ppv30i16

Page 1


born in the earliest years of the 21st century. The seed had been planted well before then that Door County’s beauty may only be skin deep. We had learned about the vulnerability of our geography. “Poison in Paradise,” blared the 1971 Milwaukee Journal headline about contaminated drinking water. But early-aughts events acted as a local clarion call. Swimmers became ill from the water. People were sickened by a large septic-system failure. The beachwater monitoring program began. A septic-system survey would follow. Well-testing started.

Door County has now amassed a couple decades worth of programs, practices and data for the earliest of the water-quality programs. We wanted to know what we’ve learned, what we’ve done, what continues to challenge us, how we’ll proceed in the future to protect this vital, life-sustaining resource.

In this issue, our staff dives deeply into the numerous ways we keep our groundwater safe, whether it’s the drinking water used by a majority of the peninsula’s residents, or the private onsite wastewater treatment systems so many of us rely upon. We look at the 20 years of data to learn how our beach-water quality has improved, what caused those improvements and what challenges are ahead.

Some contributors have joined us. Bill Berry, a Stevens Point-based journalist and author who’s covered the environment and conservation in northeast Wisconsin for five decades, talks about the efforts being made to help the Great Lakes find balance.

Former Pulse reporter Jackson Parr, now working with Wisconsin Sea Grant, explains why more of us should be thinking about rainfall. Our Door to Nature columnist, Charlotte Lukes, reminds us how important wetlands are to wildlife.

What you won’t find here is every threat to every type of water body. Given the enormity of this topic, we trained our focus, zeroing in on the health of groundwater, drinking water and recreational water – the water we need and use everyday; the water that called so many of us to live and visit here.

Our annual Sustainability issue seeks to illuminate topics that are essential to our health and wellness on this peninsula; essential to the health and wellness of this planet. There is no more vital resource than water. We hope you’ll learn in these pages – as we have – what we’re doing to protect ours.

on the cover Water is all around us. Thanks to those who work hard to keep it safe. “County of Water” art by Katie Hohmann.

editor

Megan Schneider

courier The Paper Boy, LLC

distribution experts Jeff Andersen, Chris Eckland, Todd Jahnke, David Nielsen, Gavin Jahnke, Guy Fortin, Dan Farrell

office manager Ben Pothast

inside sales/assistant office manager Kait Shanks

chief technology officer Nate Bell

contributors Bill Berry, Jackson Parr, Charlotte Lukes, Myles Mellor, Midwest Independent Booksellers Association, Kevin Naze, Wisconsin Humane Society Door County Campus. office dog Oxford Blue publisher David Eliot owners David Eliot and Myles Dannhausen Jr. founders David Eliot and Tom McKenzie Peninsula Pulse,

Wherever you are in Door County, you don’t have to go far to hit water. The peninsula is well-known for its stunning lakeshore views and all that’s needed for your water recreation of choice. What’s not as well-known is just how much of the county’s land mass consists of water.

Door County has a total area of 2,370 square miles, according to data from the U.S. Census Bureau, the U.S. Geological Survey and the Door County Geographic Information Systems mapping functions. But only roughly 483 square miles of that is land. Water makes up the other 1,887 square miles of the county – about 79.6 percent of it.

Compare that with the rest of Wisconsin – only 17.3 percent of Wisconsin’s land mass consists of water (the state’s total area consists of 54,153.1 square miles and of that, 11,326.9 square miles is water, according to the U.S. Census Bureau). The U.S. as a whole is only 7.3 percent water (3,532,316 square miles of land, with 277,209 square miles of that water, according to the Census Bureau.

Hydric Soils & Wetlands
& Ponds
Bays & Harbors

Two Decades and Counting of Beach Water Monitoring

We’ve come a long way, baby

It’s not uncommon today for recreational swimmers and beachgoers to check online to learn about the health of the beach they’re intending to visit to learn if there are advisories or closures reported.

There are even signs at most beaches to inform beachgoers whether the water is safe for swimming, some of those signs cellular-connected for instant notification.

It’s also common for a group of college interns to arrive in Door County each summer with the job of taking more than 1,200 samples over the course of the summer at roughly 32 of Door County’s 54 beaches so they can alert beachgoers whether the water is safe for swimming.

It’s easy to forget that more than 22 years ago, none of this happened. Twenty-two years ago, no one had even made the connection that beach water becomes contaminated with E.coli to such an extent that it presents a human health hazard for swimmers.

Twenty-two years ago, the idea of public health closing a Door County beach during the height of the summer season was akin to public health requiring masks during the pandemic.

“We closed the beach which, at the time, was a radical and controversial intervention,” is the way it was put to the Peninsula Pulse by Sue Powers, Door County Public Health officer/manager, back in 2022 before she retired.

Powers was recalling when she, back in 2002 and as head of her department, made the decision to close Nicolet Bay Beach after 68 Peninsula State Park campers who swam at the beach developed gastrointestinal illness. No one knew why, how or what had caused the illnesses, Powers recalled. It required an investigation, with the connection eventually made between the illnesses and water contaminated by avian, animal or human feces.

The next year in 2003, the beach-water monitoring program was born – a coincidental occurrence, said Greg Kleinheinz, who chairs the University of WisconsinOshkosh’s Department of Engineering and Engineering Technology. A few years earlier, the federal BEACH (Beaches Environmental Assessment and Coastal Health) (BEACH Act) was signed into law on Oct. 10, 2000, amending the Clean Water Act. The BEACH Act required the Environmental Protection Agency (EPA) to develop performance criteria for testing, monitoring and notifying public users of possible recreation water problems.

From there, money became available for states, and Wisconsin was all in, as was Door County, Kleinheinz said. The Door County Public Health Department, which receives money from the Wisconsin Department of Natural Resources for the beach monitoring program, has contracted with Kleinheinz to perform the monitoring since the program’s inception. He, in turn, created and continues to oversee the college intern program and data collection.

The program monitors E. coli in the water – which indicates the water is likely to be contaminated by feces, increasing the risk of exposure to pathogens that can cause illness. If the E.coli level hits advisory-or closure-level EPA standards, the interns post the beach accordingly.

That program as it exists today has evolved significantly two decades later, with the college interns embedded for the summer within the community, and local lab analysis implemented at Crossroads at Big Creek so that samples don’t have to be mailed. Standardized testing parameters have also been developed that guide when, where and how those students are collecting their beach water samples.

“Everything is getting treated the same way,” Kleinheinz said. “So if something happens, everybody is operating with the same rule book.”

Had this monitoring program been around back in 2002, the odds would have been exponentially greater

of detecting the contamination before people came into contact with it, Kleinheinz said.

“The beach would have been closed immediately at Nicolet and a lot of the people who ended up getting sick would not have had contact with the water,” he said.

The Search for Source Identification

The beach-water monitoring was underway across the state by 2004, and many beach communities were satisfied with testing the water and notifying the public as needed. Not Door County.

“Door County wanted to know what was causing it and what could be done about it,” Kleinheinz said.

There were a number of early-year theories of source identification – “Originally, people thought it was coming from Chicago or Menominee,” Kleinheinz said – but eventually, they learned the sources of E.coli were local, with Kleinheinz’s interns also joined that search.

“We were even sampling storm drains,” Kleinheinz said. “In the middle of the summer when it rained these students would go out and collect samples and we would relate that back to how long it would take from the storm drain to the beach.”

He said they have learned over the years through biological testing that in most cases in Door County today, the fecal contamination causing E.coli levels to spike is from avian species.

“Most of the time it’s them doing their business on the shoreline and when it rains that stuff all washes in,” he said – whether directly over the feces or from the beach sand where E.coli remains for a long time if the beach conditions are favorable (see related story on mitigation efforts).

Even that link had to be connected – that rainfall, particularly a large rainfall event, would spike E.coli levels. When that was first discovered, the county took preemptive measures.

when water levels are low. If left to rot on the beach, it can promote bacterial growth. It also washes up with crustaceans, attracting large flocks of gulls, resulting in high concentrations of fecal material and bacteria.

That’s just one of many examples.

“We are a partner providing a great opportunity for students,” Kleinheinz said. “They get to work in the field and in the lab at Crossroads. What an experience for a college student. It’s been a really good partnership and it all started because of the beach monitoring and all the things have grown from that.”

This is not to say that they’re working toward an end to beach monitoring. Kleinheinz said he doesn’t forsee that happening.

“There always has to be an evaluative tool with that many people using beaches,” he said. What could happen is that monitoring evolves with

“Every time we got a half inch or more we would close beaches,” said Greg Coulthurst, Soil and Water Conservation Department conservationist – a practice that’s no longer done, given the number of mitigation techniques that have been implemented over the past two decades (see related story).

“The one thing we can say is we’re pretty certain, in most cases, the fecal material is not human,” Kleinheinz said. “It’s not from leaking septic systems or wastewater – it’s dogs, avian, whatever is running down the storm drain or surface water runoff. That means it’s not as concerning in some ways, but it also means you have other things you have to address.”

Will There Ever Be Zero Beach Closures?

Today, there is a website where people can learn about the health of most beaches in Door County.

“People are looking at the website,” Kleinheinz said. “The county also has a hotline and phone number and people use that. Families are making decisions based on that monitoring and what that website shows.”

The interns, too, have participated in numerous side projects over the years that have benefitted Door County, including beach grooming cladophora, a type of green algae that washes up on beaches, especially

technology to more accurately forecast if the water could cause sickness.

“The one disconnect we have today is we use an indicator organism – E.coli,” he said. “E.coli is not the thing that actually makes you sick. It’s all the other fecal material that makes you sick.”

By that he means that E.coli only proves there was recent fecal contamination, but it doesn’t show what types of pathogens exist.

“Sometime, we will get something that will economically look at the true pathogens – not just the indicator,” he said. “It doesn’t exist right now, at least not economically – it takes too long and it’s too expensive – but at some point, the technology will exist.”

Does he forsee a time when there would be zero beach closures over the course of a season?

“The answer is ‘no,’” he said. “E.coli is in the environment all the time. We can discern pathogens versus nonpathogens when that happens; we can get closer to zero. You want to close the beach when you have to, and you should. But you don’t want to miss the time you should have closed it and didn’t.”

Water on Their Minds

Door County organizations with water quality initiatives or priorities

& KEVIN BONESKE debra.fitz@ppulse.com, kevin@ppulse.com

What’s the Big Stink?

The League of Women Voters Natural Resources Committee

The League of Women Voters of Door County (LWVDC) natural resources committee has planned a public forum following six months of study into manure management in Door County and its impact on the health of surface and groundwaters.

“The Big Stink: Manure Management and Water Quality in Door County,” will feature a panel of regulatory, farming and environmental experts on Tuesday, April

topic, said to Virge Temme, chair of the LWVDC’s natural resources committee and moderator of the upcoming forum.

“There’s more than meets the eye –and nose – when it comes to manure spreading,” Temme said.

The practice is not without risks because manure contains phosphorus and nitrogen, and each used in high concentrations or overuse can result in contamination of surface or ground waters, threatening the health of wells and waterways and promoting growth of unwanted algae, water plants and bacteria.

The LWVDC initiated a study to better understand the state of Door County’s soil and water quality, dispel possible misconceptions and shine a light on the issues. Over the past six months, members of the natural resources committee interviewed local environmentalists, county soil specialists, Wisconsin Department of Natural Resources regulators, commercial manure spreading operators and farmers.

23, at 6:30 pm at Crossroads at Big Creek, 2041 Michigan Street, Sturgeon Bay.

Door County is home to more than 200 agricultural operations, many fertilizing their crops with organic materials generated by farm animals. The practice, known as manure spreading, increases crop yields, helps reduce farm waste –and is often a confusing and contentious

“Our study revealed some good news about local soil and water health as well as the risk-mitigating steps being taken by the local farm community and regulatory agencies,” Temme said. Experts scheduled to speak at the forum include:

• Duane Ducat, Deer Run Dairy, Kewaunee, president, Peninsula Pride Farms

• Jeremy Heims, Heims Hillcrest Dairy, Algoma, board of directors

Wisconsin Custom Operators, Peninsula Pride Farms and Professional Nutrient Applicators Association of Wisconsin

• James Salscheider, DNR wastewater specialist, Door, Brown and Kewaunee counties

• Timothy Dahl, conservationist, Door County Soil and Water

• Sara Fry, DNR private water reporting and enforcement coordinator, Wisconsin DNR

• Dean Hoegger, president and executive director, Clean Water Action Council Forum

Attendees will learn about many facets of soil and water management, such as reasons for using organic materials to nourish soil and grow crops; rules and regulations affecting manure spreading; steps taken by farmers to guard against over-application and runoff while maintaining crop yields; monitoring and enforcement by local government; and current and emerging concerns around phosphorus contamination.

A Q&A session will immediately follow the presentation. The forum is free, and reservations are not required. For more information, go to lwvdoorcounty.org.

All About Water

The Door County Environmental Council

The Door County Environmental Council (DCEC), founded in 1969 to address a variety of water-quality issues, supports beach water monitoring and testing, the reduction of nonpoint source pollution, the implementation of best practices in agriculture, the regulation of large-scale farms, phosphorus runoff reduction, the protection of wetlands and waterways, and safe and clean drinking water.

polluted eyesore.” In addition to the impact thousands of birds nesting there have had on the island itself, club members have also criticized the effect the birds are having in the water.

Concern about the fecal contamination on Pilot Island and what it’s doing to the water, land and the air prompted club members Dan Nilsson and Rip Koken to contact the University of WisconsinOshkosh (UWO) about its beach water testing program.

UWO agreed to test the water and its results from August 2022 found levels of E. coli bacteria that would warrant closing a beach and are considered unsafe for humans to swim in multiple places around the island.

The Door County Board of Supervisors also focused on the degraded water

DCEC President Steve Eatough said the council supports the installation of water quality signs at Door County beaches that alert swimmers when conditions are unsafe due to the detection of high levels of E.coli bacteria.

Eatough said the DCEC believes education is key to addressing issues related to water quality with a goal to do what’s best in the long term.

Though the overall water quality in the county is “quite good,” he said, he also said he does not believe it’s “alarmist” when the DCEC points out problem areas, such as where waters are impaired by high levels of phosphorus, so that remedial action may be taken.

Pilot Island is a ‘Smelly, Polluted Eyesore’ Says the Washington Island Sportsman’s Club The Washington Island Sportsman’s Club (the Club) has focused its efforts on a water-quality hotspot in Door County surrounding Pilot Island.

The Club wants the U.S. Fish and Wildlife Service (FWS), which owns the 3.5-acre island off the tip of the Door peninsula, to restore the island to how it existed decades ago when it operated as a U.S. Coast Guard lighthouse station. The FWS uses the island as a bird-nesting sanctuary, and has given no signal it intends to change that use.

quality surrounding the island when it passed a resolution last year that urged the FWS to remediate and remove the future negative impact of the birds residing on the island.

No Friends of Drawdowns or Water Contamination

The Friends of the Forestville Dam

The Friends of the Forestville Dam (the Friends group) in southern Door County has not only addressed issues related to the dam – the group last year successfully petitioned the Wisconsin Department of Natural Resources to require the County of Door to obtain a permit before drawing down the millpond again in the future –but also the impacts some agricultural practices pose to water quality.

The Friends have alerted the public about the potential for groundwater contamination in southern Door County, given the shallow soil depth above bedrock in many areas. The group raised concerns last year about spreading large amounts of manure as it related to expansion plans by the Town of Forestville-based S&S Jerseyland Dairy when the large-scale farming operation went through the process of renewing its Wisconsin Pollutant Discharge Elimination System permit.

The Friends’ Robert Sijgers also points out the group still continues after many years to monitor water quality in the Door County watershed part of the Ahnapee River with biweekly sampling of locations upstream of the Forestville millpond, the millpond itself and immediately downstream of the dam.

The Club has characterized Pilot Island as having turned into a “smelly,

This drawing shows the levels of E. coli bacteria found in water sampling around Pilot Island by the University of WisconsinOshkosh in August 2022. Submitted.
A current view of Pilot Island, and its historical lighthouse, built in 1858. TIM SWEET FILE
A fishing pier extends into the millpond at the Forestville Dam County Park. KEVIN BONESKE

Portrait of a Remediated Beach

Egg Harbor Beach is located below a steep embankment where water runoff during rain events gushed freely down the hill, transporting all it encountered along the way into the beach water – fecal bacteria, heavy metals, oils, sediment and the phosphorus that causes algae growth and can result in fish kills.

“This was a high priority beach back then,” said Greg Coulthurst, Door County Soil and Water Conservation Department conservationist, and “one of the first beaches we worked on” to improve water quality.

Up until around 2009, it also challenged anyone’s definition of a “beach.”

“They had 13-15 people at the beach per hour and a rock jetty and tiny little beach and grass growing up in the beach,” said Greg Kleinheinz, University of Wisconsin-Oshkosh professor of environmental engineering technology. “Look at it now. It’s a hugely popular beach. Now hundreds of people are there.”

Having learned that surface and stormwater runoff were the primary culprits in beach water contamination, the improvements focused on creating grass infiltration areas to capture the water rushing down the hill. Also known as biofilters, these features are created with a sand and compost mixture installed a couple feet deep to create a bowllike depression that can also host native beach plants.

“When the water runs down the slope, it’s diverted into the biofilter, which cleans the water naturally and reduces the volume before being released into the harbor,” said Andrew Schmidt, a municipal and water resources engineer with McMahon, who was a part of the project when it began.

There are two biofilters, the first installed with the original beach improvements in 2009, the second installed the next year with a low-lane curb to divert water more efficiently. The village also almost doubled its parking along the beach with 20 additional stalls, but used permeable pavers rather than impervious surfaces like asphalt. The special permeable gravel has a high tolerance for infiltrating through the material.

“They work pretty well,” Schmidt said. “Talking with the village, they’ve never seen any ponding, so that means the water is getting down and through.”

Native, prairie-type plantings were also widely used in the biofilters and as a screen for grassy areas beyond.

“They deter some of the waterfowl,” Schmidt said. “Waterfowl don’t like to walk through taller, thicker grasses, they like to walk on a nice clean beach area. So people who mow right up to the shoreline, that’s what geese like.”

The improvements were designed to prevent fecal bacteria from getting into the water, and also to filter all the other runoff pollutants that can impact water quality for fishing, swimming, recreation and wildlife. That has been, and continues to be, a priority for the village, said Egg Harbor Village Administrator Megan Sawyer, who has been with the village since 2016, first as deputy administrator. She said past and present village leadership has always recognized that waterfront is an integral part of Door County culture.

“They’ve done a great job of understanding the importance of the beach,” Sawyer said.

The Phase I improvements were followed by Phase II after the village purchased land north of the beach. Those 2018-19 improvements included the construction of a stone wall with native plantings along the top that again slows and stops the runoff, filters it, and provides a deterrent for the geese.

“If they see the grass they’re more likely to visit that grassy area,” Sawyer said. “So they took into consideration visual obstruction of the grass so as not to have more goose droppings that lead to E.coli.”

Last year, the village was one of five municipalities that agreed to install one of the new, cellular-connected water-quality signs that enable instant notification of beach advisories or closings. They’ve also invested in ongoing beach-maintenance equipment.

“Over the years we’ve been importing a lot of sand to add to the beach and purchased some grooming equipment,” said John Heller, village president. “We use it daily in the season. It sifts the sand and gets rid of stones and debris. We work hard on keeping the sand healthy and the biofilter helps with the runoff. It was well thought out.”

The village acquired a little over an acre of Alpine property in 2021 on the south side of the beach that includes a dilapidated pier the village is hoping to repair. They purchased the property to be able to move a pumping station off the beach.

“So we’re in the process of moving the lift station and possibly this spring, depending on the plans on the new lift station, we’ll tear down the old one and have one continuous beach area,” Heller said.

Discussions about improvements to that property are underway with the DNR for Phase III improvements. Whatever those will be, Sawyer said they will continue to be made with water-quality in mind, in addition to ADA-accessibility to the beach that began with the Phase II improvements.

“We spent a lot of money improving our beach and we probably did it in a proper manner,” Heller said. “I take great pride in what we’ve done and the finishing touches we’ll be putting on it will make it a very top-notch beach.”

D.A. FITZGERALD
(Above and below) Biofilters (shown on either side of this walkway) catch, hold and filter pollutants from stormwater and surface water runoff, minimizing pollution that gets into the water at Egg Harbor Beach.
D.A. FITZGERALD
Source: McMahon

Chasing Away the Birds

The long and detailed effort since 2002 to identify the sources of E.coli contaminating beach water, and then determining how it travels there by surface water and stormwater runoff – especially after large rain events – caused Door County municipalities to look at ways they could improve their beaches to achieve better water quality. What has followed over those years has been a reinvention of local beaches using a variety of techniques. Overwhelmingly,

those changes have included some way of chasing away the birds that gather on shoreline areas.

“All the birds would walk to shore and all that would wash right into the beach,” said Greg Kleinheinz, the University of Wisconsin-Oshkosh professor of environmental engineering technology who has been working with the County of Door on beach-water monitoring since the program began in 2003. “The biggest thing is they changed the avian behavior; they kept the birds from going on shore and crapping all over the place.”

That’s important because it’s not just the water that becomes contaminated.

High and Dry Beaches

“The whole thing about bacteria is it’s a living organism and you need time for it to die,” said Greg Coulthurst, conservationist for the Door County Soil and Water Conservation Department (SWCD). “Sunlight and high and dry sand are all needed.”

With the Door County Public Health Department dealing with water contamination once beach-water monitoring began, the SWCD worked with the technical fixes at the beaches. Coulthurst did not lead the department when those began, but he was with the SWCD, having first joined in 1993.

“A lot of times, it was higher and dryer beaches, and treating the storm water,” Coulthurst said, which carries with it more pollutants than just fecal bacteria, including heavy metals, oils, sediment and the phosphorus that causes algae growth and can result in fish kills.

“We could see that E.coli levels were elevated after a storm event,” Coulthurst continued, but it wasn’t of the avian variety from storm sewers, but rather pets and wildlife.

Having gained source-identification data and established methods of transport, Coulthurst’s department worked with municipalities and the Wisconsin Department of Natural Resources (DNR) to mitigate the two main culprits at beaches that caused E.coli and other pollutants to wash into beach water: stormwater outlets and waterfowl feces.

Over the years, this pollution prevention has included multiple grants and cost-share programs in partnership with municipalities to redesign beaches. Storm drains have been moved where feasible, and filtered when not; water has been rerouted, halted and filtered, where it once ran over land; tile lines have been installed to drain subsurface water where it pooled on beaches; sand has been added to create higher and drier beaches and dunes; rain gardens have been installed; and dune grass plantings have been widely used.

That’s not to say the water no longer becomes contaminated. Large rain events still stir things up. Neither have all communities opted – or found it economically possible – to remediate the biggest problem areas. There’s also the stray occurrence, such as a leaking septic line flowing down the bluff and into the beach water, as happened in August 2021, closing the Ephraim beach for a couple of days.

What Works, What Doesn’t

Today, Door County beach work has shifted largely to maintenance, or tweaking past improvements for better performance, or improving newly acquired beach property, as with the case of the Village of Egg Harbor (see related story). Priorities have also shifted within the SWCD.

“Back in the day we had an employee working on this full time,” Coulthurst said. “Now, we have a better understanding of how it works and when a municipality goes to the DNR, we put our heads together on what has worked, and what is different.”

Given all that’s now known today about minimizing water pollution, Coulthurst can look at a beach and automatically see what could be changed to create better water quality.

“I’ll pick on Fish Creek,” Coulthurst said. “They wanted to keep their parking lot and lawn and those are deal breakers. The lawn attracts geese. The geese love to eat the grass. And if you have a parking lot you have the oil and greases running off. The bacteria is closing the beaches, but what else is going in there. If you have hard surfaces, you need filtration before it gets in the water.”

Some lessons have only come recently, as when Lake Michigan water levels peaked in 2020 before beginning to recede again.

“The lesson learned is you have to look at what high water can be and that’s where you should start designing,” Coulthurst said. “You have to plan for the worst and then go from there. Should some of our dunes and plantings have gone higher? Yes. Was it possible? I don’t know.”

He’s also not a fan of “groins” – jettylike structures designed as a solution to beach erosion. The Village of Sister Bay installed one during its waterfront improvements in 2015-16, but Coulthurst had one removed from the Village of Egg Harbor during 2009 improvements there.

“What it does do is protect from the weather and elements and sand migration, but it also traps the bacteria,” Coulthurst said. “And I don’t know if the geese like it.”

The Economic Benefits of Environmental Improvements

Officials say beach improvements increase water quality in Door County, and they also agree that improved beaches and beach water attract more people. What hasn’t been determined yet is how increased visitation impacts water quality; whether more people in and around the water means higher incidences of advisories and closures.

“That’s the variable that nobody seems to know how to calculate,” Coulthurst said.

From a Public Health point of view, busier beaches may be contributing to elevated E.coli levels. Allie McDonald, environmental health specialist with the Door County Department of Health and Human Services, listed “a high number of people in and around the water” as one of a number of main culprits leading to elevated E.coli levels.

More people at the beach may impair water quality, but that increased visitation boosts local economies. That’s what Kleinheinz and his team discovered when looking at the economic impact of remediated beaches on the local economy. The improved beaches became attractive enough to become a destination, he said. That brought more people, who spent money at local businesses and were willing to pay more for a better beach and better water quality.

“Accidentally, it was discovered that we don’t have to do the environmental or economic right thing, we can do both at the same time,” Kleinheinz said. “It’s 20 years and you look back at the historical picture and the beaches have really become a showpiece for part of that water resource, and the reason people come there.”

E.coli thrives in beach sand as long as the conditions remain favorably moist and low.
Beach-water quality is often correlated with decreased bird activity, and many improvements over the years have focused on making beaches less attractive to birds. Despite improvements, some beaches remain problematic for a variety of reasons. Here at Frank E. Murphy County Park Beach in the Town of Egg Harbor, the beach has been reinforced, dunes built, and a wall of native beach plants line the beach. Still, flocks of
gulls and other waterfowl are a common sight on the long pier.
D.A. FITZGERALD

Bad Beach Days Aren’t So Bad in Door County

18 years of beach-water monitoring data shows a few problem beaches, but “remarkably good” water quality overall

It may seem like stating the obvious, but the push to keep fecal pathogens out of beach water is because they can make people sick.

Decades of epidemiological studies and outbreak investigations like Door County Public Health’s after the Nicolet Bay Beach outbreak of 2002 – 68 swimmers came down with a gastrointestinal illness – have linked swimming in polluted waters with adverse human health effects that range from less severe gastrointestinal diseases (diarrhea with sore throats), to nongastrointestinal diseases (respiratory, ear, eye and skin infections), to more serious illnesses, such as meningitis or hepatitis, according to the Wisconsin Department of Natural Resources (DNR).

People who swim and recreate in water contaminated with fecal pollution are especially at an increased risk of becoming ill because of pathogens from the fecal matter – thus, the concentrated effort Door County and its municipalities have made since 2002 to monitor water at 32 of its 54 beaches and post advisories when E.coli levels are elevated, or closures when the water is not safe for swimming or recreation.

While those 68 illnesses in 2002 may have raised awareness on the need for testing and beach remediation, and the beach-monitoring program is in place to help avoid illness associated with beach-water quality, it’s not easy to learn if people are still getting sick due to swimming.

“Door County Public Health tracks and follows up on E.coli cases, however it is hard to determine the source of E.coli leading to illness, so we don’t have a concrete number of rate of illness related to people swimming in water in Door County,” said Allie McDonald, environmental health specialist with Door County Public Health.

What the Data Shows

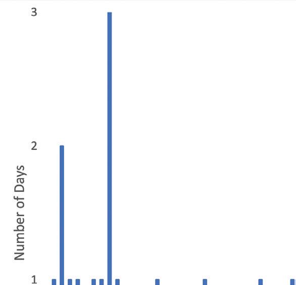
There is concrete data on Door County beach health in the form of beach monitoring and assessment reports Between 2004 and 2021, for example, 5.9% of the 32 beaches tested annually in Door County experienced a beach action day (an advisory or a closing) throughout the season. This percentage ranged over the years from a high of 8.7% of the beaches in 2016, to a low of 3.3% in 2019.

“Most of the beaches, with the exception of one or two, are remarkably good in terms of their water quality,” said Greg Kleinheinz, University of Wisconsin-Oshkosh professor of environmental engineering technology, who’s responsible for Door County’s beach-water monitoring.

The statewide summaries reports back up that statement, regularly indicating that Door County has “relatively low exceedance frequency” at its beaches. In 2021, for example, among the 13 coastal counties involved with beach monitoring, Door County had the third lowest percentage of beach action days (4%), despite having the highest number of beaches in the state, and the highest number tested with the highest frequency. Only Bayfield County (2%) and Iron County (2.5%) had fewer beach action days.

A “beach action day” is considered a day when E.coli levels are elevated enough by federal and state standards to warrant an advisory (swim at your own

Resources: Additional Reading

Some additional reports related to Door County water include the following: https://www.co.door.wi.gov/ DocumentCenter/View/568/SurfaceWater-Inventory-PDFSurface Water Inventory of Door County, 2000. The Door County Soil and Water Conservation Department is in the process of updating this report, which could take about five years. “Part of this purpose is as communities plan for the future they can use this document to protect and conserve and address some of the issues impacting them,” said Greg Coulthurst, SWCD conservationist. “We live in a very fragile area, but look at our numbers; we have high implementation and participation. We can do it.” The current version can be found at https://tinyurl. com/bde9u88d.

risk), or elevated enough to warrant a beach closure (no swimming allowed).

Kleinheinz credited beach and stormwater improvements for the gains in Door County beach-water quality, and when there are closures, it’s usually among a predictable few. Overall, for example, locations with higher beach action days tend to be on the Green Bay side of the peninsula, and the problem beaches were identified independently by both Kleinheinz and Greg Coulthurst, Door County Soil and Water Conservation Department conservationist.

Fish Creek Beach is among the beaches that have the most beach action days in Door County, and its challenges could be addressed, they said: a grassy area and parking lot both abut the beach. The geese are attracted to grass and all the surface water runoff from the parking lot and grassy area rolls right into the beach water.

“The problem at Fish Creek,” Kleinheinz said,“is the birds on the beach. They redid it so it’s all grassy lawn and it’s covered in goose feces. That’s something that could be managed differently.”

Fish Creek is included among the beaches with the highest number of beach action days over the past couple of years, a list that includes Otumba Park Beach in Sturgeon Bay; Ephraim Beach; and Frank E. Murphy County Park Beach in the Town of Egg Harbor.

Fish Creek had 11 beach action days in both 2022 and 2023 – nine advisories and five closures in 2022, and five closures and six advisories in 2023.

Many improvements have been made at Frank E. Murphy County Park to try and protect the water quality: dune grasses, sand refortification, the creation of sand dunes and the installation of two tile lines that run parallel to the beach to capture subgrade water from underground springs and move it south.

“These springs are not a water-quality issue but an issue with keeping the sand dry and in place,” Coulthurst said. But other features remain.

“Murphy’s problem is it has a huge pier out there and things get stuck and there are lots of seagulls,” Kleinheinz said.

Murphy Park had five beach action days in 2023 (four closures, one advisory) and eight in 2022 (six advisories, two closures).

Like the County of Door with Murphy’s, the City of Sturgeon Bay has made extensive improvements at Otumba Park Beach to deter geese, capture and hold surface water runoff. But also as with Murphy’s, there are features for which there are no easy solutions.

“At Otumba, the stormwater discharge for a large part of Sturgeon Bay is right at the beach, one on either side,” Kleinheinz said. “It’s really hard to do much with that; it would be very, very expensive. So there are some that face long-term challenges.”

Otumba typically ranks among the highest number of beach action days: 22 in 2022, for example, which included seven advisories and 15 closures, and 10 in 2023, three of those closures, seven of those advisories.

Ephraim Beach is another that generally makes the top-five list for Beach Action days (11 in 2022, with seven advisories and four closures, and six in 2023, with four advisories and two closures). Coulthurst said his department has never worked with that village on any beach-water projects. He’s also watching Sister Bay Beach, which improved its waterfront in 2015-16, but added a feature that Coulthurst said he’s not sure promotes beach-water quality at that particular location: a groin, which is a perpendicular shore feature used for beach erosion. Coulthurst said it works to keep the sand in place, but he isn’t a fan because it prevents the free flow of water, contributing to bacterial growth. He’s also not certain if it hasn’t invited rather than deterred water fowl.

“To me their improvements may not have improved it [water quality] – according to the data,” Coulthurst said. In 2022, the beach only had two beach action days (both advisories), but six in 2023 (four advisories and two closures).

Sustainability

Geology makes county’s groundwater more vulnerable

craig@ppulse.com

Greg Coulthurst keeps a video on his phone to show just how susceptible Door County’s groundwater is to contamination.

Not far from his home southwest of Sturgeon Bay, there’s a large sinkhole as well as a couple of creeks and ditches where water vanishes into the bedrock.

Two hours a er a major rainstorm, the Conservationist for the Door County Soil and Water Conservation Department (SWCD) gained access to a private property not far from the intersection of county roads C and M, and shot his video.

Just a er downpours, springwater shot loudly and rapidly out of a rock outcropping like two creeks rushes out of a cli .

“We have studies that show that within a matter of a couple of hours of a rain, surface water can be coming out of a spring from over a mile away,” said Coulthurst.

Most of Door County, other than some acreage in Clay Banks, has far less soil over bedrock than most of the rest of Wisconsin. That’s because Door County has karst geology – a type of landscape where the dissolving of bedrock creates sinkholes, sinking streams, caves, springs and fractures that allow water to travel easily downward into the groundwater.

“As far as the soils go in our county, almost 22% of land has less than 18 inches; nearly 40% is either 36 inches or less,” Coulthurst said. “That’s our lter for anything on the surface until it gets into the bedrock. Once it gets into the bedrock, there’s very little ltration that takes place unless it’s lled with soil particles.”

The SWCD has studied how quickly surface water reaches the groundwater in several locations. At Dunes Lake, on private property near Shivering Sands north of Sturgeon Bay, the department found that water emptying out of four springs had taken two to four months to

A Door County Soil and Water Conservation District graphic shows typical bedrock that makes groundwater and well water susceptible to contamination.

DOOR COUNTY SWCD

Door County: Barely Filtered

travel from the surface to the west and north into Dunes Lake.

That’s quite a bit longer, quite a bit more ltration and ample time for bacteria from the surface to die in the ground than the springs near the C and M sinkhole, Coulthurst said. Still, by standards elsewhere, it’s not slow for groundwater.

“If you compare it to other parts of the state, even sand-and-gravel aquifers, that two-to-three months is lightning-fast,” Coulthurst said.

Coulthurst said karst geology can be good and bad for groundwater. He said since the water moves quickly downward – either straight or in stair-step fashion within cracks and crevices – contaminants move through the system quickly.

The problem, said Door County Sanitarian John Teichtler, was a crack and leak in a rubberized pipetting.

In tests, dye poured down drains showed up in well water onsite and miles away within six to 15 days. The study demonstrated that “in highly vulnerable hydrogeological settings, compliance with regulations may not provide adequate protection from fecal pathogens,” according to the National Groundwater Association.

“We’re all connected, whether we want to be or not.”

–Sue Powers, former Door County Public Health Department O cer/Manager

“It’s a blessing and a curse,” he said. “Contaminants can get into our groundwater very fast. They can also exit very fast because of the groundwater ow that we have. If you make improvements, you can see it fairly quickly. Some parts of the state have decades-old contaminants that take a long time to ush through.”

Other parts of the state don’t rely upon private wells as Door County does – some 8,000 private wells are in use, and more than 580 abandoned wells exist, according to the records Coulthurst’s department tracks. So when contaminated water is moving fast through a system, it’s moving quickly to those wells.

2007 Outbreak showed ‘We’re all connected’

Door County learned this back in 2007 when environmental investigators ocked to the peninsula for emergency fact- nding a er a new, properly designed septic system failed at a new restaurant. The contaminated well water from that event sickened 229 people with acute gastroenteritis.

Earth Day is the perfect time to learn a little more about our planet – and, if you aren’t afraid of getting your hands a little dirty, help it stay healthy. Here are some ways you can do so locally.

GEOLOGICAL JOURNEY

Lautenbach Woods Nature Preserve, 6749 Cty

Road G in Egg Harbor April 20, 9-11 am

Hike 1.3 miles along the Niagara Escarpment while learning about glacial geology from Door County Land Trust’s Brian Forest. Visit doorcountylandtrust.org/ events to register.

EVERY DAY IS EARTH DAY AT THE KRESS

Kress Pavilion, 7845 Church St. in Egg Harbor April 20, 10 am – 4 pm

Participate in environmental workshops, kids’ activities, a visit from Open Door Bird Sanctuary and more. Visit everydayisearthdayfest.org for a full workshop schedule.

FOREST SCHOOL ARTIST RECEPTION

The Ridges Sanctuary, 8166 Hwy 57 in Baileys Harbor April 20, 11 am – 12 pm

Explore a collection of art by Ridges Forest School students, based on their perspective of the Earth’s systems and cycles.

SCIENCE SATURDAY

Crossroads at Big Creek, 2041 Michigan St. in Sturgeon Bay April 20, 2-3 pm

EARTH DAY EVENTS

TREE TALK

Newport State Park, 475 Cty NP in Ellison Bay April 21, 10:30 am

Join arborist and horticulturist Tom Wolfe as he shares his knowledge about trees and shrubs. Meet at the Nature Center in Lot 1. A state park sticker is required.

EVERY DAY IS EARTH DAY AT CROSSROADS

Crossroads at Big Creek, 2041 Michigan St. in Sturgeon Bay April 21, 1-4 pm

Plant trees, watch demonstrations, go on guided hikes, participate in citizen science and more.

EVERY DAY IS EARTH DAY OPEN MIC

Former Door County Public Health Department O cer/Manager Sue Powers said health investigators found that “supercontagious” norovirus had spread due to an ill customer or employee. They contacted everyone who worked in the restaurant and ate there, as well as family members of employees.

“Because the septic system was leaking, it [norovirus] walked right over to the well,” Powers said.

When the dye showed up in drinking water as far as two or three miles away, property owners there expressed concern and outrage. Powers said there was no record of neighbors becoming ill from their well water, perhaps because they drank bottled water a er hearing about the outbreak or due to the time it took for water from the septic leak to reach their wells.

Powers said people who relish privacy can build a home on a large wooded lot, but they’re still closely sharing groundwater with Door County properties next door, or even miles away.

“The big lesson for me was, we’re all connected, whether we want to be or not,” Powers said. “All of these incidents help us learn, unfortunately.”

The county always had protocols in place and further strengthened them a er the 2007 outbreak, Powers said.

April 26, 9 am – 3 pm, Shivering Sands Preserve 4053 E Whitefish Bay Road (County T) in Sturgeon Bay

April 28, 9 am – 3 pm, Mink River Preserve 12163 Badger Road in Ellison Bay

WORK DAYS

April 20, 9 am – 12 pm, Whitefish Dunes State

One Barrel Brewing Company, 4633 Market St. in Egg Harbor April 22, 5-8 pm

Share songs, stories or poems inspired by the Earth, or listen to others perform theirs. Free pizza will be provided and beverages will be available to purchase.

RANGE LIGHT CORRIDOR RESTORATION PRESENTATION

The Ridges Sanctuary, 8166 Hwy 57 in Baileys Harbor

April 22, 6 pm

Tune in for an update on the restoration project, including insights into the ongoing research on the federally-threatened dwarf lake iris.

Learn about nature during a session for grade-school children and their families.

ARBOR DAY GIVEAWAY

The Ridges Sanctuary, 8166 Hwy 57 in Baileys Harbor

April 26, 9 am – 3:30 pm

Get free trees to plant at home or at your business.

TREE PLANTING/TRANSPLANTING

Watch for Big Plant updates at tinyurl.com/4yhrmsb3

April 21, 1-4 pm, Crossroads at Big Creek

2041 Michigan St. in Sturgeon Bay

April 23, 10 am – 12 pm and 12:30-3

A roadway cut in Baileys Harbor shows Door County’s karst geology, revealing cracks in bedrock with just a foot or so of topsoil, allowing runo to find its way to the groundwater rapidly. CRAIG STERRETT

“You can’t argue with these guys. Sanitation is the number one priority. House placement revolves around where the mound system goes.”

Waste-Treatment Crackdown Made County a Safer Place

Peninsula has 16,000 private wastewater treatment systems

craig@ppulse.com

John Teichtler undoubtedly has helped Door County clean up its act.

Now in his 53rd year serving the County of Door, and its current Sanitarian, he was tasked in 1971 with taking water samples at public places to test for contaminants. The county had adopted a permit program in 1967 for septic systems and household wastewater practices, but there still were existing systems with too shallow of soils and even a couple of homeowners who piped waste into rock crevices, Teichtler said.

In 1971, a Milwaukee Journal reporter took water samples at restaurants and other popular locations, put sample bottles in his camera bag, had the samples tested, and exposed the county for well contamination in a story called “Poison in Paradise.”

“That triggered a lot of interest in the Door County groundwater,” Teichtler said.

He said tainted well water – due to inadequate or irresponsible wastewater treatment coupled with porous bedrock – had triggered numerous Montezuma’s Revenge episodes (traveler’s diarrhea) for tourists and residents for many decades before that.

Some Door County villages and towns – Sister Bay, Ephraim, Fish Creek, Baileys Harbor, Sevastopol (ValmyInstitute), Forestville and Egg Harbor – built wastewatertreatment plants between 1972 and the 1980s, and the state toughened standards for household septic systems and holding tanks to protect groundwater.

Troubled Waters

Common contaminants and pollutants

by SAM WATSON sam@ppulse.com

Something’s in the water. Actually, many things are, and not all of them should be.

Here are some of the most common contaminants in Wisconsin’s surface water and groundwater, as well as where they come from and why they’re cause for concern, according to the Wisconsin Department of Natural Resources (DNR.)

A comprehensive list of the state’s water contaminants can be found at dnr.wisconsin.gov/ topic/DrinkingWater/contaminants.html.

Surface Water Contaminants

• Phosphorus, a necessary fertilizer for crop growth, has a major impact on Wisconsin waters, with small increases in phosphorus spurring signi cant aquatic plant and algae growth (and thus reducing recreational use, property values and public health.) Excess phosphorus comes from “nonpoint sources,” or runo pollution; “point sources” like wastewater treatment plants; and natural sources like past phosphorus loads that build up in lake-bottom sediment.

• Mercury can be found in most sh throughout the country, and the pollutant can build up in the bodies of people who eat sh and cause health concerns. Mercury occurs organically in rocks and soils, but it’s also released into the atmosphere via coal-burning power plants, some chemicalmanufacturing plants and incinerators, and improperly-disposed products that contain it. It can travel long distances and settle directly on land and water when released into the air.

• Sediment runo – the loose sand, clay, silt and other soil that settles to the bottom of a water body – can smother aquatic breeding grounds, damage sh gills, worsen stream bank erosion and increase the risk of ooding by lling in stream channels. Two signi cant sources of sediment are improperly-managed construction sites and overgrazing livestock, which can trample streambanks and erode pastures.

For the Health of Your Septic System

week than five in one day.

Source: Wisconsin Department of Natural Resources

Safe Systems, Safer Water

Teichtler’s department got out of the water-testing and well-testing business – those programs are now overseen by the county’s Public Health department and the Soil and Water Conservation Department – but the sanitarian’s o ce continues to protect groundwater.

Door County has 16,000 septic systems and holding tanks, considered private onsite wastewater treatment systems (POWTS). Teichtler’s department holds builders and property owners responsible for installing and maintaining those systems properly.

That means Teichtler gets out of the o ce quite a bit – whether that means checking on the Southern Door County School’s three-cell, football- eld-length mound system, or assuring a developer installs the proper system to keep well water safe below and near a home site.

On a recent morning, Teichtler met in a Baileys Harbor woodland with soil tester Dan VanderLeest, and home builder and property owner, Charles Kiker. An equipment operator dug four holes until reaching bedrock.

Kiker was relieved that they found between 24 and 30 inches of soil above the bedrock, enough to allow him to build a mound system for his eventual retirement home.

• Chloride from road salt can impact drinkingwater quality, harm sh and accelerate corrosion. Over time, elevated concentrations of it could potentially cause human health risks.

Groundwater Contaminants

• Biological hazards include bacteria, viruses and parasites, which can cause illnesses in humans. Animal waste and man-made wastewater are common sources of bacterial contamination.

• Nitrate exposure at high levels can a ect all humans – thyroid disease and an increased risk of colon cancer are two of the impacts, according to the Wisconsin Department of Health Services Most well known is its ability to cause infant methemoglobinemia or “blue baby syndrome,” and other health threats to babies and pregnant people. It can enter the groundwater through fertilizers, animal-waste storage and feedlots, wastewater and sludge disposal, refuse disposal areas and private sewage systems.

• Pesticides can get into the groundwater through spills, misuse and incorrect storage and disposal, but they can also seep through via by-thebooks eld use. Many pesticides are carcinogenic and some can disrupt the endocrine system.

• Metals can nd their way into the groundwater naturally or through human activities. Iron, for instance, occurs naturally, but cadmium and chromium result from metal-plating operations.

• Volatile Organic Compounds (VOCs) are found in gasoline, diesel fuel and industrial solvents, as well as household products like paints, drain cleaners and air fresheners. Longterm exposure to many VOCs is suspected to be carcinogenic, and short-term exposure to high concentrations can cause other health issues. Land lls, underground storage tanks and substance spills can introduce VOCs into the groundwater.

• Emerging contaminants are substances that are increasingly evidenced in the environment and that could cause adverse e ects for humans and the environment. Categories of emerging contaminants found in Wisconsin groundwater include Pharmaceuticals and Personal Care Products (PPCPs) and Per- and Poly uorinated Alkyl Substances (PFAS), as well as agricultural and microbial contaminants.

“You can’t argue with these guys,” said Kiker. “Sanitation is the number-one priority. House placement revolves around where the mound system goes.”

If he didn’t have the 2 feet of soil anywhere on the homesite, Kiker would have needed a holding tank. A lack of soil above the bedrock or a high water table necessitates a holding tank, which needs to be pumped anywhere from once a week to once a month depending on usage.

Owners with the tanks have to pay pumping charges to haulers, disposal charges for sewer plants and, when fuel prices rise, a diesel surcharge.

“It can get costly to pump and haul,” Teichtler said.

One cli -edge resort, he said, has a 250,000-gallon tank that keeps semi drivers busy.

Ideally, homeowners want conventional in-ground systems that are completely underground. But those need at least 48 inches of soil depth and due to this general lack of topsoil, the majority of Door County systems are mound systems.

Catching and Fixing Failing Systems

Since development of its POWTS maintenance program in 1978, the county sends property owners letters reminding them to have a pumper inspect the system every three years and take remedial action as needed, such as ushing out the e uent lter or clogged pipes that distribute wastewater to the absorption system. The owner also may need to replace a saturated or non-functioning soil-absorption system or a faulty dose-chamber pump or switch.

The letters go out in April and the pumpers need to return the report electronically by the end of October.

The three-year requirement reminders do not go out to holding tank owners.

Teichtler also prefers septic systems with a dosing chamber and pump that gradually feed wastewater into the mound or absorption system rather than allowing everything through as it leaves the house.

No matter what kind of system is in place, all can fail, either from age or abuse. From 2002 to 2016, Teichtler said they did a sanitary survey and identi ed 30% of the systems across the county were failing. His department issued orders for all of those to be replaced.

“The percentage now that are failing, I’d say is less than 5%,” he said

Systems are designed for about a 25-year life expectancy.

“But if they’re not maintained properly, meaning the septic tank isn’t pumped when it becomes one-third lled with solids or you abuse the system, meaning discharging more wastewater into the system than it was designed for or putting chemicals in there that kill the (good) bacteria, it’s going to fail more quickly,” he said.

Those include no ushing of cigarette butts or wet wipes that claim to be ushable.

“One of the worst things to use is a garbage grinder, which most people have,” he said.

In addition to wasting water, garbage disposals send organic material, such as potato peels, into the system, where it can clog holes in pipes that lead to the absorption system in the soil. E uent lters have been required since July 2000. Those that don’t have them could be plugging up their sanitary systems whenever they use their grinder – with organic matter that could be better used for composting.

Teichtler makes himself available to help homeowners and has plenty of handouts providing advice for maintaining the systems, with a wealth of information also at co.door.wi.gov/421/Sanitarian-POWTS

Exposed stone adjacent to George K. Pinney County Park, site of the old Leathem and Smith quarry, shows karst geology and a dearth of soil covering the bedrock. CRAIG STERRETT
Door County Sanitarian John Teichtler provides homeowners with a
Soil tester Dan VanderLeest (left) measures 24 inches of soil before Door County Sanitarian John Teichtler confirms that there’s enough above the bedrock to allow a mound system to keep wastewater out of the groundwater. CRAIG STERRETT

Digging Deep for Drinking -Water Safety

Groundwater. It’s out of sight and probably out of mind for a good number of Door County’s residents and visitors.

A thin layer of soil covering fractured, quickly-draining rock makes most of the peninsula susceptible to groundwater contamination.

In a place like Door County, where residents and visitors rely upon 8,000 private wells for all their water needs –only the City of Sturgeon Bay, the Village of Sister Bay and the Town of Forestville in the Maplewood area have municipal water – groundwater isn’t out of mind for those whose jobs it is to keep it healthy for all of us for generations to come.

This means that county health and conservation o cials not only enforce state rules but also have initiated state standards speci cally for the county’s karst geology. In recent years, the county also launched two well-testing programs to nd trouble spots and failing wells and keep people safe.

The county is in a good position to know what’s happening beneath the surface given its countywide, voluntary well test analysis from the University of Wisconsin-Oshkosh Environmental Research and Innovation Center (ERIC), in partnership with Door County Soil and Water Conservation Department and Door County Public Health.

This testing has been taking place for ve years, enabling the county to build a database of water-quality data.

Those tests do not show widespread concern for well water safety countywide.

The tests track total coliform (bacteria), E. coli (fecal-related bacteria), nitrate and arsenic.

The total coliform, much of which is not harmful, showed up in 3% of 260 wells tested in spring 2022, but only 2% in fall 2023 and in less than 1% of 195 wells tested in spring 2023. Meanwhile, statewide, 17% of wells had excessive total coliform.

Traces of E. coli, which can make people sick, showed up in trace amounts in 1% of 162 wells tested in fall 2023 and at a slightly elevated amount in one well. But none have tested so far above 100 mpn (most probable number) per 100 milliliters – better than a state average of 5%.

“The biggest conclusion we have drawn is that the groundwater quality is extremely variable in Door County,” said Carmen Ebert, UW-Oshkosh ERIC lab manager. “If you observe any sudden changes in your well water quality such as odor, color, or turbidity [cloudiness], it is a sign that it could have contamination and should be tested.”

Nitrate Draws Attention in Speci c Areas

At least in one location with a lot of small lots and homes with individual septic systems and holding tanks in Door County – along Bay Shore Drive and north of the bay of Sturgeon Bay –many household wells have repeatedly shown slightly elevated levels of nitrate, according to UW-Oshkosh test results.

The elevated levels may be partially due to shallow well depths, Ebert said.

“But we cannot say for certain without a thorough evaluation of several factors including well depth, well construction, land use, weather conditions, and other factors,” she said.

Nitrates might not make a person sick quickly, as certain bacteria do, but elevated levels of nitrates are dangerous for everyone (see related story in this issue).

To date, the data shows that among the wells tested in Door County, there is not a widespread problem with elevated nitrate-nitrogen levels. In those cases where testing does show elevated levels of nitrate, Coulthurst said the county wants to nd causes.

“We want to dig deeper, so to speak,” Coulthurst said.

Over the rst ve years of testing through the county/UW-Oshkosh program, between 1% and 3% of wells tested above the safe-drinking-water standard for nitrate of 10 milligrams per liter in Door County. Statewide, 8% of private wells in Wisconsin exceed those nitrate standards, according to the

Well-Monitoring Program has

The

Source: University of Wisconsin-Oshkosh.

Door County Soil and Water Private Well Monitoring program statistics.

Most of the wells with elevated levels of nitrate don’t have coliform bacteria or fecal-based E. coli bacteria, which more than likely would be present if septic tanks and mound systems were not working properly, Coulthurst said.

Nitrate can enter the ground and groundwater even a er passing through a properly functioning septic system, however.

“Nitrates are not treated in a mound system,” Coulthurst said. “There are nitrates in our food matter, fecal matter, our urine. Once it gets into that nitrate or nitrite form, it won’t bond with the soils, which have a positive electric magnetism.”

In any case, if a resident is seeing sporadic or repeated tests showing high levels of nitrate, they should stop drinking that water or install either an under-sink treatment system or wholehouse treatment system, he said. The county provides information on in-home treatment systems at co.door.wi.gov/531/ Groundwater. The U.S. Environmental Protection Agency asserts that activated carbon lters, a xed to faucets or inserted into pitchers, “do not remove nitrates.”

Meanwhile, testing for arsenic in wells, over ve years and seven rounds, has shown less than 1% of wells exceeding state health standards – compared to an average of 5%.

Arsenic naturally occurs in the soil, but not at levels high enough to exceed standards. Where health o cials and conservationists are particularly vigilant about arsenic in Door County is near old orchard lands. Pesticides containing a mix of lead and arsenate powder were used widely between the late 1800s and at least the 1940s.

More Water Quality Testing In addition to the UW-Oshkosh partnership, the county initiated more-

substances (PFAS), polycyclic aromatic hydrocarbons (PAHs), pesticides, personal-care substances, plastics and pharmaceuticals. Eventually, she said, those tests will include phosphates.

The GZA testing results released in December 2023 showed no alarming issues with Door County well water in general. For PFAS, there were 10 detections out of 89 samples, with one of those exceeding safety standards. Arsenic showed up in 15 out of 89 samples, but only one exceeded standards. Only three of the 114 wells tested with nitrate levels unsafe for drinking, one of those on the eastern side of the peninsula in Sevastopol, the other two south of Sturgeon Bay.

A Rare and Fragile System

Door County Conservationist Greg Coulthurst strongly advises all Door County property owners to test their wells regularly given how quickly water travels through the shallow soils and fractured bedrock. A test one month might show contaminants that would be gone two months later and vice versa. Fall and spring tests have led a couple of property owners to replace failed septic systems.

For testing: The voluntary well-monitoring program through the county and the University of Wisconsin-Oshkosh takes place in the spring and fall. Registration for spring tests ended March 22. When signup reopens, a link will appear at tinyurl.com/3k7ns7me and in announcements from the county.

The county also provides information on where to get water testing kits and where to have them tested at co.door.wi.gov/569/WellWater-Test-Kits.

Finally, GZA GeoEnvironmental welcomes people to sign up for free testing by professionals in the second year of a countycontracted, four-year program. Testing sites will be chosen based on criteria such as location, well depth and proximity source areas. If interested, visit gza.com/doorsignup or email signup@gza.com.

E.Coli Contamination and Checking Success Around Ag Lands Door and Kewaunee County o cials in 2018 lobbied for new statewide Silurian Bedrock standards, to further protect groundwater in agricultural areas with fractured bedrock close to the surface.

“We showed them our well samples in Kewaunee and Door counties, saying we’ve implemented a lot of the farm practices, our groundwater is still being impacted, and we want additional practices on shallow soils,” Coulthurst said, recalling their 2017 and 2018 lobbying. “They came up with the Silurian standards for di erent practices. The biggest thing is no manure can be mechanically applied to soils less than 24 inches.

targeted testing by awarding a contract to GZA GeoEnvironmental for a fouryear well-testing program that uses professionals, rather than property owners, to collect the water samples. The company and county directly solicit participation by well owners, including farm owners, who did not get involved in UW-Oshkosh’s e orts to build a countywide database.

Sheryl Stephenson, project hydrogeologist with GZA GeoEnvironmental, said the rst year of sampling was broad, with more focus on subsequent years on areas of identi ed concern. GZA chose areas where there has been no participation, or geologicallysusceptible locations.

GZA reported its rst results in December 2023, and they’re testing for E. coli and total coliform bacteria and nitrate and nitrite, just like UW-Oshkosh. But they also are testing for emerging contaminants and “forever chemicals” – such as per- and poly- uorinated

“In the past, the CAFOs, the big farmers, could not spread manure on less than 24 inches of soil over bedrock,” Coulthurst said. Meanwhile, operators of smaller farms, such as with 100 cows, still could spread liquid manure over elds with very little soil over bedrock. Not anymore with the new standards.

“Now it’s an even playing eld across the board,” Coulthurst said.

In addition, the standards require pretillage of the soil before applications in late winter and early spring. Otherwise, earthworm holes and freeze-thaw cracks provide easy passage of liquids down to the rock.

Setback requirements and mapping guide where manure-spreading can and cannot take place.

“We’ll get calls occasionally saying ‘so and so is spreading,’ and is it legal?” he said. “We have audits. We go out in the eld and bring the nutrient-management plan out there and see if they are putting on the correct rate and that they have the soil depths and the setback.”

This year, the county required well testing by several property owners near where manure- and slurry-spreading has taken place. Coulthurst believes progress is being made.

According to the Door County statistics, among tests analyzed by UW-Oshkosh, E. coli was not present in any, while 5% of wells statewide have some present, and total coliform was found at excessive levels in 1% to 3% of wells, compared to a state average of 17%. However, Coulthurst noted that new targeted well testing will focus on some agricultural areas that did not participate in the previous well-monitoring program.

“Part of what we’re trying to do is to see if what we’ve done on the landscape with the farmers is working, or has it worked,” said Coulthurst, who believes “to a large degree,” it has.

City Water Municipal wells can become contaminated just as private wells can. To prevent or minimize those possibilities, municipal well operators are required to test regularly and report ndings to the Department of Natural Resources as well as the public.

In addition, the city adopted a wellhead protection plan back in 2003 to manage potential contamination sources to aquifers used by municipal wells.

Water plant operators have to stay vigilant, and to that end, the county worked with Sturgeon Bay to create a wellhead protection program.

In 2003, the city worked with the county to set up a program to protect wells that draw water from aquifers that stretch several miles outside of the city’s jurisdiction, into the Town of Sturgeon Bay, southward into the Town of Nasewaupee and to the north into the Town of Sevastopol.

The city closed some of its shallowest wells. At the time that the wellhead protection plan took e ect, three of the city’s ve wells that were in service required ozone treatment to protect against bacteria.

Since then, the City of Sturgeon Bay has deeper wells – ve that average between 305 and 477 feet deep – and they now have 300-foot-deep well casings to protect them from contamination from surface water, said Je Ho man, Water and Wastewater utility manager.

Door County Conservationist Greg Coulthurst shows aquifers that serve the City of Sturgeon Bay’s five deep wells. The county has ordered more well-testing in the area in blue, to make sure rules and guidance for agricultural areas are working. CRAIG STERRETT
Door County
shown trends that County of Door o cials can use to help keep drinking water safe.

Wetlands Connect Wildlife

We are fortunate in Door County to have numerous protected wetlands where so many vital members of the wildlife community live and interact. The Ridges Sanctuary in Baileys Harbor is a prime example.

It is so important to maintain clean unpolluted waters for the great numbers of plants, reptiles, amphibians, birds, sh, crustaceans and insects that live in them or nd their food there.

Some of you may remember the great swarms of may ies that appear for a few days in spring near large bodies of water. Lake Winnebago is one area where people think of them as a nuisance while they coat their homes and roads. I’ve also seen a large emergence of them on Kangaroo Lake one year.

This phenomenon is an annual occurrence during their mating season. It is well-established that an abundance of may ies means that the nearby water is clean and healthy. They cannot survive in polluted lakes. These insects are an important source of food for other insects, spiders, sh and birds.

Roy Lukes, my late husband, was so interested in learning all the species of dragon ies in Door County and worked hard to photograph them. Most of these magni cent yers need clean water to breed and dine on other insects. In fact, one item of food is the larvae of mosquitoes. Hooray for the dragon ies!

When the days become much warmer and it is sunny, you can walk on a few of the bridges way back in the northern swales at The Ridges Sanctuary and nd a partly submerged log with western painted turtles basking in the sun.

These creatures spend the winter in the so , oozy muck of the bottoms of the swales at near freezing

temperatures. The turtles come up to “thaw out” on the sunny log waiting for the water temperature to reach the low 60s before they can resume active feeding.

It is estimated that about 60% of their food is animal, such as snails, small sh and cray sh, and 40% is aquatic plant material.

These fascinating reptiles, whose ancestors lived with the dinosaurs, appear like statues on the sun-drenched log. But, if you get too close, they quickly dive into the water, heading for a safer place.

The wide-leaved cattail that calls many waterways home is a nesting site for red-winged blackbirds in much of the Midwest and yellow-headed blackbirds along the south end of Green Bay and in Horicon Marsh. The long, up to 8-foot stalks and leaves become nesting material for muskrat and beaver lodges and the massive starchy roots are eaten by geese and muskrats. Other birds that use the cattails are the least bittern and black-crowned night-heron.

The huge underwater biomass of an extensive cattail marsh can do a marvelous job of ltering and cleaning up the water. It helps immeasurably to improve the purity of the underground water that is found around the region and used by people living there.

Reptiles and amphibians such as the leopard frog, American toad, red-backed and blue-spotted salamanders and the northern water snake require clean water for food sources. They eat spiders which live near and on the water, small sh and crustaceans.

Clean water is where so many frogs and toads must lay eggs and then have the tadpoles grow. Roy and I were leading a tour of the Jackson Harbor Wildlife Preserve on Washington Island in June 2000. Lake Michigan levels

were quite low then and we found hundreds of toad tadpoles in the shallow waters along the sandy shore.

So many bird species use our waterways to seek food, to nest, or to migrate through. Many small sh and amphibians are eaten by the nesting birds. Some sandpipers and snipes eat cray sh which can be found along the shallow shorelines. Roy photographed a cray sh burrow at To Point one year and told me that is where the nymph stage, referred to as naiad (NY-ad), of the endangered Hines emerald dragon y will spend three to ve years. The dragon y eggs are laid in wet sand, mud or wet moss at the water’s edge. The long time that naiads spend in these wet environments means they need clean water.

When I moved to Door County in 1972 there were no sandhill cranes here. The fact that they require clean wetlands to nd food and build nests means it is vital that we not drain prime wetlands. Marshes, bogs, open edges of swamps and even ooded lowland elds are sought by these birds.

Waste grain remaining in elds are where we see these stately tall birds foraging in autumn. Once they return in spring, they look for earthworms, crickets, grasshoppers, beetles, mice and small snakes. The wetland areas will provide them with roots, tubers, seeds and berries as well as frogs and cray sh.

So, one can see how valuable clean water is to a wide variety of creatures that live among us. We always stop what we are doing outdoors when the sound of the sandhill crane bugles across the sky!

Our family-owned Cheese Store & Melt Bistro invites you to enjoy the best hand-crafted Wisconsin cheese and comfort food made from scratch with fresh, local ingredients. Don’t forget our catering and charcuterie board menus as well as a variety of local Door County products!

Also available are items in our Grab & Go cooler featuring; Prepared Meals, Charcuterie Boards, Salads, Snacks, Soups, Desserts, and more!

Aged Cheddar
A western painted turtle suns itself on a partly submerged log in a swale at The Ridges Sanctuary in Baileys Harbor. ROY LUKES
This sandhill crane found a safe place to build her nest in a large, flooded Door County field. ROY LUKES
A crayfish mound with Roy Lukes’ hand near the shore at Toft Point in Baileys Harbor. ROY LUKES

When the Peninsula Pulse asked me to contribute

a piece on water issues in the Great Lakes, I couldn’t say no, even though I knew it would take some digging.

It’s an incurable habit. I’ve spent 50 years covering the environment, o en water issues, as a journalist, researcher and author. Growing up in Green Bay, I learned early on how important Lake Michigan is to the region. In the 1950s, when artesian wells that provided drinking water for the city started drying up, the solution was a pipeline to the lake. Saved by Lake Michigan!

We then had plenty of water for our public swimming pools. The city built those pools a er the lower Green Bay became so polluted by industrial and municipal wastes that popular swimming spots were closed. On the way home from the pool, my buddy and I might sneak a cigarette down by the dirty East River, since no one would go there. We steered clear of the Fox River, choked with e uent and nearly dead.

Later in life, I joined high school pals in the annual smelt- shing ritual, that big party along the shores of the bay and lake. We didn’t know that the smelt were nonnative sh. Neither were the alewives that fouled beaches up and down the peninsula in huge die-o s.

The Clean Water Act (CWA) of 1972 brought big waterquality improvements, but the Great Lakes, the largest fresh-water system in the world, has endured a host of other problems. Today, invasive species like the round goby sh, rusty cray sh, and zebra and quagga mussels, have dramatically impacted the lakes, decimating sheries. In the bay, a dead zone develops regularly.

So, do we throw up our arms in despair, especially when we add climate change to the mix?

Well, I’m pinning my hopes on the work of sheries experts working to help the lakes nd their balance. Many of these limnologists, sheries biologists and, yes, concerned journalists, are young, smart and talented. They’ve helped grow our collective understanding immensely. They are people like Andrew Tucker, a conservation scientist with the Nature Conservancy (TNC) in South Bend, Indiana, and his colleague, Kari Hagenow, a coastal resilience specialist working to reduce nonpoint runo and ooding to stem the growth of the dead zone in the bay. They are Yvonne Drebert and Zach Melnick, a husband-wife team that produces cinema documentaries on environmental topics from their base on Bruce Peninsula in Ontario, Canada.

As Tucker notes, “the Great Lakes has a pretty incredible infrastructure of scientists and managers” – and lots of partners – from tribes to local, state and national governments, and nonpro ts like land trusts and foundations – all providing resources into e orts to preserve these gorgeous Great Lakes.

Everyone alive today has known only a dramatically altered Great Lakes system. Helping nature nd some balance is a long game, but my spirits were buoyed talking to some of these talented people. Drebert and Melnick comprise Inspired Planet productions. Last September, at the Kress Center in Egg Harbor, TNC hosted a sneak preview of one of their current projects: All Too Clear: Restoring the Great Lakes. The rst installment of the three-part documentary is nearing completion, and will be ready for audiences later this year. The title comes from the fact that while Great Lakes waters are remarkably clear, it’s nothing to cheer. Quagga mussels have all-but sucked the life out of the

system by ltering out the plankton so crucial to the lake food web.

The couple uses an underwater drone to show the extent of the mussel invasion, with stunning footage at depths of hundreds of feet showing lake bottoms covered with quaggas that rst arrived in Lake Michigan in 1997.

The quaggas have outcompeted zebra mussels (circa 1989 to Lake Michigan), another eastern European import that came to the Great Lakes courtesy of ballast water released from oceangoing vessels, a practice that has thankfully been regulated. Peninsula residents who remember beaches covered by razer-sharp zebra mussel shells may nd some small consolation in that. But unlike zebras that need hard surfaces, quaggas can also colonize so surfaces – and they have gone deep, in numbers so high we can’t count. It is said that quagga mussels lter all of Lake Michigan’s vast waters once a week, starving other life, including native white sh.

A New Balance – Over Time

In this challenging environment, lake experts are working toward a new balance, including stemming the spread of more invasives and restoring forage sh to the food web. One key is helping native species recover. “Generally, natives are hardier, more adaptive,” Tucker said. “To some extent, we’ve already seen how native species are adapting to the new normal.”

There’s evidence that white sh and lake trout are switching diets to consume mussels, he said, and Drebert noted that research in the Green Bay shows white sh are now hunting and feeding on round gobies. This is a major change for white sh, which historically have fed on zooplankton and other small creatures. And since the Green Bay is now the main source of white sh for Door County sh boils, it’s sort of a good thing. Drebert nds hope, but added “Nature needs time to respond.”

We’ve thrown nature some curveballs. For much of the last 70 years, the lakes were full of those skinny, silvery alewives – nonnative sh that provided food for lake trout and other native species, along with the salmon introduced to bolster the shery. It turned out, Tucker said, that alewives are what sheries folks call “wimpy.” Likely for a variety of reasons, their populations have plunged, and they’re not piling up on beaches.

Of course, if we hadn’t decimated native sh species by over shing, alewives may not have thrived at all. They lled a void in the middle of the food chain. As Tucker and Drebert noted, one key to balance is to reintroduce native forage sh like the near-shore cisco – sometimes called lake herring – that were once abundant and that don’t mind low-nutrient environments. That involves reef restoration, including removing invasive species if needed, and introducing hatchery-raised sh.

Even in the current quagga era, there are winners and losers, Drebert said. Smallmouth bass, for instance, are doing well. They are sight feeders, and there’s obviously plenty of clear water. Perch and lake trout are hanging in there.

But, as Tucker noted, “We need to continue to work to better understand some of these really complicated foodweb dynamics.” For instance, why are white sh doing OK in the bay as their numbers decline in most of the Great Lakes? And will they continue to thrive in the bay, which is subject to dead zones on an increasing number of days per year?

Dead zones are nothing new in the bay, and they creep well up the Door Peninsula, but their source

Great Lakes Food for Thought

The Great Lakes commercial, recreational and tribal fisheries are collectively valued at more than $7 billion annually and support more than 75,000 jobs, according to the Great Lakes Fishery Commission. Great Lakes partners are working to improve ballast-water handling on lakegoing vessels. Ballast-water regulations for ocean-going ships were implemented in 2008. Dan Egan’s 2017 book, The Death and Life of the Great Lakes, is a deep dive into the many challenges facing the Great Lakes. Egan, a Green Bay native, is also author of The Devil’s Element: Phosphorous and a World Out of Balance, relevant to the lakes and the Green Bay’s dead zone. Climate change? Abrahm Lustgarten’s recently published book, On the Move: The Overheating Earth and the Uprooting of America, focuses on climate-driven migration if the climate continues to heat up. Portions of the South, Southwest and costal America will become unlivable, he says. Where will people go? The Great Lakes. Why? The world’s largest fresh-water lake system and possibly fewer climate-change impacts in our region. Also, in-fill capacity in Rust Belt industrial centers that have lost population.

has changed. The CWA cleaned up point sources, but nonpoint runo is now the culprit – rainfall and snowmelt moving over and through the ground, picking up and carrying away natural and humanmade pollutants. Nutrients and sediment from nonpoint sources in the lower watershed push into the bay, trapping cold water below and robbing it of oxygen. Hagenow works with municipalities and other partners to control ash oods rumbling out of the East River, into the Fox, and then the bay, using mostly natural remedies like bu ers, rain gardens and forest restoration.

Of course, those ash oods will increase with climate change. Yes, it’s complicated. But good people are working hard to help the Great Lakes nd balance.

Journalist and author Bill Berry lives in Stevens Point and visits Door County o en. He has written about the environment and conservation for more than ve decades. His 2014 book, Banning DDT: How Citizen Activists in Wisconsin Led the Way, was named the top nature book of the year by the Midwest Independent Publishers Association.

–Bill Berry
Still shots from footage taken in Sturgeon Bay for the documentary, All Too Clear: Restoring the Great Lakes, show the extent of the mussel invasion problem in the Great Lakes. Shown
o a Door County shore 300 feet down is the Lake Michigan bottom covered with invasive quagga mussels. Inspired Planets Productions. A whitefish spawning group. Inspired Planets Productions.

o make greens roll well and keep fairways playable, golf course superintendents have used chemicals more sparingly and strategically than 20, 30, 50 years ago.

In addition, WGCSA provides superintendents with best-management practices, and the Golf Course Superintendents Association of America is working with the U.S. Department of Agriculture and U.S. Environmental Protection Agency to ne-tune standards for best golf-course practices.

He said course superintendents today use slow-release fertilizers more than they used to, and they also fertilize frequently in small doses that the plants can take up. They refer to that practice as “spoon feeding.”

“We’re not looking to produce the most corn, we’re looking to produce healthy grass that people will want to play on,” Schneider said.

In addition to creating bu er zones near waterways, golf course superintendents today spend a lot more time doing soil testing – and even grass-tissue testing – to make sure they put down fertilizers and treatments mainly where needed, said Jake Schneider, manager of Wisconsin Golf Course Superintendents Association (WGCSA).

“People are a lot more scienti c about it,” he said. He said soil samples o en reveal that certain fairways don’t need more potassium or fertilizer, or that many portions of the course need di erent amounts of nutrients.

More courses are using sprayers that run o of global-positioning systems to provide speci c amounts of product to speci c locations as mapped through planning. Also, many greens sprayers detect the edge of the green and shut down nozzles when they are not above the green.

In 2023, through planting cover crops and using no-till or reduce till, PPF farmers impacted:

Water quality

Phosphorus runoff was reduced by 60,894 pounds of phosphorus, potentially preventing 30.4 million pounds of algae growth in local water bodies.

Soil health

Farm fields have reduced sediment loss by 38,359 tons, equivalent to 3,835 dump trucks’ worth of soil.

Climate

Greenhouse gas emissions were reduced by 4,453 metric tons of carbon dioxide equivalents, which is equal to greenhouse gas emissions produced by 1,060 cars driven for a year.

Conservation practices

Conservation practices are used on 289,996 acres* among Peninsula Pride Farms members.

*Multiple conservation practices can be accounted for on the same acres.

LEN VILLANO FILE

Experts share ways to protect your well from above by CRAIG STERRETT craig@ppulse.com

We asked the Door County Conservationist if it’s possible for homeowners to accidentally poison their own wells.

Certainly, said Greg Coulthurst – and animal waste, fertilizers, leaked oil or pesticides can also travel away from your property to the neighbors’ wells.

“One of the most problematic is Kentucky bluegrass,” Koch said, noting that in certain locations, no amount of fertilizer and water will cause Kentucky bluegrass to thrive.

Shady spots need shade grasses, and sunny, dry spots need grasses that can handle that. He said ne fescues are more shade-tolerant, need much less fertilizer and are more slow-growing but drought-tolerant than bluegrass.

“It’s not very tra c-tolerant,” he said, but added, “for a lot of people, ne fescues work quite well.”

Koch said it’s important to read the labels and properly set the spreader or sprayer to not dump excess product. It’s even more important, he said, not to fertilize grass that’s not growing.

the Groundwater from Your Property

• If you have an abandoned well and old pump on the property, has the well been filled and sealed? Otherwise it provides an easy pathway to groundwater pollution.

• Direct downspouts to your lawn, rain garden or rain barrel, away from pavement.

Helpful Mowing Hint

The cracks are not straight that allow water to spill down through Door County’s fractured bedrock to aquifers. Sometimes the “zone of contribution” to a private well lies above a homeowner’s well, but some of the groundwater might come from the neighbor’s yard, or halfway down the block, Coulthurst said. Sometimes, much of the water stairsteps and zigzags its way to the well water from miles away.

With that in mind, Coulthurst, personally, doesn’t fertilize his lawn or spread pesticides and herbicides.

Dumping on your property, not picking up a er pets, over-fertilizing, or indiscriminately spreading weed killer, are just “another way of chronically exposing yourself to something you shouldn’t be consuming.”

“A lot of times fertilizer is put down too early,” Koch said, noting that the roots of the grass won’t take up all the nutrients if the ground hasn’t warmed and they’re not already growing.

Pre-emergent crabgrass preventers can be problematic, he said. Many of the granular products are incorporated with fertilizer, but traditionally people spread that between Easter and May. That’s when some of the fertilizer would go straight into the soil, he said. He also prefers pulling or spot-spraying weeds over granular products.

Grasscycling is leaving grass clippings on the lawn to decompose. Grass clippings are mostly water. When mowing regularly – and trimming less than an inch and less than one-third of the grass blade height – clippings quickly decompose and release nutrients to fertilize the lawn. Research shows that when short grass clippings are left on the lawn, one-third less fertilizer is needed to achieve the same color and grass density found on lawns where the clippings are removed.

Sources: Wisconsin DNR and UW-Green Bay

“How green of a lawn do you have to have?” Coulthurst said. “Do you have to have a Kentucky Bluegrass lawn, or is it OK to have a few dandelions?”

Expert Discusses Fertilizer Safety

While Coulthurst takes a purist view for his yard, not everyone does.

One of Wisconsin’s foremost experts on turfgrass, University of Wisconsin-Madison professor Paul Koch, said property owners should make sure they have “the right species of grass for the right situation.”

Koch suggests not fertilizing until Memorial Day, and then again in early July.

If people only fertilize once, the best time is September, when the ground’s warm and the roots should take up the nutrients to help the plants overwinter, Koch said. He prefers slowrelease products that will slowly feed the grass. If people are not using a spreader of the same brand as the product, they can take their square footage and calculate one pound of nitrogen for 1,000 square feet at a low-to-mid setting.

While some people think they can build up the soil pro le with milorganite, raking in one-quarter inch of a quality compost can help improve poor soils.

In fall, leaving some of the last leaves of the season on the yard and mulching them up or running through them twice with the mower can provide great nutrients for lawns. Koch said if people mulch the leaves on the lawn, they should make sure it’s a thin enough layer that they can see the grass leaves coming through.

“If the soil is not conducive to grass, look at other plants that might do better,” he said.

Coulthurst concludes: “If the grasses don’t take up the nitrates, the nitrates go into your groundwater. If the grass and leaves don’t absorb 100% of the pesticide or herbicide, it goes into your groundwater.”

• Do not apply fertilizer or pesticides near sinkholes, fractures or wells in your yard. Build berms or grade your yard to direct water away from sinkholes, fractures and wells.

• Test your lawn’s

Source:

Weather, Climate and Community

Exploring rainfall on the peninsula

When people think of water in Door County, they mostly think of the 300 miles of Green Bay and Lake Michigan coastline that contribute to so many of the region’s vital industries. Other people may think of karst bedrock and the challenges it creates for groundwater contamination. More people should think about rainfall.

Wisconsin Sea Grant is partnering with the Door County Land Trust and the Climate Change Coalition of Door County for an event focused on rainfall. The event, “Weather, Climate, and Community,” will focus on rainfall trends in Door County, why they matter, and how to get more involved in the science behind it all.

My interest as a Flood Resilience Fellow at Wisconsin Sea Grant is to think about rainfall from an extreme weather and disaster preparedness perspective.

The frequency and severity of rainfall is increasing across the United States, including Door County.

Although the peninsula has largely dodged the historic 100-year events – at least according to the single long-term rain gauge in the county, which lives a few miles north of Sturgeon Bay – the number of 2-inch rain events each year is increasing (as shown in the accompanying graph). Those 2-inch rain events should happen just once every year, but in the past decade there has been nearly twice as many as predicted. That amount of rain is not going to wash a beachfront home into the bay, but it could a ect mobility of vehicles more frequently.

Those moderately intense rain events also interact with lake levels to create a combined ood hazard. Studies in Green Bay’s East River demonstrated that high lake levels, such as those seen around 2020, can back up water that would otherwise ow into the bay and create upstream ood hazards.

Je Lutsey’s interest in rainfall at the Climate Change Coalition of Door County is to support the Door County Big Plant, the annual spring event where volunteers collectively plant thousands of trees. In many cases, those trees are planted in remote areas that are only accessible on foot. That means in dry years, hauling water to the young, thirsty trees is very resource intensive. Getting better information on where it rained and how much, can allow Lutsey to better allocate those resources to areas on the peninsula of greater need.

to get a clearer picture of rainfall on the peninsula. CoCoRaHS is a national weather monitoring network of volunteers that use rain gauges to check rainfall amounts and submit that data to the national database. By adding additional volunteer monitors across the peninsula, we’re able to see di erences in rainfall between Gills Rock, Jacksonport and Algoma.

At “Weather, Climate, and Community,” you can learn how to participate in the CoCoRaHS system, and there will also be a limited number of free rain gauges available for you to install at your property.

During the event, I will share the ndings of a Flood Vulnerability Analysis conducted for Door County, including precipitation trends and projects. Lutsey will review the 2024 Door County Big Plant and how you can get more involved, and Paige Witek of the Door County Land Trust will talk about the importance of citizen science and how the organization supports that.

To do that, we’re taking advantage of the Community Collaborative Rain, Hail and Snow Network (CoCoRaHS)

Food for Real People

The Carbon Challenge

Fresh air on a peninsula surrounded by water is just one of the attractions for residents and visitors to Door County.

But when it comes to electricity sources, the county relies heavily on coal and fossil fuels burned elsewhere.

Wisconsin Public Service’s (WPS) March 2024 Greenhouse Gas report to the U.S. Environmental Protection Agency showed that the percentage of energy generated or purchased for WPS customers that came from coal declined to 35.7% during 2023. However, lesspolluting natural-gas-powered generation increased to 47%.

Those figures kept WPS’s carbon-based energy sources at 83% in 2023, the same as in 2022, when 41% of the WPS mix came from coal and 42% from natural gas.

In 2020, 87.6% of WPS electricity came from coal or natural gas.

The amount of carbon emitted through production for WPS and through purchased power declined only slightly from 1,211 pounds per megawatt-hour in 2022 to 1,152 lbs/MWh in 2023, according to the March 2024 report.

So far, WPS is shrinking its carbon footprint, in part, by retiring old coal plants and switching some of the

more efficient coal-burning plants, such as Weston 4 near Wausau, to less-polluting natural gas.

WEC Energy Group, WPS’s parent company, will exit coal as a fuel source by the end of 2032, said Matt Cullen, WPS spokesman.

“We are well on our way to meeting our aggressive carbon emissions goals,” Cullen said, adding that the goals include reducing carbon emissions 80% below 2005 levels by the end of 2030, and becoming net carbonneutral by 2050.

Door County resident Roy Thilly, a former WPPI Energy (formerly Wisconsin Public Power) president

and chief executive who now serves as co-chair of the Climate Change Coalition of Door County (CCC), said it takes about 10 years to get permits to build a coal-burning plant – and no one knows what those regulations will be 10 years from now, and nobody’s trying to build one. Still, he said, at the present time, companies “cannot keep the lights on

Both

any times when land transfers from private ownership to the Door County Land Trust, more than the land itself is exchanged. For Ingrid Nelson Lawrenz, the Sister Bay property she recently sold to the Land Trust holds memories of a lifetime spent indulging in the joys of the wild places just outside her girlhood home.

It was the memories and desire to leave the land in its natural state that led her to wait for the Land Trust to secure funding before selling her property. It was never on the market. In the last five years, Ingrid said that she received a stream of letters from strangers asking her to sell her land. Answering some of the requests, she would simply write, “Never!” “I’m very protective of it,” she said. “Every spring I go into the woods and it’s

full of wildflowers. In the woods, a spring bubbles up where we caught so many fish – it’s incredibly fun to see fish around your feet. There’s also an increased population of fishers, gray and red fox, and raccoons. Cougars and bears have also come through.”

For the Land Trust, Ingrid’s description represents saving land with high ecological significance, especially with the location near the organization’s Three Springs Nature Preserve in Sister Bay. The groundwater springs on the property are part of the headwaters of Three Springs, which flows into North Bay before entering Lake Michigan. This means that the Land Trust is extending the protection of water quality in Sister Bay. To Ingrid, it’s about having the satisfaction of knowing that the waters where she fished and raft ed with family members will be protected. It’s also knowing that the woodland wildflowers she and her daughter, Eva, laid down in

will return each spring. And that the wildlife she spied on will continue to raise families in the woods, wetlands, and fields – just as she was raised on the property.

“It’s important to me that bees will remain in our field,” she said. “It’s so exciting for me.”

Waukesha, the family returned to Door County frequently to immerse themselves in nature again.

“The kids spent summers here and loved it,” she said. “When they were in grade school they knew the names of the birds, flowers and trees on our property.”

Entrusting such a cherished piece of land can take courage. For Ingrid, she’s more than confident with the Land Trust’s purchase.

“I believe in what the Land Trust is doing,” she said. “I’m proud to be a part of it.”

Located near Three Springs Nature Preserve, Ingrid’s property extends the protection of wildlife within the Three Springs-to-North Bay forested land corridor. Composed of connected lands –or those within proximity – the corridor allows for the movement of wildlife, which

Since birth, Ingrid has been surrounded by family on 200 acres of land that meets at the crossroads of Old Stage and Waters End roads. Her great-great grandfather on her father’s side, Izaac Nelson, was the first family member to purchase land in the area. Her maternal grandfather, Gust Johns, purchased his 40 acres across the street from Nelson during the Great Depression. Ingrid’s love of nature has been shared by her husband, Melvin, and her son, Christopher, and daughter, Eva. When the couple moved from the home where Ingrid grew up in Door County to

is necessary for their survival.

Although the Lawrenz property is not open to the public at this time, visitors can enjoy the Land Trust’s Three Springs Nature Preserve. Free and open to the public, the preserve’s 1.75-mile looped hiking trail features a scenic lookout over springs and wetlands. The preserve also contains old stone fences and historic farm buildings, including a barn that is a significant roosting site for little brown bats.

A past photo of Ingrid Nelson Lawrenz with her daughter, Eva, on property she recently sold to the Door County Land Trust. Submitted.
New Door County Land Trust property in Sister Bay. Submitted.

BOYS BASEBALL

Pioneers Split Twin Bill with Bulldogs

Sevastopol split the Packerland Conference baseball doubleheader it hosted Saturday against Peshtigo.

The Pioneers dropped the first game to the Bulldogs, 8-1 –committing more errors in the field (six) than it tallied hits at the plate (five). Drake Olson batted in the lone run in the sixth. Logan Schuh recorded the team’s only extra-base hit with a double.

In game one, the lead seesawed before the Vikings gave up three runs in the bottom of the fifth and lost to the Wolves, 9-5.

out three. Brady Kita took the mound to close out the game.

Of Gibraltar/Washington Island’s eight hits, Marshall Maltby and Cameron Munao had two apiece with both players recording a double.

The Vikings, who are 2-1 in the conference, host Southern Door on Saturday.

Clippers 3-1 in Packerland

Game two ended in dramatic fashion with Sevastopol pulling out a 4-3 victory over Peshtigo when Schuh tagged out the Bulldogs’ Canon Bickel at the plate to prevent the tying run from scoring.

The Pioneers’ nine hits included two apiece from Tyler Grooters, Chase Haberli, Gavin Jorns and Frankie de Young. Jorns and Grooters each doubled.

Haberli pitched 6 1/3 innings in the win, allowing three earned runs on five hits with a walk and a hit batter while striking out six. Oliver Mathews got the save, recording the final two outs.

Vikings Split With Wolves

Gibraltar/Washington Island endured a 9-5 loss and rebounded for a 9-7 win in the nightcap Friday at Algoma.

Gibraltar/Washington Island’s Bennett Isaacson-Krueger recorded the pitching victory during the second game of last Friday’s Packerland Conference baseball doubleheader at Algoma. KEViN BONESKE FilE

Aaron Brey pitched the first five innings and recorded the loss, allowing eight runs, three earned, on 11 hits with two hit batters while striking out four. At the plate, Brey accounted for three of Gibraltar’s nine hits and drove in two runs. Luke Rericha and Bennett Isaacson-Krueger each doubled for the Vikings.

Gibraltar won the second game over Algoma, 9-7.

Isaacson-Krueger pitched 6 1/3 innings in recording the win, allowing all seven runs, five earned, on 13 hits and a walk while striking

Pioneers Swept by Peshtigo

Sevastopol showed promise at the plate but dropped both games of the softball doubleheader it hosted Saturday against Peshtigo.

Sturgeon Bay opened Packerland Conference play 3-1, sweeping Saturday’s road doubleheader against NEW Lutheran, 5-3 and 10-1, and then splitting Monday’s home twin bill against Oconto, winning the first game 10-4 and losing the nightcap 6-3.

“Oconto is a good team, and anytime you can defeat them soundly, it’s a step forward,” said Clippers head coach Neal Henrigillis. “We could have taken both halves of the doubleheader, but couldn’t stay mentally focused enough in game two and let blunders get the best of us.”

Sturgeon Bay pounded out 16 hits in the first game against the Blue Devils, with Braylon LaRoche and Caleb Plzak tallying three each and Bryce Plzak, Danny Lodl and Garrett Ulberg with two apiece.

Brody Kollath started on the mound for the Clippers and pitched four shutout innings in recording the win.

The Pioneers dropped the first game against the Bulldogs in eight innings, 9-6, despite outhitting Peshtigo 15-9. Sevastopol got four hits from Taylor Kochanski, who also drove in a run. Addison Schauske added three hits with a home run, double and two RBI. Naomi Rikkola went 3-for-5 at the plate with a homer and a double and also stole two bases.

Sevastopol’s Addison Schauske delivers a pitch during the second game of Saturday’s home doubleheader against Peshtigo. KEViN BONESKE

Schauske pitched all eight innings in recording the loss, allowing five earned runs while striking out three.

The Pioneers held a 4-1 lead before allowing four runs in the bottom of the seventh and losing to the Bulldogs, 5-4.

Schauske again pitched the distance for Sevastopol in picking up the loss, allowing three earned runs over 6 2/3 innings and striking out seven.

Of Sevastopol’s 10 hits in game two, Schauske, Kayla Ranly and Brynn Schartner each batted 2-3.

The Pioneers fell to 2-2 in Packerland play going into Thursday’s doubleheader at Sturgeon Bay.

Sturgeon Bay recorded a team win april 11 in the season-opening packerland Conference meet.

laVine carded a 1-over-par 37 on the front nine at Cherry Hills, Sturgeon Bay. Sturgeon Bay junior Tre Wienke (42) finished second, with luke Selle (46) and porter rabach (48) also pacing the Clippers. Teddy roth had the fourth-lowest score, a 45 for Gibraltar.

The Clippers combined for a 185 (a scoring average of 46.5), with Southern Door second at 191, followed by Kewaunee (218), Oconto (229), peshtigo (241) and Sevastopol (257). NEW lutheran had three players, one short of having a team score.

Sturgeon Bay also won the second packerland Conference match of the season Monday at The Woods Golf Club in the Green Bay area.

The Clippers carded the top team score of 175, followed by Southern Door (203), Gibraltar (204), Kewaunee (214), peshtigo (229), Oconto (230) and Sevastopol (232). Wienke shot a 40 to take individual honors. Kewaunee’s Evan Maccaux was a stroke off the lead at 41, with Oconto’s Carter Koch third at 43 and four players tying for fourth at 44, including the Clippers’ Calvin richard and Owen pichette and the Eagles’ laVine.

CLIPPERS LOSE PACKERLAND GIRLS SOCCER OPENER

a goal by peshtigo’s audra Bauman in the seventh minute was the difference Monday when Sturgeon Bay’s girls soccer team lost its packerland Conference opener 1-0 at peshtigo. Clippers goalkeeper isabella Jimenez Seyfer made eight saves in net. Sturgeon Bay, which hadn’t scored a goal in its first five games this season, saw two of its scoring opportunities against the Bulldogs hit the pipe.

The Clippers’ season record stood at 0-1 in the conference and 0-3-2 overall going into Thursday’s league match at home against Sevastopol/Gibraltar.

GIRLS SOFTBALL

Habitat for Humanity Opts Not to Build Home in 2024

Due to financial factors and not identifying a partner family, Door County Habitat for Humanity will not undertake new home construction this year.

“Although this news may come as a disappointment, it is grounded in a fundamental commitment to fiscal responsibility and ensuring the long-term sustainability of our local mission,” said Lori Allen, executive director.

Traditionally, Door Habitat built one new home annually. During

Fossil Fuels

continued from page 1

2022-23, Habitat completed two new homes and a remodel.

“The rise in home costs continues to stress our financial resources,” Allen said. “In today’s economic climate, competition for funding is fierce, and we must ensure that every dollar is used wisely to maximize our impact.”

Allen said Habitat will focus this summer on ReStore operations and sales, critical home repair, ramps and deconstruction of home renovations to recycle, reuse and resell valuable building resources. Learn more at DoorHabitat.org.

that opened in Georgia in 2013 was the first in seven years. Stawicki said he sees promising advancements in nuclear-power generation, such as some 300-MW “small modular reactors” with about a third of the capacity of traditional nuclear plants.

Wind, Solar and Hydroelectric Energy

The percentage of wind, solar and hydroelectric electricity generated or purchased for WPS customers in 2023 remained about the same as in 2022 – 4.4% from wind, 3.6% from solar and 8.8% from water power. That is changing, Cullen said, with WEC Energy Group expanding use of wind power and building some of the biggest solar-based generating stations in the state – such as a 300-megawatt (MW) facility in Iowa County that fully opened in December 2023, and similar-sized solar parks in Kenosha, Dane and Walworth counties. Each of those will have between 200 and 300 MW capacity in solar generation, plus battery storage to provide power from sunshine after sunset.

Cullen said WPS has a goal to use the solar and wind power for its energy baseload. A Microsoft data center near Milwaukee in the Interstate 94 corridor will have an enormous demand for energy, and must not ever lose energy, he said. Cullen said WEC is constructing a 1,200-MW, natural-gas-burning plant to ensure reliable service to Microsoft even when demand is high statewide for electricity.

For practical and economic purposes, electric companies and cooperatives nationwide cannot rely entirely on resources such as wind and solar, Stawicki said. Utilities need to deliver reliable electricity when the sun isn’t shining and the wind isn’t blowing.

“Wind and solar are intermittent,” Thilly said. “A utility needs to match the generation it needs on a second-by-second basis.”

Overall, it’s a balancing act for utilities, Stawicki said.

“It’s a three-legged stool for us,” Stawicki said. “It’s reliability, affordability and sustainability. All three components have to work. We could put ourselves out of the market of our customers, too.”

DORIS JEAN HARRISON

Dec. 22, 1935 - April 7, 2024

Doris Jean Harrison (nee Bynum), at the age of 88, residing in Ellison Bay, peacefully passed away on Sunday, April 7, 2024.

She was born, the eldest of 10 children, on Dec. 22, 1935 in Water Valley, Mississippi.

Doris is survived by her two children, Patricia (Ron Jones) Moreno-Jones and Ronald (Marion) Moreno. She was a beloved grandma to Adam Jones, Jeremy Jones, Abbey Jones, Ryan Moreno, Andrew Moreno, and Hailey Moreno; and great-grandma to Kyli, Caeden and Ivy Moreno. Doris is also survived by her loving sister, Linda Dalton and dear brothers, Charles (Gloria) Bynum, Steve (Cathy) Bynum, Tony Bynum, Eddie Bynum, and Joe Bynum. She was a special Godmother; aunt; cousin; and friend of many.

Doris was preceded in death by her parents, Stanley Bunyan Bynum and Era Alice Bynum (nee Butts); brothers, James (Mackey) Bynum and Roger Bynum and sister, Geraldine “Geri” Hagen.

She spent her school years attending Taylor grade school and Water Valley High School where she was a proud Spelling Bee Champ, graduating in 1954. Doris moved to Chicago shortly after graduation and worked in the banking industry.

She married Anthony Salvatore Moreno June 1, 1956 in Chicago, IL, and in 1965, they moved to Riverdale, Illinois.

Doris spent her time raising her children and was very involved in the community including, Scouts, Little League Baseball, School PTA, and as a Sunday School Teacher at the Ivanhoe United Methodist Church.

She worked at Riverdale Bank for five years, and then worked at Amoco in Chicago for six years, eventually retiring from Abn Amro Bank in Chicago in 1998.

Doris remarried March 14, 1999 to Arthur Harrison of Burbank, Illinois. They enjoyed traveling and visited many beautiful locations.

After retirement, Doris worked numerous part time jobs and spent time babysitting her grandchildren.

In 2007, she moved to Sturgeon Bay and eventually settled in Ellison Bay. She enjoyed her time in Door County, and spending time with her family.

Doris’s life will be honored by family, privately, at her request.

Throughout her life, she gave to organizations that were important to her such as cancer research, children, food charities, veterans, and animals.

Casperson Funeral Home & Cremation Services in Sister Bay, WI is assisting the family. Expressions of sympathy, memories, and photos of Doris may be shared with her family through her tribute page at caspersonfuneralhome.com.

salvage of items and materials for resale this year rather than building a new home for Habitat for Humanity. FilE

doorNOTES

HARBORETTES MEND CLOTHES FOR COMMUNITY

The members of the Harborettes Home Community Education Club are holding a spring Day of Mending, april 27, 9 am – 1 pm, at the Jacksonport Town Hall as a community-service project. Take clean clothing or linen items that need mending, and Harborettes members will sew on buttons, repair seams and hems, and patch items (no zipper repairs). The proceeds of a bake sale at the event will help to fund the club’s projects. The Egg Harbor-based Harborettes are part of the Door County association for Home and Community Education. For more information, call 920.559.0379.

June 29, 1957 - April 10, 2024

Patricia (Pat) H Waldron, 66, of Sturgeon Bay, passed away on April 10, 2024, at her beloved home in Jacksonport, with her loving family by her side.

She was born June 29, 1957, in Chicago,, the daughter of Richard and Florence (Callaghan) Hyland. Pat grew up in the Beverly neighborhood on the south side of Chicago attending Christ the King primary school and later graduating from Mother McAuley Liberal Arts High School with the class of 1975. Upon graduation from high school Pat attended Bryman School where she received her Medical Assistant Certification. In 1978, Pat decided to head out west to grow up with the country, landing in Denver where she worked as a lab technician for the Bureau of Reclamation. It was during this time that she met her future husband, Tony, and together they took off on a 6-month backpacking trip in Europe, becoming engaged in Ireland. On Dec. 30, 1981, they were united in marriage at Christ the King Church in Chicago. They began their life together in Fort Collins, Colorado where Pat put Tony through college while working for the Social Security Administration for 10 years. During that time, they purchased a small farm in Keenesburg, Colorado, where they would live for the next 30 years while raising their family.

Pat was an entrepreneur at heart and started and operated several businesses throughout her life including a licensed daycare facility, a food catering business, and managing HyWal Farms with her family. In 1998, she went to work as a flight attendant for United Airlines where she worked for 10 years. Pat was on one of the last flights before the 9/11 tragedy occurred and was on the first wave of flights after this horrible event. Upon her retirement from United in 2010, she started an Organizing Business (before it was hip) and operated it until her retirement. One of her organizing encounters led her to her last job when she became the office manager at Pawnee Buttes Seed in Greeley, CO until her retirement in 2019.

In 2016, Pat and Tony began their search for a retirement home in Door County. In 2018, Pat found her dream home and they moved to Door County officially in 2019. It brought her much joy and peace to be able to spend her final days on the shores of Lake Michigan.

Pat had an incredible green thumb and it showed in her beautiful house plants and gardens throughout the years. She was also an avid bird watcher and observer of astronomical events. Pat had a beautiful singing voice and pitch perfect hearing and rhythm. After years of suffering, she finally convinced her not so rhythmic husband to take up ballroom dancing lessons in 2010. They enjoyed this activity immensely until her passing.

Of all her varied careers, her greatest achievement was raising her three children, giving them roots and wings, and watching them become productive citizens. They were all at her side during her passing.

Pat will be missed by her devoted husband, Anthony “Tony”; daughters, Emily Waldron (Elise) of Cortez, Colorado; Sarah (Justin) Feld, grandson James Feld of Washburn, North Dakota; son, Conor (Courtney) Waldron, granddaughter Chesney Waldron, grandson Wayne Waldron; sisters, Mary Ann Rowan, Nancy (Wil) Lawrence; brothers, Richard “Dick” (Kathy) Hyland, Christopher “Chris” Hyland, and numerous nieces and nephews. She was preceded in death by her parents; brother, John Hyland; brother-in-law, John Rowan; sister-in-law, Dianne Hyland; brother-in-law, David Waldron.

Pat ‘s life will be honored with a memorial service held at Huehns Funeral Home, 1414 Michigan St., Sturgeon Bay, on Saturday, April 27, 2024 at 11 am.

The family will be receiving friends and hosting a luncheon immediately after the service at Alexander’s Restaurant at 3667 Hwy 42 in Fish Creek.

Donations may be made to Unity Hospice.

Huehns Funeral Home in Sturgeon Bay is assisting the Waldron family. Expressions of sympathy, memories, and photos of Pat may be shared with her family through her tribute page at huehnsfuneralhome.com.

lifeNOTES

As a free public service to our readers, the Peninsula Pulse presents Life Notes, devoted to the notable milestones in life, from birth to significant birthdays to engagements, weddings and obituaries. The deadline for submissions is noon on Friday. Send submissions to lifenotes@ppulse.com. The Pulse reserves the right to edit submissions to conform to space. Call 920.839.2121 for details. Birth notices are from Door County Medical Center in Sturgeon Bay unless otherwise noted.

BirTHS

Adela Arteaga Godinez and Jose Angel Macias, of Sturgeon Bay, are the parents of a baby girl born april 9, 2024 at Door County Medical Center. The maternal grandparents are lucia Del Carmen Godinez and Heliodora arteaga Macias of Mexico. The paternal grandparents are Elena Sandoval Ortega and Jose Guadalupe Mancias Medrino of Mexico.

Monica Adelaido Rodriguez Garcia, of Sturgeon Bay, is the mother of a baby girl born on april 9, 2024 at Door County Medical Center. The maternal grandparents are Herlinda and Juan Garcia of Mexico. The paternal grandparent is Juan Sanchez of Mexico.

Clarie Hicks and Will Hartman, of Sturgeon Bay, are the parents of a baby girl born on april 9, 2024 at Door County Medical Center. The maternal grandparents are Katie and Mike Starr of Sturgeon Bay. The paternal grandparents are Tammy and andy Hartman of Sturgeon Bay.

Devin Vandertie and Jose Arce, of Brussels, are the parents of a baby boy born on april 8, 2024 at Door County Medical Center. The maternal grandparents are Sandra and Gary Vandertie of Maplewood. The paternal grandparents are Dalia and Joe Nunez of Green Bay.

DEaTHS

See full obituaries.

Roger John Patza May 16, 1946 - April 15, 2024

Patricia H Waldron June 29, 1957 - April 10, 2024

Thelma Walker Oct. 8, 1924 - April 7, 2024 continued on page 4

Oct. 8, 1924 - April 7, 2024

Thelma Walker, 99, of Sturgeon Bay passed away April 7, 2024, with family and friends by her side. She was born Oct. 8, 1924, in Sturgeon Bay to Norwegian and German immigrants, Gustave and Frieda Forland.

Thelma attended school in the Sturgeon Bay area, starting at Silverdale Elementary School and graduating from Sturgeon Bay High School in 1942. She attended Lutheran Deaconess Hospital School of Nursing in Chicago, graduating in 1945 with a Registered Nurse degree.

During nurses training, Thelma was a Cadet Nurse at Mayo General Hospital in Galesburg, Illinois. After receiving her RN degree, she worked for several years at Madison General Hospital Madison.

Thelma married Thomas J. Walker on May 24, 1947; they were married 36 years before his passing in 1984. Although Thelma lived the majority of her life in Sturgeon Bay, she also lived in Green Bay for a time where she made many good friends. Thelma was a homemaker and raised 5 children. She loved and appreciated art, books, gardening, music, theater, quilting and couldn’t resist picking up a really great rock from the beach. Over the years, Thelma volunteered for many community events and causes. She was recognized for her quilting and needlecraft work, making banners for events and local churches. She was a member of Hope Church, the PEO Sisterhood, and the Miller Art Center.

Thelma was proud of her heritage and was a member of the Sons of Norway. She learned the art of Rosemaling, following in the steps of her greatgrandfather. Her familial roots were deep within Door County which led her to be a member of the Door County Historical Society. She shared her knowledge with the community through cemetery walks, volunteer work and casual conversation.

Survivors include, her children, Steve Walker of Madison and Sturgeon Bay, Scott Walker of Sturgeon Bay, Kris (Dave) Walker-Widby of Anchorage, Alaska, Anne-Marie (David) Schwarz of Clearwater, Florida. Grandchildren: Alex Walker, Brett Walker, Erin (Widby) McGregor, Alyssa Widby, Emma Schwarz and Zoe Schwarz, Great-grandchild: Madison McGregor, many nieces and nephews. She was preceded in death by her parents, siblings Heinz Radtke of Grand Rapids, Michigan, Ruth Lomberg and Evelyn Winkler of Seal Beach, California, husband Tom Walker, and son Daniel Walker of Galveston, Texas. Thelma was also preceded in death by her dear friend Dr. Clyde ‘Hap’ Smith, whose friendship she cherished.

A Celebration of Life is being planned for October 2024, details to be announced at a later date. In lieu of flowers memorials can be given in her name to Hospice. Forbes Funeral Home in Sturgeon Bay is assisting the family. On-line condolences may be offered at forbesfuneralhome.com

Special thanks to Terry Kazmar, who loved and supported Thelma in her later years. Thank you to Preceptor Hospice nurses and social workers, Kori, Christine, and Maria and the staff at The Courtyard at Bellevue, Green Bay.

PATRICIA H WALDRON
THELMA WALKER
Door County volunteers will be working on repairs, ramps and

Doris Jean Harrison

Dec. 22, 1935 - April 7, 2024

Eldora J. Hoague

Nov. 4, 1931 - April 1, 2024

Carol Sieraski

Dec. 24, 1933 - April 1, 2024

Janet M. Reimer

Sept. 25, 1927 - Jan. 12, 2024

OBiTUariES

Bruce H. Dombrowski

June 7, 1950 - April 12, 2024

Bruce H. Dombrowski, 73 years, of Sturgeon Bay, died at his home on Friday april 12, 2024. He was born June 7, 1950, in Cicero, illinois, the son of Bruno and anna Mae Dombrowski. Bruce entered the United States army early with permission of his father and served two tours of combat in Vietnam. On June 10, 1976, he married Susan anne Milkent. They moved to Door County for Bruce’s employment at Baileys Harbor Yacht Club as chef. He has also worked for The lodge at leathem Smith, C&C Supper Club in Fish Creek, and Dunham’s Sporting Goods in Sturgeon Bay. There will be no public service. Huehns Funeral Home is assisting the Dombrowski family. Expressions of sympathy, memories, and photos of Bruce may be shared with his family through his tribute page at huehnsfuneralhome.com

Marjorie Bjorklund

January 24, 1928 - April 5, 2024

Marjorie Bjorklund died on april 5, 2024 at the age of 96, in Sister Bay. She was born in Oberlin, Ohio on Jan. 24, 1928 to leo and lillian Holden. She graduated with a Ba from Oberlin College with majors in fine arts and botany, and played French horn in the Conservatory orchestra and concert band. She attended graduate school at the University of Montana, receiving her Ma in botany. Following graduation, she worked for a botanical company in ripon. There will be a private family memorial service with burial in Baileys Harbor. if you would like to honor Marge, contributions are suggested to Open Door Bird Sanctuary (4114 County road i, Sturgeon Bay, Wi 54235; opendoorbirdsanctuary.org). Condolences can be sent to the family at p.O. Box 20, Sister Bay, Wi 54234.

David Lee Norton

July 10, 1951 - March 2, 2024

David lee Norton, 72, of Omaha, Nebraska, died March 2, 2024. He was born on July 10, 1951 in Washington D.C. to paul and Margaret (Chandler) Norton. He graduated from Bellevue High School in 1969 and then moved to Chicago to attend Moody Bible institute. David met Mary leeder at Moody in the spring of 1970, and they married at the Sister Bay Baptist Church in august of 1972. David and Mary welcomed their first daughter, Kristi, in October 1975 and their second daughter, Jennifer, in 1981. David will be laid to rest in little Sister Cemetery in the Town of liberty Grove with a private committal officiated by rev. Dr. Mark Billington. Memorials may be given in David’s name to Covenant presbyterian Church (15002 Blondo St., Omaha, NE 68118) or The Moody Bible institute of Chicago, alumni association (820 N. laSalle Blvd., Chicago, il 60610).

ROGER JOHN PATZA

May 16, 1946 - April 15, 2024

Roger J. Patza, 77, of Sturgeon Bay, passed away on April 15, 2024, surrounded by his family after a brief battle with cancer. He was born May 16, 1946, to Joseph and Glenice Patza.

Roger attended Sevastopol High School and graduated with the class of 1965. He married Jane Schubert on December 16, 1967.

After high school, Roger served his country in the U.S. Army from August 1968 – March 1970. He served in Vietnam where he earned the Bronze Star, Air Medal, Army Commendation for Heroism, and 2 Purple Hearts. For 37 years, he was an active member of the American Legion, Post #372.

Roger had worked for the UW Agriculture Research Station and on the family farm for many years. He had also worked for Precision Machine, the Door County Highway Department, and as a bus driver for Southern Door Schools. He enjoyed fishing, hunting, gambling, painting, dominos, and gardening. Roger was a longtime member of Salem Lutheran Church. He will be fondly remembered for his heart of gold and his sense of humor, which often included a little “sass”.

He is survived by 3 children, Jodi (Ryan) Wery, Jason (Andrea) Patza, and Jennifer Patza; grandchildren: Ashley (Taylor) Bley, Lexi (Ethan Delfosse) Wery, Natalie Patza, Jacob Patza, Kyle (Ashley) Ploor, Cynde (Andy) Krowas, Alex (fiancé, Jaida Gerrits) Ploor; greatgrandchildren, Kolten and Harper Ploor; 2 sisters, Ann Edmunds, Terri Schiltz; in-laws: Roger and Wendy Schubert, Paul and Deb Schubert, Scott Brown, Isabel Patza, and Norma and Dale Uecker; many nieces and nephews; and his beloved dogs, Zoey and Leo.

He was preceded in death by his parents; wife, Jane; 3 brothers, Ken, Bill, and Robert; sister Sharon Adams; parents-in-law, Irene and Lawrence Schubert; other in-laws, Allan Schubert, Lois Schubert, Pat Patza, Lee Adams, Tony Jennerjohn, and Lee Edmunds.

Per Roger’s wishes, a private family service will be held at a later date. Forbes Funeral Home is assisting the family. On-line condolences may be offered at forbesfuneralhome.com

Special thank you to Brenda Melnarik at the Green Bay V.A. and Kristen at Unity Hospice for their wonderful care and support.

ELDORA “ELLY” J. HOAGUE

Nov. 4, 1931 - April 1, 2024

Eldora “Elly” J. Hoague, 92, passed away peacefully with her loved ones by her side on April 1, 2024, at Aspirus Hospice House in Wausau, where she spent the last week of her life. Elly resided in beautiful Sturgeon Bay for most of her married life. In 2020, she moved to Merrill and lived with her daughter Cindy and son-in-law Bob. Elly enjoyed four years of life in Merrill, seeing her grandchildren, their spouses and great-grandchildren often.

Eldora was born Nov. 4, 1931, at Saint Elizabeth Hospital in Appleton to George and Dorothy (Ell) Ballard. She graduated from Appleton West High School in 1949, where she was a member of the National Honor Society. She attended the University of Wisconsin-Madison, where she majored in art education. It was there that one day she took a phone call meant for another lady and ended up meeting her future husband, Raymond. They were married June 21, 1952, and began their life together in Ellsworth, Wisconsin where Ray was employed with the Department of Agriculture, Soil Conservation Service. In 1954, Ray and Elly (as she was known by family and friends) moved to Sturgeon Bay where Ray took a similar position in Door County. They enjoyed a wonderful 53-year marriage with three children, seven grandchildren and eight great-grandchildren.

Elly was a devoted wife and mother with a strong Christian faith. She was compassionate, kind, and often quiet, but exhibited her love and faith through acts of service, words of encouragement, and prayer. Elly was an active member of the Sturgeon Bay United Methodist Church for 65 years. She was a steadfast member of the church choir, taught Sunday school, joined with others in Bible study, helped prepare the annual Church Lumberjack Supper and Thanksgiving meals offered to the community and many other ways to spread Christ’s love and serve Him and those around her. Elly shared her faith, friendship, and talents by taking part in many short-term mission trips with her husband to Montana, South Carolina, Indiana, Mississippi, Illinois, Texas, Arizona, Georgia and Guatemala. Her favorite trip was to Israel to see all the holy sites. She helped families realize the joy of home ownership with support to Habitat for Humanity, assisting in the construction of 13 homes not only in Door County but also Green Bay, Janesville, Moline, Illinois, and Lafayette, Indiana. She gave of her time and energy to the Feed My People/Clothe My People organization. Elly also was a Board member of the “Sunshine House” in Sturgeon Bay for many years, an organization that supports and serves people with disabilities. Elly’s compassion and love was showered on children especially those with disabilities throughout her 21-year career, first at Cherry School in Sturgeon Bay, then at Southern Door High School and finally at Sevastopol High School, where she retired in 1993. Elly and Ray shared the love of gardening, especially in the last home they would own together, where a huge backyard was carefully planned and terraced to blend many flower varieties with stones and driftwood collected from across Door County to provide a peaceful, beautiful place for many to visit, sit a while, and enjoy their handiwork and God’s creation. Elly and Ray had many other interests - classical music with trips to concerts in Minneapolis, Chicago, Detroit, Cleveland, Interlochen, Michigan and Tanglewood, Massachusetts. They loved to bike the miles of many different Wisconsin trails, carefully logging each trip to complete each trail’s entire length. Camping throughout Wisconsin and across the US began when the children were young and shared with extended family to provide simple enjoyment together and lasting memories. Elly loved her grandchildren, always having crafts or cooking to engage with them and hear about their lives. Elly loved cardinals and owls and her home was always filled with reminders of these beautiful birds. She said water was always special to her. Growing up, she fondly remembered canoeing with her parents on the Fox River. Spending most of her life in Sturgeon Bay, she loved all the beauty of Door County waters. Trips to visit children and their family offered views of the Wisconsin and Mississippi Rivers. Many visits to her parents’ retirement home on Chain of Lakes in Waupaca provided enjoyable times and memories of fun on those lakes.

Eldora is survived by her daughter, Cindy (Robert) Klessig of Merrill; son, Mark Hoague of Panama City, Florida; seven grandchildren, Kimberly (Jay) Whitaker, Lindsay (Luke) Savage, Ryan (Rebecca) Klessig, Nicole Hoague, Rachel Hoague, Emily (Adam) Duncan and Kerri (Kenny) Swanberg; eight great-grandchildren; one sister, Nancy Schwemin of Appleton. She was preceded in death by her parents; husband, Raymond; and son, David.

A memorial service will be held Saturday, May 11, 2024, at the United Methodist Church in Sturgeon Bay with Pastor Leistra officiating. Visitation from 10 am to 11 am, service at 11 am, and luncheon following service. Burial will be at Schumacher Cemetery for the family at 2:30 pm.

Donations to Eldora’s memory may be made to the Sturgeon Bay United Methodist Church for the David Hoague College Scholarship Fund or other church memorials.

We’d like to thank Mom’s home hospice team (Jenn, Courtney and Jen) from Aspirus Home Hospice for helping care for our Mom at our home in Merrill for the past few years. Also, great thanks to the Aspirus Hospice House in Wausau for lovingly caring for our Mom the last week of her life.

Elly was thankful for many things in her life, but especially for her Christian faith, which began with her parents leading, and then grew when she met Ray and he became a spiritual leader of their home, their active participation in worship and study in the United Methodist Church, and special friends like Rosemary Hintz and Ann Stannard who encouraged daily prayer and quiet time. Elly relied on Jesus Christ for life’s joys, challenges, direction and purpose. She enters God’s presence singing with faith and confidence in the redeeming faith provided by her Savior, Jesus Christ. Huehns Funeral Home of Sturgeon Bay is assisting the family. Expressions of sympathy, memories, and photos of Elly may be shared with her family through her tribute page at huehnsfuneralhome.com.

JANET M. (STOLL) REIMER

Sept. 25, 1927 - Jan. 12, 2024

Janet M. Reimer, 96 of Baileys Harbor, passed away Friday, Jan. 12, 2024 at Hearthside in Sister Bay after a lengthy illness.

She was born Sept. 25, 1927 in Milwaukee and raised in West Allis, the daughter of the late John and Lillian (Teich) Stoll.

She graduated from Nathan Hale High School in West Allis in 1945. She attended the US Cadet Nursing Corp through the Milwaukee County General Hospital School of Nursing and graduated in 1948 as a “Registered Nurse”.

On Sept. 1, 1951, she married Donald W. Reimer at Immanuel Lutheran Church in Baileys Harbor. Don preceded her in death in 2001. Janet worked as a registered nurse for Dr. Brook in Sturgeon Bay, Door County Home Care and Porter-Kiehnau Home Care. She and her husband Don worked in the cherry industry owning their own orchards, and co-owners of Northern Door Cherry processing plant.

Janet was a great person to all who knew her. She loved her grandchildren. Janet and Don had a great life and enjoyed spending time with their family, friends, and traveling together.

She was a member of Immanuel Lutheran Church in Baileys Harbor where she sang in the choir and served with the funeral serving committee. Janet was active in the Baileys Harbor Women’s Club, and enjoyed reading, solving puzzles, playing cards, and gardening.

Surviving family include her children, Dennis (Jeanie) Reimer, Karen (John) Beales, Sandy (Rich) Weisgerber, Lynn (Dennis) Anschutz, Sharon (Mike) Jacobson and William Reimer; 17 grandchildren; and 28 greatgrandchildren.

Preceding her in death were her parents, John and Lillian Stoll; husband, Donald Reimer; granddaughter, Kendall Weisgerber; and sister, Nancy Wesa.

A celebration of life will be held at 11 am on Saturday, May 4, 2024 at Immanuel Lutheran Church in Baileys Harbor with Pastor Gary Scharring officiating. Visitation will be held at the church from 9 am until the time of service. Janet will be laid to rest at Baileys Harbor Town Cemetery with her husband, Don.

“We are forever grateful and would like to thank Martha Coventry and her staff at Hearthside for their kind and compassionate care shown to our mother during her stay with them.”

Casperson Funeral Home in Sister Bay is assisting the Reimer family. Expressions of sympathy, memories, and photos of Janet may be shared with her family through her tribute page at caspersonfuneralhome.com.

CAROL SIERASKI

Dec. 24, 1933 - April 1, 2024

Carol Sieraski, 90, of Sturgeon Bay, passed away in her sleep on April 1, 2024. She had been living with her son in Sturgeon Bay for the last 3 years.

Carol Ellen (Treado) Sieraski was born Dec. 24, 1933, at Grandview Hospital in Ironwood, Michigan to Marshall Stephen Treado and Mary Ellen (Rahilly) Treado; she had one older brother, Marshall John Treado.

Her family moved to Michigamme, Michigan in July 1946. Carol graduated from Michigamme High School as valedictorian in 1951.

She continued her education at St Joseph’s Hospital School of Nursing in Hancock, Michigan. After graduation in 1954, she worked as a registered nurse for one year at L’Anse Memorial Hospital in L’anse Michigan. In Dec. 1956, Carol received her diploma in Anesthesiology from Detroit Mercy College. Her career took her next to Texas Methodist Hospital in Houston Texas where she worked as Chief nurse Anesthetist alongside legendary heart surgeon Michael DeBakey. Carol married her college sweetheart Richard Sieraski on Nov. 14, 1959. They raised their daughters Madelyn, Ellen, Carolyn, and Ann and son Richard in Troy, New York before moving to Door County in 1972. They ran Sturgeon Bay’s Hilltop Restaurant in the early 1970’s. Many local people became regular customers. It was then Carol returned to her chosen profession as nurse anesthetist. Door County residents came to know and trust her, along with the “other Carol” her very good friend, Carol Bockhop. She was a member of the surgical team at Door County Memorial Hospital for 23 years, until her retirement in 1998 at the age of 65. In 1999 Dick and Carol bought their RV and spent the winters down south. They stayed in Florida to visit friends. Most of their time was spent in Louisiana at Mardi Gras time and where they greatly enjoyed the Cajun culture.

In 2004, they built a new house. Carol lived there until she moved in with her son Richard, who was her care giver for the last “year”.

Carol is survived by her 5 children, Madelyn (Waukesha), Richard Jr. (Sturgeon Bay), Ellen (Sturgeon Bay) Carolyn (Mark) Glodoski, Excelsior, Minnesota), and Ann Marie (Waukesha): along with 4 grandchildren, Marshall and Julia Glodoski, and Jason and Shaun Sieraski. She was preceded in death by her husband and brother.

A memorial service will be held 11 am Tuesday, April 23, 2024, at Holy Name of Mary Church in Maplewood. A visitation is scheduled for 10 am that morning at church until the time of service. Forbes Funeral Home is serving the family.

public notices & classifieds

REQUEST FOR BIDS

The Town of Gardner, Door County is accepting bid proposals for the 2024 mowing of 49.07 miles of town roads and ditches. Mowing should include the cutting of small saplings and cattails to fence line. For more information contact Kevin Fleischman, Gardner Town Supervisor at 920-493-5651. Sealed Bid proposals must be submitted by 5:00p.m. May 6, 2024 to, Amy Sacotte, Town Clerk, 2026 Cty Rd DK, Sturgeon Bay, WI 54235. The Town of Gardner reserves the right to reject any or all proposals or accept the proposal deemed most advantageous to the Town of Gardner.

Dated the 16th day of April, 2024 Amy Sacotte, Clerk WNAXLP

IT IS FURTHER ORDERED: Notice of this hearing shall be given by publication as a Class 3 notice for three (3) weeks in a row prior to the date of the hearing in the Peninsula Pulse, a newspaper published in Door County, State of Wisconsin. Run: April 5, 12, 19, 2024 WNAXLP STATE OF WISCONSIN, CIRCUIT COURT, DOOR COUNTY IN THE MATTER OF THE NAME CHANGE OF Hayden Michael Thornton By (Petitioner) Hayden Michael Thornton By (Co-Petitioner) Notice and Order for Name Change Hearing Case No. 24CV43 NOTICE IS GIVEN: A Petition was filed asking to change the name of the person listed above: From: [First] Hayden [Middle] Michael [Last] Thornton To: [First] Hayden [Middle] Michael [Last] Lemere Birth Certificate: [First] Hayden [Middle] Michael [Last] Thornton IT IS ORDERED: This Petition will be heard in the Circuit Court of Door County, State of Wisconsin: Judge’s Name D. Todd Ehlers Place Door County Justice Center, 1209 S. Duluth Ave, Sturgeon Bay, WI 54235 Date Monday, May 20, 2024 Time 8:15 AM If you require reasonable accommodations due to a

disability to participate in the court process, please call 920-746-2482 prior to the scheduled court date. Please note that the court does not provide transportation. BY THE COURT: D. Todd Ehlers Circuit Court Judge 4/12/24 IT IS FURTHER ORDERED:

Notice of this hearing shall be given by publication as a Class 3 notice for three (3) weeks in a row prior to the date of the hearing in the Peninsula Pulse, a newspaper published in Door County, State of Wisconsin. Run: April 19, 26, May 3, 2024 WNAXLP

NOTICE TO CREDITORS

STATE OF WISCONSIN, CIRCUIT COURT, DOOR COUNTY IN THE MATTER OF THE ESTATE OF Ronald M. Smith Notice to Creditors (Informal Administration) Case No. 24-PR-26

PLEASE TAKE NOTICE:

1. An application for informal administration was filed.

2. The decedent, with date of birth 09/21/1936 and date of death 03/09/2024 was domiciled in Door County, State of Wisconsin, with a mailing address of 11718 Juice Mill Lane, Ellison

public auction as follows:

TIME: June 5, 2024 at 10:00 o’clock a.m. PLACE: Lobby of the Door County Sheriff’s Department 1201 S. Duluth Avenue Sturgeon Bay, WI 54235

TERMS: 1. 10% down in cash, cashier’s check or certified funds (unless credit bid by Plaintiff or its assignee) at the time of sale; balance due within 10 days of confirmation of sale; failure to pay balance due will result in forfeit of deposit to plaintiff.

2. Sold “as is” and subject to all legal liens, encumbrances, and unpaid taxes/ assessments.

3. Buyer to pay applicable Wisconsin Real Estate Transfer Tax.

LEGAL DESCRIPTION:

Lot 1 of Certified Survey Map No. 3179 recorded in Vol. 19 Certified Survey Maps, Page 245, as Doc. No. 812313 being a survey in Jones & Moore’s Lots of Ellison Bay, Government Lot 2, Section 15, Township 32 North, Range 28 East, Town of Liberty Grove, Door County, Wisconsin.

Property Address: 12018 State Highway 42, Ellison Bay, WI 54210 Tax Parcel No. 018-53-0001

DATED: April 16, 2024 Tammy A. Sternard, Sheriff Door County, Wisconsin Drafted by: John R. Schreiber, Esq. O’Neil, Cannon, Hollman, DeJong & Laing S.C. Attorneys for Plaintiff 111 E. Wisconsin Avenue, Suite 1400

Milwaukee, WI 53202 (414) 276-5000 WNAXLP

CITY OF STURGEON BAY

ORDINANCES

ORDINANCE NO. 1446-0424

An Ordinance to Repeal and Recreate section 8.06(2) “Streets and Sidewalks- Obstructions and encroachments” of the Municipal Code as follows. THE COMMON COUNCIL OF THE CITY OF STURGEON BAY, WISCONSIN DO

ORDAIN AS FOLOWS: SECTION 1: Section 8.06(2) of the Municipal Code of the City of Sturgeon Bay, Wisconsin is hereby amended to read as follows:

(2) Exceptions. The prohibition of subsection (1) shall not apply to the following:

(a) Clocks attached to buildings which project not more than six feet from the face of such building and which do not extend below any point ten feet above the sidewalk, street or alley.

(b) Awnings which do not extend below any point seven feet above the sidewalk, street or alley.

(c) Public utility encroachments duly authorized by state law or the city council.

(d) Outdoor seating, outdoor display of merchandise, outdoor plant displays, or fixtures, only when permission is expressly given by the city council by application therefore.

(e) When permission is expressly given by the city council upon application therefor. Projecting signs are subject to the provisions of section 27.11(4) of this Municipal Code.

(f) Sidewalk cafes. Restaurants creating an outdoor seating area in the

public right-of-way immediately adjacent to the restaurant may, upon approval by the city council following application to the city clerk, occupy and use a portion of the city right-of-way as approved by the city council and subject to the sidewalk cafe policy and procedures adopted by the City of Sturgeon Bay. The application fee for a sidewalk cafe shall be identified in the sidewalk cafe policy and procedures as adopted by the City of Sturgeon Bay. Any restaurant which obtains approval from the city council to serve alcohol upon the public right-of-way shall, in addition to receiving authorization under this section, obtain an amendment to its alcohol beverage license permitting service and consumption of alcohol upon the public right-of-way.

(g) Requirements for permitted encroachments. Encroachments into public rights-of-way listed under par. (a) through (f) above shall be subject to the following:

1. The minimum cleared sidewalk width shall at all times be six feet.

2. The owner of the building housing the business encroaching into the right-ofway shall sign and file a “Hold Harmless and Indemnification Agreement” relieving the city of any legal liability related to the encroachment.

3. Restaurants adding outdoor seating shall be reviewed by the department of agriculture, trade, and consumer protection.

4. If portions of this section conflict with provisions in other sections of this Municipal Code, such as regulations that would prohibit proposed encroachments or be more restrictive regarding regulation of proposed encroachments, the more restrictive provision(s) shall govern.

6. Sidewalk Café encroachments under this subsection shall require an annual permit to be issued by the office of the city clerk upon payment of a fee in an amount set by the common council.

SECTION 2: This ordinance shall take effect on the day after its publication.

Approved: David J. Ward, Mayor

Attest: Stephanie Reinhardt, City Clerk

Date of 1st Reading: 03/19/24

Date of 2nd Reading: 04/02/24

Publication:04/19/24

Effective Date: 04/20/24

WNAXLP

ORDINANCE NO. 1447-0424

An Ordinance to Rezone Parcel #281-66-12001511B and #281-66-12001508C located on the northeast corner of S. Columbia Avenue and Highway 42-57. THE COMMON COUNCIL OF THE CITY OF STURGEON BAY, WISCONSIN DO

ORDAIN AS FOLOWS:

SECTION 1: The following described property is hereby rezoned from Light Industrial (I-1) to General Commercial (C-1): Lot 2 of Certified Survey Map No. 2239 Recorded in Volume 13, Page 232 as Document No. 699057 And Tract F-3 of Certified Survey Map No. 108 Recorded in Volume 1, Page 214 as Document No. 353150. Said parcels contain a total of 4.62-acres. SECTION 2: This ordinance shall take effect on the day after its publication.

Approved: David J. Ward, Mayor Attest: Stephanie Reinhardt, City Clerk Date of 1st Reading: 04/02/24 Date of 2nd Reading: 04/16/24

Publication:04/19/24

Effective Date: 04/20/24 WNAXLP

ORDINANCE NO. 1448-0424 An Ordinance to Rezone Parcel #281-62-51000102C1 located

one hundred percent (100%) of the contract price. BID DUE DATE: Bids will be accepted by Town staff during regular business hours at the Baileys Harbor Town Offices (2392 County F, Baileys Harbor, WI 54202). All bids must be received by Tuesday, April 30, 2024 at 10:00 a.m. CDT, at which time they will be publicly opened and read. Published by Authority of: Town of Baileys Harbor Door County, Wisconsin WNAXLP

LIQUOR LICENSES

BRUSSELS

Application for Liquor License To Whom It May Concern: I hereby certify that Marchants Foods, Inc., David Marchant, Agent, has applied to the Brussels Town Board for a retail “Class A” license to sell fermented malt beverages and intoxicating liquors for the period ending June 30, 2025, in the grocery store situated at 1367 County DK. Dated April 17, 2024. JoAnn Neinas Brussels Town Clerk WNAXLP

EPHRAIM

Application for Alcohol License To Whom It May Concern: I hereby certify that Prince of Pierogi Restaurant LLC, dba Prince of Pierogi Restaurant, residing in the Village of Ephraim, Door County, WI has applied to the Ephraim Board of Trustees for retail Class “B” License to sell fermented malt beverages and a retail “Class C” License to sell wine, for the period ending October 31, 2024, at the building situated on 9922 Water Street Unit#6, Ephraim, WI 54211. Dated: April 19, 2024

Andrea Collak Village Clerk-Treasurer

Application for Alcohol License To Whom It May Concern: I hereby certify that Diane Taillon, dba Hillside Waterfront Hotel residing in the Village of Ephraim, Door County, WI has applied to the Ephraim Board of Trustees for retail Class “B” License to sell fermented malt beverages for the period ending June 30th, 2025, at

the building situated on 9980 Water Street, Ephraim, WI 54211. Dated: April 19, 2024

Andrea Collak Village Clerk-Treasurer

Application for Alcohol License

To Whom It May Concern: I hereby certify that Chef’s Hat Café LLC, dba Chef’s Hat, residing in the Village of Ephraim, Door County, WI has applied to the Ephraim Board of Trustees for retail Class ”B” License to sell fermented malt beverages and a retail “Class C” License to sell wine, for the period ending June 30, 2025, at the building situated on 3063 Church Street, Ephraim, WI 54211.

Dated: April 19, 2024

Andrea Collak Village Clerk-Treasurer

Application for Alcohol License To Whom It May Concern: I hereby certify that A&M Enterprises of Door County Inc., dba Somerset Inn & Suites residing in the Village of Ephraim, Door County, WI has applied to the Ephraim Board of Trustees for retail Class “B” License to sell fermented malt beverages, for the period ending June 30, 2025, at the building situated on 10401 N. Water Street, Ephraim, WI 54211.

Dated: April 19, 2024

Andrea Collak Village Clerk-Treasurer

Application for Alcohol License

To Whom It May Concern: I hereby certify that Summer Kitchen Inc., dba Summer Kitchen Restaurant residing in the Village of Ephraim, Door County, WI has applied to the Ephraim Board of Trustees for retail Class “B” License to sell fermented malt beverages and a retail “Class C” License to sell wine, for the period ending June 30, 2025, at the building situated on 10425 N Water Street, Ephraim, WI 54211.

Dated: April 19, 2024

Andrea Collak Village Clerk-Treasurer

Application for Alcohol License

To Whom It May Concern: I hereby certify that Sip JF LLC, dba Sip, residing in the Village of Ephraim, Door County, WI has applied to the

GREEN BAY MASONRY

Ephraim Board of Trustees for retail Class “B” License to sell fermented malt beverages and a retail “Class C” License to sell wine, for the period ending June 30, 2025, at the building situated on 10326 N Water Street, Ephraim, WI 54211.

Dated: April 19, 2024

Andrea Collak Village Clerk-Treasurer

WNAXLP

ORDINANCES

BRUSSELS

TOWN OF BRUSSELS, DOOR COUNTY

Amendment to Ordinance No. 34

To Designate Class “B” Highways

STATE OF WISCONSIN

Town of Brussels

Door County

The Town Board of the Town of Brussels, Door County, Wisconsin, hereby amends Ordinance No. 34, To Designate Class “B” Highways as follows: A. The following town highway in the Town of Brussels is hereby added and designated as a Class “B” highway subject to the weight limits set forth in s.348.16(2), Wis. Stats., unless increased by town ordinance: Brussels Road

The Town Board of the Town of Brussels, Door County, Wisconsin, has the specific authority under s.349.15(2), Wis. Stats., to adopt this ordinance.

This ordinance amendment, adopted by a majority of the town board on a roll call vote with a quorum present and voting and proper notice having been given, designates Brussels Road as a Class “B” highway.

This ordinance is effective upon publication or posting.

Adopted this 16th day of April, 2024. The town clerk shall properly post or publish this ordinance as required under s.60.80, Wis stats. s/Joe Wautier, Town Chairman s/Mark Marchant, Supervisor s/Joel Daoust, Supervisor Attest: s/JoAnn Neinas, Clerk WNAXLP

EGG HARBOR

VILLAGE OF EGG HARBOR ORDINANCE NO. 2024-04 AN AMENDMENT TO CHAPTER 155.05 (G), 155.05 (N) and 155.05 (O) OF THE VILLAGE OF EGG HARBOR MUNICIPAL CODE, ADOPTING AMENDMENTS TO THE SIGN CODE.

WHEREAS, the Village Board of Trustees of the Village of Egg Harbor have reviewed the amendments, and WHEREAS, the Board has found it to be beneficial to amend chapter 155.05 (G), 155.05 (N), and 155.05 (O) of the municipal code to better serve our business community and tourists of the Village of Egg Harbor.

NOW THEREFORE, be it ordained by the Village Board of Trustees of the Village of Egg Harbor, that, Chapter 155.05 (G), 155.05 (N), and 155.05 (O) of the Code of Ordinances be amended as follows, § 155.05 GENERAL DESIGN REQUIREMENTS

(G) Except for Backlit Signs, any illumination of a sign must be done using steady, stationary, low-wattage, downdirected, and shielded light sources directed solely onto the sign. Light bulbs or light tubes used for illuminating a sign shall not be visible from adjacent public rights-of-way or parcels. (N) Backlit Signs are permitted in any zone so long as the sign continues to comply with all other provisions of this Chapter. (0) Prohibited characteristics. Ordinance passed and approved by the Village Board of Trustees at its regular meeting on the 10th day of April 2024.

This ordinance shall take effect after its passage on the day after its publication. Motion made by: Cambria

Mueller

Second by: John Heller

John Heller: Aye

Lisa Van Laanen: Aye

Angela Lensch: Aye

Ken Mathys: Aye

Cambria Mueller: Aye

WNAXLP

VILLAGE OF EGG HARBOR

AN

ORDINANCE NO. 2024-05

continued on page 4

CHAPTER 10.05 OF THE VILLAGE OF EGG HARBOR MUNICIPAL CODE, TO INCLUDE A DEFINITION OF BACKLIT SIGN.

to protect life, health and property in floodplain areas and will govern uses permitted in mapped floodplains. A copy of the ordinance is on file in the office of the Village Clerk, 10005 Norway St, Ephraim, WI 5421.

Dated: April 10, 2024 for publication in the Peninsula Pulse on April 19th. WNAXLP

SISTER BAY

WHEREAS, the Village Board of Trustees of the Village of Egg Harbor have reviewed Chapter 10.05 of the Village of Egg Harbor Municipal Code, and WHEREAS, the board has found it to be beneficial to amend the function and execution of business of the Village of Egg Harbor, and NOW THEREFORE it be ordained by the Village Board of Trustees of the Village of Egg Harbor, that Chapter 10.05 of the code of ordinances be amended as follows: (u) Backlit Sign. A sign that has a source of illumination designed to project lighting against the surface behind the writing, representation, emblem, or any figure or similar character. The light source is not visible.

Ordinance passed and approved by the Village Board of Trustees at its regular meeting on the 10TH day of April 2024. This ordinance shall take effect after its passage on the day after its publication. Motion made by: Cambria Mueller

Second by: John Heller

John Heller: Aye

Lisa Van Laanen: Aye

Angela Lensch: Aye

Ken Mathys: Aye

Cambria Mueller: Aye

WNAXLP

EPHRAIM

NOTICE OF ORDINANCE ADOPTION

VILLAGE OF EPHRAIM FLOODPLAIN ORDINANCE

Ordinance: 1-2024

Title: An ordinance amendment to 17.29

(Floodplain Zoning) in the Village of Ephraim Code of Ordinances Date of Enactment: April 9, 2024 Summary of Ordinance: The amendments to 17.29 are required by state and federal law. These revisions govern development in mapped floodplain areas. The regulations are intended

Village of Sister Bay Ordinance 2024-013 Adoption Notice On April 16, 2024, the Sister Bay Village Board of Trustees adopted Ordinance No. 2024013: An Ordinance Annexing Lands Currently Located in the Town of Liberty Grove, Wisconsin to the Village of Sister Bay. The document is intended to give notice of the Village’s desire to annex property it owns located at the corner of Woodcrest Road and County HWY ZZ into the Village. A full copy of the ordinance is available from the Village Administration Office, 2383 Maple Drive, Sister Bay, WI 54234, 920-854-4118. The full text version is also available on-line at www. sisterbaywi.gov. WNAXLP

SCHOOL DISTRICTS

AGENDAS

SOUTHERN DOOR

Southern Door School District 2073 County Highway DK, Brussels, WI 54204

Approved April 15, 2024

REGULAR BOARD MEETING MINUTES

MONDAY, MARCH 18, 20246:30 PM

SOUTHERN DOOR HIGH SCHOOL LIBRARY

President Price called the meeting to order at 6:30 pm.

Members present: Marissa Norton, Janel Veeser, Penny Price, Kim Starr, Sam Counard, Macaine Bouche. Absent: Josh Jeanquart. Also Present: Tony Klaubauf, Jason Melotte, Dan Viste, Marc Vandenhouten, Dave Desmond, Kami Harvey, Steve Bousley, Kami Harvey, Danica Neville, Ben Grota, Ann Glowacki, Bridget Spude, Ben Kline, Missy Bousley, Kate Lardinois, Brittany Weldon. Kurt Wolfgram (Miron

Construction), Lidia Turner. Motion Starr/Bouche properly called/convened/proper notice given; carried. Pledge of Allegiance recited; Board Commitment read by Penny Price. Public Forum – No one spoke Student Representatives’ Reports (Danica Neville & Ben Grota)

- Sports updates.

- Band and choir competition & concert information.

- Project 180 - Prom Week Activities

- College & Workforce Planning Events General Construction & Greenhouse Project Update (Kurt Wolfgram, Miron Construction)

- Photos and information presented showing the construction progress on the new Talon Community Fitness Center.

- Greenhouse will be completed; foundation already installed.

- August 1, 2024 is the estimated completion date for the new fitness center. Superintendent’s Report (Tony Klaubauf)

- Negotiations Committee Meeting to be scheduled.

- District newsletter will be mailed to all residents of the district.

- Kevin Krutzik will be in the district on March 25, 2024.

- April Quarterly Retreat topics; Budget, Negotiations Committee negotiating parameters; closed session will be required.

- Video Presentation regarding public finance.

Administrators’ Reports - Pupil Services Update (Dave Desmond) - Middle School Update (Kami Harvey) ▪ Act 20 and Curriculum Update (Kami Harvey)

- High School Update (Steve Bousley)

- Elementary Update (Marc Vandenhouten)

- Act 20 Board Questions Answered (Kami Harvey, Missy Bousley, Marc Vandenhouten)

- Mid-Year AGR Report (Marc Vandenhouten)

- District Business Update (Jason Melotte)

▪ Copier Lease Update ▪ April 19th is the due date for the Food

Public Notices

Co-Curricular - Spencer Krause, JV Baseball Coach, effective the 2023-24 school year.

- Jamie Raynier, Teacher Mentor, effective the 2023-24 school year.

- Bridget Spude, Teacher Mentor, effective the 2023-24 school year.

Motion Norton/Bouche to approve resignations. Voice vote; all aye. Motion carried.

Personnel Recommendations - Change of Assignment

Support - Angela Paplham, from Elementary/Middle School to High School Receptionist/ Administrative Assistant (9 mos.), effective June 28, 2024.

Motion Starr/Counard to approve changes of assignment. Voice vote; all aye. Motion carried.

Personnel Recommendations - Hiring

Co-Curricular

-Jaden Diller, JV Baseball Coach, effective the 2023-24 school year.

Classifieds

continued from page 1

HYLINE ORCHARD FARM MARKET

2 miles north of Egg Harbor on Hwy 42. (920.868.3067) OPEN YEAR ROUND 9am to 5pm. HOMEMADE CHERRY & APPLE PRODUCTS FROM OUR ORCHARDS. Cherries galore. NEW freeze dried cherries, our own sparkling cider & juice, Cherry & many more. Locally grown state certified beef, ground, steaks & roast. Also our cherry and apple pies baked or ready to bake. A variety of cheese, cheese spreads and cheese curds. Door County beer and wines. Natural homemade soaps. Door County Watch Us Grow liquid fertilizer. Honey crisp dried apples, large variety of fruit pie fillings including Cherry & Honey Crisp apple. Jams, Jellies, Pies, Salsa, BBQ Sauce, (Cherries: frozen, canned and dried), Cherry Cider, Honey Crisp Blend Apple Cider, our new apple grape and peachy apple and apple cranberry ciders. Fresh Eggs, Maple Syrup, Honey, Pickles, Spices, Fudge, Gifts & Gift Boxes and Much More. Pick Your Own Cherries and Apples in season. Six Generations Growing and Marketing Fruits and Vegetables. Wholesale and Retail products. We ship UPS. Accept WIC checks. SpOrTiNG EQUipMENT

Inflatable Dingy West Marine SB 285 9’4”, 4 person, plywood floral. oars, ft.pump, carrying bag $600. 262.853.5932

GARAGE/ YARD SALE

GaraGE/YarD SalE

Moving Sale Egg Harbor 7914 Church Street Fri 4/19, 12-4 and Sat 4/20, 9-3. Outdoor furniture/garden, Weber grill, freezer, undercounter frig, microwave, island top, vintage Schwinn, rattan hall tree, vintage Mustela mink jacket, yard swing, Dept 56 orig. village, step ladders, ex. bike, vintage tablecloths, 30” antique cedar lined wardrobe, futon, quilts, stand mixer, cookbooks, lighthouse collectibles.

- Allyson Ewing, Teacher Mentor, effective the 2023-24 school year. - Scott Mallien, Varsity Football Coach, effective the 2024-25 school year. Motion Counard/Starr to approve co-curricular hiring. Voice vote; all aye. Motion carried.

Personnel RecommendationsVolunteer Appointments

- Spencer Krause, High School Volunteer Baseball Coach, effective the 2023-24 school year.

- Haley Scrimgeour, Middle School Volunteer Track Coach, effective the 2023-24 school year.

Motion Starr/Veeser to approve volunteer appointments. Voice vote; all aye. Motion carried. Future Agenda Items – none President’s Comments (Penny Price) Motion Counard/Starr to waive reading executive session wording. Voice vote; all aye. Motion carried. President Price announced closed session would be held according to State Stats. §19.85(1)(a),(c),(e),(f); 118.125; 120.13 - Closed

May 4 9am to noon. SATURDAY ONLY: $5 for anything you can fit in a grocery bag.

RUMMAGE SALE FRI. 5/3, 12-6, SAT. 5/4, 8:302. Arle Memorial Hall, 692 Tacoma Beach Rd. Sturgeon Bay. Household, collectibles, pet items & more, treasures galore. Lots of Harley Davidson items. Saturday Noon $2 bag sale! Interested in donating items for the sale? Drop off Thur. 5/2, 4-8pm at Arle Hall. All proceeds benefit WI Humane Society Door Co. Campus!

For Sale at Hyline Orchard Bulk

Minutes: August 21, 2023; Consideration of Personnel Contract. Motion Starr/Veeser to adjourn to closed session. Voice vote; all aye. Motion carried. Adjourned to Closed Session at 7:34 pm. Return to Open Session at 9:44 pm. Motion Veeser/Starr to adjourn the meeting. Voice vote, all aye. Motion carried. Meeting adjourned at 9:45 pm.

WNAXLP Southern Door School District 2073 County Highway DK, Brussels, WI 54204

QUARTERLY RETREAT MINUTES

MONDAY, APRIL 8, 20246:00 PM Southern Door District Office

President Penny Price called the meeting to order at 6:00 pm. Members present: Penny Price, Marissa Norton, Janel Veeser, Sam Counard. Absent: Josh Jeanquart, Macaine Bouche. Kim Starr. Also Present: Tony Klaubauf, Jason Melotte, Steve Bousley, Kami Harvey, Marc Vandenhouten, Dave Desmond, Dan Viste, Adam

REAL ESTATE

COMMErCial

Commercial Building For Sale or Rent

Near the Country Walk Development. 2500sf finished with garage and bonus room. Large .76 acre lot for addition or second building. Building includes: driveway, parking lot and large fenced patio. Building can be used for commercial and residential. Owner financing available. Call 920.256.1062 for more info.

Snow Apple Condo

Storage Development

Custom built storage units w/ large lots. Located on Cty C, south of the airport. Seller direct-no real estate agent. Contact 920.824.9696 or jason@ manninvestmentsllc.com

rESiDENTial

Home for Sale near Clark Lake

We lost our black and white shorthair neutered male cat on 4/11. Goes by the name, “Mel”. He’ll be skittish but hungry. He is chipped so, if taken to the Door County Humane Society, they can contact us. Or text 920.256.2833 with details of sighting DOGS Chocolate Lab Puppy needs a good home 13 week old dark chocolate female. Has lots of energy. Responds to her name – Cocoa. Owner has on-going physical issues and can’t exercise her enough. Does outdoor potty very well. Asking $500 (or best offer) Please call for more info. 920-421-1539

Large 4-bedroom home with attached 2-car garage plus detached large 1-stall garage. Approximately 2 acres. On Clark Lake Road/WD 1 mile from Clark Lake. $295K. By appointment only. Call Tom at 920.743.8618

REC VEHICLES

BOaTS

Boat For Sale 1991 Sea Nymph. 17ft aluminum hull, Mercury 90hp oil injected, Mariner 9.9hp trolling motor 2 stroke, Minn Kota 50lb thrust bow mount elec motor, two 12 volt batteries, on board charger. Extras. $4,500. 920.495.6789

Boat Slips – Ellison Bay 2024 22’-34’ seasonal slips starting at $3410 + tax available for season. Electricity & water, bathroom and parking available. Walking distance to stores and restaurants. No liveaboards. Call 920.854.2006 for more info.

Sister Bay Boat Slip

Boat Slip Rental summer 2024 In Sister Bay. 26 to 30 feet. $3,500. Experienced boaters requested. No pontoons or sailboats. 608.628.7631

Schopf. Roll call; verification of quorum. Motion Counard/Veeser properly called/convened/ proper notice given; voice vote, carried. Pledge of Allegiance recited; Board Commitment read by Janel Veeser. Update Regarding Survey Topics - General information (Tony Klaubauf) - Smart Pass, review of survey topics, action plan for items that needed work. (Steve Bousley)

- Staff professional development day in May will focus directly on action plans. - Consistence regarding student discipline discussed. Adjourn to Executive Session

President Price announced closed session would be held according to Wisconsin Statutes §19.85(1) (a),(b),(c),(e),(f); 118.125; 120.1. Considering the Employment, Promotion, Compensation or Performance Evaluation Data of Any Public Employee Over Which The Governmental Body Has Jurisdiction or Exercises

SERVICES

Look for additional Service display advertisements within this section.

CarpENTrY

Home remodeling and repairs

Remodeling and Home

Improvements. Quality and Professional work with 50 years experience in residential and commercial renovations and repairs. Reliable and Insured. No job too small. Lee Evans 847.445.2670

laWN/YarD CarE

New Landscaping Company

Portside Property Maintenance, LLC. Spring clean up, lawn care, snow removal, power washing, gutters and more. Call text or email portsidemaintllc2024@ yahoo.com. Al – 920.328.8896 or Layo 920.868.0251.

MiSCEllaNEOUS

On-Point Pet Care

Experienced, trustworthy and stress -free Pet and Farm Sitting in Sturgeon Bay, Southern Door and Northern Kewaunee County. Dog walking and Drop in visits to care for all pets, hobby farm and backyard livestock, including horses. Let’s talk about what your animals need, I’ll love them and put your mind at ease! References available, insured. 920.495.0717

Need a piece of jewelry fixed? I can restring, fix a clasp or broken parts, etc. so you can wear it again! Call Pam at Earth Art Studio in Sister Bay at the Country Walk Shops: 920.854.1912 or stop by Thurs to Sat 11am – 2pm

Mike’s Special Services

This months special roof repair. Also gutter cleanup and repair. Call 920.391.8809 or 920.818.0360

BONI PEREZ HANDYMAN, LLC

Home improvement, flooring, tile & grout, drywall, painting, plumbing, electrical and much more! TEXT OR CALL 920.473.0372 or 920.264.3122

paiNTiNG

Responsibility; Considering Financial, Medical, Social or Personal Histories or Disciplinary Data of Specific Persons Except Where Par. (b) Applies Which, If Discussed in Public, Would Most Likely to Have a Substantial Adverse Effect Upon the Reputation of Any Person Referred to in Such Histories or Data, or Involved in Such Problems or Investigations: I. Discuss staff reorganization and budget implications. II. Establish negotiation committee objectives. Motion Counard/Veeser to adjourn to closed session. Voice vote; all aye. Motion carried. Adjourn to closed session at 6:24 pm. Return to Open Session Motion Veeser/Counard to adjourn. Voice vote, all aye. Meeting

APPLE STORAGE

LIEN SALE NOTICE OF

Muntenesc Painting, Interior/Exterior Painting, staining, wallpaper removal, Pressure washing. Reliable and good quality painting services. Facebook page: Muntenesc Painting. Call 920.854.0209

SKillED TraDES

Door Roofing LLC Quality roofing services! We are your local source for roof installation. We specialize in various residential and commercial roofing services that will help keep your home/ business safe and looking great! Free estimates and fully insured! Call Gary 920.737.4554 or George 920.495.9211

Fuzzy’s Concrete Concrete Flatwork. Driveways, Basement Floors, Patio’s, Garage floors, Sidewalks, Stamped/ Colored Concrete, Demolition, Excavating, Retaining walls. Contact 920.384.8517

ages infant through 5. We work around your schedule. You tell us when you can work and we match you up to our daily needs. Monday through Friday year round, up to 40 hours per week. Must be a lover of children and education, be dependable, flexible, and willing to take responsibility as

Rob’s Custom Interior/ Exterior Painting 25 years experience. Spring special power washing  house, deck & roofs. Gutter Cleaning. 10% senior discount. Call 920.559.1895

application

920.854.4244, email us at teachdoorcounty@gmail. com or text 920.421.5009

HUGE RUMMAGE SALE HOPE CHURCH. 12th and Michigan Sturgeon Bay. Friday May 3 9am to 6pm. Saturday

For quick consideration email teachdoorcounty@gmail. com or text 920.421.5009 to receive an application and set up a time to chat about how to join

continued from page 3 continued on page 6

Court Inn. Must be reliable & detail oriented. Will train. Highly competitive pay. Season end bonus. Part time hours. Great for those who work PM shifts.920.421.3363

Church Hill Inn – Now Hiring for Season We are now taking applications for Housekeeping positions and part-time Front Desk position. Wages starting at $20 per hour, depending on experience. We offer a travel incentive for those traveling outside the northern door area. If you are looking to work in a fun, family environment, please contact Lisa 920.421.0851 Front Desk and Housekeeping Openings Homestead Suites in Fish Creek is looking for the right person to complement our day shift housekeeping staff. Our Front Desk has an opening on night and weekend shifts-Part Time or Full Time! We offer a premium wage and benefits. Email resume to kevin@homesteadsuites.com or send to Homestead Suites PO Box 730 Fish Creek WI 54212

Egg Harbor Lodge Are you looking for great wages, a flexible work around schedule, and a fun staff? The Egg Harbor Lodge in Egg Harbor is looking for season housekeepers, 3-5 hours/day. If interested, please contact Mark at 920.493.1187 or 920.868.3115. Email: theview@ eggharborlodge.com

Asst OnSite Manager-Hotel Fish Creek. Must be Self Starting Multitasker with Attention to Detail while assisting & managing ALL DAILY HOTEL DUTIES, Including Housekeeping, front desk, light maintenance, etc for a very beautiful 35 unit hotel. Very busy May-Oct & weekends year round. Weekends & Long term employment Required. *Single OnSite Room available for very responsible, independent, *SINGLE female (shared housing). No pets *No additional guests. Questions: 920.421.0663. Resume: lynne@ applecreekresort.com

Front Desk – BHYC

We are now accepting applications for the Front

Desk. Full-time or part-time hours, flexible scheduling, and competitive pay based on experience. Generous seasonal and referral bonuses for qualified candidates. We’re looking for friendly, dependable people who’d like to help us make great memories for our guests. Experience preferred but not necessary. If you have a great attitude we can train you. 920.839.2336

Historic Inn Innkeeper/ Housekeeper Positions Thorp House Inn & Cottages in Fish Creek has immediate daytime openings for both innkeeping and housekeeping responsibilities. Full or part time. Innkeeping involves serving breakfast, interacting with guests, performing room makeovers, answering phones, and taking reservations. Housekeeping involves cleaning rooms and cottages for guest stays. Compensation starting at $20/hour. Please email at thorphouseinn@gmail.com or call Matt at 615.440.1085

laNDSCapiNG/ MaiNTENaNCE Xclusive Landscaping LLC Services Include – Landscaping Design/Installation/Maintenance; Garden Design/Installation/ Maintenance; Spring Clean up; Mulch; Retaining Walls;

Drainage Solutions. FREE ESTIMATE. 920.366.8710

Outdoor Maintenance

Team Member Appel Outdoor Maintenance in Sister Bay is looking for members to join our team in multiple capacities. Full Time with year round opportunities.

Tasks include lawn care, landscaping, general property maintenance. Experience is appreciated but will train the right person. Starting wage $18/ hour, pay based on abilities. Call for more info 920.421.2477

MiSCEllaNEOUS

Great Pay House

Cleaning Position

Great Pay! Clean Rental House once or twice a week. May – Oct. For more information call 920.495.5404

Propane Truck Driver

Ferrellgas is searching for a customer-focused Full-Time

Propane Truck Driver to join our team! Ferrellgas Truck Drivers are critical to our success as they are the face of our company in their daily interactions with our current and future customers.

As full-time truck driver on our team, you will pick up and deliver propane to residential and industrial customers in a safe and efficient manner. Ferrellgas truck drivers can expect to work local routes and be home every night; however, on-call rotations for after hours and weekend emergency deliveries may be needed. https:// careers-ferrellgas.icims.com/ jobs/27271/truck-driver/job

ACS Cleaning Service Come join our cleaning team! Flexible partime cleaning position – year round and seasonal. Sturgeon Bay Area. Must be detail oriented, reliable and able to work independently. Email or call 920.559.7522

Ferrellgas Service Technician Apprentice Ferrellgas is looking for a Service Technician Apprentice to join our team! You’ll train with some of the most dedicated Service Technicians in the industry, learn what it takes to install propane tanks safely, and find out how to respond to service calls in a timely and efficient manner. After completion of the program, you’ll have the opportunity to advance into a Service Technician role. While, training you’ll work towards obtaining needed licenses and endorsements, at no cost to you! Apply online at https://careers-ferrellgas. icims.com/jobs/27270/servicetechnician-apprentice/job

Seasonal Jobs at Potawatomi and Whitefish Dunes Potawatomi and Whitefish Dunes

State Parks are hiring limitedterm, seasonal positions. $13/hr – $16/hr. For more information and

seeking passionate and motivated individuals in full-time and parttime positions. We are hiring: servers, bartenders, bussers, hosts, cooks, dishwashers, and kitchen staff. Competitive hourly wage plus benefits. Please apply in person at 11976 Mink River Rd in Ellison Bay or inquire at operations@tretassi.com.

Church Hill Inn –Breakfast Server

The Church Hill Inn in Sister Bay is now hiring breakfasts servers. Approximately 7:30-10:30. We offer a competitive wage plus tips. Interested applicants, please call or text Lisa 920.421.0851

Hügel Haus Hiring for Summer!

Hügel Haus is hiring for our 2024 season! We are looking for servers, host/hostess, busser, dishwasher, prep cook, and line cook. Part-time, full time, year-round, & seasonal positions available. Join Door County’s ‘Wurst’ Bar today! 920.633.4080

Alexander’s Hiring Year Round & Seasonal Full Time & Part Time Line Cooks and Hosts. Meals and drinks provided. Benefits available.

Stop in during the day and ask for Bruce or email your resume: bubbadc01@gmail.com

Now Hiring Team Members

If you have a passion for great food, exceptional service, and a love for Tequila; we have the perfect position waiting for you at Solago Restaurant and Tequila Bar! Solago is looking for part time and full time positions right now and for Summer of 2024. We are hiring cooks, prep cooks, dishwashers, servers, bartenders, bussers, hosts, and managers. As a part of our team you’ll have the opportunity to showcase your culinary skills, provide exceptional service, and work alongside our talented and supportive team members. Benefits of joining our team: competitive wages, flexible scheduling, opportunities for advancement, a supportive and inclusive work environment, employee discounts on delicious meals. Apply on our website in bottom right corner under “employment.” Give us a call at 920.268.4483 or stop in and grab an application!

The Clearing – Kitchen Staff

The Clearing, in Ellison Bay, has fulltime and parttime positions open on its kitchen staff. The season begins in late April and runs through October. Excellent pay and wonderful work environment. For more information, contact Mike Schneider at 920.854.4088 or mike@theclearing.org

rETail

Hide Side Stores –Sales Associates Sales Associate positions available at both Hide Side stores in Fish Creek. FT & PT positions with flexible hours. No nights. Competitive wages. To contact Hide Side Corner Store, email christineashley915@yahoo.

com or call 920.559.1123. For the Hide Side Boutique, email hidesidemike@aol.com or call Judy 920.421.1584

RETAIL HELP – LOOSE

TEA STORE

Tea Thyme in Door County

(Sister Bay) is seeking a reliable, conscientious team member for our store. Part-time, hours to be arranged. 920.854.3737

Bley’s Grocery

Bley’s grocery, a small family owned full service grocer in Jacksonport is seeking a summer grocery clerk. Duties include cash register/customer service, stocking shelves and cleaning. No weekends. Call or stop in and talk to Paula or Wayne. 920.823.8188a

Full or Part Time Sales Associate

Blue Dolphin House is seeking an energetic person to work on the sales floor May through October and possibly thru December. Being able to work on a computerized system is preferable. The hours are 9-4 Tuesday thru Saturday. bluedolphinhouse45@gmail. com or 920.854.4113

SKillED TraDES

Sister Bay Paint Co Painter wanted. Learn the fine trade of house painting. Exterior & Interior work. Will train. Good pay, Good work, Great people. 4.5 day work week. We cover Northern Door County. Call 854.5778

Painters Needed

Peninsula Painting is seeking experienced painters to join our team. We offer competitive wages based on experience. Year-round position. Attention to details and ability to work in a team. Call 920.839.5545 to apply.

Help Wanted

Housekeepers, Full & Part-Time Wages $20.00 - $25.00/ hour based on experience. Call or Email Buffy at Ephraim Shores Resort 920.854.2371 or buffy.ephraimshores@yahoo.com Front Desk Part-Time

Join our team at The Boat House of Door County and participate in our exciting expansion!

Our new showroom in Sister Bay is scheduled to open this May. We are looking for motivated and enthusiastic individuals to join our team and provide exceptional customer service.

Apply now on The Boat House website or Indeed!

BoathouseH2o.com

The Town of Baileys Harbor is hiring seasonal Marina Attendants to work at the Town Marina. Part-time hours are available to work now through Labor Day. Applicants must be willing to work weekends, holidays, and share in on-call duties. Marina Attendants will provide excellent customer service, oversee safety and security, and handle basic operations at the Marina. Duties include, but are not limited to, dock operations, computer work, fee collection and money handling, cleaning, reservations, fueling and pump-outs.

Hourly wage commensurate with experience. To apply send letter of interest and/or resume to marina@baileysharborwi.gov or mail to: Town of Baileys Harbor, PO Box 308, Baileys Harbor, WI 54202

Now hiring Rural Carrier Associates (RCA) in Door County

Starting at $20.38/hr with benefits

In this role you deliver and collect packages along routes in rural areas during weekdays, weekends and holidays. You also provide a variety of services to customers along your assigned route. You may be required to use a personal vehicle if a postal vehicle is not provided. As an RCA you may be eligible to receive health benefits and promotion to a career opportunity. This position is ideal for candidates that enjoy staying active and working independently outdoors with occasional customer service interactions.

Please Call 920-868-3051 for details and questions on how to apply

Executive Director

HELP of Door County, Inc., is seeking a passionate, collaborative Executive Director who can embrace its work and lead a small, gifted staff. The ideal candidate will be committed to social justice for all victims of domestic violence, a good listener, a strong communicator, flexible, and committed both to HELP’s mission and to the goal of building a safer, more peaceful Door County. Responsibilities include expertise in Community and Public Relations, Organizational Leadership and Board Governance, Financial Planning, Management and Fund Development/Grant Writing, and Human Resources Development. Compensation of between $62,000-$75,000 annually is based on experience. Available benefits include, Paid Time Off, SIMPLE IRA with employer match, Short Term Disability Insurance, Aflac Insurance: Dental , Health , Life , Vision.

For a copy of the full job description, please email: operations@helpofdoorcounty.org.

HELP of Door County Mission: Eliminating domestic abuse through prevention and intervention and advocating for social change.

Help Wanted Full or Part Time Mornings & Afternoons Also available Part Time Night Shifts

Want a new Job to complain about? We need a person who likes to work.

JOB: Noun, the principal activity in your life that you do to earn money.

Please do not apply if you: Oversleep, have no alarm clock, have no car, go to court often, have to hold on to a cell phone all day, are dramatic. Expect to receive blue ribbons or gold stars for showing up to work on time and doing your job.

Cash register experience is preferred, but not required, we will train the right person. If you are willing to work hard, exceed customers’ expectations, and be rewarded for your efforts, then Bhirdo’s is a great fit for you. If you’re awesome, please apply in person. Employee discounts, competitive wages, must be able to work year-round.

Bhirdo’s gas station Sister Bay

We are hiring Housekeeping and Maintenance Manager. Both positions are full-time year-round positions with competitive compensation, paid vacation, HRA contributions, and up to 3% simple IRA match. Email your resume to management@birchwoodlodge.com or call 920-421-1797.

Englebert Elected to Lead County Board

Thayse seated as vice chair by DEBRA FITZGERALD debra.fitz@ppulse.com

n 2002, Door County voters

Iousted 15 of the 21 county board supervisors during the Citizens for Open Government-led recall election over the board’s decision to build the $30 million justice center.

Supervisor Dave Englebert was not one of those tossed from his seat, and he’d continue to serve during those controversial years when the county was also building the Door County Highway Shop and the Sister Bay Ambulance Center. Englebert chaired the building committee back then that brought all those projects to completion, and then decided not to run for reelection aft er 12 years serving since 1992.

In 2016, District 1 voters – wards in Brussels and Union – returned him to the board and over the past two years, Englebert has served as the vice chair.

On Tuesday, his peers on the county board put him in the

chairperson’s seat during the county’s reorganization meeting that follows the April election when all county board supervisor seats are up for reelection.

“I had indicated I was interested in serving as chair,” he said the morning aft er the meeting. “It’s always a question of support.”

The 21 county board supervisors cast a blind ballot to nominate the chairperson. Those nominated were supervisors Roy Englebert, Morgan Rusnak, David Enigl, Todd Thayse and Dave Englebert. Blind voting came

next and would continue until one supervisor received a majority of the votes among the supervisors present – 11 votes required for Tuesday’s majority. Englebert was elected with 14 votes during the first round of voting. In addition to his institutional knowledge and staying power, Englebert may also be the first Southern-Door chairperson to lead the board since the 1970s when Herman Vandertie from Brussels had the seat. Prior to that – Englebert did a little research when the Pulse asked the question – they’d have to go back to 1955-65 when Lawrence Johnson from Clay Banks was the chair (father of Clay Banks’ current town board chair, Myron).

Still, that’s decades ago, and as Englebert pointed out, he’s probably the first chair from the Town of Union and Door County’s southernmost district.

Among the chair’s responsibilities are setting the agenda for the monthly Door County Board of Supervisor

Sevastopol Seeking New Superintendent

Sevastopol schools superintendent Kyle Luedtke has submitted his resignation, effective June 30.

Sevastopol school board president Lisa Bieri said Luedtke has accepted a job as superintendent in the Frederic School District in Clam Falls in northwestern Wisconsin. The Frederic district office confirmed that the hiring was on the agenda to be finalized Wednesday – aft er the deadline of this issue of the Peninsula Pulse – and Luedtke is scheduled to begin there July 1.

“Frederic is located about an hour south of where my wife’s parents and her extended family live,” Luedtke said Wednesday morning, adding: “I appreciate the community support the [Sevastopol] school has received, and I hope that continues into the future especially with the operating cost referendum upcoming in November.”

What Local Musicians Are Listening To

Have you ever wondered what songs local musicians blast in their cars on the way to a show, play in their headphones while they’re on tour or take as inspiration for their own songwriting?

Wonder no longer. Here are the tunes a few of Door County’s music-makers have on repeat – and a Spotify playlist of their picks if you want to listen along with them. Tune in by scanning the QR code in the Spotify app or visiting tinyurl.com/yc5zntky

Hans Christian: “paradise” by Sade, “we can’t be friends (wait for your love)” by ariana Grande and “la Buddha” by Thomas Barquee, a friend and collaborator of Christian’s.

Zephyr Ciesar: “Good luck, Babe!” by Chappell roan. it’s a breakup song with a fun, fantastical twist, Ciesar said. David Cavanaugh: “Silver Wings” by Merle Haggard and the Strangers and “Southern railroad Blues” by Norman Blake. Cavanaugh has been enjoying the oldies as he works on his bluegrass chops for a summer of shows (he plays solo and with The Cherry Tones.)

Katie Dahl: “Buffalo” by Hurray For The riff raff.

Cathy Grier: “Say a little prayer (live)” by lianne la Havas, “Not Strong Enough” by boygenius and “i Walk a little Faster” by Blossom Dearie. Grier describes her day-to-day listening choices as all over the

Eric Hagen: “amos Moses” by Jerry reed. Hagen just finished a tour, during which he used this song to pump himself up.

Ruby James: “Fruits of my labor” and “Everything Has Changed,” both from the album Honeysuckle

(From left) Dave Englebert, new chairperson of the Door County Board of Supervisors. Todd Thayse, new vice chair of the Door County Board of Supervisors. Submitted.
Kyle Luedtke. Submitted.

DOOR COUNTY

MUNICIPALITIES

Those municipalities that publish their public notices with us are indicated below with “PN.”

COUNTY OF DOOR, POP. 30,066- PN co.door.wi.gov

920.746.2200

County Board meets 4th Tuesday of month

Cty Clerk: Jill Lau jlau@co.door.wi.us

TOWN OF BAILEYS HARBOR, POP. 1,223 - PN admin@baileysharbor.gov

920.839.9509

Town Board meets 2nd Monday of month

Clerk: Haley Adams admin@townofbaileysharborwi.gov

TOWN OF BRUSSELS, POP. 1,125 - PN townofbrussels.com

920.825.7618

Town Board meets 2nd Wednesday of month

Clerk: JoAnn Neinas clerk.townofbrussels@gmail.com

TOWN OF CLAY BANKS, POP. 385 tn.claybanks.wi.gov

920.493.7383

Town Board meets 2nd Monday of month

Clerk: Jessica Bongle townofclaybanks@gmail.com

TOWN OF EGG HARBOR, POP. 1,458 townofeggharbor.org 920.743.6141

Town Board meets 3rd Monday of month

Clerk: Pam Krauel clerk@townofeggharbor.org

VILLAGE OF EGG HARBOR, POP, 358 - PN villageofeggharbor.org

920.868.3334

Village Board meets 2nd Monday of month

Clerk: Lynn Ohnesorge lohnesorge@villageofeggharbor.org

VILLAGE OF EPHRAIM, POP. 345 - PN ephraim-wisconsin.com

920.854.5501

Village board meets 2nd Tuesday of month

Clerk/Treasurer: Andrea Collak acollak@ephraim-wisconsin.com

TOWN OF FORESTVILLE, POP. 1,063 - PN forestvilletown.com

920.856.6551

1364 Mill Road, Sturgeon Bay, WI 54235

Town board meets 3rd Monday of month

Clerk: Theresa Tlachac clerk@forestvilletown.wi.gov

VILLAGE OF FORESTVILLE, POP. 482 villageofforestville.com

920.536.3181

Village board meets 3rd Monday of month

Clerk: Tiffany Dufek villageclerk@centurylink.net

TOWN OF GARDNER, POP. 1,218 - PN townofgardner.org

920.825.1137

Town board meets 2nd Wednesday of month

Clerk: Amy Sacotte togclerk@townofgardnerwi.gov

TOWN OF GIBRALTAR, POP. 1,228- PN gibraltarwi.gov 920.868.1714

Town board meets 1st Wednesday of month

Clerk: Cyndi Gutschow clerk@gibraltarwi.gov

TOWN OF JACKSONPORT, POP. 878 - PN jacksonportwi.gov

920.823.8136

Town board meets 4th Tuesday of month

Clerk/Treasurer: Colleen Huberty clerk@jacksonportwi.gov

TOWN OF LIBERTY GROVE, POP. 2096 - PN libertygrove.org 920.854.2934

Town board meetings 1st and 3rd Wednesdays of month

Clerk/Treasurer: Pam Donart tlibertygrove@gmail.com

TOWN OF NASEWAUPEE, POP. 1,984 -PN townofnasewaupee.com 920.495.0920

Town board meets 3rd Thursday of month

Meetings: 3388 Cty PD

Clerk: Jill Lau, interim clerk clerk@townofnasewapeewi.gov

TOWN OF SEVASTOPOL, POP. 2,826 - PN townofsevastopol.com

920.746.1230

Town board meets on the 3rd Monday of month

Clerk/Treasurer: Amy M. Flok office@townofsevastopolwi.gov

VILLAGE OF SISTER BAY, POP. 1,148 - PN sisterbaywi.gov 920.854.4118

Village board meets 3rd Tuesday of month

Clerk: Heidi Teich info@sisterbaywi.gov

CITY OF STURGEON BAY, POP. 9,646 - PN sturgeonbaywi.org 920.746.2900

Common Council meets 1st & 3rd Tuesday of month

Clerk: Stephanie Reinhardt info@sturgeonbaywi.org

TOWN OF STURGEON BAY, POP. 821 - PN townofsturgeonbay-wi.gov 920-743-3908

Town board meets 2nd Monday of month

Clerk: Nancy Anschutz clerk@townofsturgeonbay-wi.gov

TOWN OF UNION, POP. 1,005 - PN https://townofuniondoorwi.gov/ 920.493.9559

Town board meets 2nd Wednesday of month

Clerk: Beth Hanson clerk@townofuniondoorwi.gov

TOWN OF WASHINGTON, POP. 777 - PN washingtonisland-wi.gov

Town board meets 3rd Wednesday of month

Clerk/Treasurer: Alexandria McDonald townoffice@washingtonisland-wi.gov

AROUND THE DOOR

Weird and Wonderful

D.a. FiTZGEralD aND pHil BiEBl, rESpECTiVElY

for regulatory reviews that will set customer rates for electricity and natural gas for 2025 and 2026.

HAMPTON INN INTERESTED IN FORMER COBBLESTONE SITE

Sturgeon Bay – a site on Sturgeon Bay’s east side where one hotel chain is no longer looking to build has attracted the interest of another.

Cobblestone Hotels was looking to build at the corner of Egg Harbor road and 12th avenue, and had until May 31 under a development agreement with the city to acquire the property in Tax increment District (TiD) #6 near the Door County Boardwalk, and receive $1.2 million in incentives.

Cobblestone Hotels informed city staff that the hotel chain was unable to finalize a purchase deal for the vacant site with the property’s owners, Steve Estes and Scott Virlee, and is subsequently negotiating with the city to build on the West Waterfront instead.

However, the possibility of Hampton inn being interested in the Egg Harbor road site was discussed during last week’s city Finance/purchasing and Building Committee meeting.

Community development director Marty Olejniczak said the city received a proposal from Hampton inn for a hotel there with around 80 units, which would be slightly larger than the one Cobblestone Hotels proposed with 62 units.

Olejniczak told the committee members last week it was too soon to determine whether what Hampton inn proposed made financial sense for the city, but he said something could be ready to bring before the committee in a couple of weeks.

SIGNUP NEEDED BEFORE FIBER INSTALLATION IN BAILEYS HARBOR

Baileys Harbor – Bertram

Communications/Door County Broadband this week provided an online link people can use to sign up to grant access for workers to run fiber to their houses and businesses for broadband internet service. To avoid costly installation fees, people need to allow workers to enter their properties. Sign up by a May 15 deadline to be prioritized for timely connections. Visit https://signup.gobertram. com and set up a username and password.

More details about the access agreements appeared in the Peninsula Pulse last week at tinyurl.com/64mcxxf3. a fact sheet was made available to the approximately 100 people at the annual town meeting Tuesday, when deputy clerk Katie Virlee said town office staff can help if people have difficulties with the online right-of-entry forms.

WPS FILES FOR ELECTRIC, NATURAL GAS RATE INCREASES

Green Bay – Wisconsin public Service (WpS) filed proposals with the public Service Commission of Wisconsin (pSCW) this week

assuming the Commission’s revenue allocation is consistent with past practice, the typical monthly residential electric bill will increase $11-$12 a month in 2025. WpS natural gas customers would see a $3-$4 increase in their monthly bills in 2025 as part of the filed plan. The typical WpS residential heating bill was down $200 this winter compared to last winter.

WpS said typical residential electric bills are significantly below the national average and in line with utilities in Wisconsin and across the Midwest, and if its request is fully approved, that will still be true.

The focus of the filing is on three key priorities: reducing customer outages, building infrastructure needed to support jobs and economic growth in Wisconsin, and meeting new Epa environmental rules.

The vast majority of the filing is to recover costs of new power plants the pSCW has already approved.

The request includes millions of dollars in savings from tax credits tied to new renewable energy facilities.

in May, WpS will update the filing to include more specific information on the impact for each customer group. The company also will provide this information to customers through a bill insert and on wisconsinpublicservice.com.

The pSCW will conduct hearings on the WpS proposals and is expected to make a final decision later this year. New rates are expected to take effect in January 2025.

Monday to its space behind the museum in Sturgeon Bay. after various repairs on the authentically restored, 105-year-old tugboat, the John Purves, Fincantieri Bay Shipbuilding (FBS) employees opened the floodgates in the shipyard drydock Monday morning to allow tugs from roen Salvage to guide the John Purves back to

The tugboat John Purves, a former military vessel renamed in honor of the Roen Steamship Co. general manager, is guided back to the Door County Maritime Museum by the tugs David Schanock and Chas. Asher. COUrTESY OF DCMM
Door County Maritime Museum (DCMM)
provided this photo of the tugboat John Purves at Fincantieri Bay Shipbuilding two days before

SBU Planning $4.8 Million in Wastewater Facility Upgrades

To help finance an upgrade of the wastewater treatment facility operated by Sturgeon Bay Utilities

(SBU), the Common Council passed a resolution Tuesday authorizing the issuance and sale of up to $2,587,543 in sewerage system revenue bonds and approving a related $4,312,572 financial assistance agreement.

SBU general manager Jim

Stawicki said that though the wastewater treatment facility, which last had a major upgrade in 1980, is well-maintained and meets current operating requirements for its Wisconsin Pollutant Discharge Elimination System permit, “replacements and upgrades are necessary to meet future permit standards and to achieve certain operational efficiencies.”

Stawicki said the projects to be financed with the revenue bonds include the construction of a biosolids storage facility at the old Door County landfill site near the Idlewild Golf Club, as well as the construction of an ultraviolet disinfection system, including covers on the final clarifiers, for the effluent stream at the wastewater treatment facility.

He said the biosolids project will cost around $1.5 million, while the

project at the wastewater treatment plant will be around $3.3 million.

Stawicki said the Wisconsin Department of Natural Resources Clean Water Fund will provide funds to complete these capital projects, with the debt to be assumed by SBU serviced from its wastewater utility revenues, and no general obligation debt incurred by the city.

“Terms of the debt are quite favorable to our ratepayers with 40% principal forgiveness and an interest rate of 1.287% over the 20-year term of the loan,” he said.

Stawicki said the principal forgiveness will be around $1.752 million.

He said council action was required for the borrowing because SBU is not allowed to take on its own debt.

Stawicki said Sturgeon Bay’s Utility Commission approved the first wastewater rate increase in 12 years that comes to about $5.25 per month for the “average residential user,” effective April 1. He said another rate increase “of similar magnitude” will likely need to take place early next year to accommodate future projects.

District 3 Alderman Dan Williams, who is on the Utility Commission and also the Finance/Purchasing and Building Committee, which last week recommended the borrowing, said the upgrades make sense.

Bay Utilities General Manager Jim Stawicki appears April 9 before the city’s Finance/Purchasing and Building Committee regarding the borrowing of money to make upgrades at the wastewater treatment facility.

“You can’t continue to live on a facility that’s 45 years old, roughly, without trying to enhance it,” he said. “The new technology that’s out there [is going to] make it a lot more efficient and put less chemicals back into the system.”

Provider for Fiber

Costs of burying conduit for that fiber are separately part of the village’s multi-million-dollar utility-burial, sidewalk-improvement, storm-sewer-repair and parking enhancements along Hwy 42.

fiber to all premises – outside of the downtown core area. In late March, rising cost estimates from Frontier caused the town to break off its agreement and make requests for new proposals. Separately, within the downtown core area, from Harbor School Road to Orchard Road, the village already has an ISP, and the fiber itself and service to businesses and households in that vicinity will cost the village a total of $5,000.

For deployment of a public Wi-Fi broadband network downtown by Nsight Communications/Cellcom, the village and Egg Harbor Business Association in 2020 agreed to contribute $5,000 each. The Public Service Commission of Wisconsin provided a $48,960 grant for the work, with additional matching funds in the amount of $5,000 from the Door County Board of Supervisors, and $17,640 from Cellcom

This project, much smaller than the fiber-to-allpremises effort, will complement existing 4G/5G networks in the state Highway 42 corridor downtown.

News Notes

continued from page 2

The sidewalk project had been approved last December as part of the city’s 2024 capital roadway improvements the council considered when it met as the Board of public Works.

“Deploying the public Wi-Fi network infrastructure will also enable the village to deploy Smart City applications and other over-the-top services within the coverage area,” said Mick O’Malley, Nsight Director of Sustainability, Government Relations and Special Projects, in a press release. “Applications include video functionality, people-counting, parking lot space management, and online ticketing.”

Village officials have discussed, but not implemented, having digital parking-fee stations similar to those in other tourist areas, such as Lake Geneva, Wisconsin.

Nsight will place small, black Wi-Fi boxes on eight of the new streetlight poles scheduled for installation in the downtown area, and will run one line down Dock Road to the marina.

Village Administrator Megan Sawyer said while conduit and fiber are being buried in the downtown area, ISPs that make proposals to the village are free to utilize existing utility poles or to bury fiber to deliver service to the rest of the community. She said the companies have varying equipment and varying degrees of access to utility poles.

Sawyer said the villagewide broadband project should include the pursuit of grants.

The residents subsequently received letters about the possibility they could face having to pay thousands of dollars in special assessments for the sidewalk, and several of them appeared earlier this year before the local Transportation Board to state their objections, which also include not seeing a need for the sidewalk based on the amount of vehicle and foot traffic. repaving the road segment of South Hudson avenue where the

residents objecting to the sidewalk live was also included in the capital roadway improvements for this year.

City Engineer Chad Shefchik said it’s not the city’s policy to charge special assessments when replacing existing infrastructure, such as repaving roads, but the sidewalk could be subject to special assessment charges because one currently doesn’t exist there.

Sturgeon
KEViN BONESKE

INDIE BOOKSTORE DAY

New, Enforceable Standards Announced for PFAS

updated recommendations will be available during the second half of 2024.

The The U.S. Environmental Protection Agency (EPA) released new, federal standards last week for an emerging drinking water contaminant – per- and polyfluoroalkyl substances (PFAS) in drinking water.

This includes a new enforceable Maximum Contaminant Level (MCL) of 4.0 parts per trillion (ppt) individually for PFOA and PFOS, and 10 ppt individually for PFNA, PFHxS and GenX.

“DHS is committed to protecting Wisconsinites from exposure to PFAS, including diligently reviewing the new scientific information available from EPA,” said Kirsten Johnson, DHS Secretary-Designee. “The good news is there are steps people can take right now to reduce their exposure to PFAS in drinking water and other sources.”

RESALE SHOP

The EPA’s enforceable standards acknowledge the importance of limiting exposure to PFAS in total, and the role that drinking contaminated water plays in the potential for negative health impacts from PFAS.

“Overall, Wisconsin’s public water systems are well positioned to comply with the EPA’s enforceable standards,” said Steve Elmore, Director of the Wisconsin Department of Natural Resources (DNR) Bureau of Drinking Water and Groundwater. “The DNR set enforceable standards for two types of PFAS in public drinking water in 2022. Over the last year, public water systems throughout Wisconsin have sampled at least once for these and other PFAS.”

The current enforceable standard of 70 ppt for PFOA and PFOS in public drinking water will remain in effect until the DNR completes rulemaking to comply with the EPA’s drinking water standards. This may take up to three years to complete based on Wisconsin’s statutory requirements.

Additionally, the DNR will formally request that the Wisconsin Department of Health Services (DHS) update their health-based recommendations for the six PFAS included in EPA’s finalized MCLs to account for new scientific findings. Wisconsin DHS anticipates their

letters to the editor

Kindness in the Storm

I would like to add to your list of acts of kindness during the April 2 snowstorm and days of power outages [April 12 Peninsula Pulse “Kindness in The Storm: How We Helped Each Other During the Outages”].

I was a Jacksonport poll worker, along with five others, working the evening shift on April 2. Most of us didn’t finish up until 9 pm, so there was a significant accumulation of heavy, wet snow. A saint named Eric Peil began plowing the parking lot about 8 pm. When finished, he came inside to see if anyone needed help getting home. Aft er plowing ahead of another worker to make sure she got home safely, he returned to do the same for me – all the way to the northwest end of Clark Lake! I am quite sure I would not have made it home without his selfless aid.

My husband and I were without power from Tuesday evening to Friday evening. I need to thank Dionicia at US Cellular for

While this rulemaking process is underway, the DNR will also work with PFAS-impacted public water systems on potential actions to reduce contamination in water provided to the community.

Of Wisconsin’s nearly 2,000 public water systems, approximately 95% have PFAS levels below the EPA’s standards. Sampling results for municipal public drinking water systems are available to view in the PFAS Interactive Data Viewer.

PFAS are a group of human-made chemicals used for decades in numerous products, including non-stick cookware, fast food wrappers, stain-resistant sprays and certain types of firefighting foam.

These contaminants have made their way into the environment in a variety of ways, including spills of PFAS-containing materials, discharges of wastewater that contain PFAS from treatment plants and use of certain types of firefighting foams. PFAS are known to accumulate in fish and wildlife tissues as well as in the human body, posing several risks to human health. You can find more information about actions to take to reduce your exposure to PFAS at dhs.wisconsin.gov/ chemical/pfas.htm.

recharging my phone on Thursday, and Island Fever for refilling a water jug on Friday. We are all so fortunate to live in a county of such caring and giving people!

Wisconsin

Save Our Seniors

During a Storm

I am 80 years old. I live alone. My electricity went out during the storm. No wifi either. No more juice on my phone. Darkness, temperatures in the house down to 60, but me and the critters bundled up together.

Couldn’t get to the garage because of snow; wouldn’t be able to leave anyway with the garage door dependent on electric. It was scary aft er a few hours. No one knew I was here. I believe there should be some sort of check-up on seniors under these circumstances. A list somewhere of “Seniors Alone” to be checked on either by phone or visit during these outages. My phone was out, but if someone could have come by and flashed a flashlight, or knocked on my door to check on me, I don’t think I would have had such a bad anxiety attack.

I fortunately got through it but if I had had a serious health emergency, you wouldn’t know until spring to get my dead body – if indeed there

was anything left aft er my pets ate me. We need some kind of list of elderly alone to be checked on during these times. Some kind of protocol. A phone call, a visit, a red flag. Some acknowledgement.

PENINSULA PULSE

pOliCY

lETTErS

Do you have an opinion you’d like to share? please email it (preferred) to letters@ppulse.com; submit it online at doorcountypulse. com; or mail it to Peninsula Pulse 8142 Hwy 57, Baileys Harbor, Wi 54202. Email letters@ppulse or call 920.839.2121 if you have questions.

• if emailed, letters must be sent to letters@ppulse.com Letters are limited to 350 words. letters must include the author’s name, daytime phone number, mailing address and email address, but only the author’s name and town/state of residence will appear in the paper. Deadline for letters is Mondays at noon.

• We will publish only one letter by a given author within a 30-day period. Multiple letters by different authors addressing similar topics may be omitted, and in most cases, we do not publish letters that have appeared in other publications.

• The Peninsula Pulse reserves the right to edit and refuse letters, to add titles to or retitle them, and to print them at the time of our discretion.

• All opinions expressed in letters are those of their authors and not those of the Peninsula Pulse, its owners or staff.

HONOR GRADUATES RECOGNIZED

School board members on Wednesday recognized the following Sturgeon Bay High School students who have maintained 4.0 grade-point averages: Tori alger, Gavin Forest, Mercedes Hanley, Jack Henry, Julia Kurek, amelia langfeldt, Natalia Michalski, Ellie propsom, Madeline propsom, Calvin richard, Ben Stephens, Jade Tomberlin and Garrett Ulberg.

EVENT TO SUPPORT GLOBAL FINALS TRIP

To raise funds to send three Sevastopol school teams to the Destination imagination Global Finals in Kansas City, Missouri, Sevastopol Destination imagination students and organizers are hosting a showcase event Saturday, april 20, at the school. Doors open at 3 pm, performances begin at 4 pm, followed by a spaghetti dinner starting at 5 pm. Sevastopol has won 15 total global/world championships. The school is located at 4550 Highway 57 in institute.

Seeking New Superintendent

continued from page 1

Luedtke, who has served at Sevastopol since summer 2017, is completing his 31st year in education and 13th as a superintendent. In October he was named Rural School Administrator of the Year by the Wisconsin Rural Schools Alliance.

Bieri said the district and students benefited from Luedtke’s efforts in 2017 and 2018, working with a 30-member committee to get a $22 million referendum passed to build a new addition and replace 96-year-old portions of the building.

“His financial expertise, student focus and commitment to the school district are appreciated and will be some of the qualities we will likely seek in Sevastopol’s next superintendent,” Bieri said. In addition, the board was expected to consider hiring a new varsity boys basketball coach Wednesday. Luedtke filled in as the Pioneers’ head coach this year.

In his resignation letter, Luedtke said it had been a pleasure to serve the district for seven years.

“Academic improvements during my tenure would include increasing our English learner’s department, adding a gifted and talented program and moving to 1:1 devices for our high school and middle school students,” Luedtke wrote in his letter. “The last initiative became significant when we were forced to be closed by governmental action in March of 2020.”

Englebert Elected to Lead

meetings, and Englebert said his goals and priorities will be to continue the work that’s been started.

“We have a lot of capital project improvements,” he said. “The biggest will be, and we’ll concentrate most, on the communication project.”

The county is in the Phase-I stage of a $25.6-million, full-system upgrade to its communication infrastructure that’s scheduled for completion by 2028.

Englebert said most county departments have some big projects on the horizon, including the sober living facility out of Health and Human Services, and the implementation, already begun, of the county’s transport ambulance contract with Door County Medical Center. In the Land Conservation area, he said water quality is also on his radar, as are concerns with manure being brought into southern Door from Kewaunee County.

One project that remains in the drawing-board stage, despite the interest from mid-Door towns like

Midsummer’s Music Names New Development Director

Plus, “Gather with the Griffon” miniconcert series comes to Door County

Midsummer’s Music has named Koki Sato as its new development director.

Sato is the founder and administrative director of the University of Minnesota New Music Ensemble. He has also held positions at the University of Minnesota School of Music, the National Repertory Orchestra and the Saint Paul Chamber Music Institute.

His volunteer background includes a position on the board of directors at Thursday Musical, a Twin Citiesbased nonprofit dedicated to enriching local music communities.

Born in Tokyo, Sato is a classical pianist and an advocate of new music and its potential to expand the boundaries of classical music. He is currently an ABD doctoral candidate studying under Alexander Braginsky at the University of

Minnesota, with a research interest in the programming and reception of post-1945 music at major American orchestras.

“As a classical pianist, the organizational mission to enrich the local community through engaging programming and performances resonates with me,” Sato said of his new position at Midsummer’s Music.

The organization’s resident ensemble, the Griffon String Quartet, will bring its “Gather with the Griffon” miniconcert series to Door County starting April 24.

The one-hour performance series designed for midday audiences is coming to the peninsula after gaining popularity in Green Bay over the last few years.

Jacksonport and Egg Harbor, is a possible mid-Door ambulance center. That will remain, for now, with the Public Safety Committee.

“It’s important,” Englebert said. “I don’t know it will be our number-one priority, where we can place the most money, given all the capital projects,” he said. “But it’s important to get the facts and numbers in place.”

Todd Thayse Seated as Vice Chair

Todd Thayse, also from southern Door, was elected as vice chair. Thayse represents District 2, which neighbors Englebert’s, and serves the Village of Forestville, and wards in Brussels and the Town of Forestville. Thayse retired in January 2022 as vice president and general manager of Fincantieri Bay Shipbuilding, and is beginning his third, two-year term on the county board.

The vice chair – who serves when the chair is absent – is elected the same way as the chair, with a blind nomination and blind vote. The field was more crowded for the vice-chair nominations – Bob Bultman, Vinni Chomeau, Roy Englebert, Ken Fisher, Joel Gunnlaugsson, Hugh Zettle and Morgan Rusnak were also up for the seat

The first local performance will be at Eagle Harbor Inn, 9914 Water St. in Ephraim, on April 24, 12 pm. The show will feature selections from Brazilian composer Heitor VilaLobos’ “String Quartet No. 1” and Ludwig van Beethoven’s “String Quartet No. 1 in F Major, Op. 18.” These selections will be played by violinists Roy Meyer and Alex Norris, violist Kayla Patrick and cellist Jesse Nummelin.

SHORT FILM FEST ACCEPTING SUBMISSIONS NOW

Though the 2024 Door County Short Film Festival sold

– but Thayse clinched it with 13 votes during the first round of voting.

Dave Lieanu served as chair since 2016, on the board since 2014, but announced last December he would not seek reelection in 2024.

The vacancy left his District 19 seat open that represents some of Baileys Harbor, Ephraim, Liberty Grove and Sister Bay. No official candidates filed, but Liberty Grove resident Patrick Voight was declared the winner after the April 2 election, and consequently accepted the office. He received the most write-in votes for the seat – four out of 28 write-in votes cast, 16 of those for different candidates.

The county board will meet for its regular monthly meeting on Tuesday, April 23, and Englebert said he’s looking for a smooth transition.

“I want to continue to provide the services that Door County needs,” he said.

Koki Sato. Submitted.
Joshua Davis. FrOM THE arTiST’S prESS paGE
ClariO FarMSTEaD paSTa FaCEBOOK paGE
KlaUD’S KiTCHEN. SUBMiTTED

Birders Flock to Algoma Celebration

Five-hour event features displays, vendors and birding programs by

Hundreds of bird enthusiasts are expected to migrate to Algoma High School Saturday for a World Migratory Bird Day Celebration. There’s no admission charge for the 9 am – 2 pm event, but there will be items available for purchase from vendors. In addition, the Steel Belly BBQ food truck will offer a lunch menu from 11 am – 12:30 pm.

In addition to displays by local organizations, there will be three free programs presented.

Nature photographer John Walch will present “Birds and Bugs,” showcasing images capturing the beauty and diversity of birds visiting the area. In recognition of the 2024 World Migratory Bird Day theme – Protect Insects, Protect Birds – the program will highlight the important connection between birds and insects in the environment.

There will be a panel discussion called “Tracking, Travel and Habitat,” led by Jacob Woulf, the Lake Michigan Bird Observatory Motus Coordinator. He’ll discuss how some of the Motus monitoring systems in the area track migratory birds, and will share how the Observatory’s Neighborhood Habitat Improvement Project can assist anyone interested in creating a bird-friendly yard. John and Gurmit Walch will also share highlights from their recent birding travel adventures.

Finally, wildlife educators Samantha Brooks and Cinna Smallwood of the Raptor Education Group will present “Winged Wonders — LIVE Birds,” where you’ll get up close with several of Wisconsin’s common yet seldom-seen birds and learn about the importance of conserving them within the ecosystem.

This year’s official World Migratory Bird Days will be celebrated May 11 (spring) and Oct. 12 (fall). Learn more at fws.gov/story/2024-02/worldmigratory-bird-day-2024, and sign up for updates at https://www.migratorybirdday.org/.

Trout Tourney is On

It might not be as bad as a midweek gale, but it’s expected to be a windy weekend for trollers hoping to cash in during the Baileys Harbor Brown Trout Tournament. The annual event began Thursday and ends Sunday.

Hundreds of anglers are expected to fish off of Door and Kewaunee counties to try for their share of thousands of dollars in cash and prizes. Most years, it takes a trophy trout larger than 20 pounds to win.

Fishing is allowed in Green Bay and Lake Michigan waters. With expected strong west winds, the popular bay side of the Door Peninsula might not be a rough go.

Tickets can be purchased before you fish online at e.sparxo.com/Baileys-Harbor-Brown-TroutTournament, or in person at the four weigh-in sites (Baileys 57, Howie’s Tackle, Hooked Up Tackle Shop, and Yacht Works Kewaunee) or the five other ticket outlets: Algoma BP; Cherryland Shell and Greystone Castle in Sturgeon Bay; Lakeshore Adventures in Baileys Harbor; and Virlee Gunworks in New Franken.

A pileated woodpecker brought food to its young in this photo from a previous year. Wildlife photographer John Walch will share more of his pictures in a pair of presentations at Algoma High School April 27. JOHN WalCH

Get tourney updates at facebook.com/ BaileysHarborBrownTrout/.

Meanwhile, walleye spawning is in full swing on Green Bay rivers and creeks, and some walleyes, pike, bass and trout are being hooked from Sturgeon Bay to the tip of the peninsula.

A large run of suckers in the tributaries means the steelhead run is on its last legs, with most fish spawned-out already.

Wisconsin Department of Natural Resources (DNR) fisheries staff sorted more than 2,000 steelhead at the Root River and Besadny weirs this spring, including more than 1,200 in eight collections from the Root at Racine. Of those, nearly 800 were spawned.

The fourth egg-take at the Besadny Anadromous Fisheries Facility near Kewaunee was set for April 17. Through April 10, a total of 989 steelhead had been sorted. Of those, 245 females were spawned resulting in about one million eggs taken.

Finally, if you’d like to see sturgeon spawn, now’s the time to check below the dams at DePere, Peshtigo and Marinette, or along the Wolf River at New London, Shiocton or Shawano.

Spring Turkey Hunt

The first of six seven-day spring wild turkey hunts is underway. Harvests must be registered by 5 pm the day aft er recovery. Do so by phone at 1.844.426.3734 or online at gowild.wi.gov/wildlife/ harvest. For more information, visit dnr.wisconsin.gov/ topic/hunt/turkey.

Hearing Results

Results of advisory-only votes for the recent DNR fish and wildlife hearings and Wisconsin Conservation Congress county meetings and online input should be available at dnr.wisconsin.gov/ about/wcc/springhearing.

Weekly Water Levels

As of April 12, Lake Michigan and Green Bay water levels were down 4 inches from last year, and 33 inches from the April 2020 monthly record. Water levels were still about 33 inches above the all-time monthly low, set in 1964. enthusiasts are expected

Family is Theme for Business Honorees

Commitment to community and family was the thread that connected the four businesses honored at the Door County Economic Development Corporation’s (DCEDC) annual luncheon Wednesday. All four award-winners were noted for their efforts beyond their business doors, and three of the winners have guided their businesses through multiple generations of ownership in the same family.

At Roen Salvage the company is now in its fourth generation of Roen-family stewardship, a point of pride for lifetime achievement award-winner John Asher. Asher was honored not only for his years of stewarding one of the city’s signature businesses through good times and bad, but also for his commitment to philanthropic efforts. Asher was a leader in the creation and expansion of the Door County Maritime Museum, whose board he has sat on for more than three decades.

Amy LaBott followed in the footsteps of her grandfather, father and uncle as the owner of Door County Ace Hardware, which recently grew into a new location in Sturgeon Bay and added a second store in Sister Bay this year. She was awarded the Light Keeper award for woman, minority or veteran-owned business.

Just In Time Corporation was honored as the Lighthouse Established Business of the Year. Originating in the corner of Jeanquart’s garage, Just In Time Corporation operates 100,000 square feet of facilities in the city. Founder Rick Jeanquart has brought his three children – Collin, Chris and Melanie – into the fold to take the company into the future. In accepting the Range Light award for emerging business, Peter Gentry of One Barrel Brewing Co. thanked the community that has supported the taproom he opened five years ago.

“This is a place where our sense of community is greater than our sense of competition,” Gentry said.

In addition to those awards, the Door County Youth Apprentice scholarship was given to Southern Door High School senior Sophia Counard for her work with Destination Sturgeon Bay.

Local Guide and Shop Owner Ready for Fishing Camp for Kids

He calls it Fishing Camp for Kids, and he’s giving away rods, tackle and knowhow. But guide and outfitter Todd Haleen emphasizes that he also wants to teach the parents and grandparents at his first fishing instructional event for children in kindergarten through sixth grade.

Haleen, the owner of Lakeshore Adventures in Baileys Harbor, sees dozens of families each year who want to take their children or grandchildren fishing. They’ll browse and maybe bring a rod up to the county – and then ask how to tie on the hooks, what to put on the hook, how to cast and whether to use bait or lures. Ideally, he hopes families will fish together. He hopes the parent or elder who comes to the camp can remember how to stay safe around the water, how to tie knots, or how to add a bobber or weights and retain information from the camp to help the youngsters aft er the camp.

“I really want to get more kids fishing,” Haleen said. “They need to get out and enjoy this area we have and all it has to offer.”

During the fishing camp – set for 20-25 children from 11 am – 3 pm May 11, and then 20-25 more on May 12 at the Baileys Harbor Town Hall – the older children will receive open-face spinning reels and rods and the younger ones will receive a closed-face spincast reel and rod.

Each also will receive a new tackle box filled with hooks and lures, bobbers, pliers, a new line cutter, a stringer and tape measure.

Haleen’s vendors also want to instill a love of fishing and the outdoors in more kids, so they steeply discounted items below his wholesale cost so he could give them away.

The camp schedule starts with an hour of lessons on equipment, tools, knot tying, slip bobbers, types of lures and bait and how and when to use each; proper and safe fish handling; and identifying and measuring fish. Casting practice will follow, along with demonstrations on how to net a fish that’s caught, how to set the hook and how to bait a hook and keep the line tight.

At 11:45, campers, their parents or volunteers will tie on hooks and weights.

At noon, he’ll invite parents to drive their children to a dock, possibly on the Green Bay side, in a location where he believes they’ll have the best luck fishing for smallmouth bass and northern pike.

While he and some of his helpers will talk about all sorts of lures and techniques, he’ll set them up with minnows for bait.

“I want these kids to catch fish,” he said.

Parents should bring or ask for a life jacket for the child and make sure they dress for the weather and bring their own snacks and drinks.

Haleen asks anyone interested in helping with the event to call him at 920.421.1368. To register, visit northerndoor.recdesk.com.

The town hall is located at 2392 County Road F in Baileys Harbor.

Todd Haleen holds two of the rod-and-reel combos he will give away at a fishing camp for children in kindergarten through sixth grade. CraiG STErrETT
(From left) Amy LaBott, Collin Jeanquart, Sophia Counard, John Asher, Jennifer Gentry and Peter Gentry were honored at the Door County Economic Development Corporation’s annual luncheon Wednesday. MYlES DaNNHaUSEN Jr.

peter Sherrill, who said the 60-minute writing activity is perfect for both beginning and advanced writers in any genre.

The event is free and open to everyone.

ARE WE LISTENING: ARTIST CONVERSATION

Join author/editor Katherine Kassouf Cummings and artist rebecca Carlton for a conversation focused on how we come together in a changing world on Wednesday, april 24, 6:30-8 pm, at the DCEDC. as the editor of the series, Questions for a Resilient Future, Katherine will present the origins of the question and offer readings of select responses to the question. She, Carlton and audience members will then engage in discussion and explore new responses.

Events Inspired by New Art Installation

REBECCA

Three

MEMORIES OF DOOR COUNTY ON EXHIBIT

a

The

Memories of Door County, a collection of paintings by self-taught artist Marleah Grinnell, will be on view at the ridges Sanctuary through May 17. The ridges will host an artist reception april 25, 4-6 pm, at Cook- albert Fuller Nature Center, 8166 Hwy 57 in Baileys Harbor. Grinnell will speak at 5 pm, and her art will be available for purchase through the Nature Store throughout the exhibition.

(From left) Rebecca Carlton. Katherine Kassouf Cummings. Submitted.

This event is presented in collaboration with rebecca’s art installation, Are We Listening?, a visual response to worldwide language loss. as we reach a tipping point in our chasmic depths of global divisions, are we listening? How do we come together? The event is free and everyone is welcome to attend. a light reception will follow the conversation, which is sponsored by Write On, Door County.

Sculptor and installation artist rebecca Carlton, along with her life partner, Tony Staroska, owns Juddville Contemporary Clay Studio and Gallery in Juddville/Fish Creek. She has been a fellowship recipient from the National Endowment for the arts, the Getty Center for the arts and the Fulbright Fund.

Grinnell’s installation demonstrates her deep emotional connection with nature. She began painting in 2019 to share this connection, and as a form of therapy to improve her eyehand coordination and fine motor skills, which deteriorated seven years ago. painting helps Grinnell escape the constant vertigo she experiences.

wall of Bob’s auto parts, 511 Milwaukee St., at the intersection of Highways 42 and 29. Kewaunee High School art teacher Erin laBonte and Don Krumpos, both artists from algoma studio Yonder,

Katherine Kassouf Cummings is a lebanese-american writer born to and living on the ancestral homelands of the people of the Council of Three Fires (Ojibwe, potawatomi, and Odawa), as well as

are leading the project. advanced art students from laBonte’s high-school classroom created concepts for the mural, which were presented to Bob’s auto owner rob Schleis.

The design that he selected, and that the art students refined, is of a father and son walking down a pier with fishing rods, with an old Chevrolet nearby (Bob’s auto was previously a Chevy showroom.)

The students who will paint the mural are alex Syzdel, Maxx Suchocki, Nic Husnik, Cody Siewert, Tessa alvarado, Jasmin perez-Eisner, ava Trevor, Damien appel and Cherry Neveau.

MEMORIES OF DOOR COUNTY

The Ridges Sanctuary, 8166 Hwy 57 in Baileys Harbor

Through May 17

Marleah Grinnell, a self-taught artist from Madison, Wisconsin, explores her deep emotional connection to nature through her paintings.

50TH ANNUAL SALON OF DOOR COUNTY HIGH SCHOOL ART

Miller Art Museum, 107 S. 4th Ave. in Sturgeon Bay

Through May 18

Explore the work of over 100 students, ages 15-18, from the peninsula’s five high schools.

TIME AND SPACE: A SURVEY OF ARTISTS-IN-RESIDENCE

Peninsula School of Art, 3900 Cty F in Fish Creek

Through July 13 a collection of work by participants from the first few years of the school’s artist-inresidence program.

Art by Marleah Grinnell.
Marleah Grinnell. Submitted.

))literature

Dolly parton Helps local Kids Get Free Books

Survey results are in from the first five years of Dolly Parton’s Imagination Library in Door County

The first five years of Dolly Parton’s Imagination Library program in Door County have had a significant impact, according to data from 442 surveys completed by local caregivers of children in the program.

The program, started by Parton in 1995, sends children ages 0-5 a book in the mail every month. Administered locally by the Door County Partnership for Children and Families, the program reached Door County in January 2019, with about 100 children participating. Now, 784 children receive a book monthly, while 702 are “graduates” of the program.

Caregivers of children registered in the program can share a before-andafter view of their family’s reading habits via survey. Key points from that survey include the following:

• The number of children’s books in respondents’ homes increased to at least 120 in each home. Every participant’s number of books increased.

• The percentage of parents who read daily with their children increased from 26% to 53%, while the percentage of parents who read with their children 4-6 times per week increased from 27% to 36%.

• The number of families who discussed a book daily increased from 70 to 173.

The data also indicates the Imagination Library reaches households with varying income levels and educational backgrounds. It put books in the hands of over 231 Door County children from households that need subsidies to meet basic needs.

*bookmarks

MARITIME, COOKBOOK

AUTHORS AT OTHERWORLDS

author Veronica Hinke will sign her book Titanic: The Official Cookbook in the hall outside of OtherWorlds Books and More, april 20, 10 am – 2 pm. in her book, Hinke shares her love of early 20th-century history, culinary arts and most of all, people, who are at the core of every food story she has written.

“This book is no different,” Hinke said.

“Those stories of hope and resilience – i think that’s why the Titanic story is still alive today.”

returning maritime author Bob Ojala will join Hinke. Ojala spent four years in the U.S. Coast Guard, 17 with the american Bureau of Shipping, and eight and a half with the U.S. army Corps of Engineers, in addition to 30 years of business ownership. The author, who has written Sweetwater Sailors and other books, is still active in marine surveying.

OtherWorlds Books and More is located at 41 N. 3rd ave. in Sturgeon Bay.

FREEBIES AND FUN AT NOVEL BAY Novel Bay Booksellers will celebrate indie Bookstore Day on april 27, 10 am – 5 pm. indie Bookstore

Those

related goodies. Book purchases are eligible for special discounts, and online shoppers will receive 50% off select books at novelbaybooks.com that day. it’s our ‘thank you’ to the community of book lovers supporting us and other indie bookstores,” Novel Bay Booksellers owner liz Welter said. Novel Bay Booksellers is located at 44 N 3rd ave. in Sturgeon Bay.

DOOR COUNTY LIBRARY

SEEKS PUBLIC INPUT

The Door County library is seeking public input to develop its 2025-2027 strategic plan.

Those who do and do not use the library are encouraged to complete the 10-minute survey, which can be accessed by visiting doorcountylibrary.org or by scanning the Qr code. paper copies are available at all library locations, and a Spanish version is available.

The survey will run through May 12. Five survey participants will win a $20 Destination Door County gift certificate. Winners will be announced June 1. personal information requested during the survey is for drawing purposes only. Email director@doorcountylibrary.org with questions.

REGISTRATION OPEN FOR ISLAND LIT FEST

registration is open now for the 2024 Washington island literary Festival. The theme for this year’s festival, which will run Sept. 19-21, is “Come This Far.” it will feature Wisconsin poet laureate Nicholas Gulig, memoirist and graphic artist Kelcey Ervick, and fiction writers leif Enger, Maggie Ginsberg and Julie Schumacher. Visit tinyurl.com/35cemh49 for more information and registration.

TRADE PAPERBACK

FICTION

1. Just for the Summer, by Abby Jimenez

2. Bride, by Ali Hazelwood

3. The Three-Body Problem, by Cixin Liu, Ken Liu (Transl.)

4. A Court of Thorns and Roses, by Sarah J. Maas

5. West with Giraffes, by Lynda Rutledge

BESTSELLERS

TRADE PAPERBACK

NONFICTION

1. Braiding Sweetgrass: Indigenous Wisdom, Scientific Knowledge, and the Teachings of Plants, by Robin Wall

Kimmerer

2. Killers of the Flower Moon: The Osage Murders and the Birth of the FBI, by David Grann

3. All About Love: New Visions, by bell hooks

4. Poverty, by America, by Matthew Desmond

5. The Watchmaker’s Daughter: The True Story of World War II Heroine Corrie ten Boom, by Larry Loftis CHILDREN’S ILLUSTRATED

1. Goodnight Moon, by Margaret Wise Brown, Clement Hurd (Illus.)

2. Penelope Rex and the Problem with Pets, by Ryan T. Higgins

3. Big, by Vashti Harrison

4. Creepy Crayon!, by Aaron Reynolds, Peter Brown (Illus.)

5. Taylor Swift: A Little Golden Book Biography by Wendy Loggia, Elisa Chavarri (Illus.)

Eat. Shop. Cheers!

Welcome to Bayside Tavern, “Wisconsin’s Best Small Town Bar” home of famous “Smilen” Bob’s Chili. Enjoy our great burgers, sandwiches, salads, pizza and fish fry.

Explore The Bayside Shop, a

Smilen’ Bob MacDonald
The Midwest Independent Booksellers Association (MIBA) Bestseller List Midwest (Illinois, Iowa, Kansas, Minnesota, Missouri, Nebraska, North Dakota, South Dakota, Wisconsin, and Michigan’s Upper Peninsula), for the week ended April 7. To find an
Norb Hantke

7:30pm. Morgan Wallen Tribute Show.

INDOOR

ACTIVITIES AT JAK’S PLACE

JAK’s Place, 1623 Rhode Island St, Sturgeon Bay. 920.818.0525. 12pm. Coffee Group.

Happenings submissions are due by noon on Friday the week prior. Send them to pr@ppulse.com.

FRI

4/19

LIVE MUSIC

IMAGINE THAT Wickman’s 2 Brews, 154 S. 3rd Avenue, Sturgeon Bay.

6-8pm. Kay Loberg and Judy Paulson perform acoustic pop and folk music.

THE WORKS

Stone Harbor Resort, 107 N 1st Ave, Sturgeon Bay. 920.746.0700.

6:30-10pm. Pop, rock & folk.

“WASTED ON WALLEN” Door County Gala, 1023 Egg Harbor Road, Sturgeon Bay.

2:10pm. Tai Chi. OPEN CRAFT TABLE Forestville Library, 123 Hwy 42, Forestville. 920.856.6886. 9:30-10:30am. Make seasonal crafts. Ages 2-10. Refreshments provided. DVD FITNESS Aging & Disability Resource Center of Door County, 916 N. 14th Ave., Sturgeon Bay. 920.746.2372. 10am. Get the day started with some chair exercises.

AFTER SCHOOL MOVIE Algoma Public Library, 406 Fremont St, Algoma. 920.487.2295. 3pm. Watch “Ron’s Gone Wrong” (PG). Bring your own snacks. OPEN MIC

Door County Brewing Co. and Music Hall, 8099 Hwy 57, Baileys Harbor. 920.839.1515. 6pm. Perform music, stand up and poetry.

LITERATURE ART/SPEAKS

ARTicipation Studio & Gallery, 10 E. Oak St., Sturgeon Bay. 920.857.8544. 11am-1pm. Write in response to visual art.

OUTDOOR

BROWN TROUT TOURNAMENT

Throughout Door & Kewaunee Counties. 920.839.2366. Signup info at facebook.com/ BaileysHarborBrownTrout. Prizes for best fishermen. THE BIG PLANT Appels Bluff Ridges Sanctuary, 2307 Sun Plaza, Baileys Harbor. 10am-2pm. Volunteer to plant trees. More information at climatechangedoorcounty.com

SAT

4/20

LIVE MUSIC

DIANNA JONES

Door 44 Winery, 5464 County Hwy P, Sevastopol. 1-4pm. Star quality and great to see live performing original songs and classics.

HUNTER GATHERER

Door County Brewing Co. and Music Hall, 8099 Hwy 57, Baileys Harbor. 920.839.1515. 3-7pm. Americana, classic rock & alternative country.

LANEY ZACEK Thirsty Cow Taphouse, 7899 Co Rd A, Baileys Harbor. 920.839.9991. 5-8pm. Acoustic covers. FULL CIRCLE Stone Harbor Resort, 107 N 1st Ave, Sturgeon Bay. 920.746.0700. 6:30pm. Rock, pop & blues favorites. THEATER MURDER

MYSTERY DINNER

Door County Sandbox, 1023 Egg Harbor Rd, Sturgeon Bay. 920.818.0816. 6pm. The Case of the Malted Falcon murder mystery dinner acted out by Rogue Theater. $40/person includes dinner and the show. Reservations required.

PERFORMANCE

SING, DOOR COUNTY

Southern Door Auditorium, 2073 Cty DK, Brussels. 920.676.1920. 7pm. Ultimate singing competition showcasing talented high school students from Door County. $12-18/ person. More information at southerndoorauditorium.org.

GALLERIES

HAND BUILDING CLAY

WORKSHOP

ARTicipation Studio & Gallery, 10 E. Oak St., Sturgeon Bay. 920.857.8544. 2-5pm. Learn about clay art with George Ouimette. $55/ person. Includes materials and light beverages.

INDOOR

“TALES OF OUR LIVES”

Northern Sky Creative Center & Gould Theater, 9058 County Rd A, Fish Creek. 920.746.1786. 6pm. Social hour; light appetizers & live music. 7pm. Story slam by local

women. $30/person at the door.

FAMILY ART DAY

Peninsula School of Art, 3900 Cty F, Fish Creek. 920.868.3455. 9am-12pm. We provide the art materials and the inspiration, so you can share the fun and accomplishment of creating fine art projects together. For families with children ages 3- to 17-years-old.

OPEN QUILTING LAB Algoma Public Library, 406 Fremont St, Algoma. 920.487.2295. 10am-2pm. Bring your current project, machine and supplies to sew with friends. EVERY DAY IS EARTH DAY FESTIVAL

Donald and Carol Kress Pavilion, 7845 Church St., Egg Harbor. 920.868.3334 ext. 3. 10am-4pm. Every Day is Earth Day Festival has Ecological workshops, lectures, kids activities & a marketplace of ideas. Full Schedule at Everdayisearthdayfest.org.

ANNIVERSARY CELEBRATION

Clario Farmstead Pasta, 19 N 3rd Avenue, Sturgeon Bay. 920.495.8780. 10am-5pm. Clairo Farmstead Pasta One Year Anniversary Celebration and Pop Up!

Introducing new products, wine tastings, sales promotions and pop up appearance from Galecktables.

HEALTHY KIDS DAY

Door County YMCA – Steve & Jackie Kane Program Center, 3866 Gibraltar Road, Fish Creek. 920.868.3660. 10am-1pm. A day of healthy, fun activities that celebrate kids being kids! Free. FOREST SCHOOL ARTIST RECEPTION AND CELEBRATION

Ridges Sanctuary – Cook-Albert Fuller Center, 8166 Hwy 57, Baileys Harbor. 920.839.2802. 11am. Experience the impactful works of the Ridges Forest School students based on their perspective of Earth’s systems.

ECKANKAR SPIRITUAL DISCUSSION Sturgeon Bay Library, 107 S 4th Ave, Sturgeon Bay. 920.559.2398. 1-2:30pm. Spiritual discussion. Free. All viewpoints are welcome. SCIENCE SATURDAY Crossroads at Big Creek, 2041 Michigan St, Sturgeon Bay. 920.746.5895. 2-3pm. Meet the Squirrels. Weekly science project. Grades 3 and up. Free. THE ROAD TO GLOBALS Sevastopol Schools, 4550 Hwy 57, Sevastopol. 920.743.6282. 3-5pm. A Sevastopol Destination Imagination Showcase. Silent Auction, Bake Sale, Performances and Spaghetti Dinner. OUTDOOR BROWN TROUT TOURNAMENT Throughout Door & Kewaunee Counties. 920.839.2366. Signup

Fun&Fests

MON

4/22

LIVE MUSIC

UKULELE SOCIETY OF DOOR COUNTY JAM

Door County YMCA – Steve & Jackie Kane Program Center, 3866 Gibraltar Road, Fish Creek. 920.868.3660. 1-2:45pm. Open to all players & skill levels. Email dcukesociety@ gmail.com for more info.

INDOOR

100+ WOMEN WHO CARE GIVING CIRCLE

LIVE MUSIC

OPEN MIC NIGHT Waterfront Mary’s Bar & Grill, 3662 N Duluth Ave, Sturgeon Bay. 920.743.3191. 9pm. 9pm-1am. Hosted by Adam Haste.

INDOOR

Donald and Carol Kress Pavilion, 7845 Church St., Egg Harbor. 920.868.3334 ext. 3. 5:30pm. Registration & social hour.

6:30pm. Formal Meeting. DISTRICT MEET AND GREET

Drömhus Door County, 611 Jefferson St., Sturgeon Bay. 608.333.4553. Connect with your alderperson to discuss current and future issues. District 7 will meet from 5:30-7pm.

ACTIVITIES AT JAK’S PLACE

JAK’s Place, 1623 Rhode Island St, Sturgeon Bay. 920.818.0525. 1pm. Poetry Connection 5pm. Open Support Group

ACTIVITIES AT THE ADRC

Aging & Disability Resource Center of Door County, 916 N. 14th Ave., Sturgeon Bay. 920.746.2372. 9am. Artist in the Making. 10am. DVD Fitness.

ACTIVITIES AT JAK’S PLACE JAK’s Place, 1623 Rhode Island St, Sturgeon Bay. 920.818.0525. 2:30pm. Art Group and Knitting Group. 3:30pm. Nurturing Group. 5pm. Dinner. TALKS WITH TAMMY NWTC Learning and Innovation

MUSIC MONDAYS Sturgeon Bay Library, 107 S 4th Ave, Sturgeon Bay. 920.743.6578. 10am-4pm. Records will be available for play. Patrons are encouraged to play vinyl for the collection or bring in records of their own.

MONEY MATTERS

INDOOR

EARTH DAY TREE TALK

Algoma Public Library, 406 Fremont St, Algoma. 920.487.2295.

3:30pm. Learn how to read your paystub and get tips for saving money.

EAGLES TRAIL TROT Southern Door Schools, 2073 Cty Rd DK, Brussels. 920.825.7333. 9am. 2-mile run/walk. $20/ person. Register at https:// www.facebook.com/ southerndooreaglestrailrun.

SUN

4/21

LIVE MUSIC

COOL BAY JAZZ

Drömhus Door County, 611 Jefferson St., Sturgeon Bay. 608.333.4553. 5-7pm. Dennis Keith Johnson, John Lewis, Tim Fox and Bill Knipfer. Cozy and Cool.

PERFORMANCE

Newport State Park, 475 Cty Hwy NP, Ellison Bay. 920.854.2500. 10:30am. Join arborist and horticulturist, Tom Wolfe, as he shares his knowledge about trees and shrubs. State Park sticker required. Nature Center in Lot 1.

RAISE THE ROOF AT THE RIVER Mink River Basin, 12010 Hwy 42, Ellison Bay. 920.854.4080. 1-5pm. Fundraiser for the Sister Bay Moravian Church Roof Replacement! Fun, food, music, bucket raffles and open mic. EVERY DAY IS EARTH DAY FESTIVAL

Crossroads at Big Creek, 2041 Michigan St, Sturgeon Bay. 920.746.5895. 1-4pm. Theme is “Capturing the Sun”. Every Day is Earth Day Festival has Ecological workshops, lectures, kids activities & a marketplace of ideas. Full Schedule at Everdayisearthdayfest.org.

EVERY DAY IS EARTH

DAY FESTIVAL

One Barrel Brewing Company, 4633 Market Street, Egg Harbor. 5-8pm. Open Mic. Every Day is Earth Day Festival has Ecological workshops, lectures, kids activities & a marketplace of ideas. Full Schedule at Everdayisearthdayfest.org.

RANGE LIGHT CORRIDOR

RESTORATION PRESENTATION

Ridges Sanctuary – Cook-Albert Fuller Center, 8166 Hwy 57, Baileys Harbor. 920.839.2802. 6pm. Hear an update on the restoration project including insights into the important ongoing research on federally threatened Dwarf lake iris partnership with the USFW Coastal Program.

LITERATURE

MEMOIR MONDAY

PING PONG FUNDRAISER Peach Barn Brewing, 2450 S. Bay Shore Dr., Sister Bay. 920.944.2393. 3-6pm. Ping Pong tournament to raise money for DoorCANcer.

OUTDOOR

Aging & Disability Resource Center of Door County, 916 N. 14th Ave., Sturgeon Bay. 920.868.1457. 10am-11pm. Creative lab for seniors to encourage them to write their life stories.

OUTDOOR

MURDER MYSTERY SHOW DC Arts Center, 917 N. 14th Ave., Sturgeon Bay. 920.818.0816. 2pm. The Case of the Malted Falcon murder mystery dinner acted out by Rogue Theater. $15/person. Reservations required.

Big Creek, 2041 Michigan St, Sturgeon Bay. 920.495.6156. 6:30pm. Manure Management is a complicated subject. This is a presentation involving regulators, farmers and environmental experts. Free. AMVETS POST 51 MEETING Lodge at Leathem Smith, 1640 Memorial Drive, Sturgeon Bay. 920.743.3295. 7pm. AMVETS is a veteran service organization open to anyone who is currently serving, honorably served in the US Armed Forces including the National Guard and Reserves. This monthly meeting takes place the 4th Tuesday of the month.

FOOD & DRINK

BREAD & BOOYAH

Belgian Heritage Center, 1255 Cty Rd DK, Brussels. 920.825.1328. 11am-1pm. Lunch & homemade desserts. $12/adult. $8/ Children ages 4-12.

BROWN TROUT TOURNAMENT Throughout Door & Kewaunee Counties. 920.839.2366. Signup info at facebook.com/ BaileysHarborBrownTrout.  Prizes for best fishermen. THE BIG PLANT Crossroads at Big Creek, 2041 Michigan St, Sturgeon Bay. 920.746.5895. 1-4pm. Volunteer to plant trees. More information at climatechangedoorcounty.com

EARTH DAY CLEAN UP Ephraim Historical Foundation & Museums, 3060 Anderson Ln, Ephraim. 920.854.9688. 10am-12pm. Clean up historic properties of trash and debris. Coffee and light snacks will be provided. Safety vests, gloves, and other tools will be provided as needed. Dress for the weather, as we will be out there rain or shine!

RSVP to sgray@ephraim.org, or call us at 920-854-9688. TUE 4/23

LITERATURE STORYTIME WITH MS. BETH Sturgeon Bay Library, 107 S 4th Ave, Sturgeon Bay. 920.743.6578. 10:30am. For babies through preschoolers. Theme is Books to Grow On. ADULT CREATIVE WRITING Algoma Public Library, 406 Fremont St, Algoma. 920.487.2295. 3-5pm. Writing prompts and activities for those looking for inspiration.

Overheard

Are

OUTDOOR

THE BIG PLANT Oak Road Nature Preserve – Door County Land Trust, 6391 Oak Road, Egg Harbor.

10am-12pm & 12:30pm3pm. Volunteer to plant trees. More information at climatechangedoorcounty.com

WED

4/24

LIVE MUSIC

“GATHER WITH THE GRIFFON”

Eagle Harbor Inn, 9914 Water St., Ephraim. 920.854.7088.

12pm. Griffon String Quartet performance.

JOSHUA DAVIS

White Gull Inn, 4225 Main St, Fish Creek. 920.868.3517.

8pm. 6pm. Optional preconcert fixed price dinner served. $35/person. Chef’s choice.

8pm. Winter Concert: Prolific singer and songwriter.

INDOOR

ACTIVITIES AT JAK’S PLACE

JAK’s Place, 1623 Rhode Island St, Sturgeon Bay. 920.818.0525.

12pm. Beyond Recovery.

1:30pm. Games.

ACTIVITIES AT ADRC Aging & Disability Resource Center of Door County, 916 N. 14th Ave., Sturgeon Bay. 920.746.2372.

10am. DVD Fitness.

12:00pm. AARP Safe Driving Class. Registration Required. 1:00pm. Hormones and Aging.

DESTINATION STEWARDSHIP PLAN PRESENTATION

Donald and Carol Kress Pavilion, 7845 Church St., Egg Harbor. 920.743.4456.

9-11am. Public unveiling of Door County’s new Destination Stewardship plan. All are invited.

MUSIC JAM Egg Harbor Library, 7845 Church St, Egg Harbor. 920.868.2664.

1-3pm. Open to all instruments and skill levels. Listeners welcome.

FIREHOUSE KNITTERS Sister Bay/Liberty Grove Fire Station, 2258 Mill Rd, Sister Bay. 920.600.5086.

1-4pm. Knitters, crocheters & needleworkers work on their current projects together. Held in the conference room.

NORTHERN DOOR

GENEALOGY SOCIETY

Sister Bay/Liberty Grove Library, 2323 Mill Rd, Sister Bay. 920.743.6578.

1:30pm. Learn how to study your genealogy.

CULT MOVIE NIGHT Fish Creek Library, 4097 Hwy 42, Fish Creek. 920.743.6578. 2pm. Film about a family who gets lost on the road and stumbles upon a hidden, underground, devil-worshiping cult led by the fearsome Master and his servant Torgo. (NR) BIRD BINGO Algoma Public Library, 406 Fremont St, Algoma. 920.487.2295.

3:15-4pm. Small treats and prizes. All ages welcome.

LEGO PARTY Sturgeon Bay Library, 107 S 4th Ave, Sturgeon Bay. 920.743.6578. 3:30-4:30pm. Use your imagination and build. For elementary-aged kids and older.

F*%$,

Sorry

Oh,

I

She

Every

Right

Well,

I

LITERATURE

CROSSROADS BOOK CLUB Crossroads at Big Creek, 2041 Michigan St, Sturgeon Bay. 920.746.5895. 10am. Meet to discuss “Rooted” STORYTIME WITH MISS JENNY Sister Bay/Liberty Grove Library, 2323 Mill Rd, Sister Bay. 920.743.6578. 10:30am. For babies through preschoolers. Theme is Seeds. BOOK SALE Sturgeon Bay Library, 107 S 4th Ave, Sturgeon Bay. 920.743.6578. 11am-1pm. Shop the shelves and browse the overflow rooms. Thousands of books, audiobooks and movie titles to be sold benefiting Door County Libraries. ARTIST CONVERSATION Write On, Door County, 4210 Juddville Rd, Juddville. 920.868.1457. 6:30-8pm. Join visual artist Rebecca Carlton and author Kassouf Cummings for a conversation on how we come together in a changing world. Free.

OUTDOOR

THE BIG PLANT Appels Bluff Ridges Sanctuary, 2307 Sun Plaza, Baileys Harbor. 9am-12pm. Volunteer to plant trees. More information at climatechangedoorcounty.com

TREE TRANSPLANT Ridges Sanctuary – Cook-Albert Fuller Center, 8166 Hwy 57, Baileys Harbor. 920.839.2802. 10am. Join volunteers in removing tree saplings growing in the Range Light corridor and relocating them to other areas. Bring gloves and shovels for pulling up trees.

THU

4/25

LIVE MUSIC

WRITERS NIGHT Tambourine Lounge, 59 N. 2nd Avenue, Sturgeon Bay. (920) 559-0384. 7pm. Share original songs, stories & poetry.

THEATER

MURDER MYSTERY DINNER Carrington, 7643 Hillside Rd, Egg Harbor. 920.818.0816. 6pm. The Case of the Malted Falcon murder mystery dinner acted out by Rogue Theater. $55/person includes dinner and the show. Reservations required.

and seemingly perfect world of Barbie Land. However, when they get a chance to go to the real world, they soon discover the joys and perils of living among humans. (PG-13)

OPEN MIC

Drömhus Door County, 611 Jefferson St., Sturgeon Bay. 608.333.4553.

6-9pm. Lucy Hagen and Friends host a warm, welcoming environment to perform music, stand up and poetry.

TRIVIA Door County Brewing Co. and Music Hall, 8099 Hwy 57, Baileys Harbor. 920.839.1515. 6pm. Trivia hosted in the taproom.

LITERATURE

BETWEEN THE PAGES

BOOK CLUB

Egg Harbor Library, 7845 Church St, Egg Harbor. 920.743.6578.

10:30am. Join Jeanine in a book discussion about “I’m Glad My Mom Died” by Jeanette McCurdy.

FRI

4/26

LIVE MUSIC

THE STRINGBENDERS

Stone Harbor Resort, 107 N 1st Ave, Sturgeon Bay. 920.746.0700. 2-6pm. Bluesy rock. HUNTER GATHERER von Stiehl Winery, 115 Navarino St, Algoma. 920.487.5208. 4-7pm. Alt-Americana & Indie Folk.

INDOOR

LITTLE LAMBS BIBLE STORY

Shepherd of the Bay Lutheran Church, 11836 Hwy 42, Ellison Bay. 920.854.2988. 9-10:15am. For children ages PreK and under, and their parents, or care providers. Enjoy Bible story, music, games, play time, and art to take home! Contact Lynda at sotb.lynda@ gmail.com to register. Free.

ARBOR DAY TREE GIVE-AWAY

Ridges Sanctuary – Cook-Albert Fuller Center, 8166 Hwy 57, Baileys Harbor. 920.839.2802. 9am-3:30pm. Stop by during hours of operations and get some free trees to plant on your own! First come first serve.

GALLERIES

TRILLIUM QUILT MEETING

Sister Bay/Liberty Grove Fire Station, 2258 Mill Rd, Sister Bay. 920.854.4021. 10am-2pm. Quilting club. Guests welcome.

MEMORIES OF DOOR COUNTY

ARTIST RECEPTION

Ridges Sanctuary – Cook-Albert Fuller Center, 8166 Hwy 57, Baileys Harbor. 920.839.2802. 4-6pm. Award winning artist, Marleah Grinnell, will have her nature-based art on display.

FOOD & DRINK

BAR COWGIRL X HATCH

DISTILLING POP UP

Hatch Distilling Company, 7740 Hwy 42, Egg Harbor. 920.543.3800.

2-7pm. Enjoy street food style small bites inspired by Thai and Southern cuisine along with happy hour cocktails provided by Hatch Distilling. While supplies last.

INDOOR

OPEN ARTIST STUDIO

Miller Art Museum, 107 S 4th Ave, Sturgeon Bay. 920.746.0707. 9:30am-4pm. A place for artists to come to create and find community. $10/visit or $30/ month. More information at www.millerartmuseum.com.

THURSDAY MATINEE

Sturgeon Bay Library, 107 S 4th Ave, Sturgeon Bay. 920.743.6578. 2pm. Movie about Barbie and Ken who are having the time of their lived in the colorful

OPEN CRAFT TABLE Forestville Library, 123 Hwy 42, Forestville. 920.856.6886. 9:30-10:30am. Make seasonal crafts. Ages 2-10. Refreshments provided.

DVD FITNESS

Aging & Disability Resource Center of Door County, 916 N. 14th Ave., Sturgeon Bay. 920.746.2372. 10am. Get the day started with some chair exercises.

OPEN MIC Door County Brewing Co. and Music Hall, 8099 Hwy 57, Baileys Harbor. 920.839.1515. 6pm. Perform music, stand up and poetry.

BARN DANCE

Donald and Carol Kress Pavilion, 7845 Church St., Egg Harbor. 920.868.3334 ext. 3. 7pm. All levels welcome. No children under 8. Free. Donations appreciated.

LITERATURE

ART/SPEAKS

Miller Art Museum, 107 S 4th Ave, Sturgeon Bay. 920.868.1457. 11am-12pm. Write in response to visual art.

OUTDOOR

THE BIG PLANT

Shivering Sands Nature Conservancy, 4053 Whitefish Bay Road, Sturgeon Bay. 9am-3pm. Volunteer to plant trees. Meet at 12163 Badger Rd. Ellison Bay. More information at climatechangedoorcounty.com

Turn static files into dynamic content formats.

Create a flipbook
Issuu converts static files into: digital portfolios, online yearbooks, online catalogs, digital photo albums and more. Sign up and create your flipbook.