Skip to main content

Isaac-Natuurwetenschappen -5-6_Leerboek-A - inkijk

Page 1


D-finaliteit

Aan de slag met ISAAC-natuurwetenschappen

ISAAC-natuurwetenschappen 5/6 is een methode natuurwetenschappen voor de derde graad D-finaliteit. De methode bestaat uit drie leerboeken waarvan dit het eerste leerboek is. Elk boek bestaat uit verschillende thema’s binnen de disciplines fysica, biologie of chemie.

Met ISAAC-natuurwetenschappen ontdek je de wereld van de natuurwetenschappen. Je leert betrouwbare feiten kennen door de wetenschappelijke methode te gebruiken en oefent op enkele basisvaardigheden die wetenschappers nodig hebben. Waar het kan, maken we een link met actuele thema’s en problemen in de maatschappij. Zo leer je logisch en kritisch denken, zodat je zelf slimme keuzes kan maken in een wereld vol technologie en wetenschap. Laat je inspireren door de wondere wereld van de wetenschappen.

Opbouw en aanpak

Dit leerboek behandelt de volgende vier thema’s die elk zijn opgedeeld in verschillende hoofdstukken.

1. Organische stoffen, kunststoffen en biomoleculen

2. De cel

3. De celcyclus: van genetische informatie tot nieuwe cellen

4. Elektromagnetisme

We vertrekken steeds vanuit verwondering om het onderwerp te ontdekken, waarna we toewerken naar een transferopdracht. Concrete voorbeelden uit de hedendaagse leefwereld en een duidelijke structuur vormen de voedingsbodem voor een gemotiveerd en efficiënt leerproces.

ISAAC-moment

Tijdens het ISAAC-moment, de intro, maak je kennis met het onderwerp. Nieuwsgierigheid en verwondering staan hierbij centraal.

Hoofdstukken

Een thema is verder opgedeeld in verschillende hoofdstukken. Oefeningen die horen bij het hoofdstuk werden ondergebracht in het laatste hoofdstuk: Verder oefenen?

Deze oefeningen kregen een moeilijkheidsgraad: makkelijk

gemiddeld moeilijk

ISAAC-actie

Tijdens de laatste lessen van een thema kan de transferopdracht of ISAAC-actie gemaakt worden. Dat is een concrete opdracht die de geziene leerstof praktisch toepast en zo het hoofdstuk afsluit.

Studiewijzer

INKIJKEXEMPLAARDIEKEURE

Achteraan het thema vind je een overzicht van wat je moet kennen en kunnen. De studiewijzer kan je helpen bij het instuderen van de leerstof.

Legende pictogrammen

Deze pictogrammen vind je in de werkboeken:

Vastzettingskader

Verwijskader

Tip

Wist-je-dat

QR-code

Uitbreidingsicoon

Dit duidt een vastzettingskader aan. Hier worden belangrijke en te kennen theorie/ formules in samengebald.

Een verwijskader verwijst naar een thema of een boek waar bepaalde theorie aan bod kwam of zal komen.

Dit lampje geeft een tip weer of geeft wat extra informatie.

Een wist-je-dat is een leuk en interessant weetje, vaak komt hier ook wat extra informatie bij de theorie aan bod.

Doorheen het boek vind je QR-codes. Via die QR-codes kom je bij heel wat extra bronnenmateriaal.

Dit icoon duidt leerstof aan die niet is opgenomen of enkel als extra leerstof is opgenomen in de leerplannen.

ISAAC digitaal

Door het boek heen vind je QR-codes. Via die QR-codes kom je bij heel wat extra bronnenmateriaal. Op POLPO vind je vaak een uitgewerkte versie van het ISAAC-moment en de ISAAC-actie die in het leerboek opgenomen zijn. Soms worden er ook extra ISAAC-momenten en -acties of oefeningen aangeboden.

Organische stoffen, kunststoffen en biomoleculen

Thema 1

1 Organische stoffen 9

2 Koolstofverbindingen 12

3 Chemisch of biologisch? 16

4 Kunststoffen 17

5 Biomoleculen 23

INKIJKEXEMPLAARDIEKEURE

De celcyclus: van genetische informatie tot nieuwe cellen

Thema 3

1 DNA 78 2 Celdeling 80

Thema 2

cel

1 Inleiding 44

2 Celorganellen 46

3 Celdifferentiatie 57

4 Cellen en hun functie 60

5 Transport over het membraam 62

6 Fotosynthese en celademhaling 65

Thema 4

Elektromagnetisme

1 Elektrische ladingen 96

2 Elektrische kracht of coulombkracht 101

3 Magneten 104

4 Het magnetisch veld 108

5 Elektromagneten 115

6 De lorentzkracht 118

7 Elektromagnetische inductie 121

De

Organische stoffen, kunststoffen en biomoleculen

4.4.1

4.4.2

4.4.3

4.4.4

5.3.2

5.3.3

Ijsjes van aardolie

In deze module leer je onder andere hoe macromoleculen gemaakt worden uit aardolie. Maar wist je ook dat producten op basis van aardolie ook in onze voeding zitten?

Als goedkoper alternatief op de dure vanillestokjes, bestaat er vanillearoma op basis van aardolie. De meeste producten met vanillesmaak in de supermarkt bevatten geen echte vanille, maar een synthetische variant.

Scan de QR-code en bekijk het fragment over de ware aard van vanillesmaak.

Vind je dat producenten zomaar een afbeelding van vanillestokjes mogen gebruiken als er geen echte vanille in hun product zit? En denk je dat je het verschil kan proeven tussen echte vanille en synthetisch vanillearoma?

1

Organische verbindingen

Al van in de oudheid proberen mensen inzicht te krijgen in de materie. Zo probeerden de alchemisten ‘de steen der wijzen’ te vervaardigen, een wondermiddel waarmee je metalen zou kunnen omzetten in goud.

Enkele eeuwen later groeide uit deze alchemie de moderne scheikunde, waarna men de elementen op een meer wetenschappelijke manier ging ordenen. De stoffen, die men op dat moment kende, werden in twee categorieën opgedeeld:

• De stoffen die voortkomen uit levende wezens: de organische verbindingen.

• De stoffen die niet voortkomen uit levende wezen: de anorganische verbindingen

Omdat inmiddels is gebleken dat een aantal organische verbindingen ook probleemloos in het laboratorium of in een industriële installatie kunnen worden gemaakt, is het onderscheid tussen organisch en anorganisch tegenwoordig lang niet meer zo duidelijk.

INKIJKEXEMPLAARDIEKEURE

Organische stoffen zijn stoffen, die opgebouwd zijn uit voornamelijk koolstof- (C) en waterstofatomen (H) en met de elementen zuurstof (O), stikstof (N), fosfor (P) en zwavel (S). Daarnaast kunnen organische stoffen ook sporen bevatten van andere elementen. De atomen van de organische verbinding zijn met covalente bindingen met elkaar verbonden, dit zijn bindingen waarbij een elektronenpaar tussen de atomen wordt gedeeld.

Er zijn echter uitzonderingen: koolstofdioxide (CO₂), koolstofmonoxide (CO), de carbonaten (-CO3), de cyaniden (-CN) en de carbiden (bv. CaC2) worden als anorganisch beschouwd omdat ze geen of weinig overeenkomst vertonen met de typische structuren van organische moleculen.

Anorganische verbindingen zijn verbindingen die niet tot de organische verbindingen gerekend worden.

1.1 Voorstelling

De basis van de organische chemie is het element koolstof. Koolstof kan 4 bindingen aangaan met andere atomen, waardoor er erg complexe moleculen kunnen gemaakt worden. Hierdoor zijn er verschillende manieren om de molecule voor te stellen. Hieronder staan verschillende voorstellingswijzen van het molecule ethanol.

De ruimtelijke voorstelling probeert het molecule in 3D voor te stellen.

De brutoformule bevat een opsomming van het aantal atomen van elke soort in het molecule. Ethanol: C2H6O

De structuurformule bevat de bindingen tussen de C, H en andere atomen.

De verkorte structuurformule is een manier om de structuur van een molecule weer te geven zonder alle bindingen expliciet te tekenen. In plaats daarvan worden atomen en hun directe bindingen op een compacte manier genoteerd.

CH3CH2OH

De skeletnotatie

• C en H worden niet meer vermeld.

• De binding tussen C en H wordt niet meer vermeld.

• De andere atomen (O, S, N, P ...) worden wel vermeld.

• De waterstofatomen verbonden met niet koolstofatomen worden wel vermeld.

1.2 Het element koolstof

Het koolstofatoom heeft steeds vier bindingen. Dit betekent dat koolstof vier elektronenparen deelt met andere atomen. Deze bindingen kunnen enkelvoudig zijn. Dit wil zeggen dat koolstof vier keer één elektronenpaar deelt met een ander element. Een enkelvoudige binding noemt men ook een verzadigde binding

Voorbeeld

INKIJKEXEMPLAARDIEKEURE

Als je weet dat de koolstofbindingen enkelvoudig zijn, en dat de molecule enkel uit koolstof (C) en waterstof (H) bestaat, kan je het aantal H-atomen bepalen.

De bindingen kunnen ook dubbele bindingen zijn. Dit type binding ontstaat wanneer een atoom zoals koolstof twee elektronenparen deelt met een ander atoom.

Voorbeeld

Ook driedubbele bindingen komen voor. Dan verbindt koolstof zich met een ander atoom waarbij drie elektronenparen gedeeld worden.

Voorbeeld

Dubbele en driedubbele bindingen behoren tot de onverzadigde bindingen of of of

1.3 Vertakte, cyclische en lineaire ketens

De koolstofketens kunnen gerangschikt worden in drie soorten ketens:

• in een lineaire keten

• in een cyclische keten

• in een vertakte keten

Verschillende moleculen met eenzelfde bruto formule noemt men isomeren.

1.4 Functionele groepen

Organische moleculen bestaan vaak uit een koolstofketen, aangevuld met een ‘functionele groep’. Ethanol is CH3-CH2-OH. Dat betekent dat de functionele groep -OH bij de koolstofketen CH3-CH2staat.

In de chemie is een functionele groep een specifieke groep atomen binnen een molecule die verantwoordelijk is voor de fysische (kookpunt, polariteit...) en chemische (reactiviteit) eigenschappen van de molecule.

Er bestaan tientallen functionele groepen. De voor ons meest belangrijke groepen worden hieronder voorgesteld. De functionele groep en een molecule met de functionele groep wordt afgebeeld.

INKIJKEXEMPLAARDIEKEURE

2 Koolstofverbindingen

Koolstofverbindingen zijn organische verbindingen die voornamelijk bestaan uit koolstof- (C) en waterstofatomen (H). Ze vormen de basis van veel brandstoffen, plastics en andere chemische stoffen.

2.1 Verzadigde koolwaterstoffen (alkanen)

Algemene kenmerken van alkanen:

• Alkanen zijn verzadigde koolwaterstoffen met alleen enkelvoudige bindingen.

• Ze hebben de algemene formule C2H2n+2.

• Hoe langer de koolstofketen, hoe hoger het kookpunt en hoe stroperiger de stof.

• Alkanen zijn hydrofoob. Dit betekent dat ze niet oplosbaar zijn in water.

• Alkanen zijn brandbaar.

• Kleine alkanen (C1-C4) zijn gasvormig, middelgrote alkanen (C5-C16) zijn vloeibaar en grote alkanen (C17+) zijn vast bij kamertemperatuur.

Voorbeelden van alkanen en hun toepassingen

naam formuletoestandtoepassing

Methaan CH4 gas hoofdbestanddeel van aardgas

Ethaan C2H6 gas brandstof, grondstof voor ethyleenproductie

Propaan C3H8 gas campinggas, lpg (autogas)

Butaan C4H10 gas aanstekergas, campinggas

Pentaan – Hexaan –Heptaan

INKIJKEXEMPLAARDIEKEURE

C5H12 – C7H16 vloeistofoplosmiddelen, brandstoffen

Octaan C8H18 vloeistofhoofdbestanddeel van benzine

Nonaan – Decaan –Undecaan – Dodecaan

Hexadecaan (Cetangetal diesel)

Paraffinen (vaste alkanen)

C9H20 – C12H26 vloeistofbestanddelen van diesel en kerosine

C16H34 vloeistofbelangrijk in dieselbrandstof

C17+ vast kaarsvet, smeermiddelen

De fossiele brandstoffen die wij dagelijks gebruiken, zijn meestal alkanen.

Voorbeeld: Wasbenzine

Wij gebruiken veel alkanen in een mengvorm, zoals bijvoorbeeld wasbenzine.

Wasbenzine is een mengsel van alkanen met vijf tot twaalf koolstofatomen (C5 - C12). Het bestaat voornamelijk uit pentaan (C5H12), hexaan (C6H14), heptaan (C7H16) en octaan (C8H18).

De eigenschappen van wasbenzine:

• Het kookpunt ligt tussen 30 °C en 150 °C, afhankelijk van de samenstelling.

• Het is vluchtig en ontvlambaar (verdampt snel en is brandgevaarlijk).

• Het is niet oplosbaar in water (lost goed vetten en oliën op).

De toepassingen van wasbenzine zijn divers, maar de meest gekende zijn als:

• ontvettingsmiddel (verwijdert vet en olie van oppervlakken).

• vlekkenverwijderaar (gebruikt voor het schoonmaken van textiel).

• verdunningsmiddel (voor verf en lijm).

2.2 Onverzadigde koolwaterstoffen

Onverzadigde koolwaterstoffen bevatten dubbele of drievoudige bindingen tussen koolstofatomen en zijn reactiever dan alkanen. Omdat onverzadigde koolwaterstoffen gemakkelijker reageren vind je ze terug als basisgrondstof voor allerlei producten in de chemische industrie.

• Alkenen (CnH2n) – Dubbele binding

Alkenen bevatten ten minste één C=C dubbele binding.

Voorbeeld: Etheen (C2H4) is een plantenhormoon, dat de rijping van vruchten bevordert. Het wordt industrieel aangemaakt, omdat het belangrijk is voor de productie van polyethyleen (kunststof).

• Alkynen (CnH2n-2) – Drievoudige binding

Alkynen bevatten ten minste één C≡C drievoudige binding.

Voorbeeld: Ethyn (C2H2) wordt gebruikt in autogeen lassen.

• Aromatische Koolwaterstoffen (Arenen)

De aromatische koolwaterstoffen bevatten een benzeenring (zes koolstofatomen met afwisselende enkele en dubbele bindingen).

INKIJKEXEMPLAARDIEKEURE

Voorbeeld: Benzeen (C6H6) is een basis voor veel chemische producten zoals medicijnen en kleurstoffen.

2.3 Functionele groepen

De functionele groep beïnvloed de eigenschappen van de stof. Bekijk het volgende experiment.

2.3.1 Proef: Drijven of zinken?

Onderzoeksvraag

Is de dichtheid van water groter of kleiner dan de dichtheid van alcohol (CH3CH2OH)?

Wat heb je nodig?

Bekerglazen

Water en ontsmettingsalcohol IJsblokjes

Werkwijze

1 Vul één glas halfvol met water en het andere glas halfvol met alcohol.

2 Leg in beide bekers een ijsblokje.

Waarneming

• Wat stel je vast? Hoe verklaar je dit gedrag?

INKIJKEXEMPLAARDIEKEURE

Besluit

De dichtheid van ethanol is kleiner dan de dichtheid van water.

Reflecteren

• De -OH groep op ethanol lijkt sterk op het molecule water (H2O). Toch toont het experiment aan dat beide stoffen een verschillende dichtheid hebben.

• De -OH groep van ethanol maakt het molecule polair zodat ethanol goed oplost in water in tegenstelling met het molecule ethaan (CH3-CH3) dat niet oplost in water! De aanwezigheid of afwezigheid van een functionele groep verandert de eigenschappen van de stof.

2.3.2 Functionele groepen en hun eigenschappen

De functionele groep in een molecule bepaalt tot welke groep van verbindingen de molecule behoort. Daarnaast is de functionele groep ook zeer bepalend voor de eigenschappen van de molecule. Hieronder worden enkele voorbeelden van die groepen en hun eigenschappen toegelicht.

Hydroxylgroep (-OH)

De hydroxylgroep bestaat uit een zuurstofatoom gebonden aan een waterstofatoom. Deze groep komt voor in alcoholen (lineaire moleculen) en fenolen (cyclische moleculen) maar ook suikermoleculen bevatten veel alcoholfuncties. De alcoholfunctie is polair en zorgt ervoor dat moleculen beter oplosbaar zijn in water.

Voorbeelden

• Methanol (CH3OH) kennen we als brandalcohol.

• Ethanol (C2H5OH) is aanwezig in alcoholische dranken.

• Propanol (C3H7OH) wordt gebruikt in ontsmettingsalcohol en in doekjes om brilglazen schoon te maken.

Carboxylgroep (-COOH)

De carboxylgroep wordt gevormd door een zuurstofatoom dat met een dubbele binding is gebonden aan een koolstofatoom. Op het koolstofatoom staat ook de OH groep. Deze groep geeft zure eigenschappen aan een molecule, omdat het een H+-ion kan afstaan.

De carboxyl-groep speelt verder een belangrijke rol in biologische systemen, zoals bij de aminozuren en de vetzuren.

Voorbeelden

• mierenzuur (methaanzuur, HCOOH). Je hebt waarschijnlijk al eens het effect van mierenzuur gevoeld wanneer je brandnetels aanraakte.

• azijnzuur (ethaanzuur, CH3COOH).

Huishoudazijn is een oplossing van 7 % azijnzuur in water.

• citroenzuur (C6H8O7)

Citroenzuur is aanwezig in je keuken, zoals in frisdrank en afwasproduct. Ook ontkalkingsproduct bevat vaak citroenzuur.

Aminogroep (-NH2)

De aminogroep bestaat uit een stikstofatoom gebonden aan twee waterstofatomen. Het is ook mogelijk dat het stikstofatoom aan meerdere koolstofatomen gebonden is.

Het stikstofatoom werkt als een base omdat het een H+-ion kan opnemen.

Amines zijn verantwoordelijk voor de typische geur van (rotte) vis. Verder speelt de amine-groep een belangrijke rol in biologische systemen, zoals bij aminozuren.

INKIJKEXEMPLAARDIEKEURE

Voorbeelden

• Het meest eenvoudige amine is ammoniak (NH3).

• Methylamine (CH3NH2) is een eenvoudig amine met een sterke geur.

• Amines hebben vaak een typische visgeur.

Amidegroep (-CO-NH-)

De amidegroep is opgebouwd uit een koolstof-zuurstof dubbele binding met daaraan vastgehecht een stikstofatoom. De amidegroep is een belangrijke functionele groep voor de proteïnen, maar je vind de groep ook terug bij synthetische vezels die gebruikt worden in kledij, touwen… Op het etiket van de kledij staat dan meestal de benaming polyamide.

Voorbeeld

De structuurformule van de synthetische vezel nylon:

Estergroep (-COO-)

De estergroep bestaat uit een koolstof-zuurstof dubbele binding met op de koolstof een tweede zuurstofatoom. De estergroep komt bij veel fruitige smaakstoffen voor. Maar ook net zoals bij de amides wordt er een synthetische vezel bereid die gebruikt wordt in textiel. Het etiket vermeldt dan polyester.

Voorbeeld

De structuurformule van ananasaroma (ethylbutanoaat):

3 Chemisch of biologisch?

Oorspronkelijk beschouwde men organische moleculen als stoffen die enkel uit levend materiaal gewonnen konden worden. Sinds 200 jaar kunnen organische moleculen ook industrieel, door de mens gemaakt worden.

Het belangrijkste verschil tussen een chemisch en een biologisch proces is de betrokkenheid van levende organismen:

• Chemisch proces: Dit is een proces waarbij stoffen veranderen door chemische reacties, zonder de directe invloed van levende organismen. Voorbeelden zijn het roesten van ijzer, het verbranden van hout of het oplossen van zout in water. In een industrieel chemisch proces worden stoffen samengevoegd, onder specifieke condities (zoals temperatuur, druk en hulpstoffen) om de reactie mogelijk te maken. Na de reactie wordt het gewenste product afgescheiden.

• Biologisch proces: Dit vindt plaats in levende organismen en is vaak afhankelijk van enzymen en cellulaire activiteiten. Voorbeelden hiervan zijn fotosynthese, ademhaling, spijsvertering en fermentatie. Fermentatie is een proces waarbij bacteriën, schimmels en gisten gebruikt worden om een voedingsmiddel te maken. Yoghurt is een typisch voorbeeld van gefermenteerde melk. Industriële biologische processen brengen enzymen of andere micro-organismen samen met organische stoffen in een bioreactor. Net zoals bij chemische processen worden dus stoffen samengevoegd, onder bepaalde condities gebracht in de bioreactor, en daarna gescheiden.

Een chemisch proces kan dus plaatsvinden zonder levende organismen, terwijl een biologisch proces afhankelijk is van levende systemen. In de wereld rondom ons vinden er constant chemische en biologische processen plaats.

Een industrieel chemisch proces is beter controleerbaar en dikwijls efficiënter dan een biologisch proces. Een industrieel biologisch proces biedt dan weer meer mogelijkheden om moeilijkere moleculen te maken.

3.1 Maken van kleine moleculen

Als voorbeeld voor kleine moleculen kijken we naar de productie van citroenzuur.

Momenteel wordt er wereldwijd ruim 1,6 miljoen ton aan citroenzuur gemaakt. China produceert ongeveer 50% en Europa 30% van de wereldmarkt. Europa is wereldwijd de grootste consument van citroenzuur.

Oorspronkelijk werd citroenzuur geproduceerd door calciumoxide toe te voegen aan citrusvruchtensap, een chemisch proces. Momenteel wordt het echter geproduceerd uit melasse, een stroperig bijproduct uit de mais-, suikerbiet- of suikerrietindustrie.

De melasse wordt door een fermentatieproces omgezet in citraat, een biologisch proces. Door het samenvoegen van citraat en zwavelzuur, een chemisch proces, ontstaat het gewenste citroenzuur.

INKIJKEXEMPLAARDIEKEURE

3.2

Maken van grote moleculen

In de natuur komen zeer veel grote moleculen voor (macromoleculen). Denk maar aan DNA, proteïnen of zetmeel. Maar ook industrieel kunnen zeer grote moleculen gemaakt worden. Die moleculen worden dan polymeren, kunststoffen of plastics genoemd.

De opbouw van die grote moleculen is gelijkaardig of ze nu biologisch of chemisch (industrieel) gemaakt worden. Eén bouwsteen, een monomeer, wordt vastgemaakt aan een tweede bouwsteen. Zo bekomt men een dimeer. Dit proces kan honderden tot zelfs duizenden keren herhaald worden en leidt tot de macromoleculen of polymeren. Je spreekt van polymeren of plastics als ze industrieel aangemaakt worden. Zijn de moleculen biologisch aangemaakt dan krijgen ze een meer specifieke naam en noem je ze DNA, eiwitten, polysachariden...

4 Kunststoffen

Kunststoffen zijn hoogmoleculaire polymeren, synthetisch geproduceerd vanuit organische (dus koolstofrijke) monomeren.

Er bestaan veel verschillende soorten kunststoffen, elk met hun individuele eigenschappen. Bovendien worden er allerlei toevoegstoffen gebruikt die de eigenschappen versterken of veranderen, zoals kleurstoffen, weekmakers (chemische stoffen om de kunststoffen tijdens hun productiefase soepeler te maken), UV-bestendigers …

De invloed van kunststoffen in het dagelijks leven is vaak onderschat. Denk eens na over de volgende vraag en stel vast hoe sterk kunststoffen je leven beïnvloeden:

Herontwerp jouw leefwereld in een wereld zonder kunststoffen. Wat zou er allemaal verdwijnen of anders zijn?

4.1 Bereiding van kunststoffen

• Een monomeer is een eenvoudige organische molecule.

• Een dimeer bestaat uit twee (di = twee) monomeren, die aan elkaar geschakeld zijn. Dat kunnen dezelfde of twee verschillende monomeren zijn:

INKIJKEXEMPLAARDIEKEURE

• Een polymeer (polys = veel, meros = deel) ontstaat uit de combinatie van grote hoeveelheden identieke (of verschillende) monomeren:

Twee belangrijke manieren om polymeren te maken zijn via een polymerisatiereactie en via een polycondensatiereactie

4.1.1 De polymerisatiereactie

Polyetheen (PE) is een kunststof die via een polymerisatiereactie gemaakt wordt. De elementaire bouwsteen van polyetheen is het monomeer etheen (H2C=CH2). Door het openbreken van de dubbele binding in etheen en het koppelen met een ander monomeer wordt het polymeer gevormd. De reactie voor de vorming van polyetheen wordt een polymerisatiereactie genoemd. PVC en latex zijn twee polymeren die ook op deze manier gevormd worden..

4.1.2 De polycondensatiereactie

Bereiding van polyamide (o.a. textiel, nylon) en de bouw van eiwitten in het lichaam zijn voorbeelden van polymeren die via een condensatiereactie worden gevormd. Bemerk dat in vergelijking met de polymerisatie er hier twee, of soms nog meer, soorten monomeren worden

gebruikt, maar dit hoeft niet altijd zo te zijn. En dat tijdens de vorming van het polymeer een klein molecule, in dit geval water, wordt afgesplitst. De vorming van PET (polyethyleentereftalaat), gekend van de PET-fles en de fleece pul gebeurt volgens de onderstaande condensatiereactie.

4.2 Voorbeelden van kunststoffen

kunststof eigenschappen toepassingen

PLA

Polymelkzuur of polylactide composteerbaar breekt af in het lichaam verpakkingsmateriaal filament bij 3D printen hechtdraad

PE

Polyetheen (Polyethyleen) flexibel slagvast waterbestendig plastic verpakkingen speelgoed buizen

PP

Polypropeen (Polypropyleen) hittebestendig chemisch bestendig sterk maar licht voedingsverpakkingen autobatterijen medische producten

PVC

Polyvinylchloride hard of flexibel goed bestand tegen chemicaliën en weersinvloed rioleringen leidingen ramen creditcards vloerbedekking

PS

Polystyreen lichtgewicht isolerend goedkoop piepschuim wegwerpbekers

PET

Polyethyleentereftalaat (polyester)

ABS

Acrylonitril-butadieen-styreen

PMMA

INKIJKEXEMPLAARDIEKEURE

sterk transparant lichtgewicht recycleerbaar

kledingvezels frisdrankflessen

sterk slagvast hittebestendig lego koffers dashbord huishoudelijke apparaten

Polymethylmethacrylaat (plexiglas) transparant slagvast ramen lichtreclame brillenglazen

PC Polycarbonaat hittebestendig extreem sterk transparant veiligheidsbrillen

PTFE

Polytetrafluorethyleen hittebestendig anti-aanbak chemisch inert afdichtingen tandheelkundige implantaten

PU Polyurethaan

PA polyamide

flexibel of hard slijtvast elastisch matrassen autostoelen schoenzolen lijm

sterk slijtvast nylon kledij

4.3 Polyetheen: LDPE en HDPE

Ter illustratie wordt polyetheen besproken, ook gekend onder de naam polyethyleen.

Het monomeer is etheen.

Het polymeer wordt gevormd door de polymerisatie van etheen. De dubbele binding wordt verbroken en de etheen moleculen ordenen zich tot een polymeer.

monomeer polymeer

INKIJKEXEMPLAARDIEKEURE

Polymerisatie komt tot stand door een chemische reactie tussen monomeren, vaak onder invloed van energie (warmte of druk) of katalysatoren, en leidt tot het ontstaan van grote moleculen met nieuwe eigenschappen.

Het productieproces bepaalt of LDPE of HDPE gemaakt wordt. Lage densiteit polyethyleen (LDPE) wordt onder hoge druk geproduceerd en is bijgevolg minder vertakt dan hoge densiteit polyethyleen (HDPE). Een verschil in productiemethode leidt dus tot andere moleculen, die daardoor andere eigenschappen en dus andere toepassingen hebben.

LDPE is een flexibele, taaie en goedkope kunststof. Polyetheen is een apolaire stof, waardoor het een sterke, waterafstotende kunststof is. Water bindt immers liever met polaire moleculen. In LDPE zijn minder vertakkingen, dus is er minder structuur, waardoor LDPE transparant is. Daardoor is het product populair voor toepassingen waarbij zichtbaarheid belangrijk is.

HDPE is een stevig en stug materiaal dat waterafstotend is. HDPE is bekend om zijn scheurbestendigheid, waardoor het perfect is voor het verpakken van zwaardere producten. Je bekomt dus een licht, sterk en goedkoop materiaal waardoor HDPE in grote hoeveelheden gebruikt wordt. Je vuilniszak is bijvoorbeeld van HDPE.

PE moleculen bestaan enkel uit koolstof en waterstof. Daardoor zijn ze ook corrosiebestendig.

Welk plastic (LDPE of HDPE) zou jij kiezen voor volgende toepassing?

• Broodzak

• Stevige verpakking voor bouwmateriaal

• Krimpfolie

LDPE zal gebruikt worden voor de krimpfolie en de broodzak. De eisen voor die verpakkingen zijn niet hoog. Daarenboven zal LDPE gemakkelijker vervormen bij opwarmen van de krimpfolie. De HDPE zal gebruikt worden voor de bouwmaterialen omdat er hogere eisen worden gesteld aan de verpakking.

4.4 Indeling van kunststoffen op basis van hun eigenschappen

Kunststoffen kunnen worden ingedeeld op basis van hun gedrag bij verhitting.

4.4.1 Proef: Kan je een kunststof vervormen?

Werkwijze

1 Verzamel dopjes van kunststof drankverpakkingen

INKIJKEXEMPLAARDIEKEURE

2 Neem een pan en bedek deze met bakpapier

3 Neem een vormpje en bedek deze met bakpapier

4 Smelt de dopjes langzaam in de pan

5 Giet je smelt daarna over in de vormpjes en laat dit afkoelen

Waarneming

De dopjes smelten en kunnen in de vormpjes gegoten worden. Na afkoelen behoudt de kunststof zijn vorm.

Reflecteren

Zouden alle plastics vervormbaar zijn bij opwarmen.

4.4.2 Thermoplasten of plastomeren

De thermoplasten zijn opgebouwd uit lange, lineaire ketens. Daardoor lijkt een kunststof een beetje op een verzameling van touwtjes.

Deze kunststoffen zijn minder geschikt voor gebruik bij hogere temperaturen, omdat ze dan vervormbaar worden. Ze worden zachter en zelfs vloeibaar, waardoor je ze bijvoorbeeld in een mal kunt gieten en ze na afkoeling de gewenste vorm behouden.

Dankzij die eigenschap zijn ze ook goed recycleerbaar: je kan deze kunststoffen smelten en terug gebruiken in een andere toepassing.

Voorbeeld: polyetheen (PE) en polyvinylchloride (PVC), nylon, polyester.

4.4.3 Thermoharders of duromeren

Bij de thermoharders zijn er verbindingsketens tussen de moleculen. Daardoor lijkt een kunststof op een netwerk met allerlei verknopingen.

Deze kunststoffen kunnen beter tegen hoge temperaturen. Ze blijven hard wanneer ze worden verhit. De steel van jouw pan zal dus uit een thermoharder bestaan. Het nadeel is wanneer een thermoharder breekt of oververhit wordt, de kunststof onbruikbaar wordt en bijna onmogelijk te herstellen of te recycleren is.

Voorbeeld: polyesterharsen voor de bekleding van zwembaden of bote, bakeliet, melamine (formica).

4.4.4 Rubbers of elastomeren

Tussen de thermoplasten en de thermoharders zitten de rubbers De moleculen zijn met elkaar verbonden met bruggen en dwarsverbindingen, maar die zijn niet zo talrijk aanwezig.

Wanneer je een kracht uitoefent op een rubber, zal het materiaal vervormen. Zodra de kracht weggenomen wordt, keert het rubber terug naar zijn oorspronkelijke vorm.

Voorbeeld: rubberen fietsbanden.

4.5 Indeling van de kunststoffen op basis van de oorsprong van het monomeer en hun afbreekbaarheid

4.5.1 Herkomst

De monomeren kunnen afkomstig zijn van verschillende bronnen:

• Synthetisch vervaardigde derivaten uit aardolie.

(Een derivaat is een afgeleid product.)

Voorbeeld: polyetheen wordt gemaakt uit etheen dat gekraakt wordt uit ethaan. Ethaan is een component van aardgas.

• Monomeren gewonnen uit biologisch materiaal.

Voorbeeld: melkzuur dat gemaakt wordt uit suikers.

Heel wat kunststoffen kunnen zowel op basis van aardoliederivaten, als op basis van (bewerkte) biomonomeren gemaakt worden. Kunstoffen op basis van biomonomeren worden ook biopolymeren genoemd.

4.5.2 Afbreekbaarheid

De meeste polymeren zijn van nature niet UV-bestendig. Onder invloed van zonlicht wordt de lange ketting afgebroken en wordt het polymeer bros. Denk maar aan een elastiekje dat lang op de vensterbank ligt. Om dit te vermijden voegt men producten toe aan het polymeer.

In het kader van een circulaire economie streven we naar kunststoffen die biodegradeerbaar zijn. De kunststoffen die biodegradeerbaar zijn krijgen ook de naam biopolymeren en worden opgedeeld in twee klassen.

De biologisch afbreekbare polymeren worden in de natuur spontaan afgebroken. Hoelang dit proces duurt of welke omstandigheden daarvoor nodig zijn, ligt niet vast en is zeer afhankelijk van het type kunststof.

De composteerbare polymeren worden onder welbepaalde omstandigheden in composteerinstallaties afgebroken. Een kunststof wordt maar composteerbaar genoemd als het voldoet aan de regels vastgelegd in strenge EN-normen.

Er is geen rechtstreeks verband tussen de oorsprong van de kunststof en de biodegradeerbaarheid. Een molecule kan uit aardolie geproduceerd worden en biodegradeerbaar zijn net zoals een polymeer gemaakt uit natuurlijke monomeren niet biodegradeerbaar kan zijn.

gemaakt uit natuurlijke grondstof gemaakt uit aardolie

INKIJKEXEMPLAARDIEKEURE

afbreekbaar in de natuur door micro-organismen

bv. zetmeel

bv. proteïnen

bv. polyester

bv. polyvinylacohol (pva) niet afbreekbaar in de natuurbv. gevulkaniseerd rubberbv. polypropeen

Er is een groot verschil tussen composteren en biologisch afbreken.

De afbraak van moleculen kan plaatsvinden via een aeroob of anaeroob proces (met of zonder zuurstofgas). Composteringsinstallaties hebben meestal eerst een anaerobe afbraakstap. Tijdens deze fase wordt methaan gevormd, wat kan worden gebruikt voor energierecuperatie, wat dus energetisch interessant is.

Biologisch afbreekbare moleculen kunnen deze anaerobe fase echter vaak verstoren.

4.6 Herkennen van plastics

Iedereen weet dat we plastiek afval gaan sorteren en indien mogelijk recycleren. Om de verschillende soorten plastiek gemakkelijker te herkennen staat op plastiek meestal een logo.

Hoe langer hoe meer wordt ook op verpakkingen aangegeven of de plastic composteerbaar of biodegradeerbaar is. Wanneer een verpakking thuis kan gecomposteerd worden dan kan het dat het volgende label op de verpakking staat: 1 2 3 4 5 6 7

5 Biomoleculen

5.1 Inleiding

Ons lichaam is samengesteld uit water, mineralen (voor onze botten, bijvoorbeeld) en biomoleculen. Onze voeding bestaat ook hoofdzakelijk uit biomoleculen.

Op een voedingsetiket, zoal hieronder afgebeeld, staat de voedingswaarde aangegeven. Op het etiket wordt vermeld hoeveel biomoleculen, zout en mineralen (calcium, magnesium, …) je via dit product zal opnemen. Verder geeft het etiket aan welke energiehoeveelheid je uit deze voeding kan halen. Alle data op een voedingsetiket worden weergegeven of per 100gr/100ml of per portie.

gemiddelde voedingswaarde per 100 ml

energie

INKIJKEXEMPLAARDIEKEURE

357 kj/85 kcal

vet 2,7 g

waarvan verzadigd vet

koolhydraten

waarvan suikers

g

g

g

eiwit 3,6 g

zout 0,12 g

calcium 110 mg (14%DRI**)

**dagelijkse referentie inname

Zout en mineralen is één klasse van verbindingen die op het etiket staan vermeld.

Welke drie andere klassen van biomoleculen staan op het etiket vermeld?

5.2 De koolhydraten of de sachariden

Onderzoeksvraag

Waarom geeft een bord spaghetti je snel een vol gevoel, maar krijg je toch snel weer honger?

Waarom houden kinderen van snoep?

Sachariden (koolhydraten) (CnH2mOp )

Sachariden spelen een belangrijke rol bij de energiehuishouding van levende organismen.

In de fotosynthese bij planten wordt koolstofdioxide en water onder invloed van zonlicht omgezet in glucose volgens de reactie:

6 CO2 + 6 H2O + zonlicht → C6H12O6 + 6 O2

Wanneer je lichaam (of een organisme) energie nodig heeft, wordt glucose afgebroken om zo energie te leveren.

C6H12O6 + 6 O2 → 6 CO2 + 6 H2O + energie (ATP)

INKIJKEXEMPLAARDIEKEURE

Snelle suikers versus trage suikers

Snelle suikers worden in je lichaam snel afgebroken, laten je suikerspiegel snel stijgen en geven een glucose piek in je bloed waardoor je het gevoel krijgt direct meer energie te hebben. Deze energiepiek is echter van korte duur en zorgt er voor dat je snel terug een hongergevoel krijgt.

Snelle suikers zitten in snoep, koekjes, frisdrank, alcohol, wit brood, witte rijst …

Trage suikers hebben een complexere samenstelling en worden langzamer afgebroken in je lichaam en geleidelijker opgenomen in je bloed. Hierdoor is er minder insuline nodig, wat gunstig is voor je gezondheid. Langzame koolhydraten zitten bijvoorbeeld in volkorenproducten en groenten.

Als je trage suikers in je voeding combineert met de inname van eiwitten of vetten, wordt de glucose nog trager opgenomen in je lichaam.

Een evenwichtig voedingspatroon is daarom belangrijk om je energieniveau op peil te houden en om gezondheidsproblemen zoals overgewicht te helpen voorkomen.

5.2.1 Monosachariden

De monosachariden zijn enkelvoudige suikers van de vorm CnH2nOn met n >2. Ze zijn de monomeren voor de complexere suikers of koolhydraten.

De bekendste zijn:

• ook bekend als druivensuiker of dextrose

• wordt via fotosynthese aangemaakt in planten

• belangrijke component in de celademhaling

• ook bekend als vruchtensuiker

• aangemaakt in zoete groente- of fruitsoorten

• gebruikt als zoetmiddel; omdat het veel zoeter smaakt dan glucose

• suiker van dierlijke afkomst

• vormt zich uit grotere sachariden tijdens de spijsvertering

5.2.2 Disachariden

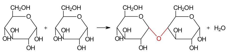
De disachariden zijn tweevoudige suikers (en bestaan dus uit twee gebonden monosachariden).

Disachariden zijn een voorbeeld van dimeren (di = twee, meros = deel).

Twee monosachariden worden via een glycosidebinding met elkaar gekoppeld. Hieronder staat de koppeling van twee glucose moleculen tot het dimeer maltose. De glycosidebinding staat in het rood aangegeven.

De bekendste disachariden zijn:

INKIJKEXEMPLAARDIEKEURE

• ook gekend als sucrose of rietsuiker

• geproduceerd in suikerriet en suikerbiet

• gevormd uit een glucose en een fructose eenheid

• ook gekend als moutsuiker

• geproduceerd bij de vertering van zetmeel of bij het brouwen van bier

• gevormd uit twee glucose eenheden

• ook gekend als melksuiker

• geproduceerd bij de aanmaak van moedermelk door zoogdieren

• gevormd uit een glucose en een galactose eenheid

5.2.3

Polysachariden

Polysachariden zijn polymeren van monosachariden.

De bekendste zijn:

• Zetmeel

Zetmeel bestaat uit een mengsel van amylose en amylopectine.

INKIJKEXEMPLAARDIEKEURE

amylose

amylopectine

• Amylose is een lineaire keten van glucose-eenheden. Bij amylopectine is de glucoseketen vertakt.

• Zetmeel is ook bekend als aardappelbloem of maïsmeel.

• Zetmeel is een voedselreserve of voedselopslag voor planten. De glucose wordt opgeslagen in de vorm van zetmeel zodat deze later terug in de celademhaling kan gebruikt worden.

• Glycogeen

Glycogeen is net zoals amylopectine een vertakte glucoseketen. Het aantal vertakkingen is echter veel groter dan bij amylopectine.

• Voedselreserve of voedselopslag voor dieren (en dus ook voor de mens).

• Insuline zorgt er voor dat cellen glucose opnemen waar het kan worden omgezet in glycogeen. Glucagon zorgt er voor dat wanneer de bloedsuikerspiegel te laag is, glycogeen terug wordt omgezet naar glucose dat gebruikt wordt als energieleverancier.

• Suikers hebben vooral de taak om het lichaam van energie te voorzien. De energie-inhoud van suikers bedraagt ongeveer 17 kJ/gram.

• Cellulose

Bij cellulose vormen de glucoseketens lange vezels.

• Cellulose ketens zitten in de celwand van planten. De cellulose zorgt voor de stevigheid van de plant.

• Geen enkel zoogdier kan cellulose afbreken, omdat de glucosemoleculen anders met elkaar verbonden zijn dan bij zetmeel.

• Cellulose vind je terug in algen (70%), hout (45%), katoen (90%), …

5.3

Vetten of lipiden

De naam vetten omvat verschillende soorten producten. Hieronder worden de belangrijkste opgesomd.

5.3.1 Vetzuren

In het eerste hoofdstuk leerden we de carbonzuurgroep kennen. Vetzuren zijn lange koolstofketens met op het einde van de ketting een carbonzuurgroep. De vetzuren kunnen verzadigd, zonder dubbele binding in de koolstofketen, of onverzadigd zijn. Onverzadigde vetzuren hebben één of meerdere dubbele bindingen in de koolstofketen waardoor ze een lager smelt- en kookpunt hebben. Onverzadigde vetten zijn meestal van plantaardige oorsprong en worden als gezonder beschouwd dan verzadigde vetten.

verzadigd vetzuur onverzadigd vetzuur

• Enkelvoudige bindingen

• Lineaire ketens

• Hoog smelt- en kookpunt

• Vast bij kamertemperatuur

• Dierlijke oorsprong (uitzondering: kokosolie)

• ‘Slechte’ vetten (aderverkalking)

Structuur

INKIJKEXEMPLAARDIEKEURE

• Een of meerdere dubbele bindingen

• Knik in de keten ter hoogte van een dubbele binding

• Lager smelt- en kookpunt

• Vloeibaar bij kamertemperatuur

• Plantaardige oorsprong (uitzondering: visolie)

• ‘Goede’ vetten (gezonder)

Structuur

Carboxygroep

Koolstofketen

Geen dubbele binding in structuur

Laurinezuur

5.3.2 Triglyceriden

Carboxygroep

Koolstofketen

1 of meer dubbele bindingen

Palmitoleïnezuur

Triglyceriden zijn vetzuren, opgebouwd uit een glycerolkern met 3 vetzuren. Zij vormen de klassieke eetbare “vetten” die men terugvindt in boter, olijfolie of margarine.

Triglyceriden in vetweefsel vormen een belangrijke energieopslag voor het lichaam. Vetten onder de vorm van triglyceriden hebben een energie-inhoud van ongeveer 37 kJ per gram! Duidelijk veel meer dan de sachariden.

5.3.3 Fosfolipiden

Polaire kop

Apolaire staart fosfoslipidenmembraan

INKIJKEXEMPLAARDIEKEURE

Fosfolipiden vormen dankzij de polaire kop en de apolaire staart de bouwstenen voor membranen in alle cellen. De membraan wordt gevormd door een dubbele laag van fosfolipiden.

5.3.4 Steroïden

Vetten kunnen ook bestaan uit ringvormige, complexe moleculen. Cholesterol, testosteron, oestradiol en progesteron zijn hormonen. Ze sturen processen in ons lichaam.

De lipiden of vetten zijn belangrijk in allerlei biologische processen. Ze hebben een functie in:

• Opslag van energie

• Isolatie en bescherming

• Bouwstenen van hormonen, celmembranen …

• Oplosmiddel voor bijvoorbeeld vitamine A

• Bestanddeel van belangrijke organische stoffen zoals cholesterol

5.4 Eiwitten, proteïnen of polypeptiden

Vroeg je je al eens af waarom er proteïneshakes bestaan? De rol van proteïnen in het lichaam gaan we toelichten en dan kan je de vraag beantwoorden.

Om te beginnen bekijken we wat de bouwstenen zijn van de eiwitten.

5.4.1 Bouwstenen van eiwitten

De meest voorkomende biomoleculen in ons lichaam zijn eiwitten. Ze zijn de bouwstenen van het lichaam.

Aminozuren zijn opgebouwd uit een carboxylgroep (COOH), een aminogroep (NH2) en een restgroep R die samen op een centraal koolstofatoom zijn vastgehecht. De samenstelling van de restgroep R bepaalt de aard van het aminozuur. In totaal zijn er een twintigtal aminozuren voor ons lichaam belangrijk.

INKIJKEXEMPLAARDIEKEURE

algemene structuur R= naam afkorting -H glycine gly -CH3 alanine ala -CH-(CH3)2 valine val -(CH2)4-NH3+ lysine lys -CH2-C6H5 phenylalanine phe

Het menselijk lichaam is niet in staat om zelf al de verschillende aminozuren aan te maken: ons lichaam neemt eiwitten op via de voeding. Deze eiwitten worden afgebroken tot aminozuren. Vervolgens zal ons lichaam die aminozuren terug aan elkaar binden om er de specifieke eiwitten mee te maken die ons lichaam nodig heeft.

5.4.2 Opbouw van het eiwit

Bij de opbouw van de proteïnen of eiwitten worden de aminozuren aan elkaar gebonden door een condensatiereactie. Daarbij worden twee moleculen aan elkaar gekoppeld en wordt er water afgesplitst.

De amidegroep (-CO-NH-) die de beide aminozuren met elkaar verknoopt, wordt de peptidebinding genoemd, vandaar de naam peptiden of polypeptiden. Bij het gevormde dipeptide, combinatieproduct van 2 aminozuren, blijven aan de uiteinden van de molecule nog steeds een reactieve NH2 en een COOH aanwezig, zodat extra peptidebindingen kunnen gevormd worden met andere aminozuurmoleculen. Uit de aaneenschakeling van vele aminozuren ontstaan eiwitten of proteïnen.

De volgorde van de aminozuren wordt bepaald door de volgorde vastgelegd in DNA. Dit wordt in een ander hoofdstuk behandeld.

De ruimtelijke vorm van het eiwit wordt stapsgewijs opgebouwd.

Peptidebinding

De primaire structuur van een eiwit is de volgorde van de verschillende aminozuren. De aminozuren worden in de cel in een welbepaalde volgorde die bepaald wordt door het DNA elkaar gekoppeld. Die volgorde, die lange ketting van aminozuren, noemen we de primaire structuur van een eiwit.

INKIJKEXEMPLAARDIEKEURE

Terwijl de primaire structuur gevormd wordt, gaan bepaalde delen van de ketting een secundaire structuur vormen. De secundaire vorm kan een helix (of spiraal) of een vouwblad zijn.

De verschillende secundaire structuren gaan opnieuw met elkaar verstrengeld worden. De bekomen structuur noemen we de tertiaire structuur van het eiwit.

Soms vormen verschillende tertiaire structuren samen een quaternaire structuur. In de figuur hiernaast zie je dat quaternaire structuur is samengesteld uit vier tertiaire structuren.

Eiwitten hebben ingewikkelde ruimtelijke structuren. Niet alleen de volgorde van de aminozuren, maar ook de oriëntatie bepaalt de eigenschappen van het eiwit.

5.4.3 Functies van eiwitten

Proteïnen spelen een cruciale rol in ongeveer alle biologische processen. Hun belang en zeer breed toepassingsveld wordt hieronder geïllustreerd.

a Versnellen van chemische reacties

Alle chemische reacties in biologische systemen worden door proteïnen versneld of gekatalyseerd. De eiwitten (enzymen) zijn vaak zo specifiek in hun werking dat één enzym slechts één chemische reactie katalyseert. (vb. amylase in speeksel)

b Transport en opslag

Proteïnen staan vaak in voor het transport en opslaan van heel specifieke moleculen of ionen. Als voorbeeld kunnen we hemoglobine in de rode bloedcellen nemen dat instaat voor het transport van zuurstof uit de longen naar de organen en van CO2 van de organen naar de longen. In de spiercellen wordt zuurstof dan weer getransporteerd door myoglobine.

Ook actief transport van vitale moleculen over de celmembraan is meestal een proteïne gestuurde activiteit.

c Gecoördineerde beweging

Spiercontractie steunt op het over elkaar glijden van twee soorten proteïne fillamenten, namelijk actine en myosine.

5.5

d Mechanische ondersteuning

Huid en beenweefsel hebben een deel van hun stevigheid en elasticiteit te danken aan het bestaan van speciale proteïnes zoals collageen. Bij het verouderen worden de collageenweefsels beschadigd waardoor een minder strakke huid ontstaat.

e Immuniteit

Het lichamelijke immuniteitssysteem dat ons beschermt tegen ziekte steunt op de aanwezigheid van antilichamen in het bloed. De antilichamen zijn speciaal daarvoor ontwikkelde proteïnes die lichaamsvreemde stoffen kunnen herkennen en zo een verdedigingsmechanisme in gang zetten.

f Opwekken en doorgeven van zenuwimpulsen

Rhodopsin is een fotoreceptorproteïne dat in het oog de lichtimpuls opvangt en omzet in een voor de hersenen waarneembaar signaal.

g Controle van celgroei en differentiatie

Vele hormonen (die proteïnen zijn) komen tussen in de ontwikkeling van multicellulaire organismen en neurale netwerken. Ze transformeren cellen zodat ze deel kunnen uitmaken van dit multicellulair systeem en een heel specifieke taak kunnen uitvoeren (bv zenuwcellen, spiercellen, huidcellen ...).

h Energieopslag

Door eiwitten op te slaan in cellen kan een weliswaar zeer beperkte energiereserve in het lichaam worden aangelegd. Wanneer de eiwitvoorraden van de cel gevuld zijn, kunnen overtollige aminozuren worden afgebroken en gebruikt worden voor de energievoorziening van de cel (ATP). Deze afbraak vindt bijna geheel in de lever plaats. Voor elke gram eiwit die wordt afgebroken wordt net iets minder ATP gevormd in vergelijking met 1 gram koolhydraat. Wanneer er geen eiwitten met de voeding worden ingenomen, kan dagelijks 20 tot 30 gram lichaamseiwit worden afgebroken. Eiwitten van chromosomen, collageen en spieren worden bijna nooit afgebroken tot aminozuren. Dit gebeurt alleen bij zeer ernstige voedingstekorten.

INKIJKEXEMPLAARDIEKEURE

Er zijn aminozuren teruggevonden op andere planeten. Dat is veelbelovend voor het ontdekken van leven op andere plaatsen in de ruimte.

Nucleïnezuren

Er bestaat nog een vierde, belangrijke groep biomoleculen, namelijk nucleotiden en nucleïnezuren. Een nucleotide is opgebouwd uit een fosfaatgroep, een suiker en een stikstofbase. Deze verbindingen komen in de cursus aan bod bij de DNA en RNA-structuren.

5.6 Weetjes over biomoleculen in jouw lichaam

5.6.1 Sporten in aerobe en anaerobe zone

Wanneer je sport, kunnen je spieren op twee manieren energie produceren: aeroob (met zuurstof) en anaeroob (zonder zuurstof). Dit heeft invloed op welke biomoleculen je spieren gebruiken en hoe energie wordt opgewekt.

1 Aerobe energieproductie (met zuurstof)

Dit gebeurt bij lage tot matige inspanning (zoals hardlopen op een gematigd tempo of fietsen).

De brandstof voor deze energie wordt geleverd door sachariden (glucose/glycogeen) en in mindere mate door vetten (vetzuren).

Het proces is complex en bestaat uit meerdere stappen:

• Glycolyse: glucose wordt afgebroken tot pyruvaat.

• Citroenzuurcyclus & elektronentransportketen: pyruvaat en vetzuren worden verder afgebroken in de mitochondriën, waarbij veel ATP (energie) vrijkomt.

• De eindproducten zijn CO2, water en veel ATP.

Voordeel: zeer efficiënte energieproductie.

Nadeel: langzamer dan anaerobe processen.

2 Anaerobe energieproductie (zonder zuurstof)

Dit gebeurt bij zeer intensieve inspanning (zoals sprinten of gewichtheffen), waarbij de spieren sneller energie nodig hebben dan er zuurstof kan worden aangevoerd.

De brandstof wordt hier enkel geleverd door sachariden (glucose/glycogeen).

Het proces:

INKIJKEXEMPLAARDIEKEURE

• Anaerobe glycolyse: glucose wordt snel afgebroken tot melkzuur (lactaat), waarbij een kleine hoeveelheid ATP vrijkomt.

• Eindproducten: Lactaat en weinig ATP.

Voordeel: Snel beschikbare energie.

Nadeel: Ophoping van lactaat kan spierverzuring veroorzaken, waardoor prestaties afnemen.

5.6.2 De bloedsuikerspiegel regeling

De regeling van de bloedsuikerspiegel (glucosehomeostase) is een complex proces waarbij het lichaam zorgt voor een stabiele bloedsuikerspiegel. Dit gebeurt door de werking van hormonen, vooral insuline en glucagon, die worden geproduceerd door de alvleesklier (pancreas).

Hoe werkt de regeling van de bloedsuikerspiegel?

1 Na een maaltijd (hoge bloedsuikerspiegel):

• Wanneer je eet, stijgt het glucosegehalte in het bloed.

• De bètacellen in de alvleesklier scheiden insuline af.

• Insuline stimuleert lichaamscellen (zoals spier- en levercellen) om glucose op te nemen en op te slaan als glycogeen in de lever.

• Dit verlaagt de bloedsuikerspiegel.

2 Tussen maaltijden of bij vasten (lage bloedsuikerspiegel):

• Wanneer de bloedsuikerspiegel daalt, bijvoorbeeld tussen maaltijden of tijdens inspanning, reageert het lichaam door glucagon af te geven.

• De alfacellen in de alvleesklier produceren glucagon.

• Glucagon stimuleert de afbraak van glycogeen in de lever tot glucose, wat vrijkomt in het bloed.

• Dit verhoogt de bloedsuikerspiegel.

Andere hormonen die invloed hebben:

INKIJKEXEMPLAARDIEKEURE

• Adrenaline (bij stress of inspanning: verhoogt de bloedsuikerspiegel).

• Cortisol (langdurige stress: stimuleert glucoseproductie).

• Groei-hormoon (vermindert opname van glucose door cellen, waardoor de bloedsuikerspiegel stijgt).

Waarom is deze regeling belangrijk?

• Een te hoge bloedsuikerspiegel (hyperglykemie) kan op lange termijn schade veroorzaken, zoals bij diabetes.

• Een te lage bloedsuikerspiegel (hypoglykemie) kan leiden tot bewusteloosheid en andere gevaarlijke situaties.

Het lichaam maakt dus gebruik van een feedbackmechanisme om de bloedsuikerspiegel binnen nauwe grenzen te houden en zo te zorgen voor een stabiele energievoorziening.

5.7 Weetjes over biomoleculen in de keuken

Waarschijnlijk besefte je het niet, maar koken is één groot biochemisch experiment. Bij gewoon maar een eitje bereiden treden al tal van chemische processen op.

Het koken van een ei

Als je een ei kookt, ondergaat het een denaturatie van de eiwitten. Dit betekent dat de eiwitten, die in hun oorspronkelijke vorm opgevouwen zijn, zich ontvouwen en aan elkaar binden door de hitte. Hierdoor verandert het ei van een vloeibare naar een vaste vorm.

Dit proces verloopt in stappen:

1 Het eiwit stolt bij ongeveer 62-65°C. Het doorzichtige eiwit wordt wit en stevig.

2 De dooier stolt bij ongeveer 68-72°C. De dooier wordt dikker en uiteindelijk stevig.

3 Bij lang koken (100°C) kan de dooier een groene of grijze kleur krijgen. Dit komt door een chemische reactie tussen ijzer in de dooier en zwavel in het eiwit, waardoor ijzersulfide ontstaat.

Verschil tussen een ei bakken en een ei koken

Bij het bakken ontstaan soortgelijke chemische processen als bij het koken, maar bij het bakken, vooral bij hogere temperaturen (>140°C), vindt ook de Maillardreactie plaats. Dit is een chemische reactie tussen aminozuren (uit eiwitten) en suikers in het ei. Het zorgt voor de bruine korst op de bodem van een gebakken ei en geeft een complexe, geroosterde smaak. Bij koken gebeurt dit niet omdat water maximaal 100°C bereikt, wat te laag is voor de Maillardreactie.

Het opkloppen van eiwit

Bij het opkloppen van eiwit gebeurt er een fysisch-chemisch proces waarbij lucht wordt ingeslagen en de structuur van de eiwitten verandert. Dit proces bestaat uit drie belangrijke chemische stappen:

1 Denaturatie van eiwitten

Eiwitten in eiwit zitten normaal opgevouwen in compacte structuren. Door de mechanische kracht van het kloppen worden deze structuren gedeeltelijk opengebroken. De belangrijkste eiwitten in eiwit, zoals ovalbumine, ontvouwen zich en krijgen zo de mogelijkheid om nieuwe bindingen aan te gaan.

2 Luchtinslag en stabilisatie

Tijdens het kloppen worden luchtbellen in het mengsel gebracht. De geopende eiwitmoleculen vormen een netwerk rond deze luchtbellen, waardoor een schuimstructuur ontstaat. De hydrofobe (waterafstotende) delen van de eiwitten richten zich naar de luchtbellen, terwijl de hydrofiele (wateraantrekkende) delen in het vocht blijven. Dit helpt om de bellen te stabiliseren.

3 Versteviging door zwavelbruggen

Als je langer klopt en daarna het schuim verwarmt, gaan eiwitmoleculen onderling nieuwe verbindingen vormen, zoals zwavelbruggen (-S-S- bindingen). Dit zorgt ervoor dat het schuim steviger wordt en beter blijft staan.

Extra effecten: Toevoegen van een beetje zuur (zoals citroensap of azijn) stabiliseert het schuim door te voorkomen dat eiwitten te snel opnieuw samenklonteren. Toevoegen van suiker versterkt het schuim door de interactie met water, het schuim zal niet zo snel instorten. Het resultaat? Een luchtig en stabiel schuim, perfect voor meringues of soufflés!

6 Verder oefenen?

1 Teken de waterstofatomen (H) bij de volgende koolstofketen: C-C-C-C

2 Probeer drie verschillende moleculen te tekenen met zes koolstofatomen.

3 Geef aan of het een organische of anorganische verbinding is.

verbinding organisch anorganisch

Benzine (C8H18)

Suiker (C6H12O6)

Roest (Fe2O3)

Alcohol (CH3CH2OH)

Water (H2O)

4 Vul de waterstof- en koolstofatomen aan in de volgende structuren: a b c d

5 Benoem de functionele groep/structuur van de voorgestelde moleculen. a b c d e f g h

6 Welke van de twee stoffen lost het best op in water? Propaan met structuurformule CH3CH2CH3 of propanol met structuurformule CH3CH2CH2OH. Motiveer je antwoord.

7 Teken een organisch molecule met een zuur- en een alcoholgroep.

8 Hoeveel repeterende eenheden van het polymeer zijn er voorgesteld? a b

9 Is dit de voorstelling van een polyester of een polyamide polymeer?

10 Is dit de voorstelling van een polyester of een polyamide polymeer?

11 Heeft de voorgestelde structuur te maken heeft met een suiker, vet of eiwit.

b

12 Waarom bevatten wasmiddelen enzymen?

INKIJKEXEMPLAARDIEKEURE

13 Tijdens een wielerwedstrijd zie je de renners vaak “gellekes” eten. Wat is het hoofdbestanddeel van die gellekes?

14 Ondergaat dit monomeer een polymerisatie of een polycondensatie? a b

INKIJKEXEMPLAARDIEKEURE

15 Bij welke toepassingen zou je composteerbare plastics gebruiken?

16 Zoek via internet op wat polyacetaat is. Wat is de grondstof voor polyacetaat en is de kunststof recycleerbaar of composteerbaar?

17 Waarom is volkorenbrood gezonder dan wit brood?

18 Geef twee belangrijke eigenschappen van vetten in het lichaam.

19 Waarom mag je niet te lang hoge koorts hebben?

20 Je maakt pudding. Tijdens het bereiden proef je enkele keren met een lepeltje. Daarna laat je de pudding opstijven. Maar wanneer je later kijkt, merk je dat de pudding er vreemd uitziet. Oei, wat is er gebeurd?

Overal plastic

INKIJKEXEMPLAARDIEKEURE

Oriëntatie

Onderzoeksvraag

Hoeveel en welke plastic is er in mijn slaapkamer aanwezig?

Hyothese

Denk je dat er veel of weinig plastic aanwezig is in je kamer? Formuleer je hypothese.

Voorbereiding

Benodigdheden

Eén slaapkamer (Eventueel) weegschaal

Uitvoering

Werkwijze

• Probeer de kunststoffen van de verschillende voorwerpen te benoemen aan de hand van etikettering of symbolen die op de kunststoffen zijn aangebracht.

• Noteer in een tabel het voorwerp dat plastic bevat en indien mogelijk welke soort en hoeveel (massa) plastic er in het voorwerp zit.

Reflectie

Besluit

Had je gedacht dat er zoveel plastic in je kamer aanwezig was?

Kan je een reden bedenken waarom jij moet weten uit welke kunststof je verpakking bestaat?

paginanummer 

Ik kan koolstofverbindingen voorstellen met behulp van de brutoformule, de structuurformule en de skeletnotatie. p. 9-10

Ik kan koolstofverbindingen indelen aan de hand van de determinatietabel. p. 11

Ik kan verschillende toepassingen van koolstofverbindingen in het dagelijkse leven opsommen. p. 12-15

Ik kan het onderscheid tussen de macromoleculen kunststoffen en biomoleculen verwoorden. p. 17, p. 23

Ik kan voorbeelden geven van verschillende kunststoffen. p. 18

Ik weet hoe klassieke kunststoffen uit aardolie verkregen worden en ken syntheseprocessen voor de vorming van macromoleculen. p. 17-18

Ik kan kunststoffen indelen op basis van hun structuureigenschappen. p. 20

Ik kan verwoorden waarom we met een kritische blik moeten kijken naar het gebruik van klassieke kunststoffen in functie van duurzame chemie. p. 21-22

Ik ken de verschillende biopolymeren en weet wat hun specifieke monomeren zijn. p. 26, 29, 31

Ik weet wat sachariden zijn, hoe ze opgebouwd zijn en kan bij elk type verschillende voorbeelden opsommen. p. 24-26

Ik weet wat lipiden zijn, hoe ze opgebouwd zijn en kan bij elk type verschillende voorbeelden opsommen. p. 27-28

Ik weet wat proteïnen zijn, hoe ze opgebouwd zijn en kan verschillende voorbeelden opsommen. p. 28-29

Ik ken de algemene functies van eiwitten. p. 30-31

Ik kan de ruimtelijke structuur van eiwitten beschrijven aan de hand van de primaire, secundaire, tertiaire en quaternaire structuur. p. 30

Turn static files into dynamic content formats.

Create a flipbook