que nos entrega el ruido sísmico ambiental (ANS) y la sismicidad natural registrada. Por un lado, siguiendo la metodología propuesta en Lecocq et al. (2020), analizamos las componentes verticales y horizontales de los registros banda ancha e investigamos los cambios temporales del ANS. Para ello calculamos diariamente la densidad espectral usando diferentes bandas de frecuencia. Por otro lado, generamos catálogos de microsismicidad a una escala local. Primero realizamos estimaciones de la relación señal/ruido (SNR) para evaluar la detectabilidad de la microsismicidad. Se aplicaron técnicas de detección automática basadas en Machine Learning (Woollam et al., 2022), que permiten una búsqueda sistemática de fases P y S, que posteriormente son asociadas a un evento común y luego relocalizados usando métodos de doble diferencia. Nuestros resultados muestran una marcada variabilidad espacial y temporal del ANS. Similar a las observaciones de Ojeda & Ruiz (2021), se identificaron incrementos de ANS asociados a actividades antropogénicas diurnas, reducciones durante la noche y aumentos puntuales vinculados a sismos regionales de magnitud moderada. La configuración de la estación Freire en la red ORSCA permitió comparar el comportamiento de las señales a distintas profundidades, evidenciando diferencias en la atenuación y en la influencia de las fuentes superficiales. El alto SNR posibilitó identificar eventos sísmicos de muy baja magnitud, mejorando la capacidad de monitoreo y caracterización de la respuesta dinámica del suelo dentro de una cuenca aluvial como Concepción
CONCLUSIONES
La red ORSCA permitió registrar y analizar con alta resolución la variabilidad del ANS en la ciudad de Concepción. De forma preliminar, se identificaron patrones diurnos asociados a actividad humana, que típicamente generan ruido sísmico ambiental en el rango de altas frecuencias, así como variaciones puntuales ligadas a eventos sísmicos locales. Consideramos que el despliegue de estaciones dentro de ciudades abre una oportunidad a investigaciones geotécnicas, estudio de estructuras sismogénicas y fortalecimiento del monitoreo local.
AGRADECIMENTOS: Los autores agradecen el financiamiento del proyecto EASER (Evolution Assesment of SEismic Risk) ACT240044 de la Agencia Nacional de Investigación y Desarrollo [ANID/Anillos/ACT240044], y del proyecto FONDEQUIP EQM160015 para la instalación de la red ORSCA. NB agradece el apoyo de la beca de Doctorado Nacional ANID 2024-21241239. PH agradece el financiamiento del proyecto FONDECYT Iniciación en Investigación ANID 11230463.
REFERENCIAS:
[1] Lecocq, T., et al. (2020). Global quieting of high-frequency seismic noise due to COVID-19 pandemic lockdown measures. Science, 369(6509), 1338-1343
[2] Ojeda, J., & Ruiz, S. (2021). Seismic noise variability as an indicator of urban mobility during the COVID-19 pandemic in the Santiago metropolitan region, Chile. Solid Earth, 12(5), 1075-1085.
[3] Woollam, J., et al. (2022). SeisBench - A toolbox for machine learning in seismology. Seismological Society of America, 93(3), 16951709.



ARTÍCULO “ANÁLISIS ITERATIVO DE INFILTRACIONES EN MURO DE RELAVES: VALIDACIÓN CON DATOS PIEZOMÉTRICOS”
D. Zambrano (1) , C. Mancilla (2) , C. Vergara (3) (1) Arcadis Chile, Diego.zambrano@arcadis.com (2) Arcadis Chile, Catalina.mancilla@arcadis.com (3) Arcadis Chile, Carolina.vergara@arcadis.com
RESUMEN
La estabilidad de los tranques de relaves depende del control de las infiltraciones y del nivel freático dentro del muro. Este estudio evaluó el comportamiento hidráulico de una etapa recientemente construida utilizando SEEP/W, con el objetivo de validar los parámetros de conductividad hidráulica actuales y analizar el efecto de las depositaciones cercanas al muro, junto con la posible colmatación de drenes instalados en etapas previas. Los resultados del proceso de modelación, ajustado de forma iterativa y validado con datos piezométricos, mostraron que la exclusión de la capacidad de drenaje del dren longitudinal permitió reproducir mejor los niveles freáticos observados, lo que sugiere una colmatación parcial o total del sistema. Asimismo, la distancia real de la laguna y las depositaciones cercanas demostraron tener un impacto relevante en el comportamiento transitorio de la infiltración, actuando como fuentes adicionales de aporte hídrico.
El estudio resalta la necesidad de ampliar la instrumentación piezométrica y de realizar ensayos de laboratorio e in situ para reducir la incertidumbre asociada a los modelos hidráulicos. En conjunto, los resultados enfatizan la importancia de actualizar continuamente los modelos de infiltración para mejorar la gestión del drenaje, fortalecer la toma de decisiones y asegurar la operación segura del tranque en etapas futuras.
Palabras-Clave: Tranque de relaves, infiltración, SEEP/W, colmatación, conductividad hidráulica
1. INTRODUCCIÓN
Los tranques de relaves son estructuras esenciales en la gestión de residuos mineros, cuya estabilidad depende en gran medida del control del flujo de agua y la gestión del nivel freático. Un análisis adecuado de las infiltraciones es crucial para garantizar la seguridad de estas estructuras, especialmente en etapas avanzadas de construcción y operación.
Este estudio busca evaluar el comportamiento del nivel freático en un tranque de relaves con muros de empréstito, ubicado en una faena minera del norte de Chile, validando los parámetros de diseño de conductividad hidráulica existentes a partir de simulaciones realizadas con el software SEEP/W. El objetivo principal es corroborar la aplicabilidad de los parámetros para la etapa recientemente construida, analizando el efecto de infiltraciones generadas por depositaciones cercanas al muro y la posible colmatación del dren longitudinal existente. Para ello, se ajustaron las configuraciones del modelo para reflejar las condiciones reales del tranque, utilizando datos piezométricos como referencia empírica.
El perfil seleccionado para el análisis corresponde al perfil crítico del muro, el cual presenta la mayor altura dentro de la estructura, alcanzando aproximadamente 60 m desde su fundación.
2. METODOLOGÍA
2.1 Configuración del Modelo en SEEP/W
El análisis se realizó utilizando el software SEEP/W, el cual permite modelar el flujo de agua a través de medios porosos. Se desarrolló un modelo bidimensional representativo de una sección transversal del tranque de relaves, considerando los materiales constitutivos del muro, los relaves y los sistemas de drenaje, tal como se observa en la Fig. 1. El modelo fue resuelto bajo un régimen estacionario, con el objetivo de representar las condiciones de equilibrio hidráulico en el sistema.
Los parámetros de conductividad y las características hidráulicas de los materiales fueron definidos en función de las propiedades actualizadas y adoptando el modelo constitutivo de Van Genuchten para suelos saturados/no saturados
Considerando que en general no se cuenta con ensayos de conductividad hidráulica para los materiales del muro, se consideraron las caracteristicas de los materiales obtenidos de las últimas calibraciones realizadas en el tranque [1] [2] y de fuentes bibliográficas [3]. Los parámetros utilizados se resumen en la Tabla 1
Tabla 1. Parámetros de conductividad hidráulica del perfil del muro.
Tipo de Suelo

Fig. 1. Sección del muro analizada.
2.2 Iteraciones y Escenarios Analizados
La metodología empleada en este estudio se basó en un enfoque iterativo utilizando el software SEEP/W para modelar las condiciones de infiltración en el tranque de relaves. Este proceso contempló
múltiples simulaciones con configuraciones variables, enfocadas en comprender y reproducir de manera más precisa el comportamiento hidráulico de la sección analizada.
Una parte fundamental del análisis consistió en evaluar el efecto de la distancia entre la laguna de aguas claras y el muro. Actualmente, la laguna se ubica aproximadamente a 1000 m de la sección estudiada, por lo que se realizaron iteraciones variando esta distancia con el fin de determinar su influencia en el nivel freático modelado. Este ejercicio consideró tanto el efecto de las depositaciones cercanas al muro como la influencia de la proximidad de la laguna. Para estas simulaciones, la zona de relaves fue representada como saturada.
Paralelamente, se desarrollaron simulaciones destinadas a revisar el impacto de la posible colmatación del dren longitudinal ubicado bajo las primeras etapas del muro. Para ello, se compararon escenarios con y sin la zona de descarga del dren, lo que permitió evaluar cómo la pérdida de capacidad de drenaje afecta la dinámica de infiltración y el comportamiento del nivel freático.
Este enfoque iterativo permitió identificar configuraciones de modelación más representativas de las condiciones reales del tranque, ofreciendo una base sólida para el análisis de infiltraciones y para comprender los efectos que generan las depositaciones cercanas al muro en el comportamiento hidráulico del sistema.
3. RESULTADOS Y ANÁLISIS
La Fig. 2. presenta la comparación entre el nivel freático modelado, representado por la línea azul, y las lecturas piezométricas, indicadas por círculos rojos. Se puede apreciar que, tras ajustar la distancia de la altura de carga a 300 m y excluir la zona de descarga en el dren (dren se modeló con las propiedades del suelo de fundación), el modelo logra reproducir de manera coherente el nivel freático medido. Este ajuste ha sido crucial para mejorar la precisión del modelo en la simulación de las condiciones reales.

Fig. 2. Ajuste Nivel freático con Datos Piezométricos – Modelación SEEP/W escenario dren colmatado
Los resultados obtenidos sugieren que el dren longitudinal podría estar parcialmente colmatado. Esto explicaría la ausencia de una caída significativa en el nivel freático en esa área específica. Las posibles causas de esta colmatación incluyen el arrastre de sedimentos durante el flujo superficial, la formación de incrustaciones minerales, la compactación de etapas de crecimiento del muro posteriores a la construcción del dren y la mala conexión entre drenes de diferentes etapas. Cada una de estas causas podría contribuir a la reducción de la capacidad de drenaje del sistema, afectando así su desempeño general.
Además, el ajuste de la distancia de la altura de carga ha permitido cuantificar el impacto de las depositaciones cercanas al muro en la infiltración de los relaves. Estas depositaciones actúan como una fuente transitoria de agua, que afecta de manera significativa el nivel freático local, alterando la dinámica del flujo dentro del tranque. Este fenómeno subraya la importancia de considerar las condiciones locales al modelar las infiltraciones en estructuras de relaves.
4. CONCLUSIONES
Este estudio entregó una visión detallada de las dinámicas de infiltración en el tranque de relaves, destacando la complejidad de los factores que controlan el nivel freático y su influencia en la estabilidad. Mediante un proceso iterativo con SEEP/W, se identificaron elementos críticos que afectan el comportamiento hidráulico de la estructura.
La validación de los parámetros de conductividad hidráulica fue un eje central del análisis, confirmando su pertinencia para la etapa recientemente construida. No obstante, se evidenció la necesidad de realizar ensayos de laboratorio e in-situ para futuras etapas, con el fin de reducir la incertidumbre asociada a los modelos y mejorar la precisión en la representación de los materiales del muro y del sistema de drenaje.
Uno de los hallazgos más relevantes fue la posible colmatación del dren longitudinal de las primeras etapas. Al ajustar el modelo y comparar con los datos piezométricos, la eliminación de la zona de descarga del dren entregó una mejor correspondencia con el nivel freático observado. Esta condición podría estar relacionada con arrastre de sedimentos, incrustaciones minerales o compactación del entorno del dren. Para futuras calibraciones, se recomienda incorporar los caudales de salida de los drenes con el fin de verificar esta hipótesis, especialmente en las primeras etapas y así mejorar la gestión del sistema de drenaje.
El análisis también destacó el impacto de las depositaciones cercanas al muro, cuya presencia actúa como fuente adicional de agua. Ajustar la distancia de la altura de carga a 300 m permitió representar mejor los efectos transitorios asociados a estas depositaciones, los cuales influyen de forma significativa en la evolución del nivel freático. Asimismo, se identificó la necesidad de fortalecer la instrumentación mediante la instalación de más sensores piezométricos, lo que permitirá evaluar adecuadamente los efectos de futuras depositaciones, verificar la eficacia del drenaje y mejorar la validación de los modelos de flujo.
En coherencia con el Principio 7 del GISTM, los resultados refuerzan la relevancia de contar con sistemas de monitoreo integrados y modelos de infiltración actualizados que permitan verificar los supuestos de diseño y gestionar los riesgos durante el ciclo de vida del tranque mediante un enfoque observacional. La actualización continua del modelo y la integración de datos empíricos resultan fundamentales para asegurar la seguridad del tranque y optimizar la gestión hidráulica y operativa del depósito.
5. AGRADECIMENTOS
Agradecer al dueño de la faena minera por permitir utilizar los datos del muro, caracteristicas de materiales y registros piezométricos. También quiero agradecer al equipo de Geotecnia Arcadis por el apoyo en la construcción del documento.
6. REFERENCIAS
[1] Arcadis Informe análisis de filtraciones. 2023
[2] Stantec. Memorándum: Evaluación de hallazgos en la construcción del sistema de drenaje. 2024
[3] Stantec. Memorándum: Cálculo de la permeabilidad equivalente de la geomembrana considerando roturas. 2025.
[4] International Council on Mining and Metals (ICMM), United Nations Environment Programme (UNEP) and Principles for Responsible Investment (PRI). Global Industry Standard on Tailings Management (GISTM). Global Industry Standard on Tailings Management. 2020.



EVALUACIÓN DE LA AMPLIFICACIÓN SÍSMICA DE UNA CUENCA PROFUNDA. EL CASO DE MEJILLONES, CHILE
J. Riffo-López (1,2) , E. Saez (1,2) , F. López-Caballero (3) , C. Pastén (4) , P. Salazar 2(5) , G. Yáñez (1) (1) Pontificia Universidad Católica de Chile, jm.riffo@uc.cl (2) Centro de Investigación para la Gestión Integrada de Riego de Desastres (CIGIDEN), esaezr@uc.cl (3) Université Paris-Saclay, fernando.lopez-caballero@centralesupelec.fr (4) Universidad de Chile, cpasten@uchile.cl (5) Universidad Católica del Norte, pasalaz@ucn.cl
INTRODUCCIÓN
Los efectos de amplificación sísmica en una región están muy influenciados por las características del suelo depositado sobre el basamento rocoso. En Chile, la sismicidad se asocia principalmente al proceso de subducción de la placa de Nazca bajo la placa Sudamericana, generando grandes terremotos eventualmente tsunamigénicos. No obstante, se ha prestado un menor enfoque a la actividad sísmica asociada a fallas corticales debido principalmente a su baja recurrencia Mejillones es una ciudad estratégica situada en la costa norte de la Península homónima (PM), en la cual se encuentra una cuenca sedimentaria profunda. A lo largo de la dirección N-S de la península se extiende una falla cortical potencialmente activa, denominada Falla de Mejillones (FM). Actualmente, se desconoce la respuesta sísmica de la península que podría generar un evento sísmico originado en la FM, en particular, considerando la excepcional profundidad estimada de la cuenca sedimentaria. El presente estudio emplea la combinación de dos métodos geofísicos basados en gravimetría y en ondas de superficie para ampliar la caracterización de la cuenca sedimentaria de la PM conocida hasta ahora. Estos resultados constituyen la base de un modelo computacional actualmente en desarrollo, que será empleado para estudiar las características principales de la amplificación sísmica en la zona, tanto para eventos de subducción, como la potencial activación de la FM.
DESARROLLO
Se efectuaron campañas en terreno aplicando métodos basados en ondas de superficie (MOS) y gravimetría La campaña basada en MOS se realizó combinando la instalación temporal de sismómetros triaxiales de banda ancha con equipos alámbricos multi-canal para ejecutar ensayos MASW. A partir de estas mediciones de microtremores, se obtuvieron perfiles de ondas de corte en función de la profundidad del sitio Vs(z) y se determinó el periodo predominante del sitio (Tg) en diversos puntos de la PM. De manera complementaria, se efectuó una amplia campaña de mediciones gravimétricas para determinar, en función del contraste de densidad entre el basamento rocoso y el relleno sedimentario, la profundidad del basamento gravimétrico. La Fig. 1 presenta los resultados obtenidos que integran los datos obtenidos en ambas técnicas geofísicas. A partir de la figura, se observa que en la profundidad de los sedimentos alcanza hasta ~900 m y esta profundidad se alcanza a aproximadamente 6 km de la costa


(a)
longitudinal de la PM donde se presentan de manera combinada los resultados de ambas campañas geofísicas. La línea roja segmentada representa la profundidad del basamento a partir del método gravimétrico. (b) Zona de estudio y ubicación del perfil longitudinal.
CONCLUSIONES
Este trabajo presenta resultados de la caracterización geofísica de la cuenca profunda de la Península de Mejillones mediante métodos gravimétricos y de ondas sísmica de superficie. Ambos permiten capturar y describir la heterogeneidad del depósito sedimentario a lo largo de la península, tanto en términos del contraste de rigidez y de profundidad, respectivamente. Estos resultados relevantes para la modelación numérica a gran escala orientada a evaluar los efectos de amplificación sísmica en la península asociados a la profundidad excepcional de la cuenca sedimentaria.
AGRADECIMENTOS: El primer autor agradece el financiamiento recibido mediante Beca Doctorado Nacional ANID (ID 21240499). El primer y segundo autor agradecen el apoyo de CIGIDEN para desarrollar trabajo en terreno y al proyecto FONDEQUIP EQM220117 por el uso de equipos en terreno.
REFERENCIAS:
[1] Aki K. Local site effects on weak and strong ground motion. Tectonophysics 1993; 218(1-3): 93–111.
[2] Maringue J, Yañez G, Sáez E, Podestá L, Figueroa R, Estay NP, Lira E. Dynamic characterization of the Mejillones Basin in northern Chile, using combined geophysical field measurements. Eng Geol 2018; 233: 238–254.
[3] González Y, González G, Spagnuolo E, Pozzi G, Jensen E, Aretusini S, Schleicher AM. Exploring frictional properties of upper plate fault reactivation in subduction zones: The Atacama Fault System in northern Chile. Earth Planet Sci Lett 2024; 648: 119106.
Fig. 1
Perfil
(a) (b)



Efectos de la solicitación sísmica bidireccional en el comportamiento de depósitos licuables tratados con columnas de grava
V. Urrutia (1) , J.C. Tiznado (2) (1) Pontificia Universidad Católica de Chile, vfurrutia@uc.cl (2) Pontificia Universidad Católica de Chile, jctiznad@uc.cl
INTRODUCCIÓN:
A la fecha, existe una serie de estudios que avalan la efectividad de las columnas de grava en prevenir el inicio de la licuación o bien mitigar sus consecuencias en el terreno. Sin embargo, estos efectos han sido mayoritariamente investigados considerando solicitaciones sísmicas unidireccionales, y se desconoce el efecto que demandas sísmicas actuando en dos direcciones, simultáneamente, podrían tener en la respuesta del sistema. En este estudio se analiza, de forma numérica, el efecto de una solicitación sísmica de tipo bidireccional en el comportamiento de terrenos licuables mejorados mediante columnas de grava.
DESARROLLO
La Fig. 1 muestra el modelo de elementos finitos no-lineal base del estudio, desarrollado OpenSees, consistente en una celda unitaria de columnas de grava en suelo saturado con condiciones de borde periódicas y fijo en su base. El modelo numérico emplea el modelo constitutivo de suelos Pressure Dependent Multi Yield 02 (PDMY02) de Elgamal et al. (2003) para todos los materiales (arena y columna granular) y fue validado utilizando los resultados del estudio publicado por Rayamajhi et al. (2016)

Fig. 1 Modelo, malla y resultados del modelo numérico base
De forma inicial, para investigar el efecto de la solicitación bidireccional en la respuesta, el modelo base fue sometido a una serie de solicitaciones sinusoidales de magnitud, frecuencia y fase variables en dos direcciones horizontales ortogonales. La Tabla 1 muestra el rango de los parámetros considerados en el análisis.
Tabla 1. Parámetros para el análisis sísmico bidireccional del modelo numérico base
Aceleración máxima (g) Frecuencia (Hz) Fase, �� (grados)
0.1; 0.2; 0.3 1; 5; 10 0; 45; 90
En etapas posteriores de la investigación se contempla el uso de registros sísmicos reales, consistentes con niveles pre-establecidos de amenaza sísmica.
CONCLUSIONES
En general, la solicitación bidireccional tiende a reducir la resistencia del suelo ante la licuación, pudiendo alcanzar ésta profundidades mayores con respecto al caso de carga unidireccional. Para solicitaciones bidireccionales con medidas evolutivas de intensidad del movimiento del suelo similares, una reducción en la fase de las señales incrementa el exceso de presión de poros en el suelo.
AGRADECIMENTOS: Se agradece el financiamiento obtenido por medio del proyecto FONDECYT 11231002 de ANID.
REFERENCIAS:
[1] “Modeling of Cyclic Mobility in Saturated Cohesionless Soils,” (2003), A. Elgamal, Z. Yang, E. Parra and A. Ragheb, Int. J. Plasticity, 19, (6), 883-905. [link] of theory. 4th ed. Moscow: Mir Publishers; 1987.
[2] Rayamajhi, D., Ashford, S. A., Boulanger, R. W., & Elgamal, A. (2016). Dense granular columns in liquefiable ground. I: Shear reinforcement and cyclic stress ratio reduction. J Geotech Geoenv Eng., 142(7), 04016023.



The Santa Lucia rockslide and landslide in the Chilean Patagonia
F. Ochoa-Cornejo(1) , S. Sepúlveda (2) , S. Palma(1), K. Burgos(1) , M. Lara(3) , P. Duhart(4) (1) Departamento de Ingeniería Civil, Universidad de Chile, fochoac@uchile.cl (2) Department of Earth Sciences, Simon Fraser University (3) Department of Geology, Universidad de Chile (4) Servicio Nacional de Geología y Minería
RESUMEN/ ABSTRACT
Rapid deglaciation from climate change is increasing landslide risk in glacial valleys. On December 16, 2017, a major rockslide in Chilean Patagonia, triggered by heavy rainfall near a retreating glacier, became a debris-mud flow that destroyed Villa Santa Lucía, causing 22 deaths. This study uses a 3D numerical model to investigate how glacial processes contributed to the failure. The model, informed by geological and geotechnical data, simulates the valley's glacial history and a significant rainfall event. The results show that deglaciation progressively weakened the slope, creating critically stressed joints. While glacier retreat caused ongoing deterioration, heavy rainfall acted as the final trigger by rapidly saturating the slope. The research concludes that paraglacial slopes can undergo long-term weakening during deglaciation, with hydrological events serving as the immediate trigger. This highlights the need for including glacial history in future hazard assessments and for developing monitoring systems to mitigate risk in vulnerable, deglaciating regions.
1. INTRODUCTION
Landslides are a significant hazard in the Andes due to steep terrain and complex geology (Antinao & Gosse, 2009). While often linked to climatic or seismic events, recent research highlights long-term factors like deglaciation (Sepúlveda et al., 2021, 2023; Ochoa-Cornejo et al., 2025). Glacial cycles alter slope stresses, with ice unloading promoting fracture and degradation a paraglacial effect welldocumented in the Alps but under-analyzed in the Andes, despite rapid ice retreat in Patagonia. The 2017 Villa Santa Lucía disaster, a rockslide triggered by heavy rainfall that killed 22 people, exemplifies this hazard. Numerical simulations of the event show that glacier retreat weakened the slope by redistributing stresses, while rainfall-induced pore pressure acted as the immediate trigger. This underscores the need to incorporate glacial history into hazard models for deglaciating regions (Crozier, 2010). Villa Santa Lucía is in a tectonic valley near the Cordón Yelcho Volcanic Complex, within the active Liquiñe-Ofqui Fault Zone. The landslide source consists of highly altered volcanic rocks (Duhart et al., 2018, 2019). The area’s geomorphology is shaped by intense glaciation, and recent studies show accelerated glacier retreat in Patagonia (Ugalde et al., 2022; Davies et al., 2020), which is critical for understanding landslide risk
2. MAIN ASPECTS AND CONTEXT OF THE EVENT
Villa Santa Lucía (43.413° S, 72.367° W), is situated at ~200 m a.s.l. in a tectonic valley drained by the Burritos and Frío rivers (Duhart et al., 2018, 2019). The settlement is bordered by the Cordón Yelcho Volcanic Complex (CYVC) and lies within the active N-S dextral Liquiñe-Ofqui Fault Zone (LOFZ), which increases seismic and slope instability risks. Geologically, the area features Paleozoic metamorphic schists and ultramafics, Jurassic–Cretaceous volcano-sedimentary rocks, and Miocene–Cretaceous tonalitic and granitic intrusions of the North Patagonian Batholith (Sernageomin-BRGM, 1995). The landslide source zone consists of hydrothermally altered Pleistocene CYVC volcanic units with subhorizontal strata and sub-vertical fractures (Duhart et al., 2018, 2019). The geomorphology is shaped by intense Pleistocene glaciation and Holocene glacial fluctuations (Mardones et al., 2011). Recent studies document accelerated glacier retreat in Patagonia, with Cordón Yelcho receding 650 m between
1987 and 2020 (Ugalde et al., 2022). This regional deglaciation pattern is critical for understanding landslide hazards (Davies et al., 2020).


Fig. 1. Location and geology of Villa Santa Lucía (modified from Duhart et al. 2019. (Ochoa-Cornejo et al, 2025)
3. SANTA LUCIA LANDSLIDE EVENT
On December 16, 2017, a rockslide in the Burritos River headwaters, Chile, transformed into a debrismud flow that devastated Villa Santa Lucía, killing 22 people (Duhart et al., 2019). Originating from a highly fractured, hydrothermally altered volcanic rock slope, the slide impacted a retreating glacier, which contributed to its high mobility (Duhart et al., 2018). The mobilized volume was estimated at 7.2 Mm³ (Duhart et al., 2018) to 12.5 Mm³ (Singh & Sepúlveda, 2024), with average speeds around 72 km/h (Fernandez et al., 2018). The failure was preconditioned by factors including a steep, altered slope and the loss of lateral support from a retreating glacier. The direct triggers were an extreme rainfall event of 122.8 mm/24 h, combined with anomalously warm temperatures (Duhart et al., 2018; Rivera, 2017). Other contributing factors included Chaitén 2008 volcanic ash and porous volcanic soils that enabled rapid infiltration (Somos-Valenzuela et al., 2020). The combined effect of these factors produced a catastrophic event in a paraglacial setting.


Fig. 2. Ice sheet reconstruction (13, 10, 5, and 0.2 ka) for Palena province according to the PATICE database (Davies et al. 2020). Glacial ice data from DGA (2022). Post-rockslide configuration of the slope; (A) open crack on the prominent scarp and (B) hanging block (Ochoa-Cornejo et al, 2025)
4. SANTA LUCIA LANDSLIDE MODELLING
The Santa Lucia landslide was numerically analyzed using a three-dimensional discontinuous deformationapproach (3DEC) to model a rock slope with subhorizontal volcanic layersand subvertical fracturing. The pre-landslide topography was reconstructed from ALOS PALSAR DEM and LiDAR data to create a triangulated irregular network (TIN). The model included four joint sets and was calibrated with lab-tested parameters for tuff and tonalite.
Two scenarios evaluated the effect of glacier loading and unloading
• Case 1 (Uniform Unloading): A gradual reduction of a hydrostatic ice load from 1500 m a.s.l. to ice-free conditions showed that while maximum shear strain decreased from 1×10−4 to 2.5×10−5, significant strain persisted in the eventual landslide zone, demonstrating a long-term destabilizing effect.
• Case 2 (Glacial History): Modeling glacial retreat from the Last Holocene Glacial Maximum to an ice-free state produced similar results, with strain zones shifting upslope in later stages.
After simulating complete deglaciation, hydrological modeling was performed by varying the porewater pressure coefficient (Ru) from 0.10 to full saturation.
• Low Ru values caused diffuse strain, but as Ru increased, deformation intensified and localized in the upper scarp.
• At full saturation, shear strain was extreme, and deformation extended to currently intact areas, suggesting a high risk for adjacent slopes.
• The longitudinal profile showed a direct relationship between increasing Ru and displacement, with displacements rising from 0.15 m to 1.17 m.
The modeling reveals a two-phase failure mechanism:
1. Deglaciation-driven progressive damage: Gradual glacial retreat left the slope in a mechanically weakened state with persistent shear strain patterns.
2. Rainfall-triggered instability: Intense rainfall and the resulting high pore pressures acted as the critical trigger, amplifying deformation in these pre-weakened zones and causing the final failure.
5. CONCLUSIONS
Numerical simulations of the Santa Lucía landslide confirmed that deglaciation progressively weakened the slope, creating critically stressed joints and predisposing it to failure. Glacial unloading, particularly when modeled based on Holocene glacial history, left significant residual strain in the eventual slide zone. While deglaciation created the conditions for failure, the study found that heavy rainfall and high saturation were the immediate triggers. The scenario with an Ru value of 0.40 best matched the observed failure conditions. Overall, the research demonstrates a two-phase mechanism: long-term glacial processes gradually damage the slope, while an extreme rainfall event provides the final trigger for a catastrophic landslide.
6. ACKNOWLEDGEMENTS
Sernageomin, Maptek, P. Gómez (Itasca Chile). FONDECYT 1201360, Simon Fraser University.

Fig 3. Maximum shear strain increment of each hydric scenario. General results and longitudinal and transversal profile results are shown in the top, middle, and bottom rows. (Ochoa-Cornejo et al, 2025)
7. REFERENCES
[1] Davies, B. J., Darvill, C. M., Lovell, H., Bendle, J. M., Dowdeswell, J. A., Fabel, D., ... & Thorndycraft, V. R. The evolution of the Patagonian Ice Sheet from 35 ka to the present day (PATICE). Earth-Science Reviews, 204, 103152. 2020
[2] Sepúlveda, V., Duhart, P., Garrido, N., Fernández, J., Quiroz, D., Hermosilla, G., & Moreno, H. Características geológicas y geomorfológicas del área de generación de la remoción en masa que afectó Villa Santa Lucía el 16.12. 17, región de Los Lagos. 2018
[3] Duhart, P., Sepúlveda, V., Garrido, N., Mella, M., Quiroz, D., Fernández, J., ... & Hermosilla, G. (2019, June). The Santa Lucía landslide disaster, Chaitén-Chile: origin and effects. In Debrisflow hazards mitigation: mechanics, monitoring, modeling, and assessment. In Proceedings of the 7th International Conference on Debris Flow Hazards Mitigation, Association of Environmental & Engineering Geologists Special Publication (Vol. 28, pp. 653-660).
[4] Mardones, M., González, L., King, R., & Campos, E. (2011). Variaciones glaciales durante el Holoceno en Patagonia central, Aisén, Chile: evidencias geomorfológicas. Andean geology, 38(2), 371-392.
[5] Rivera, A. Informe glaciológico sobre el flujo de detritos que afectó Villa Santa Lucía el 16 de diciembre del 2017. Laboratorio de Glaciología, Centro de Estudios Científicos. 2017
[6] Sernageomin-BRGM Carta geológica de Chile, Puerto Montt. 1995
[7] Singh, J., Sepúlveda, S.A.. Understanding the failure mechanisms of the 2017 Santa Lucía landslide, Patagonian Andes, using remote sensing and 3D numerical modelling techniques. Landslides, 21(12):3029–3047. 2024
[8] Ochoa-Cornejo, F., Palma, S., Sepúlveda, S. A., Lara, M., Burgos, K., Duhart, P. Rock slides in paraglacial environments in South America: three-dimensional modeling of glacier retreat and landslide inducing the 2017 Santa Lucía disaster in the Chilean Patagonia. Landslides, 22(4), 1003-1025. 2025
[9] Ugalde, F., Armendáriz, I., Bustamante, M. After the 2017 disaster: Villa Santa Lucia and its surrounding glaciers. A contribution to resilience from a glaciological view of Chilean Northern Patagonia. Authorea Preprints. 2022



THREE-DIMENSIONAL INVERSION OF ACTIVE SEISMIC GEOPHYSICAL TESTS BASED ON SURFACE WAVES
R. Vega (1) , E. Sáez (1), JC. Tiznado (1) , F. López-Caballero(2) (1) Pontificia Universidad Católica de Chile (2) Université Paris-Saclay / CentraleSupélec
RESUMEN/ ABSTRACT
Accurate characterization of near-surface shear-wave velocity (Vs) is essential for seismic site amplification analysis. However, surface wave-based geophysical techniques usually adjust a 1Dlayered model to the empirical dispersion properties, which may not be appropriate in highly heterogeneous sites. To explore the effects of heterogeneity, this paper investigates a full-wave inversion (FWI) strategy based on modelling an active test using the spectral element method (SEM). We compared two alternative models: a layered profile derived from MASW-1D inversion and a heterogeneous model from a MASW-2D exploration. The MASW-2D method incorporates significant lateral Vs variations within the upper 50 m.
Both models were implemented in SEM3D code to simulate the response of a controlled drop-mass experiment. Synthetic seismograms were generated and compared against field records. Results show that while both models reproduce the arrival times, the MASW-2D model provides a closer match to waveform amplitudes and secondary phases between ~0.10 and 0.25 s. In contrast, the MASW-1D model overestimates amplitudes and produces simplified waveforms, consistent with its assumption of lateral uniformity. These findings highlight the importance of accounting for lateral heterogeneity in near-surface Vs models.
Beyond this qualitative comparison, a systematic heterogeneity quantification is required to objectively evaluate how suitable a 1D representation is for a particular site. To this end, we recommend the development of a synthetic database of perturbed 1D models combined with neural networks to explore the relationship between Vs variability and sensor recordings. This data-driven approach may be used to refine an initial 1D-based velocity profile to reduce discrepancies between simulated and observed records, to assess the site heterogeneity
Keywords: Surface waves, MASW, SEM3D, shear-wave velocity, neural networks
1. INTRODUCTION
Traditional seismic site classification techniques have historically relied on invasive testing methods that produce penetration indicator of the studied site and often require extensive fieldwork. In recent years, there has been increasing interest in geophysical techniques that avoid soil disturbance and offer more efficient site characterization alternatives [1], in addition to characterizing materials in a range of elastic strains, much closer to the range of deformations expected in an earthquake. Among these, surface wave-based methods have gained widespread use, as they enable the estimation of shear wave velocity (Vs) profiles taking advantage of the dispersive natures of surface waves [2].
One of the most widely used surface wave methods is the Multichannel Analysis of Surface Waves (MASW), which involves deploying a linear array of geophones and generating controlled impacts to record the induced surface wave propagation [3]. This technique enables the construction of onedimensional (1D) Vs profiles by analyzing the dispersion of Rayleigh and/or Love waves. However, the assumption of lateral homogeneity in MASW-1D can be overly simplistic, particularly in stratified or heterogeneous geological sites where lateral variations significantly affect seismic response.
To address this, the MASW-2D method was developed [4]. It enhances lateral resolution by applying the common midpoint (CMP) concept and cross-correlation techniques to generate dispersion curves
from multiple source-receiver pairs along the array [5,6]. These curves are then inverted to produce 2D shear wave velocity models that potentially capture subsurface heterogeneity better. Nevertheless, MASW-2D surveys require a significantly higher number of impacts and processing effort, which can be limiting in field applications. Furthermore, the constructed 2D section is basically an overlay of 1D profiles and not really a resolution of the heterogeneous nature of the site.
In this context, numerical modeling offers a powerful tool to simulate wave propagation under different subsurface conditions and evaluate the implications of using simplified or incomplete models. The Spectral Element Method (SEM) [7], implemented in SEM3D [8], allows for high-fidelity simulations of seismic wavefields in complex media.
This study proposes an alternative approach based on the development of a database of controlledperturbed subsurface models derived from a baseline MASW-1D layered structure. By simulating seismic wave propagation for each perturbed model and quantifying the mismatch against recordings, a machine learning model is trained to learn the relationship between local perturbations in shear wave velocity and their impact on surface waves propagation. The trained model is then used to modify the initial MASW-1D velocity structure in a data-driven manner, through regression, with the aim of improving the agreement between synthetic and observations. This approach is evaluated against a fully heterogeneous SEM3D model constructed from MASW-2D field data, to assess whether a statistically enhanced MASW-1D model can provide a comparable or improved representation of site response.
2. METODHOLOGY
This study was conducted at the Cendyr site in La Serena, northern Chile, as part of the FONDEF project ID22I10032. Surface wave data were acquired along six seismic lines using linear arrays of 24 geophones (4.5 Hz), with spacings of 2, 4, and 5 meters (Figure 1). A 100-kg drop mass was used as the active source, released from a height of 2 meters at varying distances along each array. The Vertical component was recorded, including an accelerometer mounted on the drop mass to monitor the mass drop to estimate the equivalent force applied to the surface.
Three methods were applied to characterize the subsurface shear wave velocity (Vs): MASW, MASW2D, and HVSR. MASW and HVSR data were processed using Geopsy [9], and MASW2D dispersion curves were obtained from recordings using SeisImager [10] The 1D and 2D Vs profiles derived from these methods were used as input for numerical modeling.
To simulate seismic wave propagation, a layered model based on the MASW-1D results was implemented in SEM3D . A database of controlled-perturbed models was then generated by introducing local variations in Vs within cubic regions of the domain. Each perturbed model was simulated using SEM3D, and synthetic waveforms were compared to the real field data to compute a misfit.
This database was used to train a machine learning regression model that learns the relationship between local Vs perturbations and their effect on ground motion. The trained model was then applied to modify the initial MASW-1D model, producing a data-driven version of the velocity structure. This new model was also simulated in SEM3D and compared to a reference simulation based on the full MASW2D field data, allowing for evaluation of the proposed method.

3. RESULTS
Figure 2 presents a vertical cross-section at X = 0 m for the two SEM3D input models. The left panel corresponds to the layered model derived from MASW-1D, while the right panel displays the model constructed from MASW-2D tests. The MASW-1D model assumes lateral homogeneity, resulting in horizontal velocity layers, whereas the MASW-2D model captures significant lateral variations in shear wave velocity (Vs) upper 50 m. These differences are expected to influence the propagation of surface seismic waves in subsequent SEM3D simulations.

Figure 2. Vertical cross-section at X = 0 m showing the shear wave velocity (Vs) distribution used in SEM3D simulations. Left: Layered model derived from MASW-1D, assuming horizontal stratigraphy and lateral homogeneity. Right: Heterogeneous model constructed from MASW-2D, incorporating lateral variations in Vs observed in the field. The dotted lines at the model boundaries represent the Perfectly Matched Layer (PML).
To evaluate the performance of the two input models, synthetic seismograms generated with the two SEM models were compared against recordings. Figure 3 illustrates representative traces of the vertical component at station G1 located 8 m from the drop mass

Figure 3. Comparison of observed (dashed black) and synthetic vertical-component seismograms at station G1. Red trace: SEM3D simulation with MASW-1D model. Blue trace: SEM3D simulation with MASW-2D model.
Fig. 1. Study area Cendyr
Both models reproduce the time of the first arrival, but their amplitudes and waveform shapes differ from the field data. The MASW-1D model overestimates the peak amplitude of the main pulse and yields a simpler waveform, consistent with its lateral homogeneity assumption. In contrast, the MASW-2D model provides a closer match to both the amplitude and the complexity of secondary wavelets between ~0.10–0.25 s, better reflecting the coda observed in the recordings. This indicates that near-surface lateral Vs variations are required to explain the measurements at this site. Remaining mismatches around the 0.12–0.15 s packet suggest additional refinements may be needed in the shallow Vs structure and/or in the source–time function and damping parameters used in the simulations.
4. CONCLUSIONS
This study compared SEM3D simulations based on two input models: a layered MASW-1D profile and a heterogeneous MASW-2D model. While both models reproduce the timing of the first arrivals, the MASW-2D model provides a closer match to waveform amplitudes and secondary phases, underscoring the role of lateral Vs variations in near-surface response. However, a systematic quantification of error is still required to objectively evaluate model performance across all sensors. Future work will therefore focus on computing misfit metrics and applying neural networks trained on perturbed Vs models, with the aim of refining MASW-based structures and further reducing discrepancies between observed and simulated waveforms.
5. ACKNOWLEDGEMENTS
This research was supported by FONDEF project ID22I10032. The authors gratefully acknowledge this funding, which made the field experiments and simulations possible.
6. REFERENCES
[1] Rana S, Mishra VN, Rai PK. Applications of Geophysics in Structural and Geotechnical Engineering. Best Practices in Geotechnical and Pavement Engineering; 2024. p. 323–334.
[2] Humire Guarachi FA. Aplicación de métodos geofísicos basados en ondas superficiales para la caracterización sísmica de suelos: Aplicación a la microzonificación sísmica del norte y poniente de Santiago. Tesis de doctorado, Pontificia Universidad Católica de Chile, Santiago; 2013.
[3] Park CB, Miller RD, Xia J. Multichannel analysis of surface waves (MASW). Geophysics 1999; 64(3): 800–808.
[4] Park CB, Miller RD, Xia J, Ivanov J. Multichannel analysis of surface waves (MASW) Active and passive methods. The Leading Edge 2007; 26(1): 60–64.
[5] Hayashi K, Suzuki H. CMP cross-correlation analysis of multi-channel surface wave data. Exploration Geophysics 2004; 35: 7–13.
[6] Askari R, Ferguson RJ, Isaac JH, Hejazi SH. Estimation of S-wave static corrections using CMP cross-correlation of surface waves. Journal of Applied Geophysics 2015; 121: 42–53.
[7] Komatitsch D., Tromp J. (1999). The spectral element method: An efficient tool to simulate the seismic response of 2D and 3D geological structures. Geophysical Journal International, 139, 806–822.
[8] CEA, CentraleSupélec, IPGP, CNRS (2017). SEM3D Ver 2017.04. Registered at French Agency for Protection of Programs (Dépôt APP). France IDDN.FR.001.400009.000.S.P.2018.000.31235
[9] Wathelet M., Chatelain J.L., Cornou C., Giulio G.D., Guillier B., Ohrnberger M., Savvaidis A., Bard P.Y. (2020). Geopsy: A user-friendly open-source tool set for ambient vibration processing. Seismological Research Letters, 91(3), 1878–1889.
[10] Geometrics Inc. (2017). SeisImager/2DTM Manual, Version 4.0. Geometrics Inc., San Jose, California, USA.



Geometría de poros y anisotropía: factores críticos que controlan la resistencia y estabilidad de rocas volcánicas para aplicaciones subterráneas.
Fernanda Merchán (1,2) , J, Browning (1,2) , G, Arancibia (1)
(1) Pontificia Universidad Católica de Chile, Facultad de Ingeniería, Departamento de Ingeniería Estructural y Geotécnica, y Centro de Excelencia en Geotermia de los Andes (CEGA)
(2) Pontificia Universidad Católica de Chile, Facultad de Ingeniería, Departamento de Minería, fmerchan@uc.cl
INTRODUCCIÓN: La caracterización de las propiedades mecánicas de rocas porosas es esencial para la seguridad en excavaciones subterráneas. La geometría de los poros (tamaño, forma y aspect ratio) y su orientación preferencial generan anisotropías microestructurales que condicionan la resistencia y rigidez del macizo. Estas heterogeneidades producen un comportamiento direccional que, en algunos casos, refuerza la resistencia en el eje de elongación. En este contexto, la identificación de dichas anisotropías resulta clave para anticipar zonas de inestabilidad y optimizar el diseño geotécnico.
DESARROLLO: Se realizaron ensayos de compresión uniaxial (UCS) en probetas cilíndricas de andesita–dacítica vesicular del Complejo Volcánico Nevados de Chillán (NCVCH), con registro simultáneo de emisiones acústicas (AE) para analizar la nucleación y evolución del daño. Adicionalmente, se midieron velocidades de onda P (Vp) en direcciones axial y radial, y la microestructura fue caracterizada mediante análisis mineralógico 2D y microtomografía computarizada (micro-CT) 3D. La Figura 1 muestra curvas representativas de esfuerzo–tiempo junto con la energía acumulada de emisiones acústicas (AE) en probetas cargadas en distintas orientaciones respecto al eje mayor de los poros. Se observa que en la muestra cargada perpendicular al eje de los poros (X) la actividad AE se inicia a muy bajas tensiones (~5 MPa), indicando la nucleación temprana de microgrietas debido a la alineación de vacíos como planos de debilidad. En contraste, en las muestras cargadas paralela (Y) e inclinada (XZ) al eje mayor de los poros, el inicio de AE ocurre a tensiones más elevadas (~30–35 MPa), lo que refleja un retardo en la activación del daño y una mayor capacidad portante.

1 Curvas esfuerzo–tiempo y energía de emisiones acústicas (AE) en probetas con distinta orientación de poros: (a) perpendicular (X), (b) inclinada (XZ) y (c) paralela (Y).
CONCLUSIONES
Estos resultados confirman el carácter anisotrópico del material y la estrecha relación entre la geometría de los poros y la evolución de fracturas bajo carga compresiva, lo que resulta crítico para comprender y anticipar el comportamiento de macizos volcánicos en excavaciones subterráneas.
AGRADECIMENTOS: Este trabajo es una contribución al Proyecto ANID-FONDECYT 1220729 y al Centro de Excelencia en Geotermia de los Andes (CEGA).
REFERENCIAS:
[1] Bubeck, A., Walker, R. J., Healy, D., Dobbs, M., & Holwell, D. A. (2017). Pore geometry as a control on rock strength Earth and Planetary Science Letters, 457, 38–48.
[2] Vairé, E., Heap, M. J., Baud, P., & van Wyk de Vries, B. (2024). Quantifying the physical and mechanical heterogeneity of porous volcanic rocks from the Chaîne des Puys (Massif Central, France) Bulletin of Volcanology, 86, 49.
[3] Griffiths, L., Heap, M. J., Xu, T., & Baud, P. (2017). The influence of pore geometry and orientation on the strength and stiffness of porous rock Journal of Structural Geology, 101, 20–31.
Fig.



EVALUACIÓN EXPERIMENTAL Y NUMÉRICA DE LA AISLACIÓN SÍSMICA GEOTÉCNICA EN EDIFICIOS DE MEDIANA ALTURA
M. Guzmán (1) , E. Núñez (1) , R. Mata (2) , F Vicencio (2) (1) Universidad Católica de la Santísima Concepción, mguzman@magister.ucsc.cl, enunez@ucsc.cl (2) Universidad San Sebastián, ramon.mata@uss.cl, felipe.vicencio@uss.cl
RESUMEN/ ABSTRACT
Las pérdidas humanas, estructurales y económicas causadas por terremotos en el mundo han demostrado la necesidad de proporcionar un diseño sísmico resiliente para estructuras de baja y mediana altura frente a eventos extremos. Aunque los dispositivos de protección sísmica se han presentado como solución, su alto costo y dificultad de implementación a gran escala limitan su uso. Por lo tanto, es necesario encontrar una alternativa que sea sustentable, amigable con el medio ambiente, costo-eficiente, y de fácil construcción para minimizar el riesgo sísmico durante eventos severos.
Este trabajo busca evaluar experimental y numéricamente la implementación de un sistema de aislación sísmica geotécnica (GSI) de bajo costo, la cual está conformada por el diseño de una mezcla de suelo con caucho de neumático reciclado. La ventaja comparativa de esta solución es que es una alternativa sustentable, ecosostenible, costo-eficiente, y de fácil construcción para reducir el riesgo sísmico frente a eventos severos.
Palabras-Clave: GSI, SSI, Triaxial, Análisis Numérico.
1. INTRODUCCIÓN
Chile ha sufrido sismos de gran energía que han generado pérdidas humanas, daños estructurales y económicos, afectando tanto a edificaciones altas como a construcciones de menor altura, como en el terremoto del Maule de 2010 [1], generando la necesidad de desarrollar soluciones de mitigación que sean técnica y económicamente viables. Los sistemas de protección sísmica, como los aisladores mediante apoyos de núcleo de plomo [2], han demostrado un buen desempeño en la reducción de la demanda sísmica [3]. Sin embargo, su elevado costo de instalación y mantenimiento ha restringido su aplicación principalmente a proyectos de gran envergadura [4]. En este contexto, durante los últimos años se han explorado diversas técnicas de aislación sísmica de menor costo [5], entre las cuales destaca la Aislación Sísmica Geotécnica (GSI) [6], que consiste en intercalar bajo la fundación de la estructura una capa de suelo flexible conformada a partir de mezclas de suelo con caucho reciclado, con el objetivo de absorber y disipar la energía sísmica antes de que esta alcance la superestructura [7]. El uso de caucho reciclado proveniente de neumáticos en desuso ofrece, además, una alternativa ecológica y económicamente viable, especialmente en países en vías de desarrollo, donde los materiales requeridos para conformar estas mezclas pueden obtenerse localmente, evitando la importación de tecnologías costosas [8].
El objetivo principal del presente informe es evaluar la efectividad de un sistema de aislamiento sísmico geotécnico a partir de la incorporación de caucho reciclado proveniente de neumáticos en desuso, de acuerdo con el marco establecido en la Ley de Responsabilidad Extendida del Productor (20.920). Para ello, se realizaron ensayos experimentales que permitieron caracterizar mezclas GSI con distintas proporciones de arena, caucho y gravilla. Posteriormente, se realizó un estudio numérico paramétrico para evaluar la efectividad del sistema ante diferentes condiciones de contorno. En este estudio, un modelo numérico bidimensional desarrollado en OpenSees [9] fue desarrollado y sometido a un registro sísmico para comprobar su efectividad. La novedad de esta investigación reside en la modelación del sistema suelo natural – suelo GSI – estructural, cuya parametrización permitió comprender la efectividad del sistema GSI.
2. METODOLOGÍA
2.1 Ensayos de Laboratorio
Se investigaron experimentalmente 6 mezclas GSI con distinta proporción de arena, caucho y gravilla, más una mezcla de control 100% arena con el objetivo de comprender la influencia de cada material en las propiedades de la mezcla, ver Tabla 1 Se realizaron ensayos granulométricos, de densidad máxima y mínima, como también de gravedad específica (�������� ). Con estos resultados se calcularon los límites del índice de vacíos, ver Ec. 1
Tabla 1: Contenido de materiales por mezcla

Donde, ���� es el índice de vacíos; �������� es el peso específico del agua y; �������� es el peso específico de la mezcla de suelo. En base a esta caracterización geotécnica, se compactó cada mezcla a un índice de vacíos objetivo inicial para realizar un Ensayo de Corte Directo Se consideraron esfuerzos normales de 12, 22 y 32 kPa [10]. Se identificó la mezcla con las proporciones de materiales que optimiza la reducción de la resistencia al esfuerzo cortante sin comprometer en exceso las deformaciones verticales. Este ensayo se llevó a cabo según lo estipulado en la norma ASTM D3080M-11[11]. Posteriormente, se aplicó un Ensayo Triaxial cíclico consolidado – no drenado a la mezcla seleccionada para evaluar el comportamiento dinámico de la mezcla bajo condiciones sísmicas. Sin embargo, no se pudo aplicar el ensayo triaxial a mezclas que contienen gravilla, ya que las partículas podrían dañar la membrana de látex de la celda. Este ensayo se llevó a cabo de acuerdo la norma ASTM D2850-15 [12]; se preparó y saturó una muestra cilíndrica estandarizada, verificando un coeficiente de saturación B > 0.95, y se aplicó una presión de consolidación de 30 kPa para garantizar compatibilidad con otros ensayos. Posteriormente, se sometió la muestra a carga axial cíclica controlada por deformación, registrando la variación de presión de poros y la deformación axial para analizar su respuesta ante solicitaciones repetitivas.
2.2 Modelación Numérica
El modelo de simulación numérica representa un sistema bidimensional de un pórtico estructural apoyado sobre una capa de suelo con propiedades GSI (obtenidas mediante los ensayos experimentales), sobre un estrato de suelo natural, ver Tabla 2. El dominio del suelo consiste en una malla de 30 metros de profundidad y 30 metros de extensión lateral. El análisis se realizó mediante elementos finitos de tipo ‘QuadUP’ de 1mx1m para considerar la presión de poros del suelo, y con materiales de tipo ‘PressureDependMultiYield’ [13] para simular el comportamiento dinámico de suelos saturados y capturar el rango no lineal.
Tabla 2: Propiedades del Suelo

Se definieron los nodos de la columna del costado lateral izquierdo (���� = ����) como nodos maestros y se igualaron los grados de libertad traslacionales con los demás nodos de esa fila de suelo. También, se fijó el desplazamiento vertical de los nodos en la base (���� = ����)
A partir del registro sísmico de velocidades ����(����), se obtuvo el forzante sísmico de la base ����(����), mediante el coeficiente del dashpot correspondiente al amortiguamiento, el cual se calcula a partir de la densidad de roca (�������� ), la velocidad de onda de corte (�������� ) y el área del estrato bidimensional de suelo (����), ver Ec. 2
F(t) = (ρr Vs A) v(t)
Ec. 2
Se utilizó una metodología de modelamiento de interacción suelo – estructura basada en un elemento tipo Rigid – Link [13], el cual permitió compatibilizar el grado de libertad de rotación de la estructura con el grado de libertad de presión de poros del suelo.
Para evaluar la reducción de la respuesta dinámica del pórtico (desplazamiento y aceleración relativa entre la base y el tope de la estructura), se parametrizaron las siguientes variables de estudio: 1. Periodo natural de la estructura (�������� ) [0.1, 0.3, 0.5]s, y 2. Profundidad de la capa GSI [0, 1, 2, 3, 4]m Además, se determinó la razón entre el periodo de la estructura y el periodo del estrato de suelo (�������� ) considerando la profundidad de la capa GSI (n) y el suelo natural, ver Ec 3
Ec. 3
3. RESULTADOS
4
Los resultados de los ensayos de corte directo muestran una disminución del ángulo de fricción interna en mezclas de suelo con mayor contenido de caucho, como también, un aumento de la deformación vertical que se logra controlar al introducir un porcentaje de gravilla. En particular, la mezcla SRG50/30/20 demuestra una disminución de la resistencia al corte considerable, sin incurrir en deformaciones verticales excesivas, ver Figura 1 La mezcla SRG70/30 presenta un comportamiento histerético no – lineal bajo el ensayo triaxial, característico de suelos formados por mezclas de caucho [14] Las propiedades dinámicas de esta mezcla se pueden ver en la Tabla 2


Fig 1: Resultados Experimentales. a) Ángulo de Fricción Interna. b) Deformación Vertical
El modelo de simulación numérica permitió determinar una profundidad óptima de la capa GSI de 2 metros en la reducción de la aceleración relativa acumulada (19.2% – 31.6%), resultados comparables con los estudios de [6, 7, 8, 15] Además, se observa una mayor efectividad del sistema de aislación en estructuras más rígidas (�������� = ����. ��������), cuando la razón del periodo de la estructura y el suelo varía entre 0.153 y 0.161, resultando en una reducción del desplazamiento relativo del 26.9% y una reducción de la aceleración relativa del 21.8%, ver Tabla 3.

4. CONCLUSIONES
Se presenta el procedimiento metodológico del análisis experimental y numérico de la aislación sísmica geotécnica mediante mezclas de suelo con caucho reciclado a partir de neumáticos en desuso. Los resultados del ensayo de corte directo reflejan la deformabilidad del caucho al disminuir el ángulo de fricción de la mezcla de suelo; y la rigidez que aporta la gravilla a la estabilidad vertical del sistema. Mediante un ensayo triaxial realizado a la mezcla SRG70/30, se identificaron propiedades como: ���������������� = �������������������� ; ����′ = ��������º ; �������� = ������������ ����/����, que sirvieron para calibrar el modelo numérico, el cual indicó una reducción del 31.6% de la aceleración transmitida a la estructura gracias a la implementación del sistema GSI. Sin embargo, estos resultados son preliminares, por lo que se propone expandir el estudio paramétrico, discretizando con un intervalo más continuo la variación de las propiedades del suelo natural y GSI, como también el periodo natural de la estructura, para considerar un mayor rango de escenarios y comprender de mejor manera la influencia de estos parámetros en la reducción de la respuesta dinámica de la estructura.
Se agradece a la Universidad Católica de la Santísima Concepción por el apoyo brindado durante el desarrollo de esta investigación.
5. REFERENCIAS
[1] Zareian, F., et al. (2012). Reconnaissance of the Chilean wine industry affected by the 2010 Chile offshore Maule earthquake. Earthquake Spectra, 28(SUPPL.1). https://doi.org/10.1193/1.4000048
[2] Shen, J., et al. (2025). Seismic Performance Evaluation of Lead High-Damping Rubber Bearings Tested by Real-Time Hybrid Simulations at Low Temperatures. Earthquake Engineering and Structural Dynamics https://doi.org/10.1002/eqe.70002
[3] Baig, M. A., et al. (2022). Effect of lead rubber bearing on seismic performance of steel box girder bridge. Materials Today: Proceedings, 64, 468–480. https://doi.org/10.1016/j.matpr.2022.04.953
[4] Almazán J.L. (2010). Comportamiento de estructuras antisísmicas durante el terremoto del Maule y su posible efecto en las normas de diseño sísmico en Chile http://earthquake.usgs.gov/earthquakes/eqinthenews/2010
[5] Takagi, J. et al. (2024). Development of low-cost rolling base isolation system for seismic protection of rubble stone masonry buildings in Himalayan Mountain range. Frontiers in Built Environment, 10 https://doi.org/10.3389/fbuil.2024.1495051
[6] Tsang, H. H., et al. (2023). Serviceability performance of buildings founded on rubber–soil mixtures for geotechnical seismic isolation. Australian Journal of Structural Engineering, 24(4), 265–278. https://doi.org/10.1080/13287982.2023.2230063
[7] Tsang, H.H., et al. (2012). Seismic isolation for low-to-medium-rise buildings using granulated rubber-soil mixtures: Numerical study. EARTHQUAKE ENGINEERING & STRUCTURAL DYNAMICS. https://doi.org/10.1002/eqe.2171
[8] Tsang, H. H., et al. (2021). Performance of geotechnical seismic isolation system using rubber-soil mixtures in centrifuge testing. Earthquake Engineering and Structural Dynamics, 50(5), 1271–1289. https://doi.org/10.1002/eqe.3398
[9] Mazzoni, S., et al. (2006). Open System for Earthquake Engineering Simulation (OpenSees) OpenSees Command Language Manual
[10] Tsiavos, A., et al. (2019). A sand-rubber deformable granular layer as a low-cost seismic isolation strategy in developing countries: Experimental investigation. Soil Dynamics and Earthquake Engineering, 125 https://doi.org/10.1016/j.soildyn.2019.105731
[11] ASTM International. (2020). ASTM D3080/D3080M-11. Standard test method for direct shear test of soils under consolidated drained conditions. ASTM International. https://doi.org/10.1520/D3080_D3080M-11
[12] ASTM International. (2021). ASTM D2850-15: Standard test method for consolidated undrained triaxial compression test for cohesive soils. ASTM International. https://doi.org/10.1520/D2850-15
[13] Uzun, S., et al. (2024). Implementation of PMDL and DRM in OpenSees for Soil-Structure Interaction Analysis. Applied Sciences (Switzerland) https://doi.org/10.3390/app14188519
[14] Vratsikidis, A., et al. (2023). Field testing of gravel-rubber mixtures as geotechnical seismic isolation. Bulletin of Earthquake Engineering, 21(8), 3905–3922. https://doi.org/10.1007/s10518-022-01541-6
[15] Abate, G., et al. (2023). An eco-sustainable innovative geotechnical technology for the structure’s seismic isolation, investigated by FEM parametric analyses. Bulletin of Earthquake Engineering, 21(10), 4851–4875. https://doi.org/10.1007/s10518-023-01719-6
Tabla 3: Resultados del Análisis Numérico



ESTUDIO EXPERIMENTAL EN MESA VIBRATORIA PARA EVALUAR LA INTERACCIÓN SUELOESTRUCTURA EN ESTRUCTURAS DE ACERO
R. Mata (1) , E. Nuñez (2), F. Vicencio (1) Universidad San Sebastián, ramon.mata@uss.cl, felipe.vicencio@uss.cl. (2) Universidad Católica de La Santísima Concepción, enunez@ucsc.cl.
RESUMEN/ ABSTRACT
En los últimos terremotos se ha demostrado la importancia de considerar la Interacción SueloEstructura (SSI). En el contexto chileno, el sismo del Maule de 2010 manifestó las graves consecuencias de diseñar estructuras sin considerar el efecto de la SSI y la licuefacción. En esta investigación, se estudia el efecto de la SSI en la respuesta sísmica de estructuras de acero cimentadas sobre zapatas aisladas en arena. Se desarrolló un programa experimental de tres estructuras de acero a escala 1:25, en condiciones fijas y flexibles bajo tres movimientos sísmicos. Los ensayos se realizaron en una mesa vibratoria, incluyendo equipos e instrumentación para imponer y verificar las cargas dinámicas. Los resultados muestran que los efectos de la SSI pueden tener un impacto significativo en la respuesta sísmica, aumentando la relación de deriva entre pisos y las aceleraciones, y modificando la aceleración del movimiento del terreno. Finalmente, se ofrecen recomendaciones sobre la importancia de la calibración de modelos numéricos para desarrollar prácticas adecuadas de diseño y construcción que garanticen la seguridad de las estructuras de acero durante los terremotos.
Palabras-Clave: Estructuras de acero, Interacción Suelo-Estructura, Licuefacción, ensayos en mesa vibratoria.
1. INTRODUCCIÓN
Los desastres naturales causan daños significativos en todo el mundo, como lo demuestran eventos pasados como los terremotos de Nankai de 1854, el tsunami de las Aleutianas de 1946, los terremotos de Chile de 1960 y 2010, y el terremoto de Tohoku de 2011. Los terremotos pueden ser devastadores y causar pérdidas sustanciales de vidas y propiedades. En las últimas décadas, ha habido un creciente interés en el desarrollo de estructuras resilientes para abordar los desafíos asociados con la operatividad de las estructuras y salvaguardar la vida humana ante eventos sísmicos. Muchos refugios contra tsunamis son vulnerables debido a un análisis SSI insuficiente. La interacción entre la estructura y el suelo durante el sismo puede provocar asentamientos, inclinación o colapso significativos, particularmente en suelos licuables, donde las fuerzas sísmicas pueden causar fallas del suelo [1]
En la mayoría de los casos, el diseño de estos refugios se centra predominantemente en resistir las fuerzas hidrodinámicas de las olas del tsunami, pero descuida la carga sísmica que precede al tsunami [2]. Las estructuras que no están diseñadas para soportar fuerzas sísmicas y de tsunami tienen un alto riesgo de fallar durante los terremotos, incluso antes de que lleguen las olas, lo que las vuelve ineficaces como refugios [3]. Además, si bien los modelos numéricos y los estudios experimentales han avanzado en la comprensión de SSI en suelos licuables, estos enfoques aún no se aplican de manera consistente al diseño de refugios contra tsunamis [1]
La interacción entre las estructuras y el suelo que las soporta, particularmente en regiones licuables, ha recibido mucha atención debido a las consecuencias catastróficas observadas en eventos sísmicos pasados, especialmente aquellos generados por terremotos en zonas de subducción [4]. La SSI es un factor clave que influye en el comportamiento dinámico de edificios [5], puentes [6], túneles [7] y otras infraestructuras [8] cuando se someten a cargas sísmicas. Investigaciones recientes se han centrado en mejorar la comprensión de los mecanismos de la SSI en suelos licuables y en desarrollar soluciones
para mitigar los riesgos asociados, incluyendo el asentamiento excesivo, la inclinación estructural e incluso el colapso
2. CAMPAÑA EXPERIMENTAL
En esta investigación, los prototipos estructurales se basan en tres estructuras de acero para refugios verticales a tsunamis. Estas estructuras fueron diseñadas y analizadas de acuerdo con el código sísmico chileno NCh 433. El diseño considera zona sísmica 3 (Ao = 0,4g), tipo de suelo “D” y un factor reducido igual a R=1 para comportamiento elástico, con cargas distribuidas en el piso superior del refugio. Los modelos estructurales consisten en estructuras de dos (2N), tres (3N) y cuatro (4N) niveles, cada una con una altura de piso de 4 metros y longitudes de dos tramos de 6 metros. Se emplearon secciones de cajón de acero para las columnas, mientras que secciones de IPE se utilizaron para las vigas. La relación columna-fuerte-viga-débil se adoptó con base en la sugerencia de Nuñez y Mata [5]. Las zapatas cuadradas se diseñaron utilizando el método de Meyerhoff para determinar la capacidad portante y el método de Schmertmann para calcular el asentamiento elástico. La capacidad admisible para una zapata de 1,4 m x 1,4 m (BxB) con una profundidad de cimentación (Df) de 1,5 m es de 425 kN/m², y el asentamiento máximo es de 39,5 mm. La escala de longitud se establece en una proporción de 1:25, utilizando componentes de acero, soldadura MIG y hormigón para las zapatas. La campaña experimental se realizó en una mesa vibratoria según el esquema mostrado en la Figura 1.

Fig. 1. Esquema general del sistema estructural a ensayar.
La matriz de pruebas experimentales se organiza en dos grupos. El primer grupo se prueba sobre una base rígida (RB), que ignora la interacción suelo-estructura, utilizando tres registros sísmicos (Iquique 2014, Tarapacá 2005, y Maule 2010). El segundo grupo se prueba sobre una base flexible, considerando el SSI, utilizando también los tres registros sísmicos. Esto da como resultado un total de 18 pruebas experimentales. Para las pruebas de base rígida, los modelos se fijan directamente a la mesa vibratoria mediante pernos de anclaje. En cambio, para la base flexible, la caja que contiene el suelo se fija a la mesa vibratoria. Se reconoce que el uso de una caja laminar semirrígida introduce condiciones de borde que pueden afectar la propagación de las ondas, en particular al reflejar energía en las paredes verticales. Para minimizar estos efectos, las dimensiones de la caja se diseñaron para evitar la resonancia geométrica con el contenido de frecuencia predominante de los movimientos de entrada (típicamente inferior a 10 Hz), y el suelo se compactó cuidadosamente para promover la transmisión uniforme de las ondas.
Se instalaron acelerómetros en varios puntos de la estructura en cada nivel para medir las aceleraciones producidas durante la prueba. Además, se instalaron dos acelerómetros, A_GM1 y A_GM2, en la superficie del suelo cerca de la estructura, en lados opuestos, respectivamente (véase la Figura 1). Estas posiciones se seleccionaron para capturar la modificación de la señal de entrada a medida que se propaga a través de los cimientos de la estructura. La base de la caja de suelo cuenta con un acelerómetro que registra la señal de entrada y, junto con estos acelerómetros (A_GM1, A_GM2), permite analizar la modificación del movimiento del suelo a través de las capas de suelo.
3. RESULTADOS
Se calcularon los periodos naturales de los modelos 2N, 3N y 4N en condiciones de base rígida, obtenidos mediante ensayos de impacto de martillo. Los resultados se basan en múltiples repeticiones y muestran valores consistentes: aproximadamente 0 013 s para el modelo 2N, 0,018 s para el modelo 3N y 0 025 s para el modelo 4N. Estos valores representan el modo de vibración fundamental en cada configuración. Estos resultados sirven de base para evaluar el efecto de la flexibilidad del suelo en el periodo fundamental de la estructura. Luego se hicieron los mismos ensayos, pero en base flexible, es decir considerando interacción suelo-estructura. En este caso, los períodos aumentan considerablemente en comparación con el caso base rígido, alcanzando aproximadamente 0 016 s (modelo 2N), 0 022 s (modelo 3N) y 0 031 s (modelo 4N). Estos representan aumentos de aproximadamente 21,9%, 20,9% y 27,5%, respectivamente. El alargamiento del período debido a SSI se atribuye al balanceo de la cimentación, lo que reduce la rigidez general del sistema. El efecto de SSI es evidente incluso a partir de observaciones simplificadas. Esta prolongación del período fundamental puede acercar la estructura a la resonancia con los períodos predominantes de los terremotos de subducción, especialmente aquellos con un alto contenido de período largo. Desde una perspectiva de diseño, este cambio puede influir significativamente en la demanda sísmica y debería considerarse en las evaluaciones de desempeño.
La Figura 3 muestra las diferencias entre las respuestas a la aceleración sísmica del terremoto de Tarapacá, incluyendo (2N-SSI) y depreciando el SSI (2N-RB) para el caso del edificio de dos pisos. Como se muestra, la respuesta sísmica aumenta significativamente al considerar la interacción sueloestructura. Este patrón es consistente en las respuestas sísmicas de los tres terremotos analizados. Los resultados se resumen en la siguiente tabla, que incluye datos para estructuras de dos, tres y cuatro niveles. La máxima amplificación de la respuesta de la raíz cuadrada media (RMS), expresada como porcentaje, se observó al comparar la respuesta de la base rígida (RB) con la de los casos de interacción suelo-estructura (SSI).

Fig. 2. Respuestas en RMS. Terremoto de Tarapaca.
Tabla 1. Diferencias entre base rígida y flexible
Estructuras
Registro sísmico
2N-Ratio [%]
3N-Ratio [%]
A continuación presentamos los resultados experimentales para la estructura de cuatro niveles, considerando los posibles efectos de la licuefacción en arena saturada. La Figura 3a muestra las diferencias en las respuestas a la aceleración sísmica durante el terremoto del Maule, incluyendo las respuestas de cimentaciones fijas, la interacción suelo-estructura y las debidas a la licuefacción. El aumento de la energía sísmica asociada a la licuefacción del suelo subraya la importancia de considerar este complejo fenómeno en la dinámica del suelo La Figura 3b presenta una representación visual del fenómeno de licuefacción, que también conlleva el aumento de las aceleraciones previamente mostrado. Además, muestra la pérdida de capacidad portante de las cimentaciones de la estructura,
donde la pérdida de resistencia del suelo resultó en asentamientos diferenciales y rotaciones significativas.


Fig. 3 a) RMS de las respuestas en base rígida, flexible y liquefacción, b) Efectos de licuefacción en la estructura de 4 nieles. Terremoto del Maule
4. CONCLUSIONES
En esta investigación, se realizó un estudio experimental para evaluar la respuesta sísmica de una estructura de evacuación vertical de acero a escala, cimentada sobre arena saturada en la región del Bío-Bío, considerando los efectos de la interacción suelo-estructura bajo terremotos de subducción chilenos. El experimento empleó ensayos en mesa vibratoria con modelos a escala 1:25 que representan estructuras de acero de 2, 3 y 4 niveles. Los resultados experimentales indican que las interacciones suelo-estructura modifican significativamente la respuesta sísmica de las estructuras de acero. Específicamente, estas interacciones aumentan las relaciones de deriva entre piso Además, modifican las aceleraciones del movimiento del suelo. En el caso del ensayo saturado, se observaron claros signos de licuefacción, lo que provocó una pérdida de capacidad soportantes en las cimentaciones de la estructura. Esta pérdida de resistencia del suelo provocó asentamientos diferenciales y rotaciones significativas de la estructura.
5. AGRADECIMENTOS
Los autores agradecen a la Agencia de Investigación y Desarrollos (ANID) a través de los siguientes proyectos FONDECYT #1241290, #1250712 y #11230400.
6. REFERENCIAS
[1] P. Dou, C. Xu, X. Du, and S. Chen, “Influence of structure on the aseismic stability and dynamic responses of liquefiable soil,” Bulletin of Earthquake Engineering, vol. 20, no. 1, pp. 55–76, Jan. 2022, doi: 10.1007/s10518-021-01213-x.
[2] C. O. Molua and J. O. Ataman, “Dynamic Analysis of Soil-Structure Interaction in Earthquake-Prone Areas,” International Journal of Applied and Structural Mechanics, no. 12, pp. 19–29, Nov. 2024, doi: 10.55529/ijasm.12.19.29.
[3] A. Suppasri et al., “Cascading disasters triggered by tsunami hazards: A perspective for critical infrastructure resilience and disaster risk reduction,” International Journal of Disaster Risk Reduction, vol. 66, p. 102597, Dec. 2021, doi: 10.1016/j.ijdrr.2021.102597.
[4] F. Vicencio, N. A. Alexander, and E. I. Saavedra Flores, “A State-of-the-Art review on Structure-Soil-Structure interaction (SSSI) and Site-City interactions (SCI),” Structures, vol. 56, p. 105002, Oct. 2023, doi: 10.1016/j.istruc.2023.105002.
[5] R. Mata, E. Nuñez, M. Hernández, C. Correa, and G. Bustamante, “Seismic Performance of RC Moment Frame Buildings Considering SSI Effects: A Case Study of the New Venezuelan Seismic Code,” Buildings, vol. 13, no. 7, p. 1694, Jul. 2023, doi: 10.3390/buildings13071694.
[6] D. Forcellini, “A Resilience-Based Methodology to Assess Soil Structure Interaction on a Benchmark Bridge,” Infrastructures (Basel), vol. 5, no. 11, p. 90, Oct. 2020, doi: 10.3390/infrastructures5110090.
[7] A. Abdelhalim, M. H. El Naggar, K. Kim, A. F. Hussein, and A. Elgamal, “Seismic performance and soil-structure interaction of shallow reinforced concrete tunnels,” Soil Dynamics and Earthquake Engineering, vol. 194, p. 109372, Jul. 2025, doi: 10.1016/j.soildyn.2025.109372.
[8] C. Kanellopoulos, P. Rangelow, B. Jeremic, I. Anastasopoulos, and B. Stojadinovic, “Dynamic structure-soil-structure interaction for nuclear power plants,” Soil Dynamics and Earthquake Engineering, vol. 181, p. 108631, Jun. 2024, doi: 10.1016/j.soildyn.2024.108631.



DESARROLLO Y USO DE UNA CAJA LAMINAR TRANSPARENTE PARA MODELACIÓN DE SISTEMAS GEOTÉCNICOS A ESCALA REDUCIDA A 1G
M. Acuña (1) , J.C Tiznado (2), E Sáez (3) (1) Pontificia Universidad Católica de Chile, max.acuna26@uc.cl (2) Pontificia Universidad Católica de Chile, jctiznad@uc.cl (3) Pontificia Universidad Católica de Chile, esaezr@uc.cl
RESUMEN/ ABSTRACT
Los modelos físicos a escala reducida constituyen una valiosa herramienta para comprender los aspectos fundamentales del comportamiento de sistemas a nivel de un prototipo. En ese sentido, el uso combinado de experimentos de mesa vibradora llevados a cabo bajo el campo gravitatorio terrestre (i.e., en condiciones “1-g”) y cajas laminares capaces de replicar de forma aproximada condiciones campo libre ha permitido avanzar notablemente en la comprensión del comportamiento sísmico de sistemas geotécnicos. Típicamente, en esta clase de experimentos se utilizan una serie de sensores (acelerómetros, transductores de presión, LDVT, etc.) ubicados dentro de la caja laminar en posiciones discretas para monitorear el comportamiento del suelo. Sin embargo, este enfoque resulta en una incertidumbre significativa, principalmente en lo relativo al perfil del terreno y los correspondientes patrones de deformación del suelo. En este trabajo se presentan los aspectos fundamentales del desarrollo y uso de una caja laminar de caras transparentes para la modelación física de sistemas geotécnicos a escala reducida a 1-g. Este dispositivo permite monitorear el comportamiento del suelo no solo a través de sensores discretos, sino que también por medio de la instalación de cámaras de alta resolución y posterior postproceso mediante la técnica de correlación digital de imágenes (o DIC). Se presentan además resultados de una aplicación consistente en la aplicación de señales sinusoidales de amplitud y frecuencia controlada a nivel de la base del modelo y la respuesta del sistema en términos de aceleraciones a distintas profundidades y deformaciones de corte estimadas mediante DIC.
Palabras-Clave: caja laminar, correlación digital de imágenes, dinámica de suelos, ensayos a escala reducida.
1. INTRODUCCIÓN
El uso de modelos físicos a escala reducida bajo condiciones de gravedad terrestre (1-g) constituye una herramienta clave en investigación geotécnica. Este enfoque se basa en los principios de similitud geométrica, cinemática y dinámica propuestos por Langhaar [1] y aplicados al ámbito geotécnico por Rocha [2], permitiendo representar fenómenos como propagación de ondas, interacción sueloestructura y otros fenómenos de interés en ingeniería geotécnica sísmica.
En este contexto, las cajas de corte laminares han demostrado ser eficaces para simular condiciones de “campo libre” en ensayos dinámicos, minimizando reflexiones de onda mediante un sistema de marcos segmentados con desplazamientos relativos entre ellos [ej., 3-5]. Esta configuración reproduce de forma más realista el comportamiento del terreno frente a excitaciones dinámicas y facilita la interpretación de deformaciones, presiones y mecanismos de rotura del terreno
Si bien la instrumentación tradicional de estas cajas se ha basado en sensores discretos (acelerómetros, transductores de presión, LDVTs, etc.), lo que limita la resolución espacial, la técnica de correlación digital de imágenes (DIC) permite obtener mediciones continuas y no intrusivas del campo de desplazamientos [6-8]. No obstante, su aplicación en cajas laminares a 1-g ha sido escasa, debido a que la mayoría de ellas posee paredes opacas. Estudios recientes muestran que la
incorporación de caras transparentes posibilita registrar y analizar ópticamente el comportamiento dinámico del suelo en tiempo real [9].
En este trabajo se describe el desarrollo y puesta en marcha de una caja laminar con doble cara transparente, diseñada para ensayos en suelos secos y saturados, compatible con instrumentación óptica y convencional. Se presentan sus especificaciones constructivas y resultados iniciales de caracterización, destacando su potencial para la modelación física de sistemas geotécnicos a escala reducida.
2. METODOLOGÍA
Las pruebas se realizaron en una caja de corte laminar para ensayos dinámicos a 1-g, equipada con paneles laterales de vidrio templado para observación integral y aplicación de la técnica DIC mediante cámaras de alta resolución. La estructura, de 200 × 50 × 70 cm, incorpora marcos deslizantes de fibra de vidrio y aluminio, sellos impermeables y base metálica, permitiendo ensayar suelos en condiciones secas y saturadas. El sistema se montó sobre una mesa sísmica unidireccional servo-hidráulica (ANCO Engineers Inc.) con capacidad de hasta 1,0g, ±450 mm de desplazamiento y 2000 kg de carga, instrumentada con siete acelerómetros y cámaras sincronizadas (60 Hz). El programa experimental incluyó ensayos sinusoidales (2, 4 y 8 Hz; 0,1–0,3g) para evaluar efectos de borde, determinar el periodo natural y definir el rango óptimo de operación. También se realizaron los primeros ensayos de deformación de corte en depósitos arenosos secos, validando la capacidad del sistema para registrar de forma confiable el campo de deformaciones del modelo.



Figura 1: Esquemas de caja de corte laminar: (a) Vista isométrica; (b) Vista frontal; (c) Vista en planta; (d) Caja laminar montada sobre mesa vibradora.
3. RESULTADOS
Los resultados de las pruebas de efecto de borde indican que no se observan diferencias significativas entre las aceleraciones medidas en el centro de la caja laminar y aquellas registradas en las zonas
(d)
adyacentes a la cara lateral de vidrio templado, así como en el sistema de contención ubicado en el extremo de la caja. En ambos casos, la diferencia máxima registrada fue de 9,03%, lo que confirma que no se producen variaciones relevantes que modifiquen los supuestos adoptados para modelar un depósito de suelo mediante anillos laminares.
Adicionalmente, se llevaron a cabo los primeros ensayos en depósitos arenosos, utilizando arena de la zona de Coronel, con el objetivo de evaluar la evolución de las deformaciones de corte acumuladas bajo excitaciones sinusoidales. Para ello, se emplearon cámaras de alta resolución instaladas en el sistema de soporte lateral de la caja laminar, registrando el movimiento del suelo durante la prueba. Posteriormente, lasimágenesfueron procesadasmediante la técnica de correlación digital de imágenes (DIC), lo que permitió obtener la evolución temporal de las deformaciones de corte en el punto medio del estrato, aportando una descripción detallada del comportamiento dinámico del material.

Figura 2: Resultados de prueba de efecto de borde en cara lateral, señal sinusoidal (0.1g-4Hz).

Figura 3: Resultados de acumulación de deformaciones de corte obtenidas mediante DIC: a) Acumulación de deformación de corte; b) Registro de aceleración de cada ensayo; c) Disposición de cámaras de alta resolución; d) Procesamiento de desplazamientos obtenidos por DIC.
4.
CONCLUSIONES
Los resultados obtenidos confirman que la caja laminar desarrollada presenta un desempeño estructural y funcional adecuado para la modelación física de sistemas geotécnicos a escala 1-g, permitiendo ensayos en condiciones secas con registro óptico y convencional sincronizado. Las pruebas de caracterización demostraron que los efectos de borde son mínimos, con diferencias de aceleración menores al 10%, validando los supuestos de campo libre en la modelación. La determinación del periodo natural y el programa de ensayos sinusoidales permitieron establecer un rango operativo confiable para futuros estudios. Finalmente, los ensayos iniciales en depósitos arenosos secos evidenciaron la capacidad del sistema para medir de forma apropiada la evolución de deformaciones de corte mediante DIC, lo que consolida su potencial como herramienta experimental versátil para la investigación en dinámica de suelos. Futuras etapas de la investigación consideran el desarrollo de modelosgeotécnicos saturados, con y sin tratamiento de inclusiones rígidas, para estudiar el impacto de distintos fenómenos dinámicos sobre los depósitos de suelo estudiados.
5. AGRADECIMENTOS
Se agradece el financiamiento obtenido por medio del proyecto FONDECYT 11231002 y al personal de laboratorio de la Pontificia Universidad Católica de Chile por su colaboración en el desarrollo y caracterización de la caja laminar presentada
6. REFERENCIAS
[1] Langhaar, H. L. (1951). Dimensional analysis and theory of models (Vol. 2). Wiley New York.
[2] Rocha, M. (1958). The possibility of solving soil mechanics problems by the use of models.
[3] Jafarzadeh, B. (2004). Design and evaluation concepts of laminar shear box for 1g shaking table tests. Proceedings of the 13th World Conference on Earthquake Engineering, Vancouver, Paper, 1391
[4] Dihoru, L., Bhattacharya, S., Moccia, F., Simonelli, A. L., Taylor, C. A., & Mylonakis, G. (2016). Dynamic testing of free field response in stratified granular deposits. Soil Dynamics and Earthquake Engineering, 84, 157–168.
[5] Turan, A., Hinchberger, S. D., & El Naggar, H. (2009). Design and commissioning of a laminar soil container for use on small shaking tables. Soil Dynamics and Earthquake Engineering, 29(2), 404–414.
[6] White, D. J., Take, W. A., & Bolton, M. D. (2003). Soil deformation measurement using particle image velocimetry (PIV) and photogrammetry. Geotechnique, 53(7), 619–631. https://doi.org/10.1680/geot.2003.53.7.619
[7] Cilingir, U., & Madabhushi, S. P. G. (2010). Particle Image Velocimetry analysis in dynamic centrifuge tests. In Physical Modelling in Geotechnics, Two Volume Set: Proceedings of the 7th International Conference on Physical Modelling in Geotechnics (ICPMG 2010), 28th June-1st July, Zurich, Switzerland (Vol. 1, p. 319). CRC Press.
[8] Stanier, S. A., Blaber, J., Take, W. A., & White, D. J. (2016). Improved image-based deformation measurement for geotechnical applications, 739(October 2015), 727–739.
[9] Segaline, H., Sáez, E., & Ubilla, J. (2021). Continuous characterization of dynamic soil behavior by Digital Image Correlation in a transparent shear laminar box. Acta Geotechnica, 17(6), 2395-2414. https://doi.org/10.1007/s11440-021-01351-1


EFECTO DE LA LICUACIÓN EN LA DEMANDA SÍSMICA
H Saldaña (1) (1) Ausenco Chile, hector.saldana@ausenco.com
RESUMEN

La licuación de suelos tiene el potencial de provocar severos daños en estructuras y geosistemas producto de grandes deformaciones en superficie (e.g., asentamientos, desplazamientos laterales). La ocurrencia de este fenómeno por lo general tiene lugar en depósitos granulares saturados sometidos a cargas cíclicas, donde la presión de poros incrementa, provocando una pérdida del contacto intergranular.
El efecto de la licuación en la demanda sísmica superficial depende tanto de las características del movimiento fuerte como de las propiedades dinámicas del suelo. La pérdida de rigidez en la masa de suelo puede amplificar o atenuar cierto rango de frecuencias del movimiento en superficie, observándose en algunos casos una “aislación sísmica natural”, donde el suelo licuado es quien concentra los mayores niveles de deformación, filtrando en general las altas frecuencias.
En este trabajo se evalúa el efecto de la licuación en la demanda sísmica por medio de una serie de análisis numéricos unidimensionales, considerando modelos elásticos y no lineales en tensiones totales (i.e., sin ocurrencia de licuación), y en tensiones efectivas (i.e., con ocurrencia de licuación), con el objetivo de identificar patrones de amplificación y/o atenuación en los diferentes periodos espectrales.
Palabras-Clave: Licuación, Demanda Sísmica, Modelamiento Numérico.
1. INTRODUCCIÓN
La licuación de suelos es una de las consecuencias más desastrosas de los terremotos, pudiendo provocar severos daños en geosistemas y estructuras debido a la perdida de resistencia y rigidez que experimenta el depósito de suelo. Las consecuencias de este fenómeno (e.g., asentamientos, corrimientos laterales), son por lo general los que mayor atención reciben luego de la ocurrencia de un evento sísmico. Sin embargo, se debe tener presente que la licuación también afecta a la demanda sísmica, pudiendo amplificar o atenuar cierto rango de frecuencias del movimiento en superficie, observándose en algunos casos una aislación sísmica natural (e.g., [1,2]). En Chile se han evidenciado numerosos casos en los terremotos del Maule 2010 (Mw=8.8), Iquique 2014 (Mw=8.2), Illapel 2015 (Mw=8.3) y Melinka 2016 (Mw=7.6) [3], lo que recalca la importancia de analizar adecuadamente la respuesta dinámica de sitios licuables.
La normativa nacional vigente [4,5] establece a los suelos potencialmente licuables como arenas, arenas limosas, y limos saturados con un numero de golpes del ensayo de penetración estándar (NSPT) menor a 20. Para dichos casos, la normativa establece que la demanda sísmica debe ser cuantificada por un espectro de diseño específico para el sitio de estudio.
El presente articulo analiza el efecto de la licuación en la demanda sísmica superficial mediante una serie de análisis numéricos unidimensionales considerando modelos elásticos y no lineales en tensiones totales (i.e., sin ocurrencia de licuación), y en tensiones efectivas (i.e., con ocurrencia de licuación). Se analizan diferentes configuraciones estratigráficas con el objetivo de identificar patrones de amplificación y/o atenuación en los diferentes periodos espectrales.
2. LICUACIÓN DE SUELOS
La licuación se define como la transformación que experimenta un suelo saturado desde un estado sólido a uno líquido, provocado por el aumento de la presión de poros que se traduce en una disminución de sus esfuerzos efectivos. En otras palabras, se define cuando la razón de exceso de presión de poros (ru=Δu/σ’v0), alcanza el 100%. El fenómeno se manifiesta principalmente en suelos granulares sueltos (e.g., arenas, gravas). Suelos con finos plásticos son por lo general considerados como no susceptibles de licuar [6]. El comportamiento de suelos susceptibles de licuar ha sido estudiado por múltiples autores. En particular se han utilizado ampliamente ensayos de laboratorio para estudiar el fenómeno (e.g, [7,8]), donde el suelo es cargado mediante una serie de esfuerzos de corte periódicos con amplitud constante, con el objetivo de analizar la evolución en sus deformaciones y en la generación de presión de poros.
3. CASOS HISTÓRICOS
Uno de los únicos efectos beneficios de la licuación reconocidos por los ingenieros geotécnicos es la notable atenuación del movimiento sísmico en superficie, sin embargo, algunos estudios sugieren que dicho efecto no es incondicionalmente cierto (e.g., [9,10]). Un ejemplo de ello fue el caso observado en “Wildlife Liquefaction Array (WLA)” para el terremoto de Superstition Hills en 1987 (Mw=6.6), donde el suelo licuable estaba compuesto principalmente por un estrato de arena limosa de aproximadamente 4.5 m de espesor, con una densidad relativa estimada entre 40%-60%. En dicho sitio se observó una amplificación de las aceleraciones en superficie, así como también una amplificación de prácticamente todos los periodos espectrales Por otro lado, el caso ocurrido en “Port Island Downhole Array (PIDA)” en el terremoto de Kobe en 1995 (Mw=6.9), tenía un estrato licuable compuesto por arenas y gravas con una densidad relativa cercana al 30%, y con un espesor de 13 m, para este caso se observó una clara atenuación de las altas frecuencias, así como también una atenuación en periodos bajo 1 segundo
4. METODOLOGÍA
Se realiza una serie de análisis de respuesta de sitio unidimensional (1D) elásticos y no lineales en esfuerzos totales y esfuerzos efectivos, por medio de la plataforma computacional OpenSees [11] El modelo de elementos finitos consiste en una columna de suelo discretizada en elementos cuadriláteros del tipo SSPquadUP de 0.5 m, con un amortiguamiento tipo Rayleigh del 2%. Para representar el espacio unidimensional y el mecanismo de corte simple, todos los desplazamientos horizontales de nodos situados a la misma elevación son igualados. En el nodo inferior, se construye un amortiguador viscoso LK donde el registro de entrada es ingresado como un tiempo-historia de esfuerzos de corte. Específicamente, se utilizan 29 registros de subducción los que fueron extraídos de la base de datos de [12] En Fig. 1a se presenta un esquema representativo del modelo numérico utilizado en los análisis de respuesta de sitio

Fig. 1. (a) Modelo numérico para respuesta de sitio unidimensional; (b) Configuraciones estratigráficas para simulaciones numéricas.
Se construyen 8 diferentes configuraciones estratigráficas (Fig. 1b) con una profundidad total de 30m. El esquema general considera una corteza no licuable (Hc) con una densidad relativa (Dr) del 80%, y espesores variables de 2 y 4m. Bajo dicha capa se encuentra un estrato licuable (Hl) con Dr igual a 20% y espesores de 2, 4, 6 y 12m. Finalmente se presenta un estrato base no licuable (Hb) con Dr igual al 80% y un espesor tal de completar los 30m totales de cada perfil. Para el análisis en tensiones efectivas el nivel freático se consideró justo en la cota superior del estrato licuable. Se utiliza el modelo constitutivo PM4Sand [13] para simular la respuesta dinámica del suelo. Los parámetros del modelo son definidos en función de los valores recomendado por [14,15], donde se calibraron distintos sets de arena Biobío en base a una serie de ensayos cíclicos.
5. RESULTADOS
La respuesta dinámica en términos de pesuda aceleración espectral (Psa) de las diferentes configuraciones estratigráficas y enfoques de análisis es presentada en Fig. 2a. En el panel superior se muestra la respuesta para los análisis elásticos, el panel central el asociado al análisis en esfuerzos totales, y en el panel inferior los análisis en esfuerzos efectivos. La línea negra en todos los casos representa la respuesta espectral promedio en la base del modelo, mientras que las líneas de colores representan la respuesta espectral promedio en superficie para los diferentes perfiles estratigráficos. La Fig. 2b, por otro lado, presenta la razón espectral entre la respuesta superficial por sobre la base, lo que se traduce en que todo valor que se encuentra por sobre 1 implica una amplificación en superficie, y por su contraparte, todo valor bajo 1 implica una atenuación.

Fig. 2. (a) PSa en superficie y base, y (b) Razón espectral superficie sobre base. Los resultados muestran que los espectros de pseudo aceleraciones elásticos amplifican en prácticamente todos los periodos espectrales, independientemente de la configuración estratigráfica del perfil. Por otro lado, el espectro asociado al análisis en esfuerzos totales atenúa la demanda sísmica en periodos espectrales cortos (menores a 0.3 segundos), y amplifica en periodos más largos, dicho comportamiento se observa en todas las configuraciones estratigráficas. Los espectros de respuesta de los análisis en esfuerzos efectivos atenúan en prácticamente todos los periodos espectrales para los casos con espesores licuables grandes (e.g., P4, P8), no obstante, para perfiles con estratos licuables de menor espesor (e.g., P1, P5) se observa una amplificación en periodos espectrales mayores a 0.3 segundos.
Una comparación entre los distintos enfoques de análisis indica que los análisis elásticos y en esfuerzos totales sobrestiman la demanda sísmica superficial en comparación al análisis en esfuerzos efectivos en todos los periodos espectrales para los perfiles con estratos licuables de mayor espesor (mayores a 2m), por otro lado, perfiles con estratos licuables de menor espesor muestran una leve subestimación de la demanda sísmica en periodos largos (sobre 1 segundo). De igual manera se evidencia que los análisis elásticos sobreestiman la demanda superficial en aproximadamente 50% en comparación a los análisis en esfuerzos totales, y en aproximadamente el 65% en comparación a los análisis en esfuerzo efectivos para periodos cortos (menores a 0.4 segundos). Para periodos largos, sin embargo, la demanda superficial elástica no presenta mayores diferencias en comparación a ambos enfoques de análisis.
6. CONCLUSIONES
El presente trabajo analiza el efecto de la licuación en la demanda sísmica superficial mediante una serie de análisis numéricos unidimensionales considerando diferentes configuraciones estratigráficas y enfoques de análisis. De igual manera el análisis se complementa con evidencia registrada en casos históricos bien documentados.
Los resultados muestran que el efecto de la demanda sísmica superficial depende tanto de las características del movimiento fuerte (e.g., duración, contenido de frecuencias), así como también de las características del perfil de suelo (e.g., espesor, resistencia a la licuación). Los casos históricos han demostrado que, dependiendo de dichas condiciones, la ocurrencia de licuación puede amplificar o atenuar la demanda sísmica superficial, pudiéndose observar en algunos casos una aislación sísmica natural. Las simulaciones numéricas realizadas muestran que perfiles con estratos licuables de menores espesores tienden a amplificar la demanda sísmica en periodos largos, mientras que perfiles con estratos licuables de mayores espesores tienden a atenuar la demanda sísmica en prácticamente todos los periodos espectrales. Los distintos enfoques de análisis utilizados muestran que la demanda sísmica superficiales de los análisis elásticos y en esfuerzos totales es levemente subestimada para periodos largos en comparación a los análisis en esfuerzos efectivos para configuraciones estratigráficas con estratos licuables de menor espesor. Por otro lado, para periodos cortos, la demanda sísmica superficial es sobreestimada en todos los casos, independientemente de los espesores del estrato licuable y corteza. Lo anterior pone en evidencia la importancia de analizar adecuadamente la respuesta dinámica del perfil geotécnico, considerando en los casos que corresponda la no linealidad del suelo, y el acoplamiento entre la fase sólida y liquida de las unidades geotécnicas.
7. REFERENCIAS
[1] Kokusho T. Seismic base-isolation mechanism in liquefied sand in terms of energy. Soil Dynamics and Earthquake Engineering 2014
[2] Bouckovalas GD, Tsiapas YZ, Theocharis AI, Chaloulos YK. Ground response at liquefied sites: seismic isolation or amplification? Soil Dynamics and Earthquake Engineering 2016
[3] Montalva GA, Ruz F, Escribano D, Bastías N, Espinoza D, Paredes F. Chilean liquefaction case history database. Earthquake Spectra 2022
[4] NCh2369. Diseño sísmico de estructuras e instalaciones industriales. INN; 2025.
[5] NCh433. Diseño sísmico de edificios. INN; 2012.
[6] Bray JD, Sancio RB. Assessment of the Liquefaction Susceptibility of Fine-Grained Soils. Journal of Geotechnical and Geoenvironmental Engineering, ASCE 2006
[7] Tasiopoulou P, Ziotopoulou K, Humire F, Giannakou A, Chacko J, Travasarou T. Development and Implementation of Semiempirical Framework for Modeling Postliquefaction Shear Deformation Accumulation in Sands. Journal of Geotechnical and Geoenvironmental Engineering 2020
[8] Humire F, Ziotopoulou K. Mechanisms of shear strain accumulation in laboratory experiments on sands exhibiting cyclic mobility behavior. Canadian Geotechnical Journal 2022
[9] Ishihara K, Cubrinovski M. Characteristics of ground motion in liquefied deposits during earthquakes. Journal of Earthquake Engineering 2005
[10] Holzer T, Youd T, Hanks T. Dynamics of Liquefaction During the 1987 Superstition Hills, California, Earthquake. Science (1979) 1989.
[11] Mazzoni S, Mckenna F, Scott M, Fenves G. OpenSees Command Language Manual. Pacific Earthquake Engineering Research Center 2006
[12] Bastias N, Montalva G. Chile Strong Ground Motion Flatfile. Earthquake Spectra 2016.
[13] Boulanger RW, Ziotopoulou K. PM4Sand (Version 3.1) A Sand Plasticity Model for Earthquake Engineering Applications. Department of Civil and Environmental Engineering College of Engineering University of California at Davis 2017.
[14] Saldaña-Sotelo H, Montalva G, Escribano D, Núñez-Jara S, Tiznado JC. Two-dimensional nonlinear dynamic analysis of a liquefaction case history considering spatial variability and long-duration megathrust earthquakes. Soil Dynamics and Earthquake Engineering 2024
[15] Saldaña H, Montalva G, Escribano D. Calibración Modelo PM4Sand para Licuación de Arenas Biobío. XI Congreso Chileno de Geotecnia 2021:1–10.



DISEÑO DE FORTIFICACIÓN PARA LA REPARACIONES DE PILARES EN MINERÍA SUBTERRÁNEA
D. Castro (1), J. Fumeron (2) (1) Codelco, DCast020@codelco.cl (2) J.E.J. Ingeniería S.A., JFume001@contratistas.codelco.cl
RESUMEN/ ABSTRACT
Este artículo presenta el diseño estructural y la validación empírica de un sistema de fortificación desarrollado para la reparación de pilares en el nivel de producción de la mina Chuquicamata Subterránea. La solución responde a escenarios de daño asociados a deformaciones inducidas por el Abutment Stress y el proceso de conexión a superficie, mediante una estrategia preventiva y reactiva. El sistema, de carácter modular y estandarizado, contempla reparaciones típicas de rápida implementación que aseguran la estabilidad estructural y la continuidad de las operaciones. Está conformado por membranas proyectadas de shotcrete, mallas de refuerzo y anclajes profundos, cuyo comportamiento fue validado mediante modelación numérica en SAP2000 y contrastado con datos de terreno. Con más de 180 pilares reparados exitosamente, esta metodología se consolida como una solución empírica y estructuralmente validada frente a condiciones de esfuerzo complejo.
Palabras-Clave: fortificación preventiva, reparación reactiva, modelación estructural, pilares, continuidad operacional
1. INTRODUCCIÓN
Chuquicamata Subterránea, operada por CODELCO, extrae mineral mediante hundimiento por bloques en macrobloques de hasta 400 m de altura de columna. Este método genera significativas tensiones inducidas, que comprometen la estabilidad de los pilares ubicados en el nivel de producción. En las etapas de abutment stress y conexión a superficie, las deformaciones superan la capacidad de confinamiento de la fortificación original, ocasionando colapsos parciales y pérdida de continuidad operativa.
Frente a este escenario, se desarrolló un diseño de fortificación típico, orientado a reparaciones sistemáticas con aplicación rápida y segura, capaz de actuar tanto de manera preventiva como reactiva. El diseño se sustenta en observaciones empíricas y validación estructural mediante modelación numérica.
2. DAÑO OBSERVADO Y DIAGNÓSTICO GEOTÉCNICO
El monitoreo mediante extensómetros y escáneres 3D ha evidenciado daños progresivos como agrietamiento del shotcrete, desprendimiento de lajas, deformaciones acumuladas y volcamiento de muros. Estos se concentran tras el paso del frente de hundimiento y durante la conexión a superficie. Las causas se asocian a anclajes de longitud insuficiente, zonas de falla estructural y sobreexcavación.

Fig. 1. Evolución de daños.
Los pilares se priorizan según deformación acumulada, tasa de cambio y posición relativa a colapsos. Pilares con más de 7 cm de deformación o ubicados en contactos geológicos críticos son intervenidos mediante una estrategia definida por TARP, con respaldo instrumental y observacional (Alegría et al. 2024).
3. DISEÑO DE REPARACIÓN
3.1 Configuración estructural y principios
La solución contempla dos momentos de intervención que comparten la misma filosofía de anclaje, pero difieren en su oportunidad de ejecución.
En una primera etapa, de fortificación preventiva, los refuerzos se instalan antes de que aparezcan signos de inestabilidad. Sobre la fortificación original se incorporan cables dobles de 11 m provistos de funda deslizante; la funda interrumpe la adherencia a lo largo de los primeros metros y deja los últimos 4 m anclados directamente en la roca competente, de modo que la carga se transfiere allí donde el macizo conserva su capacidad portante.
Si el pilar sufrió daño considerable, se recurre a la reposición reactiva, diseñada para ejecutarse con la mayor rapidez posible tras el desquinche y sin interrumpir la producción. Esta reposición se materializa en dos fortificaciones sucesivas. La fortificación primaria, aplicada inmediatamente después del saneamiento, consiste en una retícula de pernos helicoidales de 3,5 m colocados a 1,2 m × 1,2 m, una malla MFI y una primera proyección de shotcrete; el conjunto forma una membrana semirrígida que confina la zona plástica residual. A continuación, se coloca la capa secundaria, que añade 7 cm de shotcrete, malla electrosoldada ACMA C-503 y los mismos cables dobles de 11 m utilizados en la fase preventiva, con espaciamiento de 0,8 m y 2,4 m. Como los cables sobrepasan la zona plastificada y se empotran 4 m en roca sana, las cargas se redistribuyen eficazmente y se restablece la contención del macizo (Barindelli et al., 2023).
En síntesis, la estrategia combina una instalación temprana que refuerza la fortificación existente con una respuesta expedita evitando recurrir al desquinche; en ambos casos, el anclaje profundo en roca competente asegura la continuidad estructural y la estabilidad a largo plazo. (a) (b)


Fig. 2. Diseño típico post-desquinche muros; (a) planta de disposición; (b) sección conjunta mallas y anclajes.
3.2 Validación empírica y modelación numérica
Desde agosto de 2023, se han reparado más de 180 pilares en los macrobloques N2N3 y S2S3. Las mediciones post-reforzamiento muestran una reducción significativa de la deformación y la recuperación de la estabilidad estructural
Para caracterizar y estudiar el comportamiento del muro se elaboró un modelo numérico en SAP2000. Se analizó únicamente una franja central simétrica libre de efectos de borde donde el shotcrete se representó con elementos Shell Layered de hormigón armado y los cables y pernos con elementos Frame. Sobre la cara posterior se aplicó una carga homogénea que reproduce las condiciones reales de servicio. El análisis reveló una distribución de momentos no uniforme: los cables concentran lamayor demanda, mientras que los pernos actúan como soporte inicial y aportan rigidez adicional en la zona plástica, mejorando la ductilidad global del sistema.








Fig. 3 Modelo de fortificación en SAP2000 y solicitaciones; a) vista isométrica; b) momento vertical (tonf m); c) momento horizontal (tonf m); d) corte (tonf)
La membrana se evaluó como elemento de hormigón armado aplicando un factor reductor global (��) que compensa las simplificaciones del modelo. La verificación se dividió en flexión, contenida en la ecuación (1), y corte/punzonamiento mostrado en la ecuación (2):
En la ecuación (1), la relación de armadura �� representa la fracción de área de acero respecto del área efectiva de hormigón; ���� corresponde al límite elástico del refuerzo; �� y �� son, respectivamente, el ancho y el espesor efectivos de la sección; mientras que ���� ′ expresa la resistencia a compresión del hormigón.
En la expresión (2), el término ��0 se refiere al perímetro crítico asociado al punzonamiento, y ���� es la relación entre la longitud y el ancho del área cargada; ambos valores intervienen en la estimación de la resistencia a corte, junto con ���� ′ que nuevamente caracteriza la calidad del hormigón. El factor reductor �� condensa las incertidumbres inherentes al modelo, al comportamiento inelástico y simplificaciones efectuadas.
Con esta configuración se logra confinar la zona plástica del pilar y transferir los esfuerzos hacia regiones intactas, permitiendo que la estructura soporte deformaciones residuales significativas sin pérdida apreciable de rigidez. La capacidad resistente global de la membrana, para las combinaciones de carga analizadas, se estima en ≈ 14 tonf/m²
3.3 Implementación en terreno y control de calidad
La ejecución considera la secuencia de avance del hundimiento, interferencias operativas y disponibilidad de servicios. Las actividades se calendarizan por calle y se inspeccionan mediante fichas de control que validan profundidad de anclaje, calidad del shotcrete y tensión aplicada.
El concepto de encapsulamiento de colapsos se ha implementado para evitar la propagación del daño a pilares contiguos, estabilizando zonas críticas sin detener la operación. Esta estrategia ha demostrado ser efectiva en mantener la continuidad operacional sin comprometer la seguridad estructural.
Este diseño de refuerzo de pilares cuenta actualmente con respaldo empírico. La configuración de cables utilizada en el refuerzo ha sido implementada en más de 180 pilares, considerando tanto refuerzos preventivos como reposición de fortificación.
Un daño observado en este tipo de fortificación consiste en la aparición de grietas verticales, las que por si solas no generan pérdida de capacidad, esto es debido a la configuración de muro continuo, en el que estas grietas sugieren que se debería optar por diseños modulares mediante juntas de dilatación, o zona de predestinada a la generación de grietas.
4. CONCLUSIONES
El diseño de fortificación para reparaciones en Chuquicamata Subterránea constituye una solución probada, empírica y estructuralmente validada. Su configuración modular y estándar permite enfrentar de manera eficaz y segura los daños típicos en pilares del nivel de producción, tanto de forma preventiva como reactiva.
La aplicación sistemática del diseño, su respaldo en modelación numérica y su validación en terreno mediante más de 180 intervenciones exitosas, consolidan esta estrategia como una referencia en la gestión de estabilidad estructural en minería subterránea. Su implementación contribuye directamente a reducir inestabilidades, mantener la productividad y aumentar la seguridad operacional.
REFERENCIAS
[1] Alegría J., Lopez S., Saavedra C. & Videla J. (2024). Estrategia de reforzamiento preventivo en base al comportamiento de la deformación de pilares nivel de producción mina Chuquicamata subterránea. Tercer Congreso Iberoamericano de minería subterránea UMining.
[2] Barindelli G.A., Castro D.A., González E., Valdés N., & Rojas B. (2023). Análisis del comportamiento de los muros de reforzamiento en los macrobloques y propuesta de mejora en el diseño, División Chuquicamata Subterráneo Primer Congreso Chileno Mecánica de Rocas.



DESAFÍOS Y BUENAS PRÁCTICAS EN LA INSTALACIÓN DE INSTRUMENTACIÓN GEOTÉCNICA EN MUROS DE RELAVES
M. Valenzuela (1) , A. Guerra (2) , B. Llanquilef (3) , G. Jara (4) (1) Stantec, Matias.Valenzuela@stantec.com; (2) Stantec, Alejandro.Guerra@stantec.com; (3) Stantec, Belen.Llanquilef@stantec.com; (4) Stantec, Gonzalo.Jara@stantec.com
RESUMEN/ ABSTRACT
La instalación de instrumentación geotécnica en muros de relaves es fundamental para el monitoreo y la gestión de estos depósitos, pero enfrenta desafíos técnicos y operativos que pueden afectar la calidad y confiabilidad de los datos. Este trabajo sintetiza las principales dificultades del proceso, con énfasis en el aseguramiento de calidad en terreno, destacando la relevancia de las pruebas previas a la instalación, la disponibilidad de equipos de respaldo y la participación de personal especializado. Asimismo, se presentan buenas prácticas de planificación, coordinación interdisciplinaria y control de calidad, proponiendo lineamientos orientados a mejorar la confiabilidad del sistema de monitoreo y respaldar la toma de decisiones en depósitos de relaves.
Palabras-Clave: Instrumentación geotécnica, Depósitos de Relaves, Monitoreo geotécnico
1. INTRODUCCIÓN
La instrumentación geotécnica es una herramienta clave para el monitoreo de depósitos de relaves. No solo permite disponer de información relevante para analizar la estabilidad de los muros, sino también variables como presión de poros, niveles piezométricos, desplazamientos y respuesta frente a cargas o sismos. La calidad de esos datos depende en gran medida del proceso de instalación de los instrumentos en terreno. Sin embargo, la instalación de estos instrumentos suele subestimarse o no recibir la atención técnica que merece. Una instalación deficiente puede generar información poco confiable, afectando la toma de decisiones. Este artículo aborda los principales desafíos técnicos y operativos que presenta este proceso, con énfasis en las buenas prácticas de aseguramiento de calidad. A partir de experiencias de campo y de bibliografía técnica, se entregan recomendaciones orientadas a mejorar la instalación y a fortalecer la trazabilidad del sistema de monitoreo.
2. DESAFÍOS EN LA INSTALACIÓN DE INSTRUMENTACIÓN GEOTÉCNICA
El sistema de monitoreo con instrumentación geotécnica incluye el diseño ingenieril del sistema; la instalación de los instrumentos; el registro de datos; la verificación de lecturas; el procesamiento y análisis de la información; y la visualización de resultados mediante plataformas especializadas (Fig. 1). Estas etapas han sido ampliamente documentadas en estudios sobre monitoreo en depósitos de relaves, como los presentados por Clarkson y Williams (2021) [1].

Fig. 1 Etapas Sistema de Monitoreo con Instrumentos Geotécnicos
Para que el proceso sea efectivo y confiable, la instalación debe ejecutarse correctamente. Si presenta deficiencias, los datos obtenidos pueden ser erróneos o no representativos, afectando la interpretación geotécnica y derivando en decisiones equivocadas durante la construcción u operación del depósito. A continuación, se resumen los principales desafíos asociados a esta etapa.
a. Dificultades técnicas y operativas
La instalación de instrumentación geotécnica enfrenta diversos desafíos, entre ellos la limitada coordinación con las empresas perforadoras, lo que puede generar errores durante la ejecución. También se presentan dificultades constructivas propias de la instalación de instrumentación en drenes o en rellenos, donde las características del material y las restricciones del entorno aumentan la complejidad del proceso. A esto se suma la baja accesibilidad a los instrumentos y la presencia de maquinaria pesada, factores que incrementan el riesgo de cortes de cables o daños a los sensores. Un problema recurrente es la calidad insuficiente de la documentación de instalación, especialmente bajo plazos ajustados, donde suele registrarse información incompleta o imprecisa. Incluso si el instrumento se instala correctamente, una documentación deficiente puede inducir errores posteriores debido a lecturas iniciales mal registradas, coordenadas o cotas incorrectas, o una ubicación final poco clara. En consecuencia, esta falta de precisión compromete la confiabilidad del sistema de monitoreo.
b. Limitaciones logísticas y humanas
Los instrumentos geotécnicos suelen adquirirse en el extranjero, con tiempos de importación que a menudo no se consideran en la planificación. Esto genera restricciones durante la construcción y puede llevar a instalaciones improvisadas o distintas a lo diseñado, afectando la calidad del proceso.
A ello se suma la limitada disponibilidad de personal especializado en supervisión e instalación, lo que aumenta el riesgo de errores en pruebas, conexión, posicionamiento y documentación.
La participación de múltiples actores tales como perforistas, contratistas, supervisores y QA/QC requiere una coordinación estricta. Cuando esta falla, pueden producirse retrasos, retrabajos, daños a los instrumentos y pérdida de trazabilidad, incrementando los costos. Bajo cronogramas exigentes, puede ocurrir que el avance físico se priorice por sobre ciertos controles, reduciendo el tiempo disponible para ejecutar todos los pasos previstos en la instalación.
c. Riesgos por instalación deficiente
Una instalación incorrecta puede generar datos no representativos, afectando la interpretación geotécnica y la toma de decisiones durante la construcción y operación de depósitos de relaves. Errores como una ubicación inadecuada, falta de validación y calibración, lecturas cero mal registradas, daños en el cableado o manejo inapropiado del instrumento pueden comprometer su funcionalidad y dificultar la definición de umbrales de monitoreo confiables (Aravena et al., 2024) [2]
Los protocolos de instalación deben registrar información esencial, como las condiciones climáticas, la identificación del instrumento (TAG), coordenadas, esquemas de habilitación, registro de desviaciones, lecturas iniciales (cero), precisión del instrumento y fechas de calibración, con el fin de asegurar una documentación as-built completa. La ausencia o el registro incompleto de estos antecedentes dificulta el procesamiento posterior y afecta la confiabilidad del sistema.
La falta de verificaciones en terreno y una documentación incompleta o ambigua impiden validar correctamente la instalación. En muchos casos, los errores solo se detectan cuando el instrumento entrega lecturas anómalas, lo que obliga a realizar revisiones, recalibraciones o incluso reinstalaciones, con el consiguiente incremento en costos y tiempos.
Estos problemas afectan la trazabilidad del monitoreo y pueden comprometer la confiabilidad operativa del depósito.
3. BUENAS PRACTICAS Y ASEGURAMIENTO DE CALIDAD
a. Participación de roles clave del proyecto Una instalación confiable de instrumentación geotécnica requiere la participación coordinada de diversos actores, cada uno con responsabilidades definidas. Una estructura clara de roles mejora la trazabilidad, reduce errores y asegura la calidad del sistema de monitoreo. A continuación, se describen los principales participantes:
i. Propietario del proyecto: debe asegurar que la instalación sea ejecutada por personal calificado, idealmente especialistas, y no delegada exclusivamente a contratistas generales.
ii. Ing residente: validar la instalación conforme a la intención del diseño, verificar la calidad de los datos, gestionar desviaciones, aprobar cambios y confirmar la posición final de los instrumentos.
iii. Integrador de la construcción: representante del propietario encargado de coordinar a los distintos actores, asegurar el cumplimiento de plazos y calidad, facilitar la comunicación y resolver conflictos en terreno.
iv. Especialistas de instrumentación: ejecutan la instalación y proponen soluciones técnicas ante condiciones imprevistas, las cuales deben ser validadas por el ingeniero residente.
v. Contratista de construcción y empresa perforadora: planifican junto al especialista los métodos de perforación y las actividades asociadas, evitando interferencias con otras obras en ejecución.
vi. Control de Calidad (QC): supervisa el cumplimiento de procedimientos técnicos y especificaciones durante la instalación.
vii. Aseguramiento de Calidad (QA): revisa y valida la documentación generada, incluyendo protocolos, registros y as-built.
viii. Ingeniero de Registro (EoR): responsable de verificar el diseño, construcción y operación de las obras asociadas al depósito de relaves.
Estas recomendaciones coinciden con las directrices internacionales revisadas por Zare et al. (2024) [3], quienes destacan la importancia de contar con roles y responsabilidades claramente definidos en sistemas de monitoreo de seguridad.
b. Verificación previa y pruebas en terreno
La calibración define la relación entre la cantidad medida y la respuesta del transductor, y aunque normalmente se realiza en fábrica, es indispensable verificarla en terreno para confirmar que cumple con las especificaciones técnicas. Esto se asegura mediante pruebas de aceptación realizadas al recibir los instrumentos y antes de su instalación, etapa clave para detectar daños ocurridos durante el transporte.
Las pruebas de aceptación suelen incluir:
• Verificar que la información de calibración esté completa.
• Revisar físicamente los instrumentos para identificar daños.
• Confirmar que los registros estén dentro del rango esperado.
• Aplicar estímulos físicos simples (inclinación, presión, carga, calor, etc.) y comprobar que el instrumento responda adecuadamente y retorne a su valor inicial al retirar el estímulo.
Las pruebas deben realizarse, en lo posible, bajo condiciones similares a las del sitio de instalación. Si se detectan anomalías, el instrumento debe ser devuelto al fabricante para su reparación o reemplazo. Estas verificaciones deben efectuarse de manera temprana tras la recepción de los instrumentos.
c. Protocolos de instalación y documentación
El uso de protocolos de instalación es esencial para asegurar una ejecución ordenada, consistente y trazable del monitoreo geotécnico. Tal como señala Geotechnical Instrumentation for Monitoring Field Performance [4], estos procedimientos deben aplicarse de manera sistemática y adaptarse al contexto del proyecto. La instalación no debe depender únicamente de la experiencia del personal, sino estar respaldada por instrucciones claras, documentadas y contextualizadas.
Los protocolos deben prepararse previamente a la instalación e incluir:
• Procedimientos escritos paso a paso, ajustados a las condiciones geotécnicas del proyecto.
• Listas detalladas de materiales y herramientas requeridas.
• Definir requerimientos de compatibilidad entre sensores y plataformas digitales, junto con protocolos de respaldo seguro de datos, monitoreo remoto y alertas automáticas, complementados por verificaciones periódicas en terreno realizadas por personal capacitado.
• Hojas de registro de instalación que documenten:
o Coordenadas y elevación, tipo de relleno, condiciones climáticas y fotos georreferenciadas.
o Condiciones del terreno, problemas encontrados y observaciones relevantes.
o Trazabilidad con la ejecución de perforaciones en caso de aplicar.
• Procedimientos de instalación basados en los manuales del fabricante
• Sistema de etiquetado (TAG) para asegurar la trazabilidad del instrumento.
• La exigencia de contar con un especialista geotécnico durante la instalación, capaz de interpretar el entorno y ajustar procedimientos cuando las condiciones difieren de lo previsto.
• Contar con protocolos de verificación correctiva y criterios de rechazo para gestionar fallas durante la instalación, además de disponer de unidades de reemplazo y responsabilidades claras ante lecturas anómalas.
• Incluir una etapa de aceptación de instalación en terreno, validada por el QA/QC mediante un checklist que verifique ubicación, lecturas cero, continuidad de cables y estado de cada sensor.
• Un periodo posterior de observación intensiva, con alta frecuencia de lectura y control visual, para asegurar la estabilidad del sistema de instrumentación y detectar desviaciones tempranas.
d. Coordinación interdisciplinaria
La instalación de instrumentación geotécnica se desarrolla en entornos donde coexisten múltiples frentes de trabajo, como movimiento de tierras, construcción de drenes, instalación de geomembranas, obras civiles o tendido de servicios. Una coordinación insuficiente entre disciplinas puede generar interferencias físicas, desvíos de ubicación, daños accidentales o postergaciones que afectan la calidad y la funcionalidad del sistema de monitoreo.
Para mitigar estos riesgos, es fundamental:
i. Integrar la planificación de la instrumentación dentro del cronograma general de obra.
ii. Realizar reuniones de coordinación periódicas entre especialidades.
iii. Establecer rutas de acceso y zonas de exclusión temporales durante la instalación.
iv. Asegurar que las demás disciplinas comprendan la criticidad y ubicación de la instrumentación. Una coordinación efectiva permite preservar la integridad de los sensores, evitar retrabajos y mantener la trazabilidad del sistema de monitoreo en condiciones operativas.
4. CONCLUSIONES
La instalación es una etapa clave del sistema de monitoreo geotécnico, pues define la calidad y confiabilidad de los datos que respaldan la toma de decisiones durante la construcción y operación de los depósitos de relaves. A continuación, se presentan los aspectos más relevantes de este trabajo. La instalación es una etapa clave del sistema de monitoreo geotécnico, ya que determina la calidad y confiabilidad de los datos que respaldan la toma de decisiones durante la construcción y operación de depósitos de relaves. A continuación, se resumen los principales aspectos presentados en este trabajo:
• La instalación impacta directamente en la precisión y utilidad del monitoreo.
• Errores frecuentes pueden evitarse con planificación, protocolos claros y roles definidos.
• Buenas prácticas aseguran la trazabilidad y calidad de la información.
• Las pruebas de aceptación y las verificaciones en terreno permiten detectar fallas antes de la instalación, reduciendo riesgos.
• La coordinación adecuada previene interferencias, retrabajos y pérdida de sensores.
• Se recomienda que la instalación la realicen especialistas en instrumentación.
5. AGRADECIMENTOS
Los autores agradecen a Stantec por el apoyo brindado para el desarrollo de esta investigación.
6. REFERENCIAS
[1] Clarkson L, Williams D. Catalogue of example instrumentation and monitoring systems for tailings dams in Australia. Mining Technology 2021; 130: 119–129.
[2] Aravena V, Campos F, Vergara S, Campaña J. Methodology for the definition of geotechnical monitoring thresholds for tailings dams. In: Proceedings of the 2024 International Symposium on Geotechnical Safety and Risk; 2024
[3] Zare M, Nasategay F, Gomez JA, Moayedi Far A, Sattarvand J. A review of tailings dam safety monitoring guidelines and systems. Minerals 2024; 14(6):551
[4] Dunnicliff J. Geotechnical Instrumentation for Monitoring Field Performance. 2nd ed. New York: John Wiley & Sons; 1993.



AMENAZA SÍSMICA DE LA FALLA SAN RAMÓN USANDO MODELOS BROWNIAN PASSAGE TIME
M Fernández (1) , P Heresi (2) (1) Universidad Técnica Federico Santa María, matias.fernandezmu@sansano.usm.cl (2) Universidad de Chile, pheresi@uchile.cl
RESUMEN/ ABSTRACT
El análisis probabilístico de la amenaza sísmica incorpora la incertidumbre de diferentes parámetros, como por ejemplo la frecuencia de activación de las fuentes sísmicas. Generalmente, para la estimación de este valor, se usa un modelo Poissoniano, el cual es independiente del tiempo desde la última activación. Esto puede sobrestimar o subestimar la probabilidad de activación futura al no considerar la acumulación de tensiones, por lo que en respuesta surgen modelos no-Poissonianos, como el modelo Brownian Passage Time (BPT). La Falla San Ramón (FSR), ubicada en el piedemonte de la Cordillera de los Andes en Santiago, ha despertado preocupación por el amplio periodo transcurrido desde el último evento importante: aproximadamente 8400 años. Este periodo es cercano al intervalo de recurrencia medio de la falla, el cual ronda los 9000 años. En este estudio, se aplica el modelo BPT a un análisis probabilístico de la amenaza sísmica de la FSR. Su información geológica se obtiene de la literatura existente, complementándose con datos de otras fallas similares. Se realizan mapas de aceleración máxima de suelo (PGA) asociados a una probabilidad de excedencia de 1% en 100 años, alcanzándose valores de hasta 0.88g en las cercanías de la falla. Por otro lado, al usar un modelo Poissoneano, se obtienen valores máximos de PGA de 0.36g. Finalmente, las intensidades obtenidas por medio del modelo BPT pueden llegar a triplicar los valores obtenidos por medio del modelo Poissoneano, destacando la importancia del modelo de recurrencia utilizado
Palabras-Clave: Amenaza sísmica, Modelos no-Poissonianos, Medida de intensidad
1. INTRODUCCIÓN
Modelar un escenario sísmico puede ser complejo, debido a la gran cantidad de variables e incertidumbres asociadas, tales como las características del sitio, la geometría de ruptura, y la recurrencia de los eventos, entre otros. En el caso de la recurrencia temporal de ruptura de una falla, normalmente se supone un modelo Poissoniano [1], ignorando de esta manera el tiempo transcurrido desde el último evento importante Esto último es matemáticamente simple y suficiente si es que existen múltiples fuentes sísmicas en el análisis [1] Sin embargo, al momento de evaluar fallas individuales con periodos de inactividad relativamente altos, un modelo Poissoneano puede subestimar su amenaza sísmica. En respuesta a esto, nacen los modelos no-Poissonianos (i.e. dependientes del tiempo) [2].
Una de las fallas corticales que ha despertado preocupación de expertos en el último tiempo en Chile es la Falla San Ramón (FSR), cuya traza se ubica en zonas con densidad poblacional importante y lleva alrededor de 8400 años sin un evento considerable [3]. Dominguez &Heresi [4] realizan un análisis probabilístico de la amenaza sísmica en la FSR usando un enfoque Poissoniano. Sin embargo, tal como se mencionó anteriormente, si no se toma en cuenta el tiempo desde el último evento, se podrían subestimar las intensidades de fallas con tiempos de inactividad relativamente altos como la FSR. Por lo tanto, el objetivo de este estudio es estimar el nivel de amenaza sísmica alcanzado en Santiago, debido a la FSR, a través un modelo no-Poissoniano: Brownian Passage Time (BPT) [2]. Los resultados obtenidos al utilizar un modelo BPT llegan a triplicar las intensidades estimadas a partir de modelos Poissoneanos clásicos, demostrando la importancia de considerar el tiempo de inactividad de fallas como la FSR.
2. METODOLOGÍA
El objetivo es comparar un análisis probabilístico de la amenaza sísmica de la FSR usando la metodología planteada por Cornell [1], modelando la recurrencia temporal de los eventos con modelos Poissonianos y no-Poissonianos Para esto, se generan mapas de intensidad sísmica (aceleración máxima de terreno, PGA) asociados a una probabilidad de excedencia del 1% en 100 años para la ciudad de Santiago. Las características dinámicas de los sitios son obtenidas de Bustos et al. [5].
Los datos de la FSR fueron obtenidos de diversas investigaciones, utilizando un árbol lógico para incorporar la incertidumbre epistémica en el análisis Los resultados se muestran para la media ponderada de todas las combinaciones. En este artículo se utilizan longitudes de ruptura de la FSR de 50 y 30 km, con pesos de 0.7 y 0.3, respectivamente La magnitud asociada a una ruptura de longitud de 50 km es de ����7.5 y para la de 30 km son de ����7.1, ����7.2 y ����7.3, todas con igual peso. En cuanto a los tiempos de activación de la falla, se utiliza la investigación de Vargas et al. [3], la cual a través de estudios paleosismológicos señala que el último evento fue hace 8400±500 años y el anterior a este ocurrió hace aproximadamente 17300±1000 años. Asumiendo una distribución normal en ambos eventos, se obtienen tiempos del último evento de 7725, 8400 y 9075 años, con pesos de 0.25, 0.5 y 0.25, respectivamente. Para la media del intervalo de recurrencia, se utilizan valores de 7220, 7780, 8900, 10020 y 10580 años, con pesos 0.11, 0.20, 0.38, 0.20 y 0.11, respectivamente.
Se usaron cuatro modelos de movimiento de suelo (GMM) provenientes del proyecto NGA-West2 [6, 7, 8, 9], dos desarrollados con bases de datos europeas y medio oriente [10, 11] y una de Japón [12] Los pesos de cada uno de los modelos se determinaron por medio de la metodología propuesta por Scherbaum et al. [13]
Por último, se debe estimar el parámetro de aperiodicidad del modelo BPT, ��, el cual corresponde al coeficiente de variación del tiempo entre eventos [2]. Este valor es imposible de determinar con la información actual de la FSR (i.e., solo 2 eventos pasados), por lo que al hacer simulaciones Monte Carlo de otras fallas con mecanismo tectónico similar y usando bases de datos de fallas de todo el mundo [14], se llega a valores de �� de 0.34 y 0.67, ambos con igual peso.
3. RESULTADOS
Se determinaron mapas de amenaza sísmica para una probabilidad de excedencia de 1% en 100 años para la ciudad de Santiago. Esto se realizó para diferentes medidas de intensidad, entre las que se encuentran el PGA, y ordenadas espectrales a diferentes periodos de vibración. En este artículo se muestran los resultados para PGA. El máximo PGA se alcanza en zonas cercanas a la traza, siendo este dependiente al tipo de sitio, distancia a la ruptura y las GMM usadas. La Fig. 1 muestra el cociente entre el PGA obtenido a través de modelos no-Poissoniano y Poissoniano para una probabilidad de excedencia de 1% en 100 años. Se puede apreciar que el cociente es aproximadamente 2.5 en gran parte de la región de estudio, siendo incluso cercano a 3.0 en ciertas zonas cercanas a la traza de la FSR (línea discontinua roja en Fig. 1).
La Fig. 2 presenta espectros de amenaza uniforme para un 1% de probabilidad de excedencia en 100 años, estimados en un sitio ubicado sobre la traza de la FSR (33.47°S, 70.52°O), considerandomodelos Poissoneanos y no-Poissoneanos. En línea negra se muestran los espectros que resultan de cada rama del árbol lógico, mientras que en rojo se muestra la media ponderada de todas las combinaciones. En esta figura se puede observar que no solo el PGA es aproximadamente 2.5 veces mayor al usar un modelo BPT en vez de un modelo Poissoneano, sino que esta diferencia se mantiene también para otras ordenadas espectrales.






Fig. 1. Mapa de cociente entre PGA estimado para una probabilidad de excedencia de 1% en 100 años con modelo BPT y Poissoneano. La línea discontinua roja representa la traza de la FSR.
Fig. 2. Espectros de amenaza uniforme para una probabilidad de excedencia de 1% en 100 años, calculados en un sitio ubicado sobre la ruptura de la falla (33.47°S, 70.52°O). a) Modelo Poissoniano; b) Modelo BPT.
4. CONCLUSIONES
En este artículo se implementó el modelo Brownian Passage Time (BPT) para el cálculo probabilístico de la amenaza sísmica de la Falla San Ramón (FSR) en Santiago, comparándolo con el modelo Poissoniano clásico. En base a los resultados obtenidos, se observa que al considerar la acumulación de energía de la FSR con el modelo BPT, el nivel de amenaza es considerablemente más alto, siendo más del doble que el estimado por medio de un modelo Poissoniano, tanto para PGA como para otras medidas de intensidad. Esto nos da una visión más completa de la peligrosidad de la FSR, la cual ha permanecido sin un evento grande durante más de 8000 años, lo que se podría tener en cuenta al momento de diseñar infraestructura crítica o de limitar zonas de alto riesgo cerca de su traza La aplicación del modelo BPT puede ser compleja por la falta de información en la FSR. Por lo tanto, nuevos estudios que encuentren evidencia de otros eventos en la falla son fundamentales para mejorar la estimación de su amenaza sísmica.
5. AGRADECIMENTOS
Los autores agradecen a la Universidad Técnica Federico Santa María por la beca de Exención de Arancel y Apoyo Financiero y a los proyectos ANID FONDECYT Iniciación en Investigación 11230463, y ANID ANILLO EASER (Evolution Assessment of Seismic Risk) ACT240044.
REFERENCIAS.
[1] Cornell C A. Engineering seismic risk analysis. Bulletin of the Seismological Society of America 1968; 58: 1583 – 1606.
[2] Matthews M A, Ellsworth W L, Reasenberg P A. A Brownian model for recurrent earthquakes. Bulletin of the Seismological Society of America 2002; 92: 2233 – 2250.
[3] Vargas G, Klinger Y, Rockwell T K, Forman S L, Rebolledo S, Baize S, Lacassin R, Armijo R. Probing large intraplate earthquakes at the west flank of the Andes. Geology 2014; 42: 1083 –1086.
[4] Dominguez H, Heresi P. Evaluación de la amenaza sísmica de la falla San Ramón en la zona de Santiago, Chile. Tesis de maestría. Valparaíso: Universidad Técnica Federico Santa María; 2024.
[5] Bustos J, Pastén C, Pavez D, Acevedo M, Ruiz S, Astroza R. Two-dimensional simulation of the seismic response of the Santiago Basin, Chile. Soil Dynamics and Earthquake Engineering 2023; 164: 107569.
[6] Abrahamson N A, Silva W A, Kamai R. Summary of the ASK14 ground motion relation for active crustal regions. Earthquake Spectra 2014; 30: 1025 – 1055.
[7] Boore D M, Stewart J P, Seyhan E, Atkinson G M. NGA-West2 Equations for predicting PGA, PGV, and 5% Damped PSA for shallow crustal earthquakes. Earthquake Spectra 2014; 30: 1057 – 1085
[8] Campbell K W, Bozorgnia Y. NGA-West2 ground motion model for the average horizontal components of PGA, PGV, and 5% damped linear acceleration response spectra. Earthquake Spectra 2014; 30: 1087 – 1115.
[9] Chiou B S J, Youngs R R. Update of the Chiou and Youngs NGA model for the average horizontal component of peak ground motion and response spectra. Earthquake Spectra 2014; 30: 1117 –1153.
[10] Akkar S, Sandıkkaya M A, Bommer J J. Empirical ground-motion models for point- and extendedsource crustal earthquake scenarios in Europe and the Middle East. Bulletin of Earthquake Engineering 2014; 12: 359 – 387.
[11] Bindi D, Massa M, Luzi L, Ameri G, Pacor F, Puglia R, Augliera P. Pan-European ground-motion prediction equations for the average horizontal component of PGA, PGV, and 5 %-damped PSA at spectral periods up to 3.0 s using the RESORCE dataset. Bulletin of Earthquake Engineering 2014; 12: 391 – 430.
[12] Zhao J X, Zhou S, Zhou J, Zhao C, Zhang H, Zhang Y, Gao P, Lan X, Rhoades D, Fukushima Y, Somerville P G, Irikura K. Ground‐motion prediction equations for shallow crustal and upper‐mantle earthquakes in Japan using site class and simple geometric attenuation functions Bulletin of the Seismological Society of America 2016; 106: 1552 – 1569.
[13] Scherbaum F, Delavaud E, Riggelsen C. Model selection in seismic hazard analysis: An information-theoretic perspective. Bulletin of the Seismological Society of America 2009; 99: 3234 – 3247.
[14] McCalpin J P, Slemmons D B. Statistics of paleoseismic data. Final Technical Report. USGSNEHRP Contract 1434-HQ-96-GR-02752 Estes Park (CO): GEO-HAZ Consulting Inc.; 1998.



Cementación y mejoramiento de propiedades mecánicas de depósitos de relaves abandonados mediante Precipitación de Carbonatos Inducida por Enzimas (EICP)
J. Cárdenas (1) , E. Sáez (1), P. Pastén (1) (1) PUC, Escuela de Ingeniería, Macul, Santiago, Chile, jcardenasb4@estudiante.uc.cl
INTRODUCCIÓN Chile es uno de los mayores productores de cobre a nivel mundial. De acuerdo con CODELCO (2022) por cada tonelada de cobre producido, se generan alrededor de 100 toneladas de desecho, los cuales son almacenados en depósitos de relave Sernageomin (2022) reporta que existen 473 depósitos de relaves inactivos y 173 depósitos abandonados, donde de estos últimos la mayor parte carece de un responsable/propietario Los relaves, debido a la baja cohesión entre sus partículas finas, se vuelven muy susceptible a ser movilizados por viento (Makarov et al., 2021). Una posible solución a este problema es la técnica de Precipitación de Carbonatos Inducida por Enzimas (EICP por sus siglas en inglés), la cual, mediante un proceso de mezclado entre arena y una solución de cementación, ha evidenciado mejoras en la compresión simple llegando a resistencias del orden de 1700 kPa.
DESARROLLO En el presente trabajo se utilizó un relave de cobre, al cual se le aplicó un tratamiento de EICP mediante la técnica de mezclado similarmente a Almajed et al. (2019), replicando las mismas concentraciones de solución de dicho estudio Para la fabricación de probetas se utilizó el 90% de la densidad máxima compactada seca (1.58 gr/cm3), y dimensiones de 5 cm de diámetro por 10 cm de alto a humedades del 14% (óptima) y 14.5%, con diferentes concentraciones tanto de enzimas como de los distintos componentes de la solución. Las probetas fueron compactadas en 5 capas y luego almacenadas y secadas de acuerdo con el procedimiento propuesto por Almajed et al. (2019). Estas muestras fueron ensayadas a compresión simple a 0.5 mm/min. En la Fig. 1a se observan las muestras fabricadas a 14% de humedad; donde las muestras “Base” están fabricadas solo con agua, “T1” con solución de EICP, “T2” con solución de EICP, al doble de concentración de enzima, y “T3” con solución de EICP, al triple de concentración de enzima. Por otro lado, la Fig. 1b muestra probetas al 14.5% de humedad donde “Base2” solo son fabricadas con agua y las muestras “T4”, presentan solución de EICP con concentraciones 1.5 veces más alta en todos sus compuestos.


(a) (b)
Fig. 1.(a) Resistencia a la compresión simple de probetas conformadas con 14% de humedad. (b) Resistencia a la compresión simple probetas conformadas con 14.5%.
CONCLUSIONES La solución de EICP genera una mejora en la resistencia del material, sin embargo, el aumento solo de la proporción de enzima no significa una mejora en resistencia sino más bien una reducción. El aumento de las concentraciones del tratamiento no es proporcional al aumento de la resistencia, debido que al aumentar en 1.5 veces las concentraciones de la solución se obtuvo un incremento del orden de 2.5-3 veces de la resistencia a la compresión simple
AGRADECIMENTOS:El primer autor agradece el financiamiento de la Agencia Nacional de Investigación y Desarrollo (ANID) de Chile bajo la beca Doctorado Nacional número 21241637
REFERENCIAS:
[1] Almajed A, Tirkolaei H, Kavazanjian E, Hamdan N. Enzyme Induced Biocementated Sand with High Strength at Low Carbonate Content
Nature: SCIENTIFIC REPORTS; 2019, 9(1135)
[2] Codelco Informe de Sustentabilidad: Huella de Carbono; 2022
[3] Makarov D, Konina O, Goryachev A. Dusting suppression at Tailings Storage Facilities. Journal of Mining Science 2021, 57: 681-688
[4] SERNAGEOMIN https://www.sernageomin.cl/mineria/



EFECTO DE LA VARIABILIDAD ESPACIAL DE LAS PROPIEDADES GEOTÉCNICAS EN LA ESTABILIDAD DE TALUDES DE UN TRANQUE DE RELAVES
V. Miranda (1) , F. Pinto (2) C. Pastén (3), R. Gesche (4) (1) Universidad de Chile, valeria.miranda@ug.uchile.cl (2) Universidad de Chile, franpinto@uchile.cl (3) Universidad de Chile, cpasten@uchile.cl (4) Universidad de Chile, rgesche@uchile.cl
RESUMEN/ ABSTRACT
Chile, como uno de los principales productores de cobre del mundo, debe asegurar la estabilidad de su infraestructura minera, en particular de los tranques de relaves, cuya falla bajo cargas estáticas o sísmicas puede generar consecuencias catastróficas. La estabilidad de estas estructuras se evalúa comúnmente mediante el factor de seguridad (����) y el coeficiente sísmico crítico (ky) usando enfoques deterministas, los cuales suelen omitir las incertidumbres asociadas a las propiedades geotécnicas. Aunque los métodos probabilísticos han ganado relevancia, la mayoría asume condiciones homogéneas y no considera la variabilidad espacial inducida por los procesos constructivos de los tranques de relaves. Este estudio evalúa el efecto de la variabilidad espacial en la estabilidad de taludes de tranques de relaves mediante análisis probabilísticos que incorporan campos aleatorios definidos a partir de datos CPTu in situ. Los resultados muestran que la inclusión de la variabilidad espacial influye significativamente en los valores de ���� y ����, reduciendo la dispersión de los resultados y mejorando la confiabilidad de la evaluación de estabilidad, lo que resalta la importancia de considerar explícitamente la heterogeneidad del material en el análisis del desempeño sísmico de estas estructuras.
Palabras-Clave: Variabilidad espacial, tranque de relaves, estabilidad de taludes
1. INTRODUCCIÓN
Chile, como uno de los principales productores de cobre del mundo, debe asegurar la estabilidad de su infraestructura geotécnica crítica, particularmente los tranques de relaves, altamente expuestos a amenazas sísmicas. El colapso de estas estructuras puede generar severas consecuencias humanas, económicas y ambientales, como lo evidenció el fallo del tranque de Brumadinho en Brasil [1]. En este contexto, la normativa y práctica ingenieril nacional e internacional enfatizan la evaluación de la estabilidad sísmica mediante análisis estáticos y pseudoestáticos, considerando el factor de seguridad (����) y el coeficiente sísmico (����) para un ���� de 1.0 [2], [3]. No obstante, estos enfoques presentan incertidumbres inherentes y epistémicas ampliamente documentadas en la literatura [4], [5], [6]
La construcción de tranques de relaves, involucra distintos geomateriales y metodologías constructivas, lo que introduce una significativa variabilidad espacial de los parámetros geotécnicos [9]. Reconocer explícitamente esta variabilidad es clave para mejorar la confiabilidad de los análisis de estabilidad [7] En este estudio se evalúa la influencia de la variabilidad espacial en la estabilidad de taludes de un tranque de relaves mediante análisis probabilísticos estáticos y pseudoestáticos, incorporando campos aleatorios definidos a partir de datos CPTu in situ. Los resultados muestran que considerar la heterogeneidad espacial reduce la incertidumbre en la estimación de ���� y ���� y mejora la precisión de los análisis probabilísticos
2. CASO DE ESTUDIO
El estudio se basa en un tranque de relaves tipo, representativo de la práctica chilena, cuya ubicación y nombre se mantienen confidenciales. El diseño consiste en un muro de partida de material de empréstito, sobre el cual se deposita hidráulicamente arena cicloneada que conforma el muro principal, construido mediante el método aguas abajo (Figura 1). El talud aguas abajo presenta una pendiente de
1:4 (V:H), mientras que el talud aguas arriba tiene una pendiente de 1:2. La fundación corresponde a roca meteorizada in situ. El tranque posee una altura aproximada de 64 m, un ancho de coronamiento de 20 m y una revancha de 5 m. Para caracterizar la variabilidad espacial del material, se realizaron ensayos CPTu en tres ubicaciones a lo largo de la sección transversal del tranque (Figura 1), proporcionando información clave sobre las propiedades geotécnicas a distintas elevaciones del muro.

Fig. 1. Diagrama del tranque de relaves y localización de los CPTu.
3. INCERTIDUMBRE GEOTECNICA Y VARIABILIDAD ESPACIAL DEL SUELO
La variabilidad espacial es una característica inherente de los materiales geotécnicos, tanto en suelos naturales como en geomateriales construidos. En suelos naturales, se asocia a condiciones geológicas variables, mientras que en geoestructuras como los tranques de relaves depende principalmente del método constructivo y de los procesos de deposición y compactación [4], [8] En particular, la depositación hidráulica de arena cicloneada en capas delgadas seguida de compactación mecánica genera heterogeneidades verticales y horizontales relevantes, distintas de las observadas en suelos naturales [7].
3.1. Propiedades geotécnicas y campos aleatorios
Tabla 1. Modelos de geomateriales y propiedades de diseño.
Material/ Clasificación de suelo Peso unitario (���� ��3 ⁄ ) Modelo constitutivo Cohesión (kPa) ��′(°)
Fundación / Roca 20 Infinitamente resistente -
Las propiedades geotécnicas de diseño, obtenidas a partir de valores medios de ensayos in situ, se resumen en la Tabla 1. La variabilidad espacial se modela mediante campos aleatorios bidimensionales construidos a partir de datos CPTu, siguiendo enfoques ampliamente aceptados en la literatura [4], [8] La caracterización considera escalas de correlación vertical y horizontal, coeficientes de variación y tendencias del sitio, incorporando la no estacionariedad asociada a los procesos constructivos del tranque mediante variables lognormales. Se consideraron dos escenarios probabilísticos: un Caso A, con coeficientes de variación adoptados de la literatura (�������� = 9%, �������� = 10%), y un Caso B, con valores derivados de los ensayos CPTu (��������= 4,5 %, �������� = 11,4%). La correlación espacial se modela mediante la función de autocorrelación propuesta por Vanmarcke [9], Ec. 1, donde ������ representa el coeficiente de correlación entre dos puntos ubicados en las coordenadas x y z. Esta formulación permite generar campos aleatorios integrados en el análisis de equilibrio límite, los cuales revelan zonas de distinta resistencia que controlan las superficies potenciales de falla (Figura 2). Las escalas de correlación vertical estimadas a partir de CPTu varían entre 3,32 m y 7,37 m, superiores a las típicamente reportadas para suelos naturales [5].

Fig. 2. Campo aleatorio del ángulo de fricción interna, con data estadística de los CPTu.
4. ANÁLISIS DE ESTABILIDAD DE TALUDES Y MODELO DE TRANQUE DE RELAVES
El análisis de estabilidad se realizó mediante el método de equilibrio límite de Morgenstern–Price [10], considerando superficies de falla circulares y no circulares. Se definieron superficies con entrada en el coronamiento y salida en el pie aguas abajo, con una profundidad mínima de falla de 25 m. Para el análisis pseudoestático se adoptaron coeficientes sísmicos representativos del sismo máximo creíble (MCE) en Chile [11], modelados mediante una distribución lognormal con media ��ℎ= 0,21 y desviación estándar 0,049. Se efectuaron dos análisis probabilísticos: uno sin variabilidad espacial, modelando ��′ y �� como variables lognormales, y otro incorporando variabilidad espacial mediante campos aleatorios, ambos con 5.000 simulaciones de Monte Carlo [3]
5. RESULTADOS


Fig. 3. Histogramas de FS para análisis de estabilidad de taludes estática (a-f) y pseudoestática (g-l) (a, b) y (g, h) corresponden a casos sin variabilidad espacial del suelo, mientras que (c-f) e (i-l) incorporan esta variabilidad, considerando superficies de falla tanto circulares como no circulares. Los resultados muestran que las diferencias entre los casos CA y CB son marginales, lo que sugiere que parámetros de la literatura pueden emplearse como información previa en análisis preliminares. En contraste, la incorporación de variabilidad espacial produce cambios significativos respecto a los modelos homogéneos. En particular, la inclusión de variabilidad espacial incrementa levemente el valor medio (������) (hasta ~3,31), reduce el coeficiente de variación (����������) en más de un 60% (hasta ~4,3%) y aumenta el índice de confiabilidad (����) en aproximadamente un 187%, evidenciando una menor probabilidad de falla. En los escenarios pseudoestáticos, ������ permanece prácticamente constante, mientras que la incorporación de variabilidad espacial incrementa el ���� entre un 10% y un 21% y reduce
���������� entre un 27% y un 32%. Aunque la acción sísmica atenúa las diferencias entre los modelos, los resultados confirman que la consideración explícita de la variabilidad espacial mejora la confiabilidad de los análisis de estabilidad tanto en condiciones estáticas como sísmicas, al representar zonas de distinta resistencia coherentes con las observaciones CPTu.
6. CONCUSIONES
Los resultados demuestran que la incorporación de la variabilidad espacial reduce significativamente la dispersión del factor de seguridad, con disminuciones del ���������� entre un 27% y un 64%. Esta reducción implica distribuciones más concentradas en torno a la media, disminuyendo la probabilidad de obtener valores críticos bajos y, por ende, la probabilidad de falla. Al representar explícitamente la heterogeneidad del suelo, incluyendo zonas localizadas de mayor y menor resistencia, los análisis probabilísticos con variabilidad espacial ofrecen estimaciones más precisas y confiables que aquellos que asumen condiciones homogéneas. Finalmente, se destaca la necesidad de estudiar en mayor detalle las longitudes de autocorrelación en suelos construidos, como los tranques de relaves, dado que difieren sustancialmente de las típicamente reportadas para suelos naturales.
7. AGRADECIMENTOS
Este estudio fue financiado por el Advanced Mining Technology Center (AMTC) mediante el Proyecto Basal AFB230001. Financiamiento adicional fue proporcionado por ANID a través del Proyecto Postdoctoral FONDECYT 3230313 y el Proyecto FONDECYT 1240744, con apoyo adicional de la Vicerrectoría de Investigación (Proyecto AYV036/01-23).
REFERENCIAS
[1] Global Tailings Review, “Global Tailings Review”. Accedido: 4 de septiembre de 2024. [En línea]. Disponible en: https://globaltailingsreview.org
[2] J. D. Bray y T. Travasarou, “Pseudostatic slope stability procedure”, Santiago, ene. 2011.
[3] J. M. Duncan, S. G. Wright, y T. L. Brandon, Soil Strength and Slope Stability, 2a ed. 2014.
[4] A. L. Jones, S. L. Kramer, y P. Arduino, “Estimation of Uncertainty in Geotechnical Properties for Performance-Based Earthquake Engineering, PEER Report 2002-16”, 2002.
[5] K.-K. Phoon y F. H. Kulhawy, “Evaluation of geotechnical property variability”, Canadian Geotechnical Journal, vol. 36, pp. 625–639, 1999.
[6] K.-K. Phoon et al., “Geotechnical uncertainty, modeling, and decision making”, Soils and Foundations, vol. 62, p. 101189, ago. 2022, doi: 10.1016/j.sandf.2022.101189.
[7] J. Macedo, L. Vergaray, C. Liu, J. Sharp, K. F. Morrison, y B. Byler, “CPTu-Based Spatial Variability Assessment of Thickened and Conventional Mine Tailings”, Journal of Geotechnical and Geoenvironmental Engineering, vol. 150, no 10, oct. 2024, doi: 10.1061/JGGEFK.GTENG11969.
[8] D. V Griffiths y G. A. Fenton, “Probabilistic Slope Stability Analysis by Finite Elements”, Journal of Geotechnical and Geoenvironmental Engineering, vol. 130, no 5, pp. 507–518, 2004, doi: 10.1061/ASCE1090-02412004130:5507.
[9] E. Vanmarcke, Random Fields. WORLD SCIENTIFIC, 2010. doi: 10.1142/5807.
[10] N. R. Morgenstern y V. E. Price, “The Analysis of the Stability of General Slip Surfaces”, Géotechnique, vol. 15, no 1, pp. 79–93, 1965, doi: 10.1680/geot.1965.15.1.79.
[11] J. A. Olivares Allendes, “Revisión de métodos de estimación de coeficientes sísmicos horizontales en depósitos de relaves chilenos”, Universidad de Chile, Santiago, Chile, 2023. [En línea]. Disponible en: https://repositorio.uchile.cl/handle/2250/197956


GEOTECHNICAL ANALYSIS OF SAND–COLLOID MIXTURES
D. Paz (1) , M. Pacheco (2) , F. Ochoa (3) , J. Beltrán (4) (1) Universidad de Chile, daniepaz@ug.uchile.cl (2) Universidad de Chile, marcelo.pacheco@gmail.com (3) Universidad de Chile, fochoac@uchile.cl (4) Universidad de Chile, jbeltran@ing.uchile.cl
ABSTRACT

This experimental work examines the enhancement of the mechanical behavior of dry Ottawa sand by incorporating the highly plastic synthetic nanoclay Laponite. The hybrid material specimens of sand with Laponite were prepared using dry pluviation with Laponite contents of 0, 1, 3, 5, 10, 15, and 20% by dry mass of sand in both loose and dense states. The granular arrangement, shear strength properties, consolidation and swelling behavior, and other mechanical characteristics of the mixture were systematically and comprehensively studied. The results, which are in good agreement with previous studies on sands containing high-plasticity fines, suggest that small amounts of Laponite influence the physical and mechanical properties of the dry sand in terms of deformation and strength due to the strong adhesion between sand particles and the nano-clay. These findings reinforce previous studies and suggest that small quantities of high-plasticity fines improve the properties of granular materials commonly used in the construction industry.
Keywords: Laponite, nanoparticles, soil fabric, granular arrangement
1. INTRODUCTION
Sand-fines mixtures consist of sands with different percentages of silt or clay within their granular structure. These mixtures provide insights into the mechanical behavior of natural soils, as different geotechnical properties can be addressed from the heterogeneous granular nature achieved depending on the fines content. Experimental studies have identified a threshold fines content, typically between 20% and 30% [1] , where the behavior of the mixture changes from a sand-controlled behavior at low non-plastic fines content to fines-controlled behavior at higher percentages. For sand mixed with plastic fines, studies have reported positive effects such as erosion control, settlement reduction in embankments through fines optimization, and enhanced compressional response [2]. Properly proportioned plastic fines can significantly improve geotechnical properties such as shear strength, compressibility, elastic range, and pore pressure response [3]. However, these improvements depend on both the fines content and their plasticity. This study investigates the behavior of mixtures of sandLaponite mixtures under dry conditions through an experimental program. Particle size effect, adherence, granular arrangement, and shear strength properties are examined. Complementary oedometer consolidation, free swelling, and swelling pressure are performed to further asses particleto-particle interactions
2. METHODOLOGY
This experimental study employed graded Ottawa sand, a uniform (Cu=1.7) and clean fine-to-medium sand (D50=0.35mm) with less than 5% of fines, with a specific gravity of Gs=2.65, and maximum and minimum void ratios emax=0.783 and emin=0.48 respectively [4]. Laponite RD, a synthetic nanoclay, was used as plastic fines. The Laponite elementary unit is disc-shaped with a layered structure of 25 nm in diameter and 1 nm in height. Reported geotechnical properties reported are ϕ between 27.2°-37.9° and c between 3.1-20.7 (kPa) in direct shear tests [5] Soil specimens were prepared by dry mixing Ottawa sand with Laponite, ranging from 1% to 20% of the sand mass, depending on the specific test performed The experimental program includes particle size distribution, simple shear, free sweeling, swelling pressure and oedometer consolidation tests
3. RESULTS AND ANALYSIS
3.1. Void ratio and particle interaction
The addition of Laponite modified the void ratio of Ottawa sand. Both maximum and minimum void ratios presented a similar trend: slight increase at 1% fines, a progressive decrease up to 15%, and increase beyond this content At low Laponite percentages (< 5%), the characteristic diameters D10, D30, and D60 increased, suggesting that the nanomaterial influences the apparent grain size distribution and particle packing.
3.2. Shear strength and stiffness
Figure 1 presents the nonlinear shear stress versus angular strain of sand-Laponite mixtures, under vertical confining stresses of 98.1 kPa, 196.2 kPa and 294.3 kPa, at relative densities of 20% and 70%. At constant confinement, dense specimens (Dr=70%) exhibited 10-14% higher shear strength compared to loose specimens (Dr=20%) For a given density, shear strength increased by 30%-85% with increasing confinement, with the upper bound corresponding to dense samples. Pure Laponite, tested separately also showed increased strength with confinement.

Fig 1 Shear stress vs angular strain for Ottawa sand with a) 0%, b) 1%, c) 3%, d) 5% at Dr 20% and Dr 70%, and e) pure laponite.
Critical State Line (CSL) analysis revealed a decrease in friction angle with increasing Laponite content, while cohesion coefficients systematically increased approaching the strength parameter of pure Laponite, with a friction angle of 31.6 ° and a cohesion of 26.5 kPa. The shear modulus also rose with confinement, with an average increase of 15% and 30%, for loose and dense samples respectively.
3.3. Free Swelling and swelling pressure
Figure 2a shows the free swelling curves of Ottawa sand-laponite mixtures with contents ranging from 1% to 20%, at relative densities of 20% and 70%. Volumetric strain increased with Laponite content. At
1% content, swelling occurred only in loose specimens, while at higher contents dense samples generally showed greater maximum swelling (3%-14%). The absence of swelling in dense specimens at 1% Laponite was attributed to presence of fines in the contact zones between particles and the nonhomogeneous distribution of the particles in the intergranular voids. Considering a Laponite bulk density of 10 kN/m³, approximately 2% by sand mass is required to fully occupy the voids of Ottawa sand. For the loose states, hydrated Laponite pushed sand particles apart, whereas in dense states chamber soil friction opposed swelling.
Figure 2b presents the evolution of swelling pressure for different sand-Laponite mixtures. Pure Laponite reached a maximum of 2200 kPa after 2 days, while mixture peaked within 1 day, ranging from 80 kPa (5% of laponite) to 260 kPa (20% of laponite) The results show that the maximum axial stress and the time it takes to reach that value highly depend on the amount of laponite content Lower percentages promoted faster hydration due to high permeability, whereas higher percentages delayed peak pressure because of reduced permeability.


3.4. Consolidation
Figure 3 presents consolidation curves for sand-Laponite mixtures with content from 5% to 20%. At initial loading phase, the mixture showed low compressibility, with small volumetric strains for a given stress increment This response was attributed to the loose initial arrangement of sand and Laponite particles. With increasing effective stress, the mixtures densified more rapidly, producing steeper volumetric strain rate. During unloading, the stress-strain path followed a nonlinear but flatter trend compared to loading, resulting in a hysteretic cycle due to the combination of plastic deformation.
Fig 2 a) Experimental free swelling curves for 20 and 70 Dr; b) Swelling pressure of sand and laponite samples
4. CONCLUSIONS

Fig. 3. Diagram of the consolidation process of all samples
The experimental results demonstrate that incorporating Laponite modifies the mechanical response of Ottawa sand. At low contents, Laponite adheres to sand particles, improving shear resistance through increased cohesion, while at higher contents it dominates the granular structure, reducing friction angle and enhancing compressibility. Swelling behavior proved highly sensitive to density and fines distribution, showing faster hydration at low contents and delayed peaks as permeability decreased with higher contents. Consolidation tests confirmed a rise in compressibility compared to clean sand. Overall, the findings highlight that even small additions of high-plasticity fines can strongly influence soil fabric and mechanical properties, emphasizing the need to define fines content thresholds according to the property and condition being evaluated.
5. REFERENCES
[1] Fan J, Rowe R K, Brachman R W. Compressibility and permeability of sand–silt tailings mixtures. Canadian Geotechnical Journal 2022; 59(8): 1348–1357 doi: 10.1139/cgj-2021-0356.
[2] Shi X S , Yin J Consolidation Behavior for Saturated Sand–Marine Clay Mixtures Considering the Intergranular Structure Evolution J Eng Mech 2018; 144(2). doi: 10.1061/(asce)em.19437889.0001391.
[3] Ochoa-Cornejo F. Dynamic Behavior of Sand with NanoParticles 2017.
[4] Ochoa-Cornejo F Cyclic Behavior of Sands With Superplastic Fines Ph.D. Dissertation, School of Civil Engineering, Purdue University, West Lafayette, IN 47906, USA; 2015.
[5] Pardo Ojeda K I. Física/Química/Geotecnia de Laponita: Potenciales aplicaciones. Universidad de Chile, Santiago de Chile; 2020.

AUSPICIADORES























AGRADECIMIENTOS


La realización del XII Congreso Chileno de Geotecnia 2025 fue posible gracias al compromiso y colaboración de numerosas personas e instituciones.
Agradecemos especialmente:
a los expositores nacionales e internacionales a las empresas auspiciadoras a las instituciones patrocinadoras al comité organizador y científico a los estudiantes y profesionales participantes
Su participación contribuyó al éxito de este encuentro, que reafirma el compromiso de la comunidad geotécnica con el desarrollo de la ingeniería y la infraestructura del país.





Los efectos de la Interacción Suelo-Estructura (SSI) varían, especialmente, el rango de frecuencias y la razón de amortiguamiento efectiva del modo fundamental de los sistemas. Los parámetros más importantes para determinar los efectos SSI son la relación de aspecto, una medida de esbeltez de la estructura, y el parámetro de onda ��, una medida de rigidez lateral del suelo relativo a la rigidez lateral de la estructura y la fundación. Uno de los efectos SSI es el amortiguamiento por radiación, el mecanismo de disipación de energía que ocurre cuando la inercia que desarrolla una estructura en movimiento genera desplazamientos y rotaciones en la interfaz suelo-fundación, los cuales disipan energía en forma de ondas viajando a través del sistema. La magnitud de este fenómeno depende de la geometría del sistema, la frecuencia de excitación, el modo de vibración y las características esfuerzo-deformación del suelo.


Esquematizacióndelasondasdedisipaciónquedanorigenal amortiguamientoporradiaciónenunmedioelástico. ModificadodeCruz&Miranda,2017.

Esquematizacióndeunodelosmodelosnuméricos utilizados,enelcualseestudióunedificiobajoemplazado enunalosadefundación.
Dados los factores que controlan este fenómeno, el objetivo de esta investigación es estimar el amortiguamiento por radiación del modo fundamental de vibración de varios sistemas mediante la modelación numérica de estos en FLAC2D y evaluar la influencia de la geometría de los sistemas en dicho amortiguamiento, variando tanto la forma del edificio como el tipo de fundación superficial.




Evaluación del amortiguamiento por radiación de un edificio para distintas configuraciones de estructuras y fundaciones
F, Navarro
J, Ubilla (PhD.)
C, Cruz (PhD.)
ABSTRACT ID: 5184
MODELOS NUMÉRICOS

METODOLOGÍA
superficiales
Se definen seis modelos numéricos combinando fundaciones superficiales y edificios de marcos de momento de acero de 3, 9 y 20 pisos, modelados mediante vigas y columnas. Las fundaciones estudiadas corresponden a una losa continua y zapatas aisladas de 2 metros de sello de fundación, emplazadas a su vez en una Grava de Santiago de 2200 kg/m3 de densidad (��) y una velocidad de propagación de onda de corte (����) de 602 m/s.
RESULTADOS
Se observan valores de amortiguación similares en modelos con el edificio en común, mas no se observan valores similares en los modelos que comparten fundación.
Los valores de amortiguamiento son considerablemente menores en los edificios bajos, que son los sistemas de mayor parámetro de onda ��. Al analizar los modelos que consideran edificio cuadrado o esbelto, que presentan similar parámetro de onda ��, es el edificio cuadrado (menor relación de aspecto) el que presenta mayores valores de amortiguamiento. Al analizar los resultados de modelos con el edificio en común, se aprecia un ligero aumento del amortiguamiento en los modelos de losa continua con respecto a aquellos de zapatas aisladas, siendo la diferencia entre ambos mayor conforme aumenta la altura y esbeltez del edificio.
CONCLUSIONES
La estimación del amortiguamiento por radiación se hace mediante el análisis del decaimiento de los desplazamientos relativos horizontales de techo, utilizando el método del decaimiento logarítmico, cuya utilización es válida en este sistema de múltiples grados de libertad (MGDL) ya que se fuerza una vibración en su modo fundamental, en el cual no hay interferencia modal. Para lograr esto, se impone un desplazamiento inicial en el techo que deforma la estructura tal que esta vibre libremente desde la forma del primer modo de vibración. Las señales también son filtradas para asegurar la vibración sólo en el modo fundamental.

Desplazamientosrelativoshorizontalesdetechofiltradosde cadamodeloestudiado.

Logaritmonaturaldelospeaksdedesplazamientofiltrados vselnúmerodeciclodecadamodeloestudiado.
• Dado un suelo constante, es la estructura la que controla la magnitud del amortiguamiento por radiación. La losa continua presenta valores ligeramente mayores que las zapatas aisladas al tener mayor interfaz suelo-fundación por el cual disipar energía, pero esta variación es dependiente del parámetro de onda ��, tal que mientras menor sea este parámetro, mayores serán los efectos SSI y mayor importancia tendrán las características de la fundación.

Presentador: F. NAVARRO Francesca.na.dro@gmail.com Francesca Navarro


• El amortiguamiento por radiación, gobernado por las características dinámicas del suelo y la estructura, esta controlado por el parámetro de onda ��, el cual a un ���� constante, es mayor para estructuras rígidas y menor para estructuras flexibles. Así, sistemas que presentan un parámetro de onda �� significativamente mayor, presentan menores efectos SSI, por lo tanto, menor razón de amortiguamiento por radiación, aun cuando presentan menor relación de aspecto.
• A parámetros de onda �� similares, sistemas con mayor relación de aspecto presentan menor razón de amortiguamiento por radiación. Esto ocurre porque edificios altos y esbeltos (mayor relación de aspecto) son gobernados por el movimiento rotacional o rocking, y se ha demostrado que la disipación de energía rotacional es menos eficaz que la disipación de energía traslacional, común en edificios bajos (menor relación de aspecto), los cuales son gobernados por desplazamientos laterales o swaying.
Punto Clave
En los últimos años, el uso de fibras como refuerzo del concreto ha tenido un auge importante en Colombia. Sin embargo, esta técnica no es nueva en el mundo de la construcción, en realidad la innovación radica en que es son los primeros túneles construidos en toda
América reforzados únicamente con fibras, logrando reducir el refuerzo de 1400 kg de acero convencional a tan solo 170 kg por m3 de concreto fundido, generando un aporte en velocidad de fundida de un 300% y disminución en el uso de acero como material no renovable en una proporción de 10 a 1.


la innovación radica en que es son los primeros túneles construidos en toda América reforzados únicamente con fibras, logrando reducir el refuerzo de 1400 kg de acero convencional a tan solo 170 kg por m3 de concreto fundido, generando un aporte en velocidad de fundida de un 300% y disminución en el uso de acero como material no renovable en una proporción de 10 a 1 y del ingenio de nuestros ingenieros de túneles de Hidalgo e Hidalgo se logró reformar la formaleta del proyecto anteriormente ejecutado “túnel de la línea”, para adecuarlo en su geometría a el túnel del toyo, logrando un reciclaje total de 54 toneladas de acero, teniendo en cuenta que para producir 1 kg de acero se requieren 800 litros de agua.



CONCRETOS VERDES “TÚNEL MÁS LARGO DE AMERICA”
ABSTRACT ID: 5186
RESUMEN
Colombia actualmente se encuentra desarrollando uno de los proyectos más importantes de Colombia, en el denominado “túnel del toyo” , realizando la construcción de 6 túneles ,11 puentes y 3.9 km de obras a cielo abierto, obras comprendidas entre santa fe de Antioquia y Cañasgordas, sector 2tramo 2, proyecto que conectara a el departamento de Antioquia con el Atlántico, con un valor de 100 millones de dólares.
REMPLAZO DE ACERO CONVENCIONAL POR FIBRAS METALICAS Y SINTETICAS EN REFUERZO DE CONCRETOS
En los últimos años, el uso de fibras como refuerzo del concreto ha tenido un auge importante en Colombia. Sin embargo, esta técnica no es nueva en el mundo de la construcción, en realidad la innovación radica en que es son los primeros túneles construidos en toda América reforzados únicamente con fibras, logrando reducir el refuerzo de 1400 kg de acero convencional a tan solo 170 kg por m3 de concreto fundido, generando un aporte en velocidad de fundida de un 300% y disminución en el uso de acero como material no renovable en una proporción de 10 a 1.
RESULTADOS

RECICLAJE DE FORMALETA DE REVESTIMIENTO Y CARRO DE AVANCE
Hoy en día, se producen más de 1 200 millones de toneladas de acero bruto cada año, y China es, con mucho, el mayor productor. El acero es responsable de entre el 7% y el 9% de las emisiones directas de los combustibles fósiles, y cada tonelada producida da como resultado un promedio de 1,83 toneladas de CO2. Como el acero no es solo un material central para la industria arquitectónica moderna, particularmente en nuestras ciudades y edificios más grandes, sino también uno de los productos más comercializados en el mundo después del petróleo, habrá una presión considerable sobre la industria para que introduzca un producto con un grado del material más amigable con el carbono.
Debido a la guerra en ucrania y los diferentes factores económicos por los que atraviesa el mundo, los materiales de construcción han incrementado sus precios hasta en un 200%, por tal razón desde el ingenio de los colaboradores de HeH Colombia, se buscaron diferentes soluciones para llevar a cabo el proyecto sin generar perdidas en las utilidades propuestas, generando 2 grandes impactos en esta búsqueda, primero logrando reducir en relación de 10 a 1 los kg necesarios de acero para refuerzo de los concretos y segundo el reciclaje y reutilización de la formaleta y carro de revestimiento que tiene un peso de 54 toneladas de acero, reduciendo la huella de carbono en su construcción, teniendo en cuenta que para la producción de 1 kg de acero se requieren 800 litros de agua, aunado a la disminución en un 30 % en los tiempos de ejecución de la actividad de revestimiento






Según el portal archdaily en la actualidad, en todoelmundo,la"emergenciaclimática"sigue encarnandoun renovadoenfoquemundialpara abordar el cambio climático. Con el 36% de la energíaglobal dedicada a los edificiosy el 8% de las emisionesglobales causadas solopor el cemento, la comunidad arquitectónica está profundamente entrelazada con los flujos de materiales,energía e ideas relacionadas con el cambioclimático,causasysoluciones.
YEISSON DOMINGO PEREZ LEMUS
Presentador: Y.PEREZ FOTO
Punto Clave
Al realizar un análisis tomando en cuenta la distribución de presiones de poro remanentes obtenidas con los de modos de vaciado completamente rápido o completamente lento, se pueden llegar a subestimar o sobre estimar, respectivamente, los factores de seguridad del talud conforme el nivel de agua exterior cambie; por lo tanto, para analizar la estabilidad de los bordos de protección bajo el efecto de dicho fenómeno es necesario aplica un análisis de flujo transitorio



Riesgo de inestabilidad en

bordos de protección ante inundaciones en la planicie costera del Golfo de México
Tania Cruz González
Candida Álvarez Palafox
Eduwiges Mirón Morales
Rocio Rivera Bautista
Sergio Rodríguez Magaña ABSTRACT ID: 5187
INTRODUCCIÓN
El estado de Oaxaca y Veracruz cuenta con una red hidrológica de ríos encadenados, donde se localiza el segundo torrente mas importante del país: rio Papaloapan ubicado en la Planicie costera del Golfo de México En este trabajo se estudia la seguridad de 20 bordos de protección, dando énfasis al estudio de la variación de los factores de seguridad obtenidos al evaluar la estabilidad de estas estructuras térreas bajo condiciones de vaciado rápido.
METODOLOGÍA
Geomorfología. El río Papaloapan se caracteriza por una cuenca que abarca partes de Oaxaca, Puebla y Veracruz, dividida en tres secciones principales: alta, media y baja. La cuenca baja objetivo del presente estudio, presenta un cauce lento y serpenteante siendo propensa a inundaciones.
Planteamiento del problema. Estudiar la variación con el tiempo de factores de seguridad en la estabilidad de bordos de protección sometidos al fenómeno de vaciado rápido, comparando diferentes modos de vaciado y tipos de análisis para predecir las presiones de poro después del abatimiento repentino del nivel de agua.
Creación del modelo geométrico. Para investigar la influencia del vaciado rápido se muestra un bordo de los 20 analizados, de composición homogénea e isótropo de altura H= 7 m y un talud 2:1.
Análisis de estabilidad de taludes considerando vaciado rápido. En el análisis de estabilidad se utilizan esfuerzos calculados como resultado del análisis de deformación y consolidación, mediante el método de reducción de resistencia al corte (Reducción Phic), que es un análisis de deformación no lineal fundamentado en el modelo constitutivo de Mohr Coulomb. Dichos esfuerzos cortantes se reducen gradualmente por un factor de seguridad FS hasta que se presenta la falla(Figura 1).
RESULTADOS

ANÁLISIS

La estabilidad de un bordo sumergido bajo condiciones de vaciado rápido (parcial o total) se ve influenciado por las propiedades de los materiales que lo constituyen, la velocidad y tasa de vaciado.





Presentador:
T. CRUZ GONZÁLEZ

Para comprender mejor el fenómeno de vaciado rápido se analiza primero el efecto que este tiene sobre la presión de poro remanente en el interior del bordo. Para tales fines, se considera el material del bordo y del subsuelo con una conductividad hidráulica de k=1x10-6 cm/s y una velocidad de vaciado de R=0.10 m/d.
La figura 2 muestra la evolución del vaciado completamente lento donde las presiones de poro disminuyen a medida que se va produciendo el abatimiento del nivel de agua de la reserva. Posteriormente se analiza el efecto de variar la conductividad hidráulica y la velocidad de vaciado sobre la estabilidad del talud. En la figura 3 se muestra la variación del factor de seguridad (FoS) para cada tasa de vaciado (H/L) y para las diferentes combinaciones de k y R consideradas en los análisis.
De los análisis efectuados se observa que desde el inicio del vaciado se establece un flujo transitorio de agua hacia el exterior(Figura 4) con el fin de alcanzar la condición estacionaria impuesta por el nuevo nivel de embalse. Este aumento en las velocidades de flujo tendrá por consecuencia una reducción de las fuerzas de infiltración, lo cual tendrá un efecto significante en la estabilidad de talud
En suelos con bajas permeabilidades (k=1x10-6cm/s) sometidos a una velocidad de vaciado relativamente baja, el agua dentro de la estructura térrea no fluye al exterior del mismo rápidamente, por lo que la superficie freática prácticamente permanece cerca de la cresta del talud, por lo que en esa situación se puede asumir una condición de vaciado completamente rápido y se puede aplicar un método de cálculo no drenado, es decir, los análisis de filtración pueden ser omitidos
Para suelos con altas permeabilidades (k=1x10-4cm/s) y una velocidad de vaciado relativamente lenta, el agua influye rápidamente a través del terraplén por lo que la superficie freática prácticamente desciende al mismo tiempo que el nivel de reserva, por lo tanto esta situación se puede asumir una condición de vaciado completamente lento y realizar únicamente análisis de flujo, ya que los excesos de presión de poro generados por los cambios en los esfuerzos totales se disipan a la misma velocidad que disminuye el nivel de agua de la reserva
Para calcular deformaciones y excesos de presión de poro lo mas realistas posibles, se recomienda utilizar modelos constitutivos elasto plásticos, aun cuando en los análisis se observó que al utilizar el método de reducción phi-c . Esto se debe a que los esfuerzos dependientes de la rigidez y el comportamiento obtenido debido a los efectos de endurecimiento están excluidos del análisis


2. Comparación de los modos de vaciado (Berilgen 2007) con la distribución de presiones obtenidos en los análisis numéricos para el instante de vaciado de ∆t= 8 dias a)vaciado completamente lento; b)vaciado transitorio y c)vaciado completamente rápido


Figura 1. Vaciado de altura L. Variación de los esfuerzos hidro estáticos actuando sobre el talud; b)variación de los esfuerzos totales aplicados (De la Fuente etal,2012)
Figura 3. Variación del factor de seguridad para un bordo de atura H=6 m a diferentes conductividades hidráulicas y velocidades de vaciado
Figura
Figura 4. Factor de seguridad obtenido en el instante de vaciado ∆t= 8 dias. a) Bordo sin filtro y b) Bordo con filtro
La profundización de la minería subterránea ha multiplicado los casos de macizos rocosos con comportamiento squeezing, donde la convergencia del contorno excede con holgura el margen que toleran los soportes convencionales. Para mantener la estabilidad cuando la respuesta estructural está dominada por desplazamientos, los sistemas de soporte deben acomodar al menos 200 mm de deformación residual, algo que los esquemas rígidos basados sólo en resistencia no consiguen. Para esto se diseña un sistema de soporte basado en desempeño combinando ensayos experimentales con modelación no lineal.





Diseño de Fortificación Basado en Desempeño para Grandes Deformaciones en Minería Subterránea
Fumeron C. D. Castro G.
ABSTRACT ID: 5202Puede
mesa técnica a través de
pendrive, o enviarla por correo a la misma mesa técnica sonidoled.preview@gmail.com indicando título, fecha y hora de su presentación.
CONTEXTO
Saludos cordiales,
El macizo en Chuquicamata Subterránea presenta un comportamiento de squeezing. Es necesario contar con un sistema capaz de soportar altas deformaciones sin pérdidas



Se propone y verifica un sistema modular de alta ductilidad capaz de absorber un desplazamiento residual de 200 mm.
RESULTADOS




RESUMEN/ABSTRACT
• Los esquemas rígidos no consiguen acomodar los 200 mm de deformación residual requeridos para mantener la estabilidad en sistemas estructurales controlados por sus desplazamientos.
La solución se basa en un sistema modular conformado mediante una membrana semiflexible anclada con pernos AZA y cables dobles enfundados.
La solución permite una longitud libre controlada y deformaciones postfluencia sin pérdida de capacidad.
• El modelo estructural, desarrollado en SAP2000 mediante resortes no lineales calibrados con ensayos de laboratorio, muestra una deformación residual superior a 230mm bajo cargas homogéneas.
El muro alcanza un desplazamiento residual de 237 mm antes de que los anclajes agoten su capacidad plástica. Bajo una carga trapezoidal, el desplazamiento máximo en el acodamiento es de 290 mm, pero debido al aumento del 17% en la demanda de momento en el punto más crítico, el desplazamiento admisible se reduce a aproximadamente 200 mm.
Presentador: J. FUMERON




Figura1.- FuerzasyDesplazamientos-AnálisisnoLíneal.


(a)Aplicacióndecargasuniformeytrapezoidalsobreelementoderetención (b)Curvaspresión–desplazamientomáximo
(c)Flexióninternamuro (d)Fuerzaenanclajes.
J.
Punto Clave
El diseño y operación de depósitos de ripios exige una rigurosa caracterización de los materiales lixiviados, poniendo especial énfasis en el contenido y tipo de finos, la densificación por peso propio, la variabilidad de la permeabilidad y los parámetros de resistencia en condiciones drenadas y no drenadas.
El sistema de drenaje e impermeabilización debe ser robusto y eficiente, pues su funcionamiento incide directamente en la recuperación de soluciones, generación de nivel freático al interior del depósito, estabilidad física y la protección ambiental.
La implementación de buenas prácticas operacionales, tales como la realización periódica de campañas de caracterización, el monitoreo de variables críticas (contenido de finos y humedad), junto con el mantenimiento constante del sistema de drenaje, es fundamental para garantizar la integridad estructural y el desempeño de los depósitos de ripios.






ORGANIZADORES


PRINCIPALES ASPECTOS GEOTÉCNICOS Y BUENAS PRÁCTICAS EN EL DISEÑO DE DEPÓSITOS DE RIPIOS
ANDRÉS TORRES ROJAS JOSÉ IGNACIO RIQUELME
ABSTRACT ID: 5218
1. INTRODUCCIÓN
En este trabajo, se denomina depósitos de ripios tanto a pilas de lixiviación como a botadero de ripios. Los depósitos de ripios suelen estar compuestos por mineral chancado y generalmente aglomerado, el cual se deposita en plataformas impermeables dotadas de un sistema de drenaje. El mineral, cargado en uno o varios niveles de 3 a 10 m de altura, es lixiviado mediante una solución ácida que permite la extracción de cobre. Una vez que el mineral es lixiviado se denomina como “ripio”.
A continuación, se exponen los aspectos geotécnicos que se deben considerar en 3 áreas claves: la caracterización geotécnica de los ripios, el diseño del sistema de drenaje e impermeabilización y la verificación de estabilidad física.
2. CARACTERIZACIÓN GEOTÉCNICA
Granulometría
La granulometría de los ripios es sumamente variable y depende del tipo de mineral y del proceso metalúrgico aplicado.
La presencia, especialmente de arcillas, es determinante: incrementa la retención de humedad, reduce la permeabilidad y, por tanto, puede comprometer la estabilidad. Es importante tener presente que el proceso de lixiviación genera un chancado químico en los minerales, aumentando el porcentaje de arenas y finos.
Densidad








Presentador: A. TORRES


Figura 1. Tipos depósitos de ripios según su modo de uso: a) pilas de lixiviación permanentes, b) pilas de lixiviación dinámicas y c) botadero de ripios
0 20 40 60 80 100 0,01 0,10 1,00 10,00 100,00 Porcentaje que pasa (%)
Tamaño de partícula (mm)
Figura 2 Granulometría de ripios procedentes de distintas faenas mineras.
En el diseño de los depósitos de ripios, es importante considerar la densificación de los ripios por efecto del peso propio y cuantificar la variación de los niveles de saturación y permeabilidad, con el aumento de la densidad. Para ello se deben llevar a cabo ensayos de consolidación edométrica en moldes de gran tamaño, considerando condiciones de montaje (densidad y humedad) y estados de carga representativos. Durante la lixiviación, es relevante considerar que se puede alcanzar hasta un 10% de densificación adicional producto del acomodo de partículas.
Permeabilidad
La permeabilidad es uno de los parámetros más importante para el diseño y operación de depósitos de ripios, ya que afecta el flujo y recuperación de solución, así como la generación de presiones de poro. La permeabilidad puede disminuir por aumento en el contenido de finos durante la lixiviación, por la densificación por peso propio, por migración de finos o reacomodo de partículas. Los valores de permeabilidad saturada de los ripios suelen variar entre 1·10⁻³ y 1·10⁻⁶ m/s, con valores menores en materiales con mayor contenido de finos o más densos. El contenido de finos empieza a ser relevante en la permeabilidad de los ripios cuando estos superan el 20%, tendiendo a disminuir los valores de permeabilidad.
Curva de retención de humedad
La curva de retención de humedad (CRH) relaciona la succión (presión de poros negativa) con la saturación o contenido de humedad, siendo esencial en materiales parcialmente saturados. Generalmente se representa mediante un ajuste paramétrico, siendo los más comunes los propuestos por van Genuchten-Mualem y Fredlund & Xing Si bien se puede obtener mediante estimaciones con base en la granulometría y propiedades índice dada la naturaleza antrópica de los ripios, es recomendable llevar a cabo ensayos de laboratorio.
En general, producto del tamaño de partículas y limitaciones de los equipos, hay escasa documentación con respecto a la CRH de gravas o ripios.
Parámetros de resistencia al corte

3. SISTEMA DE DRENAJE E IMPERMEABILIZACIÓN
El objetivo del sistema de drenaje es recuperar eficientemente las soluciones ácidas ricas en cobre (u otros minerales valiosos) y mantener el nivel freático controlado al interior del depósito de ripios. Suele estar compuesto por tuberías ranuradas, espaciadas cada 3 a 5 m, cubiertas por una capa de material granular, denominado “cover”, el cual debe tener buenas propiedades hidráulicas (ksat ≥10-4 m/s) y estar conformado por material inerte.
El sistema de impermeabilización es crítico para contener la solución lixiviante y evitar la contaminación de los suelos y napas subterráneas. Generalmente está compuesto por geomembranas tipo HDPE o LLDPE, texturadas por una o ambas caras, con espesores que varían según la altura del depósito. Para un diseño más robusto y seguro, es recomendable que la geomembrana basal considere una cama de apoyo compuesta de materiales de baja permeabilidad que contribuyan a la impermeabilización. La interfaz compuesta por suelo de fundación o cama de apoyo – geomembrana – cover o ripios, suele tener peores parámetros de resistencia que los materiales apilados en el depósito, convirtiéndose en un plano de debilidad que puede condicionar la estabilidad global del depósito. Por tanto, es fuertemente recomendable llevar a cabo ensayos de corte directo interfaz suelo-geomembrana, así como ensayos de punzonamiento.
4. ESTABILIDAD FÍSICA
La estabilidad física suele verificarse mediante métodos de equilibrio límites, los que permiten obtener factores de seguridad asociados a potenciales superficies de falla tanto en condiciones estáticas como pseudoestáticas. En condiciones pseudoestáticas la solicitación sísmica se incorpora mediante un coeficiente sísmico horizontal, kh, cuyo valor corresponde a una fracción de la aceleración máxima de campo libre. En Chile, es común utilizar las formulaciones de Saragoni para obtener el kh asociado a terremotos interplaca o intraplaca, sin embargo, existen metodologías que también consideran factores como la intensidad del sismo, respuesta dinámica de la estructura o desplazamientos tolerables. Para depósitos de ripios, la guía de botaderos del Sernageomin recomienda utilizar criterios de aceptabilidad estáticos de FS ≥ 1,3 y pseudoestáticos de FS ≥ 1,1.
Los métodos numéricos, como el método de elementos finitos o el método de diferencias finitas, también permiten analizar la estabilidad de los depósitos bajo cargas estáticas y dinámicas, tanto en 2D como en 3D. Para calcular el factor de seguridad (FS), emplean la técnica de reducción de resistencia al corte, que consiste en disminuir gradualmente la resistencia del material hasta que ocurre la falla. Cabe mencionar que el FS obtenido de los modelos numéricos no es equivalente al obtenido mediante el método de equilibrio límite.



0 20 40 60 80 100 1,E-01
Ajuste VG
Saturación (%) Succión
Los parámetros de resistencia de los ripios son condicionados por su granulometría, humedad, grado de compactación, mineralogía y contenido de finos. Para caracterizar los parámetros de resistencia al corte, es necesario llevar a cabo ensayos triaxiales CID y CIU. Los resultados de los ensayos triaxiales CIU son críticos para evaluar la pérdida de resistencia ante una respuesta no drenada, evaluar el fenómeno de licuación estática y determinar la razón de resistencia no drenada (Su/ ’).



5. RECOMENDACIONES DE BUENAS PRÁCTICAS
Diseño de depósitos de ripios:
• Caracterizar el suelo de fundación en profundidad incluyendo la ejecución de sondajes y ensayos geofísicos.
• Dado que la lixiviación produce un chancado químico, es fundamental caracterizar los materiales antes y después de ser lixiviados.
• Diseñar un sistema de drenaje e impermeabilización robusto. Un mal funcionamiento del sistema de drenaje afecta la recuperación de solución ácida, aumenta el nivel freático al interior de los depósitos y, por consiguiente, afecta la estabilidad física.
• Caracterizar adecuadamente la CRH de los ripios y llevar a cabo modelos de flujo no saturado para estimar la generación de nivel freático y de saturación al interior de los depósitos.
Operación:
• Llevar a cabo periódicamente campañas de caracterización geotécnica tanto de los ripios, como del sistema de drenaje e impermeabilización.
• Llevar a cabo inspecciones visuales, vuelos de dron y monitoreo topográfico.
• Es crucial monitorear y controlar tanto el contenido de finos como la humedad de depositación de los ripios. En botaderos de ripios, materiales depositados con contenidos altos contenidos de finos y humedades > 8%, tienden de desplazarse o fluir más de lo esperado por diseño.
Figura 3 Resultados de ensayos de retención de humedad de ripios con diferentes contenidos de arcillas.
Figura 4. Verificación de estabilidad física mediante:
La geometría de “dientes de sierra” no caracteriza adecuadamente la resistencia alcorteen discontinuidades de yeso reconstituido.
Los ensayos de compresión simple muestran limitaciones para evaluar juntas sin relleno.
La resistencia al corte en yeso reconstituido depende fuertemente de la morfología de la discontinuidad, más que del criterio de resistencia aplicado.
Los criteriosdeMohr–CoulombyHoek–Brownpresentan diferencias significativas al modelar juntas sin relleno en rocas evaporíticas yeso.
Las juntas sin relleno presentan comportamientos no lineales que desafían los supuestos clásicos de homogeneidad en rocas evaporíticas yeso.
La caracterización de discontinuidades en yeso requiere enfoques experimentales que consideren la interacción entre geometría y matriz rocosa.
Yeso reconstituido Discontinuidades
Geometría de dientes de sierra Rugosidad
Resistencia al corte Ángulo de fricción
Compresión simple
Probetas cilíndricas
Mohr–Coulomb Hoek–Brown





VERIFICACIÓN DE LA RESISTENCIA DE LAS DISCONTINUIDADES EN ROCAS EVAPORÍTICAS
RECONSTITUIDA, CONSIDERANDO
DE DIENTES DE SIERRA.
L. Arriagada (Universidad Politécnica de Madrid)
R. Galindo (Universidad Politécnica de Madrid)
I. Pérez (Universidad de Vigo)
A. Ruiz (Universidad de Los Lagos)
ABSTRACT ID: 5223
INTRODUCCIÓN / OBJETIVOS



METODOLOGÍA
• El yeso es una roca evaporítica, sedimentaria, con discontinuidades que condicionan su resistencia mecánica.
• La resistencia al corte depende de la morfología de la junta y de la roca matriz.
• Se evalúa la geometría “dientes de sierra” en juntas sin relleno de yeso reconstituido.
Objetivo: verificar la resistencia al corte mediante ensayos de compresión simple y geometría de “dientes de sierra” en la junta.
RESULTADOS
• 35 probetas cilíndricas de yeso reconstituido (agua/yeso = 0,60; D:H = 1:2).
• Ensayo de compresión simple (ASTM D2938-95).
• Medición de ángulo de buzamiento (��b) y rugosidad con peine de Barton.
• Análisis con criterios Mohr–Coulomb y Hoek–Brown.
• Comparación con geometría propuesta por Serrano, Olalla y Galindo (2014).
Ángulo de fricción instantáneo ��) Gráfico Diámetro (D) v/s Ángulo de fricción básico (����)

El Ángulo de fricción instantáneo ��) varia con el Diámetro (D) sin tendencia clara
CONCLUSIONES


Presentador:
L. Arriagada

).

Ángulo de fricción básico (����) aumenta con Diámetro (D) Sin ajuste estadístico sólido �� /���� entre 0,70 y 1,66. Sin correlación con Diámetro (D) ni rugosidad La geometría de dientes de sierra no caracteriza bien la resistencia al corte en este ensayo.
• El diámetro (D) influye en los valores del ángulo de fricción instantáneo ρ, aunque sin tendencia consistente en ρ.
• El ángulo de fricción básico (ϕb) aumenta con D.
• La relación ��/��n no se correlaciona con D ni con parámetros de rugosidad.
• El ensayo de compresión simple sobre testigos no es adecuada para caracterizar la resistencia de juntas.
• La geometría de dientes de sierra no resulta apropiada para caracterizar juntas en yeso reconstituido.
REFERENCIAS
• Serrano, A. (2006). Mecánica de las Rocas I. Madrid: ETSICCP.
• González de Vallejo, L.I. et al. (2002). Ingeniería Geológica. Madrid: Pearson.
• Cáceres Luján, B.J. (2023). Resistencia de discontinuidades en macizos rocosos. UNED–CEDEX.
• Serrano, A., Olalla, C. & Galindo, R. (2014). Micromechanical basis for shear strength of rock discontinuities
• ASTM International (1995). ASTM D2938-95. West Conshohocken, PA.
• Briones Gatica, E.Z. (2018). Influencia del tipo y relación agua/yeso…. UPN, Perú.
Palabras Clave
Punto Clave
Las fallas de depósitos de relaves ocurridas en Brasil en 2015 y 2018, evidenciaron la necesidad de evaluar e implementar diferentes alternativas a la disposición de relaves. Entre ellas, la opción de filtrar los relaves y disponerlos en depósitos de relaves filtrados (DRF) ha surgido como una alternativa relevante. Este tipo de deposito puede alcanzar grandes alturas, generando altas tensiones principalmente en sus primeras terrazas alcanzando el orden de megapascales que afectan su compresibilidad y estabilidad. Es por esto que es necesario conocer el comportamiento de este tipo de depósito bajo estas condiciones. Ensayos de compresión edométrica modificada con instrumentación de tensiones horizontales a altas tensiones verticales fueron realizados para estudiar su respuesta bajo esta trayectoria de carga.




Comportamiento de relave de hierro sometido a compresión edométrica modificada
R. Vasquez (rodolfovasquez.a@gmail.com)
M. Bellaver (marina@puc-rio.br)
A. Zhemchuzhnikov (alxander@puc-rio.br)
INTRODUCCIÓN
Las tensiones verticales aumentan progresivamente a medida que el relave es depositado. Induciendo por consecuencia un crecimiento de tensiones horizontales y compresibilidad en el relave. Para estudiar esta situación se construyó un equipamiento tipo celda de carga edométrica, con pared fina e instrumentada para medir tensiones horizontales, en base a prototipos construidos por Zhu (1993) y Santos (2004).
ABSTRACT ID: 5232


De igual forma, los depósitos de relaves, al alcanzar grandes alturas, se inducen grandes tensiones verticales. Donde se ha observado en relaves de cobre que ocurre el fenómeno de quiebra de partículas (Valenzuela et al., 2016).
PROGRAMA EXPERIMENTAL
El programa experimental consistió en los siguientes pasos:
• En primer lugar, la construcción de la celda de carga de pared fina e instrumentada.
• Calibración del equipamiento.
• Calibración de LVDT y Strain Gauges.
RESULTADOS


CARACTERIZACIÓN
Relave proveniente de Minas Gerais. Clasificado como arena-limosa (SP) no plástica, de partículas angulosas y rugosas. Los minerales que componen el relave estudiado son cuarzo (77%) y óxido de


El índice de compresión se mantuvo constante en las compresiones de 3 y 5 MPa. A partir de las tensiones verticales de 10, 15 y 20 MPa la compresibilidad aumenta progresivamente. Este aumento de compresibilidad se observa en la inclinación de la recta virgen al final de la compresión.
A partir de las tensiones horizontales medidas como respuesta a la aplicación de la tensión vertical durante el ensayo, se determinó el coeficiente de empuje lateral en reposo (K₀), obteniéndose valores en un rango de aproximadamente 0,33 a 0,55.


• Aplicación de compresión para niveles de 1, 3, 5, 10, 15 y 20 MPa, considerando descarga. a) b) c) Figura 3: a)Curva de compresibilidad b) Variación de Índice de Compresión c) Evaluación de coeficiente de empuje lateral

CONCLUSIONES
La compresibilidad aumentó a partir de los 5 MPa en compresión, de manera progresiva debido al reacomodo de las partículas del relave.

Rodolfovasquez.a@gmail.com
Presentador: R. VASQUEZ

Se observó que no existió quiebra de partículas, en ensayos de granulometría postensayo. Este comportamiento se explica por la combinación de factores, entre ellos la deformación lateral permitida por la pared fina de la celda, la mineralogía resistente del material y la capacidad de redistribución interna de tensiones, factores que favorecen el reacomodo de las partículas sin inducir rotura de partículas bajo altas tensiones verticales. Esto contrasta con el comportamiento observado en arenas de relave, donde se ha reportado quiebra de partículas bajo tensiones verticales de 1 MPa (Valenzuela et al., 2016).
De las tensiones horizontales se observó que, el coeficiente de empuje lateral, la expresión de Jaky (1944) se ajustó correctamente.
REFERENCIAS
Jaky, J.(1944). The coefficient of earth pressure at rest, Journal of the Society of Hungarian Architects and Engineers, 355-358.
Santos, A. S. (2004). Comportamento de misturas solocimento-fibra sob compressão confinada com medição de tensão lateral. Porto Alegre. Valenzuela, L. et al. (2016). High sand tailings dams: main challenges. Obras y Proyectos, 20, 17–29. Zhu, F. (1993). An experimental study of at rest lateral stress in cemented sands, M. Eng. Thesis,. Memorial University of Newfoundland, St. John's.Santos (2024).
Figura 1: a)Tensiones en campo b)Celda de carga
Figura 2: a)microfotografía de partículas de relave b)Curva granulométrica
hierro (19%).
Punto Clave
El análisis geotécnico del cerro San Cristóbal desarrollada mediante modelación numérica con el programa Slide2, permitió evidenciar la disminución de la estabilidad de sus taludes ante escenarios de lluvia intensa e impacto sísmico. Estos análisis posibilitaron delimitar zonas criticas posiblemente susceptibles a procesos de remoción en masa, aportando una herramienta técnica para la gestión de riesgos geotécnicos y la planificación territorial en sectores con valor patrimonial, como el barrio La Chimba, resaltando la necesidad de un monitoreo continuo a los taludes estudiados y las edificaciones que se encuentran en los pies del cerro San Cristóbal.





Evaluación de la estabilidad del cerro San Cristóbal ante eventos de remoción en masa y su impacto sobre el patrimonio del barrio La Chimba.

ABSTRACT ID: 5270
HISTORIA
En Santiago de Chile, en la comuna de Recoleta, se encuentra el barrio La Chimba, el cual es de origen colonial y se encuentra situado al norte del rio Mapocho, históricamente es un espacio apartado, en donde se instalaron conventos, cementerios y comunidades marginadas, que hoy en día lo convierten en un área de gran riqueza social, cultural y simbólica [1] Desde la época colonial, el barrio La Chimba ha sido un punto clave para el comercio y asentamiento de comunidades migrantes, los cuales han experimentado constantes procesos de transformación urbana, manteniendo su identidad única dentro del crecimiento de la ciudad [2] La palabra Chimba, en vocablo quechua indica lo que está al otro lado del río la cual hace referencia a su geografía que está marcada por el río Mapocho y por sus los cerros Blanco y San Cristóbal Actualmente, el barrio La Chimba cuenta con 765 edificaciones catalogadas como patrimonio, según la investigación de Toledo et al [3] Estas construcciones se ubican en las cercanías de los cerros San Cristóbal (CSC), los cuales han sido clasificados por el SERNAGEOMIN como zonas con riesgo de remoción en masa
REMOCIÓN EN MASA
Un talud es un volumen de suelo con variaciones significativas en altura y pendiente, que pueden originarse de manera natural o antrópica 4 Su estabilidad depende tanto de las propiedades del terreno como de factores externos, como las precipitaciones Cuando estas condiciones se alteran, pueden generarse procesos de inestabilidad denominados remociones en masa, caracterizados por la movilización lenta o rápida de suelo, roca o ambos materiales Entre los principales factores que influyen en estos procesos se encuentran: i)
METODOLOGÍA
[1] Municipalidad de Recoleta. (2010). Guía de recorrido patrimoniales: Barrio La Chimba. Dirección de Desarrollo Comunitario Unidad de Cultura. https://www.recoleta.cl.
[2] Mackenna, V. (1869). Historia Crítica y Social de la Ciudad de Santiago desde su fundación hasta nuestros días (1541-1808). Tomo II. Imprenta del Mercurio. https://www.museovicunamackenna.Gob.cl/publicaciones/historia-critica-y-social-de-la-ciudad-de-santiago
[3] Toledo, M., Gasca, C., y Palazzi, N.C. (2025). Preliminary Assessment of the seismic Vulnerability of Historic Urban Centers Using Artificial Intelligence: A Case Study of the Chimba Quarter in Santiago, Chile. 14th Internacional Conference on Structural Analysis of Historical Constructions. Lausanne, Swiss. 4 Catuto, A., y Elizalde, R. (2019). Caracterización geotécnica y propuesta de una metodología para estabilizar talud en el sector 2 de febrero de la Parroquia AnconcitoProvincia de Santa Elena. https://scholar.Google.com.mx/scholar?hl=es&as_sdt=0%2C5&q=%5B4%5D%09Ariana%2C+A.%2C+y+Ronald%2C+A.+%282019%29.+Caracterizaci%C3%B3n+geot%C3A 9cnica+y+propuesta+de+una+metodolog%C3%Ada+para+estabilizar+talud+en+el+sector+2+de+febrero+de+la+Parroquia+Aconcito-Providencia+de+Santa+Elena.&btnG= [5] Figueredo, A. (2015). Remoción en masa. Escuela de Ingenieros Militares, Ingeniería Civil a distancia, Geología-II Corte, IV Semestre. Bogotá. http://www.academia.edu/1796845/remoci%C3B3n_en_masa
[6] González de vallejos, L. (2002). Ingeniería Geológica. Editorial Pretice Hall. https://www.academia.edu/44135177/INGENIER%C3%8DA_GEO%C3%93GICA_Luis_I_Gonz%C3%AIlez_de_Vallejo
[7] SERNAGEOMIN. (2021). Unidad cerro San Cristóbal. Recuperado el (2025) de https://geoparquemet.Sernageomin.cl/terms/unidad-cerro-san-cristobal/
[8] Vergara, Z. (2015). Relación entre las propiedades geológicas y geotécnicas de la Cuenca de Santiago y los daños observados en el terremoto del 27 de febrero del 2010. https://repositorio.uchile.cl/handle/2250/137849
[9] Das, B.M. (2010). Principal of Fundation Engineering (7th ed.).
[10] Centro Sismológico Nacional, Universidad de Chile. (2010). Sitio institucional. Recuperado (25/03/2025), de https://terremotos.ing.uchile.cl/registros/164
[11] Hoek, E., y Browm, E. (1990). Estimación de la resistencia de macizos rocosos en la práctica. https://www.studocu.com/cl/document/universidadde.Antofagasta/perforación/1997-estimación-de-la-resistencia-de-macizos-rocosos-en-la-practica(114437832?utm_source=chatgpt.com
[12] Rivera, I. (2024). Análisis de estabilidad por equilibrio límite en muros con chimenea drenante, considerando succión del material de empréstito. https://repositorio.uchile.cl/handle/2250/202932
[13] Muñoz, Y., Opolenko, V., Barahon, H., Fábrega, J., y Cedeño, A. (2023). Caracterización del suelo y su relación con el proceso de infiltración. https://www.researchgate.net/publication/375950448_Caracterizacion_del_suelo_y_su_relación_el_proceso_de_infiltración.
[14] Bustos, S. (2025). Metodología para el Desarrollo de Hietogramas de Diseño en una zona Urbana bajo el contexto del Cambio Climático. Caso: barrio La Chimba, Santiago. https://repositorio.unab.cl/server/api/bitstreams/f72bba11-2b12-44d0-a85a-b4e36ddfdb23/content
[15] American Association of State Highwayand Transportation Oficials. (2007). A Customary U.S. Unit 4th Edition.

d.cabrerarojas@uandresbello.edu

Presentador: D. CABRERA

Geomorfología, que incluye la topografía, la pendiente, los cambios bruscos de inclinación y la altura de la ladera, los cuales pueden transformar un talud estable en inestable ii) Geología y geotecnia, relacionadas con el tipo de material y sus propiedades físicas (peso unitario, resistencia, humedad, entre otros); iii) Hidrología, relacionada con el drenaje, nivel freático, caudales y coeficientes de infiltración; y iv) Vegetación y clima, donde la cobertura vegetal contribuye a la absorción de agua y mejora la estabilidad mediante el anclaje de raíces
Asimismo, existen agentes desencadenantes como los sismos, que alteran temporalmente los esfuerzos normales y de corte en la ladera, favoreciendo deslizamientos y caídas [5] y las precipitaciones intensas, cuya intensidad, duración y distribución pueden provocar flujos y deslizamientos 6 Estos factores pueden inducir distintos tipos de remoción en masa,como caídas, deslizamientos, flujos, volcamiento y extensión lateral [5]
RESULTADOS
Con el objetivo d evaluar la estabilidad del Cerro San Cristóbal ante eventos de remoción de masa sobre el patrimonio del barrio La Chimba, la investigación se desarrolló en tres etapas: 1) Definición de datos de entrada: se delimitó el área de estudio, las edificaciones patrimoniales, y se seleccionó el programa Slide2 para la modelación de los taludes Se recopiló información de campo y bibliográfica sobre litología, el tipo de suelo y propiedades geotécnicas [7-9] Finalmente, se seleccionaron los taludes a evaluar, identificados como 1, 2 y 4 2) Modelación numérica se desarrollaron modelos representativos de los taludes del CSC en Slide2 sobre los cuales se efectuaron análisis en condiciones estáticas, dinámicas y con precipitaciones intensas En los análisis estáticos, se simularon las condiciones actuales sin influencia de cargas externas (ver Fig 1(a), modelo del Talud 4) En los análisis dinámicos, se incorporó la aceleración máxima horizontal medida en el terreno para el sismo del Maule del 2010 (MW 8 8) en Chile, según los datos del Centro Sismológico Nacional, CSN 10 (ver Fig 1(b)) En los análisis por precipitaciones, se consideraron las propiedades hidráulicas de los materiales como la permeabilidad y la tasa de infiltración [11-13], considerando escenarios de 100 y 150 mm de precipitación acumulada obtenidas de Bustos [14], para periodos de 24, 48 y 72 horas Al programa se ingresaron las intensidades equivalentes (m/h): para 100 mm, 4 2, 2 1 y 1 4 m/h; y para 150 mm, 6 3, 3 2 y 2 1 m/h, respectivamente La Fig 1(c) ilustra el modelo del Talud 4 para 100 mm en 24 h En la modelación se consideró un perfil de suelo constituido por una capa superficial delgada de arcilla sobre una roca andesita meteorizada en la superficie con nivel freático profundo
Condición estática. Los factores de seguridad (FS) obtenidos en esta condición se presentan en la Tabla 1 Los tres taludes analizados superan el valor mínimo recomendado por la (AASHTO)[15 (FS > 1 5), lo que indican una condición segura o estable, sin evidencia de riesgo inminente de deslizamiento El Talud 4 alcanza el valor de FS más alto (FS = 1 57) (ver Fig 1(a), seguido por el Talud 2 (FS = 1 55) y el Talud 1 (FS = 1 51), siendo este último el mas vulnerable dentro del rango aceptable
Condición símica En los análisis con solicitación dinámica (ver Tabla 1), los resultados muestran una disminución significativa del FS en todos los taludes, con valores muy por debajo del umbral mínimo recomendado por la (AASHTO)[15 (FS > 1 2) Los taludes 1 y 2 presentan los valores más críticos (FS = 0 59 y FS = 0 60 respectivamente), lo que evidencia una alta probabilidad de inestabilidad ante un evento sísmico de gran magnitud El Talud 4 alcanza un valore relativamente mayor (ver Fig 1(b)) (FS = 0 89), aunque igualmente insuficiente, por lo que ninguno de los taludes cumple con los requisitos de estabilidad bajo esta condición, poniendo en riesgo el patrimonio de las zonas mas cercanas al pie de los taludes (e g el barrio Bellavista y casas denominadas patrimonio por su historia y estructura)
Condición de precipitaciones Los escenarios de precipitaciones acumuladas (100 y 150 mm) en diferentes duraciones muestran un comportamiento similar en todos los taludes (Tabla 1) Tras 24 horas de precipitación, el FS del Talud 1 desciende a valores de 1 3, cercanos al mínimo aceptable por la (AASHTO)[15] (FS = 1 5) lo que los hace susceptibles a fallar Para el Talud 2 se presenta la condición más desfavorable con FS en torno a 1 1, lo que indica una pérdida considerable de estabilidad atribuida a la infiltración de agua, disminución de la cohesión y aumento de la presión de poros. En contraste, al Talud 4 que el factor de seguridad se eleva a 1.4, lo que podría asociarse a la redistribución del agua en el perfil de talud No se observan diferencias significativas entre los escenarios de 100 y 150 mm, lo que sugiere que los taludes alcanzan un estado de saturación en precipitaciones de 100 mm


Fig. 1. Modelación del Talud 4 en Silde2. a) Escenario estático;
b) Escenario dinámico, sismos del Maule Chile (Mw 8.8, 2010);
c) Escenario con precipitación de 100 mm en 24 horas

Tabla 1: Factores de seguridad obtenidos para los modelos realizados

Autor 1 (D, Cabrera) Autor 2 (Y, Santiago)
Punto Clave
Dado que la rigidez del suelo controla su respuesta ante cargas estáticas y sísmicas, comprender cómo los finos modifican su estructura granular resulta fundamental para una caracterización geotécnica representativa.
La incorporación de finos altera la estructura interna del suelo y la anisotropía de rigidez a pequeñas deformaciones. Este estudio evidencia la existencia de un contenido de finos umbral, a partir del cual el suelo experimenta una transición estructural que redefine su comportamiento elástico. Identificar un índice de densidad adecuado permite analizar con mayor consistencia esta evolución y mejorar la interpretación del estado de mezclas arena–finos en contextos dinámicos.





EL EFECTO DE LOS FINOS EN LAS PROPIEDADES ELÁSTICAS DE LAS ARENAS:




Presentador: C. CERRO

PERSPECTIVAS DE LAS MEDICIONES DE VELOCIDAD DE ONDAS
C. Cerro (1)
G. Montalva (2)
D. Escribano (3)
ABSTRACT ID: 5280
INTRODUCCIÓN
La rigidez elástica a pequeñas deformaciones es determinante en la respuesta sísmica y la interacción suelo–estructura. En mezclas arena–fino, el contenido de finos (FC) y su plasticidad alteran la red de contactos y pueden inducir un contenido umbral (FCthr) Los indicadores de densidad e y DR tienen limitaciones para reflejar los cambios microestructurales; sin embargo, su uso conjunto permite comparar la rigidez de forma más coherente entre mezclas con distinto FC. Entre los factores que gobiernan G₀, la densidad y el esfuerzo efectivo medio p′ son predominantes y sustentan correlaciones empíricas ampliamente usadas. Bajo el marco de Hardin y Richart (1963); Black y Drnevich (1972), el módulo se expresa de la siguiente manera (Ec. 1):

METODOLOGÍA
Material y Preparación de Muestras:

Se emplea arena Biobío de gradación natural. Las mezclas se elaboran con finos no plásticos (ML), considerando contenidos de finos de 0, 15, 24, 30 y 40%.
Preparación de Probetas:
Se fabrican probetas cilíndricas (Ø ≈ 70 mm, h ≈ 140 mm) compactadas por apisonado húmedo. Se controlan masa, volumen y dimensiones para calcular densidad. Se consideran dos esquemas:
• DR = 50%±5%: el índice de vacíos varía con FC, ajustándose al rango de [emin, emax].
• e = 0.61: se fija dentro de [emin emax], y DR puede variar con el FC. Confinamiento efectivo se aplica en el rango de 25-100 kPa, mediante la aplicación de vacío.
Medición de Vs:
Sistema piezoeléctrico triaxial (HH, HV, VH).
Donde F(e) representa la función densidad en relación con el índice de vacíos, y pref es la presión de referencia (atmosférica). Los parámetros A y n son coeficientes de ajuste. La estimación independiente de A y n resulta compleja, y la formulación no captura de manera explícita las transiciones de fábrica asociadas a la estructura de los finos.
Numerosos estudios muestran que el aumento de finos induce una transición estructural que modifica la rigidez a bajas deformaciones. Este estudio analiza la influencia del contenido de finos en la velocidad de ondas de corte (Vs) y la rigidez inicial (G₀) en mezclas de arenas de origen aluvial con finos, comparando los efectos de e y Dᵣ. Además, se cuantifica la anisotropía de G₀ mediante BenderElements(BE) en tres configuraciones ortogonales (HH, HV y VH).
RESULTADOS
• Se identificó un rango de contenido de finos umbral de 22–25 % en la Arena Biobío con finos ML.
• La rigidez G0 disminuye hasta el FCthr y luego se estabiliza, marcando la transición arena–arena a arena–fino.
• Los parámetros A y n mostraron una ligera disminución y aumento, respectivamente, indicando mayor sensibilidad tensional.
• La anisotropía, evaluada en tres direcciones, fue mayor a baja presión y disminuyó con el aumento de finos y confinamiento.
• Las mezclas con e constante mostraron mayor rigidez, pero más dispersión; con DR controlado una respuesta más estable.
• El efecto de los finos responde a una reorganización microestructural y el uso conjunto de e y DR permite una caracterización más completa del comportamiento elástico.
El tiempo de viaje (Δt) se determina mediante correlación cruzada discreta (CCD) y verificación peak-to-peak(PTP), métodos que reducen la influencia del campo cercano (near-field) y las distorsiones de fase, considerando polaridad, banda útil y distancia. Se obtienen Vs y G0 en tres direcciones, y las razones de anisotropía se evalúan según la Ecuación2.









AGRADECIMIENTOS: Se agradece el apoyo del Proyecto Fondecyt Iniciación
Fig. 1. Curvas granulométricas A. Biobío.
Fig. 2. Sistema de medición BE en laboratorio de Geotecnia UdeC.
Fig. 3. Esquema de configuración del sistema BE.
Fig. 4. Señales medidas en ensayo B-GN-F15 dirección HH a 17 [kHz] y aplicación de PTP
Fig. 5. Señales medidas en ensayo B-GN-F15 dirección HH a 17 [kHz] y aplicación de CCD.
Fig. 6. Variación de A y n con el contenido de finos (dirección VH).
Fig.
La técnica PIV + GeoPIV-RG permite cuantificar con precisión los desplazamientos y deformaciones del suelo durante la penetración de un disco en arena suelta. Se identificó un patrón simétrico de 4 zonas de desplazamiento, con valores máximos de 62.4 mm bajo el disco y deformaciones de corte de hasta 0.45, lo que aporta información clave para el diseño de penetrómetros esféricos y el estudio de interacciones sueloestructura.




Estudio experimental de la penetración de un disco en arena suelta usando PIV
J. Leyton1 , P. Sánchez2, F. Villalobos1, F. Acuña, A. 1 Castro1
¹ Universidad Católica de la Santísima Concepción
² Aragón Ingeniería de Suelos Ltda.
ABSTRACT ID: 5286
RESUMEN
• Se examinó el movimiento del suelo durante la inserción de un disco en arena Bío Bío suelta usando la técnica PIV (Particle Image Velocimetry).
• Mediante GeoPIV-RG se cuantificaron desplazamientos y deformaciones, revelando un patrón simétrico de distribución atribuible a la geometría circular del disco.
• La técnica demostró ser efectiva para visualizar deformaciones en medios granulares.
INTRODUCCIÓN
• El desarrollo de nuevos penetrómetros como el piezoball requiere comprender la interacción suelo-estructura.
• Este estudio analiza experimentalmente la sección central de una esfera penetrando en arena suelta en condición drenada, utilizando PIV para medir desplazamientos y deformaciones de manera no invasiva.
RESULTADOS

Presentador: J. LEYTON





METODOLOGIA
Sistema Experimental (Fig. 1):
• Un estanque con ventana transparente • Penetración a 2 mm/s (condición drenada).
• Arena Bío Bío (SP, DR = 16%). • Iluminación LED constante.
• Disco de 115 mm (sección de piezoball). • Captura de 450 imágenes con cámara Nikon Z6 II (5 fps).

Procesamiento de imágenes – GeoPIV-RG
• Análisis con GeoPIV-RG: Se procesaron Imágenes mediante correlación cruzada para obtener los desplazamientos del suelo.
• Cálculo de deformaciones: A partir de esos desplazamientos se calcularon las deformaciones principales.
Zonas de desplazamiento (Figura 2) Desplazamiento total (Figura 3) Deformación de corte (Figura 4)
• Zona I: mayores desplazamientos verticales bajo el disco.
• Zona II: desplazamientos mínimos laterales.
• Zona III: cambio progresivo de vertical, diagonal, horizontal.
• Zona IV: zona sin afectación significativa.


2: Vectores y zonas de desplazamiento
• Máximos de hasta 62.4 mm bajo el disco (≈ radio).
• Disminución con la distancia y profundidad.

• máx ≈ 0.45 cerca del disco.
• Efecto observable hasta ~22 cm hacia abajo.

3: Desplazamientos totales Figura 4: Deformación de corte
CONCLUSION
• El montaje experimental permitió medir desplazamientos y deformaciones de forma no invasiva mediante PIV.
• El disco generó un patrón claro de deformación: grandes movimientos verticales bajo el elemento y disipación lateral y en profundidad.
• La combinación PIV + GeoPIV-RG es eficaz para estudiar cinemática de suelos granulares.
• Los resultados aplican a geometrías circulares similares (piezoball, tuberías, T-bar).
• El alcance está limitado a densidad muy suelta (DR = 16%) y profundidades <20 cm, pero entrega bases para estudios futuros.
REFERENCIAS
• White et al. (2003). Soil deformation measurement using PIV and photogrammetry. Géotechnique53(7): 619-631.
• Stanier et al. (2016). Improved image-based deformation measurement for geotechnical applications. CanadianGeotechnicalJournal53(5): 727-739.
Figura 1: Montaje experimental y geometría del disco: (a) Estanque con ventana transparente, (b) Pieza de aluminio (115 mm de diámetro) (c) Diseño 3D en Autodesk Fusion 360
Figura
Figura
El análisis monotónico de desechos mineros con naturalezas contrastantes —Arena de Relaves y Escoria de Hierro (limo de baja plasticidad)— muestra que su respuesta mecánica no puede abordarse bajo los supuestos tradicionales aplicados a suelos convencionales. A partir de una caracterización integral que incluyó SEM, propiedades índice, granulometría y ensayos triaxiales drenados y no drenados, se identificó que la Arena de Relaves sigue los patrones esperados para arenas no plásticas, con comportamientos contractivos o dilatantes según densidad y confinamiento. Por el contrario, la Escoria de Hierro exhibe una respuesta no drenada atípica para un limo, influenciada por su angularidad y elevada gravedad específica, generando trayectorias de tensión–deformación que se apartan de los modelos clásicos para suelos finos. Estos hallazgos refuerzan la necesidad de estudiar rigurosamente los materiales mineros no convencionales, pues sus mecanismos de resistencia y deformación pueden impactar directamente el diseño y la estabilidad de estructuras geotécnicas, especialmente en contextos donde la confiabilidad de los parámetros de entrada es crítica.





Comportamiento Monótono de Desechos Mineros
A. RIOSECO
H. MOYA
F. OCHOA
ABSTRACT ID: 5313
Comportamiento de suelos

En el caso de cargas monotónicas el suelo puede tener 2 posibles comportamientos:
▪ Comportamiento Drenado: Δ�� =0
Comportamiento No Drenado: ��



(a) (b)
Figura1:(a)Comportamientoscontractivoydilatantesegúnladensidaddel sueloestudiado(Ochoa,2025).(b)Evolucióndelatrayectoriadetensionesydel gráficotensión–deformaciónsegúnlaevolucióndeladensidadrelativaoel índicedevacíos(Verdugo,1992).
Resultados

Tabla1:Resultadosdeíndicedeplasticidad,gravedadespecifica, densidadmínimaymáxima,índicedevacíosmáximoymínimoy superficieespecifica.

Presentador: A. RIOSECO

alex.rioseco@ug.uchile.cl
alex.riosecoa@gmail.com

https://www.linkedin.com/in/alex-rioseco-arce-06208034a/





Figura4:Resultadosdegranulometríayclasificaciónrevisadapara (a)laArenadeRelavesElToritoy(b)laEscoriadeHierro.

Materiales Estudiados













Figura5:ResultadosdeensayostriaxialesCIDparalaArenade RelavesElTorito(izquierda)ylaEscoriadeHierro(derecha).













Figura6:ResultadosdeensayostriaxialesCIUparalaArenade RelavesElTorito(izquierda)ylaEscoriadeHierro(derecha).
Figura2:FotografíaeimágenesSEMde(a)laArenadeRelavesElToritoy(b)laEscoriadeHierro.
Figura3:Composición químicadelaArena deRelavesElToritoy laEscoriadeHierro.



Las soluciones que incorporan el uso de pilotes de pequeño diámetro (micropilotes inyectados y pilotes de hierro dúctil) cumplen con la filosofía fundamental de reducción de las emisiones de carbono incorporado:



Refuerzo de fundaciones existentes

Optimización de elementos de fundación

Uso de fundaciones prefabricadas


Presentador: F. LÓPEZ

El aporte de pilotes de pequeño diámetro para fundaciones profundas más sustentables
Autor 1 F. LÓPEZ
Autor 2 E. STEINLECHNER
ABSTRACT ID: 5318

EL IMPACTO AMBIENTAL DEL ENTORNO CONSTRUIDO
El entorno construido (edificios e infraestructura) es responsable de una gran parte del impacto ambiental global provocado por el ser humano:
• 40 % del consumo energético mundial
• 50 % de la extracción de materias primas
• 33 % del consumo de agua potable
• 35 % de la generación de residuos
• 39 % de las emisiones de CO2 : carbono operacional (operationalcarbon,28%): calefacción, refrigeración, iluminación, etc. carbono incorporado (embodiedcarbon, 11%): fabricación de materiales, procesos constructivos, etc.

CARBÓN INCORPORADO EN FUNDACIONES PROFUNDAS
La evaluación de diferentes casos prácticos muestra que, para la mayoría de las técnicas empleadas en fundaciones profundas y obras geotécnicas especiales, el mayor impacto en la huella de carbono total de las soluciones implementadas proviene de los materiales utilizados, principalmente CEMENTO y ACERO, ambos con un alto potencial de calentamiento global [Martin, 2022

Fuente: Martin (2022)

Barcelo et al (2014)
USO DE MATERIALES CON BAJA HUELLA DE CARBONO
Construir de forma inteligente:
• Uso de CEMENTOS con menor contenido de CLINCKER
• Uso de MATERIALES RECICLADOS: PILOTES DE HIERRO DÚCTIL se fabrican usando 100% de chatarra de hierro/acero reciclada



Fuente: Architechture 2030 (2022)
Fuente:
Fuente: HM Treasury (2013)
Punto Clave
La interacción dinámica suelo–sótano–estructura (SBSI) modifica de manera significativa la magnitud de los empujes sísmicos en los muros de sótano en contacto con el suelo. Se observa que dichos empujes aumentan con la presencia de la superestructura, en contraste con los análisis simplificados que la omiten. Asimismo, los métodos tradicionales descritos en la literatura (i.e. Enfoques basados en Mononobe–Okabe sin SBSI) no logran capturar esta respuesta y tienden a subestimar las presiones. Por ello, el diseño de muros de sótano en edificaciones habitacionales chilenas deberían incorporar explícitamente los efectos de la SBSI, ya sea mediante modelación numérica tridimensional o a través de factores de ajuste validos.




Figura1.-(a)Arquetipodeunaedificacióntípicachilenade15pisos(5P)(estructurasimplificada),con4nivelesdesótano(4P),(b) Vistaenplantadelmodelo,muestradeseccionesanalizados,(c) Resultadosdelempujevstiempoanálisis paracasocon5P- 2S, (d)Perfildeesfuerzoshorizontalessobreelmurodesubterráneoencontactoconelsueloestimadoparaelcaso5P-2S.

Evaluación


del empuje sísmico en muros de subterráneo considerando la interacción suelo – estructura en edificios habitacionales chilenos.
J. Gomez
P. Cox
F. Pinto
C. Ledezma
ABSTRACT ID: 4370
DESCRIPCIÓN GENERAL
El desarrollo urbano en Chile ha impulsado la construcción de edificios habitacionales cada vez más altos y con un mayor número de niveles de sótanos, lo que genera importantes desafíos sísmicos asociados a la Interacción Dinámica Suelo–Sótano–Estructura (SBSI), aspecto poco considerado en los métodos y normativas actuales. En este estudio se busca determinar los empujes sísmicos de tierra en muros de sótano de edificaciones habitacionales, incorporando los efectos de la SBSI y las características locales del suelo chileno. Para ello, se emplearon modelos de Elementos Finitos (EF) en OpenSees con distintas configuraciones de altura y profundidad, evaluando la influencia de la rigidez estructural.
En el presente trabajo se consideró un suelo tipo D, clasificado como medianamente denso a firme2. El análisis no lineal se realizó mediante EF, utilizando el modelo constitutivo PressureDependMultiYield02 (PDMY02), con parámetros obtenidos a partir de correlaciones empíricas3
La simulación numérica se desarrolló en 3D, Empleando Elementos hexaédricos del tipo Brick
La superestructura fue representada mediante un modelo elástico, es decir, masas concentradas por piso, siguiendo la metodología propuesta por Henoch y Lagos, utilizando los indicadores H/T (m/s) para reflejar la rigidez característica de las edificaciones chilenas. Los sótanos se modelaron de manera explícita, considerando una tipología estructural propia de edificaciones habitacionales en Chile4_5. Se evaluaron tres configuraciones: edificios de 5, 10 y 30 pisos (5P, 10P, 30P) con 2, 4 y 6 niveles de sótano (2S, 4S, 6S), respectivamente.
ANÁLISIS UNIDIMENSIONAL
La respuesta de sitio fue validada mediante la comparación entre la propagación unidimensional del movimiento sísmico, modelada en el software de Elementos Finitos (EF) con el modelo constitutivo PDMY02 capaz de representar el comportamiento no lineal del suelo, y un análisis unidimensional Lineal Equivalente que incorpora la degradación del módulo de corte en función de la deformación, según Darandeli (2001)⁶, Figura 2. En esta investigación se emplearon los registros sísmicos de Rapel para validar el comportamiento sísmico del suelo en condición de campo libre.



Figura2.-Análisisunidimensionaldelarespuestasísmicadelsuelo(Columna 1x1x30m)registrosísmicoRapel(DeepSoil–OpenSees).
CONSIDERACIONES SÍSMICAS
El dominio del suelo incorpora Bordes Absorbentes, Figura 1 (a), cuya función principal es simular las condiciones de campo infinito. El tamaño de los elementos se definió en función de la mínima longitud de onda (λmin) a transferir a través del suelo según la velocidad de onda de corte (Vs) y la frecuencia máxima del registro sísmico (fmax) considerada como frecuencia de interés. En esta investigación se empleo la demanda sísmica de Rapel para determinar los empujes sísmicos aplicados sobre los muros de sótano de la estructura.
RESULTADOS
Los puntos de evaluación para determinar los empujes sísmicos sobre los muros de sótano son los elementos discretos de suelo en contacto con el muro de sótano, considerando dos puntos de estudio en los extremos del muro (Región 1 y Región 3) y un punto central de contacto (Región 2), Figura 1 (b). Se analizó arquetipos considerando la presencia de la edificación con los pisos y niveles de sótano mencionados, además de evaluar de igual modo los empujes sin la existencia de la superestructura.
Referencias:
1. Mckenna, F., Fenves, G., Scott,


Presentador: J. GOMEZ
Las Figuras 1(c), 3 (a )(b) muestran la distribución de los empujes sísmicos a lo largo del tiempo de análisis para las tipologías estudiadas. Se observa que en las edificaciones de 5P y 15P los empujes con estructura (C/estr.) alcanzan valores máximos significativamente superiores en comparación con el caso sin estructura (S/estr.), registrándose incrementos de aproximadamente 40 % en 5P y 44 % en 15P. En el caso de la edificación de 30 pisos (30P), si bien los empujes máximos con estructura siguen siendo mayores, la diferencia relativa se reduce, con un incremento aproximado de 4 % respecto al escenario sin estructura.
Las Figuras 1(d) y 3(c)(d) presentan la distribución de los esfuerzos laterales con la profundidad para los casos analizados. Se observa que en las edificaciones de 5P y 15P los esfuerzos obtenidos con estructura (C/estr.) son consistentemente mayores que en el escenario sin estructura (S/estr.), mostrando una diferencia marcada en los niveles intermedios de los muros. En cambio, en la edificación de 30P, si bien los esfuerzos siguen siendo superiores con estructura, la diferencia relativa con respecto al caso sin estructura se atenúa, evidenciando que el comportamiento global está más controlado por la respuesta del suelo.




• Los desplazamientos calculados con el método simplificado de Bray et al. (2018) son consistentemente inferiores a los obtenidos con modelos numéricos, llegando a ser hasta dos órdenes de magnitud menores (ver Figura 1)
• Los parámetros con mayor influencia en los desplazamientos predichos por el modelo simplificado la aceleración espectral [Sa(1,5Ts)] y el período fundamental (Ts) de la masa deslizante.
• La subestimación de los desplazamientos sísmicos por parte del método simplificado sugiere que el uso de este tipo de métodos para la estimación de coeficientes sísmicos se debe considerar cuidadosamente.

Figura 1: Comparación de desplazamientos sísmicos horizontales obtenidos a partir del método simplificado y métodos numéricos. Cuadro azul corresponde al valor medio. Las barras horizontales corresponden a los promedios de los percentiles 16 y 84 obtenidos considerando todas las superficies de falla, mientras que las verticales al rango de desplazamiento horizontal predicho por los análisis numéricos en el coronamiento (ver puntos de control casos de estudio).




Evaluación de un Método Simplificado de Estimación de Desplazamientos Sísmicos Aplicado a Presas de Relaves
D, Loncón C, Pastén
ABSTRACT ID: 4380
MOTIVACIÓN

La estimación de desplazamientos sísmicos es un aspecto fundamental en el diseño y evaluación de presas de relaves en Chile, según la normativa vigente. Aunque tradicionalmente se han empleado análisis pseudo-estáticos mediante métodos de equilibrio límite para evaluar la estabilidad sísmica, estos enfoques no proporcionan información directa sobre el desempeño sísmico de estas estructuras En este contexto, el método simplificado propuesto por Bray et al (2018), que estima desplazamientos sísmicos permanentes (D en Ecuación 1) en función del coeficiente sísmico de fluencia (ky) y el período fundamental (Ts) de la masa deslizante, la aceleración espectral a 1,5 veces dicho periodo [Sa(1,5·Ts)] y la magnitud del sismo (M), surge como una herramienta práctica para evaluar directamente el desempeño sísmico de estas estructuras en etapas tempranas del diseño
CASOS DE ESTUDIO
• Se estudian 6 presas de relaves chilenas construidas con los métodos aguas abajo o eje central, a partir de materiales de enrocado o empréstito y cuyas alturas están en el rango entre 30 y 155 m.
• Para cada presa se definen seis superficies de fallas (SF) (a excepción de Presa 5), en función de largo del coronamiento (Lc) y largo de talud (L ) para aplicar la metodología de Bray et al. (2018).
• Para las masas deslizantes se asumen velocidades de onda de corte constantes entre 150 y 550 m/s.
METODOLOGÍA


• Los parámetros de la Ecuación 1 para obtener los desplazamientos, se obtienen a partir de:
ky: Análisis de equilibrio límite en SLIDE2 para cada masa deslizante definida por las superficies de falla
Ts= 4H/Vs el periodo fundamental de la masa deslizante, donde H es la altura efectiva (mayor altura de la SF) y Vs es la velocidad de onda de corte promedio

Presentador: D. LONCÓN
Sa(1,5·Ts): Obtenida a partir de los espectros de diseño de los informes de amenaza sísmica de cada presa. Para P6 se consideran dos solicitaciones diferentes (denotadas por P6.1 y P6.2 en Fig. 1)
ε = 0.73
M: Obtenida a partir de los sismos de diseño de estudios de amenaza sísmica de cada presa
• Los desplazamientos numéricos se obtienen de informes de análisis dinámicos del tipo tensión deformación no lineal 2D, donde se utiliza solamente la componente horizontal del sismo. Se considera modelo constitutivo Mohr-Coulomb
• Se comparan los desplazamientos predichos por la metodología simplificada y los desplazamientos numéricos horizontales medidos en el coronamiento de la presa.
REFERENCIAS

