

![]()


Stunning six-bedroom, 4½-bath home in desirable and established Winding Brook, tucked away on a quiet cul-de-sac with no through traffic. Featuring a private pool and an exceptional layout designed for comfortable everyday living and effortless entertaining. Enjoy the privacy, convenience, and true sense of community — a place where kids ride bikes in the street and neighbors feel like friends. Thoroughly renovated and beautifully maintained, this residence blends timeless elegance with modern comfort in every space, complemented by high-end designer chandeliers and luxury-grade fixtures throughout. The bright, open-concept Kitchen is a showstopper, featuring custom cabinetry, quartzite countertops, double large center islands, walk-in pantry, and Wolf, Sub-zero and Miele appliances. The Kitchen flows seamlessly into the Great Room and Sunroom with hardwood floors throughout the main level, creating the perfect layout for both everyday living and entertaining. The wall of windows overlooking the private backyard and pool wash the main living area with natural light and creates a space you never want to leave. The spacious Great Room has a gas fireplace with custom mantle, and opens through French doors into the spacious, light-filled drawing room. Across the Foyer, the Music Room could also be used as a formal Dining Room opening to the Kitchen. The Bonus Room on the main level features built-ins and large walk-in closet for ample storage and boasts a gas fireplace. The Laundry Room is exceptionally large and well-appointed with custom cabinets and lockers that are both beautiful and functional. Upstairs, the spacious Primary suite includes a luxurious bathroom and two grand-scale walk-in dressing rooms. Secondary bedrooms with hardwood floors and large closets with built in desks, share a modern full bathroom. Additional bedrooms are both generously sized and share a fresh bath with a shower tub combination. On the lowest level is the sixth bedroom that could be used as an exercise room with attached inviting and spacious full bathroom. The downstairs living area has the third gas fireplace and is spacious and walks out to the beautiful covered loggia. The private backyard oasis features a sparkling heated in-ground liner pool, expansive patio space, and multiple areas for lounging and dining. The covered terrace provides year-round enjoyment and effortless indoor-outdoor living. Side load two car garage with storage room caps off this exquisite home overflowing with charm, elegance and functionality.


























5122 Little Brook Lane, Charlotte, North Carolina 28226-6372
MLS#: 4343808 Category: Residential County: Mecklenburg
Status: ACT City Tax Pd To: Charlotte Tax Val: $1,137,500
Subdivision: Winding Brook Complex:
Zoning Spec: N1-A
Zoning:
Parcel ID: 209-031-49 Deed Ref: 39296-328
Legal Desc: L1 P1A BC M20-93
Apprx Acres: 0.32 Apx Lot Dim: 96x147x98x145

General Information
School Information Type: Single Family Elem: Sharon Style: Traditional Middle: Alexander Graham Levels Abv Grd: Tri-Level w/Bsmt High: South Mecklenbur Const Type: Site Built SubType: Building Information
Additional Information
Prop Fin: Cash, Conventional
Assumable: No
Spcl Cond: None
Rd Respons: Publicly Maintained Road Room Information
Ownership: Seller owned for at least one year
Main Living Rm Dining Rm Great Rm Kitchen Sunroom
Bonus Rm Bath Half Laundry
Upper Prim BR Bath Full Bedroom
Bsmnt Den Bed/Bonus Rec Rm Bath Full
Parking Information
Main Lvl Garage: No Garage: Yes # Gar Sp: 2
Covered Sp: Open Prk Sp: No # Assg Sp: Driveway: Concrete Prkng Desc: Parking Features: Driveway
Features
Carport: No # Carport Spc:
Windows:
Laundry: Laundry Room, Main Level Fixtures Exclsn: No Basement Dtls: Yes/Basement Garage Door, Fully Finished, Interior Entry, Walk-Out Access Foundation: Basement Fireplaces: Yes/Gas, Great Room, Recreation Room Fencing: Back Yard, Fenced
2nd Living Qtr:
Accessibility: Construct Type: Site Built
Exterior Cover: Brick Full Road Frontage: Road Surface: Paved Patio/Porch:
Pool Features: In Ground, Outdoor Pool, Pool/Spa Combo
Appliances: Dishwasher, Disposal, Freezer, Ice Maker, Microwave, Oven, Refrigerator
Exterior Feat: In-Ground Hot Tub / Spa
Sewer: City Sewer
Heat: Electric, Heat Pump
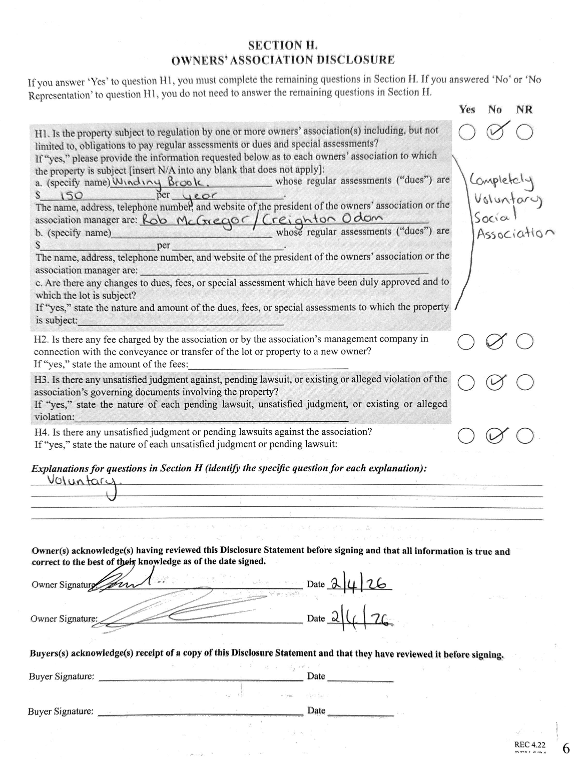
Subject to HOA: Optional
Utilities
Water: City Water
Cool: Central Air, Electric
Association Information
Subj to CCRs: Undiscovered HOA Subj Dues:
Remarks Information
Public Rmrks: Stunning six-bedroom, 4½-bath home in desirable and established Winding Brook, tucked away on a quiet cul-de-sac with no through traffic. Featuring a private pool and an exceptional layout designed for comfortable everyday living and effortless entertaining. Enjoy the privacy, convenience, and true sense of community — a place where kids ride bikes in the street and neighbors feel like friends. Thoroughly renovated and beautifully maintained, this residence blends timeless elegance with modern comfort in every space, complemented by high-end designer chandeliers and luxury-grade fixtures throughout. The bright, open-concept Kitchen is a showstopper, featuring custom cabinetry, quartzite countertops, double large center islands, walk-in pantry, and Wolf, Sub-zero and Miele appliances. The Kitchen flows seamlessly into the Great Room and Sunroom with hardwood floors throughout the main level, creating the perfect layout for both everyday living and entertaining. The wall of windows overlooking the private backyard and pool wash the main living area with natural light and creates a space you never want to leave. The spacious Great Room has a gas fireplace with custom mantle, and opens through French doors into the spacious, light-filled
drawing room. Across the Foyer, the Music Room could also be used as a formal Dining Room opening to the Kitchen. The Bonus Room on the main level features built-ins and large walk-in closet for ample storage and boasts a gas fireplace. The Laundry Room is exceptionally large and well-appointed with custom cabinets and lockers that are both beautiful and functional. Upstairs, the spacious Primary suite includes a luxurious bathroom and two grand-scale walk-in dressing rooms. Secondary bedrooms with hardwood floors and large closets with built in desks, share a modern full bathroom. Additional bedrooms are both generously sized and share a fresh bath with a shower tub combination. On the lowest level is the sixth bedroom that could be used as an exercise room with attached inviting and spacious full bathroom. The downstairs living area has the third gas fireplace and is spacious and walks out to the beautiful covered loggia. The private backyard oasis features a sparkling heated in-ground liner pool, expansive patio space, and multiple areas for lounging and dining. The covered terrace provides year-round enjoyment and effortless indoor-outdoor living. Side load two car garage with storage room caps off this exquisite home overflowing with charm, elegance and functionality.
SteelTapeMeasuring
MEASUREMENTSPROVIDEDTO GRIERTEAM-FEB2026
LIVINGROOM 15'-8"x15'-10" DININGROOM 15'-8"x14'-0"
1stFLOOR-2584
HEATEDLIVINGSPACE 2ndFLOOR-2118
TOTALHEATED-6161 garage-767unheated
Allmeaurementsareroundedtonearestinch.Thisfloorplanis intendedformarketingbrochuressowindow/doorplacements, androomdimensionsareforrepresentationonly.
BEDROOM#4 14'-10"x11'-10"BEDROOM#3 18'-0"x14'-2" BEDROOM#2 15'-8"x13'-10"






