





![]()







Excursiones, Campañas, Estadías
Proyectos
Reuniones y talleres
Publicaciones
Tema libre
IER en los medios
Galería de Imágenes
Portada: Trigona spinipes (Meliponini) robando una flor de arandano en Brasil (ver PUBLICACIONES, Nunes-Silva et al.).
EDITORES
• Alfredo Grau (graualfredo@gmail.com)
• Sofía Marinaro Fuentes (sofiamarinaro@gmail.com)
• María Josefina Zelaya (majozelaya@yahoo.com.ar)

Le Chasquier ha cumplido 10 años desde su primera aparición








Silvio Eugenio Castillo
En marzo de este año Natacha Chacoff, Andres Ramirez-Mejia y Silvio Castillo, visitamos el Centre for Ecology and Hidrology (CEH) en el Reino Unido. Fuimos invitados en el marco del proyecto SABIOMA (https://sabioma.org), que es una colaboración internacional entre Argentina y el Reino Unido que trabaja en la búsqueda de soluciones basadas en la naturaleza para enfrentar el desafío de la pérdida de biodiversidad, el cambio climático y el bienestar social.
Más específicamente, estuvimos en Wallingford (Oxfordshire), una ciudad muy tranquila y pequeña de aproximadamente 12 mil habitantes en la que se encuentra una de las varias sedes del CEH a lo largo del Reino Unido, y donde trabaja Reto Schmucki, quien fue nuestro anfitrión. En términos de comodidad y facilidades nuestra estadía fue excelente, con una oficina dedicada en el CEH que compartimos con otras dos compañeras parte también de la comitiva argentina en el Reino Unido. Allí llevamos a cabo numerosas sesiones de discusión y brainstorming, con el objetivo de delinear futuros caminos e intereses para abordar en el marco del proyecto. Una buena parte de las discusiones se desarrollaron alrededor del escenario actual de las diferentes formas de hacer agricultura más allá de las practicas convencionales (e.g. agricultura orgánica, agroecología y agricultura regenerativa) y en tratar de identificar que tienen en común y que las separa conceptualmente. Durante las discusiones tuvimos en cuenta especialmente quienes serían los actores clave en argentina y cuan heterogéneo es el panorama en este sentido. A su vez, también tuvimos un encuentro muy interesante y enriquecedor con investigadores del CEH (Claire Carvell y Jhon Redhead) que nos acercaron su experiencia trabajando en temas similares con agricultores en el Reino Unido.
Las sesiones de discusión fueron un input importante para idear y llevar a cabo lo que más adelante fue el “Taller: Desafíos para potenciar la producción agrícola a través del cuidado de la biodiversidad y la salud del suelo”, que se realizó en Buenos

Aires para compartir experiencias entre distintos actores sociales (del sector productivo, académico y ONGs) sobre la implementación de estudios y prácticas de manejo agrícola sostenibles.
Por otro lado, durante nuestra estadía en el Reino Unido fuimos invitados a participar de una reunión de cierre del proyecto ARBOLES en la Universidad de Leeds, donde presentamos una charla breve sobre nuestras experiencias en los proyectos de colaboración internacional Surpass y Sabioma.
Por supuesto también disfrutamos de los clásicos pubs ingleses y pudimos visitar increíbles museos y recorrer lugares icónicos en Oxford y Londres. El viaje fue una hermosa experiencia importante para fortalecer vínculos humanos entre nosotros y con las personas externas con las que colaboramos. Esperamos que todo este movimiento tenga un impacto positivo en nuestras tareas.






Alfredo Grau y Priscila Powell
En mayo se realizó un muestreo expeditivo del daño existente en la localidad de Los Cardones, en las cercanías de la ruta 307 camino a Amaicha. El trabajo fue realizado a pedido de la Dirección de Flora, Fauna y Suelos de la provincia, a través del Lic. Hugo Salas.
Participaron del muestreo estudiantes de la materia de especialidad FLORA
REGIONAL, María Lourdes Albertus, María José Urrea, Marina Andrea Páez, María Florencia Díaz y Gerónimo Boscarino, contando con la colaboración del Dr. Pablo García-Díaz.
Los resultados del muestreo (ver TEMA LIBRE) ameritaron reuniones posteriores con técnicos de la Dirección de Flora, Fauna y Suelos y se está trabajando conjuntamente para evaluar el problema.






Riesgos e impactos hídricos de la expansión urbana en el pedemonte de Yerba Buena, Tucumán: Un enfoque innovador de ciencia ciudadana para la toma de decisiones
Ezequiel Aráoz, Yohana Jimenez, Agostina Ferro Franco Sosa, Maia Plaza Behr, Virginia González, Matteo Tarquini, H. Ricardo Grau, Javier Foguet
El crecimiento acelerado de las ciudades plantea desafíos significativos para el manejo del agua y la planificación del territorio. En el pedemonte de Yerba Buena, Tucumán, este fenómeno adquiere una relevancia particular debido a su potencial impacto en los recursos hídricos y los conflictos asociados. Investigadores del instituto de Ecología Regional, en conjunto con la municipalidad de Yerba Buena desarrollaron un proyecto transdisciplinario para entender esta problemática y contribuir a un correcto manejo del sistema. El proyecto, con un enfoque innovador, combina la ciencia ciudadana y modelos hidrológicos avanzados para comprender y abordar los riesgos e impactos hídricos de la expansión urbana en esta región. Este proyecto fue uno de los ganadores del concurso "Aguas Claras" financiado por la fundación Bunge Y Born (https://www.google.com/amp/s/www.fundacionbyb.org/amp/concursoaguas-claras-conoc%25C3%25A9-a-los-ganadores)
El papel fundamental de la ciencia ciudadana:
La ciencia ciudadana es una forma de hacer ciencia que involucra a personas de la comunidad en la recopilación de datos, la generación de conocimiento y la toma de decisiones. Promueve la participación y el empoderamiento de la sociedad al involucrar a los ciudadanos en la investigación científica. Esto fomenta la conciencia ambiental y la comprensión de los problemas científicos y su relevancia en la vida cotidiana, lo que facilita la adopción de medidas basadas en la evidencia científica. La ciencia ciudadana desempeña un papel central en este proyecto, aprovechando la participación activa de la comunidad para recopilar datos valiosos y enriquecer el proceso de toma de decisiones. Reconociendo la importancia del conocimiento local y las perspectivas únicas de los actores locales, se han llevado a cabo entrevistas exhaustivas a informantes clave de diferentes sectores, incluyendo el gobierno local, la academia, el mercado y la población en general. Este enfoque inclusivo y participativo busca obtener una comprensión más completa de la percepción de todos los involucrados en el proceso de expansión urbana en Yerba Buena, y de las posibles

implicancias en los conflictos sociales y del agua.
La relevancia de los modelos hidrológicos en el estudio:
El proyecto se apoya en el uso del modelo hidrológico Soil and Water Assessment Tool (SWAT, por sus siglas en inglés) para predecir los impactos de diferentes tipos de urbanización en el escurrimiento superficial. El modelo SWAT, ampliamente reconocido y validado, permite simular la respuesta hidrológica de una cuenca frente a cambios en el uso del suelo y la cobertura vegetal. Al calibrar y validar el modelo con datos locales, se obtendrán estimaciones precisas de cómo la expansión urbana afectará los patrones de escorrentía y la disponibilidad de agua en el pedemonte de Yerba Buena.
El objetivo final del proyecto es contribuir al diseño de políticas públicas tendientes a regular la expansión urbana de Yerba Buena. La información aislada de cualquiera de los dos enfoques metodológicos de este proyecto resulta insuficiente para una buena gestión. Una planificación sin respaldo técnico es irrealista e inviable por su falta de comprensión de los mecanismos que regulan el sistema. Sin embargo, una planificación que no considere las valoraciones y necesidades de la comunidad carece de legitimidad para la población. Por lo tanto, este proyecto busca contribuir a un diálogo informado entre tomadores de decisiones, académicos y comunidad en general para lograr políticas consensuadas y legitimadas por diferentes sectores de la población.


Área del proyecto, límites de Yerba Buena, tipos de urbanizaciones y espacios verdes.




Talleres PECaRIES


M. Gabriela Núñez Montellano, Silvia Lomáscolo, Julieta Carilla, Sofía Nanni
El programa PECaRIES está destinado a estudiantes de las carreras de la Facultad de Ciencias Naturales e IML de la UNT y entre sus objetivos busca complementar la formación de grado del estudiante con herramientas aplicables directamente a la investigación de campo en ecología. Para ello, una de las actividades del programa es la participación en talleres mensuales sobre temas considerados importantes para la formación de futuros investigadores en ecología. En los últimos meses se realizaron dos talleres con la participación de investigadores del IER y de otros institutos. El taller “El estudio de los anuros desde las perspectivas ecomorfológica y morfofuncional” fue dictado por la Dra. Ana Sofía Duport Bru y el Lic. Walter Javier González Raffo del Instituto de Biodiversidad Neotropical (IBN – CONICET – Universidad Nacional de Tucumán) quienes brindaron una capacitación sobre la importancia de los anfibios en el ecosistema, cómo se los estudia y se centraron principalmente en dos líneas de investigación que se encuentran llevando a cabo en el IBN. Por un lado, el estudio de los anuros desde una perspectiva ecomorfológica, en la cual se analiza cómo la variabilidad en los modos de comunicación se explica por cambios en el uso del hábitat, y por otro lado, el estudio de los anuros desde una perspectiva morfofuncional, donde se analiza cómo varía el funcionamiento y la forma del aparato alimenticio a lo largo del desarrollo. El taller “¡¿Socio-EcoQué?! Breve introducción a las encuestas y el análisis de redes como técnicas de recopilación y análisis de datos cualitativos” fue dictado por la Ing. Maia Plaza Behr del IER y el Ing. Julian Mijailoff del Laboratorio de Investigación de Sistemas Ecológicos y Ambientales (LISEAUniversidad Nacional de la Plata). En este taller teórico-práctico se abordaron algunas metodologías para recolección de datos cuali-cuantitativos y la teoría de redes como método para el análisis de datos. Luego hubo una parte práctica donde se vivenció el enfoque de redes a través de ejemplos de redes uni y bipartita. .
Estos talleres fueron realizados en conjunto con el programa de pasantías del IBN, coordinado por la Dra. Agustina Novillo y Lic. Luciana Cristóbal.









Sergio Javier Ceballos
El pasado 15 y 22 de mayo dicté clases de botánica para la “Diplomatura no formal: introducción a la jardinería y paisajismo” en la sede de la Casa de la Cultura de Yerba Buena. La diplomatura es un programa de la Dirección de Medio Ambiente de la Municipalidad de Yerba Buena que surgió como una iniciativa para capacitar a las personas en la gestión de jardines y en la producción de plantas nativas, como una herramienta para el desarrollo personal y económico. Durante la primera clase (15/05) dicté nociones generales de botánica, introduciendo a los estudiantes al reconocimiento de las partes de una planta (hoja, tallo, raíz, flor y fruto) y la identificación de los grandes grupos de plantas (briofitas, pteridofitas, gimnospermas, angiospermas y dentro de estas mono y dicotiledóneas). La segunda y última clase (22/05) fue un trabajo práctico en el Percy Hill en el que por grupo tenían que caracterizar botánicamente y realizar una evaluación rápida y simple del riesgo de caída de árboles, aprovechando la oportunidad para generar información útil para la gestión del parque. Me encontré con un grupo grande, en su mayoría conformado por mujeres, muy entusiasmadas y motivadas para aprender. Me contagiaron el entusiasmo para seguir en mi búsqueda de un espacio en el mundo docente.









Carolina Monmany Garzia
La conservación de la biodiversidad es posible en la producción agropecuaria mediante la definición de espacios y el ajuste de las prácticas de manejo. Desde el Proyecto InBioAgro (Movimiento CREA), con el apoyo técnico del INTA Argentina y del Instituto de Ecología Regional (IER-CONICET-UNT), se llevó adelante el 23 de mayo de 2023 una jornada de trabajo destinada a productores y asesores técnicos en la ciudad de Sachayoj, provincia de Santiago del Estero. El IER estuvo


representado por Alberto Galindo, Sofía Nanni, Carolina Monmany y Lorena Escobar.
Participaron de la jornada alrededor de 40 personas, entre productores y asesores de grupos CREA de las regiones de Noroeste Argentino, Chaco Santiagueño, Córdoba Norte e investigadores de INTA, del IER, y técnicos de Estación Experimental Agroindustrial Obispo Colombres, The Nature Conservancy y ProYungas.
En el Taller se identificaron y definieron puntos de mejora co-construidos referidos a la biodiversidad en los establecimientos de productores CREA de la región chaqueña. La actividad consideró dos grandes ejes: espacios de conservación y prácticas de manejo. La labor surge a partir del trabajo conjunto entre el proyecto InBioAgro de CREA, el proyecto Nacional Evaluación, Monitoreo y Manejo de la Biodiversidad en Sistemas Agropecuarios y Forestales de INTA y el equipo del IER, y gracias al apoyo de Land Innovation Fund.


Nota completa: https:// www.contenidoscrea.org.ar /inbioagro-produccion-yconservacion-labiodiversidad-n5326530





Julieta Carilla
Entre el 15 y 20 de mayo, 28 participantes de diferentes países asistieron a un taller en Tucumán para la creación de la red de observatorios socio-ecológicos para los Andes (ROSA). La propuesta busca dar los primeros pasos para el establecimiento de una Red de Observatorios Socio-ecológicos andinos que integre los esfuerzos de monitoreo de la región
El taller resultó en un espacio motivador de intercambio de ideas, información y trabajo conjunto entre investigadores provenientes de todos los países andinos, Brasil, Alemania, UK e Italia, también asistieron representantes de los gobiernos municipales y provinciales y de la Fundación Proyungas. El taller consistió en tres días de: 1) presentaciones y discusiones sobre las bases operativas y conceptuales de la red; presentaciones de los participantes donde expusieron sus intereses relacionados con el monitoreo socio-ecológico andino y se describió al menos un sitio de monitoreo por país para formar parte de ROSA; discusión sobre una zonificación de los Sistemas Socio-ecológicos Terrestres Andinos siguiendo la metodología utilizada por Zarbá y colaboradores (2022); publicaciones y fuentes de financiamiento. 2) Un viaje de tres días para reconocer las principales características socio-ambientales en un gradiente elevacional que incluyó la zona urbana de Yerba Buena y las sierras circundantes de San Javier y el Valle Calchaquí, atravesando biomas contrastantes, desde selvas subtropicales a desiertos. En la excursión, los participantes presenciaron y debatieron las principales pautas y procesos socio-ambientales que han configurado el paisaje en los últimos dos mil años.
El taller corresponde al módulo presencial de una propuesta mas amplia (Participatory Land Observatories for Sustainable Andes: leveraging the tools of Earth observation and land system science to build a network of socio ecological observatories for the Andes), que incluye 2 módulos virtuales adicionales. El taller


fue organizado por el Instituto de Ecología Regional (IER UNT, CONICET), el Instituto de Investigaciones Territoriales y Tecnológicas para la Producción de Hábitat (INTEPH, UNT-CONICET), el Instituto de Geografía de la Freie Universitat Berlín (FUB), con el apoyo de CONDESAN y Global Land Programme (GLP), y financiado por European Space Agency (ESA) y Future Earth.




















Romina Fernandez
Finalmente, después de haber tenido varios talleres de becarios del IPBES de manera virtual debido a la pandemia, este año tuve la oportunidad de participar en un taller presencial . El mismo se llevó a cabo del 9 al 11 de mayo, en la sede de las Naciones Unidas de Nairobi, Kenia y contó con la participación de 25 becarios en total incluyendo becarios de informes que se encuentran en diferentes etapas de desarrollo: informe de especies invasoras, nexus y cambio transformador. El taller empezó con una charla del Sr. Washington Ayiemba, Especialista en Gestión del Programa de las Naciones Unidas para el Desarrollo (UNDP) en Kenia, quien nos contó sobre los beneficios prácticos de las evaluaciones del IPBES. Compartió lecciones importantes y experiencias contextuales sobre cómo los hallazgos de las evaluaciones de polinizadores, degradación y restauración de la tierra han sido fundamentales para mejorar los medios de vida de las comunidades locales y cerrar un poco las brechas entre la comunidad científica y las comunidades locales. Las siguientes actividades del taller tenían la finalidad de que los becarios de distintos informes nos conociéramos, intercambiemos experiencias y desarrollemos capacidades para las actividades que hacemos como integrantes del IPBES.
Más específicamente, durante el taller identificamos temas en común entre los diferentes informes, intercambiamos experiencias sobre nuestro rol en los informes y el de nuestros mentores y discutimos ideas para vincularnos y mantener activa la red de becarios del IPBES.
También tuvimos un par de charlas sobre la inteligencia artificial como herramienta para las investigaciones en general y las evaluaciones del IPBES en particular. Además, durante el taller terminamos de organizar nuestra contribución para el 6th foro de desarrollo de capacidades. Este foro se desarrolló el 12 de mayo en el museo de Kenia, tanto de forma virtual como en persona, y contó con la participación de 160 personas. El evento brindó a los participantes (que fueron mayormente de África) una oportunidad para contar sus actividades que vinculan ciencia y política, intercambiar ideas y presentar recomendaciones para el trabajo de IPBES. Además los participantes tuvieron la oportunidad de familiarizarse con los diferentes informes

en proceso del IPBES mediante charlas y actividades participativas que organizamos los becarios de estos informes.
En medio del taller intenso también tuvimos la oportunidad de conocer, a través de visitas guiadas, la historia de la sede de las Naciones Unidas así como el ecosistema forestal urbano “Karura Forest”. Por motivos principalmente de seguridad pero también para socializar más teníamos organizadas todas las cenas en diferentes restaurantes para explorar la cultura culinaria de Kenia, excepto un día que fuimos invitados a cenar en la casa del embajador de Noruega (debido a que la sede del IPBES se encuentra en Noruega). Todo fue una experiencia inolvidable, compartida con viejos y nuevos amigos y en un lindo lugar; excelente manera de cerrar la etapa de capacitación como becaria de IPBES.


Sala de reunión sede ONU















Desafíos para potenciar la producción agrícola a través del cuidado de la biodiversidad y la salud del suelo
Natacha Chacoff
El 18 de mayo se realizó en Campana, Buenos Aires, este taller que nucleó a distintos actores sociales para compartir experiencias y pensar alternativas para una agricultura sostenible, cuidando de la biodiversidad, la salud del suelo y atendiendo distintos desafíos como el cambio climático global. Al mismo asistieron casi 60 personas de distintas provincias y localidades de Argentina. Por parte del IER participamos Roxana Aragón, Silvio Castillo y Natacha Chacoff
El taller fue coorganizado entre Mariano Devoto (Facultad de Agronomía de la UBA y CONICET), Natacha Chacoff (Facultad de Biología de la UN de Tucumán y CONICET), Mauricio Nuñez Regueiro (The Nature Conservancy) y Leonardo Galetto (UN de Córdoba y CONICET). El taller formo parte de las actividades del proyecto SABIOMA. Nos propusimos como objetivos:
• Compartir experiencias entre distintos actores sociales (del sector productivo, académico y ONGs) sobre la implementación de estudios y prácticas de manejo agrícola sostenibles.
• Presentar programas que se están implementando en relación con la conservación de la biodiversidad y salud del suelo, analizando cuales son los beneficios de aplicarlas en el largo plazo.
• Identificar cuáles son los principales desafíos para poder implementarlas y cuáles serían los principales aportes que podría realizar el sistema científicotecnológico para cubrir vacíos de conocimiento.
Participaron del taller miembros del grupo ACREA que presentaron el proyecto de identificar indicadores de biodiversidad asociados a prácticas agrícolas, también escuchamos la difícil situación que enfrentan quienes arriendan los campos y no tienen incentivos para conservar la biodiversidad (comentaron que los dueños de los campos no se encuentran vinculados a los campos, solo a su renta). Por su parte, el CEO de Syngenta presento también los programas que están llevando adelante en la región pampeana y también se presentaron la implementación de diferentes cultivos de servicio que emplean en Córdoba la empresa AGD. La fundación Proyungas presento el programa de Paisajes Productivos Protegidos, que se lleva adelante en el


NOA, en general vinculado al paisaje citrícola. Ademas escuchamos charlas de programas del INTA y de la fundación TNC.
Luego de esta jornada de encuentro quedó de manifiesto que la biodiversidad, las prácticas agrícolas sostenibles, el bienestar humano y la conservación de la naturaleza, están estrechamente relacionados y son conceptos claves para abordar desafíos ambientales como el cambio climático, la pérdida de biodiversidad, la degradación de la tierra y la necesidad de una producción de alimentos sostenible. Estos desafíos no son independientes entre sí; la conservación de la biodiversidad puede contribuir a aumentar la resiliencia al cambio climático y apoyar el bienestar humano. Es necesario desarrollar nuevos conocimientos teóricos, estrategias para la implementación práctica, mejor formación en los profesionales y mayor capacitación en todos los actores sociales para la gestión sostenible de los agroecosistemas.








Entre el 5 y 9 de junio de 2023 se realizó el taller anual del Comité Científico de Global Land Programme en Tilghman Island, cerca de la ciudad de Maryland, Estados Unidos. En estos talleres se discuten y definen cuestiones como los objetivos de corto y mediano plazo de GLP, las prioridades, y el plan científico de esta comunidad. En este taller particularmente se destinó mucho tiempo a definir algunos aspectos generales del congreso presencial (“Open Science Meeting”) que se realizará en Noviembre 2024, a cinco años desde el último congreso, que esta vez será en las Américas.
GLP (Global Land Programme, glp.earth) es una comunidad interdisciplinaria de ciencia y práctica alrededor del estudio de los sistemas de la tierra y el co-diseño de soluciones para la sostenibilidad a distintas escalas, albergada desde este año por la Universidad de Maryland, USA. Se estructura en un comité científico, que integro desde 2021 junto a 15 personas de distintas partes del mundo; y en grupos de trabajo temáticos y oficinas nodales regionales que llevan adelante distintos proyectos e iniciativas. En cuanto a la “Land System Science” o “Ciencia de los Sistemas Terrestres”, por su naturaleza tan interdisciplinaria y su alcance amplio tal vez cueste más identificarse con este campo de estudio, y al menos a mí me resulta más obvio mi vínculo con la ecología y la conservación. Pero en realidad, al explorar los patrones, agentes causales y consecuencias de la actividad humana y usos de la tierra asociados sobre distintos componentes de los sistemas socioecológicos, engloba muchas de las líneas de investigación que llevamos adelante en el IER. Por eso me parece una comunidad interesante para vincularse e interactuar, en la que además las iniciativas y representación del Sur Global hacen mucha falta.
Además del trabajo en el taller pude visitar un poco Washington, cubierta de humo por diversos focos de incendio en Canadá, (intentar) comer cangrejo y andar en kayak por la bahía de Chesapeake, el estuario más grande de Estados Unidos.








Nunes-Silva, Patrícia; Ramírez-Mejía, Andrés F.; Blochtein, Betina; Ramos, Jenifer Dias; Agostini, Kayna; Vieli, Lorena; Santanna, Manoela; Raguse-Quadros, Mateus; Ibarra, Maureen Murúa; Chacoff, Natacha P.; Cavigliasso, Pablo; Blendinger, Pedro G.; Domingos, Sara Stefani
español https://doi.org/10.5281/zenodo.7770394 portugués https://doi.org/10.5281/zenodo.7770381 inglés https://doi.org/10.5281/zenodo.7770399
El libro comienza con una introducción a los arándanos y su producción en Sudamérica, seguida de una descripción detallada de los diferentes tipos de polinizadores y su contribución a la producción de arándanos. Se discuten las técnicas y prácticas de polinización que se utilizan en la región, y proporcionan recomendaciones para mejorar la gestión de los polinizadores y la producción de arándanos en Sudamérica.
Además, el libro incluye información sobre la ecología y el comportamiento de los polinizadores, y cómo estos factores pueden afectar la producción de arándanos en la región. Los autores también destacan la importancia de la conservación de los polinizadores y de sus hábitats naturales para garantizar la sostenibilidad de la producción de arándanos a largo plazo.
En resumen, el libro utiliza un lenguaje ameno y accesible para el público en general, a la vez que ofrece un recurso valioso para agricultores, investigadores y otros profesionales interesados en mejorar la producción de arándanos

en Sudamérica, al proporcionar información detallada y práctica sobre la polinización y la importancia de los polinizadores en la región.


Halictidae visitando flor de arándano en Brasil






Effects of urbanization on the structure of plant-flower visitor network at the local and landscape levels in the northern Argentinian Yungas forest
Amado, Alejandro; Lomascolo, Silvia & Chacoff, Natacha Front. Sustain. Cities, Sec. Urban Resource Management doi.org/10.3389/frsc.2023.1086076
En este estudio, evaluamos la influencia de la urbanización en el conjunto de visitantes de flores utilizando un enfoque de red de interacción. Evaluamos el efecto de diferentes variables a escala local y de paisaje sobre parámetros comunitarios y métricas de red a lo largo de un gradiente de urbanización ubica-


do en un bosque montano subtropical de Yungas. Encontramos que las variables locales afectaron la riqueza de visitantes de flores, que aumentó con una mayor cobertura de flores, alta estabilidad de los recursos florales y la proporción de plantas exóticas. Además, las variables locales afectaron la diversidad, el anidamiento (NODF) y la especialización (H2) de la red de interacción. Las variables del paisaje, como la altitud y la proporción de la superficie impermeable (un indicador de la urbanización), afectaron tanto la riqueza de los visitantes de las flores como la especialización. El efecto de la urbanización sobre la riqueza de los visitantes de las flores difirió a lo largo del gradiente altitudinal, con mayor impacto en altitudes más altas. En conclusión, nuestros resultados indican que las variables locales y del paisaje afectan los parámetros de la comunidad y la estructura de las redes de visitantes de plantas y flores.

Área de estudio en Jujuy. Se seleccionaron áreas Naturales, suburbanas (periurbanas) y Urbanas)








Redes de interacción entre Flores y visitantes florales: Las cajas verdes corresponden a especies de plantas con flor, mientras que las azules son especies de visitantes florales. Las líneas entre ambas son las interacciones.





Densidad, abundancia relativa y patrones de actividad de Leopardus pardalis (Carnivora: Felidae) en la Reserva Natural y de Usos Múltiples San Pablo, Yungas de Tucumán
Acta Zoológica Lilloana DOI: 10.30550/j.azl/2023.67.1/2023-04-24
Flavia V. Frohlich, A. Sofía Nanni
La Lic. Flavia V. Frohlich, que realizó su tesina en el IER bajo la dirección de Dra. A. Sofía Nanni, publicó recientemente su trabajo denominado "Densidad, abundancia relativa y patrones de actividad de Leopardus pardalis (Carnivora: Felidae) en la Reserva Natural y de Usos Múltiples San Pablo, Yungas de Tucumán" en la revista Acta Zoológica Lilloana. Este trabajo brinda una primera aproximación al estado poblacional del ocelote (Leopardus pardalis) y un aporte a la línea de base de la Reserva San Pablo, una reserva periurbana de las Yungas de Tucumán. El ocelote (Leopardus pardalis) es uno de los 11 felinos presentes en Argentina, y ha sido categorizado como “Vulnerable” (VU), reportando una disminución en sus poblaciones del 25% en la ecorregión Yungas. En este trabajo estimamos la abundancia relativa, densidad, y patrones de actividad del ocelote (Leopardus pardalis) y caracterizamos al ensamble de mamíferos mediano-grandes a lo largo de un gradiente altitudinal (500 a 1400 m s.n.m.) de las Yungas de Tucumán, dentro de en un área protegida privada de 3000 hectáreas. Establecimos 10 sitios de muestreo separados entre sí por 500 a 900 m. En cada sitio ubicamos dos cámaras-trampa enfrentadas para identificar individuos de ocelote a través de marcas distintivas. El esfuerzo de muestreo fue de 1408 días-trampa y registramos 11 especies de mamíferos mediano-grandes (nueve especies nativas y dos exóticas: el perro doméstico y la liebre). La densidad estimada de ocelotes fue de 15,2 ind/100 km2, un valor similar a los obtenidos en la Selva Paranaense de Misiones (17,6 ind/100 km2), el cual requiere un esfuerzo más exhaustivo de muestreo para corroborarse. Este estudio brinda una primera aproximación sobre el estado poblacional del ocelote, y un importante aporte a la línea de base de la Reserva San Pablo.




Foto 1. Algunas especies de mamíferos de mediano y gran tamaño registrados por las cámaras-trampa en la Reserva San Pablo. Arriba – izquierda: individuo de mayuato, Procyon cancrivorus; derecha: individuo de zorro de monte, Cerdocyon thous. Abajo – izquierda: individuo de hurón mayor, Eira barbara; derecha: individuo de corzuela parda, Mazama gouazoubira.





Anthropocenehttps://doi.org/10.1016/j.ancene.2023.100382
NAVARRO C, CARILLA J, OSINAGA O,NIETO C, OVEJERO R, GRAU HR.
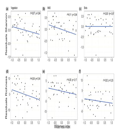
La Puna argentina es un ejemplo de “rewilding” de la comunidad de herbívoros, en donde los camélidos silvestres se recuperan mientras el ganado europeo disminuye. Las vegas son el ecosistema más diverso y productivo de la Puna. En este trabajo evaluamos la hipótesis de que las vegas pastoreadas por herbívoros nativos tienen más biodiversidad que las pastoreadas por ganado doméstico, en base a 50 vegas distribuidas entre 3200 y 4700 metros de altitud, donde se relevó la comunidad de aves, plantas y macro-invertebrados acuáticos. Usamos escalamiento multidimensional (NMDS) para desarrollar un índice de “silvestría” que combina distintas variables de uso ganadero (heces, puestos, accesibilidad, conteos de herbívoros a campo). En general, la diversidad de los distintos grupos se correlacionó negativamente con la altitud y el área de las vegas, de modo que controlamos estadísticamente estas variables para evaluar la relación entre biodiversidad (riqueza de especies e índice de Shannon) y el índice de silvestría. Mientras la diversidad de aves no mostró correlación, la diversidad de plantas y macro-invertebrados tiende a aumentar ligeramente hacia los sitios con pastoreo doméstico; rechazando nuestra hipótesis original. Posibles explicaciones de este patrón incluyen: (1) la diversidad de microhábitats generado por una comunidad de herbívoros diversa (ovejas, vacas, cabras, llamas, burros, caballos); comparado con solo camélidos en los sitios de alta silvestría), (2) manejo del régimen hidrológico e intensidad de pastoreo en las vegas “antropizadas”, que les otorga estabilidad, (3) dinámica de la herbivoría que promueve la dominancia de ciertas plantas. En líneas generales, los resultados rechazan la hipótesis de que el “rewilding” de la herbivoría resulta en un aumento de la biodiversidad, y enfatiza la importancia de entender los mecanismos socio-ecológicos mediante los cuales el uso antrópico, incluyendo la ganadería) contribuyen a mantener la biodiversidad de estos ecosistemas.



Relación entre “wilderness” de la vegas y diversidad de plantas y macroinvertebrados acuáticos.






Ecología Austral
Grau HR
RESUMEN. Como complemento de un artículo previo (Grau 2022) presento cinco grupos de hallazgos que desafían posturas bastante establecidas en la comunidad de ecólogos y ambientalistas. La incidencia de catástrofes de origen climático sobre la población y la infraestructura ha disminuido dramáticamente, en buena medida debido al progreso económico. Las poblaciones de abejas están aumentando y, aún si disminuyeran, su efecto sobre la seguridad alimentaria del planeta sería menor. Las estimaciones sobre daños económicos de las especies exóticas son frecuentemente exageradas, sin un adecuado balance de costos y beneficios. El consumo local generalmente no disminuye la “huella de carbono” y no tiene ventajas nutritivas. El ganado europeo puede aumentar la diversidad de herbívoros y las comunidades asociadas, y puede contribuir a mitigar los efectos de las extinciones asociadas a los humanos originarios. Para promover una ciencia ambiental más rigurosa y menos dogmática sugiero: aceptar de manera más explícita que el cambio (incluyendo migraciones y extinciones) es parte constitutiva del funcionamiento de los (socio) ecosistemas; enfatizar que los cambios ambientales deben evaluarse mediante el análisis de tendencias de largo plazo, discriminando entre relaciones causales y correlacionales, y no por la mera apreciación de eventos discretos; preservar el rol “esencial” de la ciencia, consistente en la valoración de los enunciados en función de su consistencia con la realidad, no por su funcionalidad a determinadas agendas políticas o ideológicas; incentivar de manera proactiva las iniciativas científicas que desafíen “consensos” o creencias dominantes, como motor de investigaciones creativas y profundas basadas en datos.




Evolución en los últimos años de (arriba) percepción de los efectos negativos del clima, (al medio) numero de muertes por cada 100 000 habitantes en un radio de 50 km de eventos climáticos catastróficos, (abajo) daños materiales en proporción al capital material existente. Formetta G, Feyen L. 2019. Empirical evidence of declining global vulnerability to climate-related hazards. Global Environmental Change 57, https://doi.org/10.1016/j.gloenvcha.2019.05.004




Maldonado, M. B., Serrano, A. M., Chacoff, N. P., & Vazquez, D. P.
Ecología Austral (2003) https://doi.org/10.25260/EA.23.33.2.0.2075
Los escarabajos estercoleros pueden influenciar la emergencia y supervivencia de plántulas. Sin embargo, la dirección y la magnitud de este efecto dependerá de los atributos funcionales de la comunidad de escarabajos estercoleros y de las condiciones ambientales dominantes. Estudiamos el rol de los escarabajos estercoleros en la dispersión de semillas de Prosopis flexuosa DC. en un ambiente árido. Realizamos un estudio experimental para evaluar la efectividad de cuatro especies de escarabajos estercoleros en la dispersión secundaria de semillas. Para ello, seleccionamos cuatro especies de escarabajos estercoleros que pertenecen a distintos grupos funcionales: levantadores, cavadores y rodadores. Los escarabajos estercoleros removieron entre 0.7%-7.5% de las semillas embebidas en el estiércol de vaca. El efecto neto de los escarabajos sobre la emergencia de plántulas y su supervivencia varía marcadamente entre especies: Malagoniella puncticollis (rodador) tuvo un efecto neutro sobre la emergencia de plántulas y positivo en la supervivencia. Sulcophanaeus imperator, Digitonthophagus gazella (cavadores) y Eucranium arachnoides (levantadores) tuvieron un efecto positivo sobre la emergencia de plántulas; sin embargo, el efecto de S. imperator sobre la supervivencia de plántulas fue negativo, y los efectos de D. gazella y E. arachnoides, neutros. Nuestros resultados indican que, aunque los escarabajos estercoleros remueven pocas semillas de P. flexuosa, su rol principal consistió en cambiar las condiciones microambientales para las semillas que permanecen en el estiércol.








Monitoreo Socio-Ambiental de Largo Plazo en los Andes: Estado del Arte, Gaps de Conocimiento y Prioridades para una Agenda Integrada “Long-Term Environmental and Social Monitoring in the Andes: State of the Art, Knowledge Gaps, and Priorities for an Integrated Agenda”
Julieta Carilla , Ezequiel Aráoz , Oriana Osinaga Acosta , Agustina Malizia, Matilde Malizia , Yohana Jimenez , Manuel Peralvo , Alexandra Garces , Geovanna Lasso , Luis Daniel Llambí.
Mountain Research and Development https://doi.org/10.1659/ mrd.2022.00018
Esta publicación surge a partir de un convenio entre el IER, el Instituto de Investigaciones Territoriales y Tecnológicas para la Producción del Hábitat (INTEPH, UNT-CONICET) y el Consorcio para el Desarrollo Sostenible de la Ecorregión Andina (CONDESAN) para elaborar una agenda de investigación orientada en los monitoreos socioecológicos a largo plazo (LTSEM) en la región andina.
Para esto, recopilamos información sobre iniciativas de monitoreo a largo plazo en los Andes e identificamos los vacíos de conocimiento y las prioridades de monitoreo. Llevamos a cabo dos reuniones participativas y transdisciplinarias (el conversatorio “Hacia una agenda de investigación para el monitoreo integrado de los socioecosistemas andinos” y la sesión de inmersión "Desarrollo de una agenda de investigación para el análisis integrado de monitoreos socioambientales en los Andes” en el marco de la XXIX Reunión Argentina de Ecología -RAE-, 2021), para diseñar un modelo conceptual sobre el funcionamiento de los Sistemas socioecológicos (SES) andinos y de la gestión del conocimiento asociada. Este modelo representa cómo los distintos actores se articulan en la gestión de los SES en un contexto de cambio ambiental global, y los flujos de información relevantes para LTSEM (Figura 2).




Distribución geográfica de los sistemas de monitoreo en los Andes detectada mediante encuesta electrónica y búsqueda bibliográfica.




El modelo se contrastó con 239 registros de monitoreos existentes identificados a través de una encuesta electrónica, búsqueda bibliografía y sistematización de redes en los Andes (Figura 1). Observamos que la mayoría de los LTSEM están relacionados a temas biofísicos, habiendo una subrepresentación de aspectos sociales e iniciativas participativas.
Las principales prioridades de investigación que identificamos abogan por (1) el desarrollo de modelos integrados de los SES andinos enmarcados en un enfoque transdisciplinario en estudios a largo plazo, (2) la coordinación de LTSEM independientes para predecir el funcionamiento de los SES andinos en escenarios de cambio ambiental, (3) la inclusión de dinámicas y forzantes externos en los sistemas andinos, (4) la promoción del diálogo entre ciencia y política para lograr una gobernanza más eficaz de los SES de montaña, y (5) mayor accesibilidad a la información para mejorar la capacidad de adaptación de los SES andinos.






Figura 1. Modelo conceptual sobre el funcionamiento de los SES andinos y de la gestión del conocimiento. Sistemas indicados en verde, actores en azul, procesos en naranja y las interacciones con flechas rojas. El grosor de las flechas representa el número de registros de la base de datos que hacen referencia a esa interacción en función de las etiquetas asignadas a los 239 registros recopilados (encuestas electrónicas, revisión bibliográfica y redes recopiladas) para los sistemas LTSEM andinos.





South American mountain ecosystems and global change – a case study for integrating theory and field observations for land surface modelling and ecosystem management
Plant Ecology & Diversity, DOI: 10.1080/17550874.2023.2196966
Laszlo Nagy, Cleiton B. Eller, Lina M. Mercado, Francisco X. Cuesta, Luís D. Llambí, Erika Buscardo, Luiz E. O. C. Aragão, Carlos García-Núñez, Rafael S. Oliveira, Milton Barbosa, Sergio J. Ceballos, Marco Calderón-Loor, G. Wilson Fernandes, Ezequiel Aráoz, Ariadna M. Q. Muñoz, Ricardo Rozzi, Francisco Aguirre, Esteban Álvarez-Dávila, Norma Salinas & Stephen Sitch (2023)
De manera creciente los científicos identifican la necesidad de integrar información proveniente de diferentes sistemas de estudio para entender los procesos que controlan el funcionamiento de los ecosistemas a escalas continentales y globales. Esto es particularmente válido para los sistemas de montaña que naturalmente presentan amplia variabilidad y marcados gradientes ambientales. Dada la diversidad de procesos que influyen sobre los ecosistemas y la variedad de datos disponibles, los modelos de simulación se presentan como una herramienta necesaria para integrarlos.
Un reciente artículo publicado en Plant Ecology & Diversity, del cual participan miembros del IER busca recopilar la información existente sobre dinámica de vegetación en sistemas montañosos de Sudamérica y analiza cómo estos datos podrían contribuir a la parametrización de modelos globales de dinámica y funcionamiento de la vegetación. En el artículo se resume información publicada de ocho sitios de muestreo y se identifican aquellos que cuentan con información adicional sobre clima, suelos y ecofisiología. Se analizó la disponibilidad de información con los requerimientos de JULES (Joint UK Land Environmental Simulator), un modelo de funcionamiento de vegetación para identificar los principales vacíos de conocimiento. Además, se hicieron simulaciones de la dinámica de la vegetación usando JULES con parámetros tomados de algunos de los sitios considerados con dos fines. Por un lado se identificaron las principales asociaciones entre procesos climáticos y ecofisiológicos con la dinámica de la vegetación y por otro lado se evaluó la consistencia entre la línea de bosque predicha por este modelo con la estimada por conocimiento de expertos. El modelo muestra que la reducción de la temperatura asociada con la elevación reduce la respiración y la alocación en biomasa aérea aumentando el secuestro de carbono en suelo. La com-

paración de los patrones simulados y la estimada por expertos mostró resultados poco concluyentes. En el trabajo se encuentra un importante vacío de conocimiento para entender la dinámica de la vegetación bajo contextos de cambio ambiental global, por lo que es necesario implementar redes de estudio transdisciplinario que utilicen protocolos estandarizados para integrar la información a escala local y regional. La necesidad de contar con redes de análisis y monitoreo integrado es percibida como un factor limitante en diversos estudios. El Instituto de Ecología Regional junto a diferentes socios locales e internacionales va ganando protagonismo a la hora de resolver esta falta de conocimiento a escala regional que a la vez genere información relevante para tomadores de decisiones locales. Un ejemplo de esto es el rol preponderante es la reunión recientemente desarrollada en Yerba Buena con participación de investigadores de todos los países andinos para sentar las bases para la creación de la Red de Observatorios Socio-ambientales de los Andes (ROSA):







Romina D. Fernandez, Phillip J. Haubrock, Ross N. Cuthbert, Gustavo Heringer, Melina Kourantidou, Emma J. Hudgins, Elena Angulo, Christophe A. Diagne, Franck Courchamp & Martin A. Nuñez
Scientific Report 13, 8945 (2023). https://doi.org/10.1038/s41598-023-35802-4
Los altos impactos ecológicos de muchos árboles exóticos invasores han sido bien documentados. Sin embargo, hasta la fecha, no contamos con una síntesis de sus impactos económicos, lo que dificulta las acciones de gestión. Aquí resumimos los registros de costos de los árboles invasores para (I) identificar los árboles invasores con información de costos y sus ubicaciones geográficas, (II) investigar los tipos de costos registrados y los sectores afectados por los árboles invasores y (III) analizar las relaciones entre las categorías de usos de árboles invasores y los costos de invasión atribuidos a

Figura 1. Distribución espacial de los registros de costos de árboles invasores. El mapa muestra con un gradiente categórico de color los países con el costo más alto (negro) a más bajo (crema) registrado de árboles invasores. Los países sin informes de costos observados están en blanco. El mapa también indica el número de referencias que reportan costos de árboles invasores por país con el tamaño del nodo verde.


estos usos. Encontramos registros de costos confiables solo para 72 árboles invasores, acumulando un costo total informado de $19,2 mil millones entre 1960 y 2020. La agricultura fue el sector con los mayores registros de costos asociado a las invasiones de árboles exóticos. La mayoría de los costos fueron por daños y pérdidas de recursos ($3.500 millones). Es importante prestar mucha atención al sector ornamental para reducir el impacto económico de los árboles invasores, ya que la mayoría de los árboles invasores con registros de costos se introdujeron para ese uso. A pesar de los costos masivos informados de los árboles invasores, sigue habiendo grandes lagunas de conocimiento sobre la mayoría de los árboles invasores, sectores y escalas geográficas, lo que indica que el costo real de la invasión de árboles está muy subestimado. Esto destaca la necesidad de más esfuerzos de investigación y más ampliamente distribuidos con respecto al impacto económico de los árboles invasores.


Figura 2. Usos de árboles invasores con registros de costos. La altura del árbol muestra la cantidad de especies de árboles invasoras para cada categoría de uso y el número en la parte superior muestra el costo total incurrido, también indicado por sombras de verde, con un verde más oscuro representando los costos más altos.


Alfredo Grau
Hace unos 16 años, Mario Reyes, puestero de Los Cardones me comentó que los burros estaban desesperados por forraje y que se estaban comiendo los cardones. No parecía un comentario creíble. ¡Comerse un cardón! Unos años después, en 2014, con muchos cardones cercanos a la ruta 307 dañados a la vista, decidimos hacer un muestreo y encontramos que casi el 20% de ellos habían sido comidos por burros. Desde entonces ha habido otros años extremadamente secos en la zona y la población de burros, presumiblemente aumentada, ha seguido impactando sobre los cardones. A instancia de la Dirección de Flora, Fauna y Suelos (DFFS) de la provincia de Tucumán encaramos un nuevo muestreo, que arrojó resultados más negativos que en 2014. El 25% de los cardones de la zona están muertos y otro 25% están seriamente dañados, en su mayoría anillados en todo su perímetro, y morirán en los próximos años. Estos cardones maduros tardaron más de un siglo en llegar a su tamaño actual (probablemente algunos siglos).
Es notable como los burros en situaciones de crisis de forraje han aprendido a destruir la cubierta de espinas y consumir todo el material blando del tallo. Felizmente hay en muchos lugares una buena densidad de renovales (<25 cm, edad probable hasta unos 30 años de edad (¿?)) y juveniles, 25-200 cm, edad probable entre 30 y 100 años (¿?)). Tanto renovales como juveniles tienen ningún daño o muy poco.
En los próximos meses discutiremos con la DFFS un programa que incluya estudios más amplios y detallados, y alternativas de control, conjuntamente con pobladores de la comunidad de Amaicha del Valle.


Entre el 1 y 12 de junio recibimos en las cúpulas la visita de Julián, becario doctoral del Laboratorio de Investigación de Sistemas Ecológicos y Ambientales (LISEA) de la UNLP. Durante su estadía tuvimos la oportunidad de aprender sobre aspectos metodológicos del análisis de discurso, pero en particular, de discutir el concepto de “Bioeconomía”, un tema que Julián está abordando recientemente desde la perspectiva del sector forestal industrial en el Cono Sur.
¿Por qué decidiste centrar tu análisis en la bioeconomía?
Creo que al leer con relativa frecuencia noticias, entrevistas, informes desde y sobre lo forestal, comencé a notar la recurrencia de esta voz: bioeconomía. Digamos que el encuentro primero despertó cierta curiosidad y posteriormente una intuición sobre su relevancia para reflexionar sobre nuestros bosques, el sector forestal en términos amplios y su futuro. Fijate, en julio Argentina será sede de una conferencia anual (ICABR) de considerable prestigio en esta comunidad epistémica internacional de la bioeconomía. La elección de Argentina como asiento (por primera vez en LATAM) no me parece casual: creo demuestra no solo cierta entidad del país en esta agenda global, sino también el hecho de que, aunque no sea parte de nuestras conversaciones cotidianas, la bioeconomía se ha consolidado como parte de la agenda política argentina, algo no menor en un país que es con frecuencia descrito como pendular.
En este marco me pareció interesante primero indagar más sobre este concepto de naturaleza bastante esquiva, exuberancia conceptual y reflexionar sobre su capacidad de convocar debates intensos, pero también determinados consensos que le permiten sostenerse políticamente.
Decís que el concepto de la bioeconomía es de naturaleza esquiva, ¿a qué te referís con esto?
Si una hace el ejercicio de googlearla, enseguida comienza a notar que hay algo extraño sucediendo con la bioeconomía: no hay una definición consensuada
y por lo general no se entiende bien qué es y qué no es. ¿No es muy interesante esto? Un concepto que se ha expandido por la agenda global, institucionalizado mediante políticas, normas, burocracias, sellos, acuerdos internacionales, es decir con una aplicación tangible en nuestra realidad, un término que es parte del discurso de numerosos actores que incluso la presentan como la revolución industrial de nuestra era (o una oportunidad global histórica hecha a la medida de la Argentina), y que, no obstante, hace gala de una ambigüedad y polisemia fascinantes.
Pero entonces, ¿qué es la bioeconomía?
Podría darte mi visión, o copiarte la definición de FAO o de cualquier otre, sobre qué es la bioeconomía, pero no creo exista una única respuesta sobre qué es la bioeconomía ni, aún más relevante, qué no lo es. En cualquier caso, a tono con la época, podría hablarse de bioeconomías, en plural.
Quizás sea útil historizar a la bioeconomía. Partamos de su acepción más simple: prefijo griego bio- (vida) más economía. Esto podría interpretarse como una economía basada en recursos biológicos que bien podría incluir desde las culturas cazadoras recolectoras prehistóricas hasta la modificación gen por gen de cualquier ser comerciable. De hecho, no son pocas las personas que aún preservan esta interpretación generosa y desde esa perspectiva hace siglos se han realizado estudios, tales como los de Cotta o Baranoff. Sin embargo, se suele conceder que el uso concreto del término comienza con las incursiones teóricas del rumano Nicholas Georgescu-Roegen, personaje bastante interesante, por cierto, en la década de 1970. Georgescu se dedicó a contraponer el sistema económico con los fundamentos termodinámicos, principalmente la entropía, focalizándose en la finitud de los recursos y su desigual distribución. Ante una época de agoreros del crecimiento económico ilimitado, él auspiciaba la necesidad de responder institucional y políticamente para compatibilizar el desarrollo económico con los límites planetarios. Propone, entonces, el proyecto de la bioeconomía que entre otros elementos incorpora la necesidad del decrecimiento económico para el entonces llamado primer mundo, incluyendo un nuevo sistema social de valores y organización. Esta línea de pensamiento derivaría luego, a su pesar, en lo que hoy se llama economía ecológica.
El término bioeconomía, por otro lado, quedaría en un estado político de relativa latencia hasta que a inicios del siglo XXI es incorporado por la OCDE y la Unión Europea a una serie de documentos políticos que tendrían un gran impacto. Esta nueva visión de la bioeconomía distaba lo suficiente de la precedente y emergió principalmente en clave de promesa configurándose como motor de la reestructuración económica global en épocas donde la sustentabilidad es parte de la obligatoriedad discursiva. Cual panacea, permitiría armonizar el crecimiento económico, el medioambiente y las crisis sociales gracias a los avances tecnológicos, en particular los biotecnológicos. En tanto esta amplitud conceptual permitía contentar múltiples demandas, como un óptimo de Pareto, la bioeconomía fue aceptada rápidamente por muchos actores y comenzó un proceso de expansión global acompañado por la participación activa de distintos agentes internacionales. Entonces, en un ejercicio de simplificación muy grande, algunos autores actuales reconocen al menos dos grandes familias de visiones de bioeconomía: una más cercana a los preceptos de Georgescu-Roegen, que podríamos considerar preocupada por los límites bioplanetarios, y otra de índole más cornucopiana, donde la sustentabilidad de la creciente presión sobre los recursos naturales estaría garantizada por los avances tecnológicos.
Es decir que fue mutando con el tiempo
Podría decirse, pero esas mutaciones no necesariamente fueron reemplazando totalmente a las anteriores. Acerquémonos a la bioeconomía desde otro lado, saltimbanqueando conceptualmente distintas recurrencias de significantes y narrativas. Por ejemplo, Argentina la define como “producción sustentable de bienes y servicios a través del uso o transformación de recursos biológicos”; algunos focalizan en un mayor uso de recursos de origen biológico como reemplazo de combustibles fósiles; otros, como los norteamericanos, hacen hincapié en la investigación y la innovación en las ciencias de la
vida y la biotecnología; los georgescunistas de primera hora dirán que se trata de aplicar una perspectiva radicalmente ecológica al modelo económico; otros puntualizan la circularidad, otros los saberes ancestrales, no falta quien vea la bioeconomía hasta abajo de la cama e incluso algunos se animan a decir sin pudores, como en un artículo de la Deutsche Welle, que “está destinada a resolver los grandes problemas de nuestro tiempo: el cambio climático, la extinción de especies, los pesticidas, los suelos agotados”. Estas son algunas de las recurrencias discursivas. Pero entonces, ¿de qué hablamos? Naves espaciales hechas de fibra de bambú y tirantes de camas hechos con pallets encontrados en la calle, biofármacos 15.0 y recetas medicinales ancestrales, cultivos transgénicos resistentes a la desolación y huertas agroecológicas de subsistencia, mi humilde composterita y los megafeedlots, la leña del monte chaqueño, los pellets de pino en Misiones y el biodiesel de soja santafesino. Cualquiera de estos bienes es susceptible a ser llamado bioeconomía o no, dependiendo del interlocutor. La pregunta es cómo acercarse analíticamente a un concepto tan escurridizo. Yo creo que una categoría útil para pensar a la bioeconomía es la de significantes flotantes.


¿Qué son los significantes flotantes?
Los significantes flotantes son un elemento crucial dentro de la teoría post-estructuralista del discurso Laclau y Mouffe. Se trata, de forma simplificada, de elementos discursivos privilegiados que son característicamente ambiguos y cuyo significado fluctúa, o flota, entre diferentes sistemas significantes, incluso algunos antagónicos. Es decir, hay un clivaje que el término soporta hasta cierto punto. Por ejemplo la bioeconomía, bien podría significar bioproductos de alta tecnología de una multinacional o la producción ancestral de las comunidades originarias amazónicas. En definitiva, lo que permite poner en evidencia el concepto de significantes flotantes, es la lucha hegemónica por definir el sentido de la bioeconomía, es decir fijarlo parcialmente a una configuración significativa particular o cadena equivalencial mayor de la cual a la vez se vuelve representante, en una operación que requiere excluir en antagonismo otros sentidos. En otras palabras y siguiendo el ejemplo anterior, la bioeconomía bien podría significar un proyecto político que tenga como horizonte proteger las formas de vida y producción de los pueblos amazónicos como también ser plataforma política que impulse a las empresas y productores que conducen el avance de la frontera agropecuaria sobre ese mismo ecosistema. En última instancia, que la bioeconomía sirva para nombrar e impulsar un modelo y no el otro será el resultado de una lucha política donde las palabras, como decía Moretti, son importantes.
Tus estudios se enfocan en la bioeconomía de base forestal en Argentina, tenía pensado pedirte un pantallazo de eso, pero nos está quedando larga la nota. ¿Esperamos tenerte de nuevo por acá? ¿Cómo te sentiste estas dos semanas?
No faltará oportunidad! Estoy muy contento de haber pasado por acá, un lugar muy interesante en múltiples sentidos, y sobre todo donde me han recibido con una gran calidez por la cual les estoy enormemente agradecido.

Mariano Ordano
Una definición de selección natural se representa con la relación entre la variación en rasgos individuales y la variación en número de descendientes de cada ser individual en una población. Representado en ejes cartesianos sería una x para el rasgo y una y para la descendencia (o un estimador de desempeño individual), en un conjunto de individuos de una población. La forma de esta relación esbozada por los puntos en el espacio de los ejes x e y, luego ajustada por modelos generales, es como un dispositivo de investigación que usamos para predecir, o sugerir, cómo se moverá el paisaje fenotípico.
Es una abstracción que permite adecuarse al presente, aún a escala humana.
¿Cómo opera la selección natural? ¿Para dónde llevamos la evolución de los fenotipos, de las interacciones, de los ensambles? ¿Podemos predecir algo de esto? La ecología evolutiva, de carismas diversos, algunos en tierras yermas, aborda estas preguntas. Suele llevar etiqueta de microevolución.
**La evolución como proceso ecosistémico: dinámicas eco-evolutivas en mutualismos planta-animal** (PICT-2020-SERIEA-02418, titular Santiago Benitez -Vieyra, IMBIV, UNC-CONICET)

Alguna vez ocurrió al menos una conversación a finales del siglo pasado en México. César Domínguez comentaba sobre lo que decía Carlos Cordero, es interesante que la selección predice el pasado. Cada ser porta información del pasado. La manifestación fenotípica de hoy es resultado de presiones selectivas del pasado. En un gerundio compuesto y estirado en el tiempo y el espacio, estamos intentando estimar la superficie fenotípica en el paisaje del presente. Apenas estamos tomando dimensión del asunto.
Por ahora, junto con varias personas del IER , desarrollamos y participamos de los proyectos.
**Ecología evolutiva aplicada al nivel de infestación por moscas de las frutas en sistemas cultivados y naturales: escenarios selectivos vinculados al contexto de paisaje en el noroeste argentino** (PIP 11220200102989CO, titulares Mariano Ordano, Pablo Schliserman, CREAS, UNCA-CONICET).



https://www.lagaceta.com.ar/nota/992245/sociedad/becariaconicet-fue-reconocida-como-orgullo-tucumano.html
Juliana Ruiz Barrionuevo, becaria doctoral de nuestro instituto, fue distinguida por el Ministerio de Educación de la provincia de Tucumán como "orgullo tucumano" por su destacada trayectoria profesional.

Durante un semestre desarrolló parte de su tesis, titulada
“Potencial de las larvas de polillas de la cera Achroia grisella F. y Galleria mellonella L. (Lepidoptera, Pyralidae) como biodegradadoras de materiales plásticos”, en el Laboratorio de Microbiomas de la Universidad de Puerto Rico, y recientemente fue seleccionada por el Consejo Federal de Inversiones (CFI) para una beca de estancia
doctoral corta que le permitirá regresar a Puerto Rico para realizar análisis complementarios de su doctorado.





Bombus pauloensis visitando una flor de Arandano en Tucumán – Argentina. Foto: Andrés F. Ramírez-Mejía;
Cadeguala occidentalis (Colletidae) en Chile.
Foto Lorena Vielli



Kayak en la Bahia de Chesapeake. Foto Sofía Nanni

Fotografía de individuo de ocelote, Leopardus pardalis, registrado por una cámaratrampa en la reserva San Pablo. Foto Flavia Frohlich

