Floor&Wall magazine 017

Page 1

Floor Wall

F&W

MATERIALI

16 pagine di soluzioni, innovazioni, prodotti

n.17 magazine

A predominare, nel nuovo Urban Hive Milano, è la visione circolare dell’uso degli ambienti comuni, in modo da valorizzare la superficie per dare differenti destinazioni d’uso nel corso della giornata. Pag.

PREVIEW

Abbiamo segnalato dieci novità in mostra alla Milano Design

Week, tra il Salone del Mobile e il FuoriSalone

OSPITALITÀ “ALLA MILANESE”

Il nuovo Urban Hive Milano, nel quartiere Brera, diventa simbolo del nuovo modo di concepire l’hotel, aperto alla città, ai suoi ritmi e alle sue necessità

magazine tecnico-professionale del sistema pavimenti e rivestimenti
&
+
18
marzo/23

L’altissima capacità drenante. La sostenibilità di un legante eco-friendly. Il pregio del marmo, del granito, del porfido. La stabilità estetica. IPM GeoDrena® è la soluzione ideale per realizzare pavimentazioni continue all’aperto. Caratteristiche e prestazioni lo rendono adatto a ogni esigenza progettuale mirata a valorizzare e rispettare il territorio. IPM GeoDrena® è prodotto da IPM Italia Srl.

(TE)
Hotel “Baffo Rosso”Corropoli

IL LEGNO CHE DISEGNA Parquet Tarsia Carbo

Yles

Il legno che permette di disegnare lo spazio e riformulare geometricamente il pavimento. Le sei finiture, unite alle 7 forme di Yles, danno vita a pattern che riscrivono le forme tradizionali del quadrato, del rettangolo e della tavola. Molteplici combinazioni per dare un nuovo significato alla materia, al parquet e alla luce che lo esalta.

an idea by Skema S.p.A.

design Arch. Franco Driusso

skema.eu

skemaidea.com
FOLIA HEXAGON KYTOS 190 KYTOS 380 KYTOS 570 STYLO TARSIA KROSS OVER

Il futuro è già qui. Con noi.

prodotti in bambù: innovazione, fascino e qualità

Il bambù si trasforma in elemento innovativo, intriso di fascino e suggestioni, creando prodotti per pavimentazioni e rivestimenti in esterno di eccezionale durezza e stabilità dimensionale, certificati per la resistenza al fuoco (Bfl-S1).

MOSO® Bamboo X-treme® e Bamboo Elegance, con il suo effetto naturalmente invecchiato a zero manutenzione, sono sostenibili e garantiti 25 anni

Distribuiti da Ravaioli Legnami: soluzioni in legno per pavimenti e rivestimenti esterni. Un mondo di qualità e design naturale.

ravaiolilegnami.com

pidiprogetto
coretecfloors.eu Forest - 50 LVP 806 L’unico ed inimitabile pavimento a click, 100% waterproof.
Defined by the details of nature

SOSTENIBILE, DUREVOLE, PERGO LAMINATE

• Incastro Uniclic® e protezione AquaSafe garantiscono la tenuta totale del pavimento: posalo anche in cucina senza più pensieri.

• Superficie protettiva brevettata TitanXTM: la combinazione ideale tra design e durevolezza, il pavimento Pergo sarà sempre bello come appena posato.

• Vasta gamma di accessori per completare perfettamente il pavimento.

www.pergo.it
ROVERE DELLE COLLINE L0345-04999

Non può esistere l’estetica senza la tecnica

Questo nuovo numero apre, con la sua copertina, a un rinnovato concetto di ospitalità, sperimentato dal nuovo Urban Hive Hotel, progettato dalla studio di architettura Vudafieri-Saverino Partners. Il concetto, assolutamente di attualità, sta nel fatto concreto che l’hotel non è più uno spazio a sé, ma un mix di ambienti ibridi e polifunzionali, aperti alla città. Come raccontiamo nell’articolo a pagina 19, a predominare è quindi la visione circolare dell’uso degli ambienti comuni, in modo da valorizzare la superficie per dare differenti destinazioni d’uso nel corso della giornata. Insomma, una prospettiva che si spinge quasi in una dimensione liquida, dove interno ed esterno, struttura e città, possono diventare un tutt’uno. Ed è così che mi immagino un po’ anche il nostro progetto editoriale Floor&Wall, uno sorta di spazio capace di ospitare storie di progetti, prodotti e innovazioni. Un mix di informazioni per organizzare al meglio lavori in corso e in via di progettazione. Così, attraverso un viaggio sulle pagine del giornale vi portiamo prima a Milano, in uno showroom dedicato esclusivamente a carte da parati e pitture murali, poi ci spostiamo a Caserta, in un appartamento dalle linee essenziali e da ricercati contrasti materici, per risalire a Camogli dove godersi momenti di relax, senza rinunciare al valore estetico dei materiali scelti per i rivestimenti per la ristrutturazione di una vecchia villa. Ma Floor&Wall è anche cantiere, è anche tecnica, grazie ai contributi di Q-RAD e Catas. Con il Consorzio Italiano di Produttori Sistemi Radianti di Qualità, troverete (pagina 60) un’attenta analisi delle principali tipologie di rivestimenti adatte agli impianti di riscaldamento a pavimento, della posa in opera e dei riferimenti normativi per le diverse finiture superficiali. Con Catas, invece, a pagina 64 ci siamo soffermati sulla norma per calcolare i chilogrammi di CO2 sequestrati da un prodotto in legno. Approfondimenti tecnici, per un concetto mai scontato: non può esistere l’estetica senza la tecnica. E alla fine, pagina 70, vi diamo il nostro appuntamento alla Milano Design Week, con una selezione di prodotti che festeggiano la creatività… Buon Salone e FuoriSalone a tutti!

Instagram: fra_sette floor_wall_network

9
Editoriale
FRANCESCO TOZZI

Scelta sentimentale

SEGUIRE I PROPRI SOGNI E APRIRE UNO SHOWROOM NEL CENTRO

DI MILANO DEDICATO ESCLUSIVAMENTE A CARTE DA PARATI E PITTURE MURALI.

È POSSIBILE E FUNZIONA. L’INGREDIENTE SEGRETO? LA PASSIONE

«È la realizzazione di un sogno, rimasto fermo per tanti anni». Moreno Guigli definisce così il suo Verdeolivia, showroom specializzato in carte da parati e pitture murali, situato a Milano in via Piero della Francesca, in zona corso Sempione. Vero tempio per chi considera le pareti fogli bianchi su cui disegnare la personalità degli spazi. Moreno, figlio d’arte – è cresciuto nel colorificio di famiglia –, è da sempre appassionatissimo di carte da parati, ed è riuscito a trasformare la sua passione in mestiere. A farci incontrare è stato Instagram: sulla sua pagina @verdeoliviamilano (ndr, nel momento in cui scriviamo la pagina conta 19,2mila follower), pubblica infatti video in cui, in modo appassionato e molto personale, racconta le carte da parati. Certo, è marketing, ma non solo, è amore sincero per il bello e per il suo lavoro. E la sincerità – sui social e nella vita reale – paga sempre. Gli abbiamo chiesto come ha iniziato e la sua visione futura del settore. Ecco cosa ci ha risposto.

Moreno, come ti è venuta l’idea di aprire Verdeolivia?

È stata una scelta sentimentale. Verdeolivia è parte integrante della società dei miei genitori ma è un progetto a cui pensavo da molti anni. Nel colorificio di famiglia abbiamo sempre trattato rivestimenti, resine, colori, ma ciò che mi interessava era una maggiore ricerca su prodotti di qualità, oltre a rivolgermi a un target più esigente. Quattro anni fa, il primo dicembre 2019, ho deciso di aprire uno showroom in cui poter incanalare i miei veri interessi. Verdeolivia è nato così, in concomitanza con la nascita della mia prima figlia, che guarda caso si chiama Olivia.

Hai aperto subito in via Piero della Francesca?

Moreno Guigli, titolare di Verdeolivia, definisce lo showroom di Milano non solo un ambiente di lavoro, dove presentare soluzioni e finiture d’arredo, ma un luogo d’incontro dove poter chiacchierare e scambiare opinioni. Ecco le sue parole: «È semplicemente casa mia».

No, inizialmente avevo aperto uno showroom vicino ad Abbiategrasso e un piccolo spazio di 25 mq a Milano, nello studio di architettura Lascia la Scia (di cui potete leggere a pag. 14!) con cui collaboro tuttora per diversi progetti. Il passaggio in via Piero della Francesca è avvenuto a ottobre 2022: ora il mio mondo è tutto lì.

A conti fatti il progetto Verdeolivia è nato poco prima della pandemia?

Sì, ho aperto a fine 2019 sulle ali dell’entusiasmo, ali che si sono poi frantumate

10 Un caffè con…

qualche mese dopo con il primo lockdown. Mi sono comunque convinto di continuare a provarci, alla peggio sarei tornato indietro, a lavorare nell’attività di famiglia. Ho deciso così di incrementare la parte social e, per assurdo, la pandemia è stata il trampolino di lancio che ha fatto partire tutto. La mia pagina Instagram in quel periodo ha avuto un’impennata pazzesca, che mi ha consentito di sviluppare numerosi contatti e di ricevere le prime richieste commerciali. Il mio entusiasmo è cresciuto e ho deciso di non mollare.

L’ampio seguito su Instagram ti dà soddisfazioni nelle vendite?

A eccezione delle vendite agli architetti, la pagina Instagram è la prima fonte di contatto con i clienti privati, molto di più rispetto alla vetrina su strada. Anche per questo motivo ho chiuso lo showroom di Abbiategrasso e il piccolo studio a Milano, e ho concentrato tutta l’attività in via Piero della Francesca e nella vendita online.

La tua attività social è stata il risultato di una strategia di marketing?

Per niente. Sui social, personalmente, mi piace seguire determinate persone a prescindere da quello che offrono ma per come lo offrono. Così ho iniziato a parlare della mia grande passione per le carte da parati, a modo mio. Mi ritengo fortunato, ho facilità comunicativa e mi piace da sempre raccontare, che siano storie ai bambini o aspetti del mio lavoro. E per me la soddisfazione più grande è ricevere commenti di persone che mi dicono di non aver mai provato alcun interesse per le carte da parati, ma che si sono appassionate a questo mondo grazie ai miei racconti.

sivo, decido di cosa parlare due minuti prima di registrare. Non mi scrivo niente, vado a braccio. Purtroppo, non sono bravo a -

sco essere spontaneo: se mi dovessi costruire il discorso sembrerei troppo scolastico. Mi devo divertire in quello che faccio, e nel mio caso riesco ad abbinare la anima commerciale e la mia anima da storyteller solo in maniera estemporanea.

Quindi per te davvero la passione è tutto?

Sì, come per i video su Instagram, per me è fondamentale fare un lavoro che mi rende felice. E a me le carte da parati piacciono parecchio: anche da ragazzino, nel negozio dei miei, molto spesso mi rintanavo nel reparto dedicato ai parati: guardavo i cataloghi, ritagliavo campioni… Questo è uno dei motivi per cui devo ringraziare mia madre e mio padre, grazie alla loro attività sono riuscito a trovare la mia strada.

Rimanendo sulle carte da parati, secondo te quali sono le principali tendenze attuali?

Stanno iniziando a prendere piede i rivestimenti murali materici, realizzati con materiali come la paglia, la raffia, etc. Anche se in Italia continua a funzionare molto la decorazione: il 2023 è l’anno dei decorativi metallici, con colorazioni basate sull’oro e sul platino, e delle carte da parati panoramiche. Personalmente, sono un grande

-

11

amante delle carte francesi e inglesi tradizionali. Altra tendenza, le carte digitali che partono da realizzazioni pittoriche.

E sull’uso dei parati, vedi qualche cambiamento?

In Italia l’utilizzo è ancora limitato a una parete su quattro, ma il numero di metri richiesto è in costante crescita.

E per il futuro, cosa ti immagini?

Per immaginare il futuro, guardo al passato. Le carte da parati hanno vissuto un periodo d’oro tra gli anni Sessanta e Ottanta, poi sono cadute in disuso: ricordo che a inizio Duemila, nell’azienda di famiglia, erano relegate in un angolino. Negli ultimi anni sono esplose nuovamente: oggi otto persone su dieci le desiderano almeno su una parete; l’utilizzo è totalmente sdoganato anche in

ambienti umidi. Credo che la curva di crescita a un certo punto si fermerà, ma non ci sarà più una discesa verticale come in passato. Verosimilmente cambierà il modo di usarle: non ci sarà più la decorazione ostentata, si useranno carte meno invadenti ma su metrature più ampie. I vantaggi dei parati sono elevati, e le persone li hanno compresi: sono eleganti, hanno una resistenza superiore alla pittura e una maggiore lavabilità.

Con che criterio scegli le carte da parati da vendere alla tua clientela?

Seleziono ciò che mi piace, quando si vende, per me, è importante trasmettere il proprio gusto: ciò che vendo mi deve piacere altrimenti non sono credibile. Non mi ritengo un grande commerciale in tal senso, se mi rendo conto che la scelta del cliente non è tecnicamente corretta, mi oppongo, a costo di smenarci. Preferisco essere onesto, la mia è una consulenza sincera, e sono apprezzato per questo.

PER CONOSCERE MEGLIO MORENO GUIGLI

La tua ispirazione: tutto ciò che vedo. Stando attento non solo a vedere, ma a guardare con profondità: come sono vestite le persone per strada, come cambiano i colori nell’avvicendarsi delle stagioni, etc. Tutto diventa ispirazione per fare accostamenti di colori e di texture.

I tuoi maestri: mio padre Luca, che mi ha insegnato la dedizione al lavoro, e mia moglie Ylenia, che mi ha dato fiducia quando facevo fatica ad averne. Il tuo modus operandi: stare sempre attento al rapporto umano vero, reale. I social sono utili per il mio lavoro, e vanno riconosciuti come tali, ma è fondamentale non abusarne.

Un caffè con…
Visita il sito web verdeolivia.eu Progetto realizzato in collaborazione con lo studio di architettura Lascia la Scia. La carta da parati è Nuvolette di Cole & Son della Collezione Fornasetti Senza Tempo.

New generation

14
Da sinistra, Carola Davì, Valentina Crepaldi, Laura Berni, Silvia Pilotti e Chiara Sangalli.

La terza pelle

QUAL È L’IMPORTANZA DI PAVIMENTI

E RIVESTIMENTI IN UN PROGETTO DI INTERIOR?

A RISPONDERE IN MODO CORALE LE ARCHITETTE

FONDATRICI DELLO STUDIO MILANESE LASCIA LA SCIA

I nostri progetti di interior nascono come abiti cuciti su misura, senza un’impostazione stilistica predefinita. La casa è per noi come la terza pelle della persona, dopo il corpo e l’abito scelto. Allo stesso modo con cui una consulente di stile cerca l’abito che può manifestare e riflettere al meglio la personalità e sensibilità del cliente, così la casa per noi oltre a essere il nido, il rifugio dell’uomo, ne è anche la sua manifestazione. Il progetto è ricerca soprattutto dei materiali che risuonano nel cliente. Il colore e le texture dei materiali che scegliamo per un appartamento rientrano in una moodboard che ci aiuta a definire lo stile unico e personale che avrà la casa. Le moodboard sono il primissimo strumento di dialogo progettuale, molto utile per cominciare a vedere insieme i diversi elementi accostati e capire insieme la strada da perseguire. È come se fosse una prima mappa dove si esplorano le possibilità prima di intraprendere un sentiero ed è il punto di riferimento e guida per tutto il progetto e le scelte a seguire. Qui esploriamo la potenzialità dei colori, dei materiali e delle texture suggerendo delle atmosfere. Come studio approfondiamo molto il tema del colore legato al benessere psicologico ed emotivo di chi abiterà la casa che decliniamo nella scelta dei rivestimenti, oltre che nelle finiture degli arredi e delle decorazioni come le carte da parati.

QUESTIONE DI SENSIBILITÀ

Lascia la Scia nasce dal sodalizio di cinque architette che hanno dato vita a un progetto comune a Milano, fondato su una sensibilità e un metodo progettuale condiviso e impreziosito dalle specificità di ognuna. Loro tratto distintivo, quello di credere nella forza

comunicativa del design, declinato in diversi ambiti: interior, retail, allestimenti e fiere. In particolare, per quanto riguarda le architetture temporanee e le installazioni, l’obiettivo è modificare temporaneamente gli spazi: migliorare, rileggere,

ricomporre luoghi che, in seguito, conserveranno le tracce di un passaggio.

Due chicche: la prima, in Lascia la Scia il fare è nel dna, i primi progetti, infatti, sono stati realizzati direttamente dalle architette, nel segno dell’autocostruzione; la

seconda, lo studio (a Milano in via C. Boncompagni 57, nel complesso industriale dell’ex Fabbrica di Sapone) è un loft che è anche coworking creativo e artigiano. Ça va sans dire, il progetto di ristrutturazione è firmato da loro.

15
Visita il sito www.lascialascia.com
DI DANIELA STASI • FOTO DI MARTA D’AVENIA

Il nuovo 4 stelle Urban Hive Milano, nel quartiere di Brera, diventa simbolo del nuovo modo di concepire l’hotel, aperto alla città, ai suoi ritmi e alle sue necessità lavorative e di relax.

Pag. 18

PROGETTO 24 DESIGN Bellezza “imperfetta” di Jacopo Fromelli

28 INDOOR Forza materica (intrinseca) di Jacopo Fromelli

CANTIERE 56 CONTEST L’edilizia guarda avanti di Viola Delfino

64 NORMATIVE 2 Legno e anidride carbonica sequestrata fonte Paolo Tirelli

68 OUTDOOR Sguardo esterno di Daniela Stasi

72 PREVIEW MILANO DESIGN WEEK 2023 Inno alla creatività di Daniela Stasi

Ospitalità “alla milanese” di Daniela Stasi

60 NORMATIVE 1 Non solo parquet e piastrelle per i sistemi radianti di Clara Peretti

78 ANTEPRIMA BAU 2023 Urge costruire in modo circolare di Nora Adamsberg

16
18 COVER STORY
magazine tecnico-professionale del sistema pavimenti e rivestimenti & OSPITALITÀ “ALLA MILANESE” + Il nuovo Urban Hive Milano, nel quartiere Brera, diventa simbolo del nuovo modo di concepire l’hotel, aperto alla città, ai suoi ritmi e alle sue necessità A predominare, Milano, la visione circolare dell’uso degli ambienti comuni, in modo da valorizzare la superficie per dare differenti destinazioni d’uso nel corso della giornata. Floor
marzo/23 n.17 magazine PREVIEW Abbiamo segnalato dieci novità in mostra alla Milano Design Week, tra il Salone del Mobile e il FuoriSalone Floor& Wall magazine marzo numero 2023 F&W 16 pagine di soluzioni, innovazioni, prodotti 18 24 51 28
Wall
Sommario / n° 17 Marzo 2023
17 RUBRICHE 9 EDITORIALE Non può esistere l’estetica senza la tecnica di Francesco Tozzi 10 UN CAFFÈ CON… Scelta sentimentale colloquio con Moreno Guigli di Daniela Stasi 14 NEW GENERATION La terza pelle di Daniela Stasi 32 EVENTI In casa di chi produce 34 NEWS Brevi dal mercato 51 SOSTENIBILITÀ Sperimentazioni possibili di Viola Delfino 55 INNOVAZIONE La materia diventa emozione di Irene Nuvola 81 LO SGUARDO DI FLOOR&WALL Nient’altro che le superfici di Daniela Stasi 60 SOLUZIONI | INNOVAZIONI | PRODOTTI materiali 35 Speciale F&W MATERIALI

Ospitalità “alla milanese”

IL NUOVO 4 STELLE URBAN HIVE MILANO, NEL QUARTIERE DI BRERA, DIVENTA SIMBOLO DEL NUOVO MODO DI CONCEPIRE L’HOTEL, APERTO ALLA CITTÀ, AI SUOI RITMI E ALLE SUE NECESSITÀ LAVORATIVE E DI RELAX. CON SPAZI POLIFUNZIONALI CHE SI TRASFORMANO A SECONDA DELLE ORE DEL GIORNO

18
DI
VALENTINI Cover Story
DI DANIELA STASI
FOTO
PAOLO

VISIONE CIRCOLARE DEGLI SPAZI

Uno dei concetti chiave dell’intervento di Vudafieri-Saverino Partners è il modo in cui sono stati disegnati gli spazi del mezzanino. Lì la visione circolare dell’uso degli ambienti comuni è emblematica. Lo spazio, a cui si accede anche tramite una scenografica scala ettagonale in rovere e acciaio, fino alle 11 è dedicato alle colazioni, dopodiché si trasforma in coworking. È pensato quindi per chi utilizza spazi di lavoro flessibile, ed è stato disegnato con pareti mobili per ottenere ambienti modulari dove poter ricavare tre diverse sale meeting, per riunioni e conference call.

Il primo aspetto che ci ha colpito nel visitare il nuovo 4 stelle Urban Hive Milano è l’espressione più alta dell’evoluzione del concetto di ospitalità: l’hotel non è più uno spazio a sé, ma un mix di ambienti ibridi e polifunzionali, aperti alla città. A predominare è quindi la visione circolare dell’uso degli ambienti comuni, in modo da valorizzare la superficie per dare differenti destinazioni d’uso nel corso della giornata. Un esempio? La sala colazioni chiusa dalle 11 del mattino in poi, è un vecchio ricordo: qui si apre a chiunque varchi l’ingresso, per coworking o relax, per business o leisure, trasformando l’albergo in luogo di incontro. D’altronde, il nome stesso, Hive, in inglese “alveare”, evoca vitalità, contaminazione continua tra fuori e dentro. L’hotel, inoltre, è un vero omaggio alla milanesità, con rimandi ai simboli della città e a chi l’ha resa celebre nel mondo. È stato progettato dallo studio di architettura Vudafieri-Saverino Partners, mentre la realizzazione degli arredi di tutta la struttura è stata curata dall’interior contractor Concreta. Ripercorriamo qui la nostra piacevole visita.

abbiamo parlato anche su floorewall.com

19
Della nostra visita all’Urban Hive Milano

PENSATO COME SOCIAL HUB

Situato lungo corso Garibaldi, nel quartiere di Brera, Urban Hive è nato dal restyling dello storico hotel Carlyle Brera: il progetto di riqualificazione ha riguardato il concept, gli spazi comuni e 97 camere e suites distribuite su sette piani. Il concept degli architetti Tiziano Vudafieri e Claudio Saverino ha dato vita a un luogo informale, pieno di colore e personalità, in cui convivono i simboli del passato e l’anima moderna di Milano. A ispirare l’anima dell’hotel, protesa verso la socialità, è lo stesso quartiere in cui si trova: Brera è infatti da sempre anticonformista, ritrovo di artisti e scrittori, sede di gallerie, atelier, caffè, bistrot, circoli culturali, cinema e teatri. E Urban Hive è stato concepito per trasformarsi in social hub, in un costante scambio tra ospiti e cittadini grazie a numerosi servizi che si aprono al pubblico: dalle aree coworking multifunzionali alle meeting rooms, dagli eventi culturali ai business lunch e agli aperitivi proposti al Portico84 Cafè&Bar, con i tavolini posizionati anche sotto i portici di corso Garibaldi. Al piano terra divani colorati su un parquet in rovere chiaro, luci soffuse, librerie in legno, oggettistica pop, grafiche e illustrazioni rendono l’ambiente caldo e accogliente, creando un’atmosfera elegante e rilassata. Di grande impatto estetico è il tono del blu Pavone scelto per tutti gli spazi comuni, come la lobby, trasformata in punto di incontro per ospiti e cittadini: per un appuntamento di lavoro, un cocktail o un caffè al bar, dove spicca il bancone semi-circolare in noce canaletto, con

Per la ridefinizione delle 97 camere e suites è stato effettuato un accurato studio sul colore: per le pareti, per esempio, sono state scelte palette che contrastano con i tendaggi.

20
Cover Story

il top in marmo e finiture in ottone, disegnato dagli architetti con motivi geometrici a losanghe che richiamano la nuance cromatica delle pareti. La reception non è più il fulcro della hall, ma parte della stessa, unendo funzioni come quella di lounge bar e spazio per eventi. Il mezzanino è prima dedicato alle colazioni e poi diventa spazio coworking, mentre per allenare corpo e mente, il piano -1 è dedicato all’area fitness, attrezzata con macchinari Nohrd & Technogym.

BUSINESS E CREATIVITÀ

Per la ridefinizione delle 97 camere e suites è stato effettuato un accurato studio sul colore, scegliendo tre palette differenti che si alternano sui piani delle camere – rosa terracotta, verde menta e celeste – e che nelle stanze contrastano rispettivamente con i tendaggi in color blu di Prussia, arancio Persia e giallo Ambra. Gli arredi sono stati disegnati dagli architetti: dai letti alle testiere in legno con inserti in metallo, dai comodini alle librerie e scaffalature. I riferimenti ai simboli più iconici di Milano, la moquette dal patchwork geometrico e dal fascino vintage lungo i corridoi, il dialogo tra superfici e rivestimenti, esprimono una scelta d’interior studiata su misura riflettendo un progetto che, anche attraverso le declinazioni del design delle camere, rispecchia le due anime della milanesità contemporanea: il mondo del business e quello della creatività.

21
L’obiettivo di Vudafieri-Saverino Partners è stato quello di creare una struttura lifestyle, integrata con il contesto, per definire un nuovo affaccio nel cuore di Milano che potesse offrire esperienze e in cui, attraverso l’architettura e il design, i viaggiatori riuscissero a sentirsi parte di una comunità locale
In tutto l’hotel si scorge un continuo dialogo tra superfici e rivestimenti.

Ogni dettaglio, in tutti gli ambienti della struttura, esprime una grande creatività. Anche nei corridoi dove, come ben visibile nella foto a destra, è stata impiegata una moquette dal patchwork geometrico e dal fascino vintage.

IN BREVE

• Realizzazione: restyling di un precedente hotel e trasformazione nell’attuale Urban Hive Milano

• Superficie totale di intervento: 3.750 mq

• Luogo: corso Garibaldi 84, Milano

• Progetto: Vudafieri-Saverino Partners, Tiziano Vudafieri e Claudio Saverino

• Design team: Simona Quadri, Nicolò Spina, Mattero Radaelli, Ireno Sobrino, Alberto Belli

• General Contractor: Concreta

• Brand vision: 150UP

MILANO, MITO DA REINTERPRETARE

Le scelte per il progetto d’interni e per la soft decoration reinterpretano in chiave contemporanea la tradizione del design “alla milanese”: ovunque, sia negli spazi comuni che nelle camere, si scorgono citazioni di canzoni, opere dei maestri del Dopoguerra, simboli della città, dalla Madonnina al Bar Basso. E ancora, il mezzanino è impreziosito dalla carta da parati che raffigura architetture e icone di Milano, realizzata su disegno di 150UP, studio creativo che ha seguito l’intera visual identity del progetto, realizzando grafiche per gli interni, gli ascensori e le finestre oltre che per i piatti in ceramica e i poster.

ATMOSFERA GIOIOSA

Urban Hive Milano fa parte di Hively Hospitality, azienda fondata nel 1990 che conta a oggi 80 hotel in sei Paesi, tutti in grado di creare un’atmosfera gioiosa, comprensiva e accogliente sia per gli ospiti che per i dipendenti. Un’avventura imprenditoriale in continua evoluzione, guidata da valori condivisi in un ambiente multiculturale, con un’offerta di soluzioni ecosostenibili per rendere il soggiorno un’esperienza gioviale e consapevole.

Visita il sito dell’hotel milanese

22
Cover Story

Bellezza “imperfetta”

LINEE ESSENZIALI E CONTRASTI MATERICI RIDISEGNANO QUESTO

APPARTAMENTO A CASERTA, APRENDO LE PORTE AD UN NUOVO CONCETTO DI LIVING DINAMICO, DOVE LA CUCINA NON È CONCEPITA COME UN ARREDO TECNICO, MA PARTE INTEGRANTE DELLO SPAZIO

Oggetti di arte e design raccontano passioni e storie di vita. Ed ecco che così, nel living trovano spazio poltrone Walter e divano Paul di Molteni&Co. disegnati da Vincent Van duysen. E poi, una parete-camino realizzata su misura con legno in rovere Alpi serie Evergreen, fa da sfondo all’iconica lampada Taccia di Flos disegnata da Achille Pier Giacomo Castiglioni, poggiata sulla panca Quaderna di Zanotta ideata dal Superstudio di Firenze negli anni Settanta.

A CURA DI JACOPO FROMELLI

Nella zona pranzo, le sedie Bai Lu di Neri & hu (Lema) e le Cesca di Marcel Breuer in paglia circondano il tavolo Alamo, con struttura in bronzo e piano in marmo rigenerato (blu lapislazzuli) disegnato da David Lopez Quincoces per Lema. Per l’illuminazione è stata scelta la lampada a braccio 265 di Flos. Sempre per la zona living, un tavolino tray di Rimadesio in vetro temperato color terracotta e il Pannacotta di Molteni&Co. in Marmo Rosso Laguna.

25
Progetto / design

La cucina è stata disegnata su progetto, utilizzando la Ratio di Dada, le ante a doghe in rovere grafite con illuminazione interna, gli conferiscono leggerezza e garantiscono una perfetta integrazione con lo spazio relax del living.

L’isola che diventa un oggetto di arredo, inoltre, ricorda una madia o un mobile da bar, a dare maggior carattere all’insieme. A volumi vuoti si alterna la razionalità del marmo, creando un elegante gioco di equilibri.

Chiude la composizione della cucina, un imbotto realizzato su misura in legno Alpi Teal Blue (selezione Piero Lissoni), con varie strombature che si raccordano creando la porta che divide la zona notte… Un richiamo alle “imperfezioni” tipiche dei tetti delle mansarde. L’illuminazione è firmata da Davide Groppi per Flash.

26 Progetto / design
Il progetto è di Casa_VM, la realizzazione di 2a.architetti e le foto di Carlo Oriente.

Il bagno segue il concetto di contrasto tra materiali e leggerezza: il marmo arabesco che abbraccia la resina e il legno. Un linguaggio nordico essenziale ed elegante. Il mobile disegnato su progetto è stato realizzato con legno Alpi.

Alla zona living e al reparto notte, in un continuo, fa da cornice il parquet posato a spina ungherese, quasi a definire un’unica successione degli spazi, senza interruzione. Selezionato dalla collezione di CP Parquet, è stata scelta la finitura Natura, realizzata in rovere europeo selezionato.

Passando alla zona notte, il letto Wish sempre di Molteni&Co., abbinato a lampade de Marseille progettate da Le Corbuiser nel 1949. Poi un armadio ideato su misura e decorato con parato Glamora serie Bellagio. A finire, l’applique a soffitto Moma di Oty Light.

5 PUNTI

• Tipologia: abitazione Privata

• Luogo: Italia, Camogli

• Anno di intervento: 2022

• Architetto: Andrea Mori studio SLAM

• Prodotti utilizzati: GeoTexture per i pavimenti e alcune pareti

Forza materica (intrinseca)

È QUELLA GARANTITA DA GEOTEXUTURE PER RIVESTIRE GLI INTERNI

DI UN APPARTAMENTO A CAMOGLI, SUL MARE, DOVE GODERSI MOMENTI DI RELAX CON IL PROFUMO DI SALSEDINE CHE ARIEGGIA NELLE STANZE.

SENZA RINUNCIARE AL VALORE ESTETICO DEI MATERIALI SCELTI PER I RIVESTIMENTI

A CURA DI JACOPO FROMELLI

L’estetica versatile e adatta ai più svariati contesti delle superfici di HDsurface porta l’azienda al mare, per rivestire gli interni di un appartamento privato in una villa storica di Camogli. Così, Villa Mirella si veste di nuovo, attraverso un processo di restauro e di ristrutturazione volto a preservare alcuni dettagli della storicità della struttura e porli in dialogo con la modernità degli interni. Il progetto, curato dall’architetto Andrea Mori dello studio SLAM, coinvolge una delle unità abitative che si trovano all’interno della villa. Luogo di pace e tranquillità, con

spettacolare vista su tutto il Golfo Paradiso, è la scelta perfetta per godersi momenti di relax con il profumo di salsedine che arieggia nelle stanze. GeoTexture di HDsurface è stata scelta per rivestire tutti i pavimenti della residenza ed alcune pareti. GeoTexture è un rivestimento monolitico pronto all’uso, una malta facile da applicare che non richiede miscele, né catalisi offrendo nuove possibilità nella realizzazione di superfici “fai da te” per professionisti del settore. Traspirante e privo di solventi, è un prodotto sicuro ed ecocompatibile. Dall’effetto compatto, GeoTexture lega i dif-

28
29 Progetto / indoor
Villa Mirella si veste di nuovo, attraverso un progetto di restauro e ristrutturazione.

ferenti volumi come una pelle omogenea e continua ma dalla forte materialità visiva e tattile. Concepito per utilizzo in interni per rivestire grandi superfici verticali e orizzontali, mobili e oggetti in spazi privati e pubblici, grazie alle ottime performance meccaniche come la resistenza all’acqua, alle sostanze acide e alcaline, è stato scelto anche per rivestire le superfici dei due bagni, portando anche in questi ambienti la sua intrinseca forza materica. GeoTexture è la soluzione perfetta per rinnovare l’estetica degli interni e dare vita a superfici ad altissimo livello decorativo.

30 Progetto / indoor
“Grazie alle performance meccaniche come la resistenza all’acqua, alle sostanze acide e alcaline, è stato scelto anche per rivestire le superfici dei due bagni”
Grazie alle performance meccaniche, GeoTexture è stato scelto anche per rivestire le superfici dei bagni.

Per tutti quei momenti di ‘forte impatto’.

Tavole di grandi dimensioni, splendidi decori in legno, pietra e cemento, massima resistenza all’usura, ai graffi, agli urti. Cosa chiedere di più ad un pavimento?

74 decori proposti in 3 diverse collezioni: Grand Majestic, Grand Avenue e Original. Un’ampia scelta di colori e formati.

Impossibile non trovare il pavimento dei tuoi sogni.

www berryalloc.com Pavimenti ad alta pressione.

IN CASA DI CHI PRODUCE

UNA FORMULA NUOVA QUELLA DEI FLANDERS FLOORING DAYS. 12 PRODUTTORI DI PAVIMENTI DELLE FIANDRE DISLOCATI NEL RAGGIO DI 25 KM, CHE DAL 22 AL 25 MAGGIO APRONO LE PORTE DEI PROPRI STABILIMENTI E DEI PROPRI SHOWROOM. UN OPEN DAYS COLLETTIVO CHE VALORIZZA UN DISTRETTO PRODUTTIVO

Flanders in inglese significa Fiandre, la regione fiamminga del Belgio, di lingua olandese, situata nel nord del Paese. Ecco, quindi, i Flanders Flooring Days (FFD), un porte aperto collettivo organizzato dai principali produttori di pavimenti della zona: la prima edizione ha coinvolto dieci aziende e attirato più di 1.000 visitatori da tutto il mondo. I produttori che hanno ideato l’evento hanno pertanto grandi aspettative per l’edizione 2023, in programma dal 22 al 25 maggio, occasione per scoprire meglio ciò che questa area ha da offrire all’industria mondiale dei pavimenti. Quest’anno le aziende sono 12, tutte dislocate in un raggio di meno di 25 chilometri, nel cuore delle Fiandre, facilmente accessibile anche da chi arriva da lontano: Associated Weavers, Beauflor, Belysse, Berry Alloc, Betap, Condor Group, COREtec Floors, Lano, McThree, Osta Carpets, Real Orotex e Unilin. Risultato? Una visita altamente efficiente in termini di tempo per

COME PARTECIPARE

Le visite sono possibili solo previa registrazione sul sito web: flandersflooringdays.com. Dopo la registrazione, il produttore contatta il visitatore per fissare un appuntamento.

coloro che vogliono rimanere al passo con le tendenze del settore. E mentre una fiera tradizionale mostra solo una selezione di ciò che ogni produttore può offrire, i FFD permettono di entrare nell’anima delle aziende, vedere la gamma completa di prodotti, porre domande direttamente a chi produce, confrontarsi con i rivenditori e fare un tour degli stabilimenti.

Piccolo spoiler: i “padri fondatori” dell’evento hanno piani ambiziosi per il 2024 e hanno deciso di andare oltre le Fiandre.

32
Focus / eventi
Vai direttamente al sito per registrarti
22 MAGGIO 25 MAGGIO FIANDRE - BELGIO CONCETTO UNICO VISITA PIÙ DI 10 SHOWROOM DI PAVIMENTI LEADER NELLE FIANDRE FLANDERS FLOORING DAYS Visitate flandersflooringdays.com e registratevi ora

Tra le proposte in programma a Porta Venezia Design District, Everything, l’installazione immersiva dello studio turco Nohlab, allestita negli spazi del Meet Digital Culture Center.

UNA VISIONE ALTRA DEL DESIGN

La Milano Design Week, dal 17 al 23 aprile 2023, si arricchisce di una nuova area. È Porta Venezia Design District, “L’altro distretto”, che nasce per raccontare una visione altra del design, in dialogo con il contesto e i valori intrinseci del quartiere, in primis l’inclusività e la diversità. Il neo distretto intende quindi inglobare molteplici ambiti nel concetto di design, inteso nel senso più ampio di ideazione e progettazione, quasi un catalizzatore dei fermenti che qui scaturiscono. Tra i supporter: il centro internazionale per l’arte e la cultura digitale Meet Digital Culture Center, l’istituto di moda e design Raffles Milano, MNAD Museo Nazionale Arte Digitale, Associazione Commercianti di Corso Buenos Aires Milano Ascobaires e l’Area Rete Associativa Confcommercio, l’Associazione Commercianti Porta Venezia Milano Rainbow District. Per saperne di più sulle mostre, gli eventi e le installazioni proposte dal distretto: www.portaveneziadesigndistrict.com

UMANIZZARE L’ESPERIENZA SANITARIA

L’IMPORTANZA DELLE IDEE IN ARCHITETTURA

Attribuito a Demas Nwoko, classe 1935, artista, designer e architetto nigeriano, il Leone d'Oro alla carriera della 18esima Mostra Internazionale Architettura della Biennale di Venezia, dal titolo The Laboratory of the Future e in programma dal 20 maggio al 26 novembre 2023. La decisione è stata approvata dal cda della Biennale presieduto da Roberto Cicutto, su proposta della curatrice Lesley Lokko che, tra le motivazioni del premio, evidenzia: «È stato uno dei primi creativi nigeriani dello spazio e della forma a criticare la dipendenza della Nigeria dall’Occidente per i materiali e i beni importati, oltre che per le idee, ed è sempre rimasto impegnato nell’utilizzo delle risorse locali».

Info: www.labiennale.org

Presentato il Misericordia Cancer Hospital (MI.CA.HO) di Trani, in Puglia, il centro oncologico di ultima generazione disegnato da Progetto CMR, che risponde all’esigenza di umanizzare l’esperienza sanitaria mettendo al centro l’uomo, le sue necessità e i suoi bisogni. MI.CA.HO propone un modello innovativo di assistenza ospedaliera, l’One Day Hospital, che, grazie all’innovazione tecnologica, ha l’obiettivo di ridurre i tempi di diagnosi, terapie e degenza. Una superficie di circa 70.000 mq su un podio verde, che ospita un parco con vegetazione mediterranea autoctona e che alberga i parcheggi e i servizi. Ogni paziente ha una stanza personale, dotata di una loggia con vista sul mare o sul parco, e sono quattro i giardini terapeutici, dove è possibile svolgere parte della terapia chemioterapica e antalgica: uno è dedicato ai pazienti pediatrici e si trova al quarto piano, dove è anche prevista una zona foresteria per le famiglie.

Info: www.progettocmr.com

34
Focus / news
Demas Nwoko Leone d’Oro alla carriera della Biennale Architettura 2023.
SOLUZIONI | INNOVAZIONI | PRODOTTI materiali

SPAZIO ALLA FANTASIA (GEOMETRICA)

materiali

OPEN SPACE INDUSTRIAL CHIC

Una zona giorno contemporanea in pieno stile industriale trova nel parquet Rovere Greige di Woodco la sua anima più intima

Èun appartamento in cui i richiami allo stile industriale sono facilmente rinvenibili nelle linee pulite, nella presenza di pochi oggetti decorativi e nella scelta di mantenere alcuni elementi strutturali originali. A dare la sfumatura chic, più intima e accogliente, è il parquet Rovere Greige di Woodco. Il pavimento scalda e addolcisce l’atmosfera del living, conferendo quelle note d’intimità che rendono confortevole e personale lo spazio da vivere. L’effetto materico di ogni singola tavola è dovuto alla particolare spazzolatura, ottenuta mediante l’utilizzo di spazzole in teflon che asportano la parte più morbida del legno mettendone in risalto il colore, il disegno delle venature e la naturalità. La finitura con vernice opaca ad elevata resistenza, atossica e priva di solventi, protegge la superficie del pavimento dagli urti e dagli effetti del calpestio, assicurando un open space da vivere appieno e senza pensieri.

www.woodco.it

ELEVATA RESA ADESIVA

Euro Gold è l’adesivo bicomponente di Adesiv ideato per una sicura posa del legno sui supporti più vari. Esente da acqua e solvente, è a basso impatto ambientale

Adesiv presenta Euro Gold. Di cosa si tratta? Di un adesivo epossi-poliueratinico bicom ponente, costituito da una resina e un indurente da unire prima dell’applicazione, in grado non solo di far aderire pavimentazioni in legno ma anche di livellare eventuali irregolarità. Euro Gold è efficace sia su massetti cementizi sia su superfici già esistenti al momento della posatura del legno, come marmo, piastrelle o altri supporti. La formula pensata da Ade siv consente un’applicazione agile e veloce, è priva di acqua e solvente e garantisce prestazioni performanti, adattandosi a tutti i tipi di pavimento in legno.

materiali

ANCORA PIÙ SCELTA DI PRIMA

La collezioni di pavimenti in laminato Classic, di Quick-Step, con 24 nuovi decori raffinati, durevoli e sostenibili

Ispirata alla natura e sempre al passo con le ultime tendenze, la collezione Classic di Quick-Step offre ora una scelta ancora più ampia di pavimenti unici, eleganti e molto convenienti. “La gamma Classic offre una varietà di finiture in legno di quercia e teak in diverse tonalità di bianco, grigio, greige e marrone. Con un totale di 24 eleganti design tra cui scegliere, ora c’è un pavimento laminato impermeabile Classic adatto a ogni stanza, gusto e budget, dall'aspetto elegante a quello più rustico”, racconta Joyce van Waeleghem, Chief Designer di Quick-Step. Ogni disegno Classic è ora stampato con l’esclusiva tecnologia Quick-Step che permette di ottenere una venatura sincronizzata: tatto e vista sono corrispondenti in ogni venatura e spazzolatura del decorativo. www.quick-step.it

Il richiamo del glamour è sempre più forte fra i design trend più innovativi del 2023, per il modo in cui enfatizza i dettagli dell’indoor e trasforma la casa in un rifugio esclusivo. Grazie a qualche tocco di lusso e di decoro attraverso materiali preziosi, trame sofisticate o finiture chic, anche gli spazi più minimal e asettici acquisiscono una personalità confortevole e dall’aura magnetica. Terrazzoverlay XL di Isoplam è la nuova declinazione a spessore variabile del terrazzo alla veneziana che trasmette il fascino lussuoso di uno dei pavimenti più antichi nella storia dell’architettura, simbolo della sontuosa Venezia dei Dogi. La sua graniglia più grossa rispetto alla linea Micro colpisce al primo sguardo per il modo naturale in cui ricrea un mosaico artistico di rara bellezza ed eleganza, caratterizzato da contrasti cromatici più evidenti e una texture dinamica ricca di particolari.

materiali www.isoplam.it
e dà un tocco di glamour agli spazi indoor e outdoor con una nuova

SPAZIO AL MAXI FORMATO

Con la nuova soluzione in laminato di Skema, per un effetto legno estremamente realistico

K-Uno Hydro è un laminato dal grande formato, perfetto per ambienti ampi e in open space, dotato di sincroporo e studiato per ottenere un effetto legno estremamente realistico. La caratteristica distintiva di K-Uno Hydro è la sua resistenza ai ristagni d’acqua per ben 24 ore, grazie alla tecnologia Hydro, che protegge la micro-bisellatura presente sui quattro lati, un particolare che lo rende ideale anche per la posa in bagno. K-Uno Hydro è

“Made of Wood”, ossia costituito per l’80% in vero legno, certificato EPLF, è proposto nel formato 2052x248x10 mm e in sette decorativi effetto legno.

www.skema.eu

IL LEGNO SI FA ABITO

Capsule collection Floor Landscape by Monica Armani, nata dalla collaborazione con CP Parquet

Firmata dall’architetto Monica Armani, la capsule collection Floor Landscape è il risultato di un approccio multidisciplinare al tema delle superfici che, grazie alla collaborazione e alla maestria artigianale di CP Parquet, parte dallo studio della cultura italiana legata all’arte, alla scultura e all’architettura, per dare vita ad un prodotto moderno e di design. Nasce così una collezione di pavimenti in legno e boiserie che traduce i valori più significativi della cultura italiana in quattro scenari: Milano, Firenze, Venezia e Corvara. Da questi luoghi, dalla loro storia e conformazione, prendendo forma delle soluzioni compositive innovative, seppur coerenti con il patrimonio del territorio cui si ispirano. La collezione è composta di superfici orizzontali, verticali e profili perimetrali da accostare a piacere. Le proposte originano, infatti, dall’idea che uno spazio, sia domestico che hospitality, rappresenti un volume tridimensionale da impreziosire con un vestito. L’idea che il legno sia trasformato in un abito, e che la superficie sia un tessuto su cui applicare delle trame decorative consente una libertà di espressione senza confini e massima personalizzazione.

materiali
www.cpparquet.it
Le linee orizzontali e verticale della collezione Milano.

MOLTEPLICI MATERIALI, PER MOLTEPLICI IMPIEGHI

Sand è una superficie scolpita Emboss sinuosa ed elegante che si ispira alle dune del deserto sabbioso. I pannelli sono disponibili in tre differenti tipologie di materiali: lamiera piena (alluminio, acciaio, acciaio zincato, acciaio inox, ottone, rame), lamiera forata (alluminio, acciaio, acciaio zincato, acciaio inox) e rete stirata (alluminio, acciaio). Diverse anche le possibili finiture: verniciatura a polvere o a liquido, anodizzazione, elettrocolorazione, acciaio lucido o satinato, acciaio corten. Tanti gli ambiti in cui possono essere utilizzate: dal rivestimento di facciate alle recinzioni, dalla schermatura di elementi tecnici ai parapetti, dal decoro di elementi architettonici, ai rivesti murali, fino a istallazioni di design per interni.

www.embosspanels.com

AMPIA POSSIBILITÀ APPLICATIVA

Satinati, lucidi e dalle grandi dimensioni. I vetri decorativi di OmniDecor diventano elementi di arredo per spazi domestici e contract

Ivetri OmniDecor hanno un’ampia possibilità applicativa, sia nell’arredamento domestico sia nel panorama contract, settore, quest’ultimo, nel quale trovano un larghissimo impiego, soprattutto dove c’è l’esigenza di donare una finitura omogenea, opaca e coprente, che sia duratura ma allo stesso tempo anche delicata. Lo dimostra il nuovo formato lastra DecorOpal: la misura, fino ad ora inedita, 2550x3210 mm apre ad ulteriori possibilità di utilizzo nel mondo del design. Dalle grandi dimensioni della lastra DecorOpal è possibile ottenere moduli più piccoli ideali per realizzare rivestimenti interni di hotel, centri benessere o strutture ricettive. Poi, le versioni ‘classiche’: DecorFlou raggruppa i vetri satinati che presentano una superficie vellutata e morbida, perfettamente omogenea e con un’incredibile resistenza nel tempo. DecorOpal, invece, è la linea di vetro colorato caratterizzata da superfici lucide o satinate e realizzata con vernici ad acqua, a conferma dell’impegno dell’azienda nel realizzare processi e prodotti sostenibili.

materiali
www.omnidecor.it

L’ESPERIENZA

UNICA DEL RIUSO

L’impegno di Lignum Venetia, che utilizza legno di recupero per realizzare nuove pavimentazioni e rivestimenti

Il legno di recupero è un materiale di grande suggestione che, oltre al notevole valore green che porta con se, offre un’esperienza sensoriale particolare legata al suo puro aspetto materico. Questo materiale proviene da vecchi casali, soffitti, eccetera, e viene recuperato e lavorato con cura, per realizzare pavimenti o rivestimenti a parete. Lignum Venetia, all’interno di un complesso residenziale a St. Moritz, ha rivestito mobili e pareti utilizzando Rovere di recupero oliato naturale, di seconda patina. Un progetto che dona al legno una seconda vita, facendo diventare il riuso un’esperienza unica senza tempo. www.lignumvenetia.com

GRADAZIONI CROMATICHE CALDE E NATURALI

Scopri i nuovi thermo-trattati Unikolegno: una nuova specie legnosa e cinque inedite tonalità si sono aggiunte alla proposta dell’azienda veneta

G

materiali www.unikolegno.it

radazioni cromatiche completamente naturali del parquet sono ottenute da Unikolegno attraverso l’esclusivo processo di thermo-trattamento: un procedimento naturale eseguito in particolari celle d’essiccazione dove il legno viene riscaldato raggiungendo temperature altissime con il solo utilizzo di calore e vapore acqueo. È questo stesso calore a modificare le tonalità del legno in modo ecologico, senza ricorrere ad additivi o vernici. Riscaldando infatti le tavole ad elevate temperature (a 130°C, 157°C e 175°C), il legno assume una bellissima e naturale colorazione più o meno scura, a seconda della temperatura di “tostatura” a cui è stato sottoposto. Più alta è la temperatura del procedimento tecnico, più scuro sarà il tono colore assunto. La colorazione coinvolge tutto lo spessore del legno, in profondità. Non essendoci differenze cromatiche tra i vari strati del parquet, in caso di graffi pertanto, la rigatura si noterà meno. Inoltre, il pavimento thermo-trattato è più resistente all’acqua e all’umidità. Durante il processo, infatti, diverse proprietà fisiche e chimiche del legno cambiano in modo permanente e, quando eseguita in maniera eccellente, il risultato di questa tecnica è una materia in cui la durata e la stabilità vengono notevolmente aumentanti. Una nuova specie legnosa e cinque inedite gradazioni si sono aggiunte, così, alla già variegata proposta di Unikolegno. Il Rovere Thermo è presente oggi anche nella gradazione 175° verniciato Evo e verniciato / oliato Naturale. Ma la novità assoluta è il Frassino Olivato Thermo 175° Rustico spazzolato, disponibile nelle versioni oliato velato bianco, verniciato Evo e oliato / verniciato Naturale.

BELLEZZA E PROTEZIONE PER TUTTA LA STAGIONE

Dalla pulizia approfondita su vernice o olio fino alla pulizia e la cura: la linea Deck è la soluzione per qualsiasi esigenza del legno o WPC per esterni. Grazie a LOBA

Vernici DeckFinish trasparente e DeckFinish color sono la soluzione ide ale per una protezione duratura per il decking degli spazi esterni e dei terrazzi, in grado di garantire maggiori prestazioni se paragonate ai comuni olii. Inoltre, grazie alla possibilità di mescolare la vernice trasparente a quella colorata, è possibile lavorare e ottenere diverse gradazioni di colore. Le due vernici sono prodotte dalla tedesca Loba e distribuite in Italia da Wakol.

www.loba-wakol.it

PROTEZIONE EFFICACE

Un prodotto per preservare il legno e mantenerne la bellezza, sia a scopo preventivo, sia curativo

Spesso si pensa di risolvere il problema dei tarli quando il danno è già avvenuto. Non sarebbe meglio prevenirlo ed evitare, così, antiestetici fori sul parquet? C’è una soluzione che permette di agire contro gli insetti xilofagi, sia a scopo preventivo sia a scopo curativo. Si tratta di Lignum AT®, un antitarlo che si può considerare inodore e che ha la capacità di penetrare nel legno, garantendo un’azione profonda e duratura. Testato secondo norma UNI EN 46-1:2016 e UNI EN 1390:2006, è un preservante per legno (un biocida di tipo 8). Lignum AT® non intacca elementi di ferramenta, rivestimenti, pigmenti e colle ed è possibile trattare anche pavimenti verniciati.

materiali
www.hdg.it

DALL’EFFETTO NATURALE

La nuova linea di finiture COREtec il legno e la pietra, perfetto per pavimentazioni e pareti

La nuova collezione Naturals di COREtec®, che unisce le linee The Naturals e MegaStone, rappresenta la bellezza del legno o della pietra con un pavimento tecnologico altamente resistente all’usura e agli urti e senza temere l’acqua. Un aspetto naturale che si ottiene grazie agli 11 motivi in pietra e ai 35 in legno, 10 dei quali a spina di pesce, tutte soluzioni che possono essere anche utilizzate per le pareti. Una delle particolarità sta nel sottofondo in sughero integrato, capace di attenuate la maggior parte delle irregolarità delle superfici sottostanti, caratteristica che conferisce ai prodotti Naturals di essere posati anche su pavimentazioni già esistenti, senza la necessità di un sottofondo separato. Il sughero, inoltre, garantisce anche una maggiore attenuazione del rumore. Texture in legno naturale o in pietra con diverse forme e linee, installazione con sistema click come i laminati e con resistenza all’acqua.

www.coretecfloors.com

COME SISTEMA ALL-IN-ONE

Tavole eccezionalmente lunghe e larghe progettate per resistere: la collezione di pavimenti ad alta pressione Grand Majestic cattura la potenza della natura scandinava per trasformarla in superfici che durano tutta la vita

Grand Majestic di BerryAlloc è la nuova collezione di pavimenti ad alta pressione (High Pressure Floors) che cattura la forza e la bellezza della natura in superfici in grado di resistere ad ogni imprevisto. Caratterizzata da performance di resistenza e durata nel tempo straordinarie, tanto da essere apprezzata anche in ambienti pubblici e commerciali, si distingue per le dimensioni incredibilmente eccezionali delle tavole, con lunghezza di 2410 mm e larghezza di 303 mm. Concepiti come sistema all-in-one, sono fonoassorbenti e completamente resistenti all’acqua: le tavole, infatti, da un lato sono dotate di un materassino integrato che riduce il rumore di oltre 19 decibel, dall’altro sono rifinite con uno strato superiore impermeabile che protegge la superficie e i bordi da liquidi, schizzi e macchie. Per le loro prestazioni, i pavimenti ad alta pressione Grand Majestic offrono la garanzia a vita per l’utilizzo residenziale, concedendo il lusso di godersi la casa in ogni momento.

materiali www.berryalloc.com

SPERIMENTAZIONI POSSIBILI

HABITAREMATERIALS È UNA MATERIOTECA

INTERATTIVA CHE PRESENTA 14 TRA I PIÙ

INTERESSANTI BRAND FINLANDESI

DI MATERIALI, CON UNO SGUARDO ATTENTO

A QUELLI RINNOVABILI. IN SCENA AD ALCOVA

ALLA MILANO DESIGN WEEK

DI VIOLA DELFINO

Interagire con una vasta collezione di campioni dei marchi e produttori finlandesi più innovativi nel settore dei materiali. Questo l’obiettivo di Habitarematerials, l’installazione proposta da Ha bitare, il più grande evento finlandese di arredamento e design d’interni, nell’ambito della Milano Design Week 2023 allo spazio Alcova (all’ex Macello in viale Molise 62). Progettata e curata dai

SUPERFICI CHE FANNO RIFLETTERE

Habitarematerials esplora temi legati alla sostenibilità, alla democratizzazione del design e alla riflessione sull’evoluzione del gusto a livello globale e locale attraverso l’uso dei materiali. Accanto ai marchi più rinomati, viene presentata una selezione di piccoli produttori artigianali finlandesi come parte della Nemo Selection. Inoltre, in collaborazione con l’Aalto University di Helsinki, i curatori hanno selezionato diversi studi sperimentali che includono materiali rinnovabili come il legno, la fibra di cellulosa e la lignina, insieme al corso di ceramica dell’università, per presentare superfici sperimentali.

Habitarematerials è un’esperienza aperta a tutti che invita le persone a sperimentare i materiali e a creare qualcosa di unico. La selezione dei materiali, caratterizzata dall’innovazione, è stata realizzata in collaborazione con ricercatori indipendenti del campo della scienza dei materiali e con le università. Il nostro obiettivo è quello di evidenziare la nostra distintiva “finlandesità”, mostrando materiali prodotti attraverso pratiche responsabili e sostenibili. Un impegno costante che unisce i nostri partner anche al di fuori dell’evento.

51
Focus / sostenibilità
phEevaSuutari phSameliRantanen phSameliRantanen phSameliRantanen

Il trend dell’effetto spigato reinterpretato in chiave moderna per il tuo ambiente.

PUNTO DI RIFERIMENTO TRA PROFESSIONALE E ‘FAI DA TE’

KASTAMONU ENTEGRE È UN’AZIENDA MULTINAZIONALE

TURCA FONDATA NEL 1969 E LEADER MONDIALE

NELLA PRODUZIONE DI PANNELLI DI FIBRA LEGNOSA E PAVIMENTO IN LAMINATO. ALLA RICERCA DI QUALITÀ ESTETICA E DESIGN

Con 19 stabilimenti produttivi dislocati nelle principali aree strategiche dell’industria dell’arredamento mondiale, 2 miliardi di fatturato e oltre 6mila dipendenti, il Gruppo Kastamonu è un punto di riferimento mondiale nella produzione di pannelli truciolare ed MDF grezzi e nobilitati, pannelli e cartelle per il settore porta, worktops e pavimenti in laminato. L’azienda può contare su di una radicata rete commerciale, in grado di soddisfare le esigenze di una clientela diversificata, che permette la distribuzione degli articoli prodotti in oltre 100 Paesi. Kastamonu da sempre unisce l’estrema qualità costruttiva dei propri articoli alla

sostenibilità produttiva nel rispetto dell’ambiente che ci circonda. Una delle direttive aziendali prioritarie sta nll’utilizzo di materie prime ecologiche ed ecosostenibili, per un economia sempre più circolare e virtuosa.

BEN 17 COLLEZIONI

L’azienda rappresenta, inoltre, un punto di riferimento nel settore dei pavimenti laminati, coprendo il 6% della produzione mondiale. In Italia è presente, con ben 17 collezioni, con un magazzino in pronta consegna a Piangipane (RA) ed è diventata, in poco

www.kastamonuentegre.com/it_it

F&W x KASTAMONU 52
INFORMAZIONE PUBBLIREDAZIONALE

più di due anni, un punto di riferimento sia per il mondo della distribuzione professionale, che per quella del ‘fai da te’. Kastamonu si è contraddistinta, inoltre, per aver saputo cogliere le nuove tendenze decorative evolvendo la propria offerta con pavimenti di design. La ricerca di una qualità estetica, unita a

quella tecnologica, hanno portato alla realizzazione di una nuova collezione: il pavimento in laminato PALACE, che trae ispirazione dai pavimenti che hanno lasciato un segno inconfondibile nella storia del parquet di pregio.

IL DETTAGLIO

La collezione PALACE, facile da installare, grazie al sistema di incastro UNIDROP by UNILIN, è un viaggio affascinante nella storia dei pavimenti, che dai fasti degli antichi palazzi arriva ai nostri giorni in chiave contemporanea: dalla spina ungherese, dal tipico effetto a spina di pesce con un’angolazione a 45 gradi, al design del parquet della reggia di Versailles, contraddistinto dagli inconfondibili cassettoni quadrati in legno di rovere con al loro interno l’inconfondibile intreccio diagonale.

53
“Pavimento in laminato PALACE by Kastamonu: un effetto nobile ed antico per un pavimento moderno”.
Decorativo Kastamonu nella tonalità VERSAY. Decorativo Kastamonu nella tonalità ÇIRAĞAN. Il gusto retrò del pavimento Potala per impreziosire la tua area office.

PAVIMENTO + WALL VINILICO SPC

LE CARATTERISTICHE UNICHE DI RESISTENZA E IMPERMEABILITÀ DEL PAVIMENTO VINILICO SPC LO PORTANO AD ESPLORARE NUOVI TERRITORI

CON UN RIVESTIMENTO DA MURO RIVOLUZIONARIO, ANCORA PIÙ LEGGERO DEL SUO GEMELLO PER IL PAVIMENTO PERCHÉ SOTTILE E PRIVO DEL TAPPETINO. RESISTENTE, SOTTILISSIMO, ECOFRIENDLY E SENZA EMISSIONE DI FORMALDEIDE. RICAVATO APPOSITAMENTE DAI DECORATIVI GEMELLI DEL PAVIMENTO,

PERMETTE DI FARE DIVERSI ABBINAMENTI O CREARE UN AMBIENTE UNICO

CON LO STESSO DECORATIVO CHE DIVENTA PAVIMENTO E PIASTRELLA A PARETE.

IDEALE ANCHE PER IL BAGNO PERCHÉ 100% WATERPROOF.

IL NUOVO RIVESTIMENTO È PERFETTO PER UNA RISTRUTTURAZIONE VELOCE DI GRANDE EFFETTO, PERCHÉ PUÒ ESSERE POSATO DIRETTAMENTE

SULLA PARETE PREESISTENTE CON COLLE SPECIFICHE IN BASE ALLA SUPERFICIE ORIGINALE DA RICOPRIRE (VETRO, LEGNO, ECC.)

I VANTAGGI RIVOLUZIONARI DELL’SPC? ATTACCATELI AL MURO!

Kimono S.p.a. Spalto Gamondio, 27
Italia tel. +39
|
kimono-spa.com | info@kimono-spa.it
| 15121 Alessandria |
0131 202520
fax +39 0131 202540

LA MATERIA DIVENTA EMOZIONE

INTERNA_MENTE È L’INSTALLAZIONE

CREATA DA MATERICA, UNA CAPSULA

DEGLI SPECCHI CHE INVITA A RIFLETTERE, A RIFLETTERSI E AD ASCOLTARSI.

DOVE E QUANDO? AD ALCOVA, ALLA MILANO DESIGN WEEK

Un’installazione concepita per proiettare il visitatore in una dimensione extratemporale. Et voilà INTERNA_MENTE, l’installazione di Materica, azienda veneta specializzata nella metallizzazione a filo delle superfici più diverse. Un’esperienza per raccontare la sua capacità alchemica nel trasformare la materia con effetti estetici emozionanti e inaspettati, con la direzione creativa del fashion designer Tiziano Guardini e dell’architetto e

designer Luigi Ciuffreda. Alla Milano Design Week, negli spazi di Alcova (all’ex Macello in viale Molise 62 a Milano), una ex cella frigorifera diventa una suggestiva capsula degli specchi. L’interno interamente rivestito di lastre in MDF riciclato, metallizzate in modo da risultare specchianti e lavorate con ossidazioni e colorazioni sempre diverse, dà vita a un caleidoscopio di rifrazioni continue. Il gioco di riflessi, arricchito dai molteplici effetti cromatici, avvolge il visitatore espandendo e dilatando all’infinito le dimensioni dell’ambiente. È uno stacco istantaneo dal resto del mondo. L’accesso a una dimensione sospesa, intima e protetta, dove subito si incontra una figura misteriosa che racconta altri aspetti dell’abilità trasformativa di Materica. Una forma che sembra provenire da un orizzonte indefinito, modellata in polistirolo compostabile e totalmente metallizzata e specchiante come l’intera installazione. Il filo di metallo ne segue le sinuosità e ne esalta la plasticità scultorea.

SVELARE L’ESPRESSIVITÀ DEI MATERIALI

In un percorso di sperimentazione sempre aperta, Materica svela nuove capacità espressive di quasi ogni genere di materiale, come legno, marmo, pietra, acciaio e tessuti. Una pistola ad arco elettrico fonde i fili di metallo puro, dall’ottone al bronzo, dallo zinco al rame, micronizzandoli e proiettandoli ad alta velocità in minuscole particelle sulla superficie da rivestire. Subito il metallo si aggrappa grazie a un pretrattamento superficiale e raffredda velocemente, preservando così il materiale e avvolgendolo fin nei minimi dettagli. Un processo dall’elevata versatilità applicativa, che nobilita anche i materiali apparentemente più poveri, asseconda le geometrie, esalta le texture o al contrario dà compattezza e omogeneità alle superfici più scabre e materiche. Con la possibilità di trattare ulteriormente il metallo, ossidandolo, colorandolo, argentandolo, anticandolo, lucidandolo in una palette variegatissima di nuove vibrazioni ed effetti sensoriali.

55
Focus / innovazione
DI IRENE NUVOLA

Prodotto del processo di mineralizzazione messo in atto da Eni, azienda premiata nella categoria Emerging Solutions per la soluzione di cattura e utilizzo dell’anidride carbonica gassosa proprio tramite mineralizzazione.

L’EDILIZIA GUARDA AVANTI

OLTRE 40 PROPOSTE DA SETTE PAESI PER RETHINK

NEXT GENERATION COATINGS, IL PROGETTO PROMOSSO

DA SAN MARCO GROUP PER LO SVILUPPO DI MATERIE

PRIME INNOVATIVE E SOSTENIBILI NELL’AMBITO

DI PITTURE E VERNICI

DI VIOLA DELFINO

Individuare composti innovativi e tecnologie all’avanguardia in grado di ridurre l’impatto ambientale dei prodotti per l’edilizia. Questo l’obiettivo di ReThink Next Generation Coatings, il contest promosso da San Marco Group che ha raccolto oltre 40 proposte da sette Paesi. Durante l’evento di premiazione – svoltosi il 28 febbraio a Milano e incentrato su bioedilizia, architettura sostenibile e ambiente – sono emersi scenari sorprendenti che prevedono sistemi vernicianti composti da materiali innovativi, dal polimero ottenuto dal parabrezza delle auto al pigmento che nasce dalla cellulosa. La scelta delle realtà vincitrici conclude un percorso lungo quasi un anno: in questo periodo San Marco Group, specializzata nel settore delle pitture e delle vernici per l’edilizia, ha raccolto e valutato in collaborazione con Material ly, società di consulenza sui materiali rinnovabili, sia soluzioni già disponibili sul mercato (Ready Made Solutions), sia ricerche ancora in fase di sviluppo (Emerging Solutions).

Cantiere / contest 56
Ricercatori nell’impianto pilota di mineralizzazione presso il Centro Ricerche Eni di San Donato Milanese.

Ecco i nomi dei premiati: l’azienda danese Shark Solutions, rap presentata dall’italiana Eico Novachem, che ne è distributore ufficiale, le tedesche Evonik Operations e Heubach Colorants, e l’italiana Eni; una menzione d’onore è stata attribuita alla startup svizzera Impossible Materials.

MENO IMPIEGO ENERGETICO, PIÙ DURABILITÀ

«L’attenzione all’ambiente, il livello di innovazione di prodotto

e tecnologia, la facilità di implementazione sono stati i primi criteri di valutazione della giuria – evidenzia Silvano Storer, consigliere di amministrazione in società che operano in ambito ESG, coordinatore del progetto – Abbiamo inoltre preso in considerazione la disponibilità del materiale, l’impatto commerciale e l’investimento economico necessario». Gli esperti hanno individuato tre aziende vincitrici nell’ambito delle Ready Made Solutions: Shark Solutions che, attiva nel settore delle tecnologie

57
In queste foto emergono le soluzioni di due delle aziende vincitrici del contest nell’ambito delle Ready Made Solutions: sopra, Spherilex di Evonik Operations, linea di additivi a base di silice a morfologia sferica; sotto, un’immagine evocativa che rappresenta Dispersione PVB, il nuovo legante a base di polivinilbutirrale riciclato, sviluppato da Shark Solutions.

pulite, ha sviluppato Dispersione PVB, un nuovo legante a base di polivinilbutirrale riciclato, polimero ottenuto interamente dal recupero dei parabrezza delle automobili; Evonik Operations che, con la Business Line Coating Additives, ha proposto Spherilex, linea di additivi a base di silice a morfologia sferica in grado di incrementare le proprietà antiabrasive dei rivestimenti riducendo quindi l’uso di polimeri e garantendo la stessa durabilità; Heuba-

➢ LA PAROLA A SAN MARCO GROUP

«La call for solutions ReThink Next Generation Coatings nasce dalla convinzione che l’innovazione non debba tenere conto solo delle idee e delle risorse interne, ma anche di strumenti e competenze provenienti da realtà esterne con le quali stringere rapporti di scambio e sinergia – commenta Pietro Geremia, presidente e ad di San Marco Group – Vogliamo quindi che l’Open Innovation sia uno dei nuovi fari nello sviluppo del nostro Gruppo, come valido strumento per rafforzare l’impegno che da sempre dedichiamo al rispetto per l’ambiente». Aggiunge Giovanni Marsili, direttore Ricerca e Sviluppo di San Marco Group: «La scelta delle aziende vincitrici è solo un punto di partenza. Desideriamo unire le nostre competenze per dare il via a una ricerca comune, così da fare dei nostri laboratori una fucina sempre più vivace di innovazione e sostenibilità. La sperimentazione sulle materie prime proseguirà nei prossimi mesi per consentire un’analisi approfondita delle opportunità nate con il contest con l’obiettivo di ridurre ulteriormente l’impatto ambientale dei nostri prodotti».

ch Colorants che ha realizzato Next Generation Pigments, pigmenti per paste coloranti sviluppati con lo scopo di velocizzarne il processo di dispersione e, di conseguenza, ridurre l’impiego energetico. Premiata nella categoria Emerging Solutions è stata invece Eni, con la soluzione di cattura e utilizzo dell’anidride carbonica gassosa tramite mineralizzazione. Nella stessa categoria, infine, la giuria ha tributato una menzione d’onore alla start up Impossible Materials per lo sviluppo di Cellulose white pigments: una materia prima innovativa, sviluppata a partire dalla cellulosa, che imita la struttura di prodotti naturalmente bianchi mirando a sostituire il biossido di titanio.

58
Cantiere / contest
Il momento della premiazione del contest ReThink Next Generation Coatings. Tra i minerali a cui Eni presta attenzione, l’olivina, silicato di magnesio abbondante nella crosta terrestre, in grado di fissare quantità molto elevate di CO2

Massima flessibilità, protezione, sicurezza dentro e fuori.

BREVETTATO

PRODESO® MEMBRANE SYSTEM

PRODESO® MEMBRANE SYSTEM è un sistema desolidarizzante ed impermeabilizzante per supporti problematici, terrazzi, balconi e superfici orizzontali di qualsiasi dimensione. Grazie a PRODESO® MEMBRANE SYSTEM è possibile non realizzare i giunti di frazionamento nel massetto e se sono presenti di non rispettarli durante la posa di ceramica e pietre naturali. Molti sono i vantaggi offerti dal sistema, progettato da Progress Profiles, che garantisce la massima flessibilità di posa, protezione del pavimento e garanzia nel tempo dentro e fuori casa.

Velocità: riduce drasticamente i tempi di cantiere visto che dalla posa della membrana sino alla posa della pavimentazione è possibile lavorare senza interruzioni. Versatilità: garantisce la posa su qualsiasi supporto anche di grandissima dimensione sia all’interno che all’esterno. Impermeabilità: garantisce l’impermeabilizzazione del sottofondo anche in caso di sovrapposizione, su supporti fessurati e non perfettamente stagionati e quindi con possibili tensioni di vapore.

Esterni d’Autore. Protegge, valorizza.

PROTERRACE SYSTEM

Innovativo sistema per terrazzi e balconi, PROTERRACE SYSTEM è stato studiato da Progress Profiles per proteggere i bordi delle piastrelle, il massetto da filtrazioni d’acqua e per consentire un corretto deflusso delle acque. Una gamma completa e articolata di profili perimetrali multi-funzionali, in alluminio verniciato, nelle tonalità bianco, grigio, grigio antracite, testa di moro, corten e a richiesta beige e acciaio inox, che sostituiscono gli elementi ad “L” in ceramica e i gocciolatoi in marmo. I profili sono muniti di un’aletta di ancoraggio traforata, che ne garantisce una perfetta presa con il supporto, di una sezione verticale che protegge il massetto da infiltrazioni d’acqua e copre il bordo della pavimentazione, nonché di rompi-goccia innovativo e fori ad asola che consentono la fuoriuscita di acqua filtrata tra profilo e piastrella (versione “Drain”). Un sistema d’eccellenza per valorizzare e proteggere esterni di qualità e restituirne piena vivibilità, in ideale continuità con gli ambienti interni.

PROTERRACE ECO DRIP PROTERRACE UNDER EDGE “L” PROTERRACE UNDER EDGE “C” PROTERRACE DRAIN FDP PROTERRACE PCG PROTERRACE DRAIN DRIP PROTERRACE DOUBLE DRIP PROSIDE WALK GIUNZIONI TAPPI ANGOLI ESTERNI ANGOLI INTERNI
Progress Profiles SpA Azienda certificata UNI EN ISO 9001:2015 www.progressprofiles.com GET IT ON GET IT ON Erhältlich bei
GAMMA COLORI GOFFRATI Bianco RAL 9010Grigio RAL 7038Grigio antracite Beige RAL 1019 Corten Testa di moro RAL 8019 GOFFRATI A RICHIESTA Bianco RAL 9010 Testa di moro RAL 8019 Grigio RAL 7038 Beige RAL 1019 SEMILUCIDI A RICHIESTA
IMPERMEABILIZZAZIONE DESOLIDARIZZAZIONE SFOGO VAPORE DISTRIBUZIONE DEL CARICO PROBAND 150 RULLO PRESSORE PROBAND KOLL PROMEMBRANE KOLL PROBAND BU ANGOLI PREFORMATI PRODESO®
BREVETTATO
BREVETTATO BREVETTATO
MEMBRANE
BREVETTATO BREVETTATO

NON SOLO PARQUET E PIASTRELLE PER I SISTEMI RADIANTI

ATTENTA ANALISI DELLE PRINCIPALI TIPOLOGIE

DI RIVESTIMENTI ADATTE AGLI IMPIANTI DI RISCALDAMENTO

A PAVIMENTO, DELLA POSA IN OPERA E DEI RIFERIMENTI

NORMATIVI PER LE DIVERSE FINITURE SUPERFICIALI

DI ING. CLARA PERETTI*

Per approfondire vai al sito www.q-rad.it

* Ingegnere, libera professionista con studio a Bolzano. Segretario Generale Q-RAD: Consorzio Italiano Produttori Sistemi Radianti di Qualità. Esperto italiano del CEN TC 130-WG9 e ISO TC 205-WG8.

60

Ceramica, marmo, legno, moquette, pavimenti continui, sono moltissime le tipologie di finiture da abbinare ai sistemi radianti. Ma quali sono quelle più adatte? In questo articolo vengono analizzate le principali tipologie di pavimentazioni, la posa in opera e i riferimenti normativi per le diverse finiture superficiali. Una importante premessa riguarda l’approccio da utilizzare quando si sta valutando quale tipo di pavimentazione utilizzare. Due sono le possibilità:

• fare riferimento alle normative del settore;

• fare riferimento alle indicazioni delle aziende produttrici. Molto

spesso, infatti, per tipologie particolari di sistemi radianti (come, ad esempio, i sistemi a basso spessore) si deve fare riferimento alle indicazioni di progetto e di posa fornite dal produttore di sistemi radianti e della pavimentazione.

È fondamentale inoltre ricordare che “di norma su un impianto di riscaldamento e raffrescamento radiante è possibile posare qualsiasi tipo di pavimentazione.”

QUALI PAVIMENTI?

È possibile abbinare a un sistema radiante a pavimento qualsiasi tipo di rivestimento, ma sono necessari alcuni requisiti generali che devono essere rispettati.

Indicazioni generali per tutte le pavimentazioni:

• La temperatura superficiale della pavimentazione non dovrà essere superiore a 29°C per le zone dove le persone soggiornano, 35°C per le zone perimetrali ad un metro di distanza dalle pareti disperdenti e 33°C per i bagni.

• La resistenza termica dei rivestimenti del pavimento deve essere tenuta in considerazione per quanto riguarda i calcoli di trasferimento del calore e deve essere verificata durante l’installazione. Prima di posare il rivestimento, l’installatore della pavimentazione deve verificare l’idoneità per la posa del rivestimento sul massetto.

• La resistenza termica della pavimentazione (incluso lo stato per la posa, come ad esempio uno strato resiliente) non deve superare il valore di 0.15 m2K/W (secondo UNI EN 1264 e UNI EN ISO 11855).

• I rivestimenti del pavimento devono essere immagazzinati e installati secondo le norme e le istruzioni del produttore.

FONDAMENTALE CONOSCERE

LA RESISTENZA TERMICA

Già in fase di progettazione sarebbero necessarie informazioni in merito alla tipologia e alle caratteristiche del rivestimento da posare, anche se spesso tali informazioni vengono decise in un secondo momento. La conoscenza della resistenza termica del rivestimento finale permette un ottimale dimensionamento già durante la progettazione garantendo così un alto rendimento del sistema. La resistenza termica della pavimentazione (incluso lo strato di supporto) non dovrà superare il valore di 0.15 m2K/W. Maggiore

TIPOLOGIE DI PAVIMENTAZIONI E NORMATIVE

Tipologie di rivestimento

Rivestimenti resilienti e laminati

Normative di riferimento

UNI 11515-1:2020. Rivestimenti resilienti e laminati per pavimentazioni - Parte 1: Istruzioni per la progettazione, la posa e la manutenzione.

La norma fornisce le istruzioni per la progettazione, la posa e la manutenzione di rivestimenti resilienti (gomma, pvc, linoleum) e laminati per pavimentazioni. I pavimenti resilienti sono molto usati negli ospedali, nelle scuole e nei locali pubblici.

Rivestimenti lapidei

UNI 11322:2009. Rivestimenti lapidei per pavimentazioni - Istruzioni per la progettazione, la posa e la manutenzione.

La norma fornisce le istruzioni per la progettazione, la posa e la manutenzione di rivestimenti lapidei per pavimentazioni.

Rivestimenti in resina

UNI 10966:2020. Rivestimenti resinosi per pavimentazioni - Istruzioni per la progettazione e l’esecuzione.

Cantiere / normative 1 61

SISTEMI INNOVATIVI PER LA POSA

Lo studio di sistemi innovativi per la posa ha portato sul mercato soluzioni specifiche ad alte prestazioni. Ne è un esempio lo strato acustico resiliente sottopavimento che coniuga molteplici funzioni. Tale strato ha funzione acustica (le cui prestazioni devono essere certificate) da posare tra il massetto radiante e la pavimentazione. Può essere incollato al supporto mediante adesivo o colle oppure può essere in appoggio sul supporto e ricevere la pavimentazione incollata; un’alternativa di posa è flottante da valutare in funzione della tipologia.

è la resistenza termica, maggiore dovrà essere la temperatura di mandata dell’acqua.

La resistenza termica è legata a due parametri del materiale della pavimentazione:

• lo spessore;

• la conducibilità termica.

Più è basso lo spessore del pavimento e più è alta la conducibilità termica, migliore sarà il potere di trasmettere calore proveniente dal sistema radianti. Ad esempio, le pietre naturali (marmo e granito) hanno un’ottima conducibilità termica, ma presentano spesso spessori maggiori (circa 3 cm), inficiando quindi parte della prestazione di conducibilità. I rivestimenti in legno non hanno generalmente

conducibilità più bassa rispetto ai materiali lapidei, ma possono avere spessori più bassi. Resine, vinilici o gres ultrasottili hanno spessori ridotti e valori di conducibilità variabile.

RIVESTIMENTI RESILIENTI E LAMINATI

I rivestimenti resilienti e laminati da abbinare ai sistemi radianti devono seguire le prescrizioni della norma UNI 11515-1. La norma descrive le caratteristiche dello strato separatore in materiale plastico con funzione di barriera al vapore. Sono inoltre fornite le indicazioni sulla rete elettrosaldata, sui giunti di controllo, sugli spessori minimi del massetto e gli additivi per i massetti.

RIVESTIMENTI LAPIDEI

I materiali lapidei come il marmo, il granito, il travertino e la pietra richiedono un’attenta progettazione che definisca correttamente gli spessori, le dimensioni, le finiture superficiali e i tipi di giunzione delle lastre. La conducibilità termica dei materiali lapidei è generalmente ridotta ed è legata alla struttura del materiale: sono più conducibili le pietre compatte a grana fine piuttosto che quelle porose a grana grossa. Ad esempio, la conducibilità del granito può variare tra 3,2 e 4,10 W/mK; il marmo invece varia tra 2,1 - 3,5 W/mK. Con uno spessore di 2 cm la resistenza termica risultata pari a circa 0.005-0.008 m2K/W, mentre con uno spessore di 3 cm la resistenza termica risultata pari a circa 0.008-0.01 m2K/W. Una tipologia edilizia nella quale viene fatto ampio uso dei rivestimenti lapidei sono le chiese. Viene infatti frequentemente installato, sia per le chiese nuove che per quelle riqualificate, un rivestimento in marmo, pietra, granito o travertino.

RIVESTIMENTI RESINOSI

I rivestimenti realizzati con resine hanno uno spessore medio è di circa 3 mm. Il basso spessore e l’alta conducibilità termica inoltre garantiscono piena compatibilità con i sistemi radianti a pavimento; la sua elasticità non genera fessurazioni a causa degli sbalzi termici del riscaldamento/raffrescamento. La resina, per il basso spessore e l’alta conducibilità termica, sono infatti un’ottima soluzione per condurre la maggior quantità di colore dal pavimento all’ambiente abitativo.

62 Cantiere / normative 1
Sezione di sistema radiante a bassa inerzia con strato acustico resiliente.
Di norma su un impianto di riscaldamento e raffrescamento radiante
è possibile posare qualsiasi tipo di pavimentazione

LEGNO E ANIDRIDE CARBONICA SEQUESTRATA

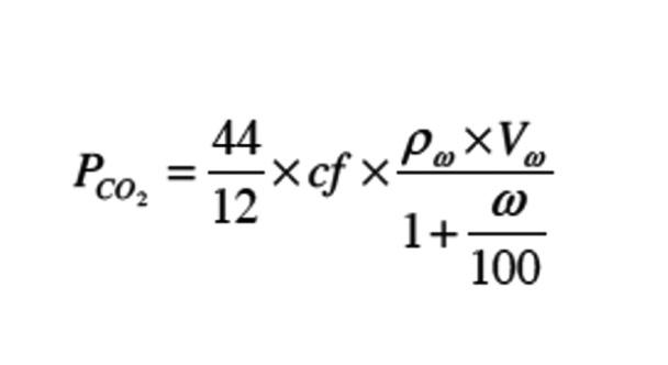
LA NORMA PER CALCOLARE I CHILOGRAMMI DI CO 2

SEQUESTRATI DA UN PRODOTTO IN LEGNO. I DATI RICAVATI POSSONO ESSERE CONSIDERATI LA BASE DI PARTENZA PER LE DICHIARAZIONI AMBIENTALI DI PRODOTTO

FONTE PAOLO TIRELLI DI CATAS*

Per saperne di più: www.catas.com

* Catas è un ente certificatore per il settore legno e arredo con un laboratorio che si occupa di prove, analisi e test sui prodotti.

Cantiere / normative 2
64

Ormai da qualche anno, in ambito CEN (Comitato Europeo di Normazione), è stata pubblicata la norma “UNI EN 16449 Legno e prodotti a base di legno - Calcolo del contenuto di carbonio di origine non fossile del legno e conversione in anidride carbonica”. Si tratta di un documento che si pone l’obiettivo di valutare la quantità di CO2 sequestrata/assorbita da un elemento di legno attraverso i processi di fotosintesi. Vediamo come.

“SERBATOI” DI CARBONIO

Gli alberi, durante la loro crescita, con la fotosintesi assorbono/ sequestrano anidride carbonica atmosferica la quale viene incorporata all’interno del cambio (nelle cellule del legno nella corteccia). L’anidride carbonica assorbita si fissa nel legno come carbonio di origine non fossile, biogenico, che viene quindi trasferito al prodotto realizzato.

I prodotti di legno costituiscono quindi un “serbatoio” di carbonio di origine non fossile per tutta la vita del prodotto stesso. Al termine del suo ciclo di vita, il carbonio lascia il prodotto di legno solamente se questo viene utilizzato per la generazione di energia (per esempio se viene bruciato); in quanto si ossida e viene rilasciato nell’atmosfera sotto forma di anidride carbonica (CO2).

COME EFFETTUARE IL CALCOLO

La norma fornisce un metodo di calcolo per quantificare l’ammontare di anidride carbonica sequestrata sulla base del carbonio biogenico contenuto nel legno.

Il calcolo dei chilogrammi di CO2 sequestrati è piuttosto semplice e si basa sui pesi atomici del carbonio (12) e dell’anidride carbonica (44), sul contenuto di carbonio di origine non fossile del prodotto, sul volume di legno impiegato, sulla sua densità e sul contenuto di umidità.

dove:

65
I prodotti di legno costituiscono un “serbatoio” di carbonio di origine non fossile per tutta la vita del prodotto stesso. Al termine del suo ciclo di vita, il carbonio lascia il prodotto di legno solamente se questo viene utilizzato per la generazione di energia

Per prodotti a base legno, il volume di legno contenuto é Vω = Vp x Percentuale di legno, dove Vp = Volume lordo del prodotto

Se un prodotto è composto da più specie legnose si calcola la per ciascuna specie e poi si sommano per ottenere la massa complessiva di anidride carbonica sequestrata.

Da evidenziare che questi dati possono anche essere considerati la base di partenza per le dichiarazioni ambientali di prodotto.

LE CERTIFICAZIONI CQA DELLA FORMALDEIDE

Spesso ci sentiamo dire: “È un pannello certificato per la bassa emissione di formaldeide!”

Ma davvero questa frase ci deve confortare garantendoci che il pannello è conforme e può essere venduto in qualsiasi Paese del mondo?

È triste dirlo, ma no! Non è così: la legislazione a livello internazionale è estremamente varia e, va da sé, anche i requisiti di conformità per l’esportazione. La differenza dei limiti non si ha solo tra Paese e Paese ma anche tra le diverse tipologie di pannelli.

Spesso poi accade che grosse realtà produttive nel settore dell’arredo facciano propri determinati requisiti di conformità e li impongano come limiti ai propri fornitori. Attraverso le certificazioni CQA di pannelli a bassa emissione di formaldeide, Catas può aiutare gli utilizzatori di pannelli a scegliere il prodotto certificato

conforme all’utilizzo che ne intendono fare e al Paese in cui intendono esportare il manufatto. Infatti, Catas ha creato il marchio Catas Quality Award Formaldehyde, a cui molte aziende aderiscono anche per rispondere alle richieste di alcuni operatori internazionali che impongono ai loro fornitori di produrre non solo pannelli che rispettino il limite, ma che siano anche sottoposti a controlli sistematici da parte di laboratori di loro fiducia. Il requisito di conformità è 0,1 ppm (D.M. 10/10/2008), obbligatorio per la vendita in Italia. Il marchio CQA Formaldehyde è stato implementato in seguito dell’entrata in vigore di una legge in Germania dal 1° gennaio 2020 (BAnz AT 26.11.2018 B2), che stabilisce che tutti i prodotti a base legno immessi sul mercato tedesco per qualsiasi impiego (arredi, costruzioni,

imballaggi) devono rispettare un limite di 0,1 ppm ottenuto con il metodo di prova EN 16516, anche se viene riconosciuto anche il metodo EN 717-1. Questo “nuovo” metodo, se paragonato a quello della norma EN 717-1, prevede un minor ricambio d’aria e maggior carico di campione all’interno della camera di prova. Questo significa, di fatto, che il requisito di emissione richiesto per essere conformi al regolamento tedesco è dimezzato. Un altro schema di certificazione è il CQA Formaldehyde 4 Stars dove viene verificato tramite il metodo dell’essiccatore, norma JIS A 1460, il rispetto dei limiti di emissione di formaldeide imposti dal mercato giapponese che sono per tutti i materiali a base legno molto restrittivi. Di fatto devono essere inferiori

o uguali a 0,3 mg/l. Lo schema FOR LAM CQA Formaldehyde LAMINATED invece, si applica ai pannelli a base legno già certificati CARB o TSCA Title VI (EPA) rivestiti, LAMINATED appunto. Il requisito da rispettare è 0,65 mg HCOH/m2 h. E ultime, ma non per importanza, le certificazioni CARB ed EPA, di cui Catas è riconosciuto come certificatore di terza parte (TPC 016); entrambe si applicano ai soli pannelli a base legno di particelle grezzi, di fibre grezzi e compensati piani.

La novità per questi schemi sarà che da marzo 2024, i suddetti pannelli, se impiallacciati con legno o con bambù (woody grass veneer) utilizzando resine urea-formaldeide, dovranno rispettare il limite di 0,05 ppm previsto per i Laminated Products. (Fonte: Giada Destrini)

66 Cantiere / normative 2
Esaminiamo insieme un esempio. Se consideriamo delle travi in
RAISED FLOORS www.italprofili.com info@italprofili.com SPECIAL EVOLVE LA NATURALE EVOLUZIONE DEI BASAMENTI REGOLABILI SCOPRI SPECIAL EVOLVE SUL SITO Nuovi basamenti regolabili Special Evolve: funzionali, modulari e autolivellanti, adatti a qualsiasi tipo di pavimentazione sopraelevata da esterno.

SGUARDO ESTERNO

UNA PANORAMICA DI PAVIMENTAZIONI PER SPAZI ALL’APERTO. UN TOUR TRA I MATERIALI IN GRADO DI BILANCIARE ASPETTO ESTETICO, PRESTAZIONI TECNICHE E FUNZIONALITÀ

La pietra sinterizzata Lapitec è decisamente versatile negli spazi esterni, può essere infatti utilizzata dalle pavimentazioni alle facciate, dal rivestimento di piscine ai complementi di arredo.

Non c’è bisogno di ribadire quanto l’outdoor sia predominante nelle scelte progettuali. Oggi più che mai gli spazi esterni sono appetibili in tutti gli ambiti di progettazione: residenziale, commerciale, urbanistico, paesaggistico. Le aziende che producono superfici seguono la tendenza, proponendo soluzioni dal forte impatto estetico ma in grado di assecondare le necessità tecniche proprie degli ambienti all’aperto: resistenza, sicurezza, robustezza, funzionalità. Qui di seguito un tour tra vari materiali.

Per contesti urbani e paesaggistici

IPM GeoDrena è la pavimentazione continua a base di graniglie naturali (marmo, granito, porfido) miscelate e posate direttamente in loco, a zero emissioni VOC. Ideata e sviluppata da IPM Italia per spazi urbani, piazze, parcheggi, aree residenziali e commerciali, garantisce effetto decorativo, elevata capacità drenante, stabilità, velocità di posa, resistenza all’utilizzo anche carrabile e sostenibilità, grazie a un legante eco-friendly di formulazione IPM Italia. IPM GeoDrena, inoltre, ha ottenuto la conformità per l’ottenimento di crediti Leed. Info: www.ipmitalia.it

Cantiere / outdoor
DI DANIELA STASI
68

Ispirato alle trame della natura

Cemento creativo a basso spessore (3-4 mm) dall’appeal estetico incisivo e dalle caratteristiche tecniche performanti. Skyconcrete Outdoor di Isoplam supera i tradizionali limiti del calcestruzzo – pesantezza, possibili microfessurazioni, presenza di giunti di dilatazione – e coniuga libertà espressiva e versatilità applicativa. È contraddistinto da un effetto graffiato ispirato alle trame di rami, foglie e tronchi d’albero, ed è disponibile in 34 colorazioni. Grazie all’elevata aderenza, permette di rivestire in modo pratico e veloce qualsiasi tipologia di superficie esistente senza rimuoverla o demolirla. Le prestazioni in termini di resistenza all’usura, agli agenti chimici, ai fattori atmosferici, all’abrasione e alla microfessurazione unite alle proprietà antiscivolo e antisdrucciolo, rendono questa soluzione ideale sia per esterni residenziali, sia per contesti a traffico elevato. Info: www.isoplam.it

Effetto graffiato ispirato a rami, foglie e tronchi d’albero, in soli 3-4 mm di spessore, nelle superfici realizzate con Skyconcrete Outdoor di Isoplam.

Superficie dai mille volti

Molte le applicazioni della pietra sinterizzata Lapitec per gli spazi esterni, dalle pavimentazioni alle facciate, dal rivestimento di piscine ai complementi di arredo. La flessibilità è data dalle grandi dimensioni delle lastre, che negli spessori di 12 e 20 mm sono pari a 1.540 x 3.440 mm, e dalle elevate prestazioni. La pietra sinterizzata è infatti resistente alle condizioni atmosferiche, ai raggi UV, agli sbalzi termici, alle abrasioni, tanto da essere accompagnata da una garanzia di 25 anni: la sua composizione interamente silica-free, frutto di una miscela di minerali 100% naturali compattati attraverso un processo pluri-brevettato, ne fa un materiale ecologico privo di pori sulla superficie e quindi ideale per il contatto prolungato con acqua, anche salata o addizionata con cloro.

69

Il lusso che resiste a tutto

Impreziosire gli spazi esterni di abitazioni private, complessi residenziali, hotel e luoghi pubblici. Ecco l’intento dell’ampia gamma di marmi proposti da Margraf in formati modulari da 30x30, 40x40, 30x60 cm, o nella versione 30/40 cm a correre, a partire da 3 cm di spessore. Tutti i marmi Margraf per le pavimentazioni esterne, oltre a essere antiscivolo, in seguito a cicli di gelo e disgelo, sono risultati antigelivi e quindi resistenti alle temperature più rigide.

Info: www.margraf.it

Decking senza tempo

Aspetto naturalmente invecchiato frutto di un processo di lavorazione esclusivo: una finitura originale per un prodotto di elevata durezza e stabilità dimensionale, che non necessita di manutenzione e non teme macchie in superficie.

Bamboo Elegance di Ravaioli Legnami, garantito 25 anni, è realizzato in bambù, materiale sostenibile e riciclabile, dalla crescita molto rapida, con CO2 neutro nel ciclo di produzione. Lo speciale trattamento termico con cui è prodotto e l’alta densità che lo caratterizza rendono Bamboo Elegance resistente alle intemperie e in grado di mantenere inalterate le caratteristiche tecniche, senza fenomeni di torsione o variazioni della solidità.

Info: www.ravaiolilegnami.com

Personalità decisa ed elegante

Il Bardiglio di Sagevan, estratto nella celebre cava di Carrara Calocara Bettogli n° 102-A, è un marmo dalla grana fine di color grigio scuro attraversato da sottili venature di grigio chiaro, particolarmente adatto per la realizzazione di rivestimenti, scale e pavimentazioni anche esterni. È proposto sotto forma di lastre, marmette o cut to size con finitura lucida o levigata.

Info: www.sagevanmarmi.com

70 Cantiere / outdoor
Bamboo Elegance di Ravaioli con fresatura a scomparsa per la Dimora dei Lari, Bacoli (NA), su progetto dell’architetto Alessandro Falconio
©Tiesse Digital

Studiata per durare

Marina Pacto di Skema è una superficie in WPC dalla struttura interna piena, con una lavorazione superficiale che riprende l’effetto legno sia nei colori che al tatto. La struttura piena ne conferisce solidità e la rende robusta, resistente a forti pressioni concentrate e quindi ottimale anche in situazioni in cui si verificano curvature, smussi, gradini e passaggi ad alto traffico. Proposta nel formato 2.900x150x200mm e nei decorativi Lipari, Vulcano, Linosa e Panarea, è studiata per resistere nel tempo agli agenti atmosferici e per essere pulita in modo agevole.

Info: www.skema.eu

La bellezza del parquet all’aperto

Il decking Externo di Woodco, realizzato con un ecomateriale a base di farine di legno e polietilene riciclato ad alta densità, garantisce resistenza e sicurezza senza rinunciare alla naturalezza del parquet. Le doghe Externo, disponibili nelle colorazioni Light Brown, Dark Grey, Ipe, Teak, Antique e in tre finiture di superficie, zigrinata, levigata o spazzolata, resistono alle radiazioni UV, alle alte e basse temperature, agli agenti atmosferici, al cloro, agli insetti e ai funghi. Da segnalare la versione Extrashield, in cui ogni singola doga viene incapsulata da una schermatura che ne aumenta la robustezza, eliminando qualsiasi trattamento manutentivo durante l’intera vita del prodotto.

Info: www.woodco.it

71
Ph: © Lucio Tonina Marina Pacto di Skema nel decorativo Lipari.

INNO ALLA CREATIVITÀ

ABBIAMO SELEZIONATO DIECI NOVITÀ IN MOSTRA ALLA MDW 2023, TRA IL SALONE DEL MOBILE E IL FUORISALONE. FIL ROUGE: L’INVENTIVA, SIA

NELLA RICERCA DI NUOVI MATERIALI, SIA NELL’INTERPRETAZIONE ESTETICA

Dieci nuove superfici che alla Milano

Design Week 2023 sono in grado di catalizzare l’attenzione. A emergere, la voglia di sperimentare, a tutti i livelli: materiali sempre più performanti ed ecologici, e un’estetica colma di rimandi e citazioni, a tempi passati e a correnti artistiche.

72 Cantiere / Preview Milano Design Week 2023 Su
floorewall.com trovi approfondimenti e altre novità
DI DANIELA STASI

CARATTERE ARCANO

È firmato Konstantin Grcic il nuovo legno Raggiosole di Alpi. Designer industriale ed ebanista tedesco, Grcic ha reinterpretato il materiale ligneo con il colore e la grafica, dando vita a una superficie dal carattere arcano. In particolare, la ricerca si è focalizzata sulla possibilità di sfumare un colore in un altro, alternandoli in una sequenza programmata. Da lontano l’effetto cromatico è sfumato, mentre avvicinandosi la venatura sembra quasi naturale. Raggiosole viene presentato al Salone del Mobile e contemporaneamente nello showroom milanese di Alpi. Info: www.alpi.it

Scenari inaspettati

Ambientha si presenta al Fuorisalone al Decor Lab di Via Tortona con Colpo di scena - Unpredictable Wallpaper Collection 2023. Una collezione di carte da parati importante, sia per numero di grafiche sia per le numerose collaborazioni con artisti e designer, realizzata per celebrare il traguardo dei quattro anni. Ispirazione, libertà, sogno, sono i caratteri distintivi: la creatività abbandona il senso di vuoto, il rigore e l’ordine per arricchire gli spazi con scenari imprevedibili.

Info: www.ambientha.com

Disegno fluido

Al Salone, Besana Carpet Lab svela in anteprima Marwoolus Carpet, disegnato da Marco Guazzini. Come anticipa il nome, l’aspetto unico del Marwoolus, materiale composito brevettato da Guazzini nel 2015, è stato riprodotto sulla moquette Besana. Con il supporto dell’azienda, il designer ha iniziato il proprio processo creativo realizzando fotografie in alta definizione di alcuni dettagli del materiale, composto da polvere di marmo di Carrara e fibre di lana che contribuiscono al suo particolare aspetto contraddistinto da venature filamentose colorate. I dettagli sono stati poi elaborati in digitale, dando origine a un disegno artistico originale, studiato per essere riprodotto all’infinito. Il risultato è un pattern costituito da elementi filamentosi sparsi, caratterizzati da varie tonalità e dimensioni che contribuiscono a dare fluidità e dinamicità al disegno, rendendolo elegante e visivamente armonico. Info: besanamoquette.com

73
ph
Mattia Parodi

Chiaro rimando al pianeta

ColorSystem by David Lopez Quincoces, la palette colori di HDSurface lanciata nel 2022, si arricchisce di nuovi colori, presentati al Fuorisalone nello showroom milanese dell’azienda. Quattro nuove cromie pensate per ampliare le già elevate possibilità di personalizzazione delle quattro collezioni HDSurface di maggiore successo: PerfectCombination, CoverHD, GeoTexture e GeoOutdoor. Si aggiungono così due sfumature di beige e due di nero, apparentemente agli antipodi ma complementari. Info: www.hdsurface.it

DALL’ITALIA ALLA SVEZIA, PASSANDO PER L’ARTE AUSTRIACA

Jannelli&Volpi lancia al Salone e al Fuorisalone nuove collezioni di wallcovering. Presenta diverse novità: in fiera, Altagamma Tissé e Academy - a tribute to Gustav Klimt, mentre in città, al JVstore, nel cuore di Brera, la collezione EnriquezLand, nata dalla rinnovata collaborazione dell’azienda con il celebre e italianissimo designer Alessandro Enriquez, e la collezione Sandberg Wallpaper, marchio svedese di carte da parati sostenibili e di alta qualità, di cui Jannelli&Volpi diventa distributore esclusivo in Italia. Info: www.jannellievolpi.it

74
Cantiere / Preview Milano Design Week 2023

La moda fonte di ispirazione

Tweed e Stripes sono le due nuove pareti retroilluminate della collezione Pietre Chiaroscure che Lithos Design presenta al Fuorisalone nel nuovo spazio aziendale, a Brera, presso MetroQuality. Rivestimenti modulari ispirati al mondo della moda che portano la firma di Raffaello Galiotto. Grazie ad approfonditi studi illuminotecnici e a sofisticate lavorazioni della pietra, Tweet e Stripes ridefiniscono le pareti con scenografici effetti decorativi e di luce. Richiamando la tecnica del graffito impiegata in architettura, i moduli sono composti da due strati di marmo sovrapposti. Lo strato superiore, opaco, viene rimosso per disegnare il decoro e far filtrare la luce attraverso la superficie traslucente dello strato sottostante. Il risultato: superfici dall’eleganza senza tempo come i tessuti da cui prendono il nome. Info: www.lithosdesign.com

OMAGGIO A POMPEI

Pompei torna a vivere nella nuova collezione di carte da parati firmata da Vito Nesta per Misha, protagonista di un allestimento dedicato, curato dallo stesso Vito Nesta, al Fuorisalone in una residenza privata in via Canova 7, a pochi passi dalla Triennale di Milano e dall’Arco della Pace. La scenografia immergerà i visitatori in un viaggio alla scoperta dell’idea alla base della nuova collezione e dell’esperienza artigianale della sua produzione. Nuova Pompei si compone di quattro carte da parati – con decori ispirati a ghirlande, piante da frutto in fiore, mosaici e marmi – che ricreano la magia di un luogo sospeso nel tempo. Mentre i dettagli dipinti a mano impreziosiscono il decoro, confermando l’alta qualità artigianale della produzione di Misha. Info: www.mishawallcoverings.com

Fantasia scozzese contemporanea

Tra i nuovi design per pavimentazioni tessili che Radici presenta al Salone, Tartan Doodles del fashion designer Arthur Arbesser. Una reinterpretazione in chiave contemporanea del classico motivo a quadri scozzese, concepito come un sovrapporsi dinamico di diversi layer. Una stratificazione di mondi e visioni che invitano a perdersi in una dimensione spazio-temporale parallela, nella quale trovare a ogni sguardo nuovi dettagli e forme.

A comporre Tartan Doodles è la celebre fantasia scozzese: un incrocio di righe verticali e orizzontali con sotto un pattern irregolare che ricorda gli scarabocchi (doodles in inglese). Info: www.radici.it

75
ph Francesca Ferrari

PROFONDITÀ ALL’IMMAGINE

Geometria, personalizzazione, sostenibilità. Questi i tratti distintivi di Passepartout, la nuova collezione di rivestimenti in marmo che Salvatori presenta nel suo storico showroom di Brera. Nata per recuperare i resti della produzione in un’ottica di riciclo e zero scarti, la collezione Passpartout offre soluzioni inedite e altamente personalizzabili. Il nome rimanda al riquadro usato nelle fotografie e nelle opere d’arte per proteggere e dare profondità all’immagine. Il rivestimento si compone infatti di una superficie di fondo in pietra naturale, con moduli di 293x230 mm, su cui è possibile applicare forme geometriche a rilievo in pietra (in futuro saranno disponibili anche in legno o metallo). La superficie acquista così tridimensionalità e lo sfondo mette in evidenza la forma applicata proprio come un passepartout. Info: www.salvatoriofficial.com

Impronta sognante

Segni dinamici, vellutati, leggeri e femminili, per rivestire le pareti con un’impronta sognante. Ecco Motus, la nuova collezione di carte da parati disegnata da Ludovica Misciattelli per SpaghettiWall in mostra al Fuorisalone nello showroom aziendale. I soggetti rendono omaggio alle linee mai rigorose lasciate dai pennelli, con un effetto pastoso di colore che si posa sulla tela per delineare contrasti e tratti liquidi. Prendono vita così una serie di disegni inediti che attraverso le loro nuance e i pattern riprodotti a mano, rievocano il mondo della moda e i suoi tessuti preziosi. Il gioco di forme e cromie, disponibile in più varianti, è declinato quindi in un’originale dimensione pittorica e produce un cambiamento di prospettiva, con cui la designer e artista milanese esprime la propria cifra stilistica. Motus Collection è proposta su cinque differenti supporti e può essere utilizzata anche in bagno, grazie al materiale in fibra di vetro con Waterproof Finish. Info: www.spaghettiwall.it

76 Cantiere / Preview Milano Design Week 2023
BEYOND THE KNOWN OLTRE IL CONOSCIUTO TROVARE SEMPRE CIÒ CHE CERCHI PERSONALE EFFICIENTE E QUALIFICATO, UNA PROFICUA SINERGIA TRA I VARI REPARTI E LA DISPONIBILITÀ A MAGAZZINO DEGLI ARTICOLI, CI CONSENTONO DI SUPPORTARTI IN TUTTE LE FASI, DALLA RICERCA DEL PRODOTTO ALLA POSA. 03523 Visualcom –VE S CAN & GO IMPERTEK.COM MINI S IZE, P RO P E RFORMANC E. R A NG E D I A LT E Z Z E D A 25 A 50 M M C ON U N U N I C O P R O D OT TO G R A Z I E A L L A P R O L U NG A I N T E G R ATA . T E S TA V E R S AT I L E , A DAT TA P E R T IL E, DEC K ING E R A IL. M EET U S A T B A U (17-22/04) M ÜNCHEN- H ALL A 4 S TA ND 525

Cantiere / anteprima Bau

URGE COSTRUIRE IN MODO CIRCOLARE

QUESTO

IL MESSAGGIO DOMINANTE DI BAU 2023, L’EVENTO BIENNALE PIÙ

GRANDE AL MONDO PER ARCHITETTI E INGEGNERI, IN SCENA DAL 17 AL 22 APRILE A MONACO DI BAVIERA. TEMA PRESENTE SIA NELL’OFFERTA ESPOSITIVA

CHE NEL RICCO PROGRAMMA DI EVENTI COLLATERALI

Aprile, per chi si occupa di architettura, è il “mese” dell’anno. Mentre in Italia i riflettori sono puntati sulla Milano Design Week, nella stessa settimana, dal 17 al 22 aprile, nel quartiere fieristico di Monaco di Baviera va in scena Bau, la fiera mondiale per l’architettura, i materiali e i sistemi, che, con la presenza di oltre 60.000 progettisti, si conferma l’evento biennale più grande al mondo per architetti e ingegneri. Si rivolge infatti a coloro che sono coinvolti nella progettazione, nella costruzione

e nella gestione di tutte le tipologie di edifici e, oltre all’offerta espositiva, propone un programma di incontri e approfondimenti con esperti di calibro internazionale. Tra i temi chiave di Bau 2023: risorse e riciclo, ossia l’urgenza di attuare l’economia circolare per conservare le risorse ed evitare gli sprechi.

Le aziende espositrici presentano prodotti e soluzioni in grado di veicolare questo messaggio, mentre gli studi di architettura coinvolti nella manifestazione mostrano esempi di progetti in

78
2023
Più info su Bau 2023 su bau-muenchen.com

OLTRE I GIORNI DI FIERA

Al di là della manifestazione fisica ad aprile, Bau propone un nuovo strumento di comunicazione per espositori e visitatori: si chiama Bau Insights ed è la prima piattaforma online personalizzata e interattiva per l’industria delle costruzioni, in grado di creare un dialogo continuo tra aziende e progettisti. Sviluppata da Messe München con il supporto tecnico di Plan.One, offre agli espositori l’opportunità di fornire informazioni sui propri prodotti in forma digitale; allo stesso tempo, gli utenti hanno accesso diretto alle notizie di settore personalizzate 365 giorni all’anno. www.bau-insights.de

linea con questo principio. Grande attenzione, inoltre, anche per altre tematiche, quali le sfide del cambiamento climatico, la trasformazione digitale, le case del futuro, costruzioni prefabbricate modulari e seriali.

OBIETTIVO ZERO SCARTO

L’industria delle costruzioni consuma più risorse e produce più rifiuti rispetto a qualsiasi altro settore, basti dire che è responsabile del 40% di emissioni di CO2 e produce più di un terzo dei rifiuti in Europa. Ad aumentare la pressione per un urgente cambio di paradigma, da economia lineare a economia circolare, aspetti come il cambiamento climatico – mentre scriviamo

questo articolo la preoccupazione per la siccità è all’ordine del giorno – e la scarsità delle risorse. L’obiettivo è costruire con il minor spreco possibile, per cui i materiali devono essere riutilizzati e non semplicemente smaltiti. Ecco, quindi, che si parla di costruzione circolare, basata sul riuso di prodotti e materie prime in cicli teoricamente infiniti.

Cosa si può vedere a Bau 2023 in tal senso? Alcuni espositori offrono prodotti riutilizzabili con l’etichetta “ReUsed”, mentre organizzazioni commerciali propongono soluzioni per procurarsi prodotti in grandi quantità e a condizioni vantaggiose da produttori locali con lo scopo di acquistare solo ciò che si ha effettivamente bisogno e possibilmente a distanza ravvicinata.

79
Nelle foto di queste pagine alcuni scorci di Bau 2019.
MAGAZINE SITO WEB www.fl oorewall.com INSTAGRAM redazione_fw FACEBOOK Floor&Wall NEWSLETTER Il network tecnico-professionale e progettuale del sistema superficie e rivestimento & Floor Wall

NIENT’ALTRO CHE LE SUPERFICI

RACCONTIAMO LUOGHI GUARDANDO IN SU E IN GIÙ. QUI I BELLISSIMI PAVIMENTI A MOSAICO

E LE PARETI DELLE DOMUS DELL’ORTAGLIA

A BRESCIA, VISIBILI NEL MUSEO DI SANTA GIULIA

Per chi è appassionato di superfici, i pavimenti e i rivestimenti delle domus romane sono il non plus ultra dell’espressione. A quei tempi, infatti, si dava la massima importanza ai pavimenti e alle pareti, impreziosite da dipinti murali in cui spiccavano di frequente -

no ripiegabili (pensate un po’!) e quando non servivano venivano riposti negli armadi a muro. Tramite la bellezza delle superfici, la casa metteva in mostra sé stessa, senza bisogno di aggiungere altro. A primeggiare sui pavimenti, i mosaici, nella prima età imperiale

lorati e decorativi. Per le stanze di servizio e gli ambienti esterni, i pavimenti erano di cocciopesto, malta mescolata ai resti di vasi in terracotta, e in battuto, malta mescolata a scarti di lavorazione dei marmi. Le foto di questa pagina sono state scattate nel complesso delle Domus dell’Ortaglia, costituito da un gruppo di antiche domus romane rinvenute negli orti del monastero di Santa Giulia a Brescia, tra i complessi residenziali romani meglio conservati del Nord Italia. I mosaici pavimentali e gli affreschi parietali fanno ipotizzare che le abitazioni appartenessero a cittadini influenti.

81 Lo sguardo di Floor&Wall
Mosaici pavimentali e affreschi parietali delle Domus delle fontane e Domus di Dioniso nel Museo di Santa Giulia.

N° 17 marzo 2023 / Trimestrale tecnico-professionale del sistema pavimenti e rivestimenti

DIRETTORE RESPONSABILE

Francesco Tozzi francesco@floorewall.com

VICEDIRETTORE

Daniela Stasi daniela@floorewall.com

IN REDAZIONE

Alessia Forte - Isacco Consoli - Jacopo Fromelli redazione@floorewall.com

PROGETTO E GRAFICA

Daniela Francescon

daniela.francescon@gmail.com

HANNO COLLABORATO A QUESTO NUMERO

Nora Adamsberg, Anita Cavalli, Viola Delfino, Irene Nuvola, Clara Peretti

PATROCINI TECNICI IN COLLABORAZIONE CON

PROMOZIONE E SVILUPPO

Stefano Carlin / stefano@floorewall.com

SEGRETERIA

Dorella Maiocchi / dorella@floorewall.com

STAMPA

Villa Italo Tipolitografia srl, Via Puecher, snc 23844 Sirone (LC)

DIREZIONE, REDAZIONE E AMMINISTRAZIONE

DSKronos srl, via F.lli Bronzetti 20, 20129 Milano Tel. 02 82878399

www.floorewall.com

SERVICE EDITORIALE

Edizioni Laboratorio Verde srls, via E. Cosenz 35, 20158 Milano

ABBONAMENTO 5 NUMERI: 25 euro

COSTO ARRETRATI: 7 euro

Floor&Wall periodico trimestrale registrato presso il Tribunale di Milano n. 90 del 10-04-2019

La pubblicazione o la stampa di articoli e immagini della rivista deve essere autorizzata per iscritto dall’Editore. Gli articoli pubblicati su Floor&Wall sono sotto la responsabilità degli autori.

We look forward to seeing you at the: HALL B6

537
STAND

Mapecontact

Turn static files into dynamic content formats.

Create a flipbook
Issuu converts static files into: digital portfolios, online yearbooks, online catalogs, digital photo albums and more. Sign up and create your flipbook.