3924 Huntcliff Drive

Page 1

3924 Huntcliff Drive CHARLOTTE, NC 28226

FEATURES

Montibello

$1,250,000

4 Bedrooms

4.1 Bathrooms

3,311 Sq Ft

MLS# 4136931

Some lucky buyer will be blown away by 2 primary suites, 4.5 gorgeous bathrooms, 2 laundry areas and the incredible 2021 renovation that created closet space galore! Chefs kitchen boasts butcher block island, granite, high end appliances, 2 pantries and opens to large family room with gas log fireplace. Hardwoods throughout main floor and continuing through upstairs hallway. Primary on main has an enormous double closet with laundry area and custom shelving. Generous living and dining room. Upstairs 2nd primary, two additional bedrooms, a really cool bonus room, laundry room and 3 full beautiful bathrooms! Outside deck begs you to sit and overlook the lush backyard in a peaceful, tranquil setting. Space for pool. Large two car garage with work room and floored pull down attic. Large front yard, very quiet street and stunning curb appeal. Come take a look. You’ll be glad you did!

Visit dickensmitchener.com for more information 2330 Randolph Road | Charlotte, NC 28207 | 704.342.1000 just listedTotally Renovated Home that Sits on .64 Acres in Montibello!

SpecialFeatures

Totalhomerenovationin2021combinesthecharmofanolderhomewiththeluxuriesand conveniencesoftoday!

Twoprimarybedroomswithspaciousclosetsandgorgeousbathrooms

4.5bathsallstunninglycreatedwithhighendfinishesincludingquartz,marble,porcelaintilesand sleekstyle

Achefskitchenwithhighendappliances,beautifulcountertops,largeislandandtwopantries

Kitchenopentofamilyroomanddeckprovidingeasyflowforentertainingandeverydaylife.

Fullnewelectricalpanelprovidedentirehomewithsurgeprotection

2laundryroomoptions-acompleteluxuryforthewholefamily.

64acresofbeautifulyard Enoughtosatisfyanyoasisyoudesire

Fullyflooredpulldownatticingarageprovidingahugestoragearea.

ThingstoLoveaboutMontibello:

MontibelloisarguablythebestneighborhoodinSouthCharlotte.Providingeasyaccess toCarmelCountryClub,privateandpublicschools,proximitytoUptown,Ballantyne, shoppingofanykind,SouthPark,airport,restaurants,highways,younameit!

Established neighborhood with incredible foliage, landscape, shaded streets and miles to walk enjoying the diversity of homes and community within.

Montibelloiswalkabletorestaurants,groceries,coffeeshop,pool,tennisandgolf. Thisvibrantneighborhoodoffersitall-location,walkabilityandsenseof community

3924 HUNTCLIFF

3924HuntcliffDrive,Charlotte,NorthCarolina28226

3924 Huntcliff Drive, Charlotte, North Carolina 28226

MLS#: 4136931 Category: Residential County: Mecklenburg

Status: ACT City Tax Pd To: Charlotte Tax Val: $924,000

Subdivision: Montibello Complex:

Zoning Spec: R3

Zoning:

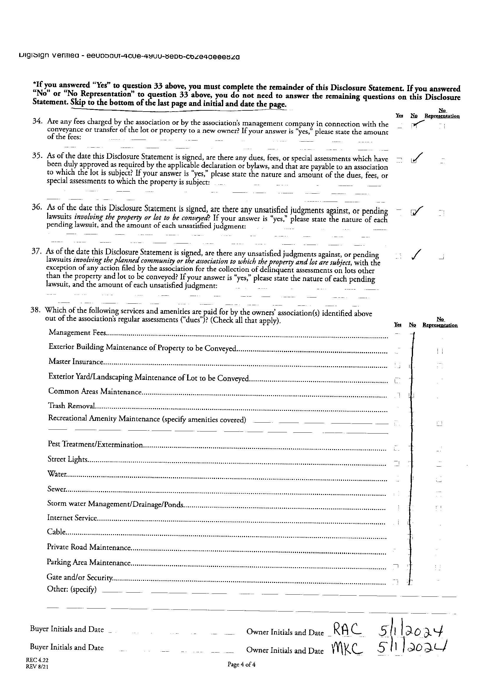
Parcel ID: 21117311 Deed Ref: 35891/84

Legal Desc: L8 BB M15-105

Apprx Acres: 0.64

Apx Lot Dim:

General Information

Additional Information

Prop Fin: Cash, Conventional

Assumable: No

Spcl Cond: None

Rd Respons: Publicly Maintained Road

School Information

Price: $1,250,000

Type: Single Family Elem: Beverly Woods Style: Middle: Carmel

Levels Abv Grd: 2 Story High: South Mecklenburg

Const Type: Site Built

SubType:

Building Information

Level # Beds FB/HB HLA Non-HLA Beds: 4

Main: 1 1/1 1,886 Baths: 4/1

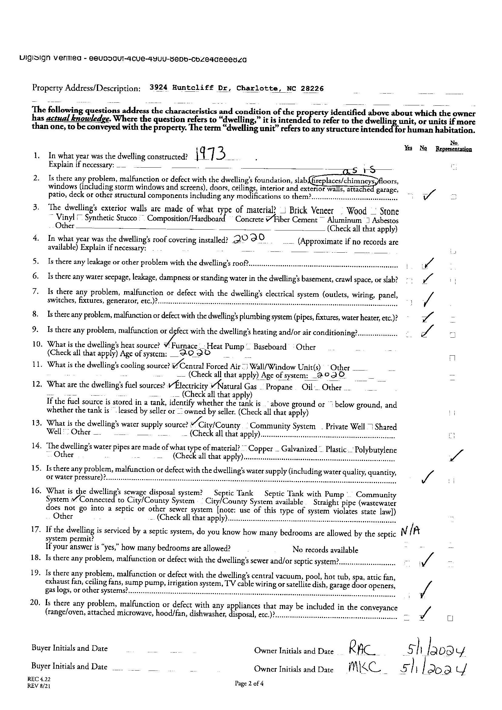
Upper: 3 3/ 1,425 Yr Built: 1973

Third:

Lower:

Bsmt:

New Const: No

Prop Compl:

Cons Status: 2LQt: Builder: Model:

Above Grade HLA: 3,311 Additional SqFt: Tot Primary HLA: 3,311 Garage SF:

Ownership: Seller owned for at least one year

Room Information

Main Prim BR Dining Rm Living Rm Bath Full Bath Half Kitchen Great Rm Laundry

Upper Prim BR Bath Full Bedroom Bath Full Bedroom Bath Full Bonus Rm Laundry

Parking Information

Main Lvl Garage: Yes Garage: Yes # Gar Sp: 2

Covered Sp: Open Prk Sp: No # Assg Sp: Driveway: Concrete Prkng Desc: Parking Features: Driveway, Garage Attached Features

Windows:

Fixtures Exclsn: No

Foundation: Crawl Space

Accessibility:

Exterior Cover: Fiber Cement

Carport: No # Carport Spc:

Laundry: Laundry Room, Main Level, Multiple Locations, Sink, Upper Level

Basement Dtls: No

Fireplaces: Yes/Family Room, Gas Log(s)

Construct Type: Site Built

Road Frontage: Road Surface: Paved

Roof: Architectural Shingle

Security Feat: Smoke Detector

Patio/Porch: Deck

Other Structure:

Inclusions: Appliances: Convection Oven, Dishwasher, Disposal, Dryer, Gas Cooktop, Plumbed For Ice Maker, Refrigerator, Self Cleaning Oven, Washer/Dryer Included

Interior Feat: Attic Stairs Pulldown, Entrance Foyer, Kitchen Island, Pantry Floors: Carpet, Prefinished Wood, Tile, Wood Utilities

Sewer: City Sewer

Water: City Water Heat: Natural Gas Cool: Central Air

Subject to HOA: Optional

HOA Mangemnt:

Association Information

Subj to CCRs: Yes

HOA Subj Dues:

HOA Phone: Assoc Fee: $75/Annually

Remarks Information

Public Rmrks: Totally renovated home that sits on .64 acres in Montibello! Some lucky buyer will be blown away by 2 primary suites, 4.5 gorgeous bathrooms, 2 laundry areas and the incredible 2021 renovation that created closet space galore! Chefs kitchen boasts butcher block island, granite, high end appliances, 2 pantries and opens to large family room with gas log fireplace. Hardwoods throughout main floor and continuing through upstairs hallway. Primary on main has an enormous double closet with laundry area and custom shelving. Generous living and dining room. Upstairs 2nd primary, two additional bedrooms, a really cool bonus room, laundry room and 3 full beautiful bathrooms! Outside deck begs you to sit and overlook the lush backyard in a peaceful, tranquil setting. Space for pool. Large two car garage with work room and floored pull down attic Large front yard, very quiet street and stunning curb appeal. Come take a look. You’ll be glad you did!

Directions:

DOM: 7 CDOM: 7

Listing Information

List
0
0
0
Slr
UC Dt: DDP-End Dt:
Contr:
LTC:

BEDROOM#2 12'-2"x10'-0"

BONUSROOM 16'-6"x8'-8"

BEDROOM#3 14'-10"x10'-0"

BEDROOM#4 13'-2"x17'-2"

20'-10"x21'-6" TWOCARGARAGE 12'-0"x6'-0" BREAKFAST GREATROOM 20'-2"x13'-4"

STORAGE KITCHEN 12'-0"x12'-8"

2NDFLOOR 1STFLOOR

LIVINGROOM 14'-4"x13'-8"DININGROOM 12'-0"x12'-0"

HEATEDLIVINGSPACE

1stFLOOR-1886

2ndFLOOR-1425

TOTALHEATED-3311 garage-578unheated

Allmeaurementsareroundedtonearestinch.Thisfloorplanis intendedformarketingbrochuressowindow/doorplacements, androomdimensionsareforrepresentationonly.

MASTERSUITE 12'-8"x18'-8"

DN CLOSET UP FOYER
3924HUNTCLIFF

Turn static files into dynamic content formats.

Create a flipbook
Issuu converts static files into: digital portfolios, online yearbooks, online catalogs, digital photo albums and more. Sign up and create your flipbook.
3924 Huntcliff Drive by Dickens Mitchener - Issuu