EL 29 DE AGOSTO DE 1937

El Diario del Maule Sur El Diario del Maule Sur
![]()
EL 29 DE AGOSTO DE 1937

El Diario del Maule Sur El Diario del Maule Sur
Cámara de Comercio de Linares entregó reconocimiento a Diario El Heraldo

Parral: Carabineros insta a la ciudadanía a no utilizar el hilo curado en volantines

Pág.12
Por paupérrima campaña de albirrojos: Los dardos apuntan al Gerente Deportivo, Rodrigo Valdés

- Alcalde Mario Meza dijo que el evento que se desarrollará en Plaza de Armas desde el 17 al 21 de septiembre, “más que un gasto, es una inversión”

RODRIGO BEALS, ENCARGADO DE SEGURIDAD MUNICIPAL: “SE HAN ADOPTADO TODAS LAS MEDIDAS PARA UNA FIESTA SEGURA EN LINARES”

La reciente tragedia ocurrida durante la romería anual del 11 de Septiembre al Cementerio General, donde un joven fue asesinado por un autodeclarado “antimarchas”, nos recuerda que los límites se desdibujan cuando se validan y promocionan los discursos de odio y se toman por opiniones, el mentir acerca hechos históricos. Acompañamos en el dolor a sus familiares y seres queridos, y esta tragedia deja preguntas que parecen inevitables: ¿Por qué Carabineros no garantiza la seguridad de quienes asisten a una actividad autorizada? ¿Condenamos realmente la violencia, venga de donde venga? Aún faltan las respuestas de las autoridades sobre por qué asistir a un evento de estas características puede costar la vida.
Las palabras de Luisa Toledo, madre de los hermanos Vergara Toledo, resuenan con fuerza: “¿Por qué se nos exige que seamos pacíficos hasta la muerte? ¿Por qué a nosotros?”
Existe una asimetría en la exigencia de no violencia, cuando históricamente han sido los grupos poderosos quienes la ejercen; usando como herramienta al Estado para ejercerla y obtener impunidad. Los audios de Hermosilla son un botón de muestra de las formas de la corrupción y las redes de empresarios, justicia y legisladores.
La polarización que vive Chile tiene raíces profundas en décadas de trauma; ausencia de reparación, justicia tardía (si es que llega) y la pendiente respuesta para quienes siguen buscando a sus seres queridos. Como sociedad, debemos reconocer que la paz social no puede construirse sobre cimientos de impunidad, injusticia y desigualdad. En Freirina dos mujeres estuvieron en prisión preventiva por ser acusadas de robar diez panes, mientras otros reciben clases de ética, algo que debe haber sido como un stand up de comedia para ellos. Cárceles con deplorables condiciones sanitarias para unos y para otros, instalaciones de lujo.

Libertad Méndez Núñez Médica Ginecóloga
Es crucial entender que la violencia no surge del vacío. Es el resultado de años de frustración acumulada, de promesas incumplidas y de un sistema que perpetúa las inequidades. Cuando el Estado falla o se ausenta en proteger a sus ciudadanos, cuando la justicia se percibe como un privilegio de pocos y cuando las vías institucionales parecen agotadas; la desesperación y la rabia pueden manifestarse de formas que desafían el orden establecido.
La construcción de una sociedad más justa y equitativa requiere un esfuerzo colectivo. Necesitamos políticas públicas que prioricen lo urgente para vivir y no sólo sobrevivir. Esto implica reformas profundas en educación, salud, vivienda y pensiones, las mismas que prometieron que harían “con amor” y ahora votan en contra.
Como país tenemos la responsabilidad de reflexionar sobre el hecho histórico de haber vivido una dictadura y del activo rescate de la memoria ante relatos abiertamente falsos que no sólo promueven la mentira, impiden el aprendizaje y crecimiento para evitar repeticiones. Quedan pendientes las garantías para ello, la justicia y la reparación. Decidir colectivamente qué tipo de sociedad queremos implica hacernos cargo, de lo contrario, asumir las consecuencias de la desigualdad.
Oscar Mellado Norambuena
Qué hermoso embleAma digna, estoica mujer chilena, bella, dulce fruta amada, patriarcal sol, te abraza suave, noble, sagrada.

Diosa Andina, inmaculada blancura te corona, turquíes olas te purifican, y solitario vela tus sueños: flamígero astro del diáfano cielo te ilumina.
Alma chilena
Pecho de mieles, ajuar de luna, trigueña agraria, vientre de mieses. tersa, desnuda primavera,
Vengo desde el Chile profundo, del sudor del capacho minero con sus piedras minerales, que lleva el pan a las humildes mesas, desde las fábricas de los horarios incontables de extenuantes trabajos que no dignifican sus sueldo precario, desde el campo, con cosechas ajenas que tus encallecidas manos han labrado.

Desde el sur y extremos australes de la Tierra, de remotos e insondables secretos, que quedan atesorados entre bosques y ventisqueros.
Vengo desde todos los rincones. de esta tierra justa para algunos e injusta y perseguida para muchos.
Vengo a ver la historia desde tus ojos que no están muertos… me siento profundamente impactado por la grandeza heroica que veo a través de tus ojos.
Siento que traigo el sentir de mi patria, hoy te recordamos, no en un sentir de duelo, sino de orgullo, que crece con los años.
Junto a ti, no nos sentimos pequeños y en el dolor sufrido y pendiente está la esperanza que tu fuerza mantienes vivas las columnas de nuestra raza.
Sentimos en estas paredes bombardeadas está tu estirpe grabada a fuego y que nos acoge a todas nuestras voluntades gloriosas y dispersas en tu corazón grande.
Para seguir luchando por tus valores eminentes que nos heredaste y que veo a través de tus ojos tu amor y entrega de tu vida.
Veo a la gente común, los que claman por justicia, los nadie, los artistas, estudiantes, todos los trabajadores, madres, mujeres y hombres que estudian, escritores, profesores, intelectuales, al pueblo de Chile.
no agraves odio, ni graves penas, en el silencio intermitente de las estrellas habla con ellas, saben tú nombre, saben, qué eres llanto y deleita para los hombres.
Amor de madre, mujer asilo, tierra sagrada, también titilas cuando caminas, arde el deseo de siempre amarte si tú, nos miras.
MUJER CHILENA
¡ Qué Hermoso Emblema !
Veo a los que caminamos a diario hacia la utopía de una tierra donde nunca más se violen los Derechos Humanos, ni asesinados ni detenidos desaparecidos, causados por las intolerancias del fundamentalismo político y religioso.
La verdad, querido presidente los veo a través de tus ojos en una procesión con una gran Fe, con tu corazón y fortaleza de estandarte que nos protege.
No hay tanques ni Hawker Hunter que lo derribe para la continuar con nuestras lucha y cantos… en Paz para alcanzar nuestro sueño Una patria justa y buena.

Tras dos jornadas de votaciones del articulado, la Comisión de Educación despachó a su par de Hacienda el proyecto sobre convivencia, buen trato y bienestar de los equipos educativos.
La finalidad de esta iniciativa es prevenir y erradicar el acoso escolar, la discriminación y todo tipo de violencia en los establecimientos educacionales.
En la ocasión, se aprobaron modificaciones a la Ley General de Educación relativas a la Política Nacional de Convivencia Educativa. A su vez, lo relativo a su implementación a través de un Plan Nacional de Acción Nacional de Convivencia Educativa que será elaborada por la Subsecretaría de Educación en coordinación con la Subsecretaría de Educación Parvularia.
Otras enmiendas apuntaron a los órganos del Sistema Nacional de Aseguramiento de la Calidad de la Educación. Tanto este sistema como el Plan de Acción tendrán una vigencia de ocho años. Este último, en todo caso, se evaluará cada dos años, pudiendo generar ajustes y modificaciones a las acciones, indicadores y metas.
A su vez, los establecimientos educacionales deberán considerar los lineamientos en materia de seguridad y convivencia señalados en los instrumentos de gestión elaborados por el Mineduc.
Dicho tema será implementado por el equipo directivo y el coordinador de Convivencia Educativa. Además, deberán contar con un Plan de Gestión de Convivencia Educativa que será responsabilidad del equipo directivo, a través, de la unidad de convivencia educativa.
Teléfonos de Urgencia
Ambulancia 131
Bomberos 132
Carabineros 133
Investigaciones 134
Informaciones sobre carreteras 139
El personaje era un hombre de remates en ferias libres de ganado, según contó el propio Eduardo “Guatón” Loyola, en diario El Llanquihue, y que todo se debió a una humorada de su amigo, Alejandro “Flaco” Gálvez, quien compuso la canción.
La historia surge una noche de 1954, cuando Eduardo Loyola, “Flaco” Gálvez y Mario Cassanello se encontraban en un fundo de D. Santiago Urrutia Benavente, en Parral; en medio de la comida y tragos en el casino del rodeo, llegan tres huasos ebrios y empezaron a molestar a las muchachas que atendían el lugar.
“Palabras van, palabras venían, y asomó el “desafío a pelear”. Los carabineros apaciguaron el asunto o trataron de hacerlo”, pero como insistimos el oficial dijo: “¿quieren pelear?”, y como dijimos que sí, él puso las reglas: “nadie se mete, peleen, y peleamos”, recordó Loyola.
“Combo que se perdía, lo recibía el Guatón Loyola”, dice la cueca. Y la verdad es que algo de eso hubo, según el protagonista: “En uno de los entreveros caí, y el otro tipo agarró una silla y tuve que esquivarlo. Alguien trató de quitarle la silla, pero no resultaba. Entonces, un amigo echó mano atrás y el que peleaba conmigo pensó que iba a sacar una pistola y se espantó. En verdad, era un manojo de llaves. Pidiendo auxilio salió corriendo para el lado de la estación y no supimos más de él”.
Tras la escena, el “Flaco” Gálvez se inspiró y creó la canción con la melodía del “aló-aló” que se escucha en las fondas de Chile. La historia, aseguró Eduardo, es que fui sorprendido con el tema el día siguiente.
Al ser inmortalizada por dúo Los Perlas, el año 56, la canción se popularizó, aunque se dieron una pequeña licencia. “Le cambiaron Parral por Los Andes, porque sonaba mejor al cantarla, pero el asunto ocurrió en Parral”, dijo el “Guatón” Loyola en la entrevista; su emblemática pelea lo convirtió en el personaje más conocido de nuestro baile nacional, hasta el día de hoy.
*La información sobre la verdadera historia fue recogida en el texto Chilenos de Raza de Francisco Mouat (entrevista en Diario El Llanquihue de Puerto Montt de 1960).
El 28 de agosto de 1978, Eduardo Loyola mu-
(Manuel Quevedo Méndez) rió en un absoluto anonimato -a los 54 años-luego de sufrir varias operaciones que intentaron extirpar unos quistes de su estómago.
Al principio la canción fue conocida entre amigos y familiares. “Mi papá la cantaba sólo por broma en la casa”, recuerda Alejandra Gálvez, hija del compositor, quien un día recuerda haber visto llegar a su casa a Oscar Olivares y Luis Castillo, los músicos de Los Perlas. “No tenís por ahí una canción pa’ nosotros”, le preguntaron a Gálvez y ahí mismo él les tocó el tema que inventó en Parral.
Los Perlas se habían iniciado como músicos de jazz, hasta que, en 1955, en un asado en San Bernardo, los escuchó cantar el director del sello RCA, Rafael Bustos. También estaba la cantante Magda Ruiz, que al escucharlos declaró: “Chís, los perlas también tocan cueca. Así nació el dúo Los Perlas.
Debutan en el Circo Las Águilas Humanas, donde se hicieron conocidos con una cueca de su autoría -Pa’tras Pa’elante-, y se consagraron con el tema “El Guatón Loyola”.
Antes de grabarla deciden hacer una variación en la letra. “Cambiar el rodeo de Parral por el de Los Andes, comadre Lola, para que calzara con la métrica”. Además, en esos años era más famoso el rodeo andino, explica la viuda de Olivares, Claudia Martínez, quien sepultó a su marido en 1992, poco antes que éste se recibiera de licenciado en música en la Universidad de La Serena. Su compañero, Lucho Castillo, había partido cinco años antes. (Bibliografía: diario El Andino -26 junio, 2020- Los Andes)


Hace 30 años
El Heraldo 13 de Septiembre de 1994
ARMADA ORGANIZA 2º CONCURSO DE HISTORIA NAVAL
Con el auspicio de la Comandancia en Jefe de la Armada, la Dirección de Educación de la Institución, se encuentra convocando al “2º Concurso Nacional de la Historia Naval de Chile”. En este evento podrán participar concursantes nacionales o extranjeros, presentando trabajos de investigación inéditos con una extensión mínima de 40 páginas. El tema deberá estar relacionado con “héroes anónimos o personajes desconocidos” como asi mismo sobre “hechos olvidados” de la Historia Naval de Chile.
ENTREGAN PROGRAMA OFICIAL DE FIESTAS PATRIAS EN LINARES
En conferencia de prensa ofrecida ayer en esta ciudad, el alcalde de Linares, Sergio Sepúlveda Corvalán, dio a conocer el programa oficial de celebración de Fiestas Patrias en esta comuna. En la oportunidad, el jefe comunal estuvo acompañado del Comisario de Carabineros de Linares, Mayor José Maldonado, la Jefa de Patentes Comerciales de la Municipalidad, Silvia Espinoza, y el director del Departamento de Tránsito, Jorge Aguayo. El edil explicó que el programa de celebración se iniciará mañana a las 10 de la mañana.

Hace 60 años
El Heraldo 13 de Septiembre de 1964
CON CREDENCIALES SE PODRÁ TENER ACCESO A INTENDENCIA
El Jefe de Plaza Coronel de Ejército don Alfredo Mahn M., nos ha informado que con el objeto de poder satisfacer las expresas disposiciones del Ministerio del Interior, en el sentido de comunicar lo más rápidamente posible el escrutinio del acto eleccionario de hoy y no sufrir entorpecimientos, tendrán acceso a la Intendencia durante el Registro Oficial del Escrutinio de las Mesas, que se efectuará en la Intendencia de la Provincia, las personas que acrediten una credencial extendida y firmada por él.
MAL ESTADO DE CALLE YUNGAY
Desde hace algún tiempo se encuentra en pésimo estado la calle Yungay entre Independencia y Carampangue. Efectivamente se han constatado numerosas depresiones que son un serio obstáculo al transporte de vehículo. Esto se ha agravado por el paso de los camiones remolacheros que tienen enorme peso. Consultado el Delegado de Pavimentación don Francisco Azócar Bobadilla sobre estas irregularidades, nos ha manifestado que, después de las Fiestas Patrias, se hará una repavimentación de las partes afectadas.
PSYCHO (1960) Y THE BIRDS (1963) de HITCHCOCK
Disponibles para compra o arriendo en Apple TV
Vuelvo a los clásicos y hoy les traigo a Alfred Hitchcock. Una en blanco y negro de 1960 y la otra a color de 1963, vaya que ha llovido desde entonces pero son películas totalmente actuales, en cuanto a su buena realización, sus historias, temáticas actuaciones. La más antigua es Psycho, en donde la trama contempla un giro dramático porque comienza con la historia de Marion Crane (Janet Leigh) que siendo secretaria se roba 40 mil dólares en efectivo de un cliente, no depositando como se le habría encargado. Huye, cambia de auto, la persiguen, etc. Lo que parece la trama de un robo y una especie de road movie, gira cuando ella acude a un tétrico hotel en la carretera, atendido por su dueño Norman Bates (Anthony Perkins) y su vieja madre controladora y enferma. Ocurre un asesinato con la icónica escena de la ducha y la trama da un giro y comienza la investigación policial que mezcla lo del robo, la desaparición y resolver el asesinato. Simplemente genial.
La otra película, Los Pájaros, se trata de Melanie Daniels (Tippi Hedren) hija de un millonario que se enamora del abogado Mitch Brenner (Rod Taylor) porque lo ve en una tienda de mascotas. Decide tomar la iniciativa y viajar a su pueblo para llevarle de regalos unos loritos para la hermana de él, regalando la Icónica escena de los pajaritos enjaulados en el auto. En el pueblo pequeño y costero llamado Bodega Bay comienzan a suceder una serie de situaciones extrañas que terminan con ataques de bandadas de pájaros a las personas del pueblo. Por las situación difícil, ella termina conviviendo junto a él, su hermana menor y la madre de él.
Los Spoilers dan lo mismo. No creo que alguien no sepa algo de estas películas y atendido a que han pasado más de 60 años da igual. Un tema es que en ambas las mujeres son protagonistas y tienen iniciativa. Son personajes potentes, poderosas, tramposas, algo tóxicas, lejos del supuesto canon de una mujer servicial y sumisa. Y bueno, no solo las protagonistas sino que los personajes de reparto también aportan una densidad, matices y comple-

(Gonzalo Guerrero, abogado)
jidad dignas de admirar hoy pues a veces en el cine actual esos elementos resultan forzados y de propaganda.
Los pájaros están presentes en ambas películas. Ya en Psycho el loco Norman Bates tenía una tenebrosa habitación en el hotel repleta de pájaros disecados. Por otro lado, la película de 1963 trata sobre las aves, son las protagonistas que atacan y matan a personas sin piedad, en una aparente venganza de la naturaleza. Hay todo un simbolismo esotérico respecto a las aves, por un lado está el denominado lenguaje de los pájaros, y por otro, son criaturas que pueden (simbólicamente) conectarse con lo elevado, con el espíritu y las deidades, relacionados con el elemento aire. El espíritu santo manifestado como una paloma en el catolicismo, por ejemplo. O el pelícano, que da de comer a sus crías, representando el sacrificio, la renovación y a Cristo. Hay toda una interpretación profunda que se podría hacer con los pájaros. Por otro lado, lo que me gusta de The Birds, es que la pareja protagonista cuando cuenta la historia de lo que sucede en el pueblo, nadie les cree. Minimizan el relato y la gente aparenta seguir con su vida, algo que siempre sucede cuando alguien cuenta algo malo que ha sucedido y que viene a alterar el curso de situaciones futuras. Es un proceso de disonancia cognitiva y apego por un statu quo que no volverá. Algo así ha ocurrido en este país con varias cosas desagradables que suceden a diario y que pareciera ahora escandalizar a muchos a pesar de las advertencias que se hicieron en su momento.
Septiembre en Chile se tiñe de rojo, blanco y azul, pero también del aroma inconfundible del carbón encendido y la carne cocinándose a fuego lento. El asado, ese ritual casi sagrado que marca las Fiestas Patrias, pareciera estar grabado en nuestro ADN desde siempre. Pero, al realizar un análisis profundo, encontramos una historia fascinante de evolución, adaptación y arraigo cultural.
Si bien la imagen del asado revive una tradición ancestral, su presencia como protagonista indiscutible del 18 de septiembre es relativamente reciente. Para entender su importancia, debemos remontarnos a la época colonial, donde la celebración de las festividades patrias se asemejaba más a una escena campestre. La matanza de un animal, generalmente en el campo, era el punto de partida para un festejo que giraba en torno a la hoguera, chicha en mano y la carne asándose lentamente.
Sin embargo, la conservación de esta proteína era todo un desafío logístico en aquellos tiempos. La falta de refrigeración obligaba al consumo inmediato, salvo mediante técnicas ancestrales como el charqui.
El término del siglo XIX e inicios del XX trajo consigo el hielo artificial y, con él, el nacimiento de las primeras carnicerías. La posibilidad de conservar la carne por más tiempo revolucionó su consumo, aunque aún limitado por la ausencia de refrigeradores en los hogares. Es en este contexto donde surge la figura de Argentina como potencia exportadora de carne, objeto de deseo para algunos chilenos que podían permitírselo.
Mientras tanto, en nuestro país, el 18 de septiembre se celebraba con empanadas y anticuchos en las fondas, reservando el asado para quienes podían acceder a la tradición campestre. Pero este panorama comenzó a cambiar en

José Pedro Hernández Historiador y académico Facultad de Educación Universidad de Las Américas
las últimas décadas, tal como se observa en el registro de la canasta familiar del Instituto Nacional de Estadística (INE) que, si en 1928 solo se incluía el lomo, para 1989 ya contemplaba “toda la carne sobre la parrilla”.
La sofisticación del mercado también jugó un papel fundamental. La diversificación e incorporación de nuevos cortes y la transversalidad del asado a todos los estratos socioeconómicos lo han convertido en un elemento esencial de identidad culinaria.
Hoy, el asado patrio es mucho más que una comida. Es un acto de celebración, de reunión familiar y de reafirmación de nuestra identidad nacional. Es la herencia de un pasado que supo adaptarse a los tiempos modernos sin perder su esencia. Es el recordatorio de que las mejores historias se cuentan alrededor del fuego, con el aroma a carbón y carne asada como telón de fondo.
Cada 18 de septiembre nos reunimos para celebrar las Fiestas Patrias, fecha de expresión de identidad, cultura y tradición de nuestro país en la que disfrutamos con la familia y amigos, compartiendo comidas, bebidas, música, bailes típicos y tardes de volantines. Sin embargo, detrás de esta festividad, también se esconde un impacto ambiental que muchas veces pasa inadvertido para nuestros ojos y ante el que es importante reflexionar.
El empleo de utensilios desechables, como cubiertos, platos, vasos y botellas, tienen un alto impacto ambiental debido al alto uso en estas fiestas, así como los residuos generados a partir de adornos y volantines plásticos y de papel, sobre todo si no se descartan adecuadamente.
Considerando que, en nuestro contexto global, la conciencia ambiental se hace cada vez más necesaria, cabe preguntarnos ¿de qué forma podemos hacer que nuestras Fiestas Patrias se vuelvan más sustentables?
Lo ideal es usar los utensilios de cocina que tenemos en casa, ya que no son desechables, también aquellos biodegradables o reutilizables en lugar de plásticos (los que tardan siglos en degradarse), con lo que se contribuiría a disminuir la cantidad de residuos generados. El uso de puntos de reciclaje en locaciones y parques donde se instalen las fondas permitirá a la comunidad educarse respecto de la gestión adecuada de los residuos, disminuyendo

la contaminación.
Todos tenemos un papel crucial en la promoción de celebraciones sostenibles. Al adoptar prácticas responsables, podemos hacer que estas Fiestas Patrias no solo honren nuestras tradiciones, sino que también impulsen un futuro más sostenible para Chile.
Crear puentes de solidaridad, nos ayuda a reconectar unos con otros, que es como se rejuvenece el espíritu cooperante, en medio de un poder desenfrenado y corrupto, que suele dejarnos dormidos bajo el paraguas de una nueva normalidad traicionera. Desde luego, tenemos que despertar, entrar en acción, al menos para allanar el camino y hacer frente a las enormes desigualdades dentro de los Estados y entre nosotros. No podemos continuar por esta confluencia que nos divide y separa, tenemos que hacer una elección diferente, trabajando el cumplimiento de los derechos humanos y los valores universales que todos compartimos. Realmente, nadie puede quedar excluido en la convocatoria de un mejor mañana para todos, nos necesitamos como familia, con lo que esto conlleva de unión y unidad. Sí, la cuestión no radica en aferrarse al poder, sino en ponerse a disposición de los más desfavorecidos, en servir y no en servirse de los despreciados, a expensas de su debilidad. En cualquier caso, exterminar la indigencia de los espacios vivientes no es un hecho de compasión, es un ejercicio de entereza.
Esos mundos diversos del planeta están ahí, con sus calvarios violentos, alimentando el discurso del odio y la incitación a la venganza. Asimismo, sus sociedades continúan enfrentándose al racismo, la discriminación, la xenofobia y las formas conexas de intolerancia, afianzadas por una crisis de liderazgos, encerradas en intereses y estereotipos enfermizos, a menudo arraigados en legados de colonialismo y esclavitud. Ante estas absurdas realidades, qué importante es el encuentro y el diálogo intergeneracional, para reconstruir un futuro más hogareño y menos atormentado, manteniéndose la luz, que es la que encauza la ruta humanitaria. Sin duda, los derechos humanos son correctores de las dinámicas abusadoras, lo que nos insta a cultivar una verdadera cultura de la libertad. ¡Podemos y debemos enmendarnos, para fraternizarnos! Y, haciéndolo, nos daremos cuenta de que las lágrimas de este siglo han preparado el terreno para una nueva primavera del espíritu condescendiente. En efecto, un planeta será fuerte e indestructible cuando lo sostengan las columnas de los vínculos complacientes del hermanamiento.
No olvidemos jamás que la tierra, nuestra morada, es de todos y de nadie en particular. Esto nos demanda políticas globales, capaces de aminorar la agitación, junto a gobiernos que cumplan con sus compromisos en el escenario internacional. Vivir es cosa responsable, su seriedad nos concier-

ne a todos, por tanto. En consecuencia, tampoco se puede dejar en manos de los intereses de unos pocos o a merced de pasiones sectarias y nacionalistas. Por desgracia, multitud de pueblos han perdido la seguridad, el espíritu de concordia y la convivencia común, siendo víctimas de la destrucción, de la ruina y de las guerras. El futuro ha de ser, por consiguiente, trenzado con menos hipocresía y más trasparencia. La paz, como actitud del corazón, espera a sus artífices; mientras el alma desea sosiego, para abrazar la existencia de unos con otros, pero nunca de unos contra otros. Al fin y al cabo, ni el pasado está muerto, ni tampoco el mañana está aún escrito; es cuestión de alumbrarlo en comunión y de vivirlo en comunidad. El futuro depende, en gran parte, de la familia; lo que lleva consigo, el porvenir mismo de la sociedad.
Con razón se dice, que el por hacer, está oculto detrás de los humanos que lo laboran. Así es, nuestra propia vida representa, en la mayor parte de las ocasiones, una ecuación entre lo cohabitado y lo que nos resta por cohabitar. Por eso, hemos de estar dispuesto a entendernos entre sí y también a atendernos mutuamente, ya no sólo con un sistema fiscal internacional que sea plenamente inclusivo, además con un lenguaje a golpe de clemencia para ser activos transformadores que sueñan en grande, generando espacios ecuánimes y horizontes renovados. Sea como fuere, nada se consigue sin ocuparse de los demás y sin preocuparse por aquello que nos rodea y acompaña. Lo armónico se consigue con la participación, el cuidado y la generosidad; en vez de la indiferencia, la explotación y los intereses partidistas o particulares. Con la asistencia siempre hacia adelante, sabiendo que el porvenir es mucho más de los latidos que de las mentes; y que, amar, eso es lo único que nos enternece el pronto y nos eterniza el reposo. Cultivémoslo, pues. De lo contrario, no seremos tampoco nada para nadie.
Publicada en
el
Diario Oficial ley que declara 7 de septiembre como día nacional de concientización sobre la distrofia de Duchenne
Con fecha 7 de septiembre de 2024, fue publicada en el Diario Oficial la Ley N° 21.701, que declara el 7 de septiembre de cada año como el día nacional de concientización sobre la distrofia muscular de Duchenne.
La ley, iniciada por moción de las diputadas Claudia Mix, Erika Olivera y Camila Rojas y de los diputados Félix Bugueño, Luis Cuello, Hernán Palma y Patricio Rosas, tiene como finalidad establecer el 7 de septiembre de cada año como el Día Nacional de Concientización sobre
la Distrofia Muscular de Duchenne, siguiendo el ejemplo de la Organización de las Naciones Unidas (ONU), que instauró para dicho día la conmemoración a nivel mundial a partir de 2023.
La iniciativa que dio origen a esta ley destaca que las enfermedades neuromusculares son trastornos hereditarios que afectan los músculos voluntarios. Una de las más comunes dentro de este grupo es la distrofia muscular de Duchenne (DMD), cuyo nombre se debe al neurólogo francés Guillaume Benjamin Amand Du-
chenne, quien en 1861 describió sus síntomas. Esta enfermedad neuromuscular es más frecuente en la infancia y está clasificada como una enfermedad rara o poco frecuente. Se caracteriza por un desorden progresivo de los músculos que conlleva la pérdida de su función, lo que eventualmente provoca que los pacientes pierdan su independencia.
La iniciativa subraya la importancia de crear conciencia sobre esta condición y sensibilizar a la comunidad acerca de las dificultades que enfrentan quienes padecen esta enfermedad.

Inician debate de proyecto que asegura cumplimiento de obligaciones tributarias
Tras un intenso trabajo por parte de la Comisión de Hacienda que despachó el proyecto este martes, la Sala del Senado inició durante la jornada de este miércoles el debate de la iniciativa que dicta normas para asegurar el cumplimiento de las obligaciones tributarias dentro del Pacto por el Crecimiento Económico, el
Progreso Social y la Responsabilidad Fiscal. La iniciativa cumple su segundo trámite constitucional y según se informó en la Sala permitirá recaudar 4.500 millones de dólares en régimen sin aumentar tributos y por la vía de mejorar las atribuciones de diversos organismos para fiscalizar la elusión y
La Comisión de Gobierno Interior inició la discusión general del proyecto de ley, de origen en mensaje y en primer trámite constitucional, que moderniza la regulación del lobby y las gestiones de intereses particulares ante autoridades y funcionarios.
El ministro secretario general de la Presidencia, Álvaro Elizalde, explicó que el lobby es una actividad lícita, pero que se tiene que explicitar y transparentar que se está planteando un interés particular.
En ese sentido, recalcó que lo que no puede ocurrir es que una autoridad tome una decisión pensando en ese interés particular y afectando el interés general.
Para ello, el presente proyecto modifica la Ley 20.730, para ampliar el concepto de lobby, establecer nuevos

sujetos pasivos e imponer nuevas obligaciones a ciertos sujetos activos calificados.
Además, modifica las sanciones, fija un portal único de lobby para que se pueda fiscalizar de mejor manera tanto para autoridades como ciudadanos, establece reglas de transparencia para comisiones asesoras, agendas abiertas de autoridades y transparencia en medios de comunicación.
Por su parte, la subsecretaria de la cartera, Macarena Lobos, afirmó que frente a un tema de crisis de confianza es importante
fortalecer los instrumentos que permitan garantizar que el interés general siempre sea la base de la toma de decisiones.
Al mismo tiempo, destacó que Chile ha estado en la avanzada al legislar sobre esta materia hace ya diez años.
En esta perspectiva, precisó que hay aspectos que se pueden mejorar, partiendo de la citada ley de lobby está estructurada sobre el sujeto pasivo. Pero, ahora, se busca dar un vuelco ampliando la regulación de los sujetos activos.
la evasión, entre otros. Previo al debate, los senadores ratificaron que el proyecto será votado hasta su total despacho el próximo martes 24 de septiembre y que se podrán presentar indicaciones hasta las 12 horas de ese día, mientras que las solicitudes de votación separada se podrán hacer hasta las 14 horas.
El diputado independiente y presidente de la Comisión de Emergencias, Desastres y Bomberos, Francisco Pulgar, destacó la aprobación unánime del proyecto que dictamina a cementerios públicos y privados disponer de horarios especiales nocturnos para la realización de las romerías de Bomberos de Chile.
Desde el Congreso Nacional, el diputado Pulgar (IND), expuso el oficio dirigido al Presidente de la República donde da cuenta que, este martes 10 de

septiembre, se ha aprobado por unanimidad el proyecto de mi autoría que modifica el Código Sanitario con el objetivo que los bomberos y bomberas de Chile puedan realizar sus romerías de noche en cementerios públicos y privados. Tras la aprobación, el parlamentario expresó su agradecimiento a la Comisión de Salud, a la Cámara de diputados, y aquellos parlamentarios que adhirieron y creyeron en este proyecto de ley.
Ayer, el alcalde de Linares
Mario Meza, junto al director de Dideco John Sancho, el concejal Christian González y funcionarios municipales, dio el vamos a la nueva versión de la Fiesta de la Chilenidad que se realizará entre el 17 y 21 de septiembre.
“Hay una parrilla de
artistas locales y nacionales para que las familias puedan disfrutar de un evento limpio y seguro, con 250 puestos de comestibles, bebestibles y artesanía, para lo cual trabajará también todo el equipo municipal”.
“Esto no es un gasto, sino una inversión, en la cual se generan puestos de trabajo y se

apoya a los emprendedores, todo inserto en una fiesta segura para los linarenses y turistas”, subrayó el alcalde.
Por su parte, el director de Dideco, John Sancho, dijo que “este evento de 5 días reactiva la economía local, y es una fiesta familiar. Habrá artistas como Amar Azul, la Combo Tortuga, El Clavel, Villa San Ambrosio, Cachureos y Los Palmeros de Rancagua, entre muchos más”.
En tanto, el concejal Christian González dijo que “estamos muy contentos como concejo municipal de haber aprobado los recursos para apoyar a los em-
El encargado de la Oficina Municipal de Seguridad, Rodrigo Beals, indicó que se han adoptado todas las coordinaciones para garantizar una fiesta segura.
“Estaremos coor-
dinados con Carabineros, Bomberos y la PDI, reforzando la seguridad con guardias privados. Hacemos el llamado también a la prevención de las personas”.
“Como Seguridad
Municipal estaremos en todos los sectores de la Plaza para garantizar que la gente venga a disfrutar de manera tranquila en esta Fiesta de la Chilenidad. Habrá vías habilitadas de emergencia”, afirmó.

- Alcalde Mario Meza dijo que el evento se desarrollará en Plaza de Armas desde el 17 al 21 de septiembre
prendedores y para que los linarenses disfruten de una fiesta familiar,
con una puesta en escena de primer nivel”. La Fiesta de la Chi-
lenidad se inaugura el día martes 17 a las 19.30 horas.

Cámara de Comercio de Linares entregó reconocimiento a Diario
La Cámara de Comercio de Linares, hizo entrega de un reconocimiento a Diario El Heraldo, valorando su histórico aporte informativo a las actividades del gremio.
El actual presidente de la Cámara de Comercio, Mauricio Díaz, señaló que “a través del tiempo, este medio de comunicación ha contribuido a la difusión de las actividades de nuestro gremio en diferentes períodos, poniendo de relieve lo importante que es el desarrollo de la actividad comercial para el progreso de la ciudad”.
Por su parte, el periodista Miguel Ángel Venegas, director de Diario El Heraldo, agradeció el reconocimiento precisando que “en este medio de
comunicación siempre han estado las puertas abiertas para resaltar los múltiples esfuerzos que se realizan en el día a día para continuar fortaleciendo el comercio local que siempre está enfrentado a nuevos escenarios de acuerdo a los vaivenes de la economía”.

Se acercan las fiestas patrias, ya hay vientos de una parte del calendario que es esperada por la mayoría y que, para muchos, comienza este fin de semana. Por eso, esta actividad cae como anillo al dedo para los amantes del buen comer, los juegos típicos y el aroma a campo que es tan característico en el Maule.
Este sábado 15 y domingo 15 de septiembre se realizará la segunda versión de la Fiesta de la Prieta, en el sector La Montaña de Teno. Doble jornada con sabor, color y aires dieciocheros. “Queríamos tener algo distintivo para La Montaña y decidimos en su momento que fuera una fiesta en torno a una actividad familiar. En
• Actividad cuenta con colaboración de la CRDP y su marca Market Maule.

el campo cuando se hacen productos derivados del cerdo, todos participan. Por eso queremos invitar a to-
dos a esta gran actividad”, aclaró Giovanna Cordero, organizadora del evento.
La actividad, que es
organizada por el club Promesas de La Montaña, se realizará desde el mediodía, tanto sábado como domingo en la ex medialuna Santa Adela. También será un espacio para emprendedores que apoya CRDP y Market Maule para visibilizar sus productos.
“Estaremos este fin de semana previo a fiestas patrias, en lo que será una actividad que mezclará las tradiciones de nuestro campo chileno, preparativos con prietas y nuestros emprendedores. Para ellos es una gran oportunidad porque sabemos la masividad que tienen estas actividades y nuestro compromiso es siempre apoyarlos”, manifestó Cristina Bravo, Gobernadora Regional

y presidenta del CRDP Maule.
Una fiesta que tendrá, como no, un concurso sobre el mejor preparativo en base a prietas. Algo que ya se hizo en el 2023 y que ganó Marcela Pinto.
Ella vive en Curicó y lograr ese distintivo solo le ha traído buenos dividendos en su negocio, con una receta casera, familiar llena de sabor
“Los invitamos a todos a participar. Para mí ha sido una buena experiencia y este año vamos con más nove-
dades y preparativos como la choriprieta. Así que los asistentes tendrán harta variedad”, dijo la emprendedora. Si es amante de este preparativo tan característico del campo chileno, este fin de semana estará la excusa perfecta para darle un gusto a su paladar. En una fiesta que promete comidas, música, naturaleza, juegos típicos. La mejor antesala al 18 XL que tendremos este año.
En el marco de la creciente relación comercial entre Chile y China, la comuna de Romeral, en la Región del Maule, fue escenario de una importante visita que refuerza los vínculos entre ambas naciones. La delegación china, encabezada por Liu Xiangyu, vicealcalde ejecutivo del gobierno popular de Guang’an, provincia de Sichuan, fue recibida por el director regional de INDAP, Jorge Céspedes, y el alcalde de Romeral, Carlos Vergara, en una jornada que destacó la relevancia estratégica de la producción de cerezas, uno de los productos agrícolas más codiciados por los consumidores chinos. La cereza chilena se ha posicionado como el tercer producto más exportado del país, y China es su principal comprador, un hecho que convierte a visitas como ésta en una oportunidad invalua-
ble para fortalecer la cooperación en el sector agrícola. El alcalde Vergara enfatizó la importancia de estos encuentros, no sólo para mostrar la calidad y el volumen de producción local, sino también para explorar nuevas oportunidades de inversión y desarrollo conjunto. “Es una gran oportunidad para profundizar las relaciones con el gobierno chino y fortalecer su conocimiento sobre la producción de cerezas que hacemos aquí”, señaló el edil. El alcalde de Romeral precisó que “ellos quieren aprender del cultivo de cereza, quieren que enviemos más cereza hacia China y también conversamos de proyectos de importancia, a nivel tanto comunal, provincial, regional y también a nivel país, como es el Tren Transandino. Y cómo poder potenciar la región del Maule con los dos pasos
internacionales que tiene, tanto el paso Planchón-Vergara, por donde puede haber un puente interoceánico a través de un tren transandino que puede cargar dos contenedores de altura. Eso sumado también a lo que es sacar cereza a través del Paso Pehuenche, hacia el aeropuerto de Malargüe, para poder llegar con los productos más rápido a China”. Uno de los momentos más destacados de la jornada fue la visita a pequeños productores locales apoyados por el Instituto de Desarrollo Agropecuario (INDAP), quienes presentaron sus avances tecnológicos y las inversiones realizadas en el cultivo del cerezo. Jorge Céspedes, director regional de INDAP, subrayó el papel crucial que la institución ha jugado en el apoyo a los agricultores, mejorando su competitividad en un mercado global cada vez más
exigente. “Hoy recorremos proyectos que demuestran cómo el apoyo del INDAP ha permitido a nuestros productores locales no sólo mejorar su producción, sino también estar a la altura de las demandas internacionales”, comentó.
El interés de la delegación china no se limitó solo al aspecto comercial. Durante su recorrido, Liu Xiangyu expresó su gratitud por la cálida acogida y destacó el potencial que ve en la cooperación agrícola entre ambos países. “La economía entre Chile y China es un lazo muy importante. Queremos aprender de la experiencia chilena en la producción de cerezas y llevar este conocimiento a China”, afirmó Liu. Para el vicealcalde chino, esta visita abre puertas comerciales y también contribuye al intercambio de conocimientos y técnicas agrícolas que benefician a ambas naciones.

Además de visitar a pequeños productores, la comitiva tuvo la oportunidad de recorrer las instalaciones de la planta exportadora APFrut, donde conocieron de cerca el proceso de exportación de cerezas.
La gira finalizó con un acto en la plaza de armas de Romeral, donde la delegación pudo disfrutar de una muestra de productos derivados de la cereza, como licor, espumante y calugas, lo que puso de relieve la diversidad de usos de este fruto.
En este marco, se firmó un memorando de entendimiento entre la Municipalidad de Romeral y gobierno popular de Guang’an, con el objetivo de potenciar la integración entre ambas regiones. La visita de esta delegación representa un avance en la relación bilateral entre Chile y China, además de reforzar la importancia de la cereza como un producto estrella de la agricultura chilena, abriendo nuevas oportunidades para los productores locales.


Todos los domingos del mes, se realizarán entretenidos shows infantiles gratuitos en Espacio Urbano Linares, en los que niños, niñas y adultos están invitados a disfrutar. Especialmente este 18
Espacio Urbano tiene como objetivo entregar experiencias y crear espacios de entretención para toda la comunidad, que aporten y mejoren la cali-
dad de vida de los vecinos y vecinas. Por esto para el mes de septiembre se realizarán shows infantiles dirigidos a los más pequeños de la familia.
Las actividades que estarán disponibles durante todo el mes son las siguientes y se realizarán todos los domingos a las 16:00 horas.
- La Yincana Infantil, competencias y
juegos criollos Competencia y juegos criollos en tu mall de siempre. Domingo 15.
- El Show de Mario Bross y Luigi No te pierdas las aventuras de los hermanos más famosos de los videojuegos. Domingo 22.
- El Mágico Mundo de Bluey Descubre el mundo de la perrita más tierna en Espacio Urbano. Domingo 25.

Las organizaciones de Colbún y San Clemente están desarrollando proyectos sociales en beneficio de sus comunidades bajo la modalidad de “mesas de trabajo”. Luego de trabajar durante todo el primer semestre en el levantamiento de necesidades y diagnóstico con soluciones para sus comunidades, diversas organizaciones sociales que integran las mesas de trabajo de los sectores de Santa Elena, Rincón de Taguas Oriente, San Nicolás, San Dionisio, la Unión Comunal de Juntas de Vecinos de la comuna de Colbún y San Manuel de San Clemente, dieron inicio a la ejecución de
sus proyectos, gracias al apoyo de la empresa de generación de energía, Colbún S.A. Carolina Jacques, Jefa de Asuntos Públicos de Colbún S.A., resaltó la importancia de continuar con esta metodología de trabajo colaborativo: “Mantener este enfoque participativo es clave para el desarrollo sostenible y el fortalecimiento de nuestras comunidades. Estamos muy motivados, al ver la gran disposición de los líderes comunitarios para llevar a cabo proyectos que impulsen el progreso local. Además, estamos muy felices de poder sumar nuevos sectores a esta modalidad conocida como

mesas de trabajo”.
Dulia Sepúlveda, presidenta de la Junta de Vecinos de San Manuel, de la comuna de San Clemente, manifestó su entusiasmo de poder participar en esta instancia y además “me pareció muy bien esto de estar reuniéndonos todos y así poder conocer los proyectos que tienen las otras organizaciones con la empresa. Cada proyecto será muy beneficioso para las distintas instituciones y provechosos para todos los vecinos de nuestro sector”.
Colbún S.A. ha trabajado de la mano con estas comunidades, incorporando este 2024 a San Nicolás, y San Dionisio de la comuna de Colbún, y la localidad de San Manuel, perteneciente a la comuna de San Clemente, para identificar sus principales problemáticas, y desarrollar soluciones a través de proyectos de mejora-
miento. Las mesas de trabajo han demostrado ser una herramienta eficaz para fomentar el desarrollo y bienestar de los vecinos, consolidando un modelo de colaboración participativa.
Los proyectos presentados que se realizarán a partir de este mes son: mejoramiento de las sedes vecinales, instalación de luminarias sustentables, equipamiento de sedes y clubes deportivos, entre otros. Estos proyectos, se ejecutarán a través de la Fundación Maule, quienes estuvieron presentes durante la última sesión, además, ya trabajaron con las mesas durante 2023 entregando asesoría, capacitación y colaborando con la concreción de cada iniciativa.
Cabe mencionar que las organizaciones tienen la meta de finalizar sus proyectos en diciembre de este año.
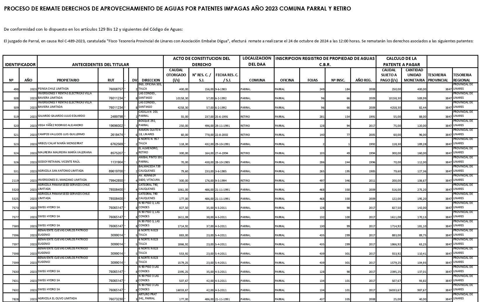
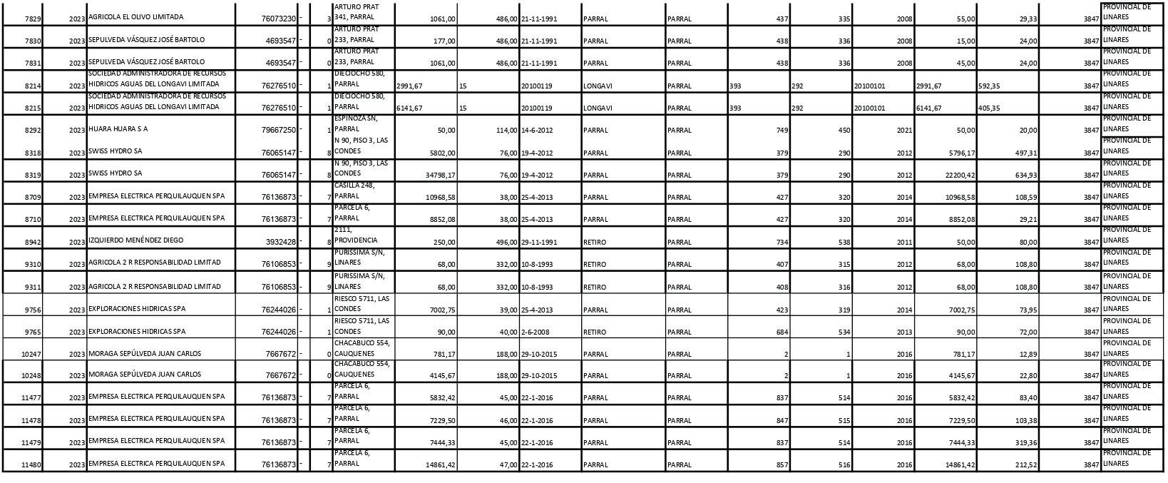
“2º Juzgado Civil Linares, Rol C-19182019, juicio sumario de regularización de derechos de aprovechamiento de aguas artículo 2º transitorio Código de Aguas, ordena notificar por avisos en extracto. Demandante: Luis Alberto Lastra Ibáñez. Demandado: Dirección General de Aguas y terceros interesados. Objeto: regularización de derechos de aprovechamiento de aguas de carácter consuntivo, por un caudal de 16 litros por segundo, de ejercicio permanente y continuo sobre aguas superficiales y corrientes del Río Achibueno, de la comuna de Linares, Provincia de Linares, Región del Maule, con captación de forma gravitacional, en orilla sur del cauce del Río Achibueno en un punto definido por las coordenadas UTM: Este 260.735 m., Norte 6.027.350 m., referidas al Datum WGS84, HUSO 19 SUR. En resolución del 24/10/2019 se dictó: Cítese a las partes a comparendo de estilo para la audiencia del quinto día hábil posterior a la última notificación a las 09:00 horas y si recayere en sábado o festivo al día siguiente hábil en el mismo horario. Notifíquese la solicitud de autos por avisos, a los terceros interesados como lo previene el artículo 54 del Código de Procedimiento Civil. Proveyó Doña CAROLINA ROJAS ARAYA, Juez Subrogante.”
En el marco de las celebraciones de Fiestas Patrias, el Servicio Nacional para la Prevención y Rehabilitación del Consumo de Drogas y Alcohol (SENDA) dio inicio a la campaña El Otro Plan.
Con esta iniciativa, se busca concientizar a la población sobre la importancia de una planificación responsable que contribuya a prevenir el consumo
de alcohol y otras drogas, además de evitar accidentes de tránsito y otras situaciones de riesgo durante las festividades.
Bajo el lema En estas Fiestas Patrias hay muchos planes, pero el más importante es cuidarse”, SENDA invita a la comunidad a tomar decisiones conscientes y responsables en torno al consumo de alcohol, resaltando la importancia de la mo-

deración y la planificación para disfrutar las festividades de forma segura.
La campaña El Otro Plan” está dirigida especialmente a automovilistas, familias y jóvenes. Para quienes conducen, el mensaje es claro: no consumir alcohol ni drogas antes de manejar. SENDA, junto a Carabineros, implementará más de 114 operativos de control en todo el país, tanto de día como de noche, para reforzar la seguridad en las carreteras.
Como parte de las acciones de “El Otro Plan”, SENDA y Carabineros realizarán controles preventivos a través del programa Tolerancia Cero.
Durante estas Fiestas Patrias, se espera que más de un millón de vehículos se trasladen desde y hacia Santiago por las principales carretas del país. Frente a este escenario, el conductor debe estar más alerta en la conducción porque se producen cambios en el ritmo de la velocidad, dependiendo de los vehículos que anteceden o de los que siguen, explicó el académico de la Facultad de Psicología de la Universidad de Talca, Emilio Moyano. Esta mayor atención durante largos periodos
frente al volante, puede generar más fatiga y, por lo tanto, el cansancio y la irritación surgirán con mayor facilidad dependiendo de cómo reaccione frente a la frustración de una mala planificación del viaje, detalló el profesor especialista en tránsito.
“Este es un elemento muy importante, de cómo el conductor acomete su viaje, porque si tiene tiempos limitados o espera llegar a cierta hora a su destino, se va a frustrar frente a un posible retraso, entonces ahí es donde surge la res-

Parral: Carabineros insta a la ciudadanía a no utilizar el hilo curado y encumbrar volantines con seguridad
Con el propósito de efectuar difusión, por medio de tips de seguridad y preventivos, en esta ocasión dirigida a los estudiantes del Liceo Federico Heise, Colegio Santiago Urrutia y Colegio Arrau Méndez.
En este contexto, brindaron, por medio de una entretenida y educativa actividad, en horas de la mañana de este martes, se instó a la prevención en el uso del hilo curado y por ende la utilización del volantín.
Invitando a la comunidad escolar a seguir las siguientes medidas preventivas:
-Elevar volantines en lugares despejados y alejados de cables eléctricos y postes.
-No usar hilo curado y sólo ocupar hilo de algodón, ya que la

mezcla de pegamento, vidrio molido, cuarzo y restos metálicos de virutilla, actúa como conductor de electricidad y puede electrocutar a una persona, además de ser un elemento extremadamente cortante.
No subir a los árboles, postes ni torres eléctricas para rescatar un volantín perdido. No acercarse a cables que pudieran estar colgando o en el suelo, ya que podrían estar energizados.
puesta de estrés, manifestó.
En este sentido, aclaró el profesor de la UTalca, la estrategia más segura es la prevención primaria y que consiste en no tener expectativas rígidas respecto a los tiempos que se utilizarán en los desplazamientos, porque el estrés es una respuesta de alerta que puede estar sobredimensionada frente a los estímulos de la realidad y puede hacer reaccionar a una persona inapropiadamente. Para evitar los malos ratos cuando se viaja durante las Fiestas Patrias, el especialista indicó que, si se tiene conciencia de que están surgiendo estos síntomas hay que poner atención y tomar agua, conversar algo agradable o poner una música que le guste a todos, es decir, generar un ambiente de tranquilidad al interior del auto.
Detectives de la Brigada Investigadora de Robos (BIRO) Curicó, en labores propias de su especialidad, ingresaron a un local comercial, el cual mantenía máquinas de juegos (traga billetes), encontrándose en presencia del delito flagrante de infracción a la Ley de Casinos.
En el procedimien-
to, se logró la incautación de 108 máquinas, 1 contador de billetes, 6 cartones de cigarrillos, artículos utilizados para el azar, 31 tarjetas electrónicas, 1 caja fuerte y 5 millones 711 mil pesos en efectivo; así como la detención, en flagrancia, de 5 personas, dentro de las cuales se encuentra la administradora del local. Por instrucción del Ministerio Público, la encargada fue puesta a disposición del Juzgado de Garantía de Curicó, para el control de la detención y formalización; mientras que el resto de los detenidos quedaron apercibidos bajo el artículo 26 del Código Procesal Penal.

Era muy importante conocer la versión de quien conformó el plantel en esta temporada , en conjunto con el ex técnico Eduardo Lobos, con jugadores que se dijo en un principio que el objetivo era buscar el ascenso . Un sueño que se fue diluyendo a medida que pasaban las fechas y que incluso llevo a la salida del terco ex técnico .
Hablamos de Rodrigo Valdés , actualmente el Gerente Deportivo de la SADP Depo Linares y que tiene a su haber que también dirigió al plantel en este torneo. En el punto de prensa del estadio, Valdés dialogó con los medios de co-
municación , tratando de explicar la realidad compleja por la cual atraviesa la institución que en dos meses mas se prepara para festejar sus 69 años de existencia y esperamos como linarenses continuar en el profesionalismo . Rodrigo Valdés , comenzó sus palabras con la frase “ todos sabemos que es una situación difícil , en estos momentos , pero depende solo de nosotros , del plantel , el apoyo de la gente , esto es un conjunto de cosas , pero pensando en positivo que no me cabe duda que lo vamos a sacar adelante” .
Tras la pregunta de la responsabilidad que tiene en la conformación del plantel
, agrego que “ nadie asegura el éxito , pero siempre uno prepara y planifica en base a lo que uno estima . Lo importante que estamos con la gente , con el grupo de jugadores , con quienes vamos a salir a dar la lucha hasta el final. Siempre el factor psicológico y emocional es importantísimo sobre todo cuando comienzas agarrar una racha negativa. Yo rescato los buenos momentos que han realizado. Ustedes tienen claro que si Linares ,hubiese anotado de penal, en Ovalle , la historia sería otra .
El tema es que en muy poco tiempo nos marcaron los dos goles y nos vamos abajo . Hay que quedarse con el

buen juego que se hizo y vamos a tirar todos el carro para adelante” . Luego le consultan qué pasa con los jugadores de experiencia que no han brillado y no han estado a la altura del campeonato , a lo que Valdés respondió: “ creo que discrepo con ustedes, han estado a la altura , lo cierto es que por
Cada vez queda menos para las tan esperadas Fiestas Patrias y la emoción del fin de semana XXL se va acrecentando a medida que pasan los días. Sin embargo, antes de salir a lucir tus mejores payas y pasos de cueca, ten en cuenta los siguientes consejos para proteger tu digestión y evitar dolores estomacales.
Según datos del Minsal, durante las semanas cercanas al 18 suelen aumentar las enfermedades transmitidas por alimentos (ETA), ya sea por bacterias o intoxicaciones. “Durante estas fechas es común ver un aumento de consultas, generalmente por el consumo de alimentos y bebidas contaminados durante las Fiestas Patrias”, afirma el gastroenterólogo de Clínica INDISA, Dr.
- Estas fechas son para celebrar, pero también nos obligan a estar atentos. Aprende a identificar los riesgos alimentarios en las fondas y cómo prevenir enfermedades gastrointestinales.
Alejandro Carvajal.
RIESGOS DE COMER EN LOCALES NO ESTABLECIDOS
Si bien es fácil dejarse llevar por las deliciosas y económicas comidas de las fondas, es importante ser consciente de los posibles riesgos que pueden traer. Los clásicos choripanes y terremotos pueden ser muy ricos si se consumen en los lugares correctos, sin embargo pueden ser sumamente peligrosos si no se toman las medidas correspondientes.
“Si no se siguen las normas de higiene adecuadas, los alimentos pueden contaminarse con bacterias como Salmonella, E. coli o
Staphylococcus aureus, provenientes de otros alimentos crudos o superficies sucias”, advierte el gastroenterólogo de INDISA. Otros riesgos son:
• Alimentos en mal estado: si no se almacenan a las temperaturas adecuadas o si se preparan con ingredientes en descomposición, pueden provocar intoxicación alimentaria.
alimentos, como la carne o el aceite, no se cocinan a la temperatura correcta o se recalientan de manera incorrecta, pueden sobrevivir microorganismos que causen enfermedades.
• Higiene personal insuficiente: si el personal de la fonda no mantiene una buena higiene personal, como lavarse las manos con frecuencia, puede contaminar los alimentos con bacterias.
una u otra razón hemos tenido lesiones , no solamente ahora también en la primera parte del campeonato con mas de 7 elementos que no pudieron iniciar el torneo, con mucha experiencia , estuvieron lesionados . Creo que este es un aprendizaje para todos . El análisis de la conformación del plantel se realiza
al final de un torneo, porque primero hay un respeto por el técnico que está , porque también trajo jugadores , así que al final se hace la evaluación . Y con las modificaciones de la Segunda Profesional , sin duda que ha sido un aprendizaje .Ahora la tarea de todos es dejar a la institución en la división”.
Gerardo Domínguez A Redactor Deportivo
Nuevosur activa plan de contingencia por Fiestas Patrias: consumo se incrementa hasta en 40% en zonas turísticas
Nuevosur puso en marcha un plan para asegurar la continuidad de sus servicios en Fiestas Patrias, ocasión en la que se registran aumentos en el consumo de agua potable, que puede llegar hasta 40% en zonas turísticas.
Victor Hugo Bustamante, gerente general de Nuevosur, explicó que la sanitaria ha tomado medidas, como la verificación de sus sistemas de producción de agua potable y tratamiento de aguas servidas, refuerzo de su personal de emergencia en terreno, turnos de alerta y sistemas de respaldo, para enfrentar esta mayor demanda estacional e hizo un llamado a usar responsablemente los servicios.
Sanitaria reforzó sus sistemas productivos para asegurar servicio frente al aumento de la demanda y llamó al buen uso del alcantarillado.
• Preparación inadecuada: si ciertos en las obstrucciones que se generan por mal uso de alcantarillado, sobre todo por las altas descargas domiciliarias y de restaurantes de grasas y aceites. “Pedimos a las personas que no desechen aceites o restos de grasa o comida por el lavaplatos; y que no arrojen basuras, restos de comida, bolsas plásticas y otros desechos al alcantarillado de sus casas, porque genera obstrucciones y potenciales rebases”, dijo.

El ejecutivo añadió que en estas fechas se observan incrementos