

Perfectly situated on the 1st tee of the River Run Country Club golf course and just steps from the clubhouse, this home offers one of the most desirable locations in the community. With stunning golf course and water views, mature landscaping, and a premier setting, this is a rare opportunity in Davidson’s most sought-after neighborhood. The 3,600+ sq ft home is exceptionally built, featuring gorgeous hardwood floors, beautiful moldings, 2 gas fireplaces and soaring windows that bring the outdoors in. The light-filled floor plan is designed for comfortable living and easy entertaining. The main level includes a generous Primary Suite, a vaulted great room, large kitchen, dining room, powder room, and laundry room. Upstairs, you will find three nicely sized bedrooms and two full baths. This wellmaintained, one-owner property presents an exceptional opportunity to add your personal touch in this fantastic River Run location, where lot value, walkability to the clubhouse, and long-term appreciation are unmatched. For the avid golfer, the putting green and range are steps away! Enjoy championship golf, tennis, swimming, trails, and an active social lifestyle, all just minutes from downtown Davidson, Lake Norman, and top-rated schools. 2021 Roof, 2 walk-in attic spaces, tankless water heater, irrigation and landscape lighting.
























18908RiverwindLane,Davidson,NorthCarolina28036-7849
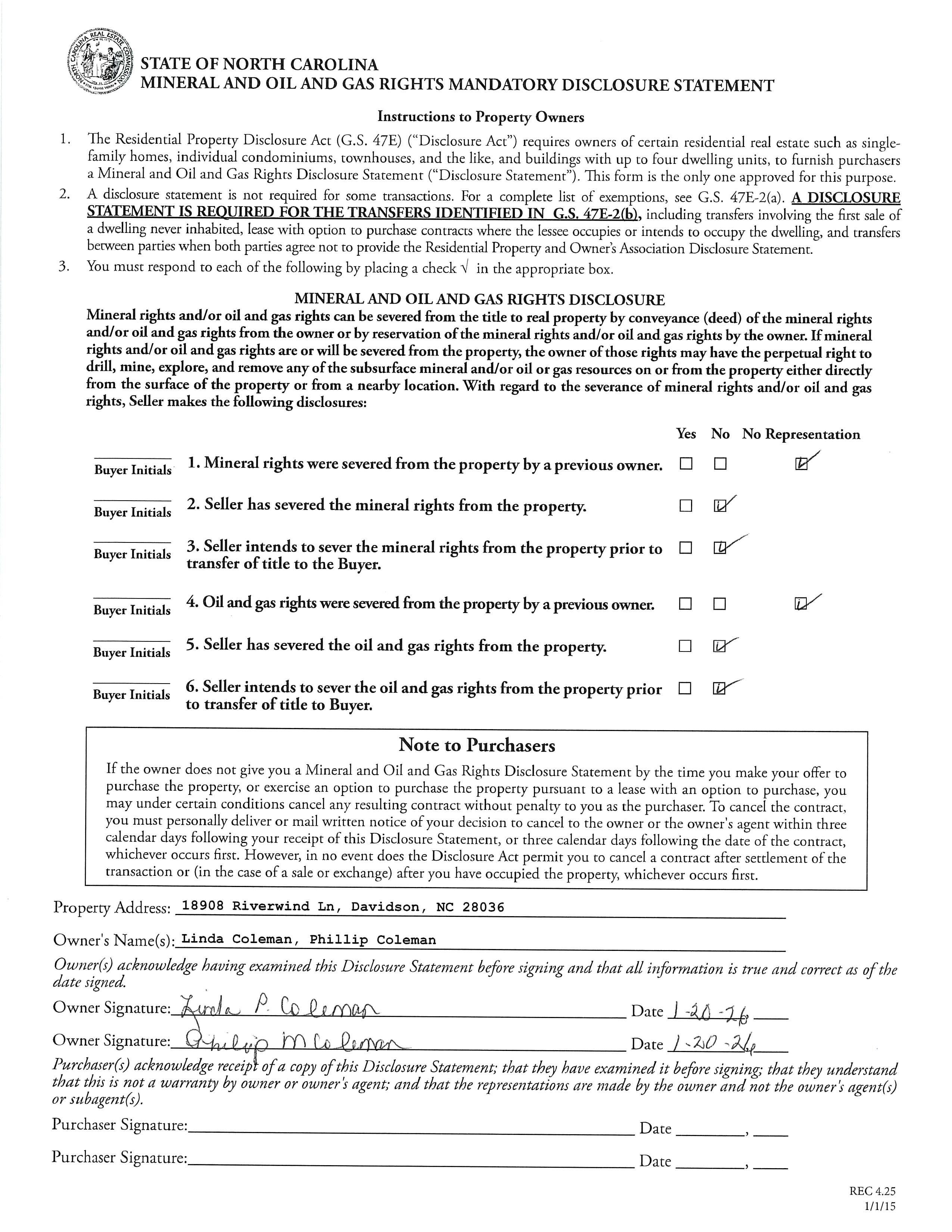
18908 Riverwind Lane, Davidson, North Carolina 28036-7849
MLS#: 4336980 Category: Residential County: Mecklenburg
Status: ACT City Tax Pd To: Davidson Tax Val: $934,300
Subdivision: River Run
Zoning Spec: C
Zoning:
Parcel ID: 007-361-03 Deed Ref: 9606-815
Legal Desc: L15 B14 M23-773
Apprx Acres: 0.42
Lot Desc: On Golf Course, Pond, Views
Apx Lot Dim:

Additional Information
Prop Fin: Cash, Conventional, VA Loan
Assumable: No
Spcl Cond: None
Rd Respons: Publicly Maintained Road
Room Information
Main Prim BR Dining Rm FamilyRm
Laundry
Upper Bed/Bonus Bedroom Bedroom
Parking Information
Main Lvl Garage: Yes Garage: Yes # Gar Sp: 2
Covered Sp: Open Prk Sp: No # Assg Sp:
Driveway: Concrete
Prkng Desc:
Ownership: Seller owned for at least one year
Carport: No # Carport Spc:
Parking Features: Driveway, Garage Attached, Garage Door Opener, Garage Faces Side Features
Lot Description: On Golf Course, Pond, Views
View: Golf Course
Windows:
Fixtures Exclsn: No
Foundation: Crawl Space
Accessibility:
Exterior Cover: Brick Full
Doors: French Doors
Laundry: Laundry Room, Main Level
Basement Dtls: No
Fireplaces: Yes/Gas, Great Room, Primary Bedroom
Construct Type: Site Built
Road Frontage: Road Surface: Paved
Roof: Architectural Shingle
Other Equipmnt:Surround Sound
Security Feat: Security System
Patio/Porch: Patio, Side Porch
Other Structure:
Horse Amenities:
Inclusions:
Utilities: Cable Connected, Electricity Connected, Natural Gas, Underground Power Lines, Underground Utilities
Appliances: Dishwasher, Disposal, Double Oven, Gas Cooktop, Tankless Water Heater
Interior Feat: Attic Stairs Pulldown, Attic Walk-in, Breakfast Bar, Central Vacuum, Entrance Foyer, Garden Tub, Kitchen Island, Walk-In Closet(s)
Floors: Carpet, Tile, Wood
Comm Feat: Club House, Fitness Center, Golf Course, Outdoor Pool, Pickleball, Picnic Area, Playground, Pond, Putting Green, Sidewalks, Street Lights, Tennis Court(s), Walking Trails Utilities
Sewer: City Sewer
Heat: Forced Air, Natural Gas
Restrictions: Other - See Remarks
Subject to HOA: Required
HOA Mangemnt: First Residential
Water: City Water
Cool: Attic Fan, Ceiling Fan(s), Central Air
Association Information
Subj to CCRs: Yes
HOA Subj Dues: Mandatory
HOA Phone: Assoc Fee: $900/Annually
Remarks Information
Public Rmrks: Perfectly situated on the 1st tee of the River Run Country Club golf course and just steps from the clubhouse, this home offers one of the most desirable locations in the community. With stunning golf course and water views, mature landscaping, and a premier setting, this is a rare opportunity in Davidson’s most sought-after
neighborhood. The 3,600+ sq ft home is exceptionally built, featuring gorgeous hardwood floors, beautiful moldings, 2 gas fireplaces and soaring windows that bring the outdoors in. The light-filled floor plan is designed for comfortable living and easy entertaining. The main level includes a generous Primary Suite, a vaulted great room, large kitchen, dining room, powder room, and laundry room. Upstairs, you will find three nicely sized bedrooms and two full baths. This well-maintained, one-owner property presents an exceptional opportunity to add your personal touch in this fantastic River Run location, where lot value, walkability to the clubhouse, and long-term appreciation are unmatched. For the avid golfer, the putting green and range are steps away! Enjoy championship golf, tennis, swimming, trails, and an active social lifestyle, all just minutes from downtown Davidson, Lake Norman, and top-rated schools. 2021 Roof, 2 walk-in attic spaces, tankless water heater, irrigation and landscape lighting.






