Border
Ecology: Art and Environmental Crisis at the Margins Ila Nicole Sheren
https://ebookmass.com/product/border-ecology-art-and-environmentalcrisis-at-the-margins-ila-nicole-sheren/
ebookmass.com
Contentslistsavailableat ScienceDirect
AppliedSurfaceScience
journalhomepage: www.elsevier.com/locate/apsusc
MorphologycontrolledsynthesisofCo(OH)2/TiO2 p-nheterojunction photoelectrodesforefficientphotocathodicprotectionof304stainlesssteel
XiayuLua,b,LiLiua,c,⁎,JianwenGec,YuCuia,FuhuiWanga,c
a ShenyangNationalLaboratoryforMaterialsScience,InstituteofMetalResearch,ChineseAcademyofSciences,Shenyang110016,China
b SchoolofMaterialsScienceandEngineering,UniversityofScienceandTechnologyofChina,Shenyang110016,China
c KeyLaboratoryforAnisotropyandTextureofMaterials(MinistryofEducation),SchoolofMaterialsScienceandEngineering,NortheasternUniversity,Shenyang 110819,China
ARTICLEINFO
Keywords:
P-nheterojunction
Co(OH)2/TiO2
Morphology
Build-inelectricfield
Photocathodicprotection
ABSTRACT
Flower-likeandbulk-likeCo(OH)2-modifiedTiO2 p-nheterojunctionsweresuccessfullyfabricatedbyasolvothermalmethod.Differentmorphologiesresultedindifferenceinthephotoelectrochemicalperformance;as revealedbytheexperimentalresults,flower-likeCo(OH)2 microsphere-modifiedTiO2 showedanarrower bandgap,anupwardlyshiftedconductionband(CB),andafasterseparationandmigrationofinterfacialcarriers thanbulk-likeCo(OH)2.Furthermore,flower-likeCo(OH)2 microsphere-modifiedTiO2 photoelectrodeshoweda ratherlowphotogeneratedpotentialof−0.53Vin3.5wt%NaClsolution,whichprovidedeffectivephotocathodicprotectionfor304stainlesssteel(304SS).TheexcellentphotoelectrochemicalperformanceofflowerlikeCo(OH)2 microsphere-modifiedTiO2 photoelectroderesultsinconsiderableapplicationprospectsofthese electrodesasphotoanodematerialsforphotocathodicprotection.
1.Introduction
Asakindofadvancedoxidationtechnology,photocatalytictechnologyiswidelyusedinwatersplitting [1–3],solarcells [4,5],supercapacitors [6,7],pollutantdegradation [8–10],andphotocathodic protection [11–13].Amongthedifferentkindsofadvancedoxidation technologies,photocathodicprotectionisagreen,economic,andenvironmentallyfriendlycorrosiveprotectiontechnology.Asaphotoelectricmaterial,TiO2 hasattractedmuchattentionduetoitsgood stability,environmentalfriendliness,andlowcost [14,15].However,its applicationishighlylimitedduetoitswidebandgap(e.g.,3.2eVfor anatase,whichmeansitcanonlybeexcitedbyultravioletlight)andthe lowutilizationratioofsolarlight [16,17].Inaddition,therapidrecombinationofphotogeneratedchargecarriersisanotheraspectlimitingtheapplicationofTiO2 [18].
Toovercometheseobstacles,manystrategies,suchascompounding withmetalsemiconductors [12,19],surfacemodification [13,20],and doping [21],havebeenusedtoenhancethephotocatalyticperformance ofTiO2.Inparticular,surfacemodificationwithcobalt-basedcocatalystseffectivelyimprovedthephotoelectrochemicalperformanceof TiO2.Amongthedifferentcobalt-basedcocatalysts,Co(OH)2 hasbeen
widelyusedinwatersplitting [22,23],supercapacitors [24,25],andits morphologyisaffectedbydifferentpreparationmethods.Yuanetal. [26] preparedmesoporousCo(OH)2 nanosheetswithhighcatalytic activityforperoxymonosulfateonNifoambyafacileelectrodeposition approach.Lietal. [22] successfullyloadedCo(OH)2 nanoparticlesonto BiVO4 viaasolutionimpregnationmethodforsolarwatersplittingand achievedaremarkableenhancementinthephotoelectrochemicalperformance.Cheetal. [24] depositedCo(OH)2 nanosheetsontoMnCo2O4 nanorodstoformacore–shellheterostructureelectrodewithhigh electrochemicalperformanceusedinsolid-stateasymmetricsupercapacitors.Co(OH)2 cansignificantlyenhancethecatalyticperformanceofTiO2 byprovidingoxidativehalf-reactionsitesandacceleratingtheoxygenevolutionkineticsbecauseofitshighsurfacearea andfastinterfacecarriertransferrate [27,28].AlthoughtheCo(OH)2/ TiO2 photocatalyticsystemhasbeeninvestigatedforphotocathodic protection [13],itstillcannotmeetthepracticalapplicationrequirementsbecauseofitshighphotogeneratedprotectionpotential.Inaddition,itisalsonotclearwhetherthemorphologychangeofCo(OH)2 canfurtherimprovetheperformanceofphotocathodicprotectionof TiO2.
Inthiswork,twodifferentmorphologiesofCo(OH)2-modifiedTiO2
⁎ Correspondingauthorat:ShenyangNationalLaboratoryforMaterialsScience,InstituteofMetalResearch,ChineseAcademyofSciences,Shenyang110016, China.KeyLaboratoryforAnisotropyandTextureofMaterials(MinistryofEducation),SchoolofMaterialsScienceandEngineering,NortheasternUniversity, Shenyang110819,China.
E-mailaddress: liuli@mail.neu.edu.cn (L.Liu).
https://doi.org/10.1016/j.apsusc.2020.148002
Received19August2020;Receivedinrevisedform22September2020;Accepted25September2020
Availableonline30September2020
0169-4332/©2020ElsevierB.V.Allrightsreserved.
heterojunctionswerepreparedbythesamemethodbyadjustingthe amountofsoluteinasolvothermalmethod.UV–visabsorptionspectra, Mott-Schottky(M−S)plots,electrochemicalimpedancespectra(EIS), photogeneratedpotential-time(E-t),photocurrentdensity-time(I-t), photogenerated I-E,andTafelcurveswerethoroughlyinvestigated.As indicatedbytheexperimentalresults,flower-likeCo(OH)2 microsphere-modifiedTiO2 heterojunctionphotoelectrodeshowedbetter photoelectrochemicalandphotocathodicprotectionperformancesthan bulk-likeCo(OH)2.Inaddition,thephotocathodicprotectionperformanceofflower-likeCo(OH)2 microsphere-modifiedTiO2 heterojunctionphotoanodecoupledwith304SSwasfurtherinvestigated.Theinfluenceofmorphologyonthephotoelectrochemicalperformancewas discussed.
2.Materialandmethods
2.1.Materials
Ammoniumfluoride(NH4F,AR),cobalt(II)acetatetetrahydrate(Co (CH3COO)2·4H2O,AR),sodiumchloride(NaCl,AR),sodiumsulfate (Na2SO4,AR),polyvinylpyrrolidone(PVP,GR),ethyleneglycol (C2H6O2,AR),andabsoluteethanol(C2H5OH,AR)wereobtainedfrom SinopharmChemicalReagentCo.,Ltd(Shanghai,China).Allchemicals wereusedasreceivedwithoutfurtherpurification.Deionizedwater wasusedthroughouttheinvestigation.
2.2.SynthesisofCo(OH)2 powder
ThepureCo(OH)2 powderwassynthesizedbyasolvothermal methodasfollows.First,0.7g(0.75g)Co(CH3COO)2·4H2Owasdispersedin20mlC2H6O2 solventundercontinuousstirringforapproximately1h.Then,0.04g(0.045g)PVPwasslowlyaddedtothe mixture,whichwasthenstirredfor1htoobtainauniformsolution. Afterwards,theobtainedmixturewastransferredtoa50mlsealed Teflonreactor,andthereactionwascarriedoutat180°Cfor24h.After coolingtoroomtemperature,theprecipitateswerefilteredandwashed withdeionizedwaterandethanolseveraltimes,anddriedinavacuum ovenat60°Cfor12h.Co(OH)2 powdersmadewithdifferentconcentrationsofCo(CH3COO)2·4H2OandPVPweredenotedasCo(OH)2PVP-LowandCo(OH)2-PVP-High.
2.3.SynthesisofTiO2 andCo(OH)2-surfacemodifiedTiO2 nanotubearray films
TiO2 nanotubearraysonTifoilsubstrateweresynthesizedbya traditionalanodicoxidationmethod [29]
TwokindsofCo(OH)2-surfacemodifiedTiO2 nanotubearrayfilms werepreparedbyadjustingtheparametersinthesolvothermalmethod asfollows.Co(CH3COO)2·4H2O(0.7g,0.75g)wasdispersedin20ml C2H6O2 solventundercontinuousstirringforapproximately1h.Then, PVP(0.04g,0.045g)wasaddedslowlytothesolution,whichwas stirredfor1h.AftertheTiO2-coatedTifoil(TiO2/Ti)wasvertically placedinthereactor,themixedsolutionwastransferredintothereactor,andthereactionwascarriedoutat180°Cfor24h.Finally,the modifiedTiO2/Tifoilwasremovedandrepeatedlyrinsedwithdeionizedwateraftercoolingtoroomtemperature.Asaresult,Co(OH)2/ TiO2 madewithdifferentconcentrationsofCo(CH3COO)2·4H2Oand PVPwereobtainedanddenotedasFlower-C/TandBulk-C/Taccording totheirmorphology,asshownin Fig.1
2.4.Characterizationtechniques
Thesurfacemorphologyofthesampleswasobservedusingscanningelectronmicroscopy(SEM,INSPECTF50,FEI,USA).The Brunauer-Emmett-Teller(BET)surfaceareaofthepowderswasanalyzedbytheN2 adsorption–desorptionmethodat77Kwith
pretreatmentat180°Cafterdegassingfor12hwithanASAP2020 instrument(Micromeritics,USA),TiO2,Bulk-C/T,andFlower-C/T powderswereobtainedbygentlyscrapingoffthefilmsfromthesurface ofthesubstrate,andtestedtheBETsurfaceareaswithoutgrinding.The crystallinestructuresofthesampleswereobtainedwithanX’pertX-ray diffractometer(XRD,X’pertPRO,Panalytical,Netherlands)withCu-Kα radiation,andthescanratewassetto10°min−1.Thesurfacechemical compositionandelementalvalencestatesweredeterminedusingX-ray photoelectronspectroscopy(XPS,ESCALAB250,ThermoVG,USA)with Al-KαradiationastheX-raysource.TheopticalpropertieswereidentifiedbyaUV–visspectrophotometer(U3900,HITACHI,Japan)with wavelengthsrangingfrom200to800nm.
2.5.Photoelectrochemicalmeasurements
Thephotoelectrochemicalmeasurementswereperformedatroom temperaturewithapotentiostatAutolabPGSTAT302N(Metrohm Autolab,TheNetherlands),allmeasurementswerestartedafterthe opencircuitpotential(OCP)valuestabilized.A300WXelampwas usedasthelightsource(PLS-SXE300,BeijingPerfectLightCo.,Ltd.) withapowerenergydensityof100mWcm−2.M−Splots,EIS,photogenerated E-t, I-t,and I-E curvesweremeasuredbyathree-electrode system.Thephotoelectrode(preparedaccordingtopreviouswork [30]),Ptfoil,andaKCl-saturatedsilver/silverchlorideelectrode(Ag/ AgCl)servedastheworkingelectrode,counterelectrode,andreference electrode,respectively.TafelandOCP-timecurveswerealsoobtained withthethree-electrodesystem,inwhichtheworkingelectrodewasthe photoelectrodecoupledwith304SS.TheM−Splotswereacquired from−0.5to1.5Vatascanrateof25mVs−1 andafrequencyof 1000HzwithanACvoltagemagnitudeof10mV.TheEISstudywas carriedoutatfrequenciesfrom100kHzto0.01Hzusing ZSimpWin3.50softwaretoanalyzethedata.Thephotogenerated I-E characteristicswereacquiredfrom−0.8to0.8Vatascanrateof 20mVs−1.Exceptforthephotogenerated I-E curves,allphotoelectrochemicaltestswerecarriedoutin3.5wt%NaClsolutionwith3 repetitions.Thephotogenerated I-E curveswereacquiredin0.1M Na2SO4 solutionandcomparedwithpreviousresearch.Tafelcurves wereobtainedatascanrateof0.333mVs−1
3.Resultsanddiscussion
3.1.Characterization
ThemicromorphologiesoftheTiO2 nanotubearraysandthetwo preparedCo(OH)2/TiO2 sampleswereanalyzedbySEM,asshownin Fig.1 Fig.1ashowsthetop-viewandcross-sectionalview(insetin Fig.1a)oftheunmodifiedTiO2 nanotubearrays.TheunmodifiedTiO2 nanotubearrayspreparedbyanodizationwerewell-orderedwithan averageinnerdiameterofapproximately100nm.Thelengthofthe unmodifiedTiO2 nanotubearrayswasapproximately16.8μm,which wasconsistentwithapreviousstudy [30].Thiskindofnanotube structurecanprovidealargesurfacearea,whichisbeneficialtoCo (OH)2 nucleationandgrowth [14,31].ThemorphologyofCo(OH)2 varieswiththedifferenttreatmentparametersofchangingconcentrationofsoluteused.Co(CH3COO)2·4H2OandPVPcontrolnucleation, crystalgrowthandthusaffectthemorphologyofCo(OH)2 [32,33]. Therefore,twoCo(OH)2-modifiedTiO2 filmswithdifferentmorphologieswereprepared:thefirstoneshoweda3Dhierarchicalflower-like microspherestructurewithadiameterofapproximately2.4μm,as shownin Fig.1b,whichwascomposedofnumerousself-assembled2D ultrafinenanoflakeswithathicknessofapproximatelyonly35nm;the secondoneadoptedthebulkshapeshownin Fig.1c,whichwasthicker andshowedastep-likestructurewithsmallporesonthesurface.
Inphotoelectrodematerials,thesurfaceareaisakeyfactorwhich highlyaffectstheirlightabsorptionandphotocatalyticactivity.N2 adsorptionanddesorptionisothermsareshownin Fig.2,allthe
Fig.1. SEMimagesofTiO2 nanotubearrays(a),Flower-C/T(b),andBulk-C/T(c).
Fig.2. N2 adsorption-desorptionisothermsofCo(OH)2-PVP-High,Co(OH)2PVP-Low,TiO2,Bulk-C/T,andFlower-C/T.
samplesshowedthetypicalIVtypeisotherms.TheBETspecificsurface areas(SBET)ofCo(OH)2-PVP-HighandCo(OH)2-PVP-Lowpowdersobtainedbyasolvothermalmethodwerecalculatedtobe20.84and 58.12m2 g−1,respectively,asshownin Fig.2a.Itwasassumedthat flower-likeCo(OH)2 withalarger SBET couldprovidemoresurfaceactivesitesandfacilitatecarriertransferduringthephotoelectrochemical process.Moreover,the SBET ofCo(OH)2-PVP-Lowwasmuchhigherthan thatoftheTiO2 nanotubes(31.30m2 g−1),whileCo(OH)2-PVP-High hadamuchlower SBET.AftercombiningwithTiO2 nanotubes,the SBET ofFlower-C/TdecreasedcomparedwiththatofpureCo(OH)2-PVPLow,butitwasstillhigherthanthoseofTiO2 andBulk-C/T.Inaddition,thesurfaceareasoftheCo(OH)2/TiO2 photoelectrodesmainly dependedonthesurfaceareaofflower-likeandbulk-likeCo(OH)2 becausethesurfaceofTiO2 nanotubeswascompletelycoveredwithCo (OH)2,asshownin Fig.1.Thus,comparedwithbulk-likeCo(OH)2,the largerBETsurfaceareaoftheflower-likeCo(OH)2 mightbefavorable toitsphotocatalyticactivityduetoahighernumberofavailablesurface activesites.
Asshownin Fig.3,powderXRDwasconductedtoverifythecrystallinephaseofthepreparedsamples.TheclearandsharppeaksofTiO2 at25.3°,37.8°,47.9°,53.8°,54.8°,and62.6°canbeattributedtothe (101),(004),(200),(105),(211),and(204)planesofanataseTiO2 (JCPDSNo.21–1272),indicatingthattheTiO2 nanotubeswerecrystalline.Thediffractionpeaksat10.3°,20.9°,and33.3°wereattributed tothe(003),(006),and(012)latticeplanesinCo(OH)2-PVP-Highand Co(OH)2-PVP-Low,whichwereassignedtoα-Co(OH)2 ofthehydrotalcite-likestructure(JCPDSNo.46–0605) [34,35].Themaincharacteristic(003)peakofα-Co(OH)2 wasdetectedintheBulk-C/Tand Flower-C/Tsamples,demonstratingthatα-Co(OH)2 wassuccessfully
Fig.3. XRDimagesofTiO2 (a),Bulk-C/T(b),Flower-C/T(c),Co(OH)2-PVPHigh(d),andCo(OH)2-PVP-Low(e).
formedonthesurfaceofTiO2.Additionally,theintensityofthe(003) diffractionpeakwasmuchlowerintheBulk-C/TandFlower-C/T, whichconfirmedtheextremelywell-orientedassemblyofα-Co(OH)2 crystalsonTiO2 [34].
Thechemicalcompositionandvalencestateofelementsonthe surfaceofallsampleswasobtainedbyXPS.Thesurveyspectrumof unmodifiedTiO2 wasmainlycomposedofTiandOelements,asshown in Fig.4a,thehigh-resolutionspectraofTi2pcanbedividedintotwo peaksat458.5and464.2eV,correspondingtoTi2p3/2 andTi2p1/2, respectively.TheTi2pspectrashownin Fig.4bwereattributedtothe Ti4+ inTiO2 nanotubecrystals [13,27,36].ThespectrumofCo2pin Bulk-C/T,asshownin Fig.4c,containedpeakscenteredat781.0and 796.8eV,whichcouldbeassignedtoCo2p3/2 andCo2p1/2,respectively,andwereidentifiedasthemajorbindingenergyofCo2+ inCo (OH)2 [13,22,37].Furthermore,thebindingenergypeaksofCo2p3/2 andCo2p1/2 inFlower-C/Tshowedapositiveshiftcomparedwith thoseofBulk-C/T.Theshiftinthebindingenergyindicatedmore chargeredistribution,probablyduetoastrongerelectroninteractionat theinterfaceofflower-likeCo(OH)2 microspheresandTiO2 nanotubes inFlower-C/T,whichcoulddramaticallyimprovethecatalyticactivity [2,38,39].Additionally,TipeaksofBulk-C/Twerenotobservedinthe surveyspectra(Fig.4a),indicatingthatthebulk-likeCo(OH)2 layer formedonTiO2 wasthickanddense.Thethickbulk-likeCo(OH)2 may influencethephotocatalyticperformanceofthesamplebecauseTiO2 wasbarelyexposedtothesolution.
3.2.Photoelectrochemicalperformances
ToexploretheinfluenceofthedifferentmorphologiesofCo(OH)2 ontheopticalabsorptionpropertiesofTiO2,theUV–visabsorption spectraofTiO2 andtwoCo(OH)2-modifiedTiO2 filmswithdifferent
Fig.4. XPSsurveyspectra(a),high-resolutionXPSspectraofTi2pinTiO2 (b),andCo2pinBulk-C/TandFlower-C/T(c).
Fig.5. UV–visabsorptionspectraofTiO2,Bulk-C/T,andFlower-C/T.
morphologiesweremeasured(Fig.5).Theopticalabsorptionthreshold oftheunmodifiedTiO2 wasapproximately396nm,correspondingtoa bandgapenergyof3.13eV.Bulk-C/TandFlower-C/Tshowedslight redshiftsoftheabsorptionedgeat412and430nm,correspondingto bandgapenergiesof3.01and2.88eV,respectively.Inaddition,both Co(OH)2-modifiedTiO2 filmsshowedstrongabsorptionpeaksinthe visibleregion,whichmaybeattributedtothevisiblelightabsorptionof Co(OH)2 [27,32].Therefore,Co(OH)2 surfacemodificationcannotonly narrowthebandgapbutalsoincreasethevisiblelightabsorptionintensityofTiO2.ComparedwithBulk-C/T,Flower-C/Tshowedahigher visiblelightabsorptionandproducedmorephotogeneratedelectrons andholes,thusincreasingthephotocatalyticperformance.
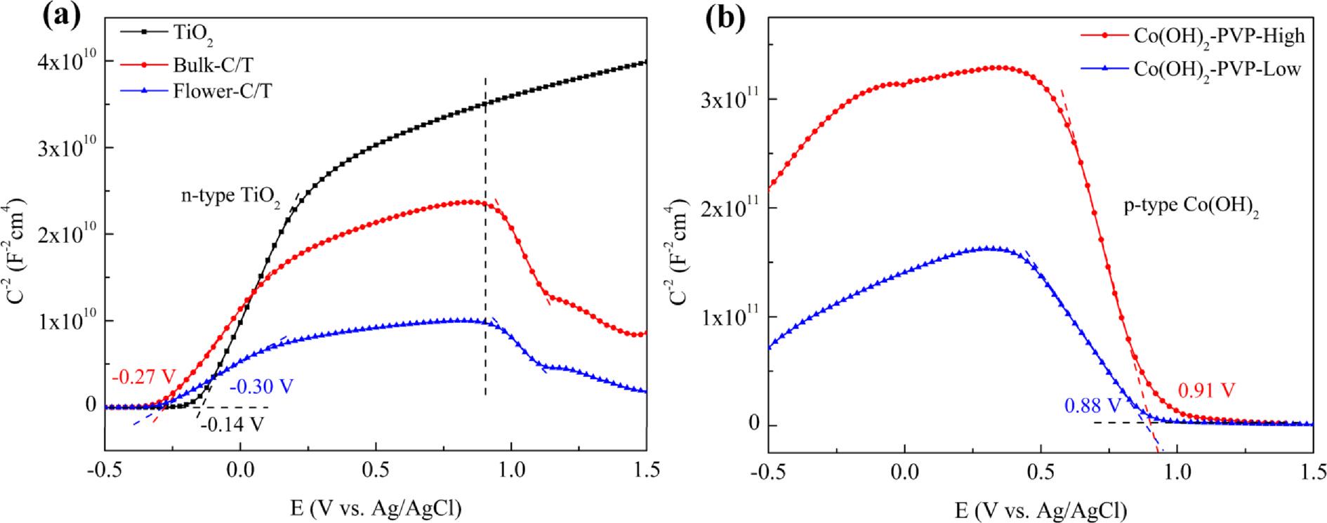
M−Splotswereobtainedtoqualitativelyanalyzetheconductivity types,electronicflat-bandpotential(Efb),andcarrierdensity(ND)ofthe obtainedsemiconductorfilms,andtheresultsareshownin Fig.6.The M−SplotofTiO2 nanotubeshadapositiveslope,reflectingthen-type natureofTiO2 semiconductor.Aftermodificationbythetwokindsof Co(OH)2 layers,theM−Splotsshowedanegativepart,whichreflects thesemiconductorpropertiesoftheCo(OH)2 layer [40].TheM−Splots ofpureCo(OH)2 preparedbydifferenttreatmentparameters,asshown in Fig.6b,alsoindicatedthep-typenatureoftheCo(OH)2 semiconductor.BothkindsoftheCo(OH)2 surface-modifiedTiO2 films showedan“invertedV-shape”withbothpositiveandnegativeslopes, suggestingacoexistenceofn-andp-typesemiconductorcharacteristics. Thisresultconfirmedtheformationofap-nheterojunction,which leadstotheformationofaninnerelectricfieldatthep-ninterface.The formationofap-nheterojunctionelectricfieldcouldenhancethemigrationofelectronsandholesintheoppositedirectionandleadtoa betterseparationofphotogeneratedchargecarriers [17,41,42].FollowingtheM−Sequationforann-typesemiconductor [43,44]:
, E, Efb, k,and T representthespacecharge capacitance,chargecarrierdensity,relativepermittivityofthesemiconductor(48foranataseofTiO2 [44,45]),permittivityoffreespace (8.854×10−14 F/cm),electroniccharge(1.602×10−19 C),applied potential,flatbandpotential,Boltzmannconstant(1.38×10−23 J/K), andabsolutetemperature,respectively.
The Efb valuesofTiO2,Bulk-C/T,andFlower-C/Twereestimatedto be−0.14,−0.27,and−0.30Vvs.Ag/AgCl,whichwereobtained fromthehorizontalinterceptaccordingtoEq. (1).Thehighest Efb ofthe Flower-C/Tindicatedthatithadthelargestdrivingforcetofacilitate theelectrontransferfromthesemiconductortothesolutionandpromotedtheseparationofthephotogeneratedelectronsandholessince the Efb ofann-typesemiconductorisapproximatelyequaltotheFermi level [46,47].ConsideringthedifferencebetweentheCBpotentialand Efb (-0.2V)andthedifferencebetweenAg/AgClandthenormalhydrogenelectrode(NHE)(0.19V),theCBpotentialsofTiO2,Bulk-C/T, andFlower-C/Twereapproximately−0.14,−0.27,and−0.30Vvs. NHE.AccordingtothebandgapdatafromtheUV–visabsorption spectra,theestimatedvalenceband(VB)potentialsofthesampleswere 2.99,2.70,and2.64Vvs.NHE,respectively(asshownin Fig.12). Therefore,theflower-likeCo(OH)2 microspherescouldadjusttheband structureofTiO2 andcauseanupwardshiftinVBandCB,whichis beneficialtoimprovingthephotoelectrochemicalperformance.AsindicatedbyEq. (2),the ND ofann-typesemiconductorisinversely proportionaltotheslopeinthelinearrangeoftheM−Splot [48,49] The ND ofTiO2,Bulk-C/T,andFlower-C/Twerecalculatedtobeapproximately4.48×1019,7.70×1019,and17.42×1019 cm−3,respectively.Thehighest ND ofFlower-C/Tindicatedthatthecarrier transferofFlower-C/TwasfasterthanthatofTiO2 andBulk-C/T,which finallyresultsinenhancedphotoelectrochemicalperformances.
EISwascarriedoutundersimulatedsunlightirradiationtofurther investigatethekineticsofthetransferefficiencyofthephotogenerated electronsandholesintheobtainedphotoelectrodes,asshownin Fig.7, thefittingparametersarelistedin Table1. Fig.7ashowstheNyquist plots,whicharesimulatedbyequivalentcircuits(inset Fig.7a) [11,36] Flower-C/T(1025Ωcm2)showedthesmallestchargetransferresistance(Rct)comparedtoBulk-C/T(1554Ωcm2)andTiO2 (4609Ωcm2).Furthermore,Flower-C/Talsohadthesmallest|Z|0.01Hz, asshownin Fig.7b.Thesmallest Rct and|Z|0.01Hz ofFlower-C/Tphotoelectrodeindicatedthehighestseparationandmigrationofinterfacial chargepairs [50,51].Thiscanbeattributedtotheabundantactivesites andtheformationofaheterojunctionelectricfieldbetweentheflowerlikeCo(OH)2 microspheresandtheTiO2 nanotubearrays,whichcan
Fig.6. M–SplotsofTiO2,Bulk-C/T,andFlower-C/T(a),Co(OH)2-PVP-HighandCo(OH)2-PVP-Low(b).
facilitatethediffusionofionsandincreasetheconductivityofthe electrode.AsindicatedbytheM−SandEISresults,different morphologiesofCo(OH)2 stronglyaffectedtheseparationandmigrationofphotogeneratedcarriers,whichinfluencedthephotocatalytic performance.
Additionally,theFlower-C/Tphotoelectrodehadanexcellentphotoelectricresponse.Asindicatedbythephotogenerated I-E curves shownin Fig.8a,allelectrodesshowedaphotoelectricresponseunder simulatedsunlightillumination.TheFlower-C/Tphotoelectrodehada photocurrentdensityofapproximately0.5mAcm−2,whichwas2and 5timesgreaterthanthatoftheBulk-C/TandTiO2 photoelectrodes, respectively.Thephotogenerated I-t curvesshownin Fig.8bfurther confirmedthisresult.ThehighestphotocurrentdensityofFlower-C/T indicatedthefastestphotogeneratedelectrontransferfromFlower-C/T tothePtelectrodeasaresultofthemostefficientphotogenerated electronsandholesseparation [11,52].
Inaddition,photogenerated E-t curvesofthephotoelectrodeswere acquiredunderchoppedsimulatedsunlightillumination,asshownin Fig.9.Thephotoelectrodeswereusedastheworkingelectrodeto evaluatethephotoelectrochemicalperformanceofthephotocatalytic materialsthemselves.Thephotogeneratedpotentialsofunmodified TiO2,Bulk-C/T,andFlower-C/Twere−0.25,−0.47,and−0.53Vvs. Ag/AgCl,respectively.TheFlower-C/Tphotoelectrodehadthemost negativepotentialwithoutillumination,whichwasmuchlowerthan thatofTiO2 andBulk-C/T.Thus,theresultsobtainedfromthe
photogenerated I-E, I-t,and E-t curvesalldemonstratedthattheFlowerC/Tphotoelectrodehadabetterphotoelectrochemicalperformance thanBulk-C/T,theresultsrevealedthestructuraladvantageofthe flower-likeCo(OH)2 microsphere-modifiedTiO2 heterostructurefor improvingthephotoelectrochemicalperformance.
3.3.Photocathodicprotectionperformance
TostudytheeffectivephotocathodicprotectionoftheCo(OH)2/ TiO2 heterojunction,Tafelcurvesofthebare304SSelectrode,the 304SScoupledwithTiO2,Bulk-C/T,andFlower-C/Twithorwithout illuminationwereinvestigated(Fig.10).Theelectrochemicalparametersareshownin Table2.Thecorrosionpotential(Ecorr)valueof 304SScoupledwithTiO2,Bulk-C/T,andFlower-C/Tphotoelectrodes allshowednegativeshiftsunderillumination.Anegativeshiftof Ecorr indicatesthatthephotoelectrodescanprovidecathodicprotectionfor 304SSunderillumination.Moreover,304SScoupledwiththeFlowerC/Tphotoelectroderesultedinthemostnegativeshiftof Ecorr compared withBulk-C/TandTiO2,indicatingthattheFlower-C/Tphotoelectrode providedthemosteffectivephotocathodicprotectionfor304SS.ComparedwithBulk-C/TandTiO2,304SScoupledwiththeFlower-C/T photoelectrodeshowedthehighest Icorr regardlessofillumination,indicatingthatFlower-C/Tphotoelectrodegeneratedthehighestnumber ofphotogeneratedelectrons.Inaddition,the Ecorr of304SScoupled Bulk-C/TandFlower-C/Tphotoelectrodeswerealllowerthanthatof

Fig.7. Nyquist(a)andBode(b)plotsofTiO2,Bulk-C/T,andFlower-C/Tphotoelectrodes.Inset(a):Anequivalentcircuitimpedancediagram.
Table1
EISsimulatedvaluesofTiO2,Bulk-C/T,andFlower-C/Tphotoelectrodes. Samples
Fig.8. Photogenerated I-E (a)and I-t (b)curvesofTiO2,Bulk-C/T,andFlower-C/Tphotoelectrodesunderchoppedillumination.
Fig.9. Photogenerated E-t curvesofTiO2,Bulk-C/T,andFlower-C/Tphotoelectrodesunderchoppedillumination.
the304SSelectrodewithoutillumination,implyingthatbothphotoelectrodescanprovideeffectivecathodicprotectionfor304SSevenin darkconditions.
Tofurtherstudythephotocathodicprotectionandstabilityofthe Flower-C/Tphotoanode,theOCPoftheFlower-C/Tphotoanodecoupledwitha304SSelectrodeastheworkingelectrodewasinvestigated in3.5wt%NaClsolution,andtheresultsareshownin Fig.11 (the dottedlinerepresentsthe Ecorr of304SSin3.5wt%NaClsolution).The OCPdramaticallydecreasedto−0.52Vvs.Ag/AgClunderillumination,indicatingthatthephotogeneratedelectronstransferredrapidly fromthephotoanodetothecoupled304SS.Furthermore,thepotential recoveredslowlytoapproximately−0.38Vvs.Ag/AgClafterthelight wasturnedoffbecauseoftherecombinationofthephotogenerated electronsandholes [19,53].Duetotheformationofaheterojunction electricfield,thepotentialwasstilllowerthanthe Ecorr (-0.17Vvs.Ag/
Fig.10. Tafelcurvesofthebare304SSelectrode,304SScoupledwithTiO2, Bulk-C/T,andFlower-C/Tphotoelectrodeswithorwithoutillumination.
Table2
ElectrochemicalparametersobtainedbytheTafelcurvesofthebare304SS, 304SScoupledwithTiO2,Bulk-C/T,andFlower-C/Tphotoelectrodeswithor withoutillumination.
Samples E
Fig.11. OpencirclepotentialcurveoftheFlower-C/Tphotoanodecoupled withthe304SSelectrodeina3.5wt%NaClsolution.
AgCl)of304SS.Therapidrecombinationofphotogeneratedelectrons andholeswassuppressed,therebyprovidingsustainedprotectioneven withoutilluminationforagiventime.Therefore,thephotocathodic protectionfromtheFlower-C/Tphotoanodecouldbesustainedwithor withoutilluminationforacertainperiod [54].Basedontheaboveresults,itcanbeconcludedthatflower-likeCo(OH)2 microsphere-modifiedTiO2 photoanodescouldprovideeffectiveandstablephotocathodicprotectionfor304SS.Thisphenomenonisprobablyduetothe flower-likemicrospherestructurethatcanprovidemoreactivesitesand formamoreeffectiveheterojunctionelectricfieldwithTiO2 thana bulk-likestructure,promotingtheseparationefficiencyofphotogeneratedelectronsandholesandincreasingthetransferrateofinterfacialchargecarriers.
3.4.DiscussionaboutthesurfacemodificationeffectofdifferentCo(OH)2 morphologies
Basedontheaboveexperimentalresults,themorphologyofthe modifiedCo(OH)2 layeronTiO2 affecteditsphotoelectrochemical performance.Aflower-likestructurecomposedofultrafinenanoflakes wasfavorabletotheformationofoxygenvacanciesduringthereductionprocess,whichwouldsubstantiallyimprovethephotocatalytic performance [41,55].Duetoitslargerspecificsurfaceareaandnanoscalemicrostructure,flower-likeCo(OH)2 showedagreatercatalytic effectandimprovedthephotoelectrochemicalperformanceofTiO2 nanotubes.Thus,flower-likeCo(OH)2 microspheresweremoreefficient inmodifyingthesurfaceofTiO2 nanotubesthanbulk-like,although bothofthephotoelectrodesformedp-nheterojunctions.Apossible mechanismforthesignificantlyenhancedphotocathodicprotection performanceoftheFlower-C/Tphotoanodewasproposedandschematicallydepictedin Fig.12.Co(OH)2 andTiO2 canbothabsorbphotonstogeneratephotogeneratedelectronsandholesundersimulated sunlightirradiation.ThephotogeneratedholesintheVBofTiO2 are transferredtothatofCo(OH)2.Meanwhile,thephotogeneratedelectronsintheCBofCo(OH)2 aretransferredtothatofTiO2 andthen transferredtothesurfaceof304SS,whichleadstothecathodicpolarizationof304SS.Acceleratedtransportofphotogeneratedelectrons fromtheCBofTiO2 tothesurfaceof304SSoccursbecauseofthe formationofap-nheterojunctionelectricfield.Moreover,Flower-C/T exhibitedanarrowerbandgapwithanupwardlyshiftedCBcompared withthatofBulk-C/T.Thus,astrongerinnerp-nheterojunctionelectric fieldwasformedwhenp-typeCo(OH)2 andn-typeTiO2 contactedeach other.Inaddition,thestrengthenedinnerelectricfieldinthep-n homojunctionofFlower-C/Tcanfurtheracceleratetheseparationof photogeneratedchargecarriers,whichfinallyleadstotheimprovement inthephotocathodicprotectionperformanceofthephotoanode.
4.Conclusions
Inthiswork,twoCo(OH)2 layerswithdifferentmorphologieswere coatedonTiO2 nanotubesbyafacilesolvothermalmethod.Compared withTiO2 andBulk-C/T,theFlower-C/Tphotoelectrodeshowed
Fig.12. SchematicdiagramillustratingthemechanismforsignificantlyenhancedphotocathodicprotectionwiththeFlower-C/Tphotoanode.
excellentphotoelectrochemicalperformanceintermsofadecreased bandgap,CB, Rct,photogeneratedpotential,increasedcarrierdensity andphotocurrentdensity.Mostimportantly,theFlower-C/Tphotoelectrodeprovidedastableandeffectiveprotectionfor304SSin3.5wt %NaClsolutionduetotheformedp-nheterojunctionandnanoscale flower-likemicrostructure,suggestingthatitcouldbeusedasapromisingandalternativephotoanodematerialforphotocathodicprotection.
CRediTauthorshipcontributionstatement
XiayuLu: Methodology,Investigation,Writing-originaldraft. Li Liu: Conceptualization,Datacuration,Writing-review&editing. JianwenGe: Methodology. YuCui: Supervision,Resources. Fuhui Wang: Conceptualization.
DeclarationofCompetingInterest
None.
Acknowledgments
ThisworkwassupportedbytheNationalNaturalScience FoundationofChina[grantnumbers51871049];theNationalKeyR&D ProgramofChina[grantnumber2017YFB0702303];andA-classPilot oftheChineseAcademyofSciences[grantnumberXDA22010303]. TheauthorsareverygratefultoProf.GangLiuandhisgroupin InstitureofMetalResearch,CASfortheirkindnesshelpintechnical supportforprepatationofTiO2 nanotubes.
References
[1]Z.Wang,H.Wang,S.Ji,X.Wang,B.G.Pollet,R.Wang,MultidimensionalregulationofNi3S2@Co(OH)2 catalystwithhighperformanceforwindenergyelectrolytic water,J.PowerSources446(2020)227348, https://doi.org/10.1016/j.jpowsour. 2019.227348
[2]Z.Ai,K.Zhang,D.Shi,B.Chang,Y.Shao,L.Zhang,Y.Wu,X.Hao,Band-matching transformationbetweenCdSandBCNNTswithtunablep-nhomojunctionforenhancedphotocatalyticpurewatersplitting,NanoEnergy69(2020)104408, https://doi.org/10.1016/j.nanoen.2019.104408
[3] R.Chen,C.Zhen,Y.Yang,X.Sun,J.TS.Irvine,L.Wang,G.Liu,H.-M.Cheng, BoostingphotoelectrochemicalwatersplittingperformanceofTa3N5 nanorodarray photoanodesbyformingadualco-catalystshell,NanoEnergy59(2019)683–688
[4]L.Zeng,Z.Chen,S.Qiu,J.Hu,C.Li,X.Liu,G.Liang,C.J.Brabec,Y.Mai,F.Guo, 2D-3Dheterostructureenablesscalablecoatingofefficientlow-bandgapSn–Pb mixedperovskitesolarcells,NanoEnergy66(2019)104099, https://doi.org/10. 1016/j.nanoen.2019.104099
[5] T.Wu,C.Zhen,H.Zhu,J.Wu,C.Jia,L.Wang,G.Liu,N.-G.Park,H.-M.Cheng, GradientSn-DopedHeteroepitaxialFilmofFacetedRutileTiO2asanElectron SelectiveLayerforEfficientPerovskiteSolarCells,ACSAppl.Mater.Interfaces11 (21)(2019)19638–19646
[6] J.-J.Zhou,Q.Li,C.Chen,Y.-L.Li,K.Tao,L.Han,Co3O4@CoNi-LDHcore/shell nanosheetarraysforhigh-performancebattery-typesupercapacitors,Chem.Eng.J. 350(2018)551–558
[7] H.Jia,Z.Wang,X.Zheng,J.Lin,H.Liang,Y.Cai,J.Qi,J.Cao,J.Feng,W.Fei, InterlacedNi-CoLDHnanosheetswrappedCo9S8nanotubewithhierarchical structuretowardhighperformancesupercapacitors,Chem.Eng.J.351(2018) 348–355
[8] W.-K.Jo,S.Tonda,NovelCoAl-LDH/g-C3N4/RGOternaryheterojunctionwith notable2D/2D/2Dconfigurationforhighlyefficientvisible-light-inducedphotocatalyticeliminationofdyeandantibioticpollutants,J.Hazard.Mater.368(2019) 778–787
[9] Q.Ma,H.Zhang,X.Zhang,B.o.Li,R.Guo,Q.Cheng,X.Cheng,Synthesisof magneticCuO/MnFe2O4 nanocompisiteanditshighactivityfordegradationof levofloxacinbyactivationofpersulfate,Chem.Eng.J.360(2019)848–860
[10] T.Zhou,G.Zhang,P.Ma,X.Qiu,H.Zhang,H.Yang,G.Liu,Efficientdegradationof rhodamineBwithmagneticallyseparableAg3PO4@MgFe2O4 compositesunder visibleirradiation,J.Alloy.Compd.735(2018)1277–1290
[11]X.Wang,J.Lei,Q.Shao,X.Li,X.Ning,J.Shao,J.Duan,B.Hou,Preparationof ZnWO4/TiO2compositefilmanditsphotocathodicprotectionfor304stainless steelundervisiblelight,Nanotechnology30(4)(2019)045710, https://doi.org/10. 1088/1361-6528/aaef9c
[12] J.Zhang,Z.UrRahman,Y.Zheng,C.Zhu,M.Tian,D.Wang,NanoflowerlikeSnO2TiO2 nanotubescompositephotoelectrodeforefficientphotocathodicprotectionof 304stainlesssteel,Appl.Surf.Sci.457(2018)516–521
[13] X.Xie,L.i.Liu,R.Chen,G.Liu,Y.Li,F.Wang,Long-TermPhotoelectrochemical CathodicProtectionbyCo(OH)2-ModifiedTiO2on304StainlessSteelinMarine Environment,J.Electrochem.Soc.165(4)(2018)H3154–H3163
[14]M.Ge,Q.Li,C.Cao,J.Huang,S.Li,S.Zhang,Z.Chen,K.Zhang,S.S.Al-Deyab, Y.Lai,One-dimensionalTiO2NanotubePhotocatalystsforSolarWaterSplitting, Adv.Sci.4(1)(2017)1600152, https://doi.org/10.1002/advs.201600152
[15] P.Roy,S.Berger,P.Schmuki,TiO2 Nanotubes:SynthesisandApplications,Angew. Chem.Int.Ed.50(13)(2011)2904–2939
[16] S.-S.Ge,Q.-X.Zhang,X.-T.Wang,H.Li,L.Zhang,Q.-Y.Wei,Photocathodicprotectionof304stainlesssteelbyMnS/TiO2 nanotubefilmsundersimulatedsolar light,Surf.Coat.Technol.283(2015)172–176
[17] S.Sood,S.K.Mehta,A.S.K.Sinha,S.K.Kansal,Bi2O3/TiO2heterostructures: Synthesis,characterizationandtheirapplicationinsolarlightmediatedphotocatalyzeddegradationofanantibiotic,ofloxacin,Chem.Eng.J.290(2016)45–52
[18]M.Wang,L.Sun,Z.Lin,J.Cai,K.Xie,C.Lin,p–nHeterojunctionphotoelectrodes composedofCu2O-loadedTiO2 nanotubearrayswithenhancedphotoelectrochemicalandphotoelectrocatalyticactivities,EnergyEnviron.Sci.6(4)(2013) 1211, https://doi.org/10.1039/c3ee24162a
[19] W.Sun,N.a.Wei,H.Cui,Y.Lin,X.Wang,J.Tian,J.Li,J.Wen,3DZnIn2S4 nanosheet/TiO2 nanowirearraysandtheirefficientphotocathodicprotectionfor304 stainlesssteel,Appl.Surf.Sci.434(2018)1030–1039.
[20] M.Krbal,J.Prikryl,R.Zazpe,H.Sopha,J.M.Macak,CdS-coatedTiO2nanotube layers:downscalingtubediametertowardsefficientheterostructuredphotoelectrochemicalconversion,Nanoscale9(23)(2017)7755–7759
[21] Y.Chen,A.Li,Q.Li,X.Hou,L.-N.Wang,Z.-H.Huang,FacilefabricationofthreedimensionalinterconnectednanoporousN-TiO2forefficientphotoelectrochemical watersplitting,J.Mater.Sci.Technol.34(6)(2018)955–960
[22]X.Li,M.Jia,Y.Lu,N.Li,Y.-Z.Zheng,X.Tao,M.Huang,Co(OH)2/BiVO4 photoanodeintandemwithacarbon-basedperovskitesolarcellforsolar-drivenoverall watersplitting,Electrochim.Acta330(2020)135183, https://doi.org/10.1016/j. electacta.2019.135183
[23] D.i.Wang,J.Li,Y.Zhao,H.Xu,J.Zhao,BifunctionalCu2S–Co(OH)2 nanotube array/Cufoamelectrocatalystforoverallwatersplitting,Electrochim.Acta316 (2019)8–18
[24]H.Che,Y.Lv,A.Liu,H.Li,Z.Guo,J.Mu,Y.Wang,X.Zhang,MnCo2O4@Co(OH)2 coupledwithN-dopedcarbonnanotubes@reducedgrapheneoxidenanosheetsas electrodesforsolid-stateasymmetricsupercapacitors,Chem.Eng.J.384(2020) 123372, https://doi.org/10.1016/j.cej.2019.123372
[25] J.Zhao,Z.Li,X.Yuan,T.Shen,L.Lin,M.Zhang,A.Meng,Q.Li,Novelcore-shell multi-dimensionalhybridnanoarchitecturesconsistingofCo(OH)2 nanoparticles/ Ni3S2 nanosheetsgrownonSiCnanowirenetworksforhigh-performanceasymmetricsupercapacitors,Chem.Eng.J.357(2019)21–32
[26]R.Yuan,M.Jiang,S.Gao,Z.Wang,H.Wang,G.Boczkaj,Z.Liu,J.Ma,Z.Li,3D mesoporousα-Co(OH)2 nanosheetselectrodepositedonnickelfoam:Anewgenerationofmacroscopiccobalt-basedhybridforperoxymonosulfateactivation, Chem.Eng.J.380(2020)122447, https://doi.org/10.1016/j.cej.2019.122447
[27] H.Xu,S.Li,L.Ge,C.Han,Y.Gao,D.Dai,In-situsynthesisofnovelplate-likeCo (OH)2 co-catalystdecoratedTiO2 nanosheetswithefficientphotocatalyticH2evolutionactivity,Int.J.HydrogenEnergy42(36)(2017)22877–22886
[28] F.Tao,Y.Shen,Y.Liang,H.Li,SynthesisandcharacterizationofCo(OH)2/TiO2 nanotubecompositesassupercapacitormaterials,J.SolidStateElectrochem.11(6) (2007)853–858
[29]C.Zhen,L.Wang,L.i.Liu,G.Liu,G.Q.Lu,H.-M.Cheng,Nonstoichiometricrutile TiO2 photoelectrodesforimprovedphotoelectrochemicalwatersplitting,Chem. Commun.49(55)(2013)6191, https://doi.org/10.1039/c3cc42458h
[30] X.Lu,L.i.Liu,X.Xie,Y.u.Cui,E.E.Oguzie,F.Wang,Synergeticeffectofgraphene andCo(OH)2 ascocatalystsofTiO2 nanotubesforenhancedphotogenerated cathodicprotection,J.Mater.Sci.Technol.37(2020)55–63
[31] S.Das,R.Zazpe,J.Prikryl,P.Knotek,M.Krbal,H.Sopha,V.Podzemna, J.M.Macak,InfluenceofannealingtemperaturesonthepropertiesoflowaspectratioTiO2nanotubelayers,Electrochim.Acta213(2016)452–459
[32] W.Li,P.Li,Y.Liu,B.Zhang,H.Zhang,W.Geng,Q.Zhang,EfficientPhotocatalytic DegradationofDyesoverHierarchicalBiOBr/β-Co(OH)2/PVPMulticomponent PhotocatalystunderVisible-LightIrradiation,ChemCatChem7(24)(2015) 4163–4172
[33] X.Shi,X.Chen,X.Chen,S.Zhou,S.Lou,Y.Wang,L.Yuan,PVPassistedhydrothermalsynthesisofBiOBrhierarchicalnanostructuresandhighphotocatalytic capacity,Chem.Eng.J.222(2013)120–127.
[34] H.-X.Liu,C.Zhao,N.Wang,L.Shu,J.Zhou,S.Ji,J.-R.Li,Nanosheetα-Co(OH)2 compositemembraneswithultrathinseparationlayerforremovingdyesfromsolventwithhighflux,Sep.Purif.Technol.207(2018)506–513
[35] J.P.Cheng,L.Liu,J.Zhang,F.Liu,X.B.Zhang,Influencesofanionexchangeand phasetransformationonthesupercapacitivepropertiesofα-Co(OH)2,J. Electroanal.Chem.722-723(2014)23–31
[36] Z.-C.Guan,X.Wang,P.Jin,Y.-Y.Tang,H.-P.Wang,G.-L.Song,R.-G.Du,Enhanced photoelectrochemicalperformancesofZnS-Bi2S3/TiO2/WO3 compositefilmfor photocathodicprotection,Corros.Sci.143(2018)31–38
[37] M.-C.Sung,G.-H.Lee,D.-W.Kim,CeO2/Co(OH)2 hybridelectrocatalystsforefficienthydrogenandoxygenevolutionreaction,J.Alloy.Compd.800(2019) 450–455
[38]X.Huang,X.Xu,X.Luan,D.Cheng,CoPnanowirescoupledwithCoMoPnanosheetsasahighlyefficientcooperativecatalystforhydrogenevolutionreaction, NanoEnergy68(2020)104332, https://doi.org/10.1016/j.nanoen.2019.104332
[39] J.-X.Feng,H.Xu,Y.-T.Dong,X.-F.Lu,Y.-X.Tong,G.-R.Li,EfficientHydrogen EvolutionElectrocatalysisUsingCobaltNanotubesDecoratedwithTitanium DioxideNanodots,Angew.Chem.Int.Ed.56(11)(2017)2960–2964
[40] D.P.Sahoo,S.Nayak,K.H.Reddy,S.Martha,K.Parida,FabricationofaCo(OH)2 /ZnCrLDH“p–n”HeterojunctionPhotocatalystwithEnhancedSeparationof ChargeCarriersforEfficientVisible-Light-DrivenH2andO2Evolution,Inorg. Chem.57(7)(2018)3840–3854
[41] Y.Sun,J.Liao,F.Dong,S.Wu,L.Sun,ABi/BiOI/(BiO)2CO3 heterostructurefor enhancedphotocatalyticNOremovalundervisiblelight,Chin.J.Catal.40(3) (2019)362–370
[42]G.Fan,B.Du,J.Zhou,W.Yu,Z.Chen,S.Yang,StableAg2O/g-C3N4 p-nheterojunctionphotocatalystsforefficientinactivationofharmfulalgaeundervisible light,Appl.Catal.,BEnviron.265(2020)118610, https://doi.org/10.1016/j. apcatb.2020.118610
[43] J.Jing,Z.Chen,Y.Bu,M.Sun,W.Zheng,W.Li,SignificantlyenhancedphotoelectrochemicalcathodicprotectionperformanceofhydrogentreatedCr-doped SrTiO3 byCr6+ reductionandoxygenvacancymodification,Electrochim.Acta304 (2019)386–395
[44]M.Wang,L.Sun,J.Cai,P.Huang,Y.Su,C.Lin,Afacilehydrothermaldepositionof ZnFe2O4 nanoparticlesonTiO2 nanotubearraysforenhancedvisiblelightphotocatalyticactivity,J.Mater.Chem.A1(39)(2013)12082, https://doi.org/10.1039/ c3ta12577g
[45] J.Li,C.-J.Lin,J.-T.Li,Z.-Q.Lin,AphotoelectrochemicalstudyofCdSmodified TiO2 nanotubearraysasphotoanodesforcathodicprotectionofstainlesssteel,Thin SolidFilms519(16)(2011)5494–5502
[46] Y.Yang,W.Zhang,Y.Xu,H.Sun,PreparationofPbSandCdScosensitizedgraphene/TiO2 nanosheetsforphotoelectrochemicalprotectionof304stainlesssteels, Appl.Surf.Sci.452(2018)58–66
[47] M.Prasad,V.Sharma,A.Rokade,P.Ilaiyaraja,S.Chandran,S.Jadkar,Enhanced photosplittingofwaterusingultrathincobaltsulfidenanoflakes-sensitizedzinc
oxidenanorodsarray,Ionics23(12)(2017)3401–3408
[48] D.G.Li,D.R.Chen,J.D.Wang,P.Liang,Effectofacidsolution,fluorideions,anodic potentialandtimeonthemicrostructureandelectronicpropertiesofself-ordered TiO2nanotubearrays,Electrochim.Acta207(2016)152–163
[49] X.Cheng,H.Liu,Q.Chen,J.Li,P.u.Wang,Preparationofgraphenefilmdecorated TiO2 nano-tubearrayphotoelectrodeanditsenhancedvisiblelightphotocatalytic mechanism,Carbon66(2014)450–458
[50] J.Pan,X.Li,Q.Zhao,T.Li,M.Tade,S.Liu,ConstructionofMn0.5Zn0.5Fe2O4 modifiedTiO2nanotubearraynanocompositeelectrodesandtheirphotoelectrocatalyticperformanceinthedegradationof2,4-DCP,J.Mater.Chem.C3(23) (2015)6025–6034
[51] H.Park,A.Bak,T.H.Jeon,S.Kim,W.Choi,Photo-chargeableanddischargeable TiO2 andWO3 heterojunctionelectrodes,Appl.Catal.B115-116(2012)74–80 [52] F.Zhang,H.-Q.Zhuang,J.Song,Y.-L.Men,Y.-X.Pan,S.-H.Yu,Couplingcobalt sulfidenanosheetswithcadmiumsulfidenanoparticlesforhighlyefficientvisiblelight-drivenphotocatalysis,Appl.Catal.B226(2018)103–110
[53] J.Zhang,J.Hu,Y.-F.Zhu,Q.Liu,H.Zhang,R.-G.Du,C.-J.Lin,Fabricationof CdTe/ZnScore/shellquantumdotssensitizedTiO2 nanotubefilmsforphotocathodicprotectionofstainlesssteel,Corros.Sci.99(2015)118–124
[54] S.Cui,X.Yin,Q.Yu,Y.Liu,D.Wang,F.Zhou,Polypyrrolenanowire/TiO2nanotubenanocompositesasphotoanodesforphotocathodicprotectionofTisubstrate and304stainlesssteelundervisiblelight,Corros.Sci.98(2015)471–477
[55]Y.Yu,Y.Tan,B.Yang,L.Yuan,X.Shen,X.Hu,Electrochemicaltransformation methodforthepreparationofnovel3DhybridporousCoOOH/Co(OH)2 composites withexcellentpseudocapacitanceperformance,J.PowerSources443(2019) 227278, https://doi.org/10.1016/j.jpowsour.2019.227278
Other documents randomly have different content
costume était une ceinture brodée d’or et de pierreries, qui pouvait valoir deux ou trois mille francs. Elle enserrait dans ses plis une bourse de cachemire brodée, un cangiar de Damas dans un fourreau d’argent, un long pistolet monté en or et en rubis, et la baguette assortissante.
Immobile au milieu de ses employés, Hadgi-Stavros ne remuait que le bout des doigts et le bout des lèvres : les lèvres pour dicter sa correspondance, les doigts peur compter les grains de son chapelet. C’était un de ces beaux chapelets d’ambre laiteux qui ne servent point à chiffrer des prières, mais à amuser l’oisiveté solennelle des Turcs.
Il leva la tête à notre approche, devina d’un coup d’œil l’accident qui nous amenait, et nous dit avec une gravité qui n’avait rien d’ironique : « Vous êtes les bienvenus. Asseyez-vous.
— Monsieur, cria Mme Simons, je suis Anglaise, et… »
Il interrompit le discours en faisant claquer sa langue contre les dents de sa mâchoire supérieure, des dents superbes en vérité. « Tout à l’heure, dit-il, je suis occupé. » Il n’entendait que le grec, et Mme Simons ne savait que l’anglais ; mais la physionomie du Roi était si parlante, que la bonne dame comprit aisément sans le secours d’un interprète.
Nous prîmes place dans la poussière. Quinze ou vingt brigands s’accroupirent autour de nous, et le Roi, qui n’avait point de secrets à cacher, dicta paisiblement ses lettres de famille et ses lettres d’affaires. Le chef de la troupe qui nous avait arrêtés vint lui donner un avis à l’oreille. Il répondit d’un ton hautain : « Qu’importe, quand le milord comprendrait ? Je ne fais rien de mal, et tout le monde peut m’entendre. Va t’asseoir. — Toi, Spiro, écris : c’est à ma fille. »
Il se moucha fort adroitement dans ses doigts, et dicta d’une voix grave et douce :
« Mes chers yeux (ma chère enfant), la maîtresse de pension m’a écrit que ta santé était raffermie et que ce méchant rhume était parti avec les jours d’hiver Mais on n’est pas aussi content de ton application, et l’on se plaint que tu n’étudies plus guère depuis le
commencement du mois d’avril. Mme Mavros dit que tu deviens distraite et que l’on te voit accoudée sur ton livre, les yeux en l’air, comme si tu pensais à autre chose. Je ne saurais trop te dire qu’il faut travailler assidûment. Suis les exemples de toute ma vie. Si je m’étais reposé, comme tant d’autres, je ne serais pas arrivé au rang que j’occupe dans la société. Je veux que tu sois digne de moi, et c’est pourquoi je fais de si grands sacrifices pour ton éducation. Tu sais si je t’ai jamais refusé les maîtres ou les livres que tu m’as demandés ; mais il faut que mon argent profite. Le Walter Scott est arrivé au Pirée, ainsi que le Robinson et tous les livres anglais que tu as témoigné le désir de lire : fais-les prendre à la douane par nos amis de la rue d’Hermès. Tu recevras par la même occasion le bracelet que tu demandais et cette machine d’acier pour faire bouffer les jupes de tes robes. Si ton piano de Vienne n’est pas bon, comme tu me le dis, et qu’il te faille absolument un instrument de Pleyel, tu l’auras. Je ferai un ou deux villages après la vente des récoltes, et le diable sera bien malin si je n’y trouve pas la monnaie d’un joli piano. Je pense, comme toi, que tu as besoin de savoir la musique ; mais ce que tu dois apprendre avant tout, c’est les langues étrangères. Emploie tes dimanches de la façon que je t’ai dit, et profite de la complaisance de nos amis. Il faut que tu sois en état de parler le français, l’anglais et surtout l’allemand. Car enfin tu n’es pas faite pour vivre dans ce petit pays ridicule, et j’aimerais mieux te voir morte que mariée à un Grec. Fille de roi, tu ne peux épouser qu’un prince. Je ne dis pas un prince de contrebande, comme tous nos Phanariotes qui se vantent de descendre des empereurs d’Orient, et dont je ne voudrais pas pour mes domestiques, mais un prince régnant et couronné. On en trouve de fort convenables en Allemagne, et ma fortune me permet de t’en choisir un. Si les Allemands ont pu venir régner chez nous, je ne vois pas pourquoi tu n’irais pas régner chez eux à ton tour. Hâte-toi donc d’apprendre leur langue, et dis-moi dans ta prochaine lettre que tu as fait des progrès. Sur ce, mon enfant, je t’embrasse bien tendrement, et je t’envoie, avec le trimestre de ta pension, mes bénédictions paternelles. »
Mme Simons se pencha vers moi et me dit à l’oreille : « Est-ce notre sentence qu’il dicte à ses brigands ? »
Je répondis : « Non, madame. Il écrit à sa fille.
— A propos de notre capture ?
— A propos de piano, de crinoline et de Walter Scott.
— Cela peut durer longtemps. Va-t-il nous inviter à déjeuner ?
— Voici déjà son domestique qui nous apporte des rafraîchissements. »
Le cafedgi du Roi se tenait devant nous avec trois tasses à café, une boîte de rahat-loukoum et un pot de confitures. Mme Simons et sa fille rejetèrent le café avec dégoût, parce qu’il était préparé à la turque et trouble comme une bouillie. Je vidai ma tasse en vrai gourmet de l’Orient. Les confitures, qui étaient du sorbet à la rose, n’obtinrent qu’un succès d’estime, parce que nous étions forcés de les manger tous trois avec une seule cuiller. Les délicats sont malheureux dans ce pays de bonhomie. Mais le rahat-loukoum, découpé en morceaux, flatta le palais de ces dames sans trop choquer leurs habitudes. Elles prirent à belles mains cette gelée d’amidon parfumé, et vidèrent la boîte jusqu’au fond, tandis que le Roi dictait la lettre suivante :
« MM. Barley et Cie, 31, Cavendish-Square, à Londres.
« J’ai vu par votre honorée du 5 avril et le compte courant qui l’accompagne, que j’ai présentement 22.750 livres sterling à mon crédit. Il vous plaira placer ces fonds, moitié en trois pour cent anglais, moitié en actions du Crédit mobilier, avant que le coupon soit détaché. Vendez mes actions de la Banque royale britannique : c’est une valeur qui ne m’inspire plus autant de confiance. Prenezmoi, en échange, des Omnibus de Londres. Si vous trouvez 15.000 livres de ma maison du Strand (elle les valait en 1852), vous m’achèterez de la Vieille-Montagne pour une somme égale. Envoyez chez les frères Rhalli 100 guinées (2.645 fr.) : c’est ma souscription
pour l’école hellénique de Liverpool. J’ai pesé sérieusement la proposition que vous m’avez fait l’honneur de me soumettre, et, après mûres réflexions, j’ai résolu de persister dans ma ligne de conduite et de faire les affaires exclusivement au comptant. Les marchés à terme ont un caractère aléatoire qui doit mettre en défiance tout bon père de famille. Je sais bien que vous n’exposeriez mes capitaux qu’avec la prudence qui a toujours distingué votre maison ; mais quand même les bénéfices dont vous me parlez seraient certains, j’éprouverais, je l’avoue, une certaine répugnance à léguer à mes héritiers une fortune augmentée par le jeu.
« Agréez, etc…
« H -S , propriétaire. »
« Est-il question de nous ? me dit Mary-Ann.
— Pas encore, mademoiselle. Sa Majesté aligne des chiffres.
— Des chiffres ici ? Je croyais qu’on n’en faisait que chez nous.
— Monsieur votre père n’est-il pas l’associé d’une maison de banque ?
— Oui ; de la maison Barley et Cie .
— Y a-t-il deux banquiers du même nom à Londres ?
— Pas que je sache.
— Avez-vous entendu dire que la maison Barley fît des affaires avec l’Orient ?
— Mais avec le monde entier !
— Et vous habitez Cavendish-Square ?
— Non, il n’y a que les bureaux. Notre maison est dans Piccadilly.
— Merci, mademoiselle. Permettez-moi d’écouter la suite. Ce vieillard a une correspondance des plus attachantes. »
Le Roi dicta, sans désemparer, un long rapport aux actionnaires de sa bande. Ce curieux document était adressé à M. Georges
Micrommati, officier d’ordonnance, au palais, pour qu’il en donnât lecture dans l’assemblée générale des intéressés.
« Compte rendu des opérations de la Compagnie Nationale du Roi des montagnes. Exercice 1855-56.
« Camp du roi, 30 avril 1856.
« Messieurs,
« Le gérant que vous avez honoré de votre confiance vient aujourd’hui, pour la quatorzième fois, soumettre à votre approbation le résumé de ses travaux de l’année. Depuis le jour où l’acte constitutif de notre société fut signé en l’étude de maître Tsappas, notaire royal à Athènes, jamais notre entreprise n’a rencontré plus d’obstacles, jamais la marche de nos travaux n’a été entravée par de plus sérieuses difficultés. C’est en présence d’une occupation étrangère, sous les yeux de deux armées, sinon hostiles, au moins malveillantes, qu’il a fallu maintenir le jeu régulier d’une institution éminemment nationale. Le Pirée envahi militairement, la frontière de Turquie surveillée avec une jalousie qui n’a pas de précédents dans l’histoire, ont restreint notre activité dans un cercle étroit, et imposé à notre zèle des limites infranchissables. Dans cette zone rétrécie, nos ressources étaient encore réduites par la pénurie générale, la rareté de l’argent, l’insuffisance des récoltes. Les oliviers n’ont pas tenu ce qu’ils promettaient, le rendement des céréales a été médiocre, et la vigne n’est pas encore délivrée de l’oïdium. Dans ces circonstances, il était bien difficile de profiter de la tolérance des autorités et de la douceur d’un gouvernement paternel. Notre entreprise est liée si étroitement aux intérêts du pays, qu’elle ne peut fleurir que dans la prospérité générale, et qu’elle ressent le contrecoup de toutes les calamités publiques ; car à ceux qui n’ont rien on ne prend rien, ou peu de chose.
« Les voyageurs étrangers, dont la curiosité est si utile au royaume et à nous, ont été fort rares. Les touristes anglais, qui composaient autrefois une branche importante de notre revenu, ont manqué totalement. Deux jeunes Américains arrêtés sur la route du Pentélique nous ont fait tort de leur rançon. Un esprit de défiance, alimenté par quelques gazettes de France et d’Angleterre, écarte de nous les gens dont la capture nous serait utile.
« Et cependant, messieurs, telle est la vitalité de notre institution, qu’elle a mieux résisté à cette crise fatale que l’agriculture, l’industrie et le commerce. Vos capitaux confiés en mes mains ont profité, non pas autant que je l’aurais voulu, mais beaucoup mieux que personne ne pouvait l’espérer. Je n’en dirai pas plus long ; je laisse parler les chiffres. L’arithmétique est plus éloquente que Démosthène.
« Le capital social, limité d’abord au chiffre modeste de 50.000 fr., s’est élevé à 120.000 par trois émissions successives d’actions de 500 fr.
« Nos recettes brutes, du 1er mai 1855 au 30 avril 1856, se montent à la somme de 261.482 fr.
« Nos dépenses se divisent comme il suit :
Dîme payée aux églises et monastères : 26.148 fr.
Intérêt du capital au taux légal de 10 pour 100 : 12.000 »
Solde et nourriture de 80 hommes à 650 franc l’un : 52.000 »
Matériel, armes, etc. : 7.056 »
Réparation de la route de Thèbes, qui était devenue impraticable et où l’on ne trouvait plus de voyageurs à arrêter : 2.540 »
Frais de surveillance sur les grands chemins : 5.835 »
Frais de bureau : 3 »
Subvention de quelques journalistes : 11.900 »
Encouragements à divers employés de l’ordre administratif et judiciaire : 18.000 »
Total : 135.482 »
Si l’on déduit cette somme du chiffre brut de nos recettes, on trouve un bénéfice net de 126.000 »
Conformément aux statuts, cet excédent est réparti comme il suit :
Fonds de réserve déposé à la banque d’Athènes : 6.000 »
Tiers attribué au gérant : 40.000 »
A partager entre les actionnaires : 80.000 »
Soit 333 fr. 33 par action.
« Ajoutez à ces 333 fr. 33, 50 francs d’intérêt et 23 francs du fonds de réserve, et vous aurez un total de 408 fr. 33 par action. Votre argent est donc placé à près de 82 pour 100.
« Tels sont, messieurs, les résultats de la dernière campagne. Jugez maintenant de l’avenir qui nous est réservé le jour où l’occupation étrangère cessera de peser sur notre pays et sur nos opérations ! »
Le Roi dicta ce rapport sans consulter de notes, sans hésiter sur un chiffre et sans chercher un mot. Je n’aurais jamais cru qu’un vieillard de son âge pût avoir la mémoire aussi présente. Il apposa son cachet au bas des trois lettres ; c’est sa manière de signer. Il lit couramment ; mais il n’a jamais trouvé le temps d’apprendre à écrire. Charlemagne et Alfred le Grand étaient, dit-on, dans le même cas.
Tandis que les sous-secrétaires d’État s’occupaient à transcrire sa correspondance du jour pour la déposer aux archives, il donna audience aux officiers subalternes qui étaient revenus avec leurs détachements dans la journée. Chacun de ses hommes s’asseyait devant lui, le saluait en appuyant la main droite sur le cœur et faisait son rapport en peu de mots, avec une concision respectueuse. Je vous jure que Saint Louis, sous son chêne, n’inspirait pas une vénération plus profonde aux habitants de Vincennes.
Le premier qui se présenta fut un petit homme de mauvaise mine ; vraie figure de Cour d’assises. C’était un insulaire de Corfou,
poursuivi pour quelques incendies : il avait été le bienvenu, et ses talents l’avaient fait monter en grade. Mais son chef et ses soldats le tenaient en médiocre estime. On le soupçonnait de détourner à son profit une partie du butin. Or, le Roi était intraitable sur le chapitre de la probité. Lorsqu’il prenait un homme en faute, il l’expulsait ignominieusement et lui disait avec une ironie accablante : « Va te faire magistrat ! »
Hadgi-Stavros demanda au Corfiote : « Qu’as-tu fait ?
— Je me suis rendu, avec mes quinze hommes, au ravin des Hirondelles, sur la route de Thèbes. J’ai rencontré un détachement de la ligne : vingt-cinq soldats.
— Où sont leurs fusils ?
— Je les leur ai laissés. Tous fusils à piston qui ne nous auraient pas servi, faute de capsules.
— Bon. Ensuite ?
— C’était jour de marché : j’ai arrêté ceux qui revenaient.
— Combien ?
— Cent quarante-deux personnes.
— Et tu rapportes ?
— Mille six francs quarante-trois centimes.
— Sept francs par tête ! C’est peu.
— C’est beaucoup. Des paysans !
— Ils n’avaient donc pas vendu leurs denrées ?
— Les uns avaient vendu, les autres avaient acheté. »
Le Corfiote ouvrit un sac pesant qu’il portait sous le bras ; il en répandit le contenu devant les secrétaires, qui se mirent à compter la somme. La recette se composait de trente ou quarante piastres mexicaines, de quelques poignées de zwanzigs autrichiens et d’une énorme quantité de billon. Quelques papiers chiffonnés se poursuivaient au milieu de la monnaie.
« Tu n’as pas de bijoux ? demanda le Roi.
— Non.
— Il n’y avait donc pas de femmes ?
— Je n’ai rien trouvé qui valût la peine d’être rapporté.
— Qu’est-ce que je vois à ton doigt ?
— Une bague.
— En or ?
— Ou en cuivre ; je n’en sais rien.
— D’où vient-elle ?
— Je l’ai achetée il y a deux mois.
— Si tu l’avais achetée, tu saurais si elle est en cuivre ou en or. Donne-la ! »
Le Corfiote se dépouilla de mauvaise grâce. La bague fut immédiatement encaissée dans un petit coffre plein de bijoux.
« Je te pardonne, dit le Roi, en faveur de ta mauvaise éducation. Les gens de ton pays déshonorent le vol en y mêlant la friponnerie. Si je n’avais que des Ioniens dans ma troupe, je serais obligé de faire mettre des tourniquets sur les chemins, comme aux portes de l’Exposition de Londres, pour compter les voyageurs et recevoir l’argent. A un autre ! »
Celui qui vint ensuite était un gros garçon bien portant, de la physionomie la plus avenante. Ses yeux ronds, à fleur de tête, respiraient la droiture et la bonhomie. Ses lèvres entr’ouvertes laissaient voir, à travers leur sourire, deux rangées de dents magnifiques ; il me séduisit au premier coup d’œil, et je me dis que, s’il s’était fourvoyé en mauvaise compagnie, il ne manquerait pas de rentrer un jour ou l’autre dans le bon chemin. Ma figure lui plut aussi, car il me salua très poliment avant de s’asseoir devant le Roi.
Hadgi-Stavros lui dit : « Qu’as-tu fait, mon Vasile ?
— Je suis arrivé hier soir avec mes six hommes à Pigadia, le village du sénateur Zimbélis.
— Bien.
— Zimbélis était absent, comme toujours ; mais ses parents, ses fermiers et ses locataires étaient tous chez eux, et couchés.
— Bien.
— Je suis entré au khan ; j’ai réveillé le khangi ; je lui ai acheté vingt-cinq bottes de paille, et, pour paiement, je l’ai tué.
— Bien.
— Nous avons porté la paille au pied des maisons, qui sont toutes en planches ou en osier, et nous avons mis le feu en sept endroits à la fois. Les allumettes étaient bonnes : le vent venait du nord, tout a pris.
— Bien.
— Nous nous sommes retirés doucement vers les puits. Tout le village s’est éveillé à la fois en criant. Les hommes sont venus avec leurs seaux de cuir pour chercher de l’eau. Nous en avons noyé quatre que nous ne connaissions pas ; les autres se sont sauvés.
— Bien.
— Nous sommes retournés au village. Il n’y avait plus personne qu’un enfant oublié par ses parents et qui criait comme un petit corbeau tombé du nid. Je l’ai jeté dans une maison qui brûlait, et il n’a plus rien dit.
— Bien.
— Alors nous avons pris des tisons et nous avons mis le feu aux oliviers. La chose a bien réussi. Nous nous sommes remis en route vers le camp ; nous avons soupé et couché à moitié chemin, et nous sommes rentrés à neuf heures, tous bien portants, sans une brûlure.
— Bien. Le sénateur Zimbélis ne fera plus de discours contre nous. A un autre ! »
Vasile se retira en me saluant aussi poliment que la première fois ; mais je ne lui rendis pas son salut.
Il fut aussitôt remplacé par le grand diable qui nous avait pris. Par un singulier caprice du hasard, le premier auteur du drame où j’étais appelé à jouer un rôle se nommait Sophoclis. Au moment où il
commença son rapport, je sentis quelque chose de froid couler dans mes veines. Je suppliai Mme Simons de ne pas risquer une parole imprudente. Elle me répondit qu’elle était Anglaise et qu’elle savait se conduire. Le Roi nous pria de nous taire et de laisser la parole à l’orateur.
Il étala d’abord les biens dont il nous avait dépouillés, puis il tira de sa ceinture quarante ducats d’Autriche, qui faisaient une somme de quatre cent soixante-dix francs, au cours de 11 fr. 75.
« Les ducats, dit-il, viennent du village de Castia ; le reste m’a été donné par les milords. Tu m’avais dit de battre les environs ; j’ai commencé par le village.
— Tu as mal fait, répondit le Roi. Les gens de Castia sont nos voisins, il fallait les laisser. Comment vivrons-nous en sûreté, si nous nous faisons des ennemis à notre porte ? D’ailleurs, ce sont de braves gens, qui peuvent nous donner un coup de main à l’occasion.
— Oh ! je n’ai rien pris aux charbonniers ! Ils ont disparu dans les bois sans me laisser le temps de leur parler. Mais le parèdre avait la goutte ; je l’ai trouvé chez lui.
— Qu’est-ce que tu lui as dit ?
— Je lui ai demandé de l’argent ; il a soutenu qu’il n’en avait pas. Je l’ai enfermé dans un sac avec son chat ; et je ne sais pas ce que le chat lui a fait, mais il s’est mis à crier que son trésor était derrière la maison, sous une grosse pierre. C’est là que j’ai trouvé les ducats.
— Tu as eu tort. Le parèdre ameutera tout le village contre nous.
— Oh non ! En le quittant, j’ai oublié d’ouvrir le sac, et le chat doit lui avoir mangé les yeux.
— A la bonne heure !… Mais entendez-moi bien tous : je ne veux pas qu’on inquiète nos voisins. Retire-toi. »
Notre interrogatoire allait commencer. Hadgi-Stavros, au lieu de nous faire comparaître devant lui, se leva gravement et vint s’asseoir à terre auprès de nous. Cette marque de déférence nous parut d’un favorable augure. Mme Simons se mit en devoir de l’interpeller de la bonne sorte. Pour moi, prévoyant trop bien ce qu’elle pourrait dire, et
connaissant l’intempérance de sa langue, j’offris au Roi mes services en qualité d’interprète. Il me remercia froidement et appela le Corfiote, qui savait l’anglais.
« Madame, dit le Roi à mistress Simons, vous semblez courroucée. Auriez-vous à vous plaindre des hommes qui vous ont conduite ici ?
— C’est une horreur ! dit-elle. Vos coquins m’ont arrêtée, jetée dans la poussière, dépouillée, exténuée et affamée.
— Veuillez agréer mes excuses. Je suis forcé d’employer des hommes sans éducation. Croyez, madame, que ce n’est pas sur mes ordres qu’ils ont agi ainsi. Vous êtes Anglaise ?
— Anglaise de Londres !
— Je suis allé à Londres ; je connais et j’estime les Anglais. Je sais qu’ils ont bon appétit, et vous avez pu remarquer que je me suis empressé de vous offrir des rafraîchissements. Je sais que les dames de votre pays n’aiment pas à courir dans les rochers, et je regrette qu’on ne vous ait pas laissée marcher à votre pas. Je sais que les personnes de votre nation n’emportent en voyage que les effets qui leur sont nécessaires, et je ne pardonnerai pas à Sophoclis de vous avoir dépouillée, surtout si vous êtes une personne de condition.
— J’appartiens à la meilleure société de Londres.
— Daignez reprendre ici l’argent qui est à vous. Vous êtes riche ?
— Assurément.
— Ce nécessaire n’est-il pas de vos bagages ?
— Il est à ma fille.
— Reprenez également ce qui est à mademoiselle votre fille. Vous êtes très riche ?
— Très riche.
— Ces objets n’appartiennent-ils point à monsieur votre fils ?
— Monsieur n’est pas mon fils ; c’est un Allemand. Puisque je suis Anglaise, comment pourrais-je avoir un fils allemand ?
— C’est trop juste. Avez-vous bien vingt mille francs de revenu ?
— Davantage.
— Un tapis à ces dames ! Êtes-vous donc riches à trente mille francs de rente ?
— Nous avons mieux que cela !
— Sophoclis est un manant que je corrigerai. Logothète, dis qu’on prépare le dîner de ces dames. Serait-il possible, madame, que vous fussiez millionnaire ?
— Je le suis.
— Et moi je suis confus de la manière dont on vous a traitée. Vous avez assurément de belles connaissances à Athènes ?
— Je connais le ministre d’Angleterre et si vous vous étiez permis !…
— Oh ! madame !… Vous connaissez aussi des commerçants, des banquiers ?
— Mon frère, qui est à Athènes, connaît plusieurs banquiers de la ville.
— J’en suis ravi. Sophoclis, viens ici ! Demande pardon à ces dames. »
Sophoclis marmotta entre ses dents je ne sais quelles excuses.
Le Roi reprit :
« Ces dames sont des Anglaises de distinction ; elles ont plus d’un million de fortune ; elles sont reçues à l’ambassade d’Angleterre ; leur frère, qui est à Athènes, connaît tous les banquiers de la ville.
— A la bonne heure ! » s’écria Mme Simons. Le Roi poursuivit :
« Tu devais traiter ces dames avec tous les égards dus à leur fortune.
— Bien ! dit Mme Simons.
— Les conduire ici doucement.
— Pourquoi faire ? murmura Mary-Ann.
— Et t’abstenir de toucher à leur bagage. Lorsqu’on a l’honneur de rencontrer dans la montagne deux personnes du rang de ces dames, on les salue avec respect, on les amène au camp avec déférence, on les garde avec circonspection, et on leur offre poliment toutes les choses nécessaires à la vie, jusqu’à ce que leur frère ou leur ambassadeur nous envoie une rançon de cent mille francs. »
Pauvre Mme Simons ! chère Mary-Ann ! Elles ne s’attendaient ni l’une ni l’autre à cette conclusion. Pour moi, je n’en fus pas surpris. Je savais à quel rusé coquin nous avions affaire. Je pris hardiment la parole, et je lui dis à brûle-pourpoint : « Tu peux garder ce que tes hommes m’ont volé, car c’est tout ce que tu auras de moi. Je suis pauvre, mon père n’a rien, mes frères mangent souvent leur pain sec, je ne connais ni banquiers ni ambassadeurs, et si tu me nourris dans l’espoir d’une rançon, tu en seras pour tes frais, je te le jure ! »
Un murmure d’incrédulité s’éleva dans l’auditoire, mais le Roi parut me croire sur parole.
« S’il en est ainsi, me dit-il, je ne ferai pas la faute de vous garder ici malgré vous. J’aime mieux vous renvoyer à la ville. Madame vous confiera une lettre pour monsieur son frère, et vous partirez aujourd’hui même. Si cependant vous aviez besoin de rester un jour ou deux dans la montagne, je vous offrirais l’hospitalité ; car je suppose que vous n’êtes pas venu jusqu’ici avec cette grande boîte pour regarder le paysage. »
Ce petit discours me procura un soulagement notable. Je promenai autour de moi un regard de satisfaction. Le Roi, ses secrétaires et ses soldats me parurent beaucoup moins terribles ; les rochers voisins me semblèrent plus pittoresques, depuis que je les envisageais avec les yeux d’un hôte et non d’un prisonnier Le désir que j’avais de voir Athènes se calma subitement, et je me fis à l’idée de passer deux ou trois jours dans la montagne. Je sentais que mes conseils ne seraient pas inutiles à la mère de Mary-Ann. La bonne dame était dans un état d’exaltation qui pouvait la perdre. Si par aventure elle s’obstinait à refuser la rançon ! Avant que l’Angleterre vînt à son secours, elle avait le temps d’attirer quelque malheur sur
une tête charmante. Je ne pouvais m’éloigner d’elle sans lui raconter, pour sa gouverne, l’histoire des petites filles de Mistra. Que vous dirai-je encore ? Vous savez ma passion pour la botanique. La flore du Parnès est bien séduisante à la fin d’avril. On trouve dans la montagne cinq ou six plantes aussi rares que célèbres. Une surtout : la Boryana variabilis, découverte et baptisée par M. Bory de SaintVincent. Devais-je laisser une telle lacune dans mon herbier et me présenter au muséum de Hambourg sans la Boryana variabilis ?
Je répondis au Roi : « J’accepte ton hospitalité, mais à une condition.
— Laquelle ?
— Tu me rendras ma boîte.
— Eh bien, soit ! mais à une condition aussi.
— Voyons !
— Vous me direz à quoi elle vous sert.
— Qu’à cela ne tienne ! Elle me sert à loger les plantes que je recueille.
— Et pourquoi cherchez-vous des plantes ? Pour les vendre ?
— Fi donc ! Je ne suis pas un marchand ; je suis un savant. »
Il me tendit la main et me dit avec une joie visible : « J’en suis charmé. La science est une belle chose. Nos aïeux étaient savants ; nos petits-fils le seront peut-être. Quant à nous, le temps nous a manqué. Les savants sont très estimés dans votre pays ?
— Infiniment.
— On leur donne de belles places ?
— Quelquefois.
— On les paye bien ?
— Assez.
— On leur attache de petits rubans sur la poitrine ?
— De temps en temps.
— Est-il vrai que les villes se disputent à qui les aura ?
— Cela est vrai en Allemagne.
— Et qu’on regarde leur mort comme une calamité publique ?
— Assurément.
— Ce que vous dites me fait plaisir. Ainsi vous n’avez pas à vous plaindre de vos concitoyens ?
— Bien au contraire ! C’est leur libéralité qui m’a permis de venir en Grèce.
— Vous voyagez à leurs frais ?
— Depuis six mois.
— Vous êtes donc bien instruit ?
— Je suis docteur.
— Y a-t-il un grade supérieur dans la science ?
— Non.
— Et combien compte-t-on de docteurs dans la ville que vous habitez ?
— Je ne sais pas au juste, mais il n’y a pas autant de docteurs à Hambourg que de généraux à Athènes.
— Oh ! Oh ! je ne priverai pas votre pays d’un homme si rare. Vous retournerez à Hambourg, monsieur le docteur. Que dirait-on làbas si l’on apprenait que vous êtes prisonnier dans nos montagnes ?
— On dirait que c’est un malheur
— Allons ! Plutôt que de perdre un homme tel que vous, la ville de Hambourg fera bien un sacrifice de quinze mille francs. Reprenez votre boîte, courez, cherchez, herborisez et poursuivez le cours de vos études. Pourquoi ne remettez-vous pas cet argent dans votre poche ? Il est à vous et je respecte trop les savants pour les dépouiller. Mais votre pays est assez riche pour payer sa gloire. Heureux jeune homme ! Vous reconnaissez aujourd’hui combien le titre de docteur ajoute à votre valeur personnelle ! Je n’aurais pas demandé un centime de rançon si vous aviez été un ignorant comme moi. »