Analytical Methods for Environmental Contaminants of Emerging Concern
Edited by Núria Fontanals and Rosa Maria Marcé Universitat Rovira i Virgili, Spain
This edition first published 2022 © 2022 John Wiley & Sons Ltd
All rights reserved. No part of this publication may be reproduced, stored in a retrieval system, or transmitted, in any form or by any means, electronic, mechanical, photocopying, recording or otherwise, except as permitted by law. Advice on how to obtain permission to reuse material from this title is available at http://www.wiley.com/go/permissions.
The right of Núria Fontanals and Rosa Maria Marcé to be identified as the editors of this editorial material in this work has been asserted in accordance with law.
Registered Offices
John Wiley & Sons, Inc., 111 River Street, Hoboken, NJ 07030, USA
John Wiley & Sons Ltd, The Atrium, Southern Gate, Chichester, West Sussex, PO19 8SQ, UK
Editorial Office
The Atrium, Southern Gate, Chichester, West Sussex, PO19 8SQ, UK
For details of our global editorial offices, customer services, and more information about Wiley products visit us at www.wiley.com.
Wiley also publishes its books in a variety of electronic formats and by print-on-demand. Some content that appears in standard print versions of this book may not be available in other formats.
Limit of Liability/Disclaimer of Warranty
In view of ongoing research, equipment modifications, changes in governmental regulations, and the constant flow of information relating to the use of experimental reagents, equipment, and devices, the reader is urged to review and evaluate the information provided in the package insert or instructions for each chemical, piece of equipment, reagent, or device for, among other things, any changes in the instructions or indication of usage and for added warnings and precautions. While the publisher and authors have used their best efforts in preparing this work, they make no representations or warranties with respect to the accuracy or completeness of the contents of this work and specifically disclaim all warranties, including without limitation any implied warranties of merchantability or fitness for a particular purpose. No warranty may be created or extended by sales representatives, written sales materials or promotional statements for this work. The fact that an organization, website, or product is referred to in this work as a citation and/or potential source of further information does not mean that the publisher and authors endorse the information or services the organization, website, or product may provide or recommendations it may make. This work is sold with the understanding that the publisher is not engaged in rendering professional services. The advice and strategies contained herein may not be suitable for your situation. You should consult with a specialist where appropriate. Further, readers should be aware that websites listed in this work may have changed or disappeared between when this work was written and when it is read. Neither the publisher nor authors shall be liable for any loss of profit or any other commercial damages, including but not limited to special, incidental, consequential, or other damages.
A catalogue record for this book is available from the Library of Congress
Hardback ISBN: 9781119763864; ePub ISBN: 9781119763888; ePDF ISBN: 9781119763871; Obook ISBN: 9781119763895
Cover Images: © Damsea/Shutterstock; Cover image courtesy of Núria Fontanals
Cover Design: Wiley
Set in 9.5/12.5pt STIXTwoText by Integra Software Services Pvt. Ltd, Pondicherry, India
10 9 8 7 6 5 4 3 2 1
Contents
Contributors xi
Preface xv
1 Pesticides 1
Irene Domínguez, Rosalía López Ruiz, Antonia Garrido Frenich, and Roberto Romero González
1.1 Overview of Pesticides 1
1.1.1 Properties 1
1.1.2 Legislation 2
1.1.3 Reported or Potential Metabolites and/or Transformation Products 3
1.1.4 Occurrence in the Environment 4
1.2 Sample Preparation and Collection 9
1.2.1 Protocols for Collecting and Preparing Samples 9
1.2.2 Sample Extraction and Clean-up 10
1.3 Determination of Pesticides 20
1.3.1 Development of the Instrumental Method 20
1.3.1.1 Chromatography 20
1.3.1.2 Detection 22
1.3.2 Figures of Merit 24
1.3.3 Hints and Tips 24
1.4 Future Directions and Challenges 25
Acknowledgments 26
Bibliography 26
2 Pharmaceuticals 37
Monika Paszkiewicz, Hanna Lis, Magda Caban, Anna Białk-Bielińska, and Piotr Stepnowski
2.1 Overview of Pharmaceuticals 37
2.1.1 Properties 37
2.1.2 Reported or Potential Metabolites and/or Transformation Products 37
2.1.3 Occurrence 39
2.1.4 Legislation 44
2.2 Sampling and Sample Preparation 46
2.2.1 Solid Samples 46
2.2.2 Water Samples 47
2.3 Analytical Techniques for the Determination of Pharmaceuticals 51
2.3.1 Gas Chromatography and Gas Chromatography Coupled to Mass Spectrometry 51
2.3.2 Liquid Chromatography and Liquid Chromatography Coupled to Mass Spectrometry 55
2.4 Conclusion and Future Trends 60 References 60
3 Personal Care Products 71
Maria Llompart, Maria Celeiro, and Thierry Dagnac
3.1 Overview of Personal Care Products 71
3.1.1 Properties 71
3.1.2 Legislation 72
3.1.3 Transformation Products 73
3.1.4 Occurrence in the Environment 73
3.2 Sample Preparation for PCPs in the Aquatic Environment 74
3.2.1 Sorbent-based Methodologies 75
3.2.1.1 Solid-phase Extraction 75
3.2.1.2 Fabric Phase Sorptive Extraction 99
3.2.1.3 Stir-bar Sorptive Extraction 100
3.2.1.4 Solid-phase Microextraction 102
3.2.2 Liquid-based Extraction Techniques 104
3.2.2.1 Microextraction Liquid Phase Approaches: DLLME, SDME, USAEME 104
3.3 Determination of Personal Care Products 107
3.4 Future Directions and Challenges 108 Acknowledgements 108 References 109
4 New Psychoactive Substances 127
Noelia Salgueiro-González, Ettore Zuccato, and Sara Castiglioni
4.1 Overview of New Psychoactive Substances 127
4.1.1 Properties 127
4.1.2 NPS Market, Dynamics and International Control 130
4.1.3 Potential Metabolites and/or Transformation Products 131
4.1.4 Occurrence in the Environment 132
4.2 Sample Preparation and Collection 133
4.2.1 Urban Wastewater 133
4.2.1.1 Protocols for Collecting and Preparing Samples 133
4.2.1.2 Extraction Procedures and Clean-up 134
4.2.2 Other Environmental Matrices 136
4.3 Determination of New Psychoactive Substances 139
4.3.1 Development of the Instrumental Method 140
4.3.1.1 Chromatographic Separation 140
4.3.1.2 Detection 140
4.3.2 Figures of Merit 142
4.3.3 Hits and Tips 142
4.4 Future Direction and Challenges 143 Acknowledgments 144 References 144
5 Artificial Sweeteners 151 Konstatinos Vasilatos, Maria-Christina Nika, Georgios Gkotsis, and Nikolaos S. Thomaidis
5.1 Overview of Artificial Sweeteners 151
5.1.1 Properties 151
5.1.2 Legislation and Environmental Risk Assessment 154
5.1.3 Reported or Potential Metabolites and/or Transformation Products 155
5.1.4 Occurrence in the Environment 157
5.2 Sample Preparation and Collection 167
5.2.1 Protocols for Collecting and Preparing Samples 167
5.2.2 Sample Extraction and Clean-up 167
5.3 Determination of Artificial Sweeteners 172
5.3.1 Development of the Instrumental Method 172
5.3.1.1 Chromatography 172
5.3.1.2 Detection 175
5.3.2 Figures of Merit 177
5.3.3 Hints and Tips 178
5.4 Future Directions and Challenges 180 References 181
6 Perfluorinated Substances 187
Julian Campo and Yolanda Picó
6.1 Overview of Perfluoroalkyl Substances 187
6.1.1 Properties 190
6.1.2 Legislation 190
6.1.3 Reported or Potential Metabolites and/or Transformation Products 191
6.1.4 Occurrence in the Environment 193
6.2 Sample Preparation and Collection 197
6.2.1 Protocols for Collecting and Preparing Samples 197
6.2.2 Sample Extraction and Clean-up 199
6.3 Determination of PFASs 201
6.3.1 Development of the Instrumental Method 201
6.3.1.1 Chromatography-Mass Spectrometry 201
6.3.1.2 Biosensors 206
6.3.2 Figures of Merit 207
6.3.3 Hints and Tips 209
6.4 Future Directions and Challenges 210 References 212
7 High Production Volume Chemicals 223
Óscar Castro, Eva Pocurull, Francesc Borrull, Rosa Maria Marcé, and Núria Fontanals
7.1 Overview of High Production Volume Chemicals 223
7.1.1 Properties 223
7.1.2 Legislation 226
7.1.3 Reported or Potential Metabolites and/or Transformation Products 227
7.1.4 Occurrence 228
7.2 Sample Preparation and Collection 231
7.2.1 Protocols for Collecting and Preparing Samples 231
7.2.1.1 Water 231
7.2.1.2 Air and Dust 231
7.2.1.3 Soil, Sediments, and Sludge 232
7.2.1.4 Biota 232
7.2.2 Sample Extraction and Clean-Up 233
7.2.2.1 Water 233
7.2.2.2 Air and Dust 238
7.2.2.3 Soil, Sediments, and Sludge 244
7.2.2.4 Biota 247
7.3 Determination of High Production Volume Chemicals 251
7.3.1 Development of the Instrumental Method 251
7.3.2 Figures of Merit 253
7.3.3 Hints and Tips 253
7.4 Future Directions and Challenges 253 Acknowledgments 254 References 254
8 Musk Fragrances 263
Irene Aparicio, Julia Martín, Juan Luis Santos, and Esteban Alonso
8.1 Overview of Musk Fragrances 263
8.1.1 Properties 263
8.1.2 Legislation 267
8.1.3 Reported or Potential Metabolites and/or Transformation Products 267
8.1.4 Occurrence in the Environment 268
8.1.4.1 Occurrence in Wastewater and Sewage Sludge 268
8.1.4.2 Occurrence in Surface Water, Soils, Sediments and Air 269
8.1.4.3 Occurrence in Biota 269
8.2 Sample Preparation and Collection 270
8.2.1 Protocols for Collecting and Preparing Samples 270
8.2.1.1 Air Samples 270
8.2.1.2 Water Samples 270
8.2.1.3 Sludge, Soil and Sediment Samples 271
8.2.1.4 Biota 271
8.2.2 Sample Extraction and Clean-up 271
8.2.2.1 Air Samples 271
8.2.2.2 Water Samples 271
8.2.2.3 Sludge, Soil and Sediment Samples 276
8.2.2.4 Biota 276
8.3 Determination of Musk Fragrances 279
8.3.1 Chromatography 279
8.3.2 Detection 280
8.4 Future Directions and Challenges 280 References 281
9 Disinfection Byproducts in Water 287
Cristina Postigo, Joshua M. Allen, Amy A. Cuthbertson, María José Farré, and Susana Y. Kimura
9.1 Overview of Main DBP Classes 287
9.1.1 Properties 288
9.1.2 Legislation 298
9.1.3 Potential Metabolites and/or Transformation Products 308
9.1.4 Occurrence in the Environment 310
9.2 Sample Preparation and Collection 313
9.2.1 Protocols for Collecting and Preparing Samples 313
9.2.2 Sample Extraction and Clean-up 314
9.3 Determination of DBPs 320
9.3.1 Development of the Instrumental Method 320
9.3.1.1 Chromatography 320
9.3.1.2 Detection 328
9.3.2 Figures of Merit 330
9.3.2.1 Linearity 330
9.3.2.2 Precision and Accuracy 331
9.3.2.3 Sensitivity 332
9.3.3 Hints and Tips 333
9.4 Future Directions and Challenges 335 Acknowledgements 336 References 336
10 Microplastics 353 Marta Llorca and Marinella Farré
10.1 Overview of Micro- and Nanoplastics 353
10.1.1 Properties 353
10.1.2 Legislation 353
10.1.3 Origin and Distribution 354
10.1.4 Occurrence in the Environment 355
10.1.4.1 Water Systems 355
10.1.4.2 Sediments 358
10.1.4.3 Biota 359
10.2 Sample Preparation and Collection 360
Contents x
10.2.1 Protocols for Collecting and Preparing Samples 360
10.2.1.1 Water 360
10.2.1.2 Sediment 360
10.2.1.3 Biota 360
10.2.2 Sample Extraction and Clean-up 361
10.2.2.1 Separation 361
10.2.2.2 Matrix Removal by Digestion 362
10.3 Determination of MNPLs 362
10.3.1 Physical Characterization 362
10.3.2 Chemical Characterization 362
10.4 Future Directions and Challenges 363 Acknowledgments 363 References 363
Index 375
Contributors
Joshua M. Allen
Department of Chemistry
High Point University North Carolina, USA
Esteban Alonso
Departamento de Química Analítica
Universidad de Sevilla Sevilla, Spain
Irene Aparicio
Departamento de Química Analítica
Universidad de Sevilla Sevilla, Spain
Anna Białk-Bielińska
Department of Environmental Analysis University of Gdansk Gdansk, Poland
Francesc Borrull
Department of Analytical Chemistry and Organic Chemistry
Universitat Rovira i Virgili Tarragona, Spain
Magda Caban
Department of Environmental Analysis
University of Gdansk Gdansk, Poland
Julian Campo
Desertification Research Center (CIDE)
Environmental and Food Safety Research University of Valencia Moncada, Valencia, Spain
Sara Castiglioni
Department of Environmental Health Science
Istituto di Ricerche Farmacologiche Mario Negri – IRCCS Milan, Italy
Óscar Castro
Department of Analytical Chemistry and Organic Chemistry
Universitat Rovira i Virgili Tarragona, Spain
Maria Celeiro
Department of Analytical Chemistry
Nutrition and Food Science
Universidade de Santiago de Compostela Santiago de Compostela, Spain
Amy A. Cuthbertson
Department of Civil and Environmental Engineering
University of California Berkeley, CA, USA
Contributors
Thierry Dagnac
Agronomic and Agrarian Research Centre (AGACAL-CIAM) Unit of Organic Contaminants A Coruña, Spain
Irene Domínguez
Department of Chemistry and Physics University of Almeria Almeria, Spain
María José Farré
Catalan Institute for Water Research (ICRA)
University of Girona Girona, Spain
Marinella Farré
Department of Environmental Chemistry Institute of Environmental Assessment and Water Research (IDAEA)-CSIC Barcelona, Spain
Núria Fontanals
Department of Analytical Chemistry and Organic Chemistry Universitat Rovira i Virgili Tarragona, Spain
Antonia Garrido Frenich
Department of Chemistry and Physics University of Almeria Almeria, Spain
Georgios Gkotsis Department of Chemistry
National and Kapodistrian University of Athens Athens, Greece
Susana Y. Kimura
Department of Chemistry University of Calgary Calgary, AB, Canada
Hanna Lis
Department of Environmental Analysis University of Gdansk Gdansk, Poland
Maria Llompart
Department of Analytical Chemistry, Nutrition and Food Science Universidade de Santiago de Compostela Santiago de Compostela, Spain
Marta Llorca
Department of Environmental Chemistry Institute of Environmental Assessment and Water Research (IDAEA)-CSIC Barcelona, Spain
Rosalía López Ruiz
Department of Chemistry and Physics University of Almeria Almeria, Spain
Rosa Maria Marcé Department of Analytical Chemistry and Organic Chemistry
Universitat Rovira i Virgili Tarragona, Spain
Julia Martín
Departamento de Química Analítica Universidad de Sevilla Sevilla, Spain
Maria-Christina Nika Department of Chemistry
National and Kapodistrian University of Athens Athens, Greece
Monika Paszkiewicz
Department of Environmental Analysis University of Gdansk Gdansk, Poland
Yolanda Picó
Desertification Research Center (CIDE)
Environmental and Food Safety Research University of Valencia Moncada, Valencia, Spain
Eva Pocurull
Department of Analytical Chemistry and Organic Chemistry
Universitat Rovira i Virgili Tarragona, Spain
Cristina Postigo
Department of Environmental Chemistry Institute of Environmental Assessment and Water Research (IDAEA)-CSIC Barcelona, Spain
Roberto Romero González Department of Chemistry and Physics University of Almeria Almeria, Spain
Noelia Salgueiro-González Department of Environmental Health Science
Istituto di Ricerche Farmacologiche Mario Negri – IRCCS Milan, Italy
Juan Luis Santos Departamento de Química Analítica Escuela Politécnica Superior Universidad de Sevilla Sevilla, Spain
Piotr Stepnowski Department of Environmental Analysis University of Gdansk Gdansk, Poland
Nikolaos S. Thomaidis Department of Chemistry
National and Kapodistrian University of Athens
Athens, Greece
Konstatinos Vasilatos Department of Chemistry
National and Kapodistrian University of Athens
Athens, Greece
Ettore Zuccato Department of Environmental Health Science
Istituto di Ricerche Farmacologiche Mario Negri – IRCCS Milan, Italy
Preface
The occurrence of organic compounds of emerging concern (CECs) in the environment has given rise to growing unease. Although most CECs have been present in the environment for years, some of them have only recently been identified. Thus, some of these compounds remain unregulated and their toxicity and risk unstudied. They occur in different environmental compartments at trace levels (low ppb or ppt). Moreover, CECs belong to different families with several origins and have a broad range of physicalchemical properties. To respond to this situation, sensitive and selective analytical methods have been developed to determine different types of CECs in a broad range of environmental samples. Most of these analytical methods comprise sample preparation followed by chromatographic separation coupled to mass spectrometry. The specific requirements at each step of the analytical method are linked to the properties of the contaminants and sample matrix.
The aim of this book was to compile the analytical methods available to determine CECs in environmental samples. It is organized by families of CECs, with each chapter presenting complete information for each family. The chapters are dedicated to the following families of CECs: pesticides (Chapter 1); pharmaceuticals (Chapter 2); personal care products (Chapter 3); novel psychoactive substances (Chapter 4); artificial sweeteners (Chapter 5); perfluorinated substances (Chapter 6); high production volume chemicals (Chapter 7); musk fragrances (Chapter 8); disinfection byproducts (Chapter 9); and microplastics (Chapter 10). The relevant environmental samples are covered in each chapter (i.e., family of CECs): different types of water (drinking, tap, surface, and sewage), solids (sediment, soil, sludge, dust, as well as biota), and atmospheric samples (air and particulate matter). With a few exceptions, the content of each chapter is organized into the same sections – an overview, sample preparation and collection, determination, and future directions. In each chapter, different analytical methods are proposed through examples of cutting-edge research studies that are summarized in the form of tables to provide an overview of the state of the art; however, the common methods currently employed are also described so that the reader can identify the methods typically used. Thus, this book provides a detailed description of the different approaches for determining each group of CECs in environmental samples with distinctive, critical information about the state of the art for their determination in the environment. The editors truly
Preface xvi
hope that this book will serve to help researchers, industrial experts, students, decisionmakers, and interested members of society learn about the approaches available to monitor each family of CECs, covering most of the CECs occurring in the environment.
We would like to acknowledge the authors for their invaluable contributions. All of the authors of this book are experts and skilled professionals in environmental trace analysis and, in particular, in each of the families of CECs addressed in each specific chapter. Without their effort and dedication, this book would have not been possible. We also sincerely thank our readers for their interest in this book. Thanks for reading and we hope you enjoy it!
Núria Fontanals and Rosa Maria Marcé
October 2021
1
Pesticides
Irene Domínguez, Rosalía López Ruiz, Antonia Garrido Frenich, and Roberto Romero González
Department of Chemistry and Physics, Andalusian Center for the Assessment and Monitoring of Global Change (CAESCG), University of Almeria, Agrifood Campus of International Excellence, Almeria, Spain
1.1 Overview of Pesticides
There are thousands of chemicals that can enter the environment and pesticides are among the most significant. They have been used in the last decades in several areas, but agricultural activity is the main source of the impact of pesticides in the environment and therefore they can be present in soil, water, crops as well as in the atmosphere [1].
1.1.1 Properties
Pesticides are a class of chemicals used to limit, inhibit or prevent the growth of harmful animals, insects, weeds or fungi [2]. They can be classified according to different criteria, such as target organism, origin or chemical structure, but the most common is considering the target organism, being herbicides, fungicides, insecticides, etc., among others [3]. There are more than 800 active components and they are available in different accessible products [4]. Despite the benefits of the use of these compounds, they can be toxic to humans and many of them have been classified as endocrine disruptors, and carcinogenic effects have also been reported [5].
The widespread use of pesticides in combination with their physico-chemical properties, such as water solubility, octanol/water partition coefficient, volatility and stability against degradation by abiotic and biotic factors, are the reasons for their distribution and occurrence in different environmental matrices such as water, soil, air and biota [6] by physical processes as sedimentation leaching, sorption and volatilization.
Once pesticides are in the environment, they can be transformed by biotic or abiotic process [7], increasing the number of potential transformation products (TPs) that can be detected, and most of them are still unknown [8]. In this sense, TPs could also have environmental concern and so in addition to the parent compounds they should also be monitored in order to get a comprehensive overview of the environmental fate of pesticides.
Analytical Methods for Environmental Contaminants of Emerging Concern, First Edition. Edited by Núria Fontanals and Rosa Maria Marcé.
© 2022 John Wiley & Sons Ltd. Published 2022 by John Wiley & Sons Ltd.
1.1.2
Legislation
The presence of these pollutants poses a potential risk for the environment and human health and, therefore, international organizations have set legal limits regarding the presence of pesticides in water and other environmental matrices, for controlling and preventing contamination of environmental ecosystems.
For instance, in Europe, the Water Framework Directive (WFD) is intended to protect transitional waters, inland surface waters, coastal waters and groundwater. Strategies against the chemical pollution of surface waters led to the Directive 2008/105/EC [9], establishing concentration limits of 33 priority substances and 8 other pollutants, including some pesticides such as simazine and trifluralin. Priority substances are considered to pose a significant risk to or via the aquatic environment, so environmental quality standards (EQSs) were set for each of them. Then, amending Directive 2013/39/EU [10] introduced 12 new compounds to the list and the need to establish an additional list of potential water pollutants (Watch List) that should be carefully monitored to support future reviews of the priority substances list. Currently, among the priority substances are 24 pesticides with Annual Average EQS (AA-EQS) values ranging from 1 × 10−8 µg l−1 for heptachlor and heptachlor epoxide to 1 µg l−1 for simazine. In 2020, the European Union (EU) established a new Watch List of substances, including azole compounds and providing maximum acceptable method detection limits for them from 29 to 199 ng l−1 [11]. Additionally, the Drinking Water Directive 98/83/EC, amended by EU 2015/1787 [12], set special quality requirements for water for human consumption. It set concentration limits for a range of hazardous substances, including pesticides, establishing a general maximum individual concentration of 0.1 µg l−1 for individual pesticides (0.030 µg l−1 in the case of aldrin, dieldrin, heptachlor and heptachlor epoxide) and 0.5 µg l−1 for the sum of all individual pesticides and relevant metabolites/TPs detected. The same values, 0.1 and 0.5 µg l−1, for individual and total pesticides respectively, are established as groundwater quality standards in Directive 2006/118/ EC [13] on the protection of groundwater against pollution and deterioration.
In the same way, the Clean Water Act (CWA) in the United States (US) establishes the basic structure for regulating quality standards for surface waters discharges of pollutants into the waters. In addition, the Safe Drinking Water Act (SDWA) was aimed at protecting drinking water and its sources (rivers, lakes, reservoirs, springs and groundwater wells). SDWA authorizes the US Environmental Protection Agency (US EPA) to set national health-based standards for drinking water to protect against contaminants, such as pesticides, that may be found in drinking water [14–16]. In this case, the proposed substance priority list is based on a combination of their frequency, toxicity and potential for human exposure at National Priorities List (NPL) sites, setting criterion maximum concentration (CMC) values for each of the pollutants listed. Aldrin, dieldrin, heptachlor and heptachlor epoxide show the lowest CMC values, between 7.7 × 10−7 and 3.2 × 10−5 µg l−1.
Whereas different countries have set pesticide regulation in water matrices, regulation in soils is scarce. For instance, Spain set generic reference levels for a limited number of substances (< 60), some of them considered as persistent organic contaminants, such as dichloro-diphenyl-trichloroethane (DDT) or dichloro-diphenyl-dichloroethane (DDE), whose reference levels were 0.2 mg kg−1 and 0.6 mg kg−1 respectively [17]. These reference levels, in terms of human protection, are the maximum concentration of a substance in the soil that guarantee that contamination does not pose an unacceptable risk
to humans. In addition to complying with generic reference levels, it is necessary to determine through toxicological tests that these substances do not present a serious risk to the ecosystem.
1.1.3 Reported or Potential Metabolites and/or Transformation Products
Pesticides in the environment may experience different chemical reactions, leading to the appearance of TPs and metabolites. These compounds have potentially harmful impacts on organisms, even more than their precursors [18], making their monitoring essential. However, because of the great variety of TPs, it is difficult to carry out a comprehensive analysis of their presence, and in consequence, a risk assessment evaluation.
The metabolic/transformation pathways of pesticides can be affected by biological or/ and physico-chemical factors in the environment [19]. Hydrolysis is an important degradation mode of pesticides; however, multiple TPs may be produced from different processes, even after hydrolysis [20, 21].
It was noted that the number of substances that must be considered for environmental risk significantly multiplied by a factor of 7.5, just when the precursor compounds were subjected to a photolysis process [22]. This has been observed for terbutryn, mecoprop, penconazole, boscalid diuron and octhilinone pesticides in Figure 1.1, where the number of compounds that should be monitored in environmental samples considerably increase because of the presence of TPs. After evaluating genotoxicity of the proposed TPs, it was suggested that the number of substances that pose a risk onto the aquatic environment increased by a factor of >4. This fact, together with the high incidence of TPs and metabolites in natural waters, constitutes a major concern that needs to be addressed from an analytical and legislative point of view.
Several studies have revealed the presence of TPs and metabolites in waters at higher concentrations than the parent compounds [23, 24]. The physico-chemical properties (higher mobility and polarity) of the TPs and metabolites might facilitate the migration between surface water and groundwater. Since groundwater is the greatest source of freshwater in the world, the occurrence of some relevant metabolites and/or TPs led to the restriction in the use of certain pesticides, as was recently the case for chlorothalonil and previously simazine and atrazine, among others. Most of the TPs/metabolites found in natural waters are related to acetanilide and triazine herbicides [25]. Such is the case for ethanesulfonic acid (ESA) and oxanilic acid (OA), degradation products of alachlor, metolachlor, as well as acetochlor, and atrazine-desethyl (DEA), atrazine-desisopropyl (DIA), terbumeton-desethyl (TED), terbuthylazine-desethyl (TD) and terbuthylazine2-hydroxy (T2H). Different analysis has also revealed the occurrence of 2,6-dichlorobenzamide (BAM) from dichlobenil, aminomethyl phosphonic acid (AMPA) from glyphosate, desphenyl chloridazon and methyldesphenyl chloridazon from the herbicide chloridazon and N,N-dimethylsulfamide (DMS) formed from the fungicide tolylfluanid [23, 25–27].
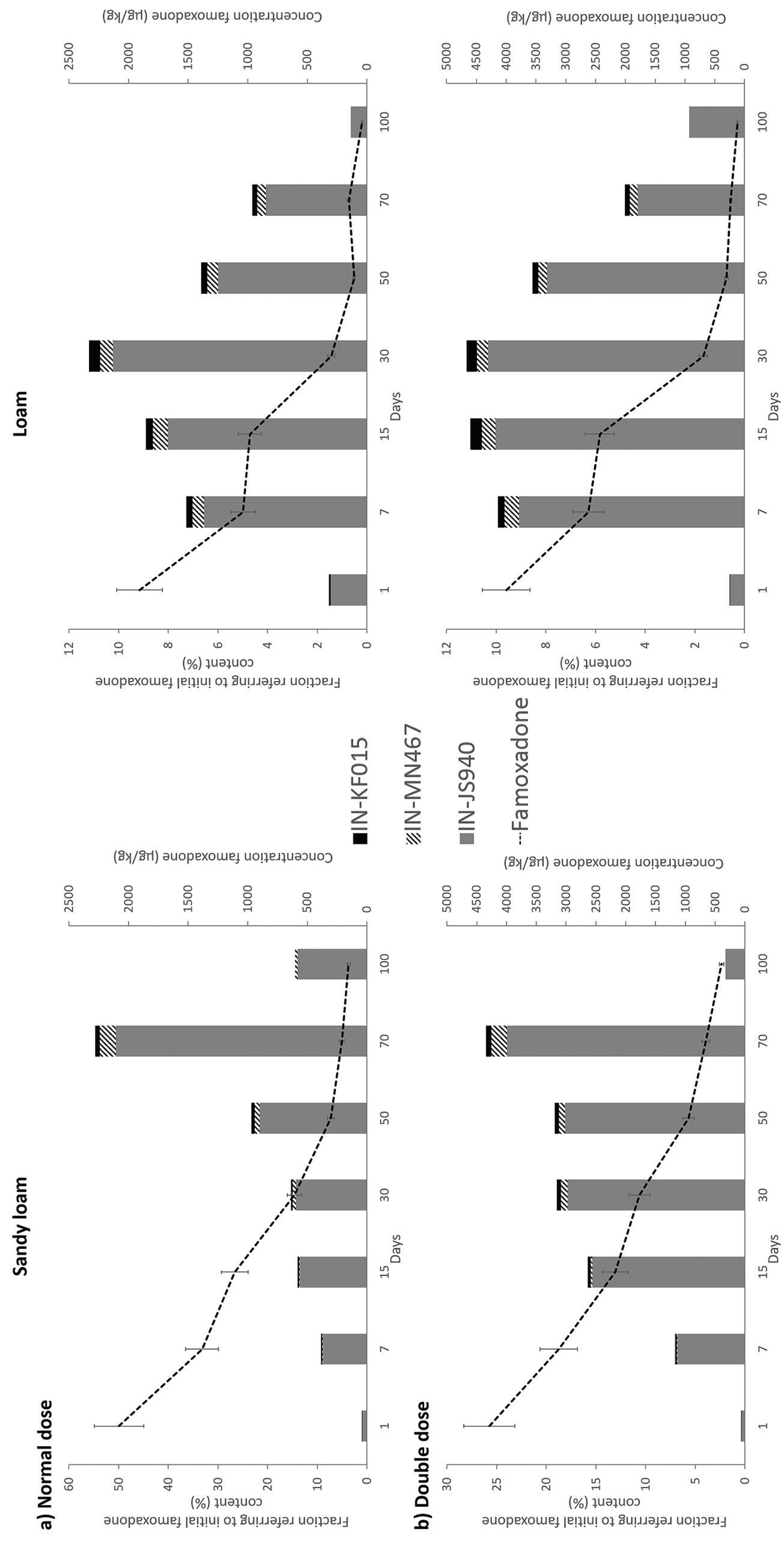
Metabolites were also detected in soils, especially when dissipation studies have been carried out. For instance, nine metabolites of famoxadone were detected in soil samples [28], with IN-JS940 the metabolite detected at the highest percentage in relation to the parent compound, as can be observed in Figure 1.2. Therefore, risk assessment is needed to evaluate
Figure 1.1 Forty-five TPs originating from six pesticidal parent compounds. Illustration of the multiplication of known substances that should be further investigates by an environmental risk assessment. Source [22]. Reproduced with permission of Elsevier B.V.
potential hazards to the fauna and flora. Tiwari et al. [29] evaluated the presence of endosulfan and chlorpyrifos metabolites in soils because of the higher toxicity of some of these compounds as chlorpyrifos oxon. They determined that metabolite concentrations increased throughout the study when the concentration of the parent molecule decreased. Moreover, it was observed that concentration of metabolites was higher in soil matrices than in water. In the same way, when 2,4-dichlorophenoxyacetic acid (2,4-D) is applied on crops or on soil, it will undergo chemical, biological and physical degradation processes depending on the environmental factors, which will determine the metabolites formed. For example, 2,4-D DMA (2,4-D dimethylamine salts) is dissociated to 2,4-D acid after its application on the soil [30], so in addition to the parent compound, different TPs should be monitored.
1.1.4 Occurrence in the Environment
Pesticides and their TPs/metabolites are widely distributed in the environment and they can be detected in water, soil, sediments, aquatic biota and air [31], as can be observed in Figure 1.3, because of surface runoff from arable lands, leaching from drainage systems, volatilization, etc. They can have toxic effects in population living close to these areas [32]. For instance, when pesticides are applied in agricultural areas, approximately
Figure 1.2 Metabolite behavior according to the concentration of famoxadone during monitoring period (100 day) for soil experiments at: (a) normal dose (2.4 mg g −1 soil) and (b) double dose (4.8 mg g −1 soil). Source [28]. Reproduced with permission of Elsevier B.V.
Figure 1.3 Neonicotinoid insecticides in the environment: sources, pathways, receptors and related process. Source [31]. Reproduced with permission of Elsevier B.V.
20–30% of the amount is lost due to the spray drift process, whereas another significant fraction is placed into the soil or surface waters [33].
Pesticides have been widely detected in the aquatic media. Several scientific papers and technical reports have revealed the presence of pesticides in surface water, groundwater, drinking water as well as treated wastewater which is intended to be discharged in surface waters [34].
In 2018 the European Environment Agency (EEA) indicated that chemical status of surface waters, related to pesticides, has improved between the 1st and 2nd River Basin Management Plants (RBMPs) assessments [35]. However, pesticides listed as priority substances were still detected. Among them, isoproturon and hexachlorocyclohexane were the most frequently reported, followed by endosulfan and chlorpyrifos. Furthermore, the presence of pesticides in groundwater is a failure to achieve good chemical status. As reported by EAA, several groundwater bodies exceed the permitted concentrations set by EU of total pesticides, as well as the level set for desethylatrazine, atrazine and simazine.
Herbicides such as atrazine and fungicides such as metalaxyl have been detected in aquifers for drinking water in US [25]. The most found pesticide in drinking water in Ireland was 2-methyl-4-chlorophenoxyacetic acid (MCPA), widely used for rush control in grassland [36].
A recent study in The Netherlands, intended to assess the occurrence of pesticides in ground and surface water used as drinking water sources, has revealed the detection of 15 recently authorized pesticides, such as fluopyram and thiamethoxam, which demonstrates the importance of keeping routine monitoring methods [36].
Non-agricultural uses of pesticides are also common in urban environments, such as indoor uses or applications in gardens, roads and sealed areas, among others. As a result, triazine herbicides (atrazine, simazine and prometon) and organophosphate insecticides (chlorpyriphos and diazinon) are frequently detected in U.S. urban surface waters [34].
Pesticide occurrence in soils was inversely related to the occurrence in surface water, and one of the main factors is the hydrophobicity of the compounds, expressed by the n-octanol/water partition coefficient (Kow). Thus, pesticides with log Kow > 3 were more detectable in soils than in water. In a study performed in Argentine ecosystem, it was observed that the most detected herbicide residues (>30% of detection frequency) were acetochlor, atrazine and its metabolite (hydroxyatrazine), flurochloridone, glyphosate and its metabolite (aminomethylphosphonic acid, AMPA) and metolachlor, whereas the most frequently detected insecticides were chlorpyrifos and imidacloprid [37]. In this study, glyphosate and its metabolite AMPA were also found in all the environmental samples (soil, sediments and surface water), detecting AMPA up to 713 mg kg−1, glyphosate at 32 mg kg−1 and 5 mg l−1 in sediments and water respectively.
Another group of pesticides really known for their persistence are 2,4-D-based herbicides. The two chlorine that are present in their molecules confers persistence with an estimate half-life between 7 and 312 days, which depends on the environmental conditions [38]. Several studies have reported the presence of 2,4-D and derivates in the environment because of different activities, such as agricultural activities and rain and irrigation water. Discharges from manufacturing plants, leaching and accidental spills [39] represent an important source of the aforementioned herbicide.
The key properties that determine the presence of pesticides and their accumulation in biota are hydrophobicity and persistence. Thus, if water solubility is <1 mg l−1 or log Kow is >3, they have the potential to accumulate in biota and it may be an indicator of contamination [40]. For instance, earthworms are used as indicators to the response of pesticides [41], but fish are considered as major reservoirs of pesticides and their concentration in fish tissues has been used as an indicator of bioaccumulation [42]. High concentrations of organochlorine pesticides (OCPs) have been found in fish tissues from aquatic environments in Africa [43], detecting DDTs, lindane, mirex and endosulfan at concentrations up to 100 µg kg−1. Other studies, developed in South-America (southeastern Brazil and the coast of the Argentinean Pampas), showed that lindane and endosulfan levels could cause long-term or short-term damage to biota [44]. Additionally, it was observed that OCPs were highly bioaccumulated in soil mesofauna (up to 260 µg g−1) [45].
In the last years, several river basins were monitored in the Iberian Peninsula, and in addition to water and sediment, biota was also analyzed. Thus, 50 pesticides were monitored in Guadalquivir river basin, but none of them were detected in biota, although there were detected in water and sediments, especially organophosphorus and triazines at concentrations up to 13 ng l−1 in water and 13.2 ng g−1 dry weight (dw) in sediment [46]. However, azinphos-ethyl, chlorpyriphos, diazinon, dimethoate and ethion were detected in different species of fish from Jucar river basin, observing that the maximum average concentration was found in European eels (up to 0.024 ng kg−1), whereas in water, dichlofenthion, imazalil pyriproxyfen and prochloraz, commonly used in farming activities, were mainly detected [47]. In biota from Llobregat river basin, chlorpyrifos and azinphos-ethyl were detected at 44.75 ng g−1 dw and 105.81 ng g−1 dw, indicating possible bioaccumulation. Nevertheless, authors concluded that these values do not represent a high risk to biota. On the other hand, triazines, organophosphorus and neonicotinoids were mainly detected in water, at concentrations >600 ng l−1, as can be observed in Figure 1.4, with chlorpyrifos the compound most widely detected in soils, at concentrations up to 130 ng g−1 dw [48]. Additionally, the Ebro river basin was also monitored, detecting imazalil and diuron at the highest concentrations in water (410 and 150 ng l−1 respectively), chlorpyrifos, diazinon

Figure 1.4 Pesticide families detected in (A) water, (B) sediment and (C) fish samples from Llobregat basin in 2010 and 2011 according to the sampling point. Source [48]. Reproduced with permission of Elsevier B.V.
and diclofenthion in sediments, whereas the only compound detected in biota was chlorpyrifos, which was detected at concentrations up to 840.2 ng g−1 [49].
The presence of pesticides in air depends on the specific agricultural areas, as well as those pesticides that can be transported from nearby places, observing a relationship between the concentration of some of the compounds detected in air and diseases and mortality [50].
Several studies were performed to monitor the presence of pesticides in outdoor and indoor air [51], bearing in mind that volatile pesticides, such as OCPs, can largely remain in the atmosphere after volatilizing from contaminated soils and water. For instance, p,p’-DDT and p,p’-DDD were detected in African air at concentrations of 47 pg m−3 and
1.2 Sample Preparation and Collection 9 12 pg m−3 respectively, whereas other compounds as dieldrin, hexachlorobenzene (HCB), aldrin, lindane and chlordane were also detected but at lower concentrations [52].
In a study developed in Vietnam, 452 pesticides were included in a database, detecting 18 (12 insecticides, 4 herbicides and 2 fungicides) in the collected air samples, and the total concentration ranged from 3.35 to 89.0 ng m−3, with the most detected pesticides being permethrin, carbofuran, fenobucarb and chlorpyrifos as well as metolachlor [53]. Some prohibited pesticides in the EU, such as chlorpyrifos, permethrin, deltamethrin, cypermethrin and carbofuran, were also detected [53]. In the same country, 26 pesticides (13 pesticides, 7 fungicides and 6 herbicides) were detected in the air samples, at higher concentrations, ranging from 43 to 370 ng m−3. Permethrins, chlorpyrifos and propiconazole were detected and this may result from their widespread use for both agricultural and domestic purposes in rural areas [54].
Due to their high persistence, OCPs were monitored in addition to current-use pesticides (CUPs) in two National Parks in the Rio de Janeiro State. The highest concentrations of endosulfan (up to 3202 pg m−3), cypermethrin (881 pg m−3) and chlorpyrifos (270 pg m−3) indicated background air levels of OCPs. On the other hand, CUPs seemed to behave like pseudo-persistent organic pollutants (POPs) although it was believed that they are not persistent in the environment [55].
In another study, carbendazim, metalaxyl, myclobutanil and terbuthylazine were detected in air from rural areas of Valencia (Spain) at concentrations ranging from 16 to 174 pg m−3 [56].
Bearing in mind that pesticides can easily adhere to the particulate matter, they have also been analyzed in this matter. Thus, 40 CUPs were determined in PM10 of Valencia Region (Spain) observing that omethoate was detected at the highest average level (141 pg m−3) [57].
A similar study was performed in the “Todos los Santos Bay” region (Brazil), where 13 pesticides were analyzed in PM2.5 samples, and concentrations ranged from 20 to 315 pg m−3, being carbofuran, malathion and permethrin, the compound most widely detected [58].
1.2 Sample Preparation and Collection
In order to ensure accurate pesticide determination in environmental samples, sample collection and preparation should be carefully designed to minimize potential errors during these steps and therefore error propagation will be limited.
1.2.1
Protocols for Collecting and Preparing Samples
Sample collection is critical to get representative samples as well as to avoid any modification of the initial chemical composition of the sample.
For instance, a guidance on sampling water techniques can be found in the ISO Standard on Water Quality – Sampling 5667. The selection of sampling point, which should cover the area of surveillance, must be subject to local conditions, such as water homogeneity and vertical and lateral mixing.
The sample containers as well as transport and storage arrangements should not lead to changes in the relevant chemical status. Therefore, according to sampling for synthetic organic compounds, water samples must be stored in glass, polytetrafluoroethylene
(PTFE) or stainless-steel containers, and they should be analyzed within 24 hours and stored in the dark at 1–5°C.
On the other hand, the development and application of passive sampling techniques are highly recommended [59]. Those techniques allow for the accumulation of pesticides by passive diffusion onto a liquid or solid absorbent showing affinity for a certain type of substance. The semipermeable membrane device (SPMD) and the polar organic chemical integrative sampler (POCIS) are the most common passive samplers for organic pollutants. SPMD based on triolein sorbent can be applied for neutral organic chemicals with a log Kow > 3 (lipophilic pesticides), while POCIS, which uses Oasis HLB phase, is intended for the sorption of more water-soluble organic chemicals with Kow < 3 (polar pesticides). To ensure the monitoring of a high number of pollutants, different types of passive samplers could be used together [6]. In this sense, an interlaboratory study on passive sampling of emerging water pollutants showed low interlaboratory variability in the analysis of replicate samplers when POCIS was used for the monitoring of 7 polar pesticides. The same study established a series of recommendations to take into consideration, especially when passive samplers are combined with liquid chromatographic-mass spectrometric (LC-MS) methods [60].
In the same way, soil samples should be collected from growing fields using a grid pattern uniformly distributed. For instance, a 3 × 3 grid is commonly used for smaller fields, whereas 5 × 5 or even larger grids are used for very large fields and a “W” or “Z” pattern is commonly used. Each sample site represents one portion of the total sample, and then a composite sample can be formed, ensuring homogeneity. Normally, samples are collected at a 15 cm depth. Moreover, additional steps such as removing litter, plant roots and big stones from the soil samples could be needed [61] and sometimes soils should be dried with [62] or without heat [63], homogenized and finally stored at −18°C until analysis [64]. Finally, an exhaustive characterization of the soils according to several parameters, such as pH, percentage of organic matter, carbon monoxide, sand, silt, clay and grit [28, 65], is advisable to provide useful information and set a relationship between pesticide presence and physico-chemical characteristics of the soil.
In relation to air sampling, other important criteria should be considered as materials do not react with target compounds; it must be located in a place where free air masses can reach; the sampler should be protected from rainfall, dust or other sources of contamination as well as requiring low maintenance [33]. Furthermore, it should be planned bearing in mind whether only gas phase, particulate matter or both of them are going to be collected, among other factors.
Finally, for biota sampling, special care should be taken with small biota samples, which are more sensitive to contamination, and degradation of loss of analytes. Longterm storage should be performed in darkness and low temperature, and before sample treatment, dry or wet homogenization is needed [66].
1.2.2 Sample Extraction and Clean-up
For the monitoring of ultra-trace levels of pesticides in water, extraction and concentration steps are required prior to the analytical determination. Liquid-liquid extraction (LLE) allows for the detection of a large range of non-polar pesticides while requiring minimal instrumentation, being at the same time both a simple and a precise technique. Although less and less, this technique is still used for the extraction of pesticides from water samples
1.2 Sample Preparation and Collection 11 prior to gas chromatography (GC) analysis [67, 68]. However, one major drawback is the large solvent volumes, usually dichloromethane, required in LLE. Therefore, solid phase extraction (SPE) has become the most common extraction technique [69]. Indeed, it is the most powerful sampling and enrichment approach for complex mixtures of known and unknown contaminants, and different sorbent phases can be used, allowing for the extraction of a wide range of pesticides with different physico-chemical properties.
As shown in Table 1.1, the polymeric reversed phase sorbent, Oasis HLB, is commonly used for the extraction of pesticides in water samples providing quantitative recoveries in most cases [18, 23, 70–72]. Furthermore, other sorbents have been successfully applied for the analysis of pesticides and their TPs in natural waters, such as a mixture of hydrophilic–lipophilic balance, weak anion and cation exchange sorbents (2 : 1 : 1, w/w/w) [73], and Strata-X reversed in combination with the mixture of Strata-X mixed-mode (AW and CW) and Isolute ENV + [74].
On-site integrated large-volume SPE has also been proven to be a promising tool for the monitoring of pollutants, including pesticides, in water sources [75]. On the other hand, the possibility of using on-line SPE systems allows for minimizing sample manipulation and cross-contaminations as well as improving sample throughput [76]. Hence the development of fully automated methods, based on the combination of on-line SPE and LC-MS, has been given much attention in the last few years, being applied for the monitoring of ca. 100 pesticides in natural and drinking waters [24, 77], as well as 51 pesticides, covering highly polar compounds, in surface and groundwaters [78].
Simple and miniaturized sample preparation techniques have been considered in recent years as optimal alternatives [79]. Among them, solid phase microextraction (SPME) is the most used technique, although the application of QuEChERS (Quick, Easy, Cheap, Effective, Rugged and Safe)-based protocols [21, 80], stir bar sorptive extraction (SBSE) [77], as well as liquid-phase microextraction (LPME) [81, 82], has also been suitable for the extraction of pesticides from water matrices.
SPME is a simple, sensitive, rapid and solvent-free technique in which the organic compounds are adsorbed/absorbed (depending on fiber coating) directly from the aqueous sample into the fiber and then thermally desorbed at the injection port of the GC, considerably simplifying the analysis procedure. In this sense, the availability of SPME devices in latest GC equipment leads to the complete automatization of the analytical process, allowing for improving data quality, the productivity of staff and instruments, and increasing the sample throughput [83]. This has been demonstrated in recent methodologies involving the on-line combination of SPME and GC coupled to high-resolution mass spectrometry (HRMS) allowing for the determination of priority substances, including pesticides, in surface and wastewaters [84, 85] providing limits of quantification (LOQs) at ng l−1 levels. Novel SPME sorbents, such as magnetic deep eutectic solvent (DES)-based polymeric hydrogel [86] and carbon nanomaterials [87, 88], have been successfully applied for the monitoring of pesticides in different water resources as can be seen in Table 1.1.
On the other hand, vacuum-assisted evaporative concentration has been effective for the monitoring of organic micropollutants [89], including pesticides such as chlorothalonil and TPs (sulphonic acids and phenols) by LC-Orbitrap-MS [90]. However, sometimes these extraction procedures are avoided, and direct injection of water samples, after filtration, can be considered when using LC. In fact, its combination with tandem
Table 1.1 Overview of analytical methods applied to monitor pesticides in environmental waters. a
[68]
Extraction technique
Surface water LLE (dichloromethane)
b [70]
4 OCP and 2 OPPs
LC-QTOF-MS
Coastal waters SPE (Oasis HLB and SpePak cartridges)
296 pesticides + 156 pharmaceuticals, 18 consumer products, 10 industrial chemicals and 4 others
[71]
[72]
b [18]
UHPLC-QTrap-MS/MS
Surface water and drinking water SPE (Oasis HLB cartridge)
River water SPE (Oasis HLB cartridge) LC-QqQ-MS/MS
LC-DAD-QqQ-MS/MS & QTOF-MS
UHPLC-QTOF-MS [23]
b [73]
Drinking water SPE (Oasis HLB cartridge)
Surface water and groundwater SPE (Oasis HLB cartridge)
LC-QqQ-MS/MS
Mix mode SPE: (HLB: WAX: WCX, 2 : 1: 1)
LC-LTQ-Orbitrap-MS 83–93 [74]
SPE (Strata-X and the mixture Strata-X-AW: Strata-X-CW: Isolute ENV + (1 : 1 : 1.5))
Surface water
Surface and marine water
14 pesticides and TPs
19 acidic herbicides + metabolites
6 neonicotinoids and metabolites
ca. 500 pesticides and TPs
8 pesticides + TPs
125 pesticides and metabolites + 130 pharmaceuticals and metabolites + 42 antibiotics and metabolites + 63 others
UHPLC-LTQ-Orbitrap MS 60–123 [75]
Onsite integrative large-volume SPE (HR-X sorbent)
Surface water
251 contaminants (pesticides, pharmaceuticals or industrial chemicals and their transformation products)
UHPLC-QqQ-MS/MS
On-line SPE
Surface water, groundwater and drinking water
96 including pesticides and TPs
[78]
0.005–0.025 [24] 51 pesticides
[80]
[21]
0.015–0.025 (GC) 0.005–0.025 (LC) [77]
[82]
[84]
0.006–0.399 [86]
0.0007–3.7320 [87]
0.00035–0.00204 [88] ( Continued )
On-line SPE (Prospekt-2-system)
Surface water and groundwater
QuEChERS (Acetonitrile, MgSO 4 and NaCl)
Surface water and groundwater
UHPLC-QqQ-MS/MS
QuEChERS (Acetonitrile, MgSO 4 and NaCl)
Surface water
GC-Q-MS (27)
UHPLC-QqQ-MS/MS (75)
SBSE (PDMS) (GC) On-line SPE (LC)
Surface water and groundwater
HF-LPME
Surface water
GC-DFS-HRMS
Surface water On-Line SPME (DI, PA fiber)
GC-µECD
Magnetic SPME with a magnetic DES-based polymeric hydrogel
Surface water, marine water and groundwater
GC-Q-MS
Surface water SPME (Novel carbon nanomaterial sorbent)
LC-QqQ-MS/MS
Magnetic SPME (Amino modified multiwalled carbon nanotubes)
Surface water and influent and effluent wastewater
8 pesticides
Cyflumetofen + 2 metabolites
102 pesticides
10 pesticides
14 pesticides + 16 PAHs + 26 PCBs + 6 BDEs
16 pesticides
24 pesticides
18 chiral pesticides
Table 1.1 (Continued)
0.0002–0.010 [90]
LC-Orbitrap-MS 85–110
Extraction technique
Matrix
Vacuum-assisted evaporative concentration
Surface water and groundwater
0.001–1.350 b 0.001–0.028 b 0.020 b [25]
LC-QqQ-MS/MS 78–114
SH2437 &: LC9045: Direct injection GLYPH: derivatization with FMOC prior to on-line SPE
Groundwater
LC-QqQ-MS/MS
0.00003–0.00135 b [59]
UHPLC-QqQ-MS/MS 42–116
Pesticides
Chlorothalonil + 6 TPs
215 pesticides and TPs (Method SH2437) 30 pesticides (Method LC9045) 3 herbicides (glyphosate, AMPA and glufosinate) (Method GLYPH)
Direct injection
Surface water and groundwater
0.003–2.000 [27] 16 polar pesticides + pharmaceuticals
Extraction from passive sampler (POCIS): acetone:methanol
Groundwater
150 pesticide metabolites
a Abbreviations: BDEs: Brominated diphenyl ethers; DAD: Diode array detector; DES: Deep eutectic solvent; DFS-HRMS: Magnetic sector high resolution mass spectrometry: DI: Direct injection; FID: Flame ionization detection; FMOC: 9-florenylmethyl-chloroformate; GC: Gas chromatography; HF-LPME: Hollow fiber-liquid phase microextraction; HLB: Hydrophilic-lipophilic balanced; LC: Liquid chromatography; LLE: Liquid-liquid extraction; LOQ: Limit of quantification; LTQ: Linear ion trap; MS: Mass spectrometry; MS/MS: Tandem mass spectrometry; µECD: Micro electron capture detector; OCPs: Organochlorine pesticides; OPPs: Organophosphorus pesticides; PA: Polyacrilate; PAHs: Polycyclic aromatic hydrocarbons; PCBs: Polychlorinated biphenyls; PDMS: Polydimethylsiloxane; POCIS: Polar organic chemical integrative samples; Q: Single quadrupole; QqQ: Triple quadrupole; QTOF: Quadrupole time of flight; QTRAP: Hybrid triple quadrupole-linear ion trap; SBSE: Stir bar sorptive extraction; SPE: Solid phase extraction; SPME: Solid phase microextraction; TPs: Transformation products; UHPLC: Ultra-high-performance liquid chromatography; WAX: Weak anion exchange; WCX: Weak cation exchange. b Limit of detection.
1.2 Sample Preparation and Collection 15
MS (MS/MS) has allowed for the determination of pesticides at ultra-trace levels in surface and groundwaters [25, 27, 91].
In relation to solid samples, such as soils, the most common methods were based on solid-liquid extraction (SLE), pressurized liquid extraction (PLE) and QuEChERS (see Table 1.2). In SLE methods, solvent mixtures such as acetonitrile and water have been
Table 1.2 Overview of analytical methods applied to determine pesticides in soil matrices.a
Pesticides Extraction
Famoxadone and metabolites
OCPs, OPPs, pyrethroids (58)
30-multicalss
SLE: Water/ Acetonitrile 1% acetic acid (50 : 50, v/v)
SLE: Water/ Acetonitrile 1% acetic acid. Extraction salts: MgSO4 and sodium acetate
Clean-up: MgSO4, PSA & C18
SLE: Methanol
Clean-up: SPE (Oasis HLB)
18-multiclass SLE: Water/ Acetonitrile (1 : 5, v/v)
Fenamidone, propamocarb
Oxanilic and sulfonic acid metabolites of acetochlor
Endosulfan, chlorpyrifos and their metabolites
SLE: Methanol or Water
Clean-up: MgSO4 & PSA
SLE: Acetonitrile / Water (60 : 40, v/v)
SLE: Ethyl acetate with a 1 : 5 (w/v) soil-to-solvent ratio
Acetochlor and Propisochlor SLE: Methanol/water (1 : 1 v/v)
Clean-up: PSA
10 OCPs SLE: Water/ Acetonitrile Clean-up: MgSO4
10 OCPs and metabolites QuEChERS. Clean-up: Sulfuric acid and florisil
LC-Orbitrap-MS 72–113 20 [28]
GC-QqQ-MS/MS 69−119 100−5000 [61]
LC-QTRAP-MS/ MS 70−120 1−10 [93]
LC-QqQ-MS/MS 50−120 50 [62]
LC-QqQ-MS/MS 77−108 0.4–2 [100]
LC-QqQ-MS/MS 91−120 1−2 [92]
GC-IT-MS 76−95 10−50b [29]
GC-ECD 80−116 10 [63]
GC-QqQ-MS/MS 70−115 2−40 [106]
GC-IRMS 60−100 500 [115]
(Continued)