A textbook of data structures and algorithms, volume 2: mastering nonlinear data structures vijayala

Page 1


A Textbook of Data Structures and Algorithms, Volume 2: Mastering Nonlinear Data Structures

Vijayalakshmi Pai

Visit to download the full and correct content document: https://ebookmass.com/product/a-textbook-of-data-structures-and-algorithms-volume2-mastering-nonlinear-data-structures-vijayalakshmi-pai/

More products digital (pdf, epub, mobi) instant download maybe you interests ...

A Textbook of Data Structures and Algorithms, Volume 2

G. A. Vijayalakshmi Pai

https://ebookmass.com/product/a-textbook-of-data-structures-andalgorithms-volume-2-g-a-vijayalakshmi-pai/

A Textbook of Data Structures and Algorithms, Volume 1

G. A. Vijayalakshmi Pai

https://ebookmass.com/product/a-textbook-of-data-structures-andalgorithms-volume-1-g-a-vijayalakshmi-pai/

Data Structures and Algorithms in C++ 2nd Edition

https://ebookmass.com/product/data-structures-and-algorithmsin-c-2nd-edition/

Data Structures & Algorithms in Python 1st Edition John

Canning

https://ebookmass.com/product/data-structures-algorithms-inpython-1st-edition-john-canning-2/

Data Structures & Algorithms in Python 1st Edition John Canning

https://ebookmass.com/product/data-structures-algorithms-inpython-1st-edition-john-canning/

Data Structures E. Balagurusamy

https://ebookmass.com/product/data-structures-e-balagurusamy/

Absolute Beginner's Guide to Algorithms: A Practical Introduction to Data Structures and Algorithms in JavaScript Kirupa Chinnathambi

https://ebookmass.com/product/absolute-beginners-guide-toalgorithms-a-practical-introduction-to-data-structures-andalgorithms-in-javascript-kirupa-chinnathambi/

Fundamentals Of Python: Data Structures 2nd Edition

Kenneth A. Lambert

https://ebookmass.com/product/fundamentals-of-python-datastructures-2nd-edition-kenneth-a-lambert/

Absolute Beginner’s Guide to Algorithms: A Practical Introduction to Data Structures and Algorithms in JavaScript (for True Epub) Kirupa Chinnathambi

https://ebookmass.com/product/absolute-beginners-guide-toalgorithms-a-practical-introduction-to-data-structures-andalgorithms-in-javascript-for-true-epub-kirupa-chinnathambi/

Table of Contents

Cover Series Page

Title Page

Copyright Page

Preface

About this edition

Organization of the book

Salient features of the book

Target audience

Acknowledgments

8 Trees and Binary Trees

8.1. Introduction

8.2. Trees: definition and basic terminologies

8.3. Representation of trees

8.4. Binary trees: basic terminologies and types

8.5. Representation of binary trees

8.6. Binary tree traversals

8.7. Threaded binary trees

8.8. Applications

8.9. Illustrative problems

9 Graphs

9.1. Introduction

9.2. Definitions and basic terminologies

9.3. Representations of graphs

9.4. Graph traversals

9.5. Applications

9.6. Illustrative problems

10

Binary

Search Trees and AVL Trees

10.1. Introduction

10.2. Binary search trees: definition and operations

10.3. AVL trees: definition and operations

10.4. Applications

10.5. Illustrative problems

11 B Trees and Tries

11.1. Introduction

11.2. m-way search trees: definition and operations

11.3. B trees: definition and operations

11.4. Tries: definition and operations

11.5. Applications

11.6. Illustrative problems

12 Red-Black Trees and Splay Trees

12.1. Red-black trees

12.2. Splay trees

12.3. Applications

12.4. Illustrative problems

References

Index

Summary of Volume 1

Summary of Volume 3

Other titles from ISTE in Computer Engineering

End User License Agreement

List of Tables

Chapter 8

Table 8.1 Inorder traversal of binary tree shown in Figure 8.9

Table 8.2 Postorder traversal of binary tree shown in Figure 8.9

Table 8.3 Preorder traversal of binary tree shown in Figure 8.9

Table 8.4 Orientation of the binary trees with regard to expressions

Table 8.5 ISP and ICP of a common list of arithmetic operators

Table 8.6 Conversion of A* (B + C) – G$ into its postfix form

Chapter 9

Table 9.1 Trace of the breadth first traversal procedure on graph G (see Fig...

Table 9.2 Trace of Dijkstra’s algorithm on the weighted digraph (see Figure ...

Table 9.3 Trace of the Prim’s algorithm on the connected weighted undirected...

Table 9.4 Trace of Kruskal’s algorithm on the connected, weighted, undirecte...

Chapter 10

Table 10.1 Trace of Algorithm 10.1 for the retrieval of ITEM=333

Table 10.2 Trace of Algorithm 10.1 for the retrieval of ITEM=777

Table 10.3 Counting of binary search trees – a demonstration

List of Illustrations

Chapter 8

Figure 8.1. An example tree

Figure 8.2. Linked list representation of a tree

Figure 8.3. An alternative elegant linked representation of a tree

Figure 8.4. Tree structure of organic evolution

Figure 8.5. An example binary tree

Figure 8.6. Examples of full binary tree, complete binary tree, skewed binar...

Figure 8.7. Array representation of a binary tree

Figure 8.8. Linked representation of a binary tree

Figure 8.9. Binary tree to demonstrate inorder, postorder and preorder trave...

Figure 8.10. A threaded binary tree

Figure 8.11. Node structure of a linked representation of a threaded binary ...

Figure 8.12. Linked representation of threaded binary trees

Figure 8.13. Insertion of a node in the right subtree of a threaded binary t...

Figure 8.14. Example expression trees

Figure 8.15. Structure and representation of a segment tree

Figure 8.16. Recursive pseudo-code to undertake querying of a segment tree f...

Figure 8.17. Tree of recursive calls during execution of QUERYPROD_TREE to o...

Figure 8.18. Recursive pseudo-code procedure to undertake updates on a segme...

Figure 8.19. Tree of recursive calls during execution of UPDATEPROD_TREE for...

Chapter 9

Figure 9.1. The Koenigsberg bridge problem

Figure 9.2. Graph representation of the Koenigsberg bridge problem

Figure 9.3. A graph

Figure 9.4. A multigraph

Figure 9.5. A digraph and an undirected graph

Figure 9.6. A complete graph K4

Figure 9.7. Digraphs which are complete and not complete

Figure 9.8. Subgraphs of graphs G1 and G2 (see Figure 9.5)

Figure 9.9. Path between vertices of a graph (see Figure 9.5)

Figure 9.10. An undirected graph with two connected components

Figure 9.11. A strongly connected graph

Figure 9.12. Strongly connected components of a digraph

Figure 9.13. Graphs which are trees and not trees

Figure 9.14. Isomorphic graphs

Figure 9.15. A cut set of a graph

Figure 9.16. A labeled graph

Figure 9.17. An Euler graph

Figure 9.18. A Hamiltonian circuit

Figure 9.19. Adjacency matrix of an undirected graph

Figure 9.20. Adjacency matrix representation of a digraph

Figure 9.21. Incidence matrix representation of a graph

Figure 9.22. Circuit matrix representation of a graph

Figure 9.23. Cut set matrix representation of a graph

Figure 9.24. Path matrix representation

Figure 9.25. Adjacency list representation of a graph

Figure 9.26. A graph and its adjacency list representation to demonstrate br...

Figure 9.27. Tree of recursive calls showing the trace of procedure DFT(1) o...

Figure 9.28. A weighted digraph and its cost matrix

Figure 9.29. Spanning trees of a graph

Figure 9.30. A connected weighted undirected graph for the extraction of a m...

Chapter 10

Figure 10.1. Example binary search trees

Figure 10.2. Linked representation of a binary search tree

Figure 10.3. A binary search tree

Figure 10.4. Insertion of elements 701 and 332 into the binary search tree s...

Figure 10.5. Deletion of a key from a binary search tree

Figure 10.6. Deletion of keys 333, 891 and 416 from the binary search tree s...

Figure 10.7. Binary search trees for the sets S1 = { A, B, C, D, E, F, G, H,...

Figure 10.8. Deletion from a binary search tree resulting in a skewed binary...

Figure 10.9. Examples of AVL trees and non-AVL trees

Figure 10.10. Generic representation of an LL rotation

Figure 10.11. An example of LL rotation

Figure 10.12. Generic representation of an LR rotation

Figure 10.13. An example of LR rotation

Figure 10.14. Generic representation of an RR rotation

Figure 10.15. An example of RR rotation

Figure 10.16. Generic representation of an RL rotation

Figure 10.17. An example of RL rotation

Figure 10.18. Rotation free deletion of nodes in an AVL search tree

Figure 10.19. Generic representation of an R0 rotation

Figure 10.20. Deletion of a node calling for R0 rotation

Figure 10.21. Generic representation of an R1 rotation

Figure 10.22. Deletion of a node calling for R1 rotation

Figure 10.23. Generic representation of an R-1 rotation

Figure 10.24. Deletion of a node calling for R-1 rotation

Figure 10.25. Generic representations of L0, L1 and L-1 rotations

Figure 10.26. Representation of a sample keyword table using binary search t...

Figure 10.27. Searching for a keyword and a user id from a keyword symbol ta...

Chapter 11

Figure 11.1. Structure of a node in an m -way search tree

Figure 11.2. An example of a 4-way search tree

Figure 11.3. Search for keys 6 and 66 in the 4-way search tree shown in Figu...

Figure 11.4. Insertion of keys 95 and 25 into the 4-way search tree shown in...

Figure 11.5. Deletion (independent) of keys 9, 11 and 84 from the 4-way sear...

Figure 11.6. An example of 5-way search tree

Figure 11.7. Insertion of B, Y, L into the 5-way search tree shown in Figure...

Figure 11.8. Deletion (independent) of T, G and Q from the 5-way search tree...

Figure 11.9. A B tree of order 5

Figure 11.10. A B tree of order 3 (2-3 tree)

Figure 11.11. Insertion of a key K in a B tree of order m

Figure 11.12. Insertion of 29 and 96 in the B tree of order 5 shown in Figur...

Figure 11.13. Insertion of L , W and M for the 2-3 tree shown in Figure 11.13

Figure 11.14. Deletion of 80 and 77 from the B tree of order 5 shown in Figu...

Figure 11.15. Deletion of 44 and 36 from a B tree of order 5

Figure 11.16. Deletion of V and T from the B tree of order 3 shown in Figure...

Figure 11.17. Deletion of M from a B tree of order 3

Figure 11.18. An example trie

Figure 11.19. Insertion of SHIP and TRAM into the trie shown in Figure 11.18

Figure 11.20. Deletion of CAR and BIKE from the trie shown in Figure 11.18

Figure 11.21. An ISAM file structure

Figure 11.22. B + tree representation of a file index

Chapter 12

Figure 12.1. Node structure of a B tree of order m and its representation

Figure 12.2. Evolving a red-black tree from a 2-4 tree

Figure 12.3. Possible binary search tree representations of a node with two ...

Figure 12.4. An example red-black tree

Figure 12.5. Generic representations of LLr, LRr, RRr and RLr imbalances and...

Figure 12.6. An example LLr imbalance and its color change

Figure 12.7. An example RRr imbalance and its color change

Figure 12.8. Generic representations of LLb, LRb, RRb and RLb imbalances and...

Figure 12.9. An example of LRb, RLb imbalance

Figure 12.10. Inserting into a red-black tree (see example 12.4)

Figure 12.11. Generic representations of Rb0, Rb1 and Rb2 imbalances and the...

Figure 12.12. Generic representations of Rr0, Rr1 and Rr2 imbalances and the...

Figure 12.13. Example Rb0, Rb1 and Rb2 imbalances

Figure 12.14. Example of Rr0, Rr1 and Rr2 rotations

Figure 12.15. Deletion operations on a red-black tree (see example 12.7)

Figure 12.16. Deletion operations on a red-black tree (see example 12.8)

Figure 12.17. Splay rotations

Figure 12.18. Incorrect Zig-Zig using two single rotations

Figure 12.19. Splaying a binary search tree

Figure 12.20. Snapshots of the splay tree (see example 12.10)

One of the greatest lessons I have learnt in my life is to pay as much attention to the means of work as to its end… I have been always learning great lessons from that one principle, and it appears to me that all the secret of success is there; to pay as much attention to the means as to the end…. Let us perfect the means; the end will take care of itself.

Delivered at Los Angeles, California, January 4, 1900)

A Textbook of Data Structures and Algorithms 2

Mastering Nonlinear Data Structures

G A Vijayalakshmi Pai

First published 2022 in Great Britain and the United States by ISTE Ltd and John Wiley & Sons, Inc.

Previous edition published in 2008 as “Data Structures and Algorithms: Concepts, Techniques and Applications” by McGraw Hill Education (India) Pvt Ltd. © McGraw Hill Education (India) Pvt Ltd. 2008

Apart from any fair dealing for the purposes of research or private study, or criticism or review, as permitted under the Copyright, Designs and Patents Act 1988, this publication may only be reproduced, stored or transmitted, in any form or by any means, with the prior permission in writing of the publishers, or in the case of reprographic reproduction in accordance with the terms and licenses issued by the CLA. Enquiries concerning reproduction outside these terms should be sent to the publishers at the undermentioned address:

ISTE Ltd John Wiley & Sons, Inc.

27-37 St George’s Road 111 River Street London SW19 4EU Hoboken, NJ 07030

UK USA

www.iste.co.uk www.wiley.com

© ISTE Ltd 2022

The rights of G A Vijayalakshmi Pai to be identified as the author of this work have been asserted by her in accordance with the Copyright, Designs and Patents Act 1988. Any opinions, findings, and conclusions or recommendations expressed in this material are those of the author(s), contributor(s) or editor(s) and do not necessarily reflect the views of ISTE Group.

Library of Congress Control Number: 2022947241

British Library Cataloguing-in-Publication Data

A CIP record for this book is available from the British Library

ISBN 978-1-78630-891-7

Preface

Efficient problem solving using computers, irrespective of the discipline or application, calls for the design of efficient algorithms. The inclusion of appropriate data structures is of critical importance to the design of efficient algorithms. In other words, good algorithm design must go hand in hand with appropriate data structures for an efficient program design to solve a problem.

Data structures and algorithms is a fundamental course in computer science, which most undergraduate and graduate programs in computer science and other allied disciplines in science and engineering offer during the early stages of the respective programs, either as a core or as an elective course. The course enables students to have a much-needed foundation for efficient programming, leading to better problem solving in their respective disciplines.

Most of the well-known text books/monographs on this subject have discussed the concepts in relation to a programming language –beginning with Pascal and spanning a spectrum of them such as C, C++, C#, Java, Python and so on, essentially calling for ample knowledge of the language, before one proceeds to try and understand the data structure. There does remain a justification in this. The implementation of data structures in the specific programming language need to be demonstrated or the algorithms pertaining to the data structures concerned need a convenient medium of presentation and when this is the case, why not a programming language?

Again, while some authors have insisted on using their books for an advanced level course, there are some who insist on a working knowledge of the specific programming language as a prerequisite to using the book. However, in the case of a core course, as it is in most academic programs, it is not uncommon for a novice or a sophomore to be bewildered by the “miles of code” that demonstrate or explain a data structure, rendering the subject difficult to comprehend. In fact, the efforts that one needs to put in to comprehend the data structure

and its applications are distracted by the necessity to garner sufficient programming knowledge to follow the code. It is indeed ironic that while a novice is taught data structures to appreciate programming, in reality it turns out that one learns programming to appreciate data structures!

In my decades-old experience of offering the course to graduate programs, which admits students from diverse undergraduate disciplines, with little to no strong knowledge of programming, I had several occasions to observe this malady. In fact, it is not uncommon in some academic programs, especially graduate programs which, due to their shorter duration, have a course in programming and data structures running in parallel in the same semester, much to the chagrin of the novice learner! That a novice is forced to learn data structures through their implementation (in a specific programming language), when in reality it ought to be learning augmented with the implementation of the data structures, has been the reason behind the fallout.

A solution to this problem would be to

i. Frame the course such that the theory deals with the concepts, techniques and applications of data structures and algorithms, not taking recourse to any specific programming language, but instead settling for a pseudo-language, which clearly expounds the data structure. Additionally, supplementing the course material with illustrative problems, review questions and exercises to reinforce the students’ grasp of the concepts would help them gain useful insights while learning.

ii. Augment the theory with laboratory sessions to enable the student to implement the data structure in itself or as embedded in an application, in the language of his/her own choice or as insisted upon in the curriculum. This would enable the student who has acquired sufficient knowledge and insight into the data structures to appreciate the beauty and merits of employing the data structure by programming it themself, rather than “look” for the data structure in a prewritten code.

This means that text books catering to the fundamental understanding of the data structure concepts for use as course

material in the classroom are as much needed as the books that cater to the implementation of data structures in a programming language for use in the laboratory sessions. While most books in the market conform to the latter, bringing out a book to be classroom course material and used by instructors handling a course on data structures and algorithms, comprehensive enough for the novice students to benefit from, has been the main motivation in writing this book.

As such, the book details concepts, techniques and applications pertaining to data structures and algorithms, independent of any programming language, discusses several examples and illustrative problems, poses review questions to reinforce the understanding of the theory, and presents a suggestive list of programming assignments to aid implementation of the data structures and algorithms learned.

In fact, the book may either be independently used as a textbook since it is self-contained or serve as a companion for books discussing data structures and algorithms implemented in specific programming languages such as C, C++, Java, Python, and so on.

At this juncture, it needs to be pointed out that a plethora of programming resources and freely downloadable implementations of the majority of the data structures in almost all popular languages are available on the Internet, which can undoubtedly serve as good guides for the learner. However, it has to be emphasized that an earnest student of data structures and algorithms must invest a lot of time and self-effort in trying to implement the data structures and algorithms learned, in a language of one’s choice, all by oneself, in order to attain a thorough grasp of the concepts.

About this edition

This edition is a largely revised and enlarged version of its predecessor, published by McGraw Hill, USA. The earlier edition published in 2008 saw 15 reprints in its life span of 13 years (ending January 2022) and was recommended as a text book for the course in several universities and colleges. It comprised 17 chapters categorized into five parts and reinforced learning through 133

illustrative problems, 215 review questions and 74 programming assignments.

The features of this new edition are as follows:

There are 22 chapters spread across three volumes that detail sequential linear data structures, linked linear data structures, nonlinear data structures, advanced data structures, searching and sorting algorithms, algorithm design techniques and NPcompleteness.

The data structures of k-d trees and treaps have been elaborated in a newly included chapter (Chapter 15) in Volume 3.

The data structures of strings, bit rays, unrolled linked lists, selforganizing linked lists, segment trees and k-ary trees have been introduced in the appropriate sections of the existing chapters in Volumes 1 and 2.

The concepts of counting binary search trees and Kruskal’s algorithm have been detailed in the appropriate sections of the existing chapters in Volume 2.

Skip list search, counting sort and bucket sort have been included in the chapters on searching and sorting algorithms in Volume 3.

The algorithm design techniques of divide and conquer, the greedy method and dynamic programming have been elaborately discussed in Chapters 19–21 in Volume 3.

The concept of NP-completeness has been detailed in a newly included chapter, Chapter 22 in Volume 3.

Several illustrative problems, review questions and programming assignments have been added to enrich the content and aid in understanding the concepts. The new edition thus includes 181 illustrative problems, 276 review questions and 108 programming assignments.

Organization of the book

The book comprises three volumes, namely, Volume 1: Chapters 1–7, Volume 2: Chapters 8–12 and Volume 3: Chapters 13–22.

Volume 1 opens with an introduction to data structures and concepts pertaining to the analysis of algorithms, detailed in Chapters 1 and 2, which is essential to appreciate the theories and algorithms related to data structures and their applications.

Chapters 3–5 detail sequential linear data structures, namely, arrays, strings, bit arrays, stacks, queues, priority queues and dequeues, and their applications. Chapters 6 and 7 elucidate linked linear data structures, namely linked lists, linked stacks and linked queues, and their applications.

Volume 2 details nonlinear data structures. Chapters 8 and 9 elaborate on the nonlinear data structures of trees, binary trees and graphs, and their applications. Chapters 10–12 highlight the advanced data structures of binary search trees, AVL trees, B trees, tries, red-black trees and splay trees, and their applications.

Volume 3 details an assortment of data structures, algorithm design strategies and their applications.

Chapters 13–15 discuss hash tables, files, k-d trees and treaps. Chapter 16 discusses the search algorithms of linear search, transpose sequential search, interpolation search, binary search, Fibonacci search, skip list search and other search techniques.

Chapter 17 elaborates on the internal sorting algorithms of bubble sort, insertion sort, selection sort, merge sort, shell sort, quick sort, heap sort, radix sort, counting sort and bucket sort, and Chapter 18 discusses the external sorting techniques of sorting with tapes, sorting with disks, polyphase merge sort and cascade merge sort.

Chapters 19–21 detail the algorithm design strategies of divide and conquer, the greedy method and dynamic programming and their applications.

Chapter 22 introduces the theories and concepts of NPcompleteness.

For a full list of the contents of Volumes 2 and 3, see the summary at the end of this book.

Salient features of the book

The features of the book are as follows: all-around emphasis on theory, problems, applications and programming assignments; simple and lucid explanation of the theory; inclusion of several applications to illustrate the use of data structures and algorithms; several worked-out examples as illustrative problems in each chapter; list of programming assignments at the end of each chapter; review questions to strengthen understanding; self-contained text for use as a text book for either an introductory or advanced level course.

Target audience

The book could be used both as an introductory or an advanced-level textbook for undergraduate, graduate and research programs, which offer data structures and algorithms as a core course or an elective course. While the book is primarily meant to serve as a course material for use in the classroom, it could be used as a companion guide during the laboratory sessions to nurture better understanding of the theoretical concepts.

An introductory level course for a duration of one semester or 60 lecture hours, targeting an undergraduate program or first-year graduate program or a diploma program or a certificate program, could include Chapters 1–7 of Volume 1, Chapter 8 of Volume 2, Chapters 13, 16 (sections 16.1, 16.2, 16.5) and 17 (sections 17.1–17.3, 17.5, 17.7) of Volume 3 in its curriculum.

A middle-level course for a duration of one semester or 60 lecture hours targeting senior graduate-level programs and research programs such as MS/PhD could include Chapters 1–7 of Volume 1,

Chapters 8–11 of Volume 2, Chapter 13 and selective sections of Chapters 16–17 of Volume 3.

An advanced level course that focuses on advanced data structures and algorithm design could begin with a review of Chapter 8 and include Chapters 9–12 of Volume 2, Chapters 14 and 15 and selective sections of Chapters 16–18, and Chapters 19–22 of Volume 3 in its curriculum based on the level of prerequisite courses satisfied.

Chapters 8–10 and Chapter 11 (sections 11.1–11.3) of Volume 2 and Chapters 13, 14 and 18 of Volume 3 could be useful to include in a curriculum that serves as a prerequisite for a course on database management systems.

To re-emphasize, all theory sessions must be supplemented with laboratory sessions to encourage learners to implement the concepts learned in an appropriate language that adheres to the curricular requirements of the programs concerned.

Acknowledgments

The author is grateful to ISTE Ltd., London, UK, for accepting to publish the book, in collaboration with John Wiley & Sons Inc., USA. She expresses her appreciation to the publishing team, for their professionalism and excellent production practices, while bringing out this book in three volumes.

The author expresses her sincere thanks to the Management and Principal, PSG College of Technology, Coimbatore, India for the support extended while writing the book.

The author would like to place on record her immense admiration and affection for her father, Late Professor G. A. Krishna Pai and her mother Rohini Krishna Pai for their unbounded encouragement and support to help her follow her life lessons and her sisters Dr. Rekha Pai and Udaya Pai, for their unstinted, anywhere-anytimeanything kind of help and support, all of which were instrumental and inspirational in helping this author create this work.

G. A. Vijayalakshmi Pai

August 2022

8 Trees and Binary Trees

8.1. Introduction

In Chapters 3–5 (Volume 1), we discussed the sequential data structures of arrays, stacks and queues. These are termed as linear data structures since they are inherently unidimensional in structure. In other words, the items form a sequence or a linear list. In contrast, the data structures of trees and graphs are termed nonlinear data structures since they are inherently two dimensional in structure. Trees and their variants, binary trees and graphs, have emerged as truly powerful data structures registering an immense contribution to the development of efficient algorithms or efficient solutions to various problems in science and engineering.

In this chapter, we first discuss the tree data structure, the basic terminologies and representation schemes. An important variant of the tree, viz., binary tree, its basic concepts, representation schemes and traversals are elaborately discussed next. A useful modification to the binary tree, viz., threaded binary tree, is introduced. Finally, expression trees, segment trees and their related concepts are discussed as applications of binary trees.

8.2. Trees: definition and basic terminologies

8.2.1.

Definition of trees

A tree is defined as a finite set of one or more nodes such that i. there is a specially designated node called the root; ii. the rest of the nodes could be partitioned into t disjoint sets (t ≥ 0) each set representing a tree Ti, i = 1,2, . . . t known as subtree of the tree.

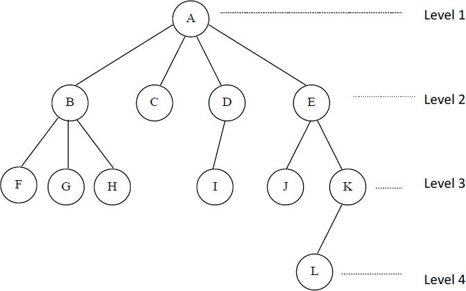
A node in the definition of the tree represents an item of information, and the links between the nodes termed as branches represent an association between the items of information. Figure 8.1 illustrates a tree.

The definition of the tree emphasizes on the aspect of (i) connectedness and (ii) absence of closed loops or what are termed cycles. Beginning from the root node, the structure of the tree permits connectedness of the root to every other node in the tree. In general, any node is reachable from anywhere in the tree. Also, with branches providing the links between the nodes, the structure ensures that no set of nodes link together to form a closed loop or a cycle.

Figure 8.1. An example tree

8.2.2. Basic terminologies of trees

There are several basic terminologies associated with the tree. The specially designated node called root has already been introduced in the definition.

The number of subtrees of a node is known as the degree of the node. Nodes that have zero degree are called leaf nodes or terminal nodes. The rest of them are called non-terminal nodes.

The nodes which hang from branches emanating from a node are known as children and the node from which the branches emanate is known as the parent node. Children of the same parent node are referred to as siblings. The ancestors of a given node are those nodes that occur on the path from the root to the given node.

The degree of a tree is the maximum degree of the node in the tree. The level of a node is defined by letting the root to occupy level 1 (some authors let the root occupy level 0). The rest of the nodes occupy various levels depending on their association. Thus, if a parent node occupies level i, its children should occupy level i + 1. This renders the tree to have a hierarchical structure with root occupying the top most level of 1. The height or depth of a tree is defined to be the maximum level of any node in the tree. Some authors define depth of a node to be the length of the longest path from the root node to that node, which yields the relation,

A forest is a set of zero or more disjoint trees. The removal of the root node from a tree results in a forest (of its subtrees!).

In Figure 8.1, A is the root node. The degree of node E is 2 and L is 0. F, G, H, C, I, J and L are leaf or terminal nodes and all the remaining nodes are non-leaf or non-terminal nodes. Nodes F, G and H are children of B, hence B is a parent node. Nodes J, K and nodes F, G, H are sibling nodes with E and B as their respective parents. For the node L, nodes A, E and K are ancestors. The degree of the tree is 4 which is the maximum degree and this is reported by node A. While node A which is the root node that occupies level 1, its children B, C, D and E occupy level 2 and so on. The height of the tree is its maximum level which is 4. Removal of A yields a forest of four disjoint (sub) trees viz., {B F G H}, {C}, {D, I} and {E, J, K, L}.

8.3. Representation of trees

Though trees are better understood in their pictorial forms, a common representation of a tree to suit its storage in the memory of a computer, is a list. The tree of Figure 8.1 could be represented in its list form as (A (B(F,G,H), C, D(I), E(J,K(L))) ). The root node comes first followed by the list of subtrees of the node. This is repeated for each subtree in the tree. This list form of a tree, paves way for a naïve representation of the tree as a linked list. The node structure of the linked list is shown in Figure 8.2(a).

The DATA field of the node stores the information content of the tree node. A fixed set of LINK fields accommodate the pointers to the child nodes of the given node. In fact the maximum number of links the node would require is equal to the degree of the tree. The linked representation of the tree shown in Figure 8.1 is illustrated in Figure 8.2(b). Observe the colossal wastage of space by way of null pointers!

An alternative representation would be to use a node structure as shown in Figure 8.3(a). Here TAG = 1 indicates that the next field (DATA/DOWNLINK) is occupied by data (DATA) and TAG = 0 indicates that the same is used to hold a link (DOWNLINK). The node structure of the linked list holds a DOWNLINK whenever it encounters a child node which gives rise to a subtree. Thus, the root node A has four child nodes, three of which, viz., B, D and E, give rise to subtrees. Note the DOWNLINK active fields of the nodes in these cases with TAG set to 0. In contrast, observe the linked list node corresponding to C which has no subtree. The DATA field records C with TAG set to 1.

8.2. Linked list representation of a tree

Figure

EXAMPLE 8.1.–

We illustrate a tree structure in the organic evolution which deals with the derivation of new species of plants and animals from the first formed life by descent with modification. Figure 8.4(a) illustrates the tree, and Figure 8.4(b) shows its linked representation.

Figure 8.3. An alternative elegant linked representation of a tree

8.4. Tree structure of organic evolution

8.4. Binary trees: basic terminologies and types

8.4.1. Basic terminologies

A binary tree has the characteristic of all nodes having at most two branches, that is, all nodes have a degree of at most 2. A binary tree can therefore be empty or consist of a root node and two disjoint binary trees termed left subtree and right subtree.

Figure 8.5 illustrates a binary tree.

Figure

Turn static files into dynamic content formats.

Create a flipbook
Issuu converts static files into: digital portfolios, online yearbooks, online catalogs, digital photo albums and more. Sign up and create your flipbook.