

Tucked inside the sought after Phillips Gate community, this end-unit 3-bedroom townhome offers a smart, livable floor plan with standout outdoor space & an unbeatable location. The updated kitchen anchors the main level, flowing seamlessly into the dining room & living area —ideal for both everyday living & entertaining. The primary suite on the main level provides comfort & convenience, creating a true retreat with easy, one-level living. Upstairs, you’ll find two additional bedrooms & a versatile rec room, perfect for a home office, media space, or playroom. Step outside to the screened porch, an inviting extension of the living space, overlooking a rare, generous yard—a special find for a townhome & made even better by the privacy & natural light of an end unit. Enjoy a lifestyle that’s hard to beat with walkability to SouthPark’s shops and restaurants, plus quick access to Phillips Place for more dining & shopping options. A lock-and-leave home that lives large in one of Charlotte’s most desirable areas.





















3003CrowderCourt,Charlotte,NorthCarolina28210-2711
3003 Crowder Court, Charlotte, North Carolina 28210-2711
MLS#: 4341226
Category: Residential County: Mecklenburg
Status: ACT City Tax Pd To: Charlotte Tax Val: $643,400
Subdivision: Southpark
Zoning Spec: UR-2(CD)
Parcel ID: 183-141-31
Legal Desc: L12 M45-810
Apprx Acres:
Lot Desc: End Unit, Level
Zoning:
Deed Ref: 34210-464
Apx Lot Dim:

Additional Information
Prop Fin: Cash, Conventional
Assumable: No
Spcl Cond: None
Rd Respons: Privately Maintained Road
Levels Abv Grd: 2 Story High: South Mecklenbur
Const Type: Site Built
Ownership: Seller owned for at least one year
Room Information
Main Prim BR Bath Full Bath Half Kitchen Living Rm Dining Rm
Upper Rec Rm
Parking Information
Main Lvl Garage: Yes Garage: Yes # Gar Sp: 1
Covered Sp: Open Prk Sp: No # Assg Sp:
Driveway: Concrete Prkng Desc:
Parking Features: Driveway, Garage Attached
Lot Description: End Unit, Level Windows:
Features
Fixtures Exclsn: Yes/light fixtures/chandeliers in foyer,dining room & living room. Secondary mirror in primary bathroom handing over the tub.
Foundation: Crawl Space, Slab
Fencing: Back Yard, Fenced
Accessibility:
Exterior Cover: Brick Partial, Wood
Road Surface: Paved
Roof: Architectural Shingle
Utilities: Electricity Connected, Natural Gas
Appliances: Dishwasher, Disposal
Carport: No # Carport Spc:
Laundry: Laundry Closet, Multiple Locations, Upper Level
Basement Dtls: No
Fireplaces: Yes/Gas Log(s), Living Room
2nd Living Qtr:
Construct Type: Site Built
Patio/Porch: Deck, Patio, Rear Porch, Screened
Other Structure:
Interior Feat: Attic Other, Breakfast Bar, Built-in Features, Open Floorplan, Split BR Plan, Walk-In Closet(s)
Exterior Feat: Lawn Maintenance
Comm Feat: Sidewalks, Street Lights
Sewer: City Sewer
Heat: Forced Air, Natural Gas
Utilities
Water: City Water
Cool: Ceiling Fan(s), Central Air
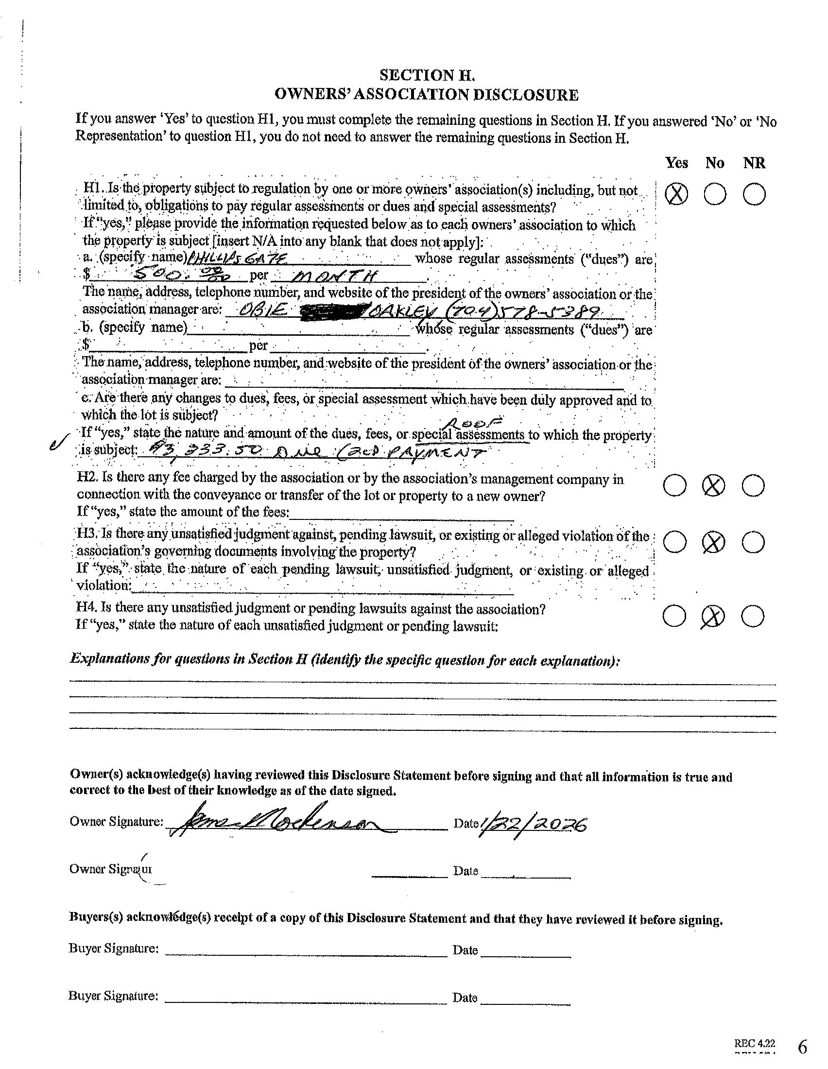
Restrictions: Architectural Review, Rental – See Restrictions Description, Signage, Subdivision - See HOA documents attached to the MLS
Subject to HOA: Required
HOA Mangemnt: Phillips Gate HOA
Association Information
Subj to CCRs: Yes
HOA Subj Dues: Mandatory
HOA Phone: 7045785389 Assoc Fee: $500/Monthly Spc Assess Cnfrm: Yes/$3,333.50 roof assessment
Land Included: Yes Pets: Yes, Breed Restrictions, Number Limit
Condo/Townhouse Information
Remarks Information
Public Rmrks: Tucked inside the sought after Phillips Gate community, this end-unit 3-bedroom townhome offers a smart, livable floor plan with standout outdoor space & an unbeatable location. The updated kitchen anchors the main level, flowing seamlessly into the dining room & living area —ideal for both everyday living & entertaining. The primary suite on the main level provides comfort & convenience, creating a true retreat with easy, one-level living. Upstairs, you’ll find two additional bedrooms & a versatile rec room, perfect for a home office, media space, or playroom. Step outside to the screened porch, an inviting extension of the living space, overlooking a rare, generous yard—a special find for a townhome & made even better by the privacy & natural light of an end unit. Enjoy a lifestyle that’s hard to beat with walkability to SouthPark’s shops and restaurants, plus quick access to Phillips Place for more dining & shopping options. A lock-and-leave home that lives large in one of Charlotte’s most desirable areas.
Directions:
Listing Information
DOM: CDOM: Slr Contr: UC Dt: DDP-End Dt: LTC: ©2026 Canopy MLS. All rights reserved. Information herein deemed reliable but not guaranteed. Generated on 03/04/2026 6:47:58 AM
14'-0"x15'-6"
BEDROOM#2 9'-9"x12'-0" BEDROOM#3 10'-0"x12'-3"
1stFLOOR 2ndFLOOR
2ndFLOOR-786 1stFLOOR-1154 garage-274unheated
TOTALHEATED-1940








