







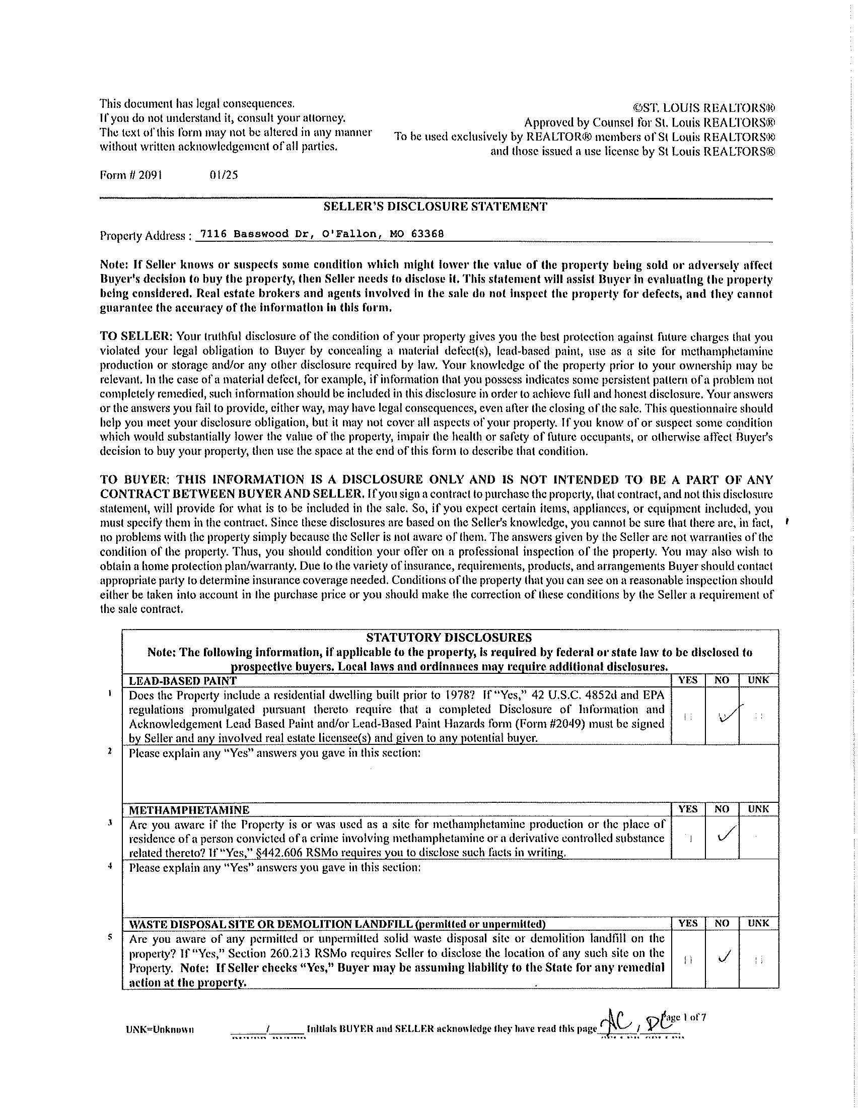
Name Kaminsky, Jan & Michael
7116 Basswood Drive City, State, Zip O'Fallon, MO 63368
851-7582
$49,904 41
$12,361.60
$1,170.00
$36,372.80
![]()








Name Kaminsky, Jan & Michael
7116 Basswood Drive City, State, Zip O'Fallon, MO 63368
851-7582
$49,904 41
$12,361.60
$1,170.00
$36,372.80
This warranty, along with all implied warranties, lasts as long as you own your home and is fully transferable. If at any time the LeafFilter® Gutter Protection System allows the interior of your gutter to clog with debris causing your gutter to fill with water and overflow, LeafFilter® North, LLC (“LeafFilter®”), the company that distributes LeafFilter®, will provide replacement product or refund you 100% of the material purchase price for ALL LeafFilter® materials installed on your home.
The Warranty Is Subject To The Following Terms And Conditions: The LeafFilter® Limited Lifetime Warranty (hereinafter referred to as “Warranty” or “The Warranty”) is specifically limited to the promise described above. No other expressed warranties of product performance or liability for incidental damage are binding on LeafFilter® or any of its affiliates, parents, subsidiaries or related companies. Some states do not allow the exclusion or limitation of incidental or consequential damages, so the above limitation or exclusion may not apply to you. The Warranty does not cover damage to gutters, fascia boards, or roof substrate or surface caused by the installation of LeafFilter® products. This Warranty is void if the LeafFilter® product sustained damage from structural changes, adjacent trees or plant life, or an uncontrollable act of nature. This Warranty is void if the product is modified or altered from its original installation or any willful action was taken to impede or restrict the flow of water through the gutter system. An improper number of down-spouts may limit the water carrying capacity of the gutter system and the resulting overflow is not covered by this Warranty. This Warranty is limited to single-family homes and to single family units within a multi-unit structure. LeafFilter® is not responsible for incidental damage resulting from ice dams or ice flows and makes no claim as to prohibiting ice dams. LeafFilter® reserves the right to inspect and validate warranty claims. Buyer is responsible for informing LeafFilter® within a reasonable time after discovery of a suspected defect and provide a written explanation of defect. Upon receipt of this correspondence, LeafFilter® may request additional information including photos, and may require a field inspection.
Registering The Warranty: This Warranty is effective upon execution.
If You Need Assistance: If you have a claim regarding this Warranty you can contact a LeafFilter® representative at:
Service Phone: (800) 749-4566
Address: 1595 Georgetown Road | Hudson, OH 44236
A service representative will take your call or letter and take appropriate action to correct problems covered under this Warranty. This warranty gives you specific legal rights, and you may also have other rights, which vary from State to State. Some states do not allow the exclusion or limitation of incidental or consequential damages, so the above limitation may not apply to you. In addition, some states do not allow limitation on how long an implied warranty lasts, so the above limitation of implied warranties following transfer may not apply to you.
07/2024












Invoice # : 29100
Service Date : Jun 30, 2025
Account # : 23610
Poison Control # : (800) 222-1222
Tech & License # : Ronald Lane #C24935
Company License # : C26094
Appt Window : 3:30PM-3:30PM
Time In/Out : 3:26PM-4:27PM
Service Address : 7116 Basswood Dr O'Fallon, MO 63368
NOTES
Upon inspection I Found some old activity along the garage door panel Potentially the bottom of the front door post on the left side on the porch, however this could be wood rot due to all the moisture that potentially touches it from the downspout connected to it However based off my inspection of the basement I found mud tubes around the wood beams on the same side of the house as the front porch. I recommend a treatment for the termites. Thank you for choosing Pezz
TARGETED PESTS 1-Other - See Notes
TREATED 1-Exterior
Total due on Jun 30, 2025: $0.00 506 S. Cool Springs Road O'Fallon, MO, 63366 636-466-9428
Invoice to: Janet Kaminsky 7116 Basswood Dr O'Fallon, MO 63368 (636) 579-7756

IMG 0657.jpeg

IMG 0659.jpeg

IMG 0658.jpeg

IMG 0660.jpeg





0662.jpeg IMG 0678.jpeg


0675.jpeg IMG 0669.jpeg















Invoice # : 29100
Service Date : Jun 30, 2025
Account # : 23610
Poison Control # : (800) 222-1222
Tech & License # : Ronald Lane #C24935
Company License # : C26094
Appt Window : 3:30PM-3:30PM
Time In/Out : 3:26PM-4:27PM
Service Address : 7116 Basswood Dr O'Fallon, MO 63368
NOTES
Upon inspection I Found some old activity along the garage door panel Potentially the bottom of the front door post on the left side on the porch, however this could be wood rot due to all the moisture that potentially touches it from the downspout connected to it However based off my inspection of the basement I found mud tubes around the wood beams on the same side of the house as the front porch. I recommend a treatment for the termites. Thank you for choosing Pezz
TARGETED PESTS 1-Other - See Notes
TREATED 1-Exterior
Total due on Jun 30, 2025: $0.00 506 S. Cool Springs Road O'Fallon, MO, 63366 636-466-9428
Invoice to: Janet Kaminsky 7116 Basswood Dr O'Fallon, MO 63368 (636) 579-7756

IMG 0657.jpeg

IMG 0659.jpeg

IMG 0658.jpeg

IMG 0660.jpeg





0662.jpeg IMG 0678.jpeg


0675.jpeg IMG 0669.jpeg











