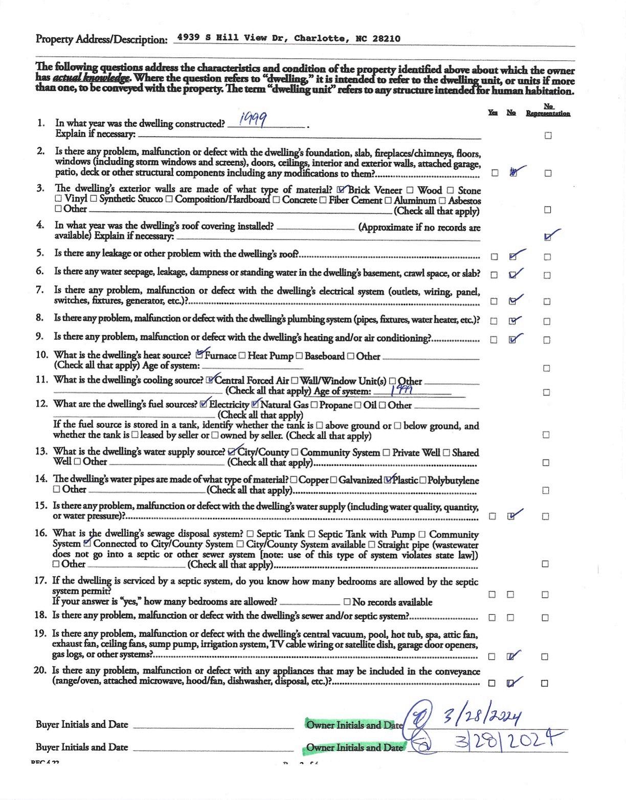
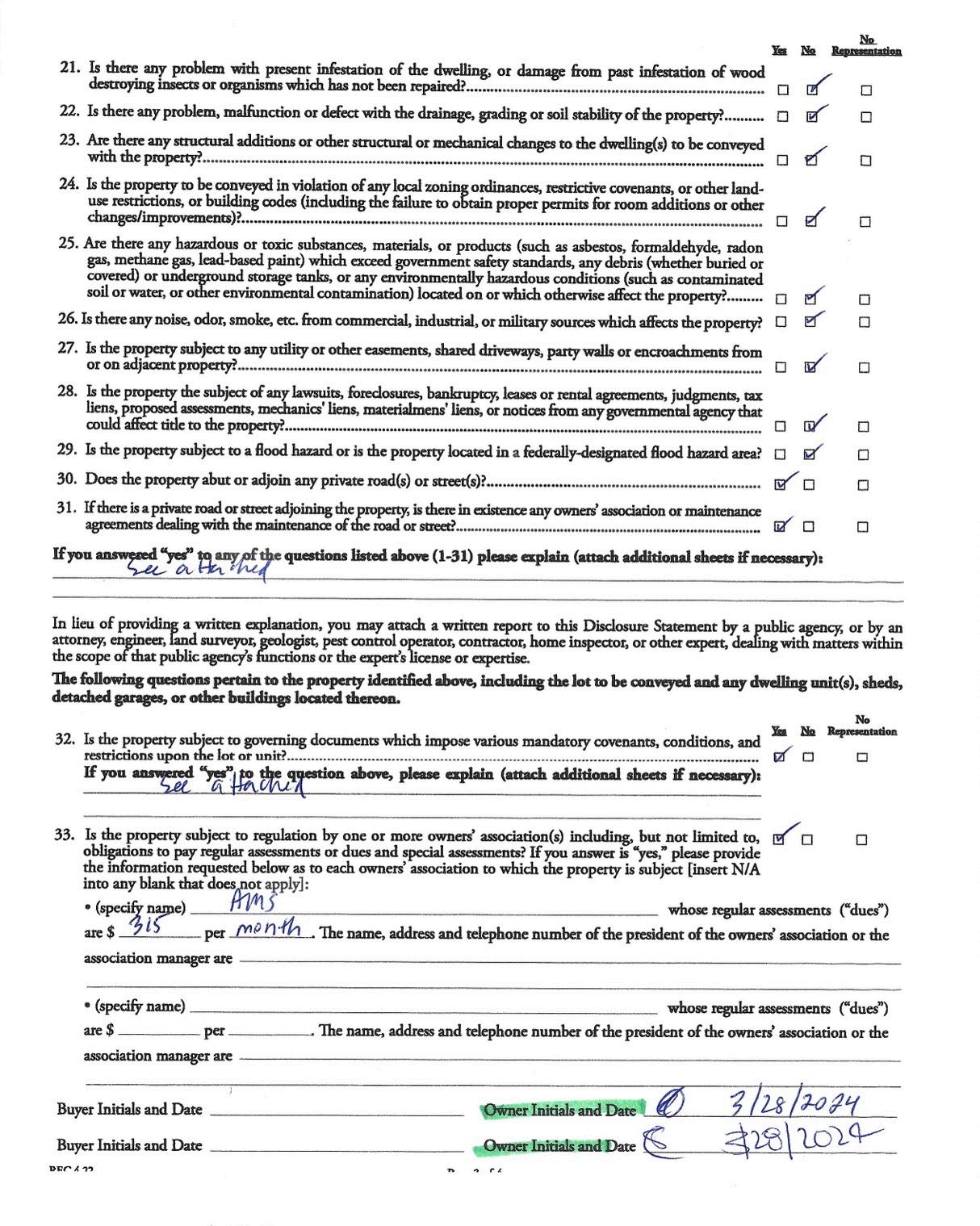
4939 South Hill View Drive

Page 1

4939 South Hill View Drive CHARLOTTE, NC 28210

Gorgeous Condo in Southpark!

FEATURES

South Hill

$467,500

2 Bedrooms

2.1 Bathrooms

1,247 Sq Ft

MLS# 4124587

Fantastic, meticulously maintained, move-in-ready condo in the heart of Southpark. Beautiful natural light throughout the unit. Covered front porch. The sellers have made updates galore, including all door hardware. This beautiful home shows like new construction. Updated kitchen with stainless appliances and granite countertops. All bathrooms have updated fixtures. Primary bath has been modernized with a beautiful barn door. Custom shutters on the windows throughout. Both upstairs bedrooms are spacious. The fireplace has been updated to operate with a remote control. Located in Southpark, but minutes from Montford, Park Road Shopping Center and Southend. This house boasts solid investment potential, thanks to its desirable features and market demand!

Visit dickensmitchener.com for more information 2330 Randolph Road | Charlotte, NC 28207 | 704.342.1000 Love
it -

4939 South Hill View Drive, Charlotte, North Carolina 28210-2337

MLS#: 4124587 Category: Residential County: Mecklenburg

Status: ACT City Tax Pd To: Charlotte Tax Val: $386,090

Subdivision: South Hill Complex:

Zoning Spec: R12MFCD

Parcel ID: 183-154-68

Legal Desc: UNIT 45 BLD11 U/F 478

Apprx Acres:

Zoning: R12MFCD

Deed Ref: 35240-549

Apx Lot Dim:

Additional Information

Prop Fin: Cash, Conventional

Assumable: No

Spcl Cond: None

Rd Respons: Privately Maintained Road

General Information

School Information Type: Condominium Elem: Unspecified Style: Middle: Unspecified Levels Abv Grd: 2.5 Story High: Unspecified

Const Type: Site Built SubType:

Building Information

Above Grade HLA: 1,247 Additional SqFt: Tot Primary HLA: 1,247 Garage SF:

Ownership: Seller owned for at least one year

Room Information

Main DiningArea Bath Half Kitchen Living Rm Upper Prim BR Bath Full Bedroom Bath Full

Parking Information

Main Lvl Garage: No Garage: Yes # Gar Sp: 1

Covered Sp: Open Prk Sp: No # Assg Sp:

Driveway: Concrete

Parking Features: Garage Attached

Windows:

Fixtures Exclsn: No

Prkng Desc:

Features

Carport: No # Carport Spc:

Laundry: Laundry Closet

Basement Dtls: No

Foundation: Slab Fireplaces: Yes/Living Room

Accessibility:

Exterior Cover: Brick Full

Construct Type: Site Built

Road Frontage: Road Surface: Paved Patio/Porch: Covered, Front Porch

Appliances: Convection Oven, Dishwasher, Disposal, Microwave, Refrigerator, Self Cleaning Oven

Interior Feat: Attic Stairs Pulldown

Floors: Carpet, Tile, Vinyl Plank

Exterior Feat: In-Ground Irrigation, Lawn Maintenance

Comm Feat: Outdoor Pool, Sidewalks, Street Lights

Sewer: City Sewer

Heat: Natural Gas

Subject to HOA: Required

HOA Mangemnt: AMS

Utilities

Water: City Water

Cool: Central Air

Association Information

Subj to CCRs: Yes

HOA Subj Dues: Mandatory

HOA Phone: Assoc Fee: $315/Monthly Condo/Townhouse Information

Land Included: No Pets: Unit Floor Level: 1 Entry Loc in Bldg: Main

Remarks Information

Public Rmrks: Fantastic, meticulously maintained, move-in-ready condo in the heart of Southpark. Beautiful natural light throughout the unit. Covered front porch. The sellers have made updates galore, including all door hardware This beautiful home shows like new construction. Updated kitchen with stainless appliances and granite countertops. All bathrooms have updated fixtures. Primary bath has been modernized with a beautiful barn door. Custom shutters on the windows throughout. Both upstairs bedrooms are spacious. The fireplace has been updated to operate with a remote control. Located in Southpark, but minutes from Montford, Park Road Shopping Center and Southend. Great opportunity for an investment property also!

Directions:

DOM: 43

CDOM: 43

Listing Information

Slr Contr:

UC Dt: DDP-End Dt: LTC:

4939SouthHillViewDrive,Charlotte,NorthCarolina28210-2337
List Price: $467,500
Level # Beds FB/HB HLA Non-HLA Beds: 2 Main: 0 0/0 277 320 Baths: 2/1 Upper: /1 344 Yr Built: 1999 Third: 2 2/0 626 New Const: No Lower: 0 Prop Compl: Bsmt: 0 Cons Status: 2LQt: Builder: Model:
©2024 Canopy MLS. All rights reserved. Information herein deemed reliable but not guaranteed. Generated on 05/17/2024 11:07:42 AM The listing broker’s offer of compensation is made only to participants of the MLS where the listing is filed.

4939 S Hill View Dr, Charlotte, NC 28210

Russell Lyons, Stephanie Lyons

Created by Genya Helms with SkySlope® Forms DigiSign Verified - 7a191524-0d98-407c-9946-62f430e8b794
Stephanie Lyons 03/21/2024 4 4 4 4 Russell Lyons 4 4
03/20/2024

Turn static files into dynamic content formats.

Create a flipbook
Issuu converts static files into: digital portfolios, online yearbooks, online catalogs, digital photo albums and more. Sign up and create your flipbook.
4939 South Hill View Drive by Dickens Mitchener - Issuu