MAURÍCIO DE OLIVEIRA GUSTAVO HEINRICH LANG CRISTIANO DIETRICH FERREIRA MILHO

Química, tecnologia e usos

Milho: química, tecnologia e usos © 2022 Maurício de Oliveira, Gustavo Heinrich Lang e Cristiano Dietrich Ferreira (organizadores)
Editora Edgard Blücher Ltda.
Publisher Edgard Blücher
Editor Eduardo Blücher
Coordenação editorial Jonatas Eliakim
Produção editorial Thaís Costa
Preparação de texto Évia Yasumaru Diagramação Felipe Gigek Revisão de texto MPMB
Capa Leandro Cunha Imagem da capa iStockphoto
Rua Pedroso Alvarenga, 1245, 4° andar 04531-934 – São Paulo – SP – Brasil Tel.: 55 11 3078-5366 contato@blucher.com.br www.blucher.com.br
Segundo Novo Acordo Ortográfico, conforme 5. ed. do Vocabulário Ortográfico da Língua Portuguesa, Academia Brasileira de Letras, março de 2009.
É proibida a reprodução total ou parcial por quaisquer meios sem autorização escrita da editora.
Todos os direitos reservados pela Editora Edgard Blücher Ltda.
Dados Internacionais de Catalogação na Publicação (CIP) Angélica Ilacqua CRB-8/7057
Milho: química, tecnologia e usos / organizado por Maurício de Oliveira, Gustavo Heinrich Lang, Cristiano Dietrich Ferreira. – São Paulo : Blucher, 2022. 432 p.
Bibliografia ISBN 978-65-5506-439-1
1. Engenharia de alimentos 2. Milho II. Lang, Gustavo Heinrich III. Ferreira, Cristiano Dietrich 21-5024
Índices para catálogo sistemático: 1. Engenharia de alimentos
Resumo
1.1 Introdução
1.2 Importância do milho
Considerações finais
Referências
Resumo
2.1 Introdução
2.2 Composição dos carboidratos de milho
2.3 Processo de síntese de carboidratos e suas estruturas
2.4 Manejo de lavouras na formação e qualidade dos carboidratos
2.5 Processos de secagem na estrutura de carboidratos
2.6 Processos de armazenamento na estrutura de carboidratos
2.7 Carboidratos não amiláceos
2.8 Tendências de utilização de carboidratos de milho
0
0
Resumo
Secagem
de pré-industrialização
Resumo
Introdução
Moagem por via seca
Moagem por via úmida
Referências
Resumo
Introdução
Farinha de milho integral
Produtos derivados da moagem por via seca
Produtos derivados da moagem via úmida
Considerações finais
química, tecnologia
Resumo
9.1 Introdução
9.2 Amido de milho modificado
9.3 Modificações químicas
9.4 Modificações físicas
Modificações enzimáticas
9.6 Estudos com amido de milho modificado e suas aplicações na nanotecnologia e em embalagens de alimentos
9.7 Considerações finais
Referências
Resumo
Introdução
Fatores que afetam as propriedades dos produtos à base de farinha de milho
Produtos à base de milho
Alternativas para melhorias de produtos à base de farinha de milho
Referências
Resumo
Introdução
Características da matéria-prima
Equipamentos
Condições de processo
Qualidade tecnológica dos extrusados
Qualidade nutricional dos extrusados
Tendências e desafios
11.8 Agradecimentos
Referências
Resumo 213
12.1 Introdução 213
12.2 Características da cultura de milho doce 215
12.3 Maturação e ponto de colheita 216
12.4 Industrialização do milho doce
Armazenamento de milho doce
12.6 Considerações finais
Resumo
13.1 Introdução 227
13.2 Composição do milho pipoca 229
13.3 Processamento e industrialização do milho pipoca 238
13.4 Influência dos métodos de expansão do milho pipoca na sua qualidade e aceitação
13.5 Efeitos benéficos para saúde 242
Considerações finais
Referências
Resumo 251
14.1 Introdução
14.2 Milho como adjunto em bebidas
14.3 Milho como base para bebidas fermentadas
Milho: química, tecnologia e usos
Referências
Resumo
15.1 Introdução
15.2 Processo de germinação e características do milho germinado
15.3 Processamento industrial e aplicações do milho germinado
15.4 Considerações finais
Referências
Resumo
16.1 Introdução
16.2 Pré-tratamento da matéria-prima
16.3 Extração do amido e hidrólise enzimática
16.4 Tecnologias de fermentação para a produção de etanol
16.5 Características do etanol de milho e rendimento energético
16.6 Aspectos ambientais da produção
Referências
Resumo
17.1 Introdução
17.2 Materiais biodegradáveis derivados de milho
17.3 Processos para obtenção de embalagens biodegradáveis
17.4 Tipos de embalagens biodegradáveis à base de milho
17.5 Perspectivas futuras
Referências
Resumo
18.1 Introdução
18.2 Processo convencional de nixtamalização
18.3 Tecnologias alternativas ao processo convencional de nixtamalização
18.4 Fatores que afetam a qualidade do produto nixtamalizado
18.5 Alterações nas propriedades do amido, no valor nutricional e no teor de micotoxinas em milho nixtamalizado
18.6 Produtos elaborados com milho nixtamalizado
18.7 Considerações finais
Referências
Resumo
19.1 Introdução
19.2 Características e interferências na qualidade
19.3 Condições para avaliação sensorial
19.4 Atributos de avaliação
19.5 Métodos sensoriais
19.6 Considerações finais
Referências
Resumo
20.1 Introdução
20.2 História do milho no Peru
20.3 Classificação: raças de milho andino
20.4 Características morfológicas
Milho: química, tecnologia e usos
20.5 Valor nutricional 388
20.6 Compostos bioativos e benefícios a saúde
20.7 Importância do milho andino no Peru 391
20.8 Cadeia produtiva 393
20.9 Aplicações culinárias e produtos industrializados
20.10 Conclusão 399
Agradecimentos 400
Referências 4 00
Resumo 407 21.1 Introdução 4 07
21.2 Valor nutricional 4 09 21.3 Conclusão 425 21.4 Agradecimentos 425 Referências
O milho (Zea mays L.) é uma gramínea da família Poaceae, sendo cultivado e fazen do parte da dieta humana há milhares de anos. A origem é a região do México, sendo uma espécie muito domesticada e altamente produtiva, com adaptações a praticamente todos os continentes e atualmente é o cereal mais produzido no mundo. É importante não somente para a alimentação humana, mas também na indústria e, principalmente, para a alimentação animal. O Brasil é o terceiro maior produtor mundial, precedido da China e dos Estados Unidos. A maior parte do milho consumido no Brasil é destinada para as cadeias de suínos, aves e outros animais; o uso pela indústria e para consumo humano é de aproximadamente 15%. A produção do grão tem relevante importância na agricultura familiar, estando presente em grande parte das propriedades. O país se destaca entre os exportadores, estando em segundo lugar com representação superior a 20% do volume total. O milho tem muitas aplicações na indústria, que vai desde a produção de farinhas e canjicas até aplicações mais aprimoradas, como na indústria química e farmacêutica. O grão de milho é composto por aproximadamente 72% de amido, 10% proteínas e 5% de óleo, além de açúcares, minerais e fibras; e é dividido em quatro principais estruturas físicas: endosperma, gérmen, pericarpo e ponta.
O milho (Zea mays L.) é uma monocotiledônea da família Poaceae, muito domesticada e com ciclo que depende do genótipo e do clima da região, podendo variar de 90 a mais de 180 dias. É uma espécie C4 sendo extremamente eficiente na assimilação de CO2, com alta taxa de atividade fotossintética. As variedades melhoradas estão entre as espécies alimentares mais produtivas mundialmente. A taxa de multiplicação é uma das mais
elevadas da produção vegetal, possibilitando produtividades superiores a 15 toneladas por hectare com menos de 20 kg de sementes.
O milho é uma planta milenar originada da planta teosinto na região do México (PATERNIANI et al., 2000; PARK et al., 2016). Foi base para alimentação das civiliza ções maia, asteca e inca que reverenciavam o cereal na cultura, presente nas manifes tações religiosas e artísticas desses povos. O milho já fazia parte da dieta indígena na época de descoberta do Brasil em 1500 (PATERNIANI et al., 2000).
É uma cultura adaptada ao uso de tecnologias avançadas de cultivo e em sistemas sim ples e manuais o que torna o cereal presente em quase todas as propriedades, principal mente as de base familiar. É cultivado em praticamente todos os continentes em diferentes condições, porém, para cada região, existem milhos distintos com adaptações específicas (PATERNIANI et al., 2000). Assim encontramos variedades adaptadas a condições de al titude, solos de várzea, climas subtropicais e tropicais, resultado de esforços humanos para cultivar milho em condições de solo, climas e configurações topográficas diversas.
O milho possibilita uma infinidade de formas de usos desde a alimentação hu mana e animal (Capítulos 7 a 16), produção de combustíveis (Capítulo 17) até a produção de filmes e embalagens biodegradáveis (Capítulo 18). É um cereal energé tico, nutricionalmente importante, rico em amido, possui proteína, lipídeos, fibras, micronutrientes, vitaminas, ß-caroteno e minerais essenciais, como magnésio, zin co, fósforo e cobre. O milho também contém antioxidantes que protegem de várias doenças degenerativas (AI; JANE, 2016; SHAH et al., 2016).
Este cereal não contém glúten, assim, atende à demanda de pessoas que têm alergia ou intolerância ao glúten (celíacos). O milho pode ser utilizado diretamente na ali mentação humana na forma de pipoca, canjica, cozido ou assado na espiga, ou ainda na forma de farinhas para fazer bolo de milho, pudins, pirão e polenta.
Estas características tornam o milho uma das espécies de grãos mais importantes mundialmente tanto no âmbito social como econômico, pela sua alta disponibilidade e acessibilidade, baixo custo e valor nutricional.
Os cereais mais produzidos no mundo são milho, trigo e arroz e contribuem com 50-60% das necessidades diárias de energia humana (BATHLA et al., 2019).
Segundo dados da Food and Agriculture Organization (FAO, 2020), o trigo possui a maior área cultivada, no entanto o milho possui maior produtividade por hectare,
O Brasil é o terceiro maior produtor mundial de milho, cujos grãos apresentam ele vado valor comercial, seja para alimentação animal, consumo humano ou uso indus trial, com destaque na utilização dos grãos para extração de amido, fonte responsável por 80% do total consumido no mundo. Assim, dentre os constituintes dos grãos de milho, os carboidratos apresentam grande importância para o consumo e utilização nas diferentes esferas da sociedade. No decorrer deste capítulo discutiremos detalhes e etapas dos processos de produção de milho e mais especificamente de carboidratos, abordando assuntos desde o processo de formação, estrutura, propriedades destes, até a produção a campo, colheita, limpeza, secagem, armazenagem e processamento de grãos. Neste capítulo serão discutidos assuntos sobre: composição dos carboidratos de milho (1), amido de milho (2), estrutura do amido (3), processo de formação de carboidratos e suas estruturas (4), manejo de lavouras na formação e qualidade dos carboidratos (5), processos de secagem na estrutura de carboidratos (6), processos de armazenamento na estrutura de carboidratos (7), propriedades do amido (8), processo de obtenção do amido de milho (9) e fibras (10).
Os grãos de milho são valorizados comercialmente e utilizados na alimentação ani mal para fabricação de rações e na alimentação humana, consumidos na forma “in na tura”, ou a partir da industrialização para extração de amido, óleo vegetal, dextroses e produtos extrusados. Dentre os constituintes dos grãos de milho, os carboidratos pos suem elevada importância nos processos produtivos, onde o amido se destaca devido
Milho: química, tecnologia e usos
à grande utilização industrial. Ainda, falaremos sobre os constituintes e as características das fibras presentes nos grãos de milho.
O grão de milho é formado por endosperma, gérmen, pericarpo e ponta (Figura 2.1), entretanto, em função da grande diversidade existente entre as cultivares, pode haver variações nesta estrutura, apresentando diferentes composições de nutrientes e tamanhos estruturais. As principais causas de variação na composição química dos grãos de milho estão relacionadas às características do material genético, solo, adubação, condições climáticas e estádio de maturação da planta. Dentre os carboidratos que compõe o milho, predomina a fração amilácea (64% a 78%, base seca), seguido de polissacarídeos não amiláceos (9,7%), açúcares totais (1%-3%) e lignina (cerca de 1%) (HAMAKER BRUCE et al., 2019).
Figura 2.1 Anatomia da estrutura dos grãos de milho. Fonte: Adaptado de: The structure of corn. Cereal Science and Technology. 23 abr. 2013. Disponível em: h�p://cereal-scientech.blogspot.com.br/2013/04/the-structure-of-corn.html.
No endosperma encontra-se aproximadamente 98% do total de amido de um grão, formado por grânulos com diâmetro médio de 20 μm e forma variando desde poliédrica a esférica. Com base na distribuição dos grânulos de amido e da matriz proteica, oendosperma é classificado em dois tipos: farináceo e vítreo.
No primeiro, os grânulos de amido são arredondados e estão dispersos, não havendo matriz proteica circundando essas estruturas, o que resulta em espaços vagos durante oprocesso de secagem do grão, a partir dos espaços onde antes era ocupado pela água, durante o desenvolvimento do grão. Por sua vez, no endosperma vítreo, a matriz proteica é densa, com corpos proteicos estruturados, que circundam os grânulos de amido de formato poligonal, não permitindo espaços entre essas estruturas (Figura 2.2).
Newiton da Silva Timm
Este capítulo apresenta tópicos referentes às características bioquímicas e tecnoló gicas das proteínas do milho. O teor total de proteína em grãos de milho varia de 6% a 12%, dependendo do genótipo e condições de cultivo. Dentre os vinte aminoácidos formadores de proteínas, os principais para a constituição das proteínas do milho são o glutamato e a leucina. Mesmo que o milho seja constituído predominantemente por amido, a rede proteica tem papel fundamental na classificação dos grãos quanto a con sistência do endosperma, denominado endosperma vítreo e farináceo. A zeína, per tencente à classe de proteínas denominadas como prolaminas, é a principal proteína encontrada em grãos de milho, chegando a 60% do total de proteínas, estando quase em sua totalidade depositada no endosperma.
Proteínas são macromoléculas compostas por uma sequência de aminoácidos, as quais têm por função principal manifestar a expressão gênica do DNA do indivíduo. Presentes em todas as células de um ser vivo, as proteínas possuem inúmeras funções metabólicas, sendo cada proteína particularizada em uma atribuição específica, a qual é delegada pela sequência dos aminoácidos presentes em determinada cadeia proteica.
Em grãos de milho predominam as proteínas de armazenamento, contendo ami noácidos essenciais na germinação e no desenvolvimento inicial de uma nova planta. O teor total de proteína em grãos de milho pode variar de 6% a 12%, dependendo do genótipo e condições de cultivo. A proteína dos grãos de milho está dividida em cerca de 75% no endosperma e os 25% restantes se encontram distribuídos em outras partes do grão, principalmente no gérmen.
As proteínas do milho podem ser agrupadas (Classificação de Osborne) em várias frações de acordo com sua solubilidade em diferentes solventes: as prolaminas, que são referidas como zeínas no milho (solúveis em álcool), as globulinas (solúveis em soluções salinas), as albuminas (solúvel em água) e as glutelinas (solúveis em soluções alcalinas diluídas) (LANDRY; MOUREAUX, 1980).
O milho é amplamente utilizado na alimentação animal, estando presente na dieta de aves, bovinos, equinos, ovinos e caprinos. No entanto, as proteínas do mi lho podem ser consideradas de baixo valor nutricional, mas ainda capazes de suprir com aproximadamente 20% da necessidade de proteína em uma dieta inicial de aves (COWIESON, 2005).
Neste capítulo são apresentadas as principais características das proteínas de grãos de milho, com ênfase na zeína, principal proteína deste cereal.
Compostos por um grupo amino e um grupo carboxila ligados a um carbono central, os aminoácidos são moléculas menores que se ligam em sequência para a formação das proteínas. Existem inúmeros aminoácidos catalogados, porém exclusivamente vinte são os responsáveis pela formação de proteínas. Além da ligação do grupo amino e do grupo carboxila, o carbono central também se liga a um átomo de hidrogênio e a uma cadeia la teral denominada de radical (Figura 3.1). Esse último é o responsável pela diferenciação entre aminoácidos. São inúmeras as combinações possíveis de aminoácidos na sequên cia da cadeia proteica e são essas diferentes disposições, atreladas ao comprimento da se quência, responsáveis pela definição da característica específica da proteína sintetizada.
Figura 3.1 Composição química de um aminoácido: (1) estrutura do grupo amino, (2) radical responsá vel pela diferenciação do aminoácido, (3) estrutura do grupo carboxila.
O óleo de milho destaca-se por sua excelente qualidade nutricional, estabilidade oxidativa e propriedades físicas peculiares, que lhe credencia para o uso em dife rentes indústrias e receitas culinárias. Embora quantitativamente não esteja entre os mais produzidos no mundo, o óleo de milho é um dos produtos que contribui para agregar valor a essa tão importante cadeia produtiva, que é base para toda a cadeia produtiva de alimentos. O processo de extração e de refino do óleo de milho se as semelha ao de outros óleos vegetais, com algumas peculiaridades que são discutidas neste capítulo. O detalhamento do controle de qualidade do óleo de milho é impor tante para entender o seu processo degradativo e os principais mecanismos envolvidos nestas alterações. Este capítulo aborda, de maneira explicativa, uma série de análises rea lizadas para avaliar a qualidade do óleo. Além disso, apresentamos algumas possibilida des de modificações do óleo de milho que possibilitam aumentar a gama de aplicações em produtos alimentícios, farmacêuticos, tintas, dentre outras utilizações industriais.
Mundialmente a produção de óleos vegetais é liderada pela produção do óleo de palma, seguida pelos óleos de soja e canola. A produção de óleo de milho no Brasil está estimada em 100 mil toneladas, sendo destinada praticamente em sua totalidade para o consumo humano, enquanto a produção de óleo de soja atingiu o patamar de 8,5 milhões de toneladas em 2019, sendo destinada para a produção de biodiesel e consumo humano (USDA, 2020).
Esse baixo volume de produção de óleo de milho se explica pela baixa concen tração de óleo no grão (cerca de 4%), que está majoritariamente concentrado no
gérmen (80%). Outro fator que contribui para a baixa produção de óleo de milho é que cerca de 70% dos grãos produzidos no Brasil são destinados, na sua forma integral, para a elaboração de ração animal. Mesmo assim, no contexto mundial, es tima-se que até 2022 o mercado global de óleo de milho atingirá cerca de 7,2 bilhões de dólares (TECHSCI RESEARCH, 2017).
A extração do óleo é realizada no gérmen, após a etapa de degerminação dos grãos, seja ela por via úmida ou seca (Capítulo 7). Assim como na industrialização de outros óleos vegetais, no óleo de milho o processo deve ser realizado de modo a garantir a sua qualidade para atender os parâmetros de comercialização, para isso a industrialização se divide em duas etapas, que compreendem a extração do óleo bruto e o refino.
O consumo de óleo de milho tem ganhado destaque, em virtude de seus poten ciais benefícios à saúde dos consumidores, que permeiam pela possibilidade de pre venção da obesidade, diabetes e doenças cardiovasculares, além de alguns tipos de câncer, principalmente quando comparado ao consumo de gorduras de origem ani mal, pelo fato de estas últimas serem predominantemente saturadas e possuírem baixa concentração de compostos bioativos (SI et al., 2014).
Quanto ao uso de óleos vegetais em preparações culinárias, o óleo de milho apre senta uma estabilidade oxidativa semelhante ao óleo de soja, mesmo possuindo um teor de ácidos graxos insaturados ligeiramente maior que o óleo de soja, que é o óleo mais utilizado em frituras. Provavelmente isso se explica, de modo geral, por que o óleo de milho apresenta uma maior concentração de antioxidantes naturais, como os carotenoides, tocoferóis e tocotrienóis.
As perspectivas para o futuro em relação ao óleo de milho são bastante positivas, principalmente em virtude da sua composição de compostos bioativos que tem cha mado a atenção dos consumidores. Além disso, cresce a expectativa pelo uso do óleo de milho para a produção de biodiesel, assim como outros produtos não-alimentícios como sabonetes, fármacos, tintas etc. (TECHSCI RESEARCH, 2017).
Na linha do melhoramento genético, há alguns anos vem se pesquisando a pos sibilidade de criar cultivares com maior capacidade de produção de óleo, tendo em vista a relevância comercial do óleo de milho (Capítulo 1). No entanto, a principal dificuldade parece estar no desenvolvimento de cultivares com alto teor de óleo e que mantenham o potencial produtivo (PRECIADO-ORTIZ et al., 2013).
Nesse contexto de importância do óleo de milho para o consumo humano, assim como suas outras utilizações industriais e que colaboram para a valorização da ba lança comercial do milho, neste capítulo será abordada a caracterização do óleo de milho, assim como os processos industriais envolvidos das etapas de extração, refino e modificação deste óleo.
Newiton da Silva Timm
Silvia Rivero Meza
Chirle de Oliveira Raphaelli
Os grãos de milho possuem uma ampla gama de compostos bioativos, que apre sentam significativos benefícios à saúde, incluindo a redução dos riscos de doenças crônicas. É um produto amplamente consumido, que possui perfis únicos de nutrien tes e compostos bioativos, em concentração geralmente maior quando comparado a outros grãos integrais. Os bioativos do milho incluem ácidos fenólicos (ácido ferúlico, ácido cumárico e ácido siríngico), vitaminas (A, B, E e K), carotenoides e flavonoi des (antocianinas), além de outros em menor concentração. Cada vez mais evidências científicas têm mostrado que o consumo regular de milho integral reduz o risco de desenvolver doenças crônicas, como doenças cardiovasculares, diabetes tipo 2 e obe sidade, além de melhorar a saúde digestiva. Estas evidências têm mostrado que boa parte dos benefícios à saúde estão associadas aos compostos bioativos presentes que variam com o genótipo, parte do grão, práticas de cultivo, condições do ambiente, processamento, pós-colheita entre outros. Neste capítulo abordaremos os principais compostos bioativos encontrados em milho e seus derivados.
O milho (Zea mays L.), originário da América, foi descoberto em 1492 pelo ex plorador Christopher Columbus e mais tarde introduzido na Europa e China, espa lhoando-se pelo mundo. É hoje o cereal mais produzido e uma das principais fontes alimentícias. Contém quantidades significativas de compostos bioativos, que lhe con ferem capacidade de trazer benefícios desejáveis à saúde, que se somam ao seu papel como uma importante fonte energia (SIYUAN et al., 2018)
Até pouco tempo, os compostos bioativos do milho recebiam menor atenção que os de frutas e vegetais. Porém, à medida que novas descobertas foram obtidas, os es tudos avançaram e evidenciaram que o consumo de milho e outros produtos integrais estão associados à redução dos riscos de doenças crônicas, incluindo doenças cardio vasculares (ANDERSON et al., 2000; LIU et al., 1999; TIGHE et al., 2010), diabetes tipo 2 (XI; LIU, 2016; YE et al., 2012), obesidade (MELANSON et al., 2006), alguns tipos de câncer (LIU, 2007) e com a melhoria da saúde do trato digestivo (HIGGINS et al., 2004), assim o interesse e a atenção pelos compostos deste grão têm aumentado. Evidências atuais sugerem que os compostos bioativos ou antioxidantes são mais bem adquiridos pelo consumo de alimentos integrais que por suplementos alimentares.
Os grãos integrais são compostos de cariopses intactas, moídas, em flocos ou ou tras formas, nos quais os componentes principais como endosperma amiláceo, gérmen e farelo são apresentados nas mesmas proporções relativas que existiam na cariopse intacta. Os benefícios à saúde do milho não se devem apenas a nutrientes básicos, como carboidratos, vitaminas e minerais, mas também a seus compostos bioativos exclusivos, como os ácidos fenólicos. Os principais componentes de um grão de milho incluem endosperma, gérmen e farelo, e cada um deles contém perfis fitoquímicos dis tintos, que compõem uma ampla gama de compostos bioativos, como fenólicos totais e ácidos fenólicos (ácido vanílico, ácido siríngico, ácido cumárico, ácido ferúlico e ácido cafeico) encontrados nas frações de farelo e gérmen de milho em altas concentrações. Adom e Liu (2002) descobriram que a maioria dos compostos bioativos presentes em grãos de milho com efeitos benéficos para a saúde humana é encontrada nas frações de farelo e germe e não no endosperma, e cerca de 87% do conteúdo fenólico total está contido nas frações de farelo e gérmen. Por isso, a farinha de milho integral com gérmen, endosperma e farelo contém níveis de compostos bioativos mais altos que o amido de milho refinado ou que o óleo de milho refinado. Além disso, são verificados teores e composições distintas entre genótipos com pigmentação da cariopse diferente.
Os diferentes genótipos de milho são naturalmente ricos em ácidos fenólicos e flavonoides, esteróis vegetais e outros bioativos (ligninas e fitoquímicos ligados). No entanto, diferentes genótipos de milho contêm perfis de compostos bioativos distintos em termos de flavonoides e carotenoides.
Os grãos de milho azul, vermelho e roxo, por exemplo, são ricos em antocianidi nas (até 325 mg/100 g), incluindo derivados de cianidina (75% a 90%), derivados de peonidina (15% a 20%) e derivados de pelargonidina (5 % a 10%). Enquanto no mi lho amarelo predominam os carotenoides (até 823 µg /100g), incluindo luteína (50%), zeaxantina (40%), β-criptoxantina (3%), β-caroteno (4%) e α-caroteno (2%). Portanto, para uma dieta rica e diversificada em compostos bioativos é recomendado o consumo de milho e derivados de diferentes pigmentações e combinado a outros grãos integrais.
Este capítulo busca revisar e apresentar as pesquisas recentes dos principais com postos bioativos encontrados em grãos de milho e seus derivados, além dos potenciais benefícios à saúde.
Silvia Rivero Meza
Lazaro da Costa Canizares
Betina Bueno Peres
O óleo de milho destaca-se por sua excelente qualidade nutricional, estabilidade oxida tiva e propriedades físicas peculiares, que lhe credencia para o uso em diferentes indústrias e receitas culinárias. Embora quantitativamente não esteja entre os mais produzidos no mundo, o óleo de milho é um dos produtos que contribui para agregar valor a essa tão im portante cadeia produtiva, que é base para toda a cadeia produtiva de alimentos. O proces so de extração e de refino do óleo de milho se assemelha ao de outros óleos vegetais, com algumas peculiaridades que são discutidas neste capítulo. O detalhamento do controle de qualidade do óleo de milho é importante para entender o seu processo degradativo e os principais mecanismos envolvidos nestas alterações. Dessa forma, esse capítulo aborda, de maneira explicativa, uma série de análises realizadas para avaliar a qualida de do óleo. Além disso, apresentamos algumas possibilidades de modificações do óleo de milho que possibilitam aumentar a gama de aplicações em produtos alimentícios, farmacêuticos, tintas, dentre outras utilizações industriais.
A pós-colheita do milho tem início tão logo haja a colheita dos grãos, e é etapa crucial para obtenção e manutenção de grãos de alta qualidade, que depende ainda de fatores como: estádio de maturidade fisiológica, sanidade, grau de umidade, condições climáticas e regulagem de colhedoras e outros equipamentos.
Após colhidos, os grãos são transportados às unidades de armazenamento ou dire tamente à indústria. Quando provenientes da indústria, geralmente os grãos não estão aptos para o beneficiamento ou processamento imediato, pois necessitam de operações
Milho: química, tecnologia e usos
de preparo pré-industrialização, estas operações são adotadas para a uniformização, padronização e manutenção da qualidade dos grãos e seus derivados.
Este capítulo aborda operações denominadas etapas de preparo pré-industrializa ção a que o milho é submetido, como: recepção, pré-limpeza, secagem, limpeza e ar mazenamento, focadas nos grãos de milho secos.
A primeira etapa denominada recepção é necessária, para que os grãos de milho de um lote ou carga sejam caracterizados quantitativamente e qualitativamente, nesta etapa os grãos podem ser reprovados caso haja fatores considerados desclassificantes.
Após recepção, caso necessário, os grãos pertencentes ao lote ou carga são sub metidos à operação de pré-limpeza, com a finalidade de reduir os teores de matérias estranhas e/ou impurezas e aumentar a segurança do processo de secagem.
Quando o grau de umidade não é adequado para o armazenamento seguro (13%) e os grãos estão pré-limpos, estes devem ser submetidos a secagem, e após esta opera ção, caso seja necessário, os grãos são submetidos a uma operação de limpeza para a obtenção de níveis baixos de impurezas (menor que 1%).
Uma vez secos e limpos, os grãos podem ser submetidos ao beneficiamento ou pro cessamento imediato ou serem submetidos ao armazenamento até a industrialização. Por se tratar de uma cultura sazonal, para a garantia do abastecimento da indústria du rante o ano, ao menos parte da safra deve ser armazenada. Para o armazenamento ade quado, devem ser observadas as recomendações de boas práticas de armazenamento, que podem variar com o genótipo, condição climática, sistema de armazenamento ou nível tecnológico empregado.
A colheita dos grãos milho para uso na forma de grãos secos deve ocorrer em umi dade entre 18% e 25%, dependendo do genótipo, não devendo os grãos permanecerem na lavoura por muito tempo após a maturação, embora muitos imaginem que colhendo com grau de umidade menor tenha vantagem por sofrer menores descontos nas cerea listas ou nas indústrias. A prática de atraso ou retardo de colheita é equivocada, uma vez que após a maturação fisiológica começam a ocorrer danos qualitativos e quantitativos que inicialmente pouco perceptíveis. Quando colhidos com umidade muito abaixo da recomendada (< 18%) há uma intensificação dos danos físicos e aumento da contami nação cruzada por insetos e fungos, enquanto a reumidificação devido ao atraso du rante períodos de chuva ou umidade, reduz o peso dos grãos e intensifica os defeitos metabólicos.
Se o grau de umidade for muito alto, muitos dos grãos se romperão antes de se se pararem da espiga e a quebra longitudinal da espiga pode aumentar. Já quando o grau de umidade for muito baixo, as perdas de campo devido ao acamamento e queda de
Os grãos de milho são submetidos a dois processos de moagem conhecidos como moagem por via seca e moagem por via úmida. A moagem por via seca é mais sim ples e consiste basicamente no fracionamento físico dos grãos de milho, objetivando a produção de canjica e de farinhas com diferentes granulometrias. As principais etapas da moagem por via seca são: condicionamento, degerminação, classificação e moa gem. A moagem por via úmida é mais complexa e envolve a combinação de operações químicas e físicas, objetivando prioritariamente a produção de amido. As principais etapas da moagem por via úmida são: maceração, degerminação, moagem, separação de fibras, separação de proteínas, separação do amido e secagem do amido. Em ambos os processos de moagem do milho há a produção de óleo e de farelo, sendo este último altamente proteico e destinado à alimentação animal.
O milho apresenta aplicabilidade em diversas áreas, seja na utilização do grão in teiro, seja de derivados de seus componentes, isolados ou transformados industrial mente. Dentre as matrizes alimentares utilizadas para a extração do amido, o milho é o mais utilizado no mundo. Farinhas de milho apresentam alto valor biológico ao consumidor, pois na camada de aleurona e no endosperma vítreo estão presentes com postos fenólicos e carotenoides. Além disso, produtos alimentares à base de farinha de milho são a principal alternativa para consumidores celíacos, pois o milho não apre senta em sua constituição as proteínas formadoras do glúten.
O amido e as proteínas de reserva do milho concentram-se principalmente no endosperma. Conforme a classificação de Osborne, as proteínas de reserva são
Milho: química, tecnologia e usos
classificadas como proteínas do tipo prolaminas, que em grãos de milho são denomi nadas de zeínas, conforme abordado com maiores detalhes no Capítulo 3. Além disso, ogérmen do milho armazena a maior quantidade de lipídeos do grão, apresentando entre 25% e 35% de óleo no gérmen isolado (MOREAU et al., 2007). Em razão do en dosperma e o gérmen serem as maiores frações dos grãos de milho, a extração do amido, do óleo e a utilização do farelo altamente proteico são de grande interesse para as indústrias de alimentos.
Para manter as características nutricionais e o melhor rendimento durante o pro cessamento é necessário realizar uma série de procedimentos durante a pós-colheita dos grãos. Na maioria dos casos, o cultivo de grãos de milho é realizado em grande escala, tornando-se necessário a utilização da colheita mecanizada.
Os grãos são colhidos com grau de umidade de aproximadamente 25% (BERN et al., 2019). Devido a esse elevado percentual de umidade, torna-se necessária a secagem artificial até aproximadamente 12% a 13% de umidade, com objetivo de auxiliar na conservação dos grãos durante o armazenamento.
Nas indústrias de alimentos, o processamento do milho ocorre pelas chamadas moagens via seca ou úmida. Na via seca ocorre a separação do endosperma, do pe ricarpo e do gérmen. Assim, o endosperma é destinado para a produção de canjicas e farinhas de diferentes granulometrias, o pericarpo é destinado para a produção de farinha com elevado teor de fibras e o gérmen é destinado para a extração do óleo, que resulta no farelo desengordurado. Além disso, os grãos de milho podem ser moídos sem esta separação, originando farinhas integrais.
Já a via úmida é destinada prioritariamente para a extração do amido de milho, ha vendo também a possibilidade de extração do óleo do gérmen e utilização do restante do material como farelo, destinado principalmente à ração animal.
A moagem úmida de milho teve início nos Estados Unidos, no século XIX, por Thomas Kinsford, que utilizou um novo processo alcalino para extrair amido de mi lho. Trabalhador da fábrica de amido de trigo Wm Colgate & Company, em Jersey City, Nova York, Kingsford resolveu procurar um método melhor para produção de amido, pois o que utilizavam até então cheirava mal e produzia um amido de baixa qualidade. Foi então que em 1844, Kingsford convenceu seu empregador a tentar um novo processo de extração de milho utilizando soluções alcalinas. A fábrica de Jersey City tornou-se a primeira fábrica dedicada a amido de milho no mundo (CRA, 2013).
Até 1880 as refinarias de milho utilizavam apenas o amido como produto e descar tavam as fibras, gérmens e proteínas. No entanto, a partir dessa década, os refinadores começaram a perceber o valor destes componentes não amiláceos, os quais poderiam ser transformados em ingredientes valiosos para ração animal (CRA, 2013). Logo, começaram a produzir ração animal e óleo, além de outros produtos em diferentes indústrias. Isso gerou diminuição das perdas, aumento de qualidade e diminuição do preço de produção do amido, além de mudanças na tecnologia de moagem a úmido (RAMIREZ et al., 2008; WRONKOWSKA, 2016).
Grãos de milho necessitam passar por processos de pós-colheita, como as etapas de moagem por via úmida e seca para obtenção de seus produtos. A moagem via seca constitui o principal processo na industrialização de milho no Brasil, devido ao bai xo investimento em infraestrutura. Esses processos são a etapa inicial de obtenção de produtos como farinha de milho ou fubá (ou sêmola), quirera, farelos, óleo e fa rinha integral desengordurada, envolvendo escalas menores de produção e menores investimentos. A moagem via úmida também gera coprodutos de grande importância econômica, como amido e xaropes. Devido à complexidade de seu processamento e à necessidade de capital envolvido, esses produtos são oriundos de empresas de grande porte. Este capítulo aborda os principais produtos e aplicações de farinhas e produtos processados a partir de grãos degerminados.
Os grãos de milho (Zea mays L.) passam por processos de industrialização para obtenção de diversos produtos, dentre eles, as farinhas integrais de milho, que já foram de grande importância no mercado consumidor brasileiro. Para obtenção deste pro duto dois processos distintos são utilizados para o processamento: a moagem via seca e a moagem via úmida. Na moagem via seca, após a degerminação do grão, o gérmen separado pode ser destinado para extração de óleo e posterior obtenção do farelo, embora o processo mais usado para extração de óleo de milho seja a partir do gérmen oriundo da moagem úmida. Já o grão degerminado pode ser pré-cozido e flocado, ou passar por processos de moagem e classificação, seja para extrusão (farinhas pré-co zidas) ou para produtos de diferentes granulometrias, como farinhas, gritz e creme.
No Brasil, o produto principal da moagem via úmida é o amido de milho, comer cializado na forma in natura em embalagens para o consumo doméstico ou destinado para indústria alimentícia, onde é utilizado para a elaboração de diversos produtos como doces, embutidos, bebidas fermentadas, panificação, achocolatados, condimen tos, entre outros. Nos Estados Unidos, por exemplo, os grãos de milho são ampla mente destinados à conversão em sacarose, xarope de frutose e glicose, e etanol. Os requisitos de qualidade e a utilização de farinhas e produtos degerminados obtidos a partir da moagem via seca e via úmida serão discutidos neste capítulo.
Farinha de milho é o pó ou granulado que se obtém moendo o milho mediante di ferentes métodos. No Brasil, de acordo com a Agência Nacional de Vigilância Sanitária (Anvisa), farinha ou fubá são sinônimos, que identificam o produto obtido pela moa gem do grão de milho, degerminado ou não (BRASIL, 2017). Entretanto, em lingua gem informal, geralmente se reserva a designação “fubá” para a farinha moída mais fina, usada no preparo de bolos e polentas, enquanto é denominada “farinha de milho” oproduto com granulometria maior, em flocos, usado no preparo de farofas e cuscu zes. Esta reunião de diretoria colegiada (RDC) da Anvisa, de acordo com o artigo 4º, determina que farinhas de trigo e de milho devem ser obrigatoriamente enriquecidas com ferro e ácido fólico. Os produtos alimentícios à base de farinha de milho e trigo devem conter entre 4 e 9 mg.100 g-1 e entre 140 e 220 µg. g-1 de ferro e ácido fólico, res pectivamente. De acordo com o órgão, o enriquecimento de farinhas com ferro e ácido fólico é uma estratégia para combater a má formação do tubo neural de bebês durante a gestação e da anemia, conforme o artigo 11 desta resolução.
O processo de fabricação de fubá é feito pela moagem de grãos de milho por via seca, enquanto a farinha de milho é feita a partir de uma massa de grãos macerados (hidratados), esmagados, peneirados e por fim floculados (Figura 8.1). Entretanto, al gumas famílias de pequenos agricultores produzem fubá a partir de grãos íntegros, com o gérmen. Fubá ou farinhas integrais de milho normalmente devem ser consu midas rapidamente, devido à acelerada degradação lipídica, em razão do considerável conteúdo de óleo presente no gérmen. As farinhas integrais normalmente são produzi das em moinhos, que transformam a energia física da água em movimento mecânico, a fim de movimentar pedras (também chamados de pilão), promovendo a moagem destes grãos, por meio de uma moega controladora de fluxo. Atualmente, estes moi nhos encontram-se em pequenas propriedades, museus e pontos turísticas, e podem estar adaptados para funcionamento com energia elétrica. Apesar de ter constituído uma importante fonte de renda no passado para essas famílias, atualmente outros pro dutos processados a partir de milho possuem predominância na indústria, em peque na, média e grande escala.
A farinha de milho flocada é obtida pelo processo de torração do grão de milho, previamente macerado, socado e peneirado, e se apresenta sob a forma de flocos. A farinha de milho biju é um produto regional, obtido do milho pré-fermentado, seco e moído, podendo ou não ser despeliculado e degerminado.
Laura Martins Fonseca Alvaro Renato Guerra Dias Elessandra da Rosa Zavareze
O amido de milho é utilizado em diversos ramos da indústria alimentícia por pos suir propriedades que atendem a variadas demandas como sua versatilidade, biodis ponibilidade, biodegradabilidade e baixo custo. Entretanto, o amido de milho nativo apresenta algumas desvantagens em propriedades de pasta e gel, cristalinidade, textura, entre outras. Assim, sua modificação propicia benefícios aprimorando as propriedades supracitadas ampliando assim suas aplicações. As modificações do amido se dividem em químicas, físicas e enzimáticas, e a escolha do processo de modificação e parâmetros, como temperatura e tempo de exposição, é determinada de acordo com as propriedades que se deseja obter ou aprimorar no amido, bem como a aplicação a que se deseja desti nar. Assim, como os amidos de milho podem vir a ser aplicados em diversos alimentos, como alimentos instantâneos, panificação, entre outros, a escolha da modificação deve ser de acordo com o seu destino. Nesse contexto, esse capítulo aborda algumas das inú meras modificações do amido de milho, as alterações que essas acarretam aos grânulos e as possíveis aplicações para os amidos de milho modificados.
Amidos são amplamente utilizados na indústria de alimentos, têxtil e de papel, pois apresentam ótimas características por serem biocompatíveis e de baixo custo, bem como por sua biodisponibilidade, versatilidade e biodegradabilidade (BERTOLINI, 2010).
O amido de milho é utilizado na indústria alimentícia como modificador de textura, adesão, viscosidade, retenção de umidade e na formação de géis e filmes (ALCÁZARALAY; MEIRELES, 2015). Essas características o tornam promissor para diversas apli cações como emulsificantes, agentes de moldagem e filtração, para encapsulamento de
Milho: química, tecnologia e usos
compostos e como estabilizador em alimentos pré-prontos como enlatados, por exem plo, e ainda cozidos como molhos, pudins e tortas, que apresentem vida útil de horas ou poucos dias (BEMILLER; WHISTLER, 2009; OSTRANDER, 2015).
O amido de milho é encontrado em sua forma nativa e modificada. O amido na tivo apresenta algumas limitações, assim sua modificação química, física ou enzimá tica pode aprimorar características e ampliar sua aplicação industrial (BEMILLER; WHISTLER, 2009; OSTRANDER, 2015). Algumas propriedades como recristaliza ção, temperatura de fusão, poder de inchamento e solubilidade definem a aplicação para qual o amido se destina. Na qualidade de alimentos, propriedades como as sensoriais são de extrema importância e podem ser alteradas adicionando-se amido na sua composição. Para isso o amido deve apresentar características desejadas que podem ser obtidas de acordo com a modificação que se realiza. As modificações aprimoram as propriedades funcionais visando à obtenção de características únicas e especificas de acordo com o uso final para qual o amido é destinado e que não são encontradas em amidos nativos (ELIASSON, 2004). Neste capítulo iremos abordar algumas das diversas modificações que são utilizadas em amido de milho e suas aplicações em produtos alimentícios.
Amidos nativos e modificados são utilizados na indústria de alimentos principal mente por sua capacidade de espessamento e geleificação. No geral, o amido nativo apresenta propriedades limitadas, como alta viscosidade, retrogradação e sinerese, o que impossibilita seu uso para algumas aplicações específicas, fazendo assim importante o uso de sua modificação para aprimorar essas propriedades (BERTOLINI, 2010).
As modificações do amido se dividem em química, física, enzimática e ainda uma combinação entre elas. Esses amidos modificados são produzidos visando a aplicações em diversos ramos da indústria como a de alimentos, farmacêutica, têxtil, entre outras.
O amido de milho pode ser encontrado com uma ampla faixa de teores de amilose e pode ser classificado em alto teor de amilose, normal e ceroso. Os amidos de alta amilose (50% a 80% (p/p)) são determinados como variedades mutantes que sofrem uma modificação biotecnológica direto nas plantações, acarretando propriedades es pecíficas sem precisar realizar modificações químicas ou físicas no amido após a co lheita do milho e extração do amido. O amido de milho de alta amilose apresenta rápida geleificação e gel mais forte quando comparado com o amido de amilose nor mal (ELIASSON, 2004; XIE et al., 2005). Amidos com alto teor de amilose apresen tam maior capacidade de geleificação e retrogradação, o que os torna propícios como substituto de gelatina em produtos alimentícios. Esses também são ideias para serem utilizados na produção de alimentos fritos, como chips de batatas, gerando uma super fície crocante (ELIASSON, 2004).
Comparando os amidos com teores de amilose alto e normal, para aplicação na produção de balas de goma de gelatina, os amidos com alto teor de amilose propiciam uma diminuição no tempo de molde, pois a formação dos géis é mais rápida e estes
O milho é uma cultura mundialmente conhecida e representa uma valiosa alterna tiva para elaboração de produtos em países onde o trigo não está disponível a preços acessíveis. Além disso, o milho apresenta potencial como substituto da farinha de trigo em produtos destinados a portadores da doença celíaca, uma vez que não apresenta em sua composição o glúten, uma mistura de proteínas de armazenamento que confe re aos produtos de panificação a formação de uma rede viscoelástica responsável por reter o gás produzido durante o processo de fermentação. Contudo, dada a ausência de glúten e ao teor reduzido de proteínas (cerca de 2% p/p) das farinhas de milho, o seu desempenho em produtos de panificação, em especial o pão, é confrontado por alguns desafios tecnológicos. Assim como em qualquer outro produto de panificação, diver sas variáveis podem influenciar na qualidade do produto à base de farinha de milho, como a composição química da farinha, a formulação do produto, a granulometria da farinha, o genótipo, dentre outros. Desta forma, uma melhor compreensão destas variáveis é um fator imprescindível para o desenvolvimento de produtos de qualidade. Neste sentido, este capítulo resume os principais fatores que interferem nas proprieda des dos produtos elaborados com farinha de milho, destacando seu potencial uso em produtos como broas, biscoitos, tortilhas, macarrão, entre outros, além de alternativas que visam à melhoria da qualidade destes produtos.
O Brasil se caracteriza como o terceiro maior produtor de milho, ficando atrás apenas de Estados Unidos e China (USDA, 2019). Além disso, a Associação Brasileira de Produtores de Milho (Abramilho) afirma que esta cultura está
Milho: química, tecnologia e usos
presente em praticamente todos os países, em diferentes condições, apresentando assim uma vasta variedade.
O milho (Zea mays) é um cereal que, além de apresentar propriedades funcionais interessantes, é possível de ser inserido como ingrediente em dietas sem glúten, por não apresentar em sua composição as proteínas formadoras de glúten. Dependendo do país de origem, o milho se destina a produtos específicos, como por exemplo: no México, o milho está presente em formulações de produtos como “tortilhas”; por sua vez, em Portugal, o milho é utilizado principalmente na produção de “broas”. A broa é um tipo de pão feito com mais de 50% de farinha de milho misturada com outras farinhas, como farinha de trigo ou centeio. O processo de panificação utilizado na produção das broas é muito empírico e vários tipos de broa podem ser produzidas dependendo da cultivar do milho utilizado na formulação. De forma geral, o processo tradicional envolve a adição de farinha de milho (farinha integral peneirada), água quente, farinha de trigo e fermento. Após o processo de mistura, descanso e fermen tação, a massa é tradicionalmente assada em forno a lenha. Esse processo empírico resulta em um produto com características sensoriais marcantes e distintas.
A Celiac Sprue Association, o maior grupo sem fins lucrativos de apoio à doença celíaca nos Estados Unidos, relatou que a proteína do milho não causa nenhuma rea ção alérgica nos portadores da doença celíaca e, portanto, a farinha de milho pode ser considerada segura como ingrediente na formulação de produtos sem glúten, como pães, bolos, tortilhas, salgadinhos e biscoitos (RAI et al., 2018).
Contudo, apesar da alta disponibilidade, as proteínas do milho não desenvolvem uma rede contínua após hidratação, resultando em massas sem propriedades de ex tensibilidade e retenção de gás, com isso, a farinha de milho não é capaz de formar massas coesas e elásticas capazes de reter o gás carbônico (CO2) produzido na etapa de fermentação, sendo este o seu principal problema do ponto de vista tecnológico.
Diversos são os fatores que exercem influência nas propriedades dos produtos pro duzidos com farinha de milho. No decorrer deste capítulo, será abordado cada um destes fatores individualmente, além de alternativas que vêm sendo sugeridas para a melhoria da qualidade destes produtos.
A farinha de milho é considerada uma das principais substitutas da farinha de trigo para a formulação de alimentos sem glúten. No entanto, ela apresenta caracte rísticas discrepantes em relação às demais farinhas sem glúten comumente utiliza das nos produtos de panificação. O milho contém uma proteína de armazenamento chamada zeína, que não tem relação com o glúten em sua estrutura primária e é
Silvia Letícia Rivero Meza
Mariana Pereira Silveira
Thais de Souza Rocha
A extrusão termoplástica é uma operação unitária extremamente versátil utilizada na indústria de alimentos e aplicada para a produção de extrusados expandidos, co nhecidos como salgadinhos ou snacks. As principais matérias-primas utilizadas para a obtenção de snacks são o grits e a farinha de milho, pelas características de composição em amilose e amilopectina e pela fração de endosperma vítreo (dureza). A matéria -prima é submetida ao processo de condicionamento e, em seguida, à extrusão, se cagem, aromatização e acondicionamento. As principais propriedades tecnológicas avaliadas nos snacks são a textura, a viscosidade de pasta, os índices de absorção e solubilidade em água e de absorção de leite e as características estruturais das células de ar. Como resultado nutricional, temos o aumento da digestibilidade do amido e de proteínas, diminuição do teor de alguns aminoácidos essenciais, aumento da bio disponibilidade de minerais e perda de algumas vitaminas termolábeis e de alguns fitoquímicos com propriedades bioativas.
O milho é o cereal de maior produção mundial, sendo que os derivados são am plamente aplicados na indústria de alimento e não alimentícia (biocombustível, far macêutica, cosmética, têxtil, de papel, química e petroquímica). O milho em estágio maduro passa por processos tecnológicos adequados para uso na indústria de alimen tos. Basicamente dois processos de moagem são utilizados para este fim: as moagens via seca e via úmida. Quando se objetiva a obtenção de frações com diferentes granu lometrias é utilizada a moagem via seca, obtendo-se o canjicão, a canjica, o grits, a fari nha, o fubá e o creme de milho. A moagem via úmida é aplicada para a separação dos
Arroz: tecnologia, processos e usos
componentes do grão, visando a obtenção do amido, da proteína e das fibras alimen tares, como demonstrado no Capítulo 7. O óleo de milho pode ser obtido de ambas as moagens, uma vez que os grãos sofrem o processo de degerminação antes de serem submetidos ao processo de redução de granulometria ou separação dos componentes.
Para a produção de extrusados expandidos são utilizadas as frações do grits ou da farinha de milho. Ambas possuem diferentes granulometrias, sendo denominadas de grits (grosso, médio e fino) e de farinha (grossa, média e fina). O uso da fração e da granulometria adequada é dado pelo tipo de equipamento a ser utilizado e pelas pro priedades finais desejadas no produto extrusado.
A fração do endosperma do milho é dividida em endosperma vítreo (hard endos perm) e endosperma farináceo (floury endosperm). O que diferencia estas frações é a compactação da rede proteica sobre os grânulos de amido durante a fase de maturação do grão no campo como resultado das ligações dissulfeto das diferentes frações da zeína, sendo que quanto maior a compressão, maior é a expulsão de ar na matriz do endosper ma e maior é a transmitância da luz, e por isso denominado de endosperma vítreo, con forme abordado no Capítulo 1. Esta fração mais rígida (dura) possui uma característica muito importante para o processo de extrusão, pois é a responsável pelo maior grau de cisalhamento e atrito dentro do canhão do extrusor, liberando energia e promovendo a formação de um material viscoelástico adequado dentro do extrusor. Este material formado será responsável pelas características tecnológicas, sensoriais e nutricionais do produto.
Variedades de milho com teores de amilose muito altos não são adequadas para a produção de extrusados expandidos, pois o maior teor de amilose resulta em maior temperatura de gelatinização e menor viscosidade do meio. A amilopectina, em função do alto grau de ramificação, favorece a viscosidade e aumenta o grau de cisalhamento, liberando energia e resultando na gelatinização e na dextrinização termomecânica do amido. A produção de dextrinas e a alta viscosidade do meio são responsáveis pela ex pansão do produto e a formação da crocância adequada como resultado dos altos índi ces de expansão, fraturabilidade e solubilidade em água e das baixas dureza e absorção de água, características desejáveis nos extrusados expandidos (CHANG et al., 2009).
Um sistema de extrusão (Figura 11.1) possui um mecanismo de alimentação, que rea liza a introdução do material na linha de processamento. A farinha ou o grits de milho é armazenado abaixo de 15% de umidade. Desta forma, necessita da adição de água para que a mistura tenha uma umidade de condicionamento entre 15% e 30%. Após esta etapa ocorre a passagem pelo cilindro ou canhão do extrusor, dentro do qual o material particu lado se transforma em um fluido viscoelástico. A matriz ou molde posicionado na saída, juntamente com o mecanismo de corte darão a forma e o tamanho do produto final.
O milho doce, diferentemente do milho comum, possui caráter adocicado devido à presença de genes mutantes que bloqueiam a conversão de açúcares em amido no endosperma. Destinado exclusivamente ao consumo humano, o milho doce tem ga nhado a preferência dos consumidores por seu sabor adocicado, baixo teor de amido e diversidade culinária. A cultura pode ser explorada durante o ano inteiro, desde que se tenha uma boa disponibilidade hídrica, solos com baixa acidez e temperaturas de média a alta. No Brasil, a crescente produção de milho doce vem favorecendo a im plantação de indústrias. Devido à sua versatilidade, o milho doce pode ser consumido na forma in natura, em conservas, desidratado, congelado em espigas ou grãos e ainda como “minimilho”, também chamado de “baby corn”. Além de sua multifuncionalidade, o milho doce processado possui alto teor de antioxidantes, auxiliando na preven ção de doenças crônicas e degenerativas.
O milho doce ( Zea mays L . saccharata) pertence à família das poaceas ou gramí neas, assim como o milho comum também pertence ao gênero Zea . Possivelmente, omilho doce surgiu na região do México e foi domesticado por volta de 5000 a.C. O desenvolvimento fenológico do milho pode ser dividido em vegetativo (V), ou reprodutivo (R), ou seja, antes e após a floração, respectivamente. Para o milho ser considerado doce, o mesmo deve conter um teor de açúcar superior a 25% em sua fase leitosa (Figura 12.1), fase em que ainda não se atingiu a maturação fisiológica por completo.
Milho: química, tecnologia
Segundo Aragão (2002), a botânica e a reprodução do milho doce são idênticas às do milho comum. No entanto, a presença de alguns genes mutantes, como, o gene “bri ttle” (bt), localizado no cromossomo 5; o gene shrunken-2, localizado no cromossomo 3; os genes sugary (se); sugary (su) e brittle (bt2), todos no cromossomo 4, bloqueiam a conversão de açúcares em amido, no endosperma, conferindo o caráter adocicado ao milho doce. Pode-se dividir o material em dois grupos básicos: superdoce (contendo o gene brittle ou shrunken) e doce (contendo o gene sugary).
É bastante improvável que o milho doce tenha ocorrido na natureza como uma raça selvagem, similarmente aos outros tipos de milho. Ele pode ser considerado um produto de mutação seguida de domesticação, pois uma nova fonte de açúcar provavelmente não seria ignorada pelas tribos indígenas de várias regiões da América do Sul (MACHADO, 1980).
Segundo Syngenta Seeds (2004), a área cultivada de milho doce mundialmente foi de 900 mil hectares, já no Brasil, de 36 mil hectares. Acredita-se que o milho doce possui grande potencial de produção, já que dados da Companhia Nacional de Abastecimento (CONAB, 2020) apontam que a produção mundial de milho na safra 2020/21 será a maior da história, com produção estimada em 104,9 milhões de toneladas. Na Tabela 12.1 são apresentados os maiores produtores de milho doce por estado do Brasil.
Tabela 12.1 Produção de milho doce no Brasil
Maiores estados produtores Produção em hectares Goiás 28.000 ha São Paulo 4.000 ha Rio Grande do Sul 3.000 ha Minas Gerais 1.000 ha Fonte: Adaptado de Maggio (2006).
A pipoca ( Zea mays L. var. everta ) é um tipo de milho com capacidade de ex pandir a cariopse (estourar) sob a ação do calor, formando flocos brancos e le ves, com significativo aumento de volume. Os grãos de milho pipoca são fonte de carboidratos complexos, amido resistente, fibras alimentares, proteínas, aminoáci dos essenciais, ácidos graxos essenciais, minerais, vitaminas e fitoquímicos (ácidos fenólicos, antocianinas, carotenoides, fitoesteróis e fitoestanóis). A pipoca possui elevada capacidade antioxidante, mesmo após expansão, devido a presença de ácidos fenólicos e antocianinas. A qualidade da pipoca em grão e sua aceitação no mercado dependem de atributos genéticos da planta, das condições de cultivo e dos processos de colheita e de pós-colheita (beneficiamento, limpeza, secagem e armaze namento). Nestes processos, principalmente na etapa de secagem, cuidados são neces sários para preservar a integridade física do grão. O índice de expansão e o número de grãos não expandidos após a cocção, ambos dependentes da integridade do grão, são importantes características na comercialização do milho pipoca. Além de ser um alimento aprazível, pela sua composição química, o consumo de pipoca tem sido re lacionado com diferentes benefícios à saúde, especialmente na prevenção de doenças crônicas como diabetes e obesidade.
O milho é um cereal cultivado em todo o mundo e um alimento básico das po pulações da América Latina, Índia e África (SWETHA et al., 2017). Os grãos de mi lho, assim como de pipoca, podem variar quanto a sua coloração (branco, amarelo, vermelho, azul e preto). As colorações, branca e amarela, estão associadas à menor
ou maior concentração de caroteno no endosperma, respectivamente. Já as demais colorações estão associadas ao acúmulo de diferentes antocianinas no pericarpo e na camada de aleurona (MORENO et al., 2005). O milho pipoca (Zea mays everta) é um alimento bastante apreciado no Brasil.
Grande parte do milho pipoca encontrado no mercado ainda é importado. A demanda interna é suprida pelo Estados Unidos, especialmente com grãos para preparo rápido em micro-ondas (MATTA; VIANA, 2001). Os Estados Unidos têm a maior produção (420 mil toneladas), seguida pela Argentina (230 mil toneladas), França e Hungria (40 mil toneladas), que são os principais produtores mundiais (GRANDJEAN et al., 2008; MORALES-MOO et al., 2020).
A pipoca se diferencia dos outros milhos por possuir o pericarpo muito mais duro e não poroso (COCO; VINSON, 2019). O grão possui três partes fundamentais: farelo ou pericarpo, endosperma e germe. O pericarpo é a camada externa do grão onde se concentram ácidos graxos essenciais, vitaminas e minerais. O endosperma, a maior parte do grão, é formado principalmente por amido. O gérmen contém principalmente proteínas e lipídios, além de vitamina E, folato, tiamina, fósforo e magnésio (SARWAR, 2013). Mais detalhes no Capítulo 1.
Na Figura 13.1 é apresentada a pipoca amarela em grão e expandida. A expansão acontece quando o grão é aquecido à temperatura em torno de 180ºC. O endosperma denso restringe a difusão do vapor de água que faz com que a pressão se acumule dentro do núcleo até que ele exploda quando os grânulos de amido expandem e se gelatinizam esticando a matriz proteica (PARSONS et al., 2020). Assim, a água do endosperma se transforma em vapor rapidamente e explode causando o efeito do estouro (MEJIA, 2005). O grau de umidade apropriado permite que o núcleo se expanda em flocos leves (PARSONS et al., 2020), originando a pipoca expandida (CAÑIZARES et al., 2020). Esta matriz quando fria, se torna rígida e branca (ECKHOFF et al., 2003) e é consumida como lanche em diversas partes do mundo (SWETHA et al., 2017).
O grão de milho possui diversas aplicações na indústria alimentícia e a sua utiliza ção em bebidas fermentadas vem da antiguidade. O milho é amplamente utilizado nas indústrias cervejeiras como grão não maltado ou em algumas receitas de cerveja como malte de milho, por ser uma grande fonte de açúcares fermentáveis, visto seu elevado teor de amido, e por se tratar de uma matéria-prima de menor custo que o malte de cevada. Além da cerveja, outras bebidas de elevado consumo, como o uísque e a vodca, possuem em sua composição grãos de milho, os quais são fermentados e posteriormente destilados. Sua utilização na elaboração de bebidas fermentáveis não é restrita a bebi das tradicionais e conhecidas nos dias atuais. O grão de milho também é o principal ingrediente de bebidas antigas produzidas por índios, como o Cauim, Chicha e Aluá. Neste capítulo iremos abordar algumas bebidas fermentadas que possuem entre seus in gredientes o grão de milho ou derivados de milho, desde bebidas antigas nas quais o grão milho é o ingrediente base até bebidas em que o grão de milho é usado como adjunto.
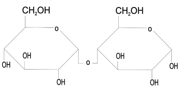
O milho (Zea mays) é constituído de aproximadamente 72% de amido em base seca. O amido (Figura 14.1) é um polissacarídeo constituído por cadeias de amilose e/ou amilopectina, no qual a amilose é formada por unidades de glicose unidas por liga ções glicosídicas α-1,4, e a amilopetina é formada por unidades de glicose unidas por ligações glicosídicas α-1,4 e α-1,6. A ampla utilização dos grãos de milho em bebidas fermentadas ocorre devido ao seu alto teor de amido, o qual será degradado em açú cares fermentescíveis em um processo anterior a fermentação.
Figura 14.1 Estrutura molecular do amido.
Para que ocorra a degradação do amido em açúcares fermentescíveis, o grão de milho deve ser quebrado em partículas menores para que o amido seja exposto à ação de enzimas alfa-amilase e beta-amilase. A enzima beta-amilase atua em uma faixa de temperatura ótima de 62ºC a 65ºC, e tem a função de degradar o amido de forma sistemática em açúcares de baixo peso molecular (maltoses), sendo facilmente fermentado na etapa de fermentação. Enquanto que, a enzima alfa-amilase, a qual atua em uma faixa de temperatura ótima de 67ºC a 72ºC, degrada o amido de forma aleatória, gerando açúcares de tamanhos diferentes (dextrinas), os quais não são facilmente fermentáveis.
Em bebidas como o uísque e a vodca, que após a fermentação são submetidas ao processo de destilação, se prioriza obter apenas açúcares de baixo peso molecular (maltoses), visto que o objetivo é fermentar todos os açúcares presentes no mosto. Já na indústria cervejeira, o amido é degradado em açúcares de difícil fermentação, pois estes têm a função de ajudar a formar o corpo da cerveja, deixando-a mais consistente. A maltose (Figura 14.2) é formada pela junção de duas moléculas de glicose ligadas por uma ligação glicosídica α-1,4.
Na última década, a crescente busca por alimentos mais saudáveis e o aumento da segmentação de mercado (vegano, vegetariano, produtos livres de glúten, entre outros) ocasionaram um acréscimo no consumo de grãos germinados, os quais se destacam por apresentar maiores teores de compostos bioativos e melhor qualidade nutricional. Do ponto de vista tecnológico, a germinação tem sido caracterizada como uma forma de processamento econômica e eficiente, capaz de promover a quebra de macromolé culas e melhorar a digestibilidade e valor o nutricional dos grãos. Durante o proces so germinativo, moléculas simples como açúcares, aminoácidos e ácidos graxos são obtidos a partir da ativação de enzimas hidrolíticas, além da redução de substâncias antinutricionais e síntese de compostos de alta capacidade bioativa, como vitaminas, polifenóis e ácido γ-aminobutírico (GABA). Desta forma, por ser um cereal de baixa alergenicidade, não conter glúten e apresentar maior valor nutricional quando compa rado ao milho não germinado, os grãos germinados podem ser aplicados na produção de bebidas fermentadas e produtos de panificação sem glúten, bem como para a for tificação natural de farinhas e produtos alimentícios, com destaque para os produtos extrusados à base de milho.
A prática de germinar grãos e sementes para posterior aplicação em alimentos e bebidas teve seu início há milhares de anos atrás, apresentando os primeiros registros nas épocas em que o suprimento de água potável era escasso e, desse modo, os grãos germinados tornaram-se matéria-prima para o processo de produção de bebidas segu ras via fermentação (FENG et al., 2019).
Para a obtenção do milho germinado, os grãos passam pelo processo de germina ção, o qual desencadeia uma série de reações metabólicas que resultam em alterações na estrutura e composição química dos grãos, bem como no teor de compostos bioa tivos (GONG et al., 2018). Como vantagens, a germinação pode ocasionar redução no conteúdo de compostos antinutricionais dos grãos, como fitatos e açúcares causadores de flatulências, além de melhorar a digestibilidade proteica e amilácea (OMARY et al., 2012; SOKRAB et al., 2012). Além disso, por meio da germinação é possível aumentar oteor de compostos bioativos nos grãos de milho, como vitaminas e ácido gamaaminobutírico (GABA), assim como compostos antioxidantes e carotenoides (LUO et al., 2020; PAUCAR-MENACHO et al., 2017).
O uso de milho germinado tem se tornado popular nos últimos anos devido à sua ampla aplicação em produtos de panificação e bebidas fermentadas, com destaque para a produção de cervejas (WU; XU, 2019; FUMI et al., 2011). Além disso, por ser um cereal de baixa alergenicidade, não conter glúten em sua composição e apresentar maior valor nutricional quando comparado ao milho não germinado, os grãos ger minados podem ser utilizados como ingredientes em dietas livres de glúten e para a fortificação natural de farinhas e produtos alimentícios (OMARY et al., 2012).
Nos próximos tópicos deste capítulo serão abordadas as alterações ocasionadas nos grãos de milho decorrentes do processo de germinação, bem como as possíveis formas de processamento e aplicações industriais para o milho germinado.
Do ponto de vista tecnológico, a germinação tem sido caracterizada como uma forma de processamento econômica e eficiente, capaz de promover a quebra de macro moléculas e melhorar a digestibilidade e valor o nutricional dos grãos (OMARY et al., 2012). Quanto à visão fisiológica, a germinação pode ser definida como o fenômeno mais importante no ciclo de vida das plantas, o qual compreende uma série de reações fisiológicas e bioquímicas que levam à retomada do crescimento do embrião e produção de uma nova planta (RIAZ et al., 2019).
A germinação pode ser classificada em germinação a campo, maltagem e germi nação controlada (MEREDITH; POMERANZ, 1985). Quando os grãos de milho ainda durante o cultivo germinam na espiga, denomina-se germinação a campo. Por sua vez, quando o processo é induzido pela embebição dos cereais secos em água sob condições controladas de tempo e temperatura, usam-se as terminologias de maltagem e germinação controlada, que se diferenciam basicamente com rela ção ao crescimento do embrião. Durante a maltagem, busca-se minimizar o cres cimento embrionário de modo a evitar a perda de açúcares em função do processo respiratório (CHAVAN; KADAN, 1989).
O etanol combustível (álcool) produzido a partir de cana-de-açúcar e milho é o bio combustível mais importante mundialmente. O etanol pode ser produzido a partir dos grãos de milho, por meio da separação do amido proveniente do grão e a partir de bior resíduos do milho, como a palha. A tecnologia empregada na produção de etanol vai desde uma conversão simples de açúcares por fermentação até a conversão de biomassa lignocelulósica em etanol. Na preparação da matéria-prima podem ser utilizados três tipos de pré-tratamento: físico, químico e biológico. A utilização de grãos milho como matéria-prima torna o processo oneroso, por isso é importante a obtenção de máxima hidrólise de amido para potencializar a produção de etanol. Em escala industrial, o mi lho é a principal matéria-prima para produção de etanol no mundo. Existem avanços que ainda devem ser feitos na produção de etanol, entre os mais importantes encon tram-se a criação de híbridos de milho altamente fermentáveis, na conversão de fibras da biomassa e desenvolvimento de novos coprodutos de etanol com alto valor agregado.
A mitigação das mudanças climáticas aliada à geração de energia limpa, sem competir com a produção de alimentos, é um dos principais desafios que o mundo enfrenta atualmente. Para alcançar estes objetivos, pesquisas vêm sendo realizadas na elaboração de produtos mais sustentáveis ambientalmente e na geração de energia a partir de fontes renováveis, como os biocombustíveis. O etanol, combustível (álcool) produzido a partir de cana-de-açúcar e do milho, é o biocombustível mais importante mundialmente, seguido pelo biodiesel de canola e soja.
A matriz energética mundial e brasileira é dependente do uso dos combustíveis fós seis. Segundo a Agência Nacional do Petróleo, Gás Natural e Biocombustíveis (ANP), por meio do refino do petróleo e processamento do gás natural se obtém, por exem plo, o GLP (gás de cozinha), a gasolina e o diesel. Entretanto, relevante parcela do aquecimento global observado especialmente nos últimos sessenta anos, se deve ao aumento nas concentrações de gases que causam o efeito estufa, originados pela quei ma de combustíveis fósseis, como o carvão e derivados de petróleo. Neste sentido, a ANP estabeleceu metas de redução de emissão de gases causadores do efeito estufa, conforme estabelecido no artigo 4º da Resolução ANP nº 791, de 12 de junho de 2019.
O processo de produção de etanol depende da matéria-prima utilizada, podendo ser feito a partir de culturas agrícolas açucareiras, amiláceas e biomassa lignocelulósica. A tec nologia empregada vai desde uma conversão simples de açúcares por fermentação até a conversão de biomassa lignocelulósica em etanol por múltiplos estágios. A grande diversi dade de alternativas tecnológicas requer a análise do processo global junto com dimensio namento de cada uma das operações envolvidas (SÁNCHEZ; CARDONA, 2008).
O Brasil e os Estados Unidos são os líderes mundiais na produção de etanol (HETTINGA et al., 2009), considerado um ótimo biocombustível por ser biodegradável e renovável, e por ser produzido a partir de distintas biomassas (OMIDO et al., 2015).
Apesar de no Brasil a cana-de-açúcar ser responsável pela maior produção de etanol, omilho é uma matéria-prima potencial, sendo a segunda maior cultura agrícola do Brasil, com produção de mais de 100 milhões de toneladas na safra 2018/2019, ficando atrás apenas da soja (CONAB, 2020). A indústria de etanol de milho é consolidada nos Estados Unidos da América, que destinam quase 40% da produção do grão para elaboração do biocombustível, que é adicionado à gasolina. Porém, assim como ocorre com o etanol da cana-de-açúcar no Brasil, a competitividade do etanol combustível depende do preço do petróleo.
Neste capítulo serão abordados aspectos científicos, tecnológicos e ambientais da produção de etanol de milho.
O milho é amplamente produzido mundialmente e pela sua composição química (Capítulo 1) se caracteriza como uma boa matéria-prima para produção de etanol. O etanol também pode ser produzido a partir de biorresíduos de milho, como a palha de milho.
A primeira operação da produção de etanol a partir de palha de milho é o prétratamento da matéria-prima. Essa etapa é realizada para desenrolar a biomassa lignoce lulósica (celulose, hemicelulose e lignina) na qual a celulose está aderida, e dessa forma, facilitar a hidrólise enzimática da mesma (GEDDES et al., 2010; TONG et al., 2012).
O processo de pré-tratamento tem por objetivos a formação de açúcares direto ou subsequente por hidrólise, evitar a degradação dos açúcares formados, limitar a for mação de produtos inibidores, reduzir a demanda de energia e com isso minimizar os custos de produção (GUPTA; VERMA, 2015).
Rubia Batista Viana
David Fernando dos Santos
Gabriela Caroline Lenham
Vinícius Gonçalves Deon
As embalagens biodegradáveis podem ser produzidas a partir de matérias-primas derivadas do milho, sendo os principais os materiais, os polímeros extraídos direta mente da biomassa vegetal, polímeros biodegradáveis e/ou renováveis sintetizados a partir de monômeros derivados de biomassa e polímeros produzidos por microrga nismos naturais ou geneticamente modificados utilizando biomassa de milho como substrato. Os métodos para produção de embalagens podem ser via processamento úmido ou seco dos polímeros termoplásticos. Os processos úmidos consistem em fil mes moldados via casting, aplicação direta de coberturas e revestimos, e filmes pro duzidos por tape-casting. Os processos secos consistem em técnicas de processamento termomecânico, como extrusão de filmes, moldagem por sopro de garrafas, tampas, espumas expandidas e outros componentes para embalagens. Além disso, a combina ção de materiais com diferentes características resulta em sistemas compósitos com propriedades melhoradas ou ainda, sistemas ativos e inteligentes que podem prolon gar a vida útil dos alimentos. No entanto, o fator limitante da aplicação de embalagens biodegradáveis à base de milho não consiste na disponibilidade dos seus principais polímeros, amido e zeína, mas sim nas limitações e dificuldades para o aumento de escala dos processos produtivos e nos aspectos comerciais para embalagens biodegra dáveis para alimentos.
O milho e seus derivados e coprodutos podem ser utilizados como matérias-pri mas na fabricação de diversas embalagens biodegradáveis. Dentre os materiais biode gradáveis com potencial para aplicação em embalagens, três famílias são geralmente
consideradas: os polímeros extraídos diretamente da biomassa vegetal, os materiais que utilizam monômeros derivados de biomassa, mas empregam rotas químicas clássicas para obter os polímeros biodegradáveis e/ou renováveis, e os polímeros produzidos por microrganismos naturais ou geneticamente modificados. Estes polímeros biode gradáveis renováveis e os materiais produzidos utilizando-os são componentes essen ciais para o desenvolvimento sustentável da cadeia agroindustrial, e em acordo com os conceitos de economia circular.
Os materiais que usualmente são isolados da biomassa de milho são carboidratos (amido e celulose), proteínas (zeína), e outros materiais lignocelulósicos (lignina, he micelulose). Os derivados de milho são utilizados como parte das matérias-primas em processos de síntese química ou biológica de polímeros, os quais envolvem proces sos fermentativos com produção direta dos polímeros como poli-hidroxialcanoatos (PHA) e polipeptídeos, ou com produção de monômeros, como o ácido lático, seguido de síntese química convencional dos polímeros, como o ácido polilático (PLA).
Na produção de embalagens biodegradáveis empregando os polímeros derivados do milho como matéria-prima, o desenvolvimento de filmes de amido e de filmes compósitos são os que têm mais destaque (Figura 17.1). Este destaque se deve pela facilidade de produção em escala laboratorial, possibilidades de aumento de escala, de uso de equipamentos e processos comerciais, além de aplicações de forma sustentável e eficiente (JEEVAHAN et al., 2020). Nas referências consultadas, evidencia-se a rele vância da caracterização das propriedades, mecânicas e de barreira, destes filmes que estão diretamente relacionados aos materiais e tipos de processos empregados (Figura 17.1). Também, nota-se o grande interesse pela combinação de amido e celulose no desenvolvimento de materiais compósitos biodegradáveis e o uso de nanomateriais (nanopartículas, nanofibras, quitosana) para a produção de nanobiocompósitos.
A produção de embalagens pode ser via processamento úmido ou seco dos polí meros. Os métodos úmidos consistem na produção de coberturas ou revestimentos e filmes (casting) e os métodos secos consistem em técnicas de processamento termo mecânico. Os processos de transformação resultam em embalagens com característi cas e propriedades únicas, que também estão associadas aos materiais utilizados. Estes métodos e as suas características serão descritos neste capítulo, bem como as matérias -primas à base de milho, os principais materiais resultantes e as suas aplicações como embalagens biodegradáveis.
A nixtamalização é um processo de cozimento dos grãos de milho, originalmente termoalcalino e termomecânico, que provoca alterações físicas, químicas e reológicas nos grãos. Esse processo é utilizado para obter características tecnológicas específicas no milho, que por fim melhoram algumas propriedades nutricionais, aumentando o teor de cálcio e amido resistente, além de melhorar a biodisponibilidade dos aminoácidos. Afora o modelo de processamento convencional, existem tecnologias alternativas de tratamento que objetivam encurtar o processo, aumentar a taxa de produção ou redu zir os resíduos, como exemplo, extrusão, ultrassom, micro-ondas, aquecimento ôhmi co e substituição de hidróxido de cálcio por outros sais. Nesse contexto, este capítulo irá detalhar o processo de nixtamalização convencional e alternativos à produção de milho nixtamalizado, alterações das propriedades físico-químicas e do valor nutricional, pro priedades do amido e compostos tóxicos, e ao final serão apresentados os principais produtos produzidos a partir de milho nixtamalizado.
O milho (Zea mays L.) é um cereal amplamente distribuído e consumido no mundo, além de ser o alimento básico para milhões de pessoas na América Latina. Os maiores produtores de milho no mundo são Estados Unidos, China e Brasil, produ zindo aproximadamente 708 dos 1.113 milhões de toneladas produzidas anualmente (IGC, 2020). No Brasil, o milho é o quinto produto mais exportado, acumulando em 2019 exportações de 43,2 milhões de toneladas (COMEXVIS, 2020).
O milho pode ser consumido de várias formas e as características do processo, da tecnologia empregada e do grão afetam suas propriedades físico-químicas e seu
Milho: química, tecnologia e usos conteúdo nutricional. Tradicionalmente nas Américas os grãos de milho são transfor mados por meio de um processo termoalcalino chamado nixtamalização.
A nixtamalização, em seu conceito convencional, é um processo térmico que consiste no cozimento de grãos de milho em um agente alcalino-água (SANTIAGORAMOS, 2018). O processo de nixtamalização (de Nahuatl, Nextli, lima de cinzas; e Tamalli, massa de milho cozida) foi desenvolvido pelos astecas antes dos tempos pré-colombianos, e ainda é realizado como nos tempos pré-hispânicos, embora com o tempo tenha sofrido algumas modificações no seu processo (ESCALANTE-ABURTO et al., 2013).
A nixtamalização provoca alterações físicas, químicas e reológicas no grão de mi lho que afetam a qualidade da massa e dos produtos obtidos. O processo é uma manei ra eficaz de melhorar o valor nutricional do milho para consumo humano, incluído o aumento da ingestão de cálcio e do conteúdo de amido resistente, além de aumentar a biodisponibilidade da maioria dos aminoácidos (EKPA et al., 2019).
Algumas tecnologias alternativas ao processo convencional de nixtamalização fo ram propostas no intuito de reduzir ou eliminar algumas desvantagens do processo original, principalmente a substituição do hidróxido de cálcio. Esses trabalhos têm se concentrado em reduzir a quantidade de resíduos produzidos, a quantidade de água utilizada, o potencial poluidor dos resíduos gerados, o tempo gasto no processo, entre outros (RAMÍREZ-ARAUJO et al., 2019).
Alimentos à base de milho nixtamalizado estão disponíveis em todo o mundo, com cada país tendo diferentes métodos de processamento, produtos alimentícios e formas de consumo. No México, mais de trezentos alimentos são produzidos por métodos de processamento que incluem nixtamalização, sendo o mais comum a tortilha (EKPA et al., 2019).
Este capítulo tem por objetivo detalhar o processo de nixtamalização do milho e suas respectivas tecnologias alternativas, discutindo alterações nas propriedades do amido, no valor nutricional, e nos compostos tóxicos, além de relatar os principais produtos que podem ser obtidos a partir de milho nixtamalizado.
A nixtamalização é baseada em processos artesanais desenvolvidos por civilizações antigas da América Central por meio de procedimentos simples. Com o tempo, o pro cesso sofreu algumas modificações, no entanto, tradicionalmente a nixtamalização do milho consiste basicamente em dois estágios: termoalcalino e termomecânico.
No primeiro passo os grãos de milho são cozidos em solução alcalina para facilitar o rompimento do pericarpo. Após o intumescimento dos grãos, a água do cozimento conhecida como nejayote, é removida e o milho nixtamalizado ou nixtamal, passa por duas ou três lavagens com água. Na segunda etapa, o nixtamal é submetido à moagem úmida a fim de se obter uma massa lisa e coesa.
Márcia Arocha Gularte
Maicon da Silva Lacerda Layla Danne Macedo
O milho, um dos cereais mais consumidos no mundo, é versátil para utilização como matéria-prima para a produção de alimentos, na forma de rápidas preparações até a produção de farinha para preparações mais elaboradas. Praticamente está presen te na alimentação humana diária e possui atributos específicos exigidos pelos consu midores. Conhecer as técnicas de avaliação para caracterizar os atributos de aparência, textura e sabor das diversas formas de consumo deste cereal é importante para a cadeia produtiva, indústria de alimentos e consumidor. Devido a isso, este capítulo resume as interferências de qualidade e as principais definições e práticas de análise sensorial para este cereal.
A qualidade sensorial de um produto e a sua manutenção é imprescindível para a aceitação e fidelidade do consumidor em um mercado cada vez mais competitivo. Nesse sentido, a contribuição da análise sensorial aplicada ao milho desde a pós-co lheita até o consumo é de extrema importância.
A avaliação sensorial é efetuada de maneira científica por meio de testes sensoriais que são aplicados para verificar a percepção do consumidor. Estes são utilizados para medir a qualidade dos alimentos pelos sentidos humanos de uma equipe de avaliado res, a qual é integrada por um grupo de pessoas, especialmente treinadas, quando a intenção é caracterizar os produtos e quando se deseja saber a aceitação e percepções de qualidade são realizadas com consumidores, sem treinamento.
Por meio da análise sensorial pode-se avaliar e selecionar as matérias-primas que serão usadas para elaboração de um produto, estudar efeitos de processos utilizados, estudar a estabilidade do produto durante o armazenamento, determinar sua vida útil e identificar a preferência do consumidor. Usada também como um importante ins trumento para o controle de qualidade nas indústrias, é uma importante ferramenta no desenvolvimento de novos produtos ou alterações em processamentos e formula ções de produtos já existentes.
Segundo Dutcosky (1996), é importante realizar uma análise sensorial determinan te, que permita conhecer os vários aspectos exigidos pelos consumidores ao escolher um alimento. Além de atuar como instrumento de garantia de qualidade do resultado do produto, é capaz de detectar peculiaridades que não podem ser percebidas por outros instrumentos, ou seja, revela a individualidade existente para a preferência de certos sabores, aromas, cores, aparências, texturas.
A aparência e o sabor são determinantes da aceitação e preferência, solidificando a potencialidade de cultivares para a decisão de produzir e obter sucesso na comerciali zação. A avaliação de melhores genótipos (adaptação às regiões, clima, manejo, entre outros) e a preferência dos consumidores vai definir os cultivares a serem produzidos por produtores e, assim, a melhor qualidade do produto.
O sabor, por ser um atributo complexo, sendo uma experiência mista, porém unitá ria, de sensações olfativas, gustativas e táteis percebidas durante a degustação, influen ciadas por sensações como: térmicos, dolorosos e/ou cinestésicos, vai variar conforme o produto e o cultivar de milho, pois alguns se apresentam mais aromáticos e, conse quentemente mais saborosos que outros.
Neste capítulo serão abordadas as principais definições e metodologias sensoriais e as interferências na qualidade de milho e seus produtos.
O milho doce se diferencia do milho verde devido aos teores de açúcares e de amido do endosperma. O milho verde é colhido e consumido in natura (após uma rápida cocção), em estado leitoso, fresco, com grãos macios (grau de umidade de 70% a 80%) e antes da conversão do açúcar em amido, caso ocorra esta conversão irá reduzir o sabor adocicado e a maciez. Tais características são as preferidas do consu midor. No entanto, entre híbridos de milho verde e doce, o doce é o mais preferido, devido ao sabor e textura. Já o milho da classe superdoce apresenta mais doçura e maciez, devido à conversão de açúcar em amido ser mínima e a maior proporção de água, em relação à matéria seca, aumentando a aceitação pelos consumidores.
As variações de amido, polissacarídeos solúveis em água, açúcares redutores e sa carose no milho são dependentes ao estádio de maturação e do ponto de colheita.
Este capítulo apresenta a história, características, valor nutricional, importância e usos dos milhos andinos peruanos, que são cultivos adaptados a climas extremos de desenvol vimento e fazem parte da base alimentar da população rural andina. No total, existem 55 variedades de milhos andinos cultivadas no Peru, seus grãos são caracterizados por serem macios e apresentarem um endosperma amiláceo, além de uma diversidade de tamanhos, formas e cores, associados a mutações genéticas naturais em seu DNA. Em relação ao seu valor nutricional, como o amido é o principal componente, são considerados fonte de carboidratos e energia, enquanto às variedades pigmentadas, como o milho roxo, por possuir compostos bioativos, como antocianinas, flavonoides e ácidos fenólicos, têm sido atribuídos benefícios à saúde. Atualmente, grande parte da produção de milho andino, em suas diferentes formas (grão verde ou seco maduro), é destinada ao consumo direto, sendo utilizados na preparação de pratos típicos, bebi das e sobremesas como fonte de cores, sabores e texturas, gerando valor agregado para um cultivo regional e promovendo o desenvolvimento da agricultura familiar.
O milho é um dos mais antigos grãos de alimentos conhecidos e uma das primeiras culturas domesticadas pelo homem que por meio de seu cuidado e seleção contribuiu para seu melhoramento, podendo-se dizer que ambos viveram e evoluíram juntos des de os tempos remotos. De acordo com Paliwal (2000), embora ainda não exista um consenso em relação ao seu local exato de origem, sabe-se que o milho nasceu e foi domesticado na América, posteriormente, suas sementes foram levadas pelos conquis tadores ao continente europeu, para depois serem introduzidas nos países asiáticos e
Milho: química, tecnologia e usos africanos pelo comércio. Dessa maneira, o milho foi distribuído pelo mundo, tendo que se adaptar a diferentes ambientes de cultivo desenvolvendo assim características peculiares em cada região.
Os Andes peruanos são considerados a região com maior diversidade fenotípica de milho do mundo (MINAM, 2018), apresentando grãos de diversos tamanhos, formas, cores e texturas (Figura 20.1), características que segundo Salhuana (2004) podem ser associadas à extrema variedade de condições ambientais, juntamente com a mutação, hibridação e seleção planejada pelos agricultores, que desempenharam um papel im portante na produção e manutenção das sementes, contribuindo para a conservação dos recursos genéticos.
Por muitos anos, o milho andino tem sido a base da alimentação para a população rural do Peru, que o utiliza na preparação de uma variedade de pratos típicos, bebidas e sobremesas. Durante a última década, o milho andino ganhou maior valorização no mercado, devido ao crescimento da gastronomia peruana, impulsionada pelas varie dades de cores e sabores desses grãos (CARRASCO, 2018). Da mesma forma, estudos científicos foram realizados avaliando os possíveis benefícios à saúde associados ao seu consumo (LAO et al., 2017b).
Neste capítulo, conheceremos a história, as características e a importância do milho andino peruano, bem como suas principais aplicações e usos, culinários e industriais.
Bruna Lago Tagliapietra
Rebeca Salvador Reyes
Marcio Schmiele
Maria Teresa Pedrosa Silva Clerici
Este capítulo apresenta as modificações das características químicas e do valor nu tricional dos grãos de milho e seus derivados durante o processamento tecnológico adequado. Sabe-se que o milho é um dos cereais mais difundidos no mundo, sendo usado como fonte de carboidratos na alimentação humana e animal devido ao valor nutricional do grão e às inúmeras possibilidades de utilização pela indústria. O uso do milho na alimentação humana se baseia no consumo dos grãos verdes (assado, cozido ou na culinária) e nos grãos maduros, após os processos de moagem seca (onde são obtidas as frações de diferentes granulometrias) e da moagem úmida (que proporcio na a extração do amido e separação dos demais componentes). Embora o processa mento melhore as características tecnológicas e possibilite a aplicação em uma série de produtos, esses métodos podem afetar as características nutricionais, modificando a quantidade e a qualidade dos nutrientes.
O milho (Zea mays L.) é uma das culturas de cereais mais importantes cultivadas no mundo, devido ao valor nutricional do grão e por se adaptar à diferentes condi ções ambientais, sendo considerado um alimento básico da dieta de grande parte da população. Atualmente, é o cereal mais cultivado em todo o mundo, sendo os Estados Unidos, a China e o Brasil os principais produtores (Tabela 21.1). Além disso, pode ser considerado um cereal com grande importância para segurança alimentar em muitos países pela facilidade de armazenamento e devido à grande produção por pequenos agricultores, que o usam para subsistência.
Estados Unidos 384,8 371,1 364,3 345,9 China 263,6 259,1 257,3 260,8 Brasil 98,5 82,0 101,0 101,0
Outros 380,6 366,4 400,7 405,8 Total mundial 1.127,5 1.078,6 1.123,3 1.113,5
Fonte: USDA (2020).
Economicamente, o milho pode gerar renda anual, pois pode ser cultivado em di ferentes condições climáticas e países como o Brasil, conseguem duas safras por ano, podendo o grão ser estocado por vários anos. Na alimentação animal o milho é des tinado, em sua maioria, para fabricação de ração. Na alimentação humana o milho pode ser utilizado em uma ampla variedade de produtos, desde a industrialização e consumo doméstico do milho verde, que é base para elaboração de diversos pratos da culinária brasileira como pamonha, curau e bolos, até produtos farináceos, cons tituindo um ingrediente básico para uma série de alimentos, como fubás, farinhas, canjicas e óleo, até produtos mais elaborados, como xarope de glucose, xarope de alto teor de frutose e dextrinas. Além disso, na Figura 21.1 podemos visualizar a utilização do milho, desde o estágio de maturação verde até o estágio maduro e a geração de inúmeros produtos. Embora o processamento industrial e os tratamentos culinários melhorem as qualidades sensoriais dos alimentos, por meio da formação de aromas agradáveis, sabores e cores, enquanto destroem substâncias antinutritivas, o processa mento também pode afetar o valor nutricional do milho, modificando a quantidade e a qualidade dos nutrientes. Dependendo do tipo de processamento e a exposição à fatores físico-químicos extrínsecos e intrínsecos, como teor de água, umidade relativa, temperatura, oxigênio, luz e pH, podem ocorrer perdas nutritivas, principalmente no conteúdo de vitaminas e minerais. Da mesma forma, a adição de ingredientes comple mentares como açúcares, óleo, sal, entre outros, serão responsáveis pela alteração do valor energético. Portanto, o valor nutricional do milho e dos derivados variam em re lação à composição da matéria-prima e as características físico-químicas dos produtos não se encontram disponíveis nas tabelas de composição dos alimentos. Considera-se importante ressaltar as mudanças nutricionais durante o processamento ao avaliar a ingestão de nutrientes por populações que consomem uma grande quantidade de mi lho ou produtos de milho em sua alimentação diária.
Esta obra, assinada por 37 talentosos autores com as mais diversas expertises na área de ciência e tecnologia de pós-colheita e industrialização do milho, foi pensada para servir de leitura geral e, principalmente, de fonte para consultas pontuais de pesquisadores, estudantes e pessoas interessadas no tema, além de oferecer uma ampla perspectiva sobre o milho, desde os componentes menores (bioativos e minerais) até as macromoléculas.
O texto traz ainda informações abrangentes sobre todos os aspectos de química, tecnologia e usos do cereal mais produzido no mundo (em toneladas métricas), e inclui extensa cobertura do desenvolvimento recente científico e tecnológico sobre o tema.
Em 21 capítulos, o livro destaca a importância do milho como matéria-prima para a produção de alimentos e de bioetanol combustível, e o tema emergente de fitoquímicos ou compostos nutracêuticos associados a diferentes tipos de milhos e seu efeito na saúde humana; especialmente na prevenção de doenças crônicas e do câncer, além de seus aspectos sensoriais e genótipos especiais. Discute ainda sobre o uso do milho como fonte de fibra alimentar, cozimento por extrusão de farinhas e amidos de milho, examina o efeito da composição e estrutura do milho na utilização da farinha de milho, na panificação e nos produtos de milho. Além de servir de base científica, essa obra apoia o desenvolvimento tecnológico das indústrias de milho e derivados.
Ancorado em centenas de referências bibliográficas nacionais e internacionais, o livro sintetiza o conhecimento direcionado para a difusão do saber focado em um cereal muito importante para alimentação humana: o milho! A obra abrange amplos aspectos da qualidade do grão, que vão da lavoura ao prato do consumidor. Quando trata do processamento, concentra-se na demanda em cada um dos caminhos possíveis para os grãos de milho, direcionados a aspectos fundamentais, como a saúde do consumidor.
Tomando temas do milho mais intenso em tecnologia, aqui são apresentadas as infinitas oportunidades de uso alimentício, de uso para a produção de bebidas e para o etanol.