Calculus II 3rd Edition Mark Zegarelli
https://ebookmass.com/product/calculus-ii-3rd-edition-mark-zegarelli/
ebookmass.com
Turner and McIlwraith’s Techniques in Large Animal Surgery 4th Edition, (Ebook PDF)
https://ebookmass.com/product/turner-and-mcilwraiths-techniques-inlarge-animal-surgery-4th-edition-ebook-pdf/
ebookmass.com
MGMT4 with MindTap (Fourth Edition) Chuck Williams
https://ebookmass.com/product/mgmt4-with-mindtap-fourth-edition-chuckwilliams/
ebookmass.com
Employee Training & Development 7th Edition Edition Raymond Noe
https://ebookmass.com/product/employee-training-development-7thedition-edition-raymond-noe/
ebookmass.com
Total Burn Care 5th Edition David N. Herndon
https://ebookmass.com/product/total-burn-care-5th-edition-david-nherndon-2/
ebookmass.com
https://ebookmass.com/product/quantitative-investment-analysis-4thedition-cfa-institute/
ebookmass.com
JournalofAlloysandCompounds817(2020)152746
journalhomepage: http://www.elsevier .com/locate/jalcom
Photo-inducedcorrosionorprotection:Determiningthecharge transferinthesemiconductor-metalheterojunction
YongXu a,WeiweiZhang a, b, *,YiyongYang a,WeijiePang a
a SchoolofMaterialsandEngineering,ShandongUniversityofScienceandTechnology,Qingdao,Shandong,266590,PRChina
b StateKeyLaboratoryofMiningDisasterPreventionandControlCo-foundedByShandongProvince,MinistryofScienceandTechnology,Shandong UniversityofScienceandTechnology,Qingdao,266590,PRChina
articleinfo
Articlehistory:
Received22June2019
Receivedinrevisedform 7October2019
Accepted19October2019
Availableonline23October2019
Keywords:
Semiconductor-metalheterojunction
Photo-inducedprotection
Photo-inducedcorrosion
Flatbandpotential
Corrosionpotential
abstract
1.Introduction
Metalcorrosionisacomplexprocessthatcausesvasteconomic lossworldwide[1 4].Inrecentyears,researchershavedetermined thatsomemetaloxidesemiconductors,suchasTiO2,caneffectively preventcoupledmetalfromcorrosionunderillumination[5 8]. Whenthesemiconductorisirradiatedwithlightatasuitable wavelengthrange,electronswillbeexcitedtotheconductionband andthentransferredtothecoupledmetal.Bythismethod,the dissolutionofthemetalcanbeavoidedasthecorrosionpotentialof thesemiconductor-metalcouplesshiftintothecorrosionimmunity region[9 12].Thisprotectionalsodoesnotcauseanodesacrifice. Manipulatingthemorphology[13 16]andheterojunctionarchitecture[17 20]ofTiO2 hasbeenshowntobeeffectivefor improvingthephoto-inducedprotectionperformanceof304 stainlesssteel(304SS)andQ235carbonsteel(Q235CS).
Metaloxidesemiconductorshavealsobeenreportedtocause photo-inducedcorrosionofthemetalmatrix,inanapproachthat variesfromphoto-inducedprotection.Kaletal.investigatedthe corrosionofzincthatwascoveredbyanoxidelayerinanoxygen
* Correspondingauthor.SchoolofMaterialsandEngineering,ShandongUniversityofScienceandTechnology,Qingdao,Shandong,266590,PRChina. E-mailaddress: vivizhg@yahoo.com (W.Zhang). Contentslistsavailableat ScienceDirect
https://doi.org/10.1016/j.jallcom.2019.152746 0925-8388/© 2019ElsevierB.V.Allrightsreserved.
TheinfluenceofthephotovoltaiceffectonmetalcorrosionisinvestigatedinthispaperbypreparingTiO2, g-Fe2O3, andNiOnanoparticlesconnectedwithmetals.Thephoto-inducedprotectionandcorrosion performanceisanalyzedbythephotoelectrochemicalperformanceandcorrosionmorphology.ThentypesemiconductorTiO2 andp-typesemiconductorNiOprovideprotectionforcoupled304stainless steelandQ235carbonsteel.While g-Fe2O3 inducescorrosionaccelerationofQ235carbonsteeland corrosionretardationof304stainlesssteel,respectively.Photo-inducedprotectionandcorrosionis determinedbythe flatbandpotentialofthesemiconductorandthecorrosionpotentialofthecoupled metal,whichinducesinnerelectric fieldthatdrivingchargetransfer.Additionally,theredoxpotentialof electrolyteinfluencesthephoto-inducedcorrosionperformance.Thispaperprovidesacomprehensive understandingofthephoto-inducedcorrosionandprotection.
© 2019ElsevierB.V.Allrightsreserved.
atmosphere.Theyfoundthatcorrosionaccelerationoccurredinthe initialilluminationstage,butdisappearedfollowingthegeneration ofaZnObarrierlayer[21].Liangetal.foundthatUVillumination coulddecomposemolecularoxygentoatomicoxygen,which acceleratedthecorrosionofsilver[22].Chenetal.reportedthatthe maincorrosionproductsofQ235CS, g-Fe2O3,and g-FeOOHacceleratedthecorrosionofQ235CScontinuouslyin3.5wt%NaClsolutionunderillumination[23].Positivelychargedholesgenerated inthecorrosionproductswereobservedtocapturetheelectrons fromtheQ235CSdissolution,leadingtocorrosionacceleration. Understandingofthepreconditionsforthisphoto-inducedcorrosionaccelerationstillremainsinsufficient,althoughkineticaccelerationonthemetalmatrixofUVilluminationhasbeen demonstrated[22,24].
Thephoto-inducedprotectionandcorrosionmentionedabove areallgeneratedinthesemiconductor-metalheterojunction [25,26].Thephotogeneratedelectronstransferfromthesemiconductortothecoupledmetalresultsinphoto-inducedprotection [27],whilephoto-inducedcorrosionimpliesanoppositemigration ofelectrons.Thechargetransferdirectioninthesemiconductormetalheterojunctionisdeterminedbytheinnerelectric field [28,29].Thedifferenceintheelectronstructurebetweenthe semiconductorandmetalresultsinaninterfacialchargetransfer whichgeneratestheinnerelectric field[30 33].Therefore,
establishingtherelationshipbetweenthe flatbandpotentialof semiconductor,corrosionpotentialofmetalandredoxpotentialof electrolyteisvitaltoimproveprotectioneffectandminimizeheterojunctioncorrosionunderirradiation.
ThesemiconductorTiO2 hasbeenreportedtopossessphotoinducedprotection[11,12,16,18,20,34],while g-Fe2O3 hasbeen recognizedforcorrosionperformance[23,24].Bothareprepared foruseinthisstudy,alongwiththep-typesemiconductorNiO.The semiconductorswereconnectedto304SSandQ235CStoconstruct differentsemiconductor-metalheterojunctions.Semiconductor electrodeswerepreparedandconnectedtothemetalbycopper linesratherthancoatingonthemetalsurfacetoavoidthebarrier effectofcorrosionproductsinthecorrosionprocess.Thisprocess alsoaidsinthedistinguishingofheterojunctioncorrosionandselfcorrosionbytheopencircuitpotential(OCP)changes.Theprotectionorcorrosioneffectofthesemiconductorsisinvestigated throughthephotoelectrochemicalperformanceandelectron structureanalysisofthesemiconductor-metalheterojunctions.The relationshipbetweentheheterojunctionstructureandcharge transferdirectionisalsoinvestigated.
2.Materialandmethods
2.1.Samplepreparation
SynthesisofTiO2 nanoparticleswerecarriedoutaccordingto theauthors’ previouspaper[35].Butyltitanate(C16H36O4Ti),the precursorofTiO2,wasmixedwith45mlethanoland4mlacetic acidwithvigorousstirringfor10min.Itwasthenaddedtoa mixturesolutionof35mlethanol,15mldeionizedwater,and4ml aceticacid.Afterahydrothermalprocessat180 Cfor12h,the resultingprecipitatewascentrifugedwithdeionizedwaterand driedat60 Cfor12h.
The g-Fe2O3 nanoparticlesweresynthesizedaccordingtothe coprecipitationreactionscheme[36].Next,FeCl3 6H2O(0.02mol) andFeSO4 7H2O(0.01mol)weredissolvedin20mland10ml deionizedwater,respectively.Thetwosolutionsweremixedand addedto200mlof0.6Mammoniumhydroxidesolution,followed bytheadditionofNH3 H2O(99%)toadjustthepHvalueto10 11. Theprecipitatewascentrifugedwithdeionizedwateranddriedat 60 C for12htoobtain g-Fe2O3 nanoparticles.
TheNiOnanoparticlesweresynthesizedusingasol-gelscheme [37].Nickelacetate(C4H6O4Ni 4H2O)wasdissolvedinto40ml ethanolwithvigorousstirringat60 Cfor1h.Theobtainedgreen gelwasdriedat150 Cfor1h,thenadjustedtoroomtemperature for1day,followedbycalcinationsinamufflefurnaceat500 Cfor 2h(theheatingrateis2 C/min).
2.2.Preparationofelectrodes
Theas-preparedpowder(0.01g)wasultrasonicallydispersedin ethanol(1ml)for5min.Photoelectrodeswerethenpreparedby evenlycoatingtheobtaineddispersionliquidontheconductive sideoftheindium-tinoxide(ITO)glassandblastdrying[38].The effectiveareawas3 3cm2.Themetalelectrodeswereprepared byinlayingpolished304SSorQ235CS(<1200#)inepoxyresin withtheworkingareaof10 10mm2 exposed.
2.3.Characterization
TheUV visdiffusereflectionspectra(UV-DRS,modelNo.uv3101pc,Japan)ofthepreparedpowderswerecarriedoutwith BaSO4 astheinternalreferencestandard.Thesurfacemorphology ofmetalswasrecordedusingathree-dimensionalsurface morphology(Zeta-20,America)apparatusandmetallographic
microscope(AxioLabA1,ZEISS,Germany).
Photoelectrochemicalperformancewasmeasuredwithathreeelectrodesystemonanelectrochemicalworkstation(CHI660E, ShanghaiChenhuaInstrumentCo.Ltd,Shanghai,China).The referenceelectrodeandcounterelectrodeweresaturatedcalomel electrode(SCE)andplatinumelectrode,respectively.Aschematic illustrationoftheexperimentalsetupfortheelectrochemicaltestis shownin Fig.1.Removalofplatinumelectrodewasonlyusedinthe OCPtest[39,40].Thephotoelectrochemicalcellwiththephotoelectrodeandthecorrosioncellwiththemetalelectrodewere connectedbysodiumionsemipermeablemembrane.Then,0.2M NaOHcontaining0.1MNa2Sredoxsolutionand3.5wt%NaClsolutionwereusedinthephotoelectrochemicalcell,while3.5wt% NaClsolutionwerealwaysusedinthecorrosioncell.TheS2 was usedasaphotogeneratedholes scavengertoimprovephoto quantumefficiencyofthephotoelectrode,andNaOHcouldinhibit thehydrolysisofS2 .A3.5wt%NaClsolutionwasusedtosimulate aseawaterenvironment.Thephotoelectrodeandthemetalelectrodewereconnectedoutsidebycopperwire,whichwasusedas theworkelectrode.A300Wxenonlampwith350nm 780nm wavelengthwithpowerenergydensity ¼ 1W/cm2 (CEL-HXF300, BeijingZhongjiaojinyuanTechnologyCo.Ltd.,China)wasusedasa lightsource.Thepotentiodynamicpolarizationcurvesweretested inapotentialrangeof 1 1VSCEwith0.01V/sscanrate.MottSchottkyplotswerethencarriedoutin0.5MNa2SO4 solutionat thefrequencyof5Hzby5mValternatingcurrentamplitude.
3.Resultsanddiscussion
3.1.Photoelectrochemicalperformanceandcorrosionmorphology
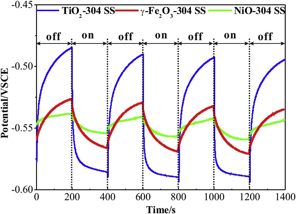
TheanataseTiO2,maghemite-Q g-Fe2O3, andNiOnanoparticles aresynthesized,asconfirmedbythex-raydiffraction(XRD)patternsandtransmissionelectronmicroscopy(TEM)morphology analysisin Fig.S1.TheOCPcurvesofthepreparedsamplescoupled with304SSin0.1MNa2Sand0.2MNaOHmixturesolutionwere thentested,asillustratedin Fig.2.Photogeneratedelectrons transferfromsemiconductorstometalinducesthepotential decreaserapidlywhenxenonlampirradiationisswitchedon [41,42].Meanwhile,thephotogeneratedholescaptureelectrons fromtheelectrolyte.TheOCPreachesa finalsteady-statevalue (photo-inducedvoltage)untiltheelectronmigrationandthe electrolytereactionapproachequilibrium.Theaveragevoltage differencebetweenlightanddarkstateinthreelightson-offcycle isrepresentedasphoto-inducedvoltagedrop,whichisusedto qualitativelycharacterizephoto-inducedprotectionorcorrosion. Thephoto-inducedvoltagedropisanimportantparameterto evaluatethephoto-inducedprotectionperformance[27,33].The TiO2 and g-Fe2O3 electrodesexhibitanaveragevoltagedrop of 100mVand 38mV,respectively,whileNiOexhibitsan averagevoltagedropof 17mVasahole-typesemiconductor.The photo-inducedvoltagedropincreasemeansmoreelectrontransfer fromthesemiconductortotheconnectedmetal,resultinginbetter photo-inducedprotection.
TheQ235CSiscoupledwiththepreparedsemiconductorsto constructadifferentinnerelectric fieldasitpossessesadifferent corrosionpotentialcomparedwith304SS[12,16].TheOCPcurves ofthegalvaniccoupleofQ235CSandphotoelectrodesin0.1MNa2S and0.2MNaOHmixturesolutionareillustratedin Fig.3.The overalldeclineinthethreecurvesisduetotheself-corrosionof Q235CS[43].BothTiO2 andNiOprovidephoto-inducedprotection forQ235CSasthephoto-inducedvoltagedropcanbedetected whenthelightison.TheaveragevoltagedropforTiO2 is 42mV andtheaveragevoltagedropforNiO is 3mV,asseenin Fig.3(a) and(b).For g-Fe2O3,thepotentialcontinuestodeclineduetothe
Fig.2. Opencircuitpotentialofgalvaniccoupleof304stainlesssteelwithTiO2 (curve a), g-Fe2O3 (curveb)andNiO(curvec)in0.1MNa2Sand0.2MNaOHmixturesolution withthexenonlampirradiationswitchedonandoffintermittently.
self-corrosionofQ235CSinthe firstirradiationon-offcycle.Inthis scenario,UVilluminationcausesaslightvoltageriseafter,implying photo-inducedcorrosion.ThesurfacecorrosionproductsofQ235 CS,whichreducetheself-corrosionrate,meanphoto-induced corrosionplaysadominantroleinthecorrosionprocessafterthe firstirradiationon-offcycle.TheOCPresultssuggestTiO2 andNiO provideprotectionfor304SSandQ235CSunderillumination. Additionally, g-Fe2O3 causescorrosioninhibitionof304SS,but accelerationofQ235CSunderillumination.Thesurfacecorrosion morphologyofQ235CScoupledwith g-Fe2O3 in0.1MNa2Sand 0.2MNaOHmixturesolutionafter40minilluminationwasrecordedandprovidedin Fig.3(d),demonstratingthecorrosionofQ235 CS.Astheelectrolyteinthephotoelectrochemicalcellwould dramaticallyinfluencethephotoquantumefficiencyofsemiconductors[24,44,45],3.5wt%NaClsolutionwasusedinthe photoelectrochemicalcelltoinvestigatetheeffectofphotoquantumefficiencyonthephoto-inducedcorrosionprocess.
Fig.4(a)showstheOCPcurvesofthecouplingelectrodeof gFe2O3 andQ235CSinthe3.5wt%NaClsolution.Here, g-Fe2O3 exhibitsastablevoltageriseof25mVwithirradiation,andan
averagevoltagedropof27mVinthedark.Thephoto-induced positiveshiftofpotentialindicatesthatelectrons flowfromQ235 CSto g-Fe2O3.Thestablevoltageriseinthethreeirradiationon-off cyclesindicatessurfacecorrosionproductshavenoeffectonphotoinducedvoltagerise,astheelectronsdonotpassthroughthe surfacecorrosionproductsofQ235CS.Thephoto-inducedvoltage riseis25mVinthe3.5wt%NaClsolution,andapproximately 0.5mVinthe0.1MNa2Sand0.2MNaOHmixturesolution (Fig.3(c)),whichiscausedbythedifferenceoftheinnerelectric fieldofthe g-Fe2O3-Q235CSheterojunction.Fortheelectrochemicalcorrosionprocess,theanodereactionoccurringinthe corrosioncellis Fe 2e /Fe2þ [46].Meanwhile,photogenerated holesinthephotoelectrochemicalcellwillcaptureelectronsfrom theelectrolyte.Oxygenproductionreaction(4hþ þ 2H2 O/O2 þ 4H þ )occursinthe3.5wt%NaCl solution,whiletheoxidationreaction(2ðX 1Þhþ þ XS2 /S2 X )occursinthe0.1MNa2Sand 0.2MNaOHmixturesolution.AsS/S2 possessesamorenegative redoxpotentialthanO2/H2O[44],therecombinationofelectronholepairsisreducedinthe0.1MNa2Sand0.2MNaOHmixture solution,thusleadingtomorephotogeneratedelectronsaccumulatingonthesurfaceofthe g-Fe2O3. Theprocessreducesthepotentialdifferenceofinnerelectric fieldbetween g-Fe2O3 andQ235 CS.Theelectrontransferrateinthesemiconductor-metalheterojunctionisthendecreasedsignificantly,implyingasmallerphotoinducedvoltagerise.Todemonstratethatthecorrosionprocessof Q235CSisacceleratedby g-Fe2O3 underillumination,agalvanic coupleofQ235CSwith g-Fe2O3 wasexposedtocontinuousilluminationin3.5wt%NaClsolutionfor40min. Fig.4(b)showsthe 3DsurfacemorphologyofthebareQ235CSwithoutirradiation,in whichfewcorrosionpitsarefound.Uniformcolortransitioninthe 3DsurfacemorphologyalsoillustratesthatthesurfaceofQ235CS remainsplane.However,colorvariationshowsthatsevereuniform corrosionoccursafter40minillumination(Fig.4(c)).Furthermore, thebareQ235CSwithirradiationfor40minis givenin Fig.5,in whichthecorrosionisslightascomparewith Fig.4(c).ThisillustratesthatthecorrosionaccelerationinducedbydirectUVilluminationishighlylowerthanthephoto-inducedheterojunction corrosion.
Fig.6 depictsthepotentiodynamicpolarizationcurvesofbare 304SS,Q235CS,andthesemiconductor-metalcouplingelectrode. Thesurfacemorphologyof304SSandQ235CSafterpolarization testingisalsoillustrated.Thecorrosionpotential(Ecorr)and
Fig.1. Schematicillustrationsoftheexperimentalforelectrochemicaltest.
Fig.3. OpencircuitpotentialofgalvaniccoupleofQ235carbonsteelwithTiO2 (curvea), g-Fe2O3 (curveb)andNiO(curvec)in0.1MNa2Sand0.2MNaOHmixturesolutionwith thexenonlampirradiationswitchedonandoffintermittently.The3DsurfacemorphologyofQ235CS(d)couplingwith g-Fe2O3 in0.1MNa2Sand0.2MNaOHmixturesolution withirradiationfor40min.
Fig.4. OpencircuitpotentialofgalvaniccoupleofQ235carbonsteelwith g-Fe2O3 in3.5wt%NaClsolutionwiththexenonlampirradiationonandoffintermittently(a).The3D surfacemorphologyofQ235CScouplingwith g-Fe2O3 in3.5wt%NaClsolutionwithout(b)andwith(c)irradiationfor40min. Y.Xuetal./JournalofAlloysandCompounds817(2020)152746
corrosioncurrentdensity(Icorr)arelistedin Table1 and Table2.The corrosionpotentialofbare304SSindarkandunderilluminationin 3.5wt%NaClsolutionis 0.42and 0.55VSCE,respectively.The corrosionpotentialsofTiO2, g-Fe2O3,andNiOcoupling304SS electrodeare 0.75, 0.69,and 0.75VSCE,respectively.UVilluminationwillcausethecorrosionaccelerationofthe304SSwhile the Ecorr valueshiftsnegativelyandthe Icorr valueincreaseunder illumination[47].TheEcorr negativeshiftoftheTiO2, g-Fe2O3,and NiOconnectedelectrodes(Fig.6(a))iscausedbythephotogeneratedelectronstransferfromthesemiconductorstothe metals.Thisleadingtophoto-inducedprotectionof304SSasthe surfacemorphologyhasconfirmed.The Icorr ofthecouplingelectrodesincludesphotocurrentofthesemiconductorandcorrosion
currentofthemetal.Photocurrentcan’tbedistinguishedfrom corrosioncurrentinthepotentiodynamicpolarizationcurves.TiO2 andg-Fe2O3 providephoto-inducedprotectionforthecoupled304 SSasillustratedbythepotentialanalysisandsurfacemorphology. Theincreased Icorr wascausedbythephotocurrentofthen-type semiconductors.Thep-typeNiO-304SScouplingelectrodeexhibits theminimum Icorr astheweakphotovoltaiceffectofNiO.Inaddition,thecorrosionpotentialofbareQ235CSindarkandunder illuminationin3.5wt%NaClsolutionis 0.58and 0.64VSCE, respectively.Thecorrosionpotentialof g-Fe2O3 andQ235CS couplingelectrodeis 0.48VSCEwithirradiation.Thecorrosion pitsmorphologyandpotentiodynamicpolarizationcurvessuggest thatthecorrosionprocessofQ235CSisacceleratedby g-Fe2O3
Fig.5. The3DsurfacemorphologyofbareQ235CSin3.5wt%NaClsolutionandwithdirectirradiationfor40min.
Fig.6. Thepotentiodynamicpolarizationcurvesandsurfacemorphologyafterpolarizationtestofbare304SS,Q235CSindarkandunderillumination,304SS-semiconductor (0.1MNa2Sand0.1MNaOHmixturesolutioninphotoelectrochemicalcell)andQ235CS-semiconductor(3.5wt%NaClsolutioninphotoelectrochemicalcell)couplingelectrode.
Table1
Thecorrosionpotentialandcorrosioncurrentdensityofthebare304SSand304SSsemiconductorcouplingelectrodes.
Samples Ecorr (VSCE) Icorr (uA.cm 2)
bare304SSdark 0.425.43
bare304SSillumination 0.556.79
TiO2-304SSillumination 0.7539.2 g-Fe2O3-304SSillumination 0.6921.0
NiO-304SSillumination 0.753.09
Table2
ThecorrosionpotentialandcorrosioncurrentdensityofbareQ235CSandQ235CSsemiconductorcouplingelectrodes.
Samples Ecorr (VSCE) Icorr (uA.cm 2)
bareQ235CSdark 0.5816.8
bareQ235CSillumination 0.6464.1
g-Fe2O3-Q235CSillumination 0.4884.4
underirradiation(Fig.6(b)).UVilluminationwouldalsocausethe corrosionaccelerationofthemetal.Buttheaccelerationislessthan thephoto-inducedcorrosion.
3.2.Mechanismanalysis
Innerelectric fieldsformasaresultofthedifferentelectron structureofthesemiconductorandmetal,whichdeterminesthe electronmigrationdirectionandrateinasemiconductor-metal heterojunction.Theelectronstructureoftheas-preparedsemiconductorcanbeanalyzedusingtheM S(Mott-Schottky) method[48,49].Thecharacteristicsand flatbandpotentialofthentypeandp-typesemiconductorcanbeanalyzedbythefollowing M Sequations[27,50]:
wherethe C isthespace-chargecapacitance,the e, εr, ε0, N and A is theelectroniccharge,relativedielectricconstantofthesemiconductor,permittivityofvacuum,majorcarrierconcentrationand effectivesurfaceareaofthesemiconductors,respectively. E isthe
appliedpotential, Ef isthe flatbandpotential, k isBoltzmanconstant, T isthetemperatureinK.The kT/e isgenerallysmallandcan beneglected[51].
TheM SplotsofTiO2, g-Fe2O3,andNiOareprovidedin Fig.7. PositiveslopesareobservedintheTiO2 and g-Fe2O3 plots, demonstratingthatthepreparedTiO2 and g-Fe2O3 aren-type semiconductors.Forp-typesemiconductorNiO,onlyanegative slopeisobserved.The flatbandpotentialcanbeestimatedbythe linearpartsofthecurvesextrapolatingtheplotsto1/C2 ¼ 0,which is 0.89, 0.44,and1.31VSCE(equalto 3.85, 4.30, 6.07eV vs vacuum,respectively)forTiO2, g-Fe2O3,andNiO,respectively.For n-typesemiconductor,the flatbandpotentialisapproximately equaltotheconductionbandbottom(ECB)andforp-typesemiconductorequaltothevalencebandtop(EVB)[52].
Thebandgapofsemiconductorscanbeestimatedusingthe equation: ahn ¼ðhn Eg Þn=2 ,where a istheabsorptioncoefficient, h isthePlanckconstant,n isthefrequency, Eg isthebandgap,and n istheparameterdependentonthetransitiontypeofelectronsin thesemiconductor.Thevalueofparameter n is1forthedirect transitionsemiconductor,and4fortheindirecttransitionsemiconductor. Fig.8 showsthediffusereflectionspectraoftheassynthesizedsamples(insets)andthecorrespondingplotsof ðahnÞ2=n versus hn.ThebandgapofTiO2 isestimatedtobe3.18eV byextrapolatingthestraightportionof ðahnÞ1=2 versus hn plotsto thepoint a ¼ 0(Fig.8 (a))asanindirectbandgapsemiconductor [53].Thebandgapof g-Fe2O3 andNiO[54,55]isestimatedtobe 1.58eVand3.20eVbyextrapolatingthestraightportionof ðahnÞ2 versus hn asdirectbandgapsemiconductors(Fig.8(b)and(c)).
Fig.9 schematicallyillustratestheproposedmechanismofthe photo-inducedprotectionandcorrosion.The ECB ofTiO2, g-Fe2O3, andNiOis 3.85, 4.30, 2.87eVvsvacuum,respectively,which areestimatedbytheM Sin Fig.7 and Eg in Fig.8.The Ecorr ofbare 304SSandQ235CSindarkis 4.32and 4.16eVvsvacuum, respectively,whichisobtainedbythepotentiodynamicpolarizationcurves.Itcanbeobservedthattheconductionbandbottomof
TiO2 andNiOishigherthanthecorrosionpotentialof304SSand Q235CS,while g-Fe2O3 ishigherthanthatof304SS.Forn-type semiconductorTiO2 and g-Fe2O3,whenthesemiconductorand304 SSareconnectedelectricallytoconstructanewelectronsystem, electronsintheconductionbandspontaneously flowtothemetal fromthesemiconductorbeforelightson.Thisoccursuntilthe systemreachesabalancedFermilevel.Thusthemetalsurfaceacquiresmoreelectronsduetothenegativechargeaccumulation.In addition,theelectronmigrationawaycausesanexcesspositive chargeinthesemiconductor,leadingtotheformationofaninner electric fieldinthesemiconductor-metalheterojunction.The semiconductorsurfacebandenergybendsupward[12].The electron-depletedlayerformsatthesemiconductorsidewhilethe Schottkybarrier(Øns)formsintheheterojunctioninterface[31]. Consequently,one-wayelectronmigrationfromsemiconductorto metalwilloccurinthesemiconductor-metalheterojunction.When lightison,Schottkybarrierandthepotentialdifferenceoftheinner electric fieldincreasealongwiththepotentialofthesemiconductor decreases[41]. Thephotogeneratedelectronsintheconduction bandmigratethroughtheelectron-depletedlayertothecoupled metal,resultinginphoto-inducedprotection.Theelectronpotential inTiO2 and g-Fe2O3,whichisequalto ECB,is 3.85and 4.30eV vs vacuum,respectively,asshownin Fig.9.ThustheSchottkybarrier andtheinnerelectric fieldinTiO2-304SSjunctionishigherthan thatin g-Fe2O3-304SSjunction.Thisindicatesmoreelectron transferandbetterphoto-inducedprotection,whichisconsistent withtheresultsofphotoelectrochemicalperformanceandcorrosionmorphology.
Forp-typesemiconductorNiO,electronswill flowfromthe coupledmetaltoNiOduetothedifferenceofelectrochemicalpotential,thusleadingtoadownwardbandtowardthebody[56].The hole-depletedlayerandabarrier(Øps)forholesformatthesemiconductorside.Whenthelightisturnedon,thepotentialofthe NiOelectrodedecreases.Electrons flowfrommetaltoNiOwill declineasthepotentialdifferenceoftheinnerelectric field
Fig.7. TheMott-SchottkyplotsofthepreparedTiO2, g-Fe2O3 andNiOphotoelectrodesin0.5MNa2SO4 solution.
UV visdiffusereflectionspectraandthecorrespondingplotsof(ahn)2/n versus hn ofTiO2 (a), g-Fe2O3 (b),andNiO(c).
Fig.9. Schematicillustrationofelectronmigrationinphoto-inducedprotection,photo-inducedcorrosion.
declines.TheOCPcurvesexhibitschangetonegativedirection underillumination,resultinginphoto-inducedprotection.However,theaveragevoltagedropofNiOelectrodesisinsufficient comparedwiththatofTiO2and g-Fe2O3 electrodesasillustratedin Figs.2 and 3.Here,p-typesemiconductorNiOisnotidealcandidatesforphoto-inducedprotectionduetoitsmajorcarrierand positive flatbandpotential.
Furthermore, g-Fe2O3 isfoundtoinducecorrosionacceleration ofQ235CSunderillumination.Theconductionbandbottomof gFe2O3 islowerthanthecorrosionpotentialofQ235CS.Likewise, spontaneouselectronmigrationformstheinnerelectric field.The directionoftheinnerelectric fieldisfrom g-Fe2O3 toQ235CS, leadingtoadownwardbandbendingtowardsthebody.The reverse-barrierlayerformsatthesemiconductorside.Whenthe lightison,photogeneratedelectronwillnottransfertothecoupled Q235CSduetotheexistenceofbarrier(ØA).Inversely,photogeneratedholesgeneratedin g-Fe2O3 willcaptureelectronsfrom
theQ235CSdissolution,leadingtothecorrosionaccelerationof Q235CS.Meanwhile,thephotogeneratedholewillalsocapture electronsfromtheelectrolyte.IncomparisontoO2/H2O,S/S2 possessesanincreasednegativeredoxpotential,leadingtomore photogeneratedelectronsaccumulationonthesurfaceof g-Fe2O3, thusreducingthepotentialdifferenceoftheinnerelectric field between g-Fe2O3 andQ235CSthatdecreasesthephoto-induced corrosioneffectively.
4.Conclusions
Chargetransferhappeninginthesemiconductor-metalheterojunctionwasinvestigatedbypreparingTiO2, g-Fe2O3, andNiO nanoparticlesconnectedwithmetalsinthiswork.Innerelectric fieldformedintheheterojunctioninterfacedeterminestheelectronsorholesmigrate.Photo-inducedprotectionfor304SSand Q235CSwasprovidedbyTiO2,asitconductionbandbottomis
Fig.8.
higherthanthecorrosionpotentialofthecoupledmetal.P-type semiconductorNiOprovidedprotectionfor304SSandQ235CSas theelectron flowfrommetaltoNiOdecreasedunderillumination. However,theminorphoto-inducedvoltagedropofNiOelectrode illustratedinadequateprotectionasahole-typesemiconductor. Additionally, g-Fe2O3 providedprotectionfor304SS.When coupledwithQ235CS,photogeneratedholesin g-Fe2O3 willcaptureelectronsfrommetaldissolutionleadingtophoto-induced accelerationofQ235CScorrosionunderillumination.Photoelectrochemicalperformanceand3Dcorrosionmorphologyillustratedthattheredoxpotentialofelectrolyteinfluencesthephotoinducedcorrosionperformance.
Declarationofinterests
Theauthorsdeclarethattheyhavenoknowncompeting financialinterestsorpersonalrelationshipsthatcouldhave appearedtoinfluencetheworkreportedinthispaper.
Acknowledgements
ThisworkwassupportedbytheNationNaturalScienceFoundationofChina(51302155),ShandongProvincialNaturalScience Foundation(ZR2019MEM027)andSDUSTResearchFund (2014TDJH104).
AppendixA.Supplementarydata
Supplementarydatatothisarticlecanbefoundonlineat https://doi.org/10.1016/j.jallcom.2019.152746.
References
[1] C.Ma,E.H.Han,Q.Peng,W.Ke,Effectofpolishingprocessoncorrosion behaviorof308Lstainlesssteelinhightemperaturewater,Appl.Surf.Sci.442 (2018)423 436
[2] Y.Cai,Y.Zhao,X.Ma,K.Zhou,Y.Chen,Influenceofenvironmentalfactorson atmosphericcorrosionindynamicenvironment,Corros.Sci.137(2018) 163 175
[3] S.Thomas,I.S.Cole,Y.Gonzalez-Garcia,M.Chen,M.Musameh,J.M.C.Mol, H.Terryn,N.Birbilis,Oxygenconsumptionuponelectrochemicallypolarised zinc,J.Appl.Electrochem.44(2014)747 757
[4] Y.Zhang,X.Yin,F.Yan,Effectofhalideconcentrationontribocorrosion behaviourof304SSinartificialseawater,Corros.Sci.99(2015)272 280
[5] S.X.Zuo,Z.Liu,W.J.Liu,X.Z.Li,Z.Y.Li,C.Yao,Q.Chen,Y.S.Fu,TiO2 nanorod arraysontheconductivemicacombinephotoelectrochemicalcathodicprotectionwithbarrierproperties,J.Alloy.Comp.776(2019)529 535.
[6] Y.Bu,J.P.Ao,Areviewonphotoelectrochemicalcathodicprotectionsemiconductorthin filmsformetals,Green.Energy.Environ.2(2017)331 362
[7] W.Zhang,H.Guo,H.Sun,R.Zeng,Constructingternarypolyaniline-grapheneTiO2 hybridswithenhancedphotoelectrochemicalperformanceinphotogeneratedcathodicprotection,Appl.Surf.Sci.410(2017)547 556
[8] Y.Y.Bu,Z.Y.Chen,J.P.Ao,J.Hou,M.X.Sun,Studyofthephotoelectrochemical cathodicprotectionmechanismforsteelbasedontheSrTiO3-TiO2 composite, J.Alloy.Comp.731(2018)1214 1224
[9] C.X.Lei,H.Zhou,Z.D.Feng,Effectofliquid-phase-depositedparametersonthe photogeneratedcathodicprotectionpropertiesofTiO2 films,J.Alloy.Comp. 542(2012)164 169
[10] Y.Bu,Z.Cheng,W.Li,Usingelectrochemicalmethodstostudythepromotion mechanismofthephotoelectricconversionperformanceofAg-modified mesoporousg-C3N4 heteojunctionmaterial,Appl.Catal.,B144(2014) 622 630
[11] W.Zhang,H.Guo,H.Sun,R.C.Zeng,Photogeneratedcathodicprotectionand invalidationofsilane/TiO2 hybridcoatings,J.Coat.Technol.Res.14(2017) 417 424
[12] Y.Yang,W.Zhang,Y.Xu,H.Sun,PreparationofPbSandCdScosensitized graphene/TiO2 nanosheetsforphotoelectrochemicalprotectionof304stainlesssteels,Appl.Surf.Sci.452(2018)58 66
[13] W.Cheng,C.Li,X.Ma,L.Yu,G.Liu,EffectofSiO2-dopingonphotogenerated cathodicprotectionofnano-TiO2 filmson304stainlesssteel,Mater.Des.126 (2017)155 161.
[14] X.Pan,X.Chen,Z.Yi,Defective,PorousTiO2 NanosheetswithPtdecorationas anefficientphotocatalystforethyleneoxidationsynthesizedbyaC3N4 templatingmethod,ACSAppl.Mater.Interfaces8(2016)10104 10108
[15] M.Han,L.Yu,W.Chen,W.Wang,J.Jia,Fabricationandphotoelectrochemical
characteristicsofIn2S3 nano-flower filmsonTiO2 nanorodsarrays,Appl.Surf. Sci.369(2016)108 114
[16] H.Li,Y.Li,X.Wang,B.Hou,3DZnIn2S4 nanosheets/TiO2 nanotubesasphotoanodesforphotocathodicprotectionofQ235CSwithhighefficiencyunder visiblelight,J.Alloy.Comp.771(2019)892 899
[17] J.Huang,K.Fu,X.Deng,N.Yao,M.Wei,FabricationofTiO2 NanosheetAarrays/Graphene/Cu2Ocompositestructureforenhancedphotocatalyticactivities,NanoscaleRes.Lett.12(2017)310
[18] W.Sun,S.Cui,N.Wei,S.Chen,Y.Liu,D.Wang,HierarchicalWO3/TiO2 nanotubenanocompositesforefficientphotocathodicprotectionof304 stainlesssteelundervisiblelight,J.Alloy.Comp.749(2018)741 749
[19] S.S.Ge,Q.X.Zhang,X.T.Wang,H.Li,L.Zhang,Q.Y.Wei,Photocathodicprotectionof304stainlesssteelbyMnS/TiO2 nanotube filmsundersimulated solarlight,Surf.Coat.Technol.283(2015)172 176
[20] C.Han,Q.Shao,J.Lei,Y.Zhu,S.Ge,PreparationofNiO/TiO2 p-n heterojunction compositesanditsphotocathodicprotectionpropertiesfor304stainlesssteel undersimulatedsolarlight,J.Alloy.Comp.703(2017)530 537 [21] P.Kalinauskas,I.Valsiunas,M.Samuleviciene,E.Juzeliunas,Zincphotocorrosioninneutralsolutions,Corros.Sci.43(2001)2083 2092. [22] D.Liang,H.C.Allen,G.S.Frankel,Z.Y.Chen,R.G.Kelly,Y.Wu,B.E.Wyslouzilb, Effectsofsodiumchlorideparticles,ozone,UV,andrelativehumidityonatmosphericcorrosionofsilver,J.Electrochem.Soc.157(4)(2010)C146 C156 [23] L.Song,Z.Chen,Effectof g-FeOOHand g-Fe2O3 onthecorrosionofQ235 carbonsteelundervisiblelight,J.Electrochem.Soc.162(3)(2015)C79 C84 [24] L.Song,Z.Chen,TheroleofUVilluminationontheNaCl-inducedatmospheric corrosionofQ235carbonsteel,Corros.Sci.86(2014)318 325
[25] H.M.El-Bery,Y.Matsushita,A.Abdel-Moneim,FabricationofefficientTiO2RGOheterojunctioncompositesforhydrogengenerationviawater-splitting: comparisonbetweenRGO,AuandPtreductionsites,Appl.Surf.Sci.423 (2017)185 196
[26] M.Sun,Z.Chen,Y.Bu,J.Yu,B.Hou,EffectofZnOonthecorrosionofzinc, Q235carbonsteeland304stainlesssteelunderwhitelightillumination, Corros.Sci.82(2014)77 84
[27] Y.Y.Yang,W.W.Zhang,Y.Xu,H.Q.Sun,X.M.Wang,Ag2SdecoratedTiO2 nanosheetsgrownoncarbon fibersforphotoelectrochemicalprotectionof 304stainlesssteel,Appl.Surf.Sci.494(2019)841 849
[28] K.K.Sun,S.Yan,T.P.Yu,K.H.Wang,C.Feng,L.K.Xu,Highlyenhancedphotoelectrochemicalcathodicprotectionperformanceofthepreparationof magnesiumoxidesmodifedTiO2 nanotubearrays,J.Electroanal.Chem.834 (2019)138 144
[29] H.H.Liu,J.Huang,J.F.Chen,J.B.Zhong,J.Z.Li,R.Duan,Preparationand characterizationofnovelAg/Ag2WO4/ZnWO4 heterojunctionswithsignificantlyenhancedsunlight-drivenphotocatalyticperformance,SolidStateSci. 95(2019),105923.
[30] Z.C.Guan,H.P.Wang,X.Wang,J.Hu,R.G.Du,Fabricationofheterostructured b-Bi2 O3-TiO2 nanotubearraycomposite filmforphotoelectrochemical cathodicprotectionapplications,Corros.Sci.136(2018)60 69
[31] X.Li,R.Shen,S.Ma,X.Chen,J.Xie,Graphene-basedheterojunctionphotocatalysts,Appl.Surf.Sci.430(2018)53 107
[32] Z.C.Guan,P.Jin,Q.Liu,X.Wang,L.F.Chen,H.Xu,G.L.Song,R.G.Du,Carbon quantumdots/AgsensitizedTiO2 nanotube filmforapplicationsinphotocathodicprotection,J.Alloy.Comp.797(2019)912 921
[33] J.Cui,Y.S.Pei,EnhancedphotocathodicprotectionperformanceofFe2O3/TiO2 heterojunctionforcarbonsteelundersimulatedsolarlight,J.Alloy.Comp.779 (2019)183 192
[34] M.M.Sun,Z.Y.Chen,J.Q.Yu,Highlyefficientvisiblelightinducedphotoelectrochemicalanticorrosionfor304SSbyNi-dopedTiO2,Electrochim.Acta 109(2013)13 19
[35] W.Zhang,H.Guo,H.Sun,R.C.Zeng,HydrothermalsynthesisandphotoelectrochemicalperformanceenhancementofTiO2/graphenecompositein photo-generatedcathodicprotection,Appl.Surf.Sci.382(2016)128 134
[36] H.Huang,L.Zhang,J.Kan, g-Fe2O3/polyaniline-lonidaminepreparedby doping/dedopingmethod,Mater.Chem.Phys.145(2014)27 35
[37] N.Talebian,M.Kheiri,Sol gelderivednanostructurednickeloxide films: effectofsolventoncrystallographicorientations,SolidStateSci.27(2014) 79 83
[38] Y.BU,Z.Chen,HighlyefficientphotoelectrochemicalanticorrosionperformanceofC3N4@ZnOcompositewithquasi-shell corestructureon304 stainlesssteel,RSCAdv.4(2014),45397
[39] Y.Zhang,J.Yu,K.Sun,Y.Zhu,Y.Bu,Z.Chen,Indiumoxidethin filmaspotentialphotoanodesforcorrosionprotectionofstainlesssteelundervisible light,Mater.Res.Bull.53(2014)251 256
[40] M.Sun,Z.Chen,Y.Bu,Enhancedphotoelectrochemicalcathodicprotection performanceofH2O2-treatedIn2O3 thin-filmphotoelectrodeundervisible light,Surf.Coat.Technol.266(2015)79 87
[41] M.Sun,Z.Chen,J.Li,J.Hou,F.Xu,L.Xu,R.Zeng,Enhancedvisiblelight-driven activityofTiO2 nanotubearrayphotoanodeco-sensitizedby “green” AgInS2 photosensitizerandIn2S3 bufferlayer,Electrochim.Acta269(2018)429 440
[42] A.Ivankovic,S.Martinez,I. Soic,Suppressionofgeneralandlocalizedcorrosionbyair-driedTiO2 nanostructuredcoatingsonAISI304stainlesssteel,Int. J.Electrochem.Sci.11(2016)7660 7673
[43] M.Y.Jia,GeoffreyI.N.Waterhouse,J.Y.Zhang,Z.M.Zhang,J.Wang,L.M.Yu, Comparisonofthecorrosionprotectionofelectro-spunanddrop-castpolyanilinemicrofibercoatingsoncarbonsteel,Synth.Met.246(2018)204 212
[44] M.Sun,Z.Chen,Enhancedphotoelectrochemicalcathodicprotection Y.Xuetal./JournalofAlloysandCompounds817(2020)152746
performanceofIn2O3/TiO2 composite,J.Electrochem.Soc.162(3)(2015) C96 C104
[45] Z.C.Guan,X.Wang,P.Jin,Y.Y.Tang,H.P.Wang,G.L.Song,R.G.Du,Enhanced photoelectrochemicalperformancesofZnS-Bi2S3/TiO2/WO3 composite film forphotocathodicprotection,Corros.Sci.143(2018)31 38
[46] S.Q.Chen,D.Zhang,CorrosionbehaviorofQ235carbonsteelinair-saturated seawatercontainingThalassospirasp,Corros.Sci.148(2019)71 82
[47] Y.B.Zhao,X.Y.Chen,S.Q.Li,R.C.Zeng,F.Zhang,Z.L.Wang,S.K.Guan,Corrosion resistanceanddrugreleaseprofileofgentamicin-loadedpolyelectrolyte multilayersonmagnesiumalloys:effectsofheattreatment,J.ColloidInterface Sci.547(2019)309 317
[48] M.Ye,J.Gong,Y.Lai,C.Lin,Z.Lin,High-efficiencyphotoelectrocatalytic hydrogengenerationenabledbypalladiumquantumdots-sensitizedTiO2 nanotubearrays,J.Am.Chem.Soc.134(2012)15720 15723
[49] Z.Zhang,Y.Yu,P.Wang,Hierarchicaltop-porous/bottom-tubularTiO2 nanostructuresdecoratedwithPdnanoparticlesforefficientPhotoelectrocatalyticdecompositionofsynergisticpollutants,ACSAppl.Mater. Interfaces4(2012)990 996
[50] LauraMariaManceriu1,PierreColson1,MahoAnthony,GauthierEppe,Ngoc DuyNguyen,ChristineLabrugere,AlineRougier,RudiCloots, CatherineHenrist,StraightforwardpredictionoftheNi1 xOlayers
stoichiometrybyusingopticalandelectrochemicalmeasurements,J.Phys.D Appl.Phys.50(2017),225501
[51] NezarG.Elfadill,M.R.Hashim,KhaledM.Chahrour,S.A.Mohammed,ElectrochemicaldepositionofNa-dopedp-typeCu2O filmonn-typeSifor photovoltaicapplication,J.Electroanal.Chem.767(2016)7 12
[52] L.Cheng,Y.Tian,J.Zhang,Constructionof p-n heterojunction filmofCu2O/aFe2O3 forefficientlyphotoelectrocatalyticdegradationofoxytetracycline, J.ColloidInterfaceSci.526(2018)470 479
[53] X.F.Lei,X.X.Xue,H.Yang,PreparationandcharacterizationofAg-dopedTiO2 nanomaterialsandtheirphotocatalyticreductionofCr(VI)undervisiblelight, Appl.Surf.Sci.321(2014)396 403
[54] M.Alshehri,F.Al-Marzouki,A.Alshehrie,M.Hafez,Synthesis,characterization andbandalignmentcharacteristicsofNiO/SnO2 bulkheterojunctionnanoarchitectureforpromisingphotocatalysisapplications,J.Alloy.Comp.757 (2018)161 168
[55] L.P.Zhu,L.L.Wang,N.C.Bing,H.Y.Jin,G.H.Liao,L.J.Wang,Preparationand characteristicofcore-shellF-doped g-Fe2O3 hollowmicrospheres,Mater.Lett. 88(2012)164 167
[56] S.B.Photodiodes,Metal-semiconductorSchottkyBarrierJunctionsandTheir Applications,Springer,1984.
Other documents randomly have different content
bone. As a result, in healing the flesh withdraws from the mutilated portion of the finger, and usually leaves nearly an inch of bone exposed, presenting of course a most revolting appearance.
The village to which Miss White’s captors belonged was located at that time south of the Arkansas river, and distant from her home at least three hundred miles. How many girls of eighteen years of age possess the physical ability to survive a journey such as lay before this lonely captive? Unprovided with a saddle of any description, she was mounted upon an Indian pony, and probably required to accomplish nearly, if not quite, one hundred miles within the first twenty-four hours, and thus to continue the tiresome journey with but little rest or nourishment. Added to the discomforts and great fatigue of the journey was something more terrible and exhausting than either. The young captive, although a mere girl, was yet sufficiently versed in the perils attending frontier life to fully comprehend that upon her arrival at the village a fate awaited her more dreadful than death itself. She realized that if her life had been spared by her savage captors it was due to no sentiment of mercy or kindness on their part, but simply that she might be reserved for a doom far more fearful and more to be dreaded than death.
The capture of Mrs. Morgan occurred about one month later, and in the same section of country, and the story of her capture is in its incidents almost a repetition of that of Miss White. Her young husband was engaged at work in a field, not far from the house, when the crack of a rifle from the woods near by summoned her to the door. She barely had time to see her husband fall to the ground when she discovered several Indians rushing toward the house. Her first impulse was to seek safety in flight, but already the Indians had surrounded the house, and upon her attempting to escape one of the savages felled her to the ground by a blow from his war club, and she lost all consciousness. When she recovered her senses it was only to find herself bound upon the back of a pony which was being led by a mounted warrior, while another warrior rode behind and urged the pony she was mounted upon to keep up the trot. There were about fifty warriors in the party, nearly all belonging to
the Cheyenne tribe, the others belonging to the Sioux and Arrapahoes. As in the case of the capture of Miss White, a rapid flight immediately followed the capture.
It was the story oft repeated of outrages like these, but particularly of these two, that finally forced the people of Kansas to take up arms in their own defence. Authority was obtained from the General Government to raise a regiment of cavalry, whose services were to be accepted for a period of six months. So earnest and enthusiastic had the people of the frontier become in their determination to reclaim the two captives, as well as administer justly-merited punishment, that people of all classes and callings were eager to abandon their professions and take up arms against the traditional enemy of the frontier. The Governor of the State, Hon. S. J. Crawford, resigned the duties of the Executive of the State into the hands of the Lieutenant-Governor, and placed himself at the head of the regiment, which was then being organized and equipped for service during the winter campaign. After the return of the Seventh Cavalry from the Washita campaign, we were simply waiting the arrival at Camp Supply of the Kansas volunteers before again setting out to continue the campaign, whose opening had begun so auspiciously. Severe storms delayed the arrival of the Kansas troops beyond the expected time. They reached Camp Supply, however, in time for the 7th of December to be fixed upon as the date of our departure. My command, as thus increased, consisted of eleven companies of the Seventh United States Cavalry; ten companies of the Nineteenth Kansas volunteer Cavalry, Colonel S. J. Crawford commanding; a detachment of scouts under Lieutenant Silas Pepoon, Tenth Cavalry; and between twenty and thirty whites, Osage and Kaw Indians, as guides and trailers. As our ultimate destination was Fort Cobb, Indian Territory, where we would obtain a renewal of our supplies after the termination of our proposed march, and as General Sheridan desired to transfer his headquarters “in the field” to that point, he decided to accompany my command, but generously declined to exercise any command of the expedition, merely desiring to avail himself of this opportunity of an escort
without rendering a detachment for that purpose necessary; and, as he remarked when announcing his intention to accompany us, he simply wished to be regarded as a “passenger.”
The day prior to our departure I was standing in front of my tent, when a young man, probably twenty-one or two years of age, accosted me and began a conversation by inquiring when I expected the expedition would move. Any person who has had much to do with expeditions in the Indian country knows how many and how frequent are the applications made to the commanding officer to obtain employment as scouts or guides. Probably one in fifty of the applicants is deserving of attention, and if employed would prove “worthy of his hire.” Taking but a glance at the young man who addressed me, and believing him to be one of the numerous applicants for employment, my attention being at the time absorbed with other matters, I was in no mood to carry on a conversation which I believed would terminate in an offer of services not desired. I was disposed to be somewhat abrupt in my answers, but there was something in the young man’s earnest manner, the eagerness with which he seemed to await my answers, that attracted and interested me. After a few questions on his part as to what portion of the country I expected to march through, what tribes I might encounter, and others of a similar nature, he suddenly said, “General, I want to go along with you.” This only confirmed my first impression, although from his conversation I soon discovered that he was not one of the professional applicants for employment as a scout or guide, but more likely had been seized with a spirit of wild romance, and imagined the proper field for its display would be discovered by accompanying an expedition against the Indians. Many instances of this kind had previously fallen under my observation, and I classed this as one of them; so I simply informed him that I had already employed as many scouts and guides as were required, and that no position of that character, or any other in fact, was open to him. Not in the least discouraged by this decided refusal, he replied: “But you do not understand me; I do not desire employment in your command, nor any position requiring pay. I only ask permission to
accompany your expedition. I have neither arms nor horse; if you will furnish me these, and permit me to go with you, I will serve you in any capacity I can, and will expect no pay.”
My curiosity was now excited; I therefore pressed him to explain his motive in desiring to accompany the expedition.
“Well, I’ll tell you; it’s a sad story. About four months ago the Indians attacked my home, and carried off my only sister, a girl nineteen years of age. Since that day I have heard not a word as to what has become of her. I know not whether she is among the living or dead; but when I think of what must be her fate if among the living, I am almost tempted to wish she was quietly resting among the dead. I do not even know what tribe was engaged in her capture, but hearing of your expedition I thought it might afford me the means of getting some clue to my sister’s fate. You may have a council with some of the chiefs, or some of the prisoners you captured at the battle of the Washita may tell me something of her; or if I can only learn where she is, perhaps you can exchange some of your prisoners for her; at any rate, the only chance I have to learn anything concerning her is by being permitted to accompany your expedition.”
Of course he was permitted to accompany the expedition; not only that, but he was provided with a horse and arms, and appointed to a remunerative position. I asked him why he had not informed me at first as to his object in desiring to go with us. He replied that he feared that if it was known that he was in search of a lost sister, and we should afterward have interviews with the Indians, as we certainly would at Fort Cobb, he might not be as successful in obtaining information as if the object of his mission was unknown.
The name of this young man was Brewster, and the lost sister in whose search he was so earnestly engaged was Mrs. Morgan, whose capture has already been described. From him I learned that Mrs. Morgan’s husband, although shot down at the first fire of the Indians, was in a fair way to recover, although crippled probably for
life. But for his wounds, he too would have joined the brother in a search for the sister and for his bride, whose honeymoon had met with such a tragic interruption. Young Brewster remained with my command during the entire winter, accompanying it, and every detachment made from it, in the eager hope to learn something of the fate of his sister. In his continued efforts to discover some clue leading to her he displayed more genuine courage, perseverance, and physical endurance, and a greater degree of true brotherly love and devotion, than I have ever seen combined in one person. We will hear from him as the story progresses.
It was decided to send the captives taken at the Washita to Fort Hays, Kansas, where they could not only be safely guarded, but be made far more comfortable than at Camp Supply. Before the expedition moved I suggested to General Sheridan that I should take with the expedition three of the squaws who were prisoners in our hands, with a view to rendering their services available in establishing communication with the hostile villages, if at any time this should become a desirable object. General Sheridan approved of the suggestion, and I selected three of the captives who were to accompany us. The first was Mah-wis-sa, the sister of Black Kettle, whose acquaintance the reader may have formed in the preceding chapter; the second was a Sioux squaw, probably fifty years of age, whom Mah-wis-sa expressed a desire to have accompany her, and who at times was disposed to be extremely communicative in regard to the winter resorts of the various tribes, and other matters connected with the purposes of the expedition. The third was the daughter of Little Rock, the chief second in rank to Black Kettle, who had been killed at the battle of the Washita. Little Rock’s daughter was an exceedingly comely squaw, possessing a bright, cheery face, a countenance beaming with intelligence, and a disposition more inclined to be merry than one usually finds among the Indians. She was probably rather under than over twenty years of age. Added to bright, laughing eyes, a set of pearly teeth, and a rich complexion, her well-shaped head was crowned with a luxuriant growth of the most beautiful silken tresses, rivalling in color the blackness of the
raven, and extending, when allowed to fall loosely over her shoulders, to below her waist. Her name was Mo-nah-se-tah, which, anglicized, means “The young grass that shoots in the spring.” Monah-se-tah, although yet a maiden in years and appearance, had been given in marriage, or, more properly speaking, she had been traded in marriage, as an Indian maiden who should be so unfortunate as to be “given” away would not be looked upon as a very desirable match. In addition to her handsome appearance, both in form and feature, and to any other personal attraction which might be considered peculiarly her own, Mo-nah-se-tah, being the daughter of a chief high in rank, was justly considered as belonging to the cream of the aristocracy, if not to royalty itself; consequently the suitors who hoped to gain her hand must be prepared, according to the Indian custom, to pay handsomely for an alliance so noble. Little Rock, while represented as having been a kind and affectionate father, yet did not propose that the hand of his favorite daughter should be disposed of without the return of a due equivalent.
Among the young warriors of the tribe there were many who would have been proud to call Mo-nah-se-tah to preside over the domestic destinies of their lodge, but the price to be paid for so distinguished an alliance was beyond the means of most of them. Among the number of young braves who aspired to the honor of her hand was one who, so far as worldly wealth was concerned, was eligible. Unfortunately, however, he had placed too much reliance upon this fact, and had not thought that while obtaining the consent of paterfamilias it would be well also to win the heart of the maiden; or perhaps he had, in seeking her hand, also attempted to gain her heart, but not meeting with the desired encouragement from the maiden of his choice, was willing to trust to time to accomplish the latter, provided only he could secure the first. According to Indian customs the consent of the bride to a proposed marriage, while it may be ever so desirable, is not deemed essential. All that is considered absolutely essential is, that the bridegroom shall be acceptable to the father of the bride, and shall transfer to the possession of the latter ponies or other articles of barter, in sufficient
number and value to be considered a fair equivalent for the hand of the daughter. When it is stated that from two to four ponies are considered as the price of the average squaw, and that the price for the hand of Mo-nah-se-tah, as finally arranged, was eleven ponies, some idea can be formed of the high opinion entertained of her.
It proved, however, so far as the young warrior was concerned, an unsatisfactory investment. The ponies were transferred to Little Rock, and all the formalities were duly executed which, by Indian law and custom, were necessary to constitute Mo-nah-se-tah the wife of the young brave. She was forced to take up her abode in his lodge, but refused to acknowledge him as her husband, or to render him that obedience and menial service which the Indian husband exacts from his wife. Time failed to soften her heart, or to cause her to look kindly upon her self-constituted but unrecognized lord and master.
Here was a clear case of “incompatibility of disposition”; and within the jurisdiction of some of our State laws a divorce would have been granted almost unquestioned. The patience of the young husband having become exhausted, and he having unsuccessfully resorted to every measure of kindness deemed likely to win the love and obedience of his wife, he determined to have recourse to harsher measures—if necessary, to employ force. Again he mistook the character of her upon whose apparently obdurate heart neither threats nor promises had produced the faintest effect. Mo-nah-setah had probably been anticipating such a decision, and had prepared herself accordingly. Like most Indian women, she was as skilful in the handling and use of weapons as most warriors are; and when her husband, or rather the husband who had been assigned to her, attempted to establish by force an authority which she had persistently refused to recognize, she reminded him that she was the daughter of a great chief, and rather than submit to the indignities which he was thus attempting to heap upon her, she would resist even to the taking of life; and suiting the action to the word, she levelled a small pistol which she had carried concealed beneath her
blanket and fired, wounding him in the knee and disabling him for life.
Little Rock, learning of what had occurred, and finding upon investigation that his daughter had not been to blame, concluded to cancel the marriage—to grant a divorce—which was accomplished simply by returning to the unfortunate husband the eleven ponies which had been paid for the hand of Mo-nah-se-tah. What an improvement upon the method prescribed in the civilized world! No lawyer’s fees, no publicity nor scandal; all tedious delays are avoided, and the result is as nearly satisfactory to all parties as is possible.
Having sent a messenger to ask the three Indian women referred to to come to my tent, I acquainted them with my intention of taking them with the expedition when we moved in search of the hostile villages. To my surprise they evinced great delight at the idea, and explained it by saying that if they accompanied us they might be able to see or communicate with some of their people, while by remaining with the other prisoners, and becoming further separated from their own country and hunting-grounds, they could entertain little or no hope of learning anything concerning the fate of other portions of their tribe. They gladly acceded to the proposition to accompany the troops. I then inquired of them in which mode they preferred to travel, mounted upon ponies, as was their custom, or in an ambulance. Much to my surprise, remembering how loath the Indian is to adopt any contrivance of the white man, they chose the ambulance, and wisely too, as the season was that of midwinter, and the interior of a closely covered ambulance was a much less exposed position than that to be found on the back of a pony.

LONE WOLF, HEAD CHIEF OF THE KIOWAS.
XVIII.
FORAGE for the horses and mules, and rations for the men, sufficient of both to last thirty days, having been loaded on the wagons, the entire command, composed as previously stated, and accompanied by General Sheridan and staff, left Camp Supply early on the morning of December 7, and turning our horses’ heads southward, we marched in the direction of the battle-ground of the Washita. Our march to the Washita was quiet and uneventful, if we except the loquacity of California Joe, who, now that we were once more in the saddle with the prospect of stirring times before us, seemed completely in his element, and gave vent to his satisfaction by indulging in a connected series of remarks and queries, always supplying the answer to the latter himself if none of his listeners evinced a disposition to do so for him. His principal delight seemed to be in speculating audibly as to what would be the impression produced on the minds of the Indians when they discovered us returning with increased numbers both of men and wagons.
“I’d jist like to see the streaked count’nances of Satanta, Medicine Arrow, Lone Wolf, and a few others of ’em, when they ketch the fust glimpse of the outfit. They’ll think we’re comin’ to spend an evenin’ with ’em sure, and hev brought our knittin’ with us. One look’ll satisfy ’em thar’ll be sum of the durndest kickin’ out over these plains that ever war heern tell uv. One good thing, it’s goin’ to cum as nigh killin’ uv ’em to start ’em out this time uv year as ef we hed an out an’ out scrummage with ’em. The way I looks at it they hev jist this preference: them as don’t like bein’ shot to deth kin take ther chances at freezin’.” In this interminable manner California Joe would pursue his semi-soliloquies, only too delighted if some one exhibited interest sufficient to propound an occasional question.
As our proposed route bore to the southeast after reaching the battle-field, our course was so chosen as to carry us to the Washita river a few miles below, at which point we encamped early in the day. General Sheridan desired to ride over the battle-ground, and we hoped by a careful examination of the surrounding country to discover the remains of Major Elliott and his little party, of whose fate there could no longer be the faintest doubt. With one hundred men of the Seventh Cavalry, under command of Captain Yates, we proceeded to the scene of the battle, and from there dispersed in small parties in all directions, with orders to make a thorough search for our lost comrades. We found the evidences of the late engagement much as we had left them. Here were the bodies, now frozen, of the seven hundred ponies which we had slain after the battle; here and there, scattered in and about the site of the former village of Black Kettle, lay the bodies of many of the Indians who fell during the struggle. Many of the bodies, however, particularly those of Black Kettle and Little Rock, had been removed by their friends. Why any had been allowed to remain uncared for, could only be explained upon the supposition that the hasty flight of the other villages prevented the Indians from carrying away any except the bodies of the most prominent chiefs or warriors, although most of those remaining on the battle-ground were found wrapped in blankets and bound with lariats preparatory to removal and burial. Even some of the Indian dogs were found loitering in the vicinity of the places where the lodges of their former masters stood; but, like the Indians themselves, they were suspicious of the white man, and could hardly be induced to establish friendly relations. Some of the soldiers, however, managed to secure possession of a few young puppies; these were carefully brought up, and to this day they, or some of their descendants, are in the possession of members of the command.
After riding over the ground in the immediate vicinity of the village, I joined one of the parties engaged in the search for the bodies of Major Elliott and his men. In describing the search and its
result, I cannot do better than transcribe from my official report, made soon after to General Sheridan:
“After marching a distance of two miles in the direction in which Major Elliott and his little party were last seen, we suddenly came upon the stark, stiff, naked, and horribly mutilated bodies of our dead comrades. No words were needed to tell how desperate had been the struggle before they were finally overpowered. At a short distance from where the bodies lay, could be seen the carcasses of some of the horses of the party, which had probably been killed early in the fight. Seeing the hopelessness of breaking through the line which surrounded them, and which undoubtedly numbered more than one hundred to one, Elliott dismounted his men, tied their horses together, and prepared to sell their lives as dearly as possible. It may not be improper to add that in describing, as far as possible, the details of Elliott’s fight I rely not only upon a critical and personal examination of the ground and attendant circumstances, but am sustained by the statements of Indian chiefs and warriors who witnessed and participated in the fight, and who have since been forced to enter our lines and surrender themselves up, under circumstances which will be made to appear in other portions of this report.
“The bodies of Elliott and his little band, with but a single exception, were found lying within a circle not exceeding twenty yards in diameter. We found them exactly as they fell, except that their barbarous foes had stripped and mutilated the bodies in the most savage manner.
“All the bodies were carried to camp. The latter was reached after dark. It being the intention to resume the march before daylight the following day, a grave was hastily prepared on a little knoll near our camp, and, with the exception of that of Major Elliott, whose remains were carried with us for interment at Fort Arbuckle, the bodies of the entire party, under the dim light of a few torches held by of sorrowing comrades, were consigned to one common resting place. No funeral note sounded to measure their passage to
the grave. No volley was fired to tell us a comrade was receiving the last sad rites of burial, that the fresh earth had closed over some of our truest and most daring soldiers.
“Before interment, I caused a complete examination of each body to be made by Dr. Lippincott, chief medical officer of the expedition, with direction to report on the character and number of wounds received by each, as well as to mutilations to which they had been subjected. The following extracts are taken from Dr. Lippincott’s report:
“Major Joel H. Elliott, two bullet holes in head, one in left cheek, right hand cut off, left foot almost cut off, ... deep gash in right groin, deep gashes in calves of both legs, little finger of left hand cut off, and throat cut.
“Sergeant-Major Walter Kennedy, bullet hole in right temple, head partly cut off, seventeen bullet holes in back, and two in legs.
“Corporal Harry Mercer, Troop E, bullet hole in right axilla, one in region of heart, three in back, eight arrow wounds in back, right ear cut off, head scalped, and skull fractured, deep gashes in both legs, and throat cut.
“Private Thomas Christer, Troop E, bullet hole in head, right foot cut off, bullet hole in abdomen, and throat cut.
“Corporal William Carrick, Troop H, bullet hole in right parietal bone, both feet cut off, throat cut, left arm broken.
“Private Eugene Clover, Troop H, head cut off, arrow wound in right side, both legs terribly mutilated.
“Private William Milligan, Troop H, bullet hole in left side of head, deep gashes in right leg, ... left arm deeply gashed, head scalped, and throat cut.
“Corporal James F. Williams, Troop I, bullet hole in back; head and both arms cut off, many and deep gashes in back....
“Private Thomas Dooney, Troop I, arrow hole in region of stomach, thorax cut open, head cut off, and right shoulder, cut by a tomahawk.
“Farrier Thomas Fitzpatrick, Troop M, bullet hole in left parietal bone, head scalped, arm broken, ... throat cut.
“Private John Myres, Troop M, several bullet holes in head, scalped, nineteen bullet holes in body, ... throat cut.
“Private Cal. Sharpe, Troop M, two bullet holes in right side, throat cut, one bullet hole in left side of head, one arrow hole in left side, ... left arm broken.
“Unknown, head cut off, body partially destroyed by wolves.
“Unknown, head and right hand cut off, ... three bullet and nine arrow holes in back.
“Unknown, scalped, skull fractured, six bullet and thirteen arrow holes in back, and three bullet holes in chest.”
I have quoted these extracts in order to give the reader an insight of the treatment invariably meted out to white men who are so unfortunate as to fall within the scope of the red man’s bloodthirsty and insatiable vengeance. The report to General Sheridan then continues as follows:
“In addition to the wounds and barbarities reported by Dr. Lippincott, I saw a portion of the stock of a Lancaster rifle protruding from the side of one of the men; the stock had been broken off near the barrel, and the butt of it, probably twelve inches in length, had been driven into the man’s side a distance of eight inches. The forest along the banks of the Washita, from the battle-ground a distance of twelve miles, was found to have been one continuous Indian village. Black Kettle’s band of Cheyennes was above; then came other hostile tribes camped in the following order: Arrapahoes under Little Raven; Kiowas under Satanta and Lone Wolf; the remaining bands of Cheyennes, Comanches, and Apaches. Nothing could exceed the disorder and haste with which these tribes had fled from their
camping grounds. They had abandoned thousands of lodge poles, some of which were still standing, as when last used. Immense numbers of camp kettles, cooking utensils, coffee-mills, axes, and several hundred buffalo robes were found in the abandoned camps adjacent to Black Kettle’s village, but which had not been visited before by our troops. By actual examination, it was computed that over six hundred lodges had been standing along the Washita during the battle, and within five miles of the battle-ground, and it was from these villages, and others still lower down the stream, that the immense number of warriors came who, after our rout and destruction of Black Kettle and his band, surrounded my command and fought until defeated by the Seventh Cavalry about 3 P. M. on the 27th ult.... In the deserted camp, lately occupied by Satanta with the Kiowas, my men discovered the bodies of a young white woman and child, the former apparently about twenty-three years of age, the latter probably eighteen months old. They were evidently mother and child, and had not long been in captivity, as the woman still retained several articles of her wardrobe about her person—among others a pair of cloth gaiters but little worn, everything indicating that she had been but recently captured, and upon our attacking and routing Black Kettle’s camp her captors, fearing she might be recaptured by us and her testimony used against them, had deliberately murdered her and her child in cold blood. The woman had received a shot in the forehead, her entire scalp had been removed, and her skull horribly crushed. The child also bore numerous marks of violence.”
At daylight on the following morning the entire command started on the trail of the Indian villages, nearly all of which had moved down the Washita toward Fort Cobb, where they had good reason to believe they would receive protection. The Arrapahoes and remaining band of Cheyennes left the Washita valley and moved across in the direction of Red river. After following the trail of the Kiowas and other hostile Indians for seven days, over an almost impassable country, where it was necessary to keep two or three hundred men almost constantly at work with picks, axes, and
spades, before being able to advance with our immense train, my Osage scouts came galloping back on the morning of the 17th of December, and reported a party of Indians in our front bearing a flag of truce.
It is to this day such a common occurrence for Indian agents to assert in positive terms that the particular Indians of their agency have not been absent from their reservation, nor engaged in making war upon the white men, when the contrary is well known to be true, that I deem it proper to introduce one of the many instances of this kind which have fallen under my observation, as an illustration not only of how the public in distant sections of the country may be misled and deceived as to the acts and intentions of the Indians, but also of the extent to which the Indian agents themselves will proceed in attempting to shield and defend the Indians of their particular agency. Sometimes, of course, the agent is the victim of deception, and no doubt conscientiously proclaims that which he firmly believes; but I am forced by long experience to the opinion that instances of this kind are rare, being the exception rather than the rule. In the example to which I refer, the high character and distinction as well as the deservedly national reputation achieved by the official then in charge of the Indians against whom we were operating, will at once absolve me from the imputation of intentionally reflecting upon the integrity of his action in the matter. The only point to occasion surprise is how an officer possessing the knowledge of the Indian character, derived from an extensive experience on the frontier, which General Hazen could justly lay claim to, should be so far misled as to give the certificate of good conduct which follows. General Hazen had not only had superior opportunities for studying the Indian character, but had participated in Indian wars, and at the very time he penned the following note he was partially disabled from the effects of an Indian wound. The Government had selected him from the large number of intelligent officers of high rank whose services were available for the position, and had assigned him with plenary powers to the superintendency of the Southern Indian District, a position in which almost the entire