Skip to main content

bloq_PANORAMA ACUICOLA MAGAZINE Vol. 31 No.2 Enero-Febrero 2026

Page 1


Máximo Nivel de Eficiencia Productiva

Promueve el crecimiento y salud del camarón en condiciones de alta intensificación

Balance nutricional preciso y óptimo.

Paquete de osmorregulación para adaptarse a cambios de salinidad.

Aditivos funcionales y aceites esenciales que favorecen sobrevivencia y crecimiento.

Ingredientes altamente digestibles.

Óptima calidad física de partículas para una mejor respuesta acústica.

¡Ahor a

DISPONIBLE

en iniciador es!

Contenido

DIRECTOR Salvador Meza info@dpinternationalinc.com

Residuos del procesamiento del camarón en alimentos acuícolas: Valor nutricional, aplicaciones, desafíos y perspectivas

Residuos del procesamiento del camarón en alimentos acuícolas: Valor nutricional, aplicaciones, desafíos y perspectivas 26 26

Secciones fijas

Noticias de la industria

Sanidad Acuícola

Desarrollo de un protocolo de evaluación de Bienestar Animal en el Cultivo de Camarón: Enfoque Integral

Economía

La ostricultura en Baja California Sur, México: potencial productivo con reto económico

Centro I+D

Cultivando la inteligencia marina: avances y desafíos del pulpo del Pacífico mexicano

Directorio

EDITOR ASOCIADO Marco Linné Unzueta

COORDINADORA EDITORIAL

Karelys Osta edicion@dpinternationalinc.com

DIRECCIÓN ADMINISTRATIVA Adriana Zayas Amezcua

COLABORADORES EDITORIALES Carlos Rangel Dávalos

DISEÑO EDITORIAL / PUBLICITARIO Perla Neri Rozana Bentos

VENTAS Y MARKETING crm@dpinternationalinc.com

CIRCULACIÓN Y SUSCRIPCIONES Renée Meza suscripciones@panoramaacuicola.com

OFICINA EN LATINOAMÉRICA

Empresarios No. #135 No. Int. Piso 7 Oficina 723, Col. Puerta de Hierro, C.P. 45116 Zapopan, Jal., México. Cruza con las calles Av. Paseo Royal Country y Blvrd. Puerta de Hierro Tels: +(33) 8000 0578

OFICINA EN ESTADOS UNIDOS DP INTERNATIONAL INC. 401 E Sonterra Blvd. Sté. 375 San Antonio, TX. 78258 info@dpintertnatinonalinc.com

COSTO DE SUSCRIPCIÓN ANUAL $750.00 M.N. DENTRO DE MÉXICO USD $100.00 EE.UU., CENTRO Y SUDAMÉRICA €80 EUROPA Y RESTO DEL MUNDO (SEIS NÚMEROS POR UN AÑO)

PANORAMA ACUÍCOLA MAGAZINE, Año 31, No. 2, enero - febrero 2026, es una publicación bimestral editada y distribuída por Design Publications, S.A. de C.V. Av. Empresarios #135 Piso 07 Oficina 723 Col. Puerta de Hierro CP. 45116. Zapopan, Jalisco, México. Tel: +52 (33) 80 00 05 78, www. panoramaacuicola.com, info@dpinternationalinc. com. Editor Responsable: Salvador Antonio Meza García. Número de Reserva de Derechos de Uso Exclusivo 04-2019-071712292400-01, licitud de Título No. 12732, Licitud de Contenido No. 10304, ambos otorgados por la Comisión Calificadora de Publicaciones y Revistas Ilustradas de la Secretaría de Gobernación. Permiso SEPOMEX No. PP-140033. Impresa por Negocios Gráficos Grafinpren S.A. Teléfono: 04-2221362 ext 28 / 0959537917. Av. C.J. Arosemena Km 2.5 Antiguo Coliseo Granasa, Guayaquil, Ecuador. Este número se terminó de imprimir el 30 de enero de 2026 con un tiraje de 3,000 ejemplares.

La información, opinión y análisis contenidos en esta publicación son responsabilidad de los autores y no reflejan necesariamente el criterio de esta editorial. Queda estrictamente prohibida la reproducción total o parcial de los contenidos e imágenes de la publicación sin previa autorización de Design Publications, S.A. de C.V. Tiraje y distribución certificados por Lloyd International

Visite nuestra página web: www.panoramaacuicola.com

También síganos en:

Artículo

Un aireador barato puede costarte miles de dólares en camarón

Entrevista con Rafael y Alexander Colka en CONACUA 2025

Artículo

Calidad que se refleja en el cultivo: cómo elegir productos que entregan resultados reales

Artículo

Innovación en la nutrición del Litopenaeus vannamei: impacto de la suplementación con Pichia guilliermondii sobre el crecimiento y rentabilidad

Artículo

NALTECH obtiene la certificación ASC: un hito para la nutrición acuícola sostenible en América Latina

Opinión

La Tabla Roja: ¿Oportunidad o estancamiento?

Reseña

5º Summit latinoamericano de pesca y acuicultura sustentables: ¿Qué paso en Mérida?

Carpe Diem

Agua + cultura

En la mira

Financiamiento para la acuicultura

Nueva era en tecnologías acuícolas

Acuicultura urbana y sistemas de recirculación: ¿Podrá la acuicultura urbana ser la próxima revolución alimentaria?

Puntos críticos de control en bioseguridad

Eat more fish!

Desarrollo de la acuicultura rural: recursos existen, lo que falta son proyectos

Amoniaco, un asesino silencioso en acuicultura

Medios propios, pagados y ganados para un marketing efectivo

para el desarrollo tecnológico

Una limitación considerable para la mejora de la competitividad técnica de la acuicultura reside en la falta de coordinación entre los sectores que participan en la cadena productiva. Esta barrera puede ser superada mediante la implementación de una planificación estratégica y la coordinación entre los organismos competentes.

La planificación estratégica puede ser utilizada para obtener financiamiento en zonas estratégicas y aumentar la probabilidad de éxito en la obtención de oportunidades de financiamiento competitivo. Debe estar estrechamente vinculada a la investigación, la cual se realiza en gran medida con el apoyo de una matriz fragmentada de programas de subsidios a corto plazo. Si bien un aumento a largo plazo en los niveles de financiamiento puede mejorar la competitividad de la acuicultura, también es necesario un uso más eficiente de los fondos existentes y la gestión de carteras limitadas para abordar problemas prácticos relevantes para las necesidades de desarrollo de la acuicultura comercial.

Un aspecto fundamental es establecer un financiamiento adecuado para la definición y ejecución de proyectos, incluidos los proyectos de demostración, que permitan la continuidad, integración y evaluación de costo-efectividad de manera coherente, asegurando el éxito y atrayendo el compromiso a largo plazo del sector privado.

Lo anterior implica un cuestionamiento que debe ser aplicado con el objetivo de comprender los efectos en toda la cadena de suministro, por ejemplo: ¿cómo los resultados de la investigación implementada en la producción afectarán la calidad del producto y su valor de mercado?

En el contexto actual, la acuicultura requiere personal altamente capacitado para la administración y operación de las instalaciones de producción. Asimismo, se demandan científicos competentes para la formación de personal universitario y especialistas que laboren en los laboratorios de investigación. Para alcanzar este objetivo, resulta indispensable la implementación de un programa de transferencia tecnológica formal y robusto, con el fin de integrar las innovaciones tecnológicas tanto entre productores nuevos como entre aquellos ya establecidos en el sector.

La superación de las barreras técnicas y tecnológicas permitirá incrementar la eficiencia y eficacia de la producción. Sin embargo, se requiere una solución integral a los problemas, reconociendo las interrelaciones entre las áreas de investigación y en todas las disciplinas involucradas.

En consecuencia, estos problemas se resuelven de manera más eficaz mediante la acción sistemática de equipos de investigadores, cada uno con competencias complementarias para abordar los componentes de las barreras técnicas

y tecnológicas. Este enfoque tiene el potencial de maximizar el valor de las inversiones en investigación, contribuyendo así al desarrollo sostenible de la acuicultura.

Con base en lo expuesto, se considera conveniente la creación de polos de desarrollo orientados a la atención de productores noveles y aquellos en fase de desarrollo y consolidación, mediante Plataformas Tecnológicas (PT). Estas plataformas constituirán el marco de actuación, diagnóstico y análisis de capacidades impulsadas por el sector acuícola, con el propósito de definir las estrategias de investigación y desarrollo tecnológico requeridas para potenciar su competitividad.

En este contexto, resulta imperativo desarrollar un planteamiento operativo y dinámico que involucre a todos los componentes del sistema ciencia-tecnología-empresa, así como a las Administraciones, con el fin de alcanzar una coordinación óptima con otros agentes locales y regionales, así como con diversas organizaciones a lo largo de la cadena productiva. Simultáneamente, la Plataforma Tecnológica (PT) debe establecerse como el foro tecnológico en el cual la Administración de las políticas públicas pueda apoyarse para entablar un diálogo con el sector en materia de Investigación, Desarrollo e Innovación (I+D+i).

Editor Asociado

Marco Linné Unzueta

Centrar La Atención En Una Dieta Asequible Y De Alta Calidad.

Las ventajas de Empyreal® 75 merecen un análisis más detallado. Este nuevo ingrediente fundamental para la alimentación marina ofrece una alternativa económica a la harina de pescado y otras proteínas de alto costo, brindando un rendimiento excepcional. Como concentrado de origen vegetal, Empyreal 75 ofrece a los fabricantes una opción sustentable en un mundo en constante evolución. Más sustentable. Más beneficios. Una proteína poderosa.

Desarrollo de un protocolo de evaluación de Bienestar Animal en el Cultivo de Camarón: Enfoque Integral

La producción mundial de camarón significa en promedio 27 billones de organismos, en la cual América Latina tiene una importante participación. De allí, la urgente necesidad de incluir evaluaciones de bienestar en la acuicultura de camarón, a través de un enfoque sistemático que permita evaluar y mejorar el bienestar animal. Este artículo presenta un protocolo pionero que adapta el modelo Welfare Quality® al cultivo de camarón.

Introducción

Actualmente hay varias definiciones de bienestar animal, pero de una forma general, se puede decir que el bienestar animal se refiere

al estado en que se encuentra un individuo con relación a su ambiente (Broom, 1986). De acuerdo con el Consejo de Bienestar de los Animales de Granja (Farm Animal

Welfare Council, 1992), las cinco libertades para considerar el estado de bienestar de un animal son: ausencia de hambre y sed; ausencia de incomodidad física y térmica;

El bienestar animal se refiere al estado en que se encuentra un individuo con relación a su ambiente. Bajo un enfoque fisiológico se podría expresar en términos de la capacidad de un organismo de mantener su homeostasis.

ausencia de dolor, lesión o enfermedad; ausencia de miedo y estrés, y capacidad para mostrar la conducta normal de la especie. Bajo un enfoque fisiológico se podría referir a estas cinco libertades en términos de la capacidad de un organismo de mantener su homeostasis, la cual le permite responder adecuadamente al ambiente para realizar los procesos biológicos como mantenerse sano, crecer, reproducirse y mostrar patrones conductuales normales. El enfoque de bienestar, por lo tanto, implica una visión integradora, más holística que se fundamenta en el conocimiento biológico de la especie, incluyendo principalmente aspectos nutricionales, inmunológicos, fisiológicos, genéticos y etológicos. Es por ello que el bienestar animal implica una visión multidimensional, que incluye aspectos físicos y mentales de los organismos (Albalat et al., 2022; Pedrazzani et al., 2023, 2024). La revisión de 100 años de estudios científicos sobre bienestar animal realizada por Von Keyserlingk et al. (2017) señala que las investigaciones aportan información para mejorar la vida de los animales, pero el significado de bienestar animal ha cambiado durante el último siglo. Si bien, tanto la salud como la producción se asocian con un buen funcionamiento biológico,

una perspectiva más moderna del bienestar incluye cómo se siente el animal (Duncan, 2004). Esta perspectiva respalda diversas modificaciones en los protocolos de manejo para minimizar los estados afectivos negativos como son el dolor y el estrés, y promueve estados positivos como la comodidad o confort.

Aunque actualmente hay pocas evidencias de que los camarones peneidos sean seres sentientes (Crump et al., 2022), los estudios con otros crustáceos, como las langostas y cangrejos, sugieren que es una posibilidad (Elwood, 2025), por lo cual es necesario incluir un enfoque de precaución, lo cual implica que el bienestar de los camarones debe de ser tomando en consideración y que los daños potenciales deben ser evitados siempre que sea posible.

El creciente consumo de camarones en regiones como Europa, Asia y Norteamérica siguen impulsando la producción mundial, cerca de 5.6 millones de toneladas métricas de camarón fueron producidas en el 2022 (FAO, 2024). Entre los principales productores se encuentran: Ecuador, China, India, Vietnam e Indonesia. En América Latina, otros productores, encabezados por Brasil, México y Venezuela, aportan alrededor de 500,000 toneladas a suscripciones@panoramaacuicola.com

El bienestar animal implica una visión multidimensional, que incluye aspectos físicos y mentales de los organismos. Una perspectiva más moderna del bienestar incluye cómo se siente el animal.

la producción total. La producción mundial de camarón significa en promedio 27 billones de organismos, de acuerdo a la estimación realizada por Waldhorn y Autric (2023), lo cual es aproximadamente 255 veces más que la cantidad de peces de cultivo para este mismo periodo.

Los valores revelan la urgente necesidad de incluir evaluaciones de bienestar en la acuicultura de camarón en América Latina, a través de un enfoque sistemático que permita evaluar y mejorar el bienestar animal, que contribuya a disminuir la mitigación de riesgos, favorezca una mejor calidad de la carne, y ofrezca así, una ventaja competitiva en el mercado (Fernandes et al., 2021). El presente artículo propone un protocolo específico para evaluar el bienestar de los camarones, el cual fue elaborado considerando los principios metodológicos de Welfare Quality® y adaptado a las particularidades de la producción acuícola de camarón, con la intención de facilitar su integración en esquemas de certificación ya existentes (p.e. Welfair, ASC).

Los diferentes aspectos asociados al bienestar animal, se traducen a criterios de bienestar al ser medidos en los sistemas de producción. Un criterio de bienestar indica lo que es significativo para el animal, tal como lo entiende la ciencia animal actualmente. Los animales difieren en su genética, experiencia de vida temprana y temperamento, por lo que pueden percibir un mismo ambiente de diferentes maneras (Langenhof and Komdeur, 2018). El bienestar es característico de cada animal por lo que su evaluación debe ser realizada usando medidas basadas en el animal (ABI, por sus siglas en inglés; p.e. salud y comportamiento). Las medidas basadas en el ambiente (EBI, p.e. calidad del agua, densidad poblacional) y en el manejo (MBI, p.e. estrategias de reproducción o planes de manejo sanitario) brindan información directa del sistema de producción, pero resultan poco robustas para determinar, por sí solas, el estado de bienestar de los animales, por

lo cual no son recomendadas por la Autoridad Europea de Seguridad Alimentaria (EFSA, 2012). Sin embargo, cuando no hay un ABI para evaluar un determinado criterio, o cuando el ABI no es lo suficientemente sensible o robusto, se usan las medidas de manejo y ambiente (EBI, MBI) para complementar la valoración de bienestar del animal.

En la actualidad, se considera que para hacer una valoración holística del bienestar animal se deben considerar cuatro principios fundamentales: buena alimentación, buen alojamiento, buena salud, y comportamiento propio de la especie (Blokhuis et al., 2010). Estos principios se corresponden con los siguientes cuestionamientos: ¿Se está alimentando correctamente a los animales?, ¿Se están alojando correctamente a los animales?, ¿Están sanos los animales? y ¿El comportamiento de los animales refleja un estado emocional adecuado?

Con la multidimensionalidad del bienestar animal en mente, han sido definidos los criterios de bienestar (Tabla 1). Para determinar la relevancia de cada criterio existe una serie de requisitos que atender (Bouyssou, 1990): (1) el conjunto de criterios debe ser exhaustivo (debe contener todos los puntos de vista relevantes), pero debe evitar la redundancia o irrelevancia; (2) los criterios deben

ser independientes unos de los otros y la interpretación de un criterio no dependerá de la interpretación de otro; y (3) el conjunto de criterios debe ser transparente y fácil de entender evitando posibles cajas negras. La Tabla 1 presenta la lista de criterios asociados a cada dominio y/o principio del bienestar animal. Cabe mencionar que no hay un “protocolo de oro” (gold standard) para medir el bienestar animal, y mucho menos en invertebrados marinos. Tampoco se conoce qué grado de importancia le da el animal a un determinado aspecto de su vida, por lo que estos protocolos se deben desarrollar considerando los diferentes puntos de vista de los involucrados en la producción de cada especie (Blokhuis et al., 2010). Se trata de documentos dinámicos que requieren ser complementados y validados con cierta frecuencia para poderlos aplicar en los distintos sistemas de producción y que coadyuven a mejorar, tanto la condición de vida de los animales, como la eficiencia y/o calidad de la producción.

Con base en una revisión bibliográfica de evaluaciones para determinar el estado fisiológico e inmunológico en camarones se generó una lista de indicadores que se pueden ser aplicables para medir el bienestar en el cultivo de camarones peneidos:

I. Indicadores asociados al Principio de Buena Alimentación

3 Consumo de alimento (Bardera et al., 2019; Albalat et al., 2022).

3 Periodos de ayuno (Bardera et al., 2019).

3 Calidad del alimento (Bardera et al., 2020; Bardera et al., 2019).

3 Tasa de crecimiento (Franco et al., 2006; Bardera et al., 2019).

II. Indicadores asociados al Principio de Buen Alojamiento

3 Niveles de oxígeno disuelto (Boyd and Jescovitch, 2020; Bardera et al., 2019).

3 Temperatura (Boyd and Jescovitch, 2020; Bardera et al., 2019).

3 pH (Boyd and Jescovitch, 2020; Bardera et al., 2019).

3 Salinidad (Boyd and Jescovitch, 2020).

3 Concentración de amonio y nitritos (Boyd and Jescovitch, 2020).

3 Densidad de población (Araneda et al., 2020, Bardera et al., 2019).

El bienestar es característico de cada animal por lo que su evaluación debe ser realizada usando medidas basadas en el animal (ABI; p.e. salud y comportamiento). Las medidas basadas en el ambiente y en el manejo brindan información directa del sistema de producción.

3 Espacio de movimiento (Costa et al., 2014; Albalat et al., 2022).

3 Características del sustrato (Bray and Lawrence, 1993; Zhang et al., 2010).

3 Disponibilidad de refugios naturales (Browning et al., 2025).

3 Canibalismo (Su et al., 2020; Romano and Zeng, 2016).

III. Indicadores asociados al Principio de Buena Salud

3 Tasa de supervivencia (Lightner, 2011, Bardera et al., 2019).

3 Ausencia de deformidades (Lightner, 2011).

3 Integridad de apéndices (Morales & Cuellar-Anjel, 2014, Albalat et al., 2022).

3 Ausencia de manchas (Lightner, 2011, Albalat et al., 2022).

3 Sin alteraciones de coloración (cuerpo y apéndices) (Lightner, 2011, Cuellar-Anjel, 2014, Albalat et al., 2022).

3 Frecuencia de muda (Albalat et al., 2022)

3 Susceptibilidad a la hipoxia (He et al., 2025).

IV. Indicadores asociados al Principio de Comportamiento Adecuado

3 Natación errática o desorientada (Albalat et al., 2022).

3 Reducción de la movilidad normal (Bardera et al., 2020).

3 Cambios en la velocidad y dirección de desplazamiento (Lightner, 2011).

3 Frecuencia de uso del espacio en el estanque (Takahashi, 2021).

3 Tiempo de inactividad/Letargia (Albalat et al., 2022).

3 Respuesta al alimento (Bardera et al., 2019; Tailly et al., 2021, 2025).

3 Agresividad (Albalat et al., 2022).

3 Tiempo dedicado a la búsqueda de alimento (Albalat et al., 2022).

3 Cambios en los patrones de alimentación grupal (Albalat et al., 2022).

3 Distancia entre individuos (Albalat et al., 2022).

3 Frecuencia de contactos entre camarones (Albalat et al., 2022).

3 Aseo o grooming (Bardera et al., 2019).

3 Fototaxia (FAO, 2009).

3 Movimiento de escape o “Tail flip” (Takahashi, 2021; Albalat et al., 2022).

3 Nado en la superficie (Lightner, 2011).

Con la información recabada se proponen los indicadores de bienestar para el cultivo de camarones peneidos, con base en los principios y criterios de bienestar siguiendo el esquema de Welfare Quality® (Tabla 2 y Figura 1).

Trabajo futuro

Una vez decidido qué indicadores se van a usar, estos deben ser validados.

La validación requiere:

3 Protocolos estandarizados de medición.

3 Estudios comparativos entre diferentes sistemas de cultivo.

3 Evaluaciones científicas rigurosas.

3 Consenso entre expertos en acuicultura y bienestar animal.

En resumen, aquí se presenta una propuesta de cómo evaluar el bienestar de camarones peneidos en cultivo siguiendo el esquema de Welfare Quality® donde se valoran los cuatro dominios del bienestar con base en 11 criterios (Blockhuis et al., 2010). Este trabajo representa un punto de partida para la evaluación del bienestar animal en una de las industrias de producción con mayor número de individuos por año.

Las referencias y fuentes consultadas por el autor en la elaboración de este artículo están disponibles bajo petición previa a nuestra redacción.

*Ana Roque IRTA- La Ràpita. España. Correo electrónico: Ana.Roque@irta.cat

Cristina Pascual Jiménez Universidad Nacional Autónoma de México, Yucatán, México

Guiomar Rotllant Institut de Ciències del Mar, Barcelona, España.

La ostricultura en Baja California Sur, México: Potencial productivo con reto económico

Pese al crecimiento de la acuicultura mexicana, la ostricultura en Baja California Sur enfrenta un desfase crítico entre permisos otorgados y producción real. Este artículo se enfoca en caracterizar la producción y evaluar la rentabilidad de la ostricultura de pequeña escala en la región noroeste de México, tomando como caso de estudio la producción de ostión japonés (Crassostrea gigas) en Baja California Sur, con miras a transitar hacia modelos productivos más eficientes, técnicamente estandarizados y orientados al mercado.

Por: Francisco Javier Mendoza-Portillo*, Víctor Ángel Hernández-Trejo y Phillipe Danigo-Le Livec

Introducción

En la última década, la acuicultura mexicana ha mostrado un crecimiento sostenido con una tasa media anual del 15% y una pro-

ducción promedio de 337 mil toneladas, ubicándolo en el lugar 16 a nivel mundial y sexto en América Latina. Con un padrón de más de 56 mil acuicultores y más de nueve mil

granjas registradas, el sector representa alrededor del 22% de la producción pesquera y acuícola nacional (SAGARPA, 2017). Pese a su potencial territorial, la acuicultura en

Consolidar los volúmenes de siembra, reducir mortalidades mediante mejores prácticas de manejo y mejorar la información económica son elementos indispensables para fortalecer la viabilidad de la ostricultura y avanzar hacia un modelo sostenible en el largo plazo.

México se ha concentrado principalmente en el cultivo de camarón y peces. Ambos sistemas enfrentan retos significativos: los altos costos de producción −en especial, alimento y energía eléctrica−, los problemas sanitarios como el virus de la mancha blanca (en el caso del camarón), y la competencia con productos importados (en particular, tilapia y especies asiáticas) han limitado su adopción y expansión, especialmente en comunidades rurales costeras (SADER, 2022; NorsegarayCampos et al., 2012).

Ante este contexto, ha resurgido el interés por diversificar la producción acuícola mediante el cultivo de ostión japonés (Crassostrea gigas), en particular en la región noroeste (Baja California, Baja California Sur y Sonora). Esta especie se considera una alternativa viable por su tolerancia ambiental, rápido crecimiento y bajos costos de producción, ya que no requiere alimento balanceado ni infraestructura compleja (CONAPESCA, 2022; Chávez-Villalba, 2014; MaedaMartínez, 2008). En la última década, se han otorgado más de 539 permisos de acuicultura de fomento en esta región (Figura 1a), 73% en Baja California Sur, 23% en Baja California y 4% en Sonora, la mayoría orientados al cultivo de ostión japonés. Pese a este nuevo impulso, el incremento esperado en la producción no se ha materializado: la producción actual de Baja California y Baja California Sur (alrededor de 2,200 toneladas por entidad) apenas alcanza niveles similares a los registrados en los años noventa en Sonora (Figura 1b).

A esto se suma que el 64% de los permisos ya expiró y solo el 22% de los productores activos en Baja California Sur reportan producción reciente. Este desfase entre la cantidad de permisos y la producción efectiva evidencia la falta de consolidación técnica y económica del sector. Si bien la ostricultura ofrece importantes beneficios como la generación de empleo, la seguridad alimentaria y su bajo impacto am-

biental, su desarrollo enfrenta desafíos asociados a la gobernanza, la competencia por el uso del espacio costero y el acceso a los recursos (Botta et al., 2020; CrespoGuerrero & Jiménez-Pelcastre, 2021).

En este sentido, la FAO (2024) subraya la necesidad de que la acuicultura se base en principios de sostenibilidad económica, social y ambiental, apoyada en políticas públicas e instituciones sólidas. La consolidación de la ostricultura requiere analizar variables productivas y económicas, capacidad instalada, volúmenes de siembra y cosecha, estructura de costos, márgenes de rentabilidad y acceso al mercado, que permitan definir modelos sostenibles y rentables (Guillén et al., 2025; Engle

et al., 2021; Parker et al., 2019). Sin embargo, la información disponible sobre la producción ostrícola en el noroeste mexicano es escasa y fragmentaria. Se sabe que predomina la pequeña escala y que los costos operativos son aparentemente bajos (Ramírez-Ambriz et al., 2023; Chávez-Villalba, 2017), pero se desconoce si los niveles de producción actuales garantizan rentabilidad.

La ausencia de indicadores económicos estandarizados, como costos unitarios, márgenes de utilidad o requerimientos de capital de trabajo, impide evaluar la sostenibilidad financiera de las unidades productivas. Este vacío limita la planeación pública, desalienta la inversión privada y dificulta la toma de decisio-

Bajo la estructura de costos promedio identificada, se pudo determinar que la cantidad de siembra requerida para que una UPO esté en equilibrio económico es de 400,000 piezas producidas que demandaría aproximadamente siembras de 700,000 semillas.

nes informadas por parte de los productores. Si se aspira a que la ostricultura se consolide como una actividad sostenible y rentable, es indispensable generar información técnica y económica que permita evaluar su viabilidad. En tal sentido, el objetivo de este trabajo fue caracterizar la producción y evaluar la rentabilidad de la ostricultura de pequeña escala en la región noroeste de México, tomando como caso de estudio la producción de ostión japonés en Baja California Sur.

Método

Para caracterizar la producción ostrícola en Baja California Sur (BCS) y evaluar su rentabilidad, se recopilaron datos económicos y productivos mediante entrevistas directas con los permisionarios activos en la producción de ostión japonés (C. gigas). La lista de productores se obtuvo del padrón vigente de la Comisión Nacional de Pesca y Acuacultura (CONAPESCA) y se corroboró con los registros del Comité de Sanidad Acuícola de Baja California Sur (CSABCS).

Las entrevistas se realizaron entre octubre y noviembre de 2023, directamente en las Unidades de Producción Ostrícola (UPO). Cada sesión tuvo una duración aproximada de 50 minutos y siguió las recomendaciones metodológicas de Engle et al. (2017) y de la FAO (2020) para censos agropecuarios. Se empleó un cuestionario estructurado dividido en dos secciones: (1) Caracterización productiva y operativa, que incluyó información sobre antigüedad de la granja, número de trabajadores, superficie concesionada, número de siembras anuales, volumen de semilla sembrada, cosechas y porcentajes de supervivencia, y (2) Información económica y financiera, que abarcó costos de operación, inversión en artes de cultivo, gastos administrativos, precios de venta e ingresos por ciclo. Los datos se codificaron para garantizar la confidencialidad de los participantes. Para identificar grupos homogéneos entre las UPO, se aplicó un análisis de conglomerados emplean-

do como variables de agrupación la capacidad de siembra (piezas), el número de piezas sembradas por año, el número de siembras por año y el volumen de cosecha (piezas). Todas las variables fueron estandarizadas para evitar sesgos por diferencias de magnitud. El número óptimo de conglomerados se determinó mediante el método Ward (1963), utilizando el lenguaje R y el paquete stats, a través de la función hclust (R Core Team, 2024).

Con la información recabada se construyó un presupuesto empresarial siguiendo las técnicas de pre-

supuestación estándar aplicadas en acuicultura (Engle, 2010; Johnston et al., 2019), siguiendo el enfoque de Unidad Representativa de Producción (URP) propuesto por Richardson y Nixon (1985) y validado en estudios acuícolas por Agroprospecta (2010). La URP representa una granja típica de pequeña escala (< 5 ha) dedicada al cultivo de ostión japonés en BCS, y permite integrar la información técnica y económica en un modelo de producción representativo para la región. Los costos se clasificaron en fijos y variables, y se estimaron los

La mayoría de las Unidades de Producción Ostrícola (UPO) obtendrían ingresos que estarían por debajo de su costo total de producción, es decir que no obtendrían beneficio de sus ventas. Las únicas que en promedio estaría produciendo ingresos superiores a su costo son las UPO N3.

requerimientos de inversión en infraestructura y equipo, así como los costos de operación y mantenimiento. El modelo de evaluación es una hoja de cálculo que contiene las estimaciones de flujos de caja y presupuesto empresarial anual que estiman las ganancias promedio por empresa utilizando los costos de insumos calculados y la producción esperada (Parker et al., 2019). El presupuesto empresarial de la URP se empleó para estimar indicadores financieros clave como ingresos, costos unitarios y total, beneficio neto

y punto de equilibrio que permiten evaluar la viabilidad económica del cultivo de ostión.

Resultados

En total se analizó información de 44 UPO, que representan el 51% del total de UPO que operan en BCS. De estas, el 91% se ubica en el municipio de Comondú, 7% en Mulegé y 2% en La Paz. En cuanto a la forma de organización, 50% opera como cooperativa, 30% como persona física y 20% como empresa privada (Figura 2b). Todas las UPO se dedi-

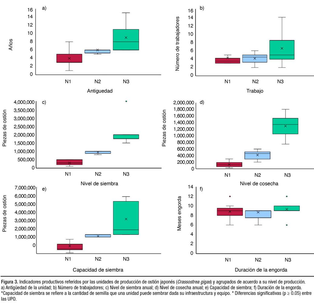
can exclusivamente al cultivo de ostión japones (C. gigas), implementando una maricultura de tipo extensiva, utilizando un sistema de cultivo en líneas con costales ostrícolas. Por su nivel productivo, las UPO presentan diferencias que permiten clasificarlas en tres tipos; N1 bajo (100,000 ≤ x ≤ 500,000 semillas), N2 medio (501,000 ≤ x ≤ 1,000,000 semillas), y N3 alto (≥ 1,000,000 semillas) (Figura 2a). Las N1 presentan una antigüedad promedio de 4 años de operación, las N2 de 6 años y las N3 más de 9 años (Figura 3a). En promedio,

Este desfase entre la cantidad de permisos y la producción efectiva evidencia la falta de consolidación técnica y económica del sector. La ausencia de indicadores económicos estandarizados impide evaluar la sostenibilidad financiera de las unidades productivas.

en las granjas trabajan entre 4 y 7 personas (Figura 3b).

Aunque existe una gran heterogeneidad en el nivel de siembra entre las UPO, el promedio general de siembra en la región es de 744,000 semillas anuales. Por su nivel de siembra, cosecha y capacidad, las granjas presentan diferencias significativas (p ≤ 0.05). Las UPO N1 presentan un nivel de siembra bajo (x = 304,000), las N2 un nivel medio (x = 950,000), y las N3 un nivel alto (x = 2,142,000) (Figura 3c). La proporción de supervivencia referida en la encuesta fue entre 40 y 55% al final de la engorda. Sin embargo, para efectos de cálculo de

este ejercicio, se consideró un promedio de supervivencia del 45%, que en voz de expertos puede considerarse aceptable y realista. La información no muestra diferencias significativas (p ≥ 0.05) entre el tiempo de duración de las engordas que tardan en promedio 9 meses. El volumen de cosecha promedio en la región es de 391,000 piezas anuales. Sin embargo, la gran mayoría (N1) están 66% por debajo del promedio regional y cosechan en promedio x = 133,440 anuales, las N2 se ubican ligeramente arriba con una cosecha anual x  = 415,000 piezas anuales y las N3 presentan cosechas anuales x  = 1,293,000 pie-

zas (Figura 3d). Todas las UPO indicaron tener material para sembrar mayor cantidad de semilla, aunque no la aprovechan. Las N1 utilizan en promedio solo el 37% de su capacidad (800,000 piezas), las N2 el 51% (1,800,000 piezas) y las N3 el 60% (2,142,000 piezas).

Estructura de costos e ingresos

Costos

Los resultados presentados no pretenden ser un cálculo exacto, más bien intentan identificar los conceptos principales que definen la estructura de ingresos-costos para una UPO promedio, y ofrecer una aproximación de los beneficios económicos esperados. Asumiendo una supervivencia del 45% al final de la engorda del ostión y que el total de la producción en cada nivel se logre comercializar al precio promedio identificado (USD 0.22 por pieza). Dependiendo de su nivel de producción, el costo anual total de operación para una granja ostrícola en BCS está en un rango entre USD 62,461 y USD 123,302 (Figura 4a). De este, alrededor del 60% corresponde al pago de mano de obra y un 28% al pago de materiales y consumibles (guantes, botas, cinchos, piola, gasolina, agua potable y alimentos). El 11% restante se distribuye al pago de servicios acuícolas (6%), a la renovación de permisos y certificaciones (2%), mantenimiento (2%) y servicios de comunicación (1%). Por su parte, los montos de inversión inicial varían dependiendo de la escala productiva a la que se desee iniciar (Figura 4a). Los valores varían entre USD 27,125 para UPO N1 y USD 189,098 para N3. El 99% de la inversión se destina principalmente en infraestructura (86%) para el montaje de líneas y artes de cultivo y una menor proporción en semilla (13%), y en equipo (Figura 4b). Al final, la inversión total requerida varía entre USD 69,321 y USD 154,055. En cuanto a su comercialización, el 84% de las UPO mencionaron que destinan la producción principalmente a mercados locales y regionales, un 11% a nivel nacional y solo el 5% exporta su producto (Figura 4c). El precio promedio del ostión japones indicado en la encuesta fue de USD 0.20 por pieza, comercializado en su mayo-

ría a pie de playa a través de intermediarios para mercados locales (Figura 4d).

Considerando los costos de los materiales, la mano de obra directa y los costos indirectos (mantenimiento y depreciación), el costo unitario del ostión presenta una disminución conforme aumenta el número de piezas cosechadas. Esto refleja un comportamiento típico de las economías de escala en la producción acuícola: Las UPO N1 y N2 presentan un costo unitario elevado (USD 0.51 y USD 0.22), con bajas cantidades de cosechado y un costo fijo de producción elevado que se distribuye entre pocas piezas. Situación opuesta a las UPO N3 (USD 0.13) que por su producción les permite reducir considerablemente el costo por ostión, haciendo más competitiva la actividad (Tabla 1).

Ingresos

Por supuesto, cada nivel obtiene ingresos diferenciados. La mayoría de las UPO obtendrían ingresos que estarían por debajo de su costo total de producción, es decir que no obtendrían beneficio de sus ventas. Las UPO N1 obtendrían de sus ventas únicamente el 42% (USD 29,357) de su costo total. Por su parte, las UPO N2 obtendrían el 97% (USD 86,952) de su costo. Las únicas que en promedio estaría produciendo ingresos

superiores a su costo son las UPO N3 (USD 284,554).

Bajo la estructura de costos promedio identificada en la encuesta, se pudo determinar que la cantidad de siembra requerida para que una UPO esté en equilibrio económico es de 400,000 piezas producidas que demandaría aproximadamente siembras de 700,000 semillas. Considerando este nivel, existen UPO que ejecutan su producción por debajo de este punto de refe-

rencia y les demanda un costo total superior a los ingresos esperados.

Discusión

La sustentabilidad y la rentabilidad dependen estrechamente de las condiciones productivas actuales de las UPO. La estructura de costos, los niveles reales de producción alcanzados y los ingresos asociados a la dinámica del mercado, muestran que la mayoría de las granjas ostrícolas operan con estructuras económicas

La rentabilidad en ostricultura depende de manera crítica de la escala productiva, es decir del volumen producido, la supervivencia y el precio de venta. Por ahora en Baja California Sur, solo un pequeño porcentaje de UPO presentan volúmenes que les permiten mejores márgenes.

frágiles, dependientes de bajos volúmenes de producción y mercados locales. La ausencia de información estandarizada sobre costos, ingresos y márgenes de rentabilidad impide a los productores planificar, gestionar financiamientos y mejorar su eficiencia operativa. (Guillén et al., 2025; Engle et al., 2021; Parker et al., 2019).

La brecha observada entre la cantidad de permisos otorgados y la producción efectiva coincide con lo documentado a nivel nacional, donde el potencial ambiental para la maricultura no se traduce de forma automática en viabilidad económica sin un acompañamiento técnico e institucional adecuado (CrespoGuerrero & Jiménez-Pelcastre, 2021; CONAPESCA, 2024). Este hallazgo sugiere que la política pública ha priorizado la expansión del número

de unidades productivas sin atender suficientemente los cuellos de botella que impiden la operación eficiente de las granjas, como la falta de infraestructura básica, la incorporación de innovaciones, la ausencia de asistencia técnica especializada y la limitada disponibilidad de financiamiento adaptado al sector (Contreras-Sánchez, 2023; Botta et al., 2020). En consecuencia, la limitada escala de la mayoría de las UPO, sumada a altos niveles de mortalidad, rezagos tecnológicos y falta de infraestructura, reduce de manera significativa la eficiencia productiva, principalmente en los sistemas que operan por debajo de su umbral económico óptimo (Chen et al., 2017).

En cuanto a rentabilidad, los resultados muestran que los niveles actuales de producción alcanzados por las granjas de pequeña escala en BCS no siempre logran cubrir los costos de operación, en especial cuando la mortalidad es elevada o cuando el nivel de siembra es insuficiente. De acuerdo con Engle et al. (2021), la rentabilidad en ostricultura depende de manera crítica de la escala productiva, es decir del volumen producido, la supervivencia y el precio de venta. Por ahora en BCS, solo un pequeño porcentaje de UPO producen volúmenes de siembra y cosecha que les permiten mejores márgenes unitarios.

El mercado constituye otro factor clave. En BCS, aunque existe una demanda creciente por ostión fresco y de cultivo, el precio se mantiene relativamente estable, lo que reduce la capacidad de las UPO para compensar incrementos en costos o pérdidas productivas. Además, la dependencia de intermediarios limita el acceso a precios diferenciados y restringe el desarrollo de modelos de venta directa. Sin políticas de comercialización o esquemas de agregación de valor, la rentabilidad permanece vulnerable (Chen et al., 2017; Engle et al., 2021).

Las condiciones productivas actuales evidencian una estructura fragmentada: poca capacidad instalada, ciclos de producción irregulares, falta de reposición consistente de semilla y limitados registros técnicos. Esta heterogeneidad se refleja en la amplia dispersión observada en los costos y en el desempeño entre grupos de productores. De no

mejorar estos factores, la actividad continuará operando por debajo de su potencial económico.

El crecimiento de la ostricultura en el noroeste de México no podrá consolidarse sin una base económica sólida. Es indispensable desarrollar indicadores de desempeño económico referentes a costos unitarios, márgenes de beneficio, productividad del capital, y valor agregado que permitan evaluar con objetividad la viabilidad de los modelos productivos actuales (Botta et al., 2020; Eangle et al., 2021; Parker et al., 2019). Solo con esta información será posible diseñar estrategias públicas y privadas que impulsen la sostenibilidad financiera del sector, favorezcan el acceso a financiamiento y fomenten la competitividad del ostión mexicano en mercados nacionales e internacionales.

En síntesis, la sostenibilidad y la rentabilidad del sector ostrícola en BCS dependen de transitar hacia modelos productivos más eficientes, técnicamente estandarizados y orientados al mercado. Consolidar los volúmenes de siembra, reducir mortalidades mediante mejores prácticas de manejo, consolidar esquemas colectivos de comercialización y mejorar la información económica del sector son elementos indispensables para fortalecer la viabilidad económica de la ostricultura y avanzar hacia un modelo verdaderamente sostenible en el largo plazo.

Las referencias y fuentes consultadas por el autor en la elaboración de este artículo están disponibles bajo petición previa a nuestra redacción.

Francisco Javier Mendoza-Portillo* y Víctor Ángel Hernández-Trejo Universidad Autónoma de Baja California Sur, Departamento Académico de Economía, La Paz, BCS, México. Correo electrónico: fj.mendoza@pos.uabcs.mx Phillipe Danigo-Le Livec Centro de Acuacultura Aplicada e Innovación. La Paz, BCS, México.

Cultivando la inteligencia marina: Avances y desafíos del pulpo del Pacífico mexicano

El Pacífico mexicano alberga un tesoro biotecnológico: los pulpos Octopus bimaculatus y Octopus bimaculoides. Este artículo aborda ocho años de trabajo en el Instituto de Investigaciones Oceanológicas de la Universidad Autónoma de Baja California para dominar su cultivo, abordando desde la nutrición de paralarvas hasta su estatus como seres sintientes, donde la ciencia busca equilibrar la demanda comercial con el bienestar animal para consolidar una acuicultura sostenible en México.

Descifrando a los pulpos

Las costas del Pacífico mexicano albergan especies de moluscos cefalópodos de gran interés ecológico, comercial y científico. Entre ellos destacan dos especies de pulpo: Octopus bimaculoides y Octopus bimaculatus. Ambas especies son conocidas por sus manchas azules llamadas “ocelos”, que se observan de forma característica en la piel, bajo los ojos, y que actúan, principalmente, como mecanismo de defensa. Los ocelos hacen que el pulpo parezca más grande cuando se siente amenazado por depredadores. Una diferencia importante entre ambas especies es la forma de estos ocelos: en el O. bimaculoides, el ocelo se compone de eslabones cerrados (cuadrangulares), mientras que en el O. bimaculatus, los eslabones son semiabiertos dando una apariencia de estrella (Figura 1). Ambas especies se distribuyen desde el sur de California hasta el Golfo de California, aunque existen reportes que indican que O. bimaculatus se distribuye hasta las costas de Panamá. Habitan tanto en la zona intermareal como a profundidades de hasta 50 metros. Históricamente se ha asociado a O.

Cortesía: Hilda Sánchez y Fernando Ruíz.

Las costas del Pacífico mexicano albergan especies de moluscos cefalópodos de gran interés ecológico, comercial y científico. Entre ellos destacan dos especies de pulpo: Octopus bimaculoides y Octopus bimaculatus.

bimaculatus con sustratos rocosos y a O. bimaculoides con sustratos lodosos o arenosos, pero la evidencia más reciente sugiere que

las dos especies pueden adaptarse al sustrato disponible. La temperatura óptima para estos animales es de entre 19 y 20°C y, como su

temperatura corporal depende del entorno, muestran mayor afinidad por ambientes fríos.

Además de las diferencias distintivas en sus ocelos, estas especies de pulpo también presentan rasgos característicos en su biología reproductiva:

3 O. bimaculoides tiene un ciclo de vida directo en el cual el desarrollo embrionario dura, aproximadamente, 65 días a una temperatura de 18ºC; los que eclosionan son organismos juveniles completamente formados y funcionales, que asemejan en forma y comportamiento a los pulpos adultos.

3 O. bimaculatus tiene un ciclo indirecto de un mes de incubación. De los huevecillos de esta especie eclosiona una paralarva, que es una fase de desarrollo planctónica presente en algunos cefalópodos. Morfológicamente es similar a los adultos, aunque carece de algunas características que adquirirá poco a poco. Las paralarvas son capaces de alimentarse por sí mismas y viven a la deriva en la columna de agua. Conforme crecen, completan su desarrollo, adquieren la morfología y proporciones de un adulto y, de manera gradual, abandonan la vida planctónica para habitar el fondo marino.

La dieta natural de estos pulpos es variada, pero prefieren los crustáceos y también consumen moluscos como las almejas. Los estudios sobre la nutrición del pulpo son fundamentales, tanto para entender su biología como para desarrollar su acuicultura, ya que el alimento que reciben en cultivo debe ser rico en proteínas y aminoácidos esenciales, y bajo en lípidos totales para favorecer su crecimiento.

Desde la perspectiva pesquera, O. bimaculatus es fundamental para Baja California, en vista de que representa entre el 80% y el 86% de las capturas de pulpo en el Golfo de California, especialmente en Bahía de Los Ángeles. Aunque el mercado principal es nacional,

Figura 1. Imagen de los ocelos presentes en Octopus bimaculatus y en Octopus bimaculoides. Fotos: Hilda Sánchez, Fernando Ruíz y Linda Marmolejo.

La acuicultura busca llevar parte de la vida marina al laboratorio, en donde es posible criar y estudiar distintas especies sin afectar a las poblaciones naturales, ayudando así a su conservación y al suministro responsable de alimentos.

existe el potencial de exportación a Estados Unidos, porque es un producto pesquero con alta demanda. En México, la Comisión Nacional de Acuacultura y Pesca (CONAPESCA) reporta que el valor de producción total de pulpo, considerando todas las especies capturadas, ocupa el cuarto lugar en importancia. En 2024 se capturaron 34,706 toneladas a escala nacional, de las cuales 250 toneladas provinieron de Baja California, por lo que este estado contribuye con casi el 1% de la pesquería nacional de pulpo.

Del mar al laboratorio

La pérdida acelerada de los recursos marinos se ha convertido en uno de los mayores retos ambientales y sociales del siglo XXI. La pesca excesiva, la pesca ilegal, la destrucción de hábitats y el daño que causa el cambio climático en las zonas costeras han provocado una disminución importante en la cantidad y variedad de especies en los océanos. Esta pérdida de la biodiversidad afecta el equilibrio de los ecosistemas, daña la economía de las comunidades costeras y pone en riesgo la seguridad alimentaria de quienes dependen del mar. Es por ello que la acuicultura busca llevar parte de la vida marina al laboratorio, en donde es posible criar y estudiar distintas especies sin afectar a las poblaciones naturales, ayudando así a su conservación y al suministro responsable de alimentos. Los pulpos forman parte de ese grupo de especies que se trajeron desde el mar al laboratorio con el fin de desarrollar su cultivo.

La investigación acerca del cultivo de pulpo comenzó en Japón en la década de 1960 y se consolidó en los 90 en España, enfocándose en la engorda de O. vulgaris silvestres, que crecieron de 750 g, aproximadamente, hasta 1 kg en un mes. En la actualidad, O. vulgaris es la única especie de pulpo en la que se ha logrado cerrar el ciclo de vida y con la cual la empresa española Nueva Pescanova ha logrado criar más de tres generaciones en cautiverio. Otros esfuerzos experimentales notables incluyen a O. maya en México, donde se ha logrado

obtener juveniles para el mercado gourmet, mientras que en Chile se han logrado avances importantes en la supervivencia de paralarvas con la especie Enteroctopus megalocyathus

Aunque cada especie presenta retos específicos, en pulpos con fase de paralarva, el principal desafío para superar este cuello de botella es la alimentación de las mismas. Lograr que, en esta fase temprana, los organismos se alimenten adecuadamente es un reto clave para el éxito de la producción y la engorda en cultivo. En cautiverio, las condiciones abióticas y bióticas son cruciales para el mantenimiento de los organismos y se resumen en los siguientes puntos:

1. Calidad del agua: los pulpos no toleran niveles elevados de amonio, nitritos o nitratos. Niveles de amonio > 0.25 mg/L intoxican a los organismos, generando palidez y aletargamiento.

2. Refugios: estos cefalópodos buscan sitios poco iluminados

y requieren refugios con una sola entrada, adecuada a su tamaño. Se recomienda colocar al menos dos refugios por individuo y enriquecer el ambiente, es decir, añadir objetos que puedan ser de interés para el organismo de manera que minimicen el estrés.

3. Comportamiento social: la literatura clásica define a estos moluscos como solitarios, principalmente, en su etapa adulta. En el Instituto de Investigaciones Oceanológicas (IIO), las observaciones en tanques de mantenimiento y cultivo sugieren que los individuos en fase de paralarva (O. bimaculatus) y juveniles (O. bimaculoides), pueden cohabitar un espacio sin problema alguno. En juveniles, esta convivencia se limita a un periodo de 1.5 - 2.0 meses antes de que los individuos se vuelvan agresivos y territoriales entre ellos.

Figura 3. Octopus bimaculatus adulto en su refugio en cautiverio.

Ocho años de investigación y desarrollo en cultivo de pulpos

El trabajo con pulpos en el IIO de la Universidad Autónoma de Baja California (UABC) comenzó alrededor del año 2015. En ese entonces se decidió trabajar con O. bimaculatus por: (1) su alto valor comercial y, (2) porque existe una pesquería establecida en Bahía de Los Ángeles, Baja California, la cual provee los organismos adultos que se llevan a condiciones de cautiverio.

Los ocho años de experiencia en el manejo y cultivo de este pulpo han permitido al grupo de Invertebrados Marinos alcanzar logros significativos, entre los que destacan los detallados en la Tabla 1.

A la fecha, el mayor reto biológico persiste en la fase de paralarva para O. bimaculatus, ya que la mayoría de estas no sobreviven más de 3 o 4 días en cautiverio, por lo que, la investigación se ha centrado en la búsqueda de un alimento que les proporcione los nutrientes necesarios. En este sentido, se trabaja experimentando con Artemia salina fresca y enriquecida, así como otras presas potenciales. En el caso de O. bimaculoides, que eclosionan como juveniles y buscan alimento como los pulpos adultos, se ha experimentado con diversas presas y alimento formulado, con la expectativa de contar con una dieta que permita la engorda de los mismos hasta la talla comercial.

Tras ocho años de investigación, esta línea de trabajo no solo ha generado importantes contribuciones en el saber científico, sino que también ha contribuido a la formación de recursos humanos a nivel de licenciatura y posgrado. En la actualidad, la mayoría de los profesionales formados con este importante modelo de estudio continúan trabajando con cefalópodos. Además, se trabaja colaborativamente con grupos internacionales con sede en Chile y España, buscando el intercambio de técnicas para el crecimiento en cautiverio de las paralarvas (reto que han superado en Chile con una alta supervivencia durante 14 días), el análisis del siste-

Cortesía: Alejandra Simiental.

Se requiere una colaboración estratégica donde la academia profundice en la resolución de los desafíos técnicos, el sector productivo participe en la validación de los protocolos, y el gobierno impulse los marcos de fomento que garanticen un desarrollo responsable.

ma inmunológico del pulpo a través de las células presentes en la hemolinfa y el estudio de patologías causadas por diversos parásitos.

Pulpos con bienestar

Los pulpos son considerados organismos sintientes (capaces de sentir dolor, sufrimiento, bienestar). Este estatus genera un fuerte debate ético sobre la posibilidad de escalar su cultivo a nivel comercial, en especial debido a las condiciones de confinamiento de alta densidad, asumiendo que son animales, teóricamente, solitarios.

Los investigadores que promueven la acuicultura de este recurso argumentan que el estudio en cautiverio es imprescindible para desarrollar sistemas de cultivo que sean respetuosos con el bienestar de los pulpos, optimizando las condiciones para reducir los niveles de estrés y el riesgo de enfermedades. No obstante, el cultivo de pulpo representa la mejor alternativa para:

1. La producción sostenible de este tipo de proteína animal como fuente de alimento.

2. La suplementación o repoblamiento de aquellos ecosistemas sobreexplotados por la pesquería mediante la introducción de crías producidas en cautiverio.

3. Profundizar en el estudio de la biología, comportamiento y el desarrollo de las neurociencias usando al pulpo como especie modelo.

Los siguientes pasos en la acuicultura del pulpo

Es importante destacar que cualquier investigación con estos organismos debe abordar los temas de patología y sanidad a la par del desarrollo biotecnológico. Este enfoque preventivo es fundamental para evitar que las enfermedades se desarrollen y se propaguen una vez que los animales sean confinados en sistemas de cultivo. Es por ello que los estudios a futuro deberán enfocarse en:

1. Nutrición de paralarvas: identificar y probar distintos tipos de presas vivas alternativas (como anfípodos o copépodos) que satisfagan los requerimientos nutricionales específicos de esta etapa de desarrollo, así como investigar también con dietas formuladas.

2. Sanidad animal: el IIO y sus colaboradores continúan desarrollando el repositorio de datos sobre parásitos de pulpo y los efectos patológicos que provocan, para asistir en el diagnóstico y prevención temprana de enfermedades en el cultivo.

3. Bienestar y manejo: se siguen investigando los límites de densidad, el temperamento social de las especies y las mejores prácticas de enriquecimiento ambiental para garantizar un sistema sostenible y respetuoso con los animales en cautiverio.

El conocimiento generado en el IIO sobre la biología, manejo y sanidad de O. bimaculatus y O. bimaculoides representa una oportunidad estratégica para sentar las bases de una acuicultura diversificada de cefalópodos en México. Para consolidar este camino y convertir el potencial en una realidad sostenible, se requiere una colaboración estratégica donde la academia profundice en la resolución de los desafíos técnicos, el sector productivo participe en la validación de los

protocolos, y el gobierno impulse los marcos de fomento que garanticen un desarrollo responsable, con un compromiso integral con el bienestar animal.

Agradecimientos

Al Dr. Juan Gabriel Correa Reyes, al Dr. Zaul García Esquivel y al Dr. Emyr Saul Peña Marín por sus valiosas aportaciones para alcanzar importantes metas del trabajo de investigación. De igual manera, se agradece el invaluable apoyo técnico del M.C. Marco Aurelio González Gómez, el M.C. Ramiro Hernández García, la M.C. Hilda Janet Sánchez Sánchez y la M.C. Poulette Carolina Álvarez Rosales quienes en distintos momentos han contribuido significativamente al bienestar de los pulpos con los que se trabaja. Además, a los estudiantes quienes siempre participan con entusiasmo en esta línea de investigación.

Sheila Castellanos Martínez, André Luiz Braga de Souza y Tatiana N. OlivaresBañuelos* Instituto de Investigaciones Oceanológicas, Universidad Autónoma de Baja California (https://ror. org/05xwcq167). Ensenada, Baja California, México. Correo electónico: tatiana.olivares@uabc. edu.mx

Luis M. Enríquez-Paredes Facultad de Ciencias Marinas, Universidad Autónoma de Baja California (https://ror.org/05xwcq167). Ensenada, Baja California, México.

Cortesía: Alejandra Simiental.

Residuos del procesamiento del camarón en alimentos acuícolas:

Valor nutricional, aplicaciones, desafíos y perspectivas

El aumento de la acuicultura y la escasez de harina de pescado han intensificado la búsqueda de ingredientes sostenibles para alimentos acuícolas. Los residuos del procesamiento del camarón, que pueden representar hasta el 65% de su biomasa, son ricos en proteínas y compuestos bioactivos. Su conversión en harinas, hidrolizados y ensilados ofrece una forma práctica de apoyar los principios de la economía circular y de reducir la huella medioambiental de la producción de alimentos acuícolas.

Por: Redacción de PAM*

La producción mundial de animales acuáticos alcanzó las 178 millones de toneladas métricas en 2020 y se prevé que siga aumentando debido al crecimiento de la población, el incremento de los ingresos, la urbanización y la

evolución de los hábitos alimenticios de las personas. Dado que la pesca de captura se ha mantenido estable durante décadas, esta demanda debe satisfacerse principalmente mediante la expansión de la acuicultura basada en la alimentación, lo que aumenta

la necesidad de alimentos acuícolas y de materias primas para su elaboración. La harina de pescado ha sido la principal fuente de proteínas en los alimentos acuícolas debido a su calidad nutricional, pero los altos precios y las preocupaciones sobre

La producción mundial de animales acuáticos alcanzó los 178 millones de toneladas métricas en 2020 y se espera que siga creciendo debido al aumento de la población, el incremento de los ingresos, la urbanización y los cambios en los hábitos alimenticios de las personas.

la sostenibilidad han impulsado la búsqueda de alternativas. La harina de soya se usa ampliamente, pero tiene limitaciones relacionadas con la salud de los peces y el impacto medioambiental, como la deforestación. Tales retos han impulsado la investigación de fuentes alternativas de proteínas alineadas con los principios de la economía circular, como los residuos generados en el procesamiento del camarón.

Estos residuos, que consisten en cabezas, exoesqueletos y colas, representan entre el 35% y el 65% de la biomasa del camarón y son ricos en proteínas y compuestos bioactivos.

Harina de camarón

El término “harina de camarón” se utiliza a menudo en la literatura para suscripciones@panoramaacuicola.com www.panoramaacuicola.com

En 2020, la producción mundial de camarón generó entre 3.5 y 6.5 millones de toneladas métricas de estos residuos, gran parte de los cuales se desecharon. A pesar de las numerosas investigaciones sobre los compuestos bioactivos, su uso en alimentos acuícolas no se ha explorado lo suficiente.

Productos derivados del camarón

En 2020, la producción mundial de camarones alcanzó aproximadamente los 10 millones de toneladas métricas (peso húmedo), de los cuales casi el 70% procedía de la acuicultura.

Durante la última década, la producción ha dependido en gran medida de una sola especie: el camarón blanco del Pacífico (Litopenaeus vannamei), que representó alrededor de 6.8 millones de toneladas métricas en 2022. La pesca y la acuicultura del camarón se concentran en Asia y, en

menor medida, en América del Sur, donde a menudo se procesa el camarón de manera inmediata después de su captura debido a los bajos costos laborales. El procesamiento se puede realizar a bordo de los buques pesqueros o en tierra en el caso del camarón de cultivo. El proceso inicial incluye lavado, cocción, clasificación y selección, lo que genera grandes volúmenes de aguas residuales que en la actualidad no son aptas para su uso en alimentos acuícolas (Figura 1). El camarón que no cumple los estándares de calidad se destina a otros usos, mientras que el camarón listo para el mercado se vende entero, sin cabeza o pelado. El camarón sin cabeza y el pelado generan una cantidad considerable de residuos sólidos que representan entre el 35% y el 65% del peso total del camarón, principalmente cabezas (Figura 2). La proporción de residuos varía en función de la especie y de la eficiencia del procesamiento. Para su uso en alimentos acuícolas, estos residuos deben procesarse para obtener productos como harina de camarón, hidrolizados o ensilados.

describir tanto la harina de cabezas de camarón como la harina de residuos de camarón, que contiene cabezas, exoesqueletos abdominales y colas. Independientemente del tipo de harina, es posible aplicar el siguiente proceso en su producción: lavado, secado, triturado/molienda y tamizado (Figura 3). A menudo, se realiza una etapa de lavado para eliminar las impurezas presentes. Es necesario secar el material en proceso para obtener una harina con un bajo contenido de humedad que prolongue su vida útil y mejore su formulación para alimentación acuícola. El secado solar, por congelación y en horno son ejemplos de métodos de secado utilizados en la industria. Luego, se puede realizar el triturado o molienda, posiblemente seguida de un tamizado, para obtener un tamaño de partícula uniforme que favorezca la formación de un alimento granulado de alta calidad.

Hidrolizado de camarón

El hidrolizado de camarón se obtiene mediante la hidrólisis de los residuos sólidos resultantes del procesamiento del camarón, en la que los aminoácidos unidos a las proteínas se solubilizan en agua. El proceso de producción involucra las

siguientes etapas: lavado, triturado o molienda, hidrólisis, filtración y centrifugación (Figura 4). Antes de la hidrólisis, se puede incluir una etapa de lavado para eliminar las impurezas o de triturado/molienda para aumentar la superficie de hidrólisis. Luego, se puede aplicar una hidrólisis química o enzimática para descomponer las proteínas en péptidos más cortos y aminoácidos. La hidrólisis química consiste en utilizar soluciones altamente ácidas o alcalinas, por lo general, en combinación con alta presión y/o alta temperatura.

Debido a los grandes volúmenes de residuos químicos que se producen durante la hidrólisis química, recientemente se ha optado por emplear la hidrólisis enzimática, la cual se basa en enzimas proteolíticas, como la quimotripsina, la papaína y la subtilisina, para descomponer las proteínas. Dado que las enzimas proteolíticas son muy específicas, la hidrólisis enzimática permite un mayor control sobre la calidad de los productos finales. A diferencia de la hidrólisis química, no da lugar a la descomposición de la quitina a menos que se añadan enzimas quitinolíticas. Tras la hidrólisis, se realiza una filtración que da como resultado

Los residuos del procesamiento del camarón, que consisten en cabezas, exoesqueletos y colas, representan entre el 35% y el 65% de la biomasa del camarón y son ricos en proteínas y compuestos bioactivos. En 2020, la producción mundial de camarón generó entre 3.5 y 6.5 millones de toneladas métricas de estos residuos, gran parte de los cuales se desecharon.

una fracción sólida y otra líquida. La fracción líquida se procesa posteriormente mediante centrifugación para obtener el hidrolizado, mientras que el precipitado se desecha. Para poder incluir el hidrolizado en los alimentos acuícolas, podría ser necesario un paso de concentración adicional para reducir el contenido de humedad.

Ensilaje de camarones

El ensilaje es un método tradicional para prolongar la vida útil de los residuos sólidos resultantes del procesamiento del camarón y, en ciertos casos, mejorar su valor nutricional. El proceso de producción de ensilado de camarón, abarca las etapas de: lavado, triturado o molienda, adición de ácido, carbohidratos fermentables o bacterias del ácido láctico (LAB, por sus siglas en inglés), mezcla, licuefacción y centrifugación (Figura 5). El lavado y triturado o molienda son pasos opcionales con funciones similares a las descritas anteriormente. Para producir ensilado, el pH debe ser inferior a 4.5, lo que se puede conseguir añadiendo ácidos (ensilado ácido) o mediante fermentación anaeróbica con bacterias lácticas (ensilado fermentado). En este último caso, las bacterias lácticas pueden convertir los carbohidratos fermentables en ácido láctico. Dado que los residuos sólidos resultantes del procesamiento del camarón contienen una cantidad baja de carbohidratos fermentables, a menudo se añaden a la mezcla fuentes suplementarias de

estos (por ejemplo, melaza, tapioca, etc.), a veces en combinación con un cultivo iniciador de bacterias del ácido láctico. Los ácidos que se añaden o que producen las bacterias del ácido láctico reducirán el pH, lo que dará lugar a la inhibición de microorganismos indeseables y a la conservación de la calidad nutricional.

Para garantizar un ensilado homogéneo, es necesario mezclar las materias primas con ácidos, azúcares fermentables y/o bacterias del ácido láctico. Durante la licuefacción tienen lugar diferentes procesos, como la producción de compuestos lipofílicos, la desnaturalización de proteínas y la solubilización de minerales. Después, los componentes líquidos y sólidos se pueden separar mediante centrifugación, lo que da como resultado una fracción sólida compuesta principalmente por quitina y minerales insolubles, y una fracción líquida que contiene proteínas, lípidos y carotenoides. La fracción líquida puede secarse para producir un concentrado más adecuado para la alimentación acuícola.

Composición nutricional

Los productos derivados del camarón tienen una composición nutricional diversa que respalda su uso potencial como ingredientes alternativos en alimentos acuáticos. En base seca, estos productos contienen entre un 33% y un 74% de proteína bruta, entre un 10% y un 28% de cenizas, entre un 1% y un 16%

de quitina y entre un 4% y un 8% de lípidos brutos (Tabla 1). También aportan una variedad de compuestos bioactivos, como aminoácidos esenciales, ácidos grasos poliinsaturados de cadena larga, polisacáridos, minerales y carotenoides, que aumentan su valor nutricional y funcional.

El contenido de proteínas y la composición de aminoácidos son fundamentales para evaluar los productos derivados del camarón como sustitutos de fuentes convencionales, como la harina de pescado y la harina de soya. Entre los productos derivados del camarón, los hidrolizados presentan la mayor calidad proteica, mientras que el ensilado suele contener niveles más bajos de proteína bruta debido a la degradación y dilución de las proteínas durante este proceso. Sin embargo, los métodos estándar basados en el nitrógeno que se utilizan para estimar el contenido de proteínas tienden a sobreestimar los niveles reales, ya que estos productos contienen cantidades significativas de nitrógeno no proteico, principalmente de quitina. Los estudios sugieren que la aplicación de un factor de conversión universal de nitrógeno a proteína de 6.25 sobreestima el contenido de proteína y que son más apropiados factores específicos del producto más bajos. A pesar de esta limitación, los hidrolizados de camarón presentan perfiles de aminoácidos favorables, con proporciones de aminoácidos esenciales

y no esenciales dentro del rango óptimo para las especies acuícolas, lo que favorece un uso eficiente del nitrógeno.

Los productos derivados del camarón contienen niveles moderados de lípidos, superiores a los de la harina de soya, pero inferiores a los de la harina de pescado. Su perfil de ácidos grasos incluye compuestos importantes desde el punto de vista nutricional, como el ácido eicosapentaenoico y el ácido docosahexaenoico, que están ausentes en los ingredientes de origen vegetal y son esenciales para muchas especies de cultivo. Además, las fracciones de residuos de camarón ricas en material de la cabeza proporcionan fosfolípidos y colesterol, nutrientes particularmente importantes para los crustáceos debido a su limitada capacidad de síntesis de novo y su papel en el crecimiento, la muda y la reproducción.

Aplicaciones en la alimentación acuícola

Los productos derivados del camarón se han estudiado ampliamente como fuentes alternativas de proteínas en los alimentos acuícolas,

La quitina es el principal polisacárido presente en los productos derivados del camarón y varía mucho en función de los métodos de procesamiento. Las condiciones extremas de pH y temperatura pueden degradar parcialmente la quitina y alterar su contenido. Por último, los productos derivados del camarón son ricos en minerales, en especial calcio, mientras que los niveles de fósforo son más bajos y, en parte, no están disponibles. En general, los productos derivados del camarón combinan nutrientes valiosos y compuestos funcionales, lo que justifica su inclusión estratégica en los alimentos acuícolas, en particular para las especies de crustáceos.

Los productos derivados del camarón presentan una composición nutricional diversa que respalda su uso potencial como ingredientes alternativos en los alimentos acuícolas. En base seca, estos productos contienen aproximadamente entre un 33% y un 74% de proteína bruta, entre un 10% y un 28% de cenizas, entre un 1% y un 16% de quitina y entre un 4% y un 8% de lípidos brutos.

ya que el camarón forma parte de la dieta natural de muchas especies acuáticas carnívoras y omnívoras. La investigación se ha centrado en la harina y el hidrolizado de camarón, ya que se dispone de poca información sobre el ensilado. En general, la mayoría de los estudios no muestran efectos significativos en el crecimiento cuando los productos derivados del camarón sustituyen de manera parcial a la harina de pescado o de soya, aunque los resultados varían en función de la especie y del porcentaje de inclusión. Los crustáceos suelen responder de manera más positiva que los peces, probablemente porque los productos derivados del camarón se ajustan mejor a sus necesidades nutricionales. Los niveles de inclusión elevados pueden afectar negativamente al crecimiento debido al menor contenido de aminoácidos esenciales, los altos niveles de cenizas, que diluyen la energía de la dieta, y la presencia de quitina.

Diversos estudios indican que los productos derivados del camarón pueden aumentar la ingesta de alimento, lo que sugiere una mayor palatabilidad y propiedades atrayentes potencialmente relacionadas con compuestos como aminoácidos libres, ácidos grasos, péptidos y esteroles. Aunque la digestibilidad de los nutrientes no se ha estudiado con tanto detalle, las pruebas revelan que la digestibilidad de las proteínas y los lípidos disminuye cuando los productos derivados del camarón superan el 25-30% de la dieta, sobre todo debido a la quitina. La quitina puede reducir la digestibilidad al limitar el acceso de las enzimas, acortar el tiempo de tránsito gastrointestinal y unir los nutrientes dentro de matrices indigestibles. Aunque muchas especies de peces y crustáceos producen enzimas quitinolíticas, se desconocen su eficacia y la digestibilidad real

de la quitina debido a limitaciones metodológicas.

La mayoría de los estudios no han evidenciado cambios significativos en la composición corporal total o muscular al incluir en la dieta productos derivados del camarón. No obstante, se ha demostrado que la harina de camarón mejora la pigmentación en algunas especies debido a su contenido en carotenoides, lo que podría aumentar su valor de mercado y reducir la necesidad de usar pigmentos sintéticos. En cuanto al rendimiento sanitario, las pruebas disponibles son limitadas y, en general, sugieren efectos neutros, aunque algunos estudios informan de una mejora de las respuestas inmunitarias innatas, probablemente relacionada con componentes bioactivos como la quitina y la astaxantina. Se necesitan más investigaciones para aclarar los mecanismos relacionados con la salud y optimizar las estrategias de inclusión.

Desafíos actuales y recomendaciones

La incorporación de productos derivados del camarón en los alimentos acuícolas plantea retos nutricionales, económicos y de seguridad. Desde el punto de vista nutricional, los altos contenidos de quitina y cenizas pueden limitar la digestibilidad y el rendimiento del crecimiento en niveles de inclusión elevados, aunque los niveles bajos de quitina pueden proporcionar efectos inmunomoduladores beneficiosos. El uso específico por parte de especies capaces de digerir la quitina, el fraccionamiento de los residuos del procesamiento y el tratamiento adicional para reducir la quitina y las cenizas pueden mejorar su aprovechamiento. Los tratamientos biológicos son los más eficaces para eliminar la quitina, ya que permiten alcanzar altas tasas de conversión

en condiciones suaves; no obstante, aún es necesario optimizar el costo y la eficiencia.

Desde el punto de vista económico, la competitividad depende del valor de mercado, los costos de procesamiento, transporte y disponibilidad durante todo el año. Aunque los residuos del procesamiento del camarón pueden ser baratos o gratuitos, el proceso adicional aumenta los costos y requiere una cuidadosa evaluación de la viabilidad. Entre las preocupaciones relativas a la calidad y la seguridad se incluyen el rápido

deterioro, la contaminación por patógenos y la acumulación de metales pesados o contaminantes orgánicos persistentes. Un procesamiento, almacenamiento, tratamiento térmico y control adecuados son esenciales para garantizar la seguridad del producto y mantener la calidad del alimento.

Conclusiones

Los residuos derivados del procesamiento del camarón constituyen una oportunidad como ingrediente alternativo en alimentos acuícolas.

El hidrolizado de camarón mostró el mayor valor nutricional y es el más adecuado para especies carnívoras de alto valor, mientras que la harina de camarón y el ensilado son más apropiados para especies omnívoras que toleran un mayor contenido de cenizas y quitina. El uso específico para cada especie, el fraccionamiento de residuos, la mejora del procesamiento y un almacenamiento adecuado pueden aumentar la viabilidad, reducir los costos y apoyar la producción sostenible de alimentos acuícolas.

Esta es una versión resumida desarrollada por el equipo editorial de Panorama Acuícola Magazine del artículo “SHRIMP PROCESSINGWASTE IN AQUACULTURE FEED:NUTRITIONALVALUE,APPLICATIONS, CHALLENGES,ANDPROSPECTS”escrito porMANONEGGINK,K. Technical UniversityofDenmark;GONÇALVES,R. S2AQUAcoLABEPPO–IPMAandCentre of Marine Sciences,Universidade do AlgarveyVILHELMSKOV,P. ─ Technical UniversityofDenmark. La versión original, incluyendo tablas y figuras, fue publicada en AGOSTO de 2024 en REVIEWS IN AQUACULTURE. Se puede acceder a la versión completa a través de https://doi. org/10.1111/raq.12975

Un aireador barato puede costarte miles de dólares en camarón

Entrevista con Rafael y Alexander Colka en CONACUA 2025

Durante CONACUA 2025, Panorama Acuícola Magazine conversó con Rafael Colka y Alexander Colka, representantes de Tecnoacua, sobre el papel de la aireación en la intensificación camaronera y las lecciones que Ecuador puede aportar a México. La conversación giró en torno a la experiencia, al mantenimiento y al por qué la calidad del equipo termina siendo una decisión económica, no solo técnica.

Por: Redacción de PAM*

Rafael Colka: intensificación y confiabilidad

Salvador Meza: Rafael, gracias por acompañarnos. Has trabajado de cerca con operaciones de camarón en toda Latinoamérica. ¿Cuál dirías que es el error más común que cometen los productores al intensificar su producción?

Rafael Colka: Gracias por la invitación. El error más común es creer que intensificar consiste simplemente en añadir más aireadores. La realidad es que cuando pasas de tener 20 o 30 aireadores a 300, 500 o incluso más, cambias completamente de juego. Ya no estás hablando solo de aireación; estás hablando de logística, mantenimiento predictivo, vida útil y, sobre todo, de la confiabilidad del equipo.

Salvador Meza: ¿Qué lecciones específicas pueden aprender México y Centroamérica de la experiencia de Ecuador en intensificación?

Rafael Colka: Ecuador pasó por toda la curva de aprendizaje en los últimos 10 a 15 años. Al principio, muchos productores compraron equipos solo basándose en el precio. Aprendieron a la mala que el mantenimiento y el recambio de aireadores de baja calidad pueden resultar más costosos que la inversión inicial en buenos equipos.

La lección más importante es esta: cuanto mayor sea el número de aireadores, más crítico se vuelve el mantenimiento. Con 20 aireadores, puedes darte el lujo de tener algunos de menor calidad. Con 200, no puedes. Necesitas equipos confiables, silenciosos y eficientes energéticamente, con una red de soporte técnico establecida.

Salvador Meza: En términos económicos, ¿cómo justificas la inversión en aireadores de alta calidad cuando hay opciones más económicas en el mercado?

Rafael Colka: Esa es la pregunta clave. Por ahorrarte 50 o 100 dólares por aireador, puedes estar arriesgando producciones de 500 mil o millones de dólares en camarón. Hagamos los números: si tienes 200 aireadores y uno falla a mitad de ciclo, no solo pierdes ese equipo. Pierdes oxígeno en un estanque crítico, potencialmente pierdes producción, tienes que hacer un reemplazo de emergencia, pagas sobrecostos por el envío urgente del repuesto...

Ahora multiplica ese escenario por el número de fallas que tendrás en equipos de baja calidad durante 5 años de operación. La cuenta simplemente no cierra a favor del equipo barato.

Salvador Meza: Para un productor que está considerando intensificar su operación hoy, ¿cuál sería tu consejo principal?

Rafael Colka: No hagas la intensificación a medias. Si vas a invertir

en más densidad, en mejor genética, en alimentación de precisión, entonces invierte también en el sistema de soporte de vida de esos camarones: la aireación.

Más aireación no es solo más equipos. Es planificación, es confiabilidad, son decisiones pensadas a largo plazo. Busca equipos con componentes de grado industrial, respaldo técnico comprobado y distribuidores que realmente entiendan la acuicultura semintensiva e intensiva.

Ecuador ya pagó la matrícula de ese aprendizaje. México y el resto de la región tienen la oportunidad de aprender de esa experiencia y hacerlo bien desde el principio.

Alexander Colka: ingeniería y componentes críticos

Salvador Meza: Alexander, pasemos ahora a los aspectos técnicos. Mencionaste que has visitado fábricas de aireadores. ¿Qué hace a un aireador realmente confiable en operaciones intensivas?

Alexander Colka: He visitado personalmente fábricas de aireadores en Asia, y puedo decirte que la diferencia está en los componentes que no ves. El corazón de un aireador es su caja reductora, la transmisión. Ahí es donde se define si ese equipo va a durar años o fallar en meses. Los mejores aireadores del mercado, como los que fabrica DIVA,

utilizan engranajes con aleaciones de grado automotriz: cromo, magnesio, titanio. Estos piñones se cortan con maquinaria alemana y japonesa de alta precisión. He visto esas máquinas en la planta de DIVA en China. La precisión del corte es milimétrica, y eso hace toda la diferencia.

Salvador Meza: ¿Qué diferencia práctica genera esa precisión en el día a día de una granja?

Alexander Colka: Primero, la operación es mucho más suave y silenciosa. Puede parecer un detalle menor, pero hay cajas reductoras en el mercado que producen un ruido tan alto que interfieren con los hidrófonos de los alimentadores

Si vas a invertir en más densidad, en mejor genética, en alimentación de precisión, entonces invierte también en el sistema de soporte de vida de esos camarones: la aireación.

automáticos en el agua. Esto ya ha pasado en varias granjas. Imagínate: inviertes en alimentación automática de precisión y resulta que el ruido de tus aireadores está alterando las lecturas acústicas. Es un problema costoso que se podría haber evitado.

Segundo, esa precisión en los engranajes extiende significativamente la vida útil del equipo. Cuando tienes cientos de aireadores operando 24/7, la diferencia entre un equipo que dura 3 años y uno que dura 8 o 10 años es determinante en tu rentabilidad.

Salvador Meza: Hablemos de los motores eléctricos. ¿Todos los motores son iguales?

Alexander Colka: Para nada. Aquí hay otro detalle técnico que muchos productores desconocen. Existen motores en el mercado diseñados para funcionar con dos tipos de voltaje, digamos, 220 V y 440 V.

Suena práctico, ¿verdad? El problema es que ese diseño implica un embobinado “a medias”, un intermedio que no es óptimo para ninguno de los dos voltajes.

DIVA, por ejemplo, tiene la política de fabricar un embobinado específico para cada voltaje. Cuando el embobinado está enfocado en un solo voltaje, es preciso, de mayor calidad y con mayor cantidad de cobre. Esto se traduce en una mayor eficiencia energética, menos calentamiento del motor y, nuevamente, una mayor vida útil.

Salvador Meza: ¿Qué otros aspectos técnicos deberían considerar los productores al evaluar los aireadores?

Alexander Colka: Además de la caja reductora y el motor, hay que revisar la calidad de los rodamientos, el sistema de sellado que protege los componentes internos de la

humedad y el polvo, y la calidad de las paletas. También es crucial que el fabricante cuente con un historial comprobado de innovación basada en retroalimentación real de campo. En el caso de DIVA, por ejemplo, cada mejora de diseño proviene de años de experiencia en operaciones reales, no solo de laboratorio. Eso es lo que diferencia a un fabricante serio de uno que simplemente copia diseños sin entender las exigencias de la acuicultura intensiva 24/7.

Salvador Meza: ¿Cómo puede un productor sin conocimientos técnicos profundos evaluar la calidad de un aireador antes de comprarlo?

Alexander Colka: Excelente pregunta. Primero, pregunta por las especificaciones de los materiales: ¿qué tipo de aleación usan en los engranajes?, ¿de dónde viene la maquinaria que corta estos engranajes?,

La producción semintensiva y sustentable de camarones no admite improvisaciones. Cada componente de tu sistema de producción debe pensarse estratégicamente. Los aireadores no son un gasto; son una inversión en la productividad y la sostenibilidad de tu operación.

¿el motor tiene embobinado específico para tu voltaje o es de diseño multivoltaje?

Segundo, pregunta por casos de éxito verificables. ¿Cuántos años llevan estos equipos operando en granjas reales? ¿Qué dicen los productores que ya los tienen?

Tercero, y esto es crítico: pregunta por el soporte técnico y la disponibilidad de repuestos. Un aireador excelente, sin repuestos disponibles localmente, es una mala inversión.

Perspectivas conjuntas: el futuro de la acuicultura intensiva

Salvador Meza: Rafael y Alexander, ¿qué tan importante es el factor del soporte técnico en la decisión de compra?

Rafael Colka: Es fundamental. No solo estás comprando un aireador; estás comprando la tranquilidad de saber que, si algo falla, hay alguien que puede responder rápido.

Alexander Colka: Exacto. Y no se trata solo de tener un número telefónico. Se trata de contar con técnicos que entiendan acuicultura y sepan qué significa una falla de oxígeno a las 3 de la mañana cuando tienes estanques llenos. En el caso de Tecnoacua, llevamos años trabajando en operaciones semintensivas e intensivas en Ecuador y Perú. Conocemos exactamente qué necesita cada tipo de granja.

Salvador Meza: ¿Qué tendencias ven ustedes en el mercado latinoamericano de acuicultura para los próximos años?

Rafael Colka: La intensificación va a continuar, sin duda. Cada vez hay más presión para producir más en menos espacio, con mayor eficiencia. Pero, vamos a ver una maduración del mercado, en la que los productores serán más sofisticados en sus decisiones de inversión.

Alexander Colka: Agregaría que veremos una mayor integración tecnológica. Los aireadores del futuro no solo van a mover agua; estarán integrados con sistemas de monitoreo, IoT y control automático basado en niveles de oxígeno en tiempo real. Ya estamos viendo esto en algunas operaciones avanzadas.

Salvador Meza: ¿Cómo se prepara Tecnoacua para ese futuro?

Rafael Colka: Trabajando con fabricantes como DIVA que están a la vanguardia de la innovación. No nos limitamos a vender equipos;

Un buen proveedor no solo te vende equipos; también te educa, te asesora y está contigo a largo plazo. Esa es la diferencia entre una compra y una sociedad estratégica.

El corazón de un aireador es su caja reductora, la transmisión. Ahí es donde se define si ese equipo va a durar años o fallar en meses.

estamos construyendo soluciones integrales para nuestros clientes.

Alexander Colka: Y mantener una comunicación constante con las granjas. Cada instalación nos enseña algo nuevo. Esa retroalimentación es la que nos permite seguir mejorando nuestras recomendaciones y servicios.

Salvador Meza: Para cerrar, ¿cuál sería su mensaje final para los productores que están leyendo esta entrevista?

Rafael Colka: La producción semintensiva y sustentable de camarones no admite improvisaciones. Cada componente de tu sistema de producción debe pensarse estratégicamente. Los aireadores no son un gasto; son una inversión en la productividad y la sostenibilidad de tu operación.

Alexander Colka: Y no tengas miedo de hacer preguntas técnicas difíciles a tus proveedores. Un buen proveedor no solo te vende equipos; también te educa, te asesora y está contigo a largo plazo. Esa es la diferencia entre una compra y una sociedad estratégica.

Salvador Meza: Rafael, Alexander, muchas gracias por compartir su experiencia y conocimientos con nuestros lectores.

Rafael y Alexander Colka: Gracias a ustedes. Siempre es un placer contribuir al desarrollo de nuestra industria.

Nota del Editor

Para más información sobre tecnología de aireación para acuicultura intensiva, los lectores pueden contactar a Tecnoacua, distribuidores autorizados de DIVA en Ecuador, Perú, Centroamérica y México, o visitar www.tecnoacua.com.ec y enviar sus preguntas o pedidos a esta dirección electrónica: rcolka@tecnoacua.com.ec

*Salvador Meza

Editor & Publisher de Panorama Acuícola Magazine.

Este artículo es patrocinado por: TECNOACUA

Calidad que se refleja en el cultivo: Cómo

elegir productos

que entregan resultados reales

Cuando la maduración de tilapia depende de decisiones críticas, la diferencia no está solo en la nutrición, sino en la calidad del producto que respalda cada resultado productivo. Elegir insumos fabricados bajo estrictos estándares, con certificaciones verificables y desempeño consistente en campo, es hoy una condición indispensable para lograr estabilidad reproductiva, reducir la variabilidad y maximizar el rendimiento biológico. La experiencia en Ecuador demuestra que la calidad no es un concepto abstracto: se mide en alevines viables, eficiencia reproductiva y resultados sostenibles.

Por: Redacción de PAM*

La acuicultura moderna, y en particular el cultivo de tilapia, atraviesa una etapa de alta exigencia técnica. Los productores ya no buscan únicamente incrementar volúmenes; buscan estabilidad, predictibilidad y resultados consistentes que permitan planificar la operación con menor riesgo. En este contexto, la fase de maduración y reproducción se ha convertido en uno de los puntos más sensibles del sistema productivo. Pequeñas variaciones fisiológicas pueden traducirse en grandes diferencias económicas.

Frente a este escenario, la elección de productos nutricionales y funcionales deja de ser una decisión secundaria. No todos los insumos ofrecen el mismo desempeño, y no todos están fabricados bajo los mismos estándares de calidad. La experiencia acumulada en pruebas de campo demuestra que la calidad del producto, entendida como formulación, control de procesos, certificaciones y consistencia, es un factor determinante para reducir la variabilidad reproductiva y mejorar los resultados reales en cultivo.

Este artículo se centra en la maduración de tilapia, analizando

cómo la incorporación de un producto de alta calidad certificada, como MegaTure-F, impacta directamente en los indicadores reproductivos. Los resultados obtenidos en una empresa acuícola reconocida de Ecuador confirman que cuando la calidad es el eje del desarrollo del producto, los beneficios se reflejan de manera clara y medible en el cultivo.

La maduración de tilapia: un proceso altamente sensible

La reproducción en tilapia es un proceso biológicamente demandante.

Elegir productos con certificaciones verificables no es una formalidad, es una garantía de desempeño. Cuando la formulación, los ingredientes y los procesos están controlados, la calidad se traduce en menor estrés fisiológico, mejor fertilidad y una reducción tangible de la variabilidad reproductiva.

Durante la maduración, los reproductores deben asignar grandes cantidades de energía a la formación de gametos, al mismo tiempo que enfrentan condiciones de confinamiento, manejo, fluctuaciones ambientales y estrés metabólico. Cualquier desequilibrio en este proceso impacta de forma negativa en la fertilidad, la calidad de los huevos y la viabilidad de los alevines.

Uno de los factores menos visibles, pero más determinantes en esta etapa, es el estrés oxidativo. La generación de radicales libres provoca daño celular en tejidos y glándulas reproductivas, obligando al animal a desviar energía para mecanismos de defensa, en lugar de destinarla a la reproducción. Este “costo oculto” reduce la eficiencia biológica del sistema y aumenta la variabilidad entre ciclos productivos. Reducir ese gasto energético defensivo no es solo una cuestión nutricional, sino de calidad del producto utilizado. Solo formulaciones estables, con ingredientes de alta pureza y procesos controlados, pueden intervenir de manera efectiva en estos mecanismos fisiológicos sin generar efectos secundarios.

Calidad del producto: el atributo que marca la diferencia Hablar de calidad en acuicultura no es una consigna comercial, sino una necesidad operativa. Los acuicultores valoran productos que funcio-

nen de la misma manera lote tras lote, mantengan su estabilidad en el tiempo y entreguen resultados medibles en condiciones reales de cultivo. Precisamente, este es uno de los atributos de valor más reconocidos por los clientes de Megasupply, según encuestas realizadas a usuarios y potenciales clientes.

MegaTure-F fue desarrollado bajo esta premisa: calidad como base del desempeño. El producto cuenta con cuatro sellos de certificación SGS, que avalan su fabricación bajo estrictos estándares de calidad, trazabilidad de ingredientes y control de procesos. Estas certificaciones no solo respaldan la formulación, sino que garantizan estabilidad, homogeneidad y seguridad en su aplicación continua.

En un mercado donde muchos productos prometen resultados, pero pocos los sostienen en el tiempo, la calidad certificada se convierte en un diferencial real. La consistencia del producto es clave para reducir la variabilidad productiva, uno de los principales desafíos en la reproducción de tilapia.

MegaTure-F: calidad aplicada a la fisiología reproductiva

MegaTure-F es una emulsión nutricional de alta calidad, formulada específicamente para animales en reproducción. Su mecanismo de acción se basa en la combinación precisa de vitaminas, minerales y

agentes antioxidantes, destacando el rol del selenio y la enzima glutatión peroxidasa, fundamentales para la neutralización del peróxido de hidrógeno (Figura 1).

Desde una perspectiva fisiológica, esta acción se traduce en:

3 Protección de células reproductivas.

3 Reducción del daño oxidativo.

3 Ahorro energético metabólico.

3 Mayor disponibilidad de energía para la producción de gametos.

Este enfoque no busca forzar la reproducción, sino optimizar la eficiencia biológica natural del animal. La calidad del producto garantiza que estos procesos se den de forma estable, sin picos ni caídas abruptas en el desempeño reproductivo.

Diseño de las pruebas de campo en Ecuador

Los resultados que sustentan este artículo provienen de una prueba de campo realizada entre 2023 y 2024 en una reconocida empresa acuícola de Ecuador. El estudio evaluó el impacto de MegaTure-F en dietas de reproductores de tilapia, bajo condiciones reales de cultivo.

Principales características del ensayo

3 Inicio: 25 de septiembre de 2023.

3 Dieta base: GISIS TILAPIA, alimento balanceado para reproductores (36% proteína).

3 Tratamiento: adición de MegaTure-F en dosis controladas (15 ml/kg).

3 Muestra: seis lotes de reproductores, con biomasa variable (pesos desde 267 g – 5,929 g).

El diseño experimental permitió comparar ciclos previos con ciclos tratados, evaluando indicadores clave de fertilidad, eclosión y producción total de alevines. La consistencia metodológica del ensayo refuerza la validez de los resultados obtenidos.

Resultados: cuando la calidad se traduce en números

Los resultados de la prueba de campo muestran mejoras claras y sostenidas en todos los indicadores reproductivos evaluados, confirmando que la calidad del producto tiene un impacto directo en el desempeño del cultivo.

Mejoraenlafertilidadde hembras

3 Incremento del 20% en el porcentaje de hembras que desovaron (Figura 2).

3 Aumento del 49% en el volumen de huevos recolectados (Figura 2).

Estos resultados reflejan una mayor eficiencia reproductiva, asociada a una mejor condición fisiológica de los reproductores.

Eficiencia de eclosión y viabilidad

3 Incremento del 54% en la tasa de eclosión viable.

3 Caso destacado: un lote pasó de 30% a 85% de eclosión.

3 La reducción de la variabilidad entre lotes fue uno de los hallazgos más

Megasupply ha construido su propuesta de valor sobre un principio claro: la calidad del producto es la base del desempeño en cultivo. Esa calidad, reconocida por sus clientes, se expresa en formulaciones estables, certificaciones internacionales y resultados consistentes bajo condiciones reales de producción.

relevantes, evidenciando la estabilidad que aporta un producto de alta calidad.

Producción total de alevines

3 Incremento del 89.9% en la cantidad total de alevines eclosionados.

3 Prácticamente se duplicó la producción utilizando la misma infraestructura.

Este punto es clave desde el punto de vista comercial: la calidad del producto permitió maximizar el rendimiento sin necesidad de inversiones adicionales en instalaciones.

Productividad normalizada

Se evidenció un aumento del 33% en alevines por kilogramo de hembra, lo cual confirma que el efecto no fue solo volumétrico, sino una mejora real en la eficiencia biológica del sistema.

Calidad,estabilidad y reducción de la variabilidad

Uno de los mayores desafíos en la reproducción de tilapia es la variabilidad entre ciclos productivos.Fluctuaciones en fertilidad, eclosión o supervivencia generan incertidumbre operativa y afectan la planificación.

Los resultados obtenidos con MegaTure-F demuestran que la calidad del producto contribuye directamente a:

3 Mayor estabilidad reproductiva.

3 Menor dispersión de resultados entre lotes.

3 Mayor previsibilidad en la producción de alevines.

Esto es especialmente valorado por los clientes de Megasupply, quienes reconocen en la calidad un atributo clave para reducir riesgos y mejorar la toma de decisiones productivas.

Megasupply: una empresa construida sobre la calidad

Los resultados de campo no son un hecho aislado, sino el reflejo de una filosofía empresarial. Megasupply ha construido su posicionamiento en el mercado acuícola sobre la base de la calidad de los productos que ofrece, la cual se materializa en formulaciones estables, certificaciones internacionales y respaldo técnico. Cuando la percepción del mercado coincide con los resultados en campo, el mensaje se vuelve creíble y efectivo.

Conclusiones

La experiencia en la maduración de tilapia en Ecuador confirma que la calidad del producto no es un concepto abstracto, sino un factor decisivo en los resultados productivos. La incorporación de MegaTure-F permitió mejorar la fertilidad, la eficiencia de eclosión y la producción total de alevines, reduciendo la variabilidad y aumentando la estabilidad del sistema reproductivo. Estos resultados, obtenidos bajo condiciones reales de cultivo, reflejan el impacto de un producto fabricado bajo estrictos estándares de calidad y respaldado por certificaciones internacionales. En acuicultura, elegir calidad no es un costo adicional: es una inversión que se traduce en resultados reales y sostenibles.

Este artículo es patrocinado por MEGASUPPLY.

Esta es una versión resumida desarrollada por el equipo editorial de Panorama Acuícola Magazine de los artículos “ESTUDIO DE CASO:OPTIMIZACIÓN DE ÍNDICES REPRODUCTIVOS EN TILAPIA”y“MEGATURE-F:EMULSIÓN NUTRICIONAL PARA CAMARONES Y PECES EN MADURACIÓN SEXUAL” escrito por MEGASUPPLY

Innovación en la nutrición del Litopenaeus vannamei: Impacto de la suplementación con Pichia guilliermondii sobre el crecimiento y rentabilidad

La industria camaronera global enfrenta el desafío constante de optimizar la eficiencia productiva manteniendo la sostenibilidad económica y ambiental. El presente artículo analiza en profundidad el efecto de la inclusión de suplementos alimenticios a base de Pichia guilliermondii sobre el rendimiento del camarón Litopenaeus vannamei en condiciones normales de cultivo.

Por: Redacción de PAM*

Introducción

La acuicultura del camarón blanco del Pacífico (Litopenaeus vannamei) se ha consolidado como uno de los pilares de la producción de proteína animal a escala mundial. Sin embargo, la intensificación de los sistemas de cultivo ha traído consigo retos significativos. Los productores se enfrentan a una presión constante por reducir los días de cultivo para minimizar riesgos sanitarios y operativos, al tiempo que buscan maximizar el peso final a la cosecha, variable que determina directamente el precio de venta en el mercado internacional.

En este escenario, la nutrición juega un papel preponderante. El alimento balanceado representa históricamente entre el 50% y el 60% de los costos operativos totales de una granja camaronera. Por consiguiente, cualquier estrategia nutricional que logre acelerar el crecimiento sin aumentar los costos de conversión alimenticia es recibida con gran interés por la industria.

Era de los aditivos funcionales

En la última década, la investigación y desarrollo (I+D) en nutrición acuícola ha migrado del simple balance de macronutrientes hacia la incor-

poración de aditivos funcionales. El objetivo ya no es solo “alimentar” al animal, sino potenciar su fisiología digestiva e inmunológica.

Entre estos aditivos, las levaduras y sus derivados han ganado espacio. Específicamente, existe un interés creciente en especies no convencionales como Pichia guilliermondii. A diferencia de la tradicional Saccharomyces cerevisiae, P. guilliermondii presenta características morfológicas y de composición de pared celular únicas, que pueden ofrecer ventajas en términos de palatabilidad y biodisponibilidad de nutrientes.

El desarrollo de suplementos destinados a la alimentación de camarones debe pasar por rigurosas pruebas de validación en condiciones que simulen la realidad productiva. El objetivo central del estudio fue evaluar el impacto de la incorporación de Aquatrax, un aditivo probiótico de nueva generación a base de P. guilliermondii desarrollado por ADM, en la dieta del L. vannamei.

La hipótesis de trabajo planteó que la inclusión de este aditivo, incluso en dosis bajas (0.1%), podría modular el comportamiento alimentario y el metabolismo del camarón, resultando en un mayor rendimiento en peso bajo condiciones normales de cultivo, tanto en sistemas controlados (tanques) como en sistemas semiintensivos (jaulas en estanques).

Materiales y métodos

Para garantizar la robustez de los resultados y descartar el efecto de

variables ambientales puntuales, se diseñó un esquema experimental basado en dos ensayos independientes con diseños similares, pero condiciones de alojamiento distintas.

Diseño experimental

Ensayo 1: validación en ambiente exterior (simulación de granja):

3 Sujetos: camarones L. vannamei con un peso corporal inicial promedio de 7.0 g.

3 Infraestructura: se utilizaron jaulas de 2 m³ instaladas dentro de estanques al aire libre. Este entorno permite una interacción natural con la columna de agua y las fluctuaciones ambientales típicas de una granja comercial.

3 Densidad: se estableció una población de 160 camarones por jaula (80 camarones/m³), representativa de sistemas intensivos.

Ensayo 2: validación en ambiente controlado (laboratorio/interior):

3 Sujetos: camarones L. vannamei con un peso corporal inicial promedio de 4.6 g (juveniles en fase de preengorda).

3 Infraestructura: tanques interiores de 1,000 L.

3 Densidad: fue de 80 camarones por tanque, permitiendo un control más estricto de las variables de calidad de agua.

Tratamientos dietéticos

En ambos ensayos se compararon dos regímenes alimenticios:

3 Dieta control (básica): una formulación estándar comercial balanceada para los requerimientos nutricionales de la especie.

3 Dieta experimental: compuesta por la misma dieta básica suplementada con 0.1% de P. guilliermondii.

Es crucial destacar el método de inclusión. Aquatrax, un aditivo de P. guilliermondii desarrollado por ADM, se incorporó a la mezcla antes del proceso de granulación (pelletizado). Esto con la finalidad de asegurar una distribución homogénea del aditivo en cada pellet y garantizar que el suplemento esté protegido dentro de la matriz del alimento, minimizando la lixiviación (pérdida de nutrientes en el agua) antes de ser consumido por el camarón.

Las dietas consistieron en alimentos granulados con propiedad de hundimiento, esenciales para el hábito bentónico de alimentación del L. vannamei.

Manejo y duración

3 Frecuencia de alimentación: los organismos fueron alimentados tres veces al día, una práctica estándar para optimizar la ingesta y reducir el desperdicio.

3 Réplicas: se establecieron ocho réplicas (jaulas o tanques) para cada tratamiento en ambos ensayos, lo cual confiere un alto poder estadístico al estudio (n = 8).

3 Duración: el periodo experimental fue de 48 días para ambos ensayos, tiempo suficiente para

observar diferencias significativas en las tasas de crecimiento durante la fase lineal de desarrollo del camarón.

Recolección de datos y análisis

Se implementó un protocolo riguroso de monitoreo:

3 Biometría: se pesó la biomasa total. Se realizó el conteo de individuos al inicio y al final del ciclo para determinar la supervivencia y el peso medio.

3 Consumo y conversión: tras cada evento de alimentación, se retiró y cuantificó el alimento no consumido. Esto permitió calcular con precisión la ingesta real y el factor de conversión alimenticia (FCR, por sus siglas en inglés).

3 Calidad de agua: se midieron rutinariamente los parámetros físicoquímicos para asegurar condiciones óptimas y uniformes entre tratamientos.

3 Análisis estadístico: los datos se sometieron a un Análisis de Varianza (ANOVA) para evaluar el efecto del tratamiento, utilizando la prueba de Tukey a posteriori para la diferenciación de medias, estableciendo la significancia estadística en p < 0.05.

Resultados

Los resultados obtenidos en ambos ensayos mostraron una consistencia notable, reforzando la validez del efecto biológico del suplemento Aquatrax, a base de P. guilliermondii.

Ganancia de peso corporal

El hallazgo más relevante del estudio fue el incremento significativo

en la ganancia de peso de los camarones tratados.

En el Ensayo 1 (sistema de jaulas/exterior), los camarones alimentados con la dieta suplementada alcanzaron un peso final significativamente mayor. La ganancia media de peso fue un 9% superior (p < 0.05) en comparación con el grupo control. La Figura 1 muestra que los camarones suplementados alcanzaron los 16.9 g de peso, mientras que en el control fue de 15.5 g.

En el Ensayo 2 (sistema de tanques/interior), se observó una tendencia similar y ligeramente superior. El grupo con P. guilliermondii registró un aumento de peso un 10% mayor (p < 0.05) respecto a la dieta básica. Los datos indican un peso cercano a los 17.1 g para el grupo tratado frente a 15.6 g en el control (Figura 1).

Esta consistencia (+9% y +10%) en dos entornos distintos sugiere

que el efecto del aditivo es robusto y no depende exclusivamente de las condiciones ambientales (como la presencia de productividad natural en estanques).

Consumo de alimento (palatabilidad)

Un mecanismo clave identificado en el estudio fue la modificación del comportamiento alimentario.

3 En el Ensayo 1, el consumo medio diario de alimento aumentó un 11% (p < 0.05).

3 En el Ensayo 2, el incremento fue aún más marcado, con un 16.2% (p = 0.048) más de consumo.

Estos datos indican que la inclusión de Aquatrax actúa como un potente atrayente o estimulante del apetito. En la acuicultura, donde el alimento no consumido se deteriora rápidamente y contamina el agua, lograr que el camarón consuma

el alimento de manera más voraz y rápida es una ventaja operativa crítica.

Factor de conversión alimenticia

Un aspecto interesante de los resultados es el comportamiento del FCR. El estudio reportó que no hubo diferencias significativas en el FCR entre los grupos.

Desde una perspectiva técnica, este es un resultado positivo. Por lo general, cuando un organismo aumenta drásticamente su ingesta, la eficiencia con la que convierte ese alimento en músculo puede disminuir (empeorando el FCR).

En este caso, los camarones comieron más y crecieron proporcionalmente. Mantuvieron la eficiencia metabólica intacta. Esto implica que el peso extra ganado no fue solo grasa o agua, sino tejido corporal estructurado, manteniendo la relación costo-beneficio del alimento.

Discusión

La suplementación con P. guilliermondii al 0.1% ha demostrado ser una herramienta eficaz para mejorar el rendimiento productivo del L. vannamei. La consistencia de los resultados entre los sistemas de jaulas (que imitan la producción comercial) y los tanques interiores (control experimental) valida la tecnología para su aplicación en diversos modelos de producción.

El mecanismo de acción parece estar fuertemente ligado a la palatabilidad. Al incrementar el consumo voluntario de alimento (+11% a +16.2%), el camarón dispone de una mayor cantidad de nutrientes y energía neta para el crecimiento somático, una vez cubiertos sus requerimientos de mantenimiento. Es posible que componentes específicos de la pared celular de P. guilliermondii (betaglucanos, mananos) o metabolitos intracelulares actúen estimulando los quimiorreceptores del camarón.

Para el productor acuícola, un incremento del 9-10% en el peso final tiene implicaciones financieras directas y profundas:

1. Reducción del ciclo de cultivo: para alcanzar un peso objetivo de mercado (ej. 18 g), los camarones suplementados llegarían a la meta varios días o semanas antes que el grupo control. Esto reduce el tiempo de exposición a riesgos (enfer-

Aquatrax es un aditivo probiótico de nueva generación que contiene Pichia guilliermondii, una levadura especializada que optimiza la salud intestinal y fortalece la respuesta inmune en cultivos acuícolas.

medades, eventos climáticos) y disminuye los costos operativos fijos (energía, mano de obra, bombeo, entre otros).

2. Mayor biomasa a la cosecha: si se mantiene fija la duración del ciclo, el productor obtendrá camarones de mayor tamaño. En el mercado del camarón, el precio no es lineal; las tallas más grandes se pagan a un precio significativamente mayor por kilogramo.

3. Retorno de la inversión: dado que el FCR se mantuvo estable, el costo extra del alimento se debe únicamente al mayor volumen consumido y al costo del aditivo. Sin embargo, el valor de la biomasa adicional generada suele superar con creces este costo incremental, proporcionando un retorno sobre la inversión positivo.

Conclusión

A partir de los resultados de este estudio, se concluye que la adición de Aquatrax, desarrollado por ADM a base de P. guilliermondii, a la dieta básica de L. vannamei en una dosis de inclusión del 0.1% se asocia con una mejora estadística y zootécnica significativa en la ganancia de peso corporal pro-

medio, independientemente de su aplicación en diversos modelos de producción.

La incorporación de este suplemento en las estrategias nutricionales de granjas camaroneras, en especial durante las fases de engorda cuando la maximización de la tasa de crecimiento es el objetivo prioritario, permitiría aprovechar la capacidad de este aditivo para estimular el consumo, sin sacrificar la eficiencia de conversión, lo cual la posiciona como una tecnología prometedora para la acuicultura sostenible y rentable de próxima generación.

Este artículo es patrocinado por: ADM

En todo nuestro alimento, APICAMARÓN , utilizamos AQUATRAX, por sus excelentes resultados.

Este artículo ha sido desarrollado por el equipo editorial de Panorama Acuícola Magazine basado en el Boletín Técnico Nº 004, “IMPROVED GROWTH UNDER NORMAL CONDITONS IN SHRIMP FED Pichia guilliermondii” publicado en MAYO de 2022 en AQUATRAX

NALTECH obtiene la certificación ASC:

Un hito para la nutrición acuícola sostenible en América Latina

La compañía logra uno de los reconocimientos internacionales más exigentes en acuicultura responsable, consolidando su liderazgo en sostenibilidad, innovación y trazabilidad.

En un contexto global donde la sostenibilidad ha pasado de ser un valor agregado a un requisito indispensable, NALTECH ha alcanzado un logro que marca un antes y un después: la obtención de la certificación Aquaculture Stewardship Council (ASC).

Este sello internacional, reconocido por la solidez de sus estándares y la rigurosidad de sus procesos de evaluación, confirma que las operaciones de la compañía cumplen con los más altos criterios de responsabilidad ambiental, social y de trazabi-

lidad, posicionándola como una de las primeras empresas de nutrición acuícola en América Latina en alcanzar esta distinción.

Este hito respalda el desarrollo de un portafolio nutricional que acompaña cada etapa productiva: para camarón, LarvaCare en etapa larvaria, Aquatech Inicios en precría y Aquatech Engorde para la etapa de crecimiento; para trucha, Aquatech Inicios y Engorde, todo bajo un enfoque técnico, trazable y alineado con estándares internacionales de sostenibilidad.

La certificación ASC: un estándar de referencia mundial El Aquaculture Stewardship Council (ASC) fue fundado en 2010 por el World Wide Fund for Nature (WWF) y la Dutch Sustainable Trade Initiative (IDH), con el objetivo de establecer normas independientes y verificables que promuevan prácticas acuícolas responsables a nivel global.

La certificación ASC representa un enfoque integral de producción que considera el entorno natural, el bienestar de las especies, la

“Este proceso nos exigió mirar cada rincón de nuestra operación con una lupa distinta. La certificación ASC no se obtiene ajustando procedimientos aislados: implica repensar cómo producimos, cómo nos relacionamos y cómo proyectamos el negocio hacia el futuro. Este logro es el resultado de un trabajo colectivo y coherente con nuestra visión”. Víctor Camacho, gerente general de NALTECH

trazabilidad y la relación con las comunidades que forman parte de la cadena productiva.

Para obtenerla, las empresas deben someterse a auditorías externas realizadas por organismos acreditados y demostrar el cumplimiento de criterios estrictos a lo largo de toda su operación, desde el origen de los insumos hasta la entrega del producto final.

Un proceso que transformó la empresa desde adentro

La obtención del sello ASC es el resultado de un proceso profundo y transversal que involucró a todas las áreas de NALTECH. Antes de iniciar la certificación, la compañía realizó un diagnóstico integral de sus operaciones para identificar oportunidades de mejora en infraestructura, procesos, trazabilidad y gestión ambiental.

A partir de ese análisis, se implementó un plan de transformación estructurado que incluyó adecuaciones técnicas y operativas, fortalecimiento de los sistemas de trazabilidad, capacitación transversal del personal y auditorías internas y externas, asegurando el cumplimiento riguroso de cada indicador evaluado.

Según Víctor Camacho, gerente general de NALTECH: “Este proceso nos exigió mirar cada rincón de nuestra operación con una lupa distinta. La certificación ASC no se obtiene ajustando procedimientos aislados: implica repensar cómo producimos, cómo nos relacionamos y cómo proyectamos el negocio hacia el futuro. Este logro es el resultado de un trabajo colectivo y coherente con nuestra visión”.

Impacto para la industria y los mercados internacionales

La certificación ASC obtenida por NALTECH tiene un impacto que trasciende a la propia compañía. En mercados como la Unión Europea, Estados Unidos y Asia, importadores, cadenas de supermercados y consumidores finales priorizan productos respaldados por certifica-

ciones reconocidas, que garantizan trazabilidad, transparencia y cumplimiento ambiental y social.

Este reconocimiento fortalece el rol de NALTECH como socio estratégico de productores y empacadoras, ofreciendo alimentos balanceados que no solo cumplen con exigencias nutricionales, sino que también acompañan a sus clientes en sus propios procesos de certificación y acceso a mercados de mayor valor.

De acuerdo con David Arévalo, gerente comercial de NALTECH: “La sostenibilidad se construye a partir

de decisiones coherentes, procesos consistentes y compromisos sostenidos en el tiempo. Con la certificación ASC, fortalecemos nuestro estándar y apostamos a que nuestros clientes también puedan consolidar el suyo frente a mercados cada vez más exigentes”.

Un mensaje claro para la acuicultura latinoamericana

La acuicultura en América Latina enfrenta desafíos crecientes, desde el cambio climático y la presión sobre los ecosistemas hasta la nece-

Sobre

Empresa del Grupo Redondos (Perú), especializada en nutrición acuícola que desarrolla soluciones para todas las etapas productivas del camarón y la trucha. Con presencia activa en Ecuador, Perú, Colombia y otros mercados de la región, ofrece un portafolio técnico que integra nutrición, eficiencia productiva y sostenibilidad, con una visión de largo plazo basada en la trazabilidad y la mejora continua.

En opinión de Victoria Vivas, jefe de Gestión y Aseguramiento de la Calidad: “La certificación ASC valida nuestro camino y nos desafía a seguir elevando el estándar de la nutrición acuícola en la región”.

Pilares evaluados por el estándar ASC

• Ingredientes responsables, trazables y sostenibles.

• Gestión ambiental eficiente, con uso optimizado de recursos.

• Calidad e inocuidad garantizadas, bajo altos estándares.

• Compromiso social, con prácticas laborales responsables.

• Cumplimiento y trazabilidad total, en toda la cadena.

sidad de competir en mercados sofisticados sin perder rentabilidad.

En este contexto, el caso de NALTECH demuestra que es posible integrar estándares globales de sostenibilidad sin sacrificar eficiencia productiva ni competitividad.

Un paso firme en una ruta de largo plazo

Para NALTECH, la certificación ASC no representa un punto de llegada, sino un hito dentro de un proceso continuo de mejora.

El estándar contempla auditorías periódicas y revisiones permanentes que impulsan la evolución constante de las prácticas operativas, técnicas y sociales.

En opinión de Victoria Vivas, jefe de Gestión y Aseguramiento de la Calidad: “La certificación ASC valida nuestro camino y nos desafía a seguir elevando el estándar de la nutrición acuícola en la región”.

Este avance refuerza la propuesta de valor de la compañía y su compromiso de largo plazo con clientes y mercados, bajo un propósito que guía cada decisión:

“Alimentamos confianza, cultivamos futuro”

Este artículo es patrocinado por: NALTECH

La Tabla Roja: ¿Oportunidad o estancamiento?

A 24 años de la desaparición de su Dirección General, la acuicultura en México enfrenta un estancamiento crítico. Marco Ross analiza la Tabla Roja, revelando una preocupante falta de continuidad en políticas públicas frente al éxito global de países como Ecuador. Descubra por qué la simplificación de trámites y una visión de inversión real son urgentes para transformar este sector estratégico en una potencia alimentaria.

Por: Marco Ross*

Una preocupación legítima de los seres humanos, sin lugar a dudas, es la alimentación. Somos una población de 8,200 – 8,300 millones con una tasa de crecimiento de 0.85%, y todos requerimos alimento. Las fuentes tradicionales de alimento fueron en sus inicios la cacería y la pesca, para pasar a la agricultura y la ganadería. Y si bien la acuicultura existe desde hace cientos de años, esta ha sido la menos popular. Sin embargo, la acuicultura ha

ido avanzando y hoy ya se reconoce como otra alternativa. La producción pesquera ya está superada a nivel mundial por la producción acuícola. México y la acuicultura: un sector sin continuidad clara En México, también se consideraba importante la actividad acuícola. Era atendida desde la Secretaria de Pesca, donde hasta 2001, se tuvo la última Dirección General de Acuacultura. Después se creó la Comisión Nacional de Acuacultura y

Pesca (CONAPESCA), que establecía un nuevo modelo de atención al sector de acuicultura y pesca a través de este organismo administrativo desconcentrado. Se publica incluso como parte de los cambios la nueva Ley de Acuacultura y Pesca Sustentable (DOF 24 de julio de 2007). A 24 años de la desaparición de la Dirección General de Acuacultura y revisando en particular los últimos 10 años, con el objetivo de conocer su evolución, nos encontramos con la Tabla Roja.

Lectura por especies: lo que crece y lo que cae Camarón:el gigante

El camarón es la especie principal, sin duda. Es sobre la cual se tiene mayor infraestructura, principalmente en Sonora, Sinaloa, Nayarit y Colima, pero existe también desarrollo en Baja California Sur y Tamaulipas.

Sonora ha avanzado en procesos de electrificación, a partir de un impulso de inversión gubernamental en 2009. Sinaloa, sin embargo, aún está pendiente.

¿Qué más hacemos para fortalecer al sector en su conjunto? ¿Desazolve de tomas de agua para asegurar su continuidad? ¿Investigación? ¿Capacitación? ¿Inteligencia de mercados? Consultemos a los involucrados y asegurémonos de obtener respuestas que se puedan incluir en un plan de trabajo.

Maricultura:proyectos aislados,no hay política pública

Maricultura de peces marinos; 3 empresas, 4 especies. Diríamos, que, totoaba y pargo, una empresa, Jurel, otra, ambos proyectos en La Paz, Baja California Sur, integrados verticalmente, desde producción de cría y engorda hasta comercialización. La tercera empresa, un proyecto de maricultura en Ensenada, Baja California, de trucha (en agua de mar), igual con producción y engorda. Más parecen proyectos aislados que resultados de una política pública.

Ostión:potencial ecológico, resultados a la baja Ostión, ¡ay, pobre ostión! Con muchas ventajas ecológicas, fácil de producir, pero perdido entre la gestión y costos de certificación y aprobación de cuerpos de agua para su producción. Proyectos exitosos aislados; pero el resultado es una baja de 16,267 toneladas. Y algo de mejillón con éxito, pero igual escasos ejemplos.

¿Subregistro o estancamiento real?

La Tabla Roja es la información oficial. Si hay subregistro, mal. Si no hay producción, entonces ¿cómo hacemos para promoverla?, ya que,

el tema tecnológico está mayormente resuelto.

¿Será ya momento de dar un impulso serio a la actividad como se realizó con otras actividades del sector primario? No daré ideas; creo que lo correcto sería escuchar a todas las voces: productores, inversionistas, universidad y centros de investigación y, de ser necesario, ir por ellos.

El cuello de botella: permisos, trámites y costos

¿Será que la estructura de promoción federal de la acuicultura (de haber) ya ha sido rebasada? ¿No dispone de personal o presupuesto? ¿Cuándo veremos implementado el Plan Nacional de Acuacultura?

Cualquiera que sea la razón, entonces descentralizar y simplificar hacia los estados puede ser una alternativa, a fin de permitir que las iniciativas locales puedan prosperar.

¿Tienes dudas sobre a qué me refiero con simplificar? Revisa el guion para la gestión de un permiso de acuicultura comercial. ¡¿De verdad se requiere ese nivel de información?!

Acuicultura no es aprovechamiento: es inversión y exige rentabilidad

La acuicultura es un sector donde todo es inversión. No es un aprovechamiento, como sería la pesca. No es una actividad que deba verse como desarrollo de traspatio.

Desde la selección del predio, la instalación de infraestructura, la gestión, y hasta los insumos, todo es tiempo e inversión significativa. Desde la siembra, hasta proceso y comercialización. Hay que incluir permisos para exportación y requisitos sanitarios, otro tanto.

Promovámosla en serio; tenemos todo para ello, principalmente

La acuicultura es un sector donde todo es inversión. No es una actividad que deba verse como desarrollo de traspatio. Desde la selección del predio, la instalación de infraestructura, la gestión, y hasta los insumos, todo es tiempo e inversión significativa.

mercado. Por lo menos eso parece indicar el nivel de importaciones de Mexico; 315,824 toneladas en 2024, de las cuales 226,000 son de pescado.

La Tabla Roja muestra que hay espacio de mejora. Lo que me hace creer, insisto, que no es claro aún para México el concepto de acuicultura como actividad prioritaria y estratégica para el sector alimentario, económico y de salud.

Ecuador: la prueba de que sí se puede

La visión de acuicultura para Ecuador ha sido radicalmente diferente. De 2014 a 2024, pasó de 277,166 a 1,211,644 toneladas y sin duda, hoy es líder mundial.

¿Qué dice el mercado?

La comunicación hoy es de todos y puedes saber tanto como consultes.

La información (buena y mala), está a un clic, lo mismo que grandes comunidades y el interés por compartir.

¿Acaso no has compartido la foto de algún platillo de productos del mar? Por ejemplo, cuando uno sube una foto a sus redes sociales mientras degusta unas almejas en la playa, o quizá un pescado zarandeado.

En general, los hábitos y los mercados de consumo muestran preferencias y tendencias comunes como calidad, sabor, salud, medio ambiente, versatilidad, sin duda, precio, entre otros. Los productos acuícolas cumplen más que bien con cada uno.

Los establecimientos de consumo de pescado y mariscos registran un crecimiento de 36% en 20142025 en México, nos dice A. Godoy de Panorama Acuícola Magazine (revista líder del sector acuícola), periodo similar al que evaluamos en producción, y seguro avanzará más.

No sería raro que estén subestimados los registros. Basta ver cómo hay más y más “taco fish” cada día y la cantidad de comensales ahí presentes. El consumo, es una tendencia real. No así los precios; que se han movido más lentos. Para camarón mediano sin cabeza, en la Nueva Viga (el mercado más grande de pescados y marsicos en México) reporta 145 pesos/kilo (USD 8.40/ kilo), en marzo de 2014, en tanto que 157 pesos/kilo (USD 9.09/kilo) para 2024.

La pregunta final Entonces, ¿cuándo damos el lugar que corresponde al sector acuícola? Los demás países ya lo están haciendo. ¿O nos quedamos con la Tabla Roja?

Las referencias y fuentes consultadas por el autor en la elaboración de este artículo están disponibles bajo petición previa a nuestra redacción.

* Ocean. Marco A. Ross Guerrero cuenta con más de 35 años de experiencia en el sector acuícola y pesquero en México. Ha sido subsecretario de Pesca y Acuacultura de Sonora y primer director de Sanidad Acuícola y Pesquera de SENASICA en el México. Además, es licenciado en Derecho, integrando una visión técnica y jurídica en el análisis de sector. Actualmente se desempeña como consultor estratégico en acuicultura, pesca y conservación. Correo electrónico: mrossguerrero@gmail.com

5º Summit latinoamericano de pesca y acuicultura sustentables:

¿Qué paso en Mérida?

Se acabó 2025, para unos un gran año lleno de retos y logros, seguramente para otros habrá sido diferente… Para el sector de los pescados y mariscos en México vaya que fue retador, pero cerró con un gran broche de oro: el 5º Summit latinoamericano de pesca y acuicultura sostenibles, que se llevó a cabo en la bella ciudad de Mérida, Yucatán (del 3 al 5 de diciembre).

El 5º Summit en 2025, el cinco es un número especial, tenemos 5 dedos, por ejemplo, y el Summit no pudo ser diferente. Un gran evento que superó las expectativas que de por sí eran altas.

Para ello algunos números: 596 asistentes registrados, de los cuales la mitad fueron acuicultores y pescadores, academia, sector gobierno, organizaciones de la sociedad civil, consultores, periodistas, estudiantes, en fin, una gran diversidad de personas que enriquecieron enormemente el intercambio de ideas para la colaboración.

Este magno encuentro, se pudiera decir que fue como una gran comida de ideas en 3 tiempos:

Personas y compañías que en la vida cotidiana son competencia, lograron sentarse como colegas a dialogar, a dejar los roces del día a día, para conversar buscando cómo hacer las cosas mejor… es decir, ¡colaborando!

Primer tiempo, la entrada: networking comercial

Un gran y práctico encuentro entre productores y comercializadores, estructurado con toda la lógica del mundo.

Primer encuentro entre comercializadores, conversando sobre los retos y oportunidades en la distribución de pescados y mariscos; lo mejor fue que, personas y compañías que en la vida cotidiana son competencia, lograron sentarse como colegas a dialogar, a dejar los roces del día a día, para conversar buscando cómo hacer las cosas mejor… es decir, ¡colaborando!

Segundo encuentro, entre productores y pescadores, mostrando la fantástica diversidad de especies que hay en nuestro México: ostras, mejillones, pulpo, camarones, atunes, tilapias, truchas… y, todos ellos, conversando de sus problemáticas en la producción y pesca; pero no solo eso, junto con los comercializadores, entendiendo los problemas y retos que tienen los unos y los otros, una verdadera tertulia de ideas, necesidades y optimización de las actividades desde la perspectiva de ambos actores, que fue verdaderamente enriquecedor para conocer, comprender y construir una mejor relación comercial.

Contando con la presencia de más de 150 panelistas de 17 países distintos, cada panel fue un ejemplo de diálogo y colaboración entre sectores muy distintos, pero, ligados a pescados y mariscos.

Tercer encuentro, entre productores, comercializadores y grandes cadenas de consumo con el tema central de las marcas blancas (o marcas libres). Otra perspectiva distinta a la manera tradicional de comercializar pescados y mariscos, nuevamente, con base en el diálogo; seguro que para muchos fue la apertura de un panorama insospechado de posibilidades de mercado.

Segundo tiempo, el plato fuerte

19 paneles en dos días con temas girando alrededor de cómo los mercados pueden ayudar a construir la sustentabilidad en el sector.

Contando con la presencia de más de 150 panelistas de 17 países distintos, cada panel fue un ejemplo de diálogo y colaboración entre sectores muy distintos, pero, ligados a pescados y mariscos: productores, pescadores artesanales, rurales y grandes industriales, sector gobierno federal y estatales, sociedad civil, mercados globales, cooperación internacional, trazabilidad, financiamiento, chefs y cocineros, conservación y regeneración ligados a la pesca y la acuicultura, crisis climática, entre otros. Como nunca antes, tantos temas y especialistas reunidos en mesas de diálogo, intercambio y generación de ideas y análisis en

Este 5º Summit rebasó hasta la proyección más optimista, además del intercambio de experiencias, conocimientos y eventos, fue una fiesta de unión del sector.

torno de los pescados y mariscos. Como es natural, las conclusiones sumamente enriquecedoras.

Tercer tiempo, el postre

Contempló actividades anexas como visita a una granja de pulpo maya y cierre con el lanzamiento de la CO_plataforma y curso para aprender a buscar y seleccionar fondos de inversión para proyectos acuícolas y pesqueros.

El diamante de la reunión fue el lanzamiento del libro: “Conociendo México a través de sus pescados y mariscos”. Libro de gran formato, calidad de impresión y fotografía de extraordinario valor documental y artístico, es una gran compilación actual de información del amplísimo mundo de los pescados y mariscos en México que nunca se había hecho antes en el país.

Sin embargo, mucho más allá del valor artístico y de información, el libro tiene el gran mérito de haber juntado a más de 50 autores, donde cada uno habla de su área de experiencia. Así el productor de camarón, escribió de camarón, el de ostión de ostión y así cada capítulo, incluyendo temas como conservación, comercialización, filantropía, entre muchos otros, todos escritos por quien conoce a detalle del tema, justamente por ser su experiencia de vida.

Este 5º Summit rebasó hasta la proyección más optimista, además del intercambio de experiencias, conocimientos y eventos, fue una fiesta de unión del sector, más que nunca necesario para poder encarar y superar los retos que el futuro nos depare como parte de la actividad más importante en el país: la producción de comida.

Este artículo es patrocinado por: COMEPESCA

Acuicultura urbana y sistemas de recirculación: ¿Podrá la acuicultura urbana ser la próxima revolución alimentaria?

La idea de producir pescado dentro de las ciudades con sistemas de recirculación acuícola seduce: control total, uso mínimo de agua, bioseguridad, trazabilidad y proximidad al consumidor. Pero, como he insistido en otras ocasiones, no toda propuesta que hoy se promociona es viable.

La idea de producir pescado dentro de las ciudades con sistemas de recirculación acuícola (RAS, por sus siglas en inglés) seduce: control total, uso mínimo de agua, bioseguridad, trazabilidad y proximidad al consumidor. Pero, como he insistido en otras ocasiones, no toda propuesta que hoy se promociona es viable. El problema no suele estar en la tecnología en sí, sino en la economía de la operación: proyectos con narrativas impecables que, al pasar a números, no sostienen el costo por kilo que el mercado puede pagar de manera consistente. Quien esté pensando en RAS debe partir de una verdad incómoda: el costo por kilo manda. Si el costo total de producción supera el precio

de mercado (después de logística, comercialización y mermas), el modelo no es sostenible. Por eso, hablar de RAS exige un análisis financiero profundo, no una hoja promocional. Cualquier ejercicio serio incluye:

3 CAPEX detallado: ingeniería, obra civil, tanques, biofiltros, bombas, oxigenación, respaldos eléctricos, automatización, permisos y puesta en marcha.

3 OPEX realista: energía (el gran rubro), oxígeno, alimento (formulación y factor de conversión alimenticia [FCR] alcanzable), mano de obra capacitada 24/7, bioseguridad, reposición de partes, seguros, residuos y tratamiento de efluentes.

3 Financiamiento y depreciación: tasas, plazos, periodo de escala-

miento inicial, contingencias y reservas de efectivo.

3 Factores de producción: densidades seguras, mortalidad esperable, tasa de crecimiento, días a mercado, uniformidad de talla y rendimiento en planta.

3 Factores de mercado: precio neto, contratos, penalizaciones por calidad, certificaciones y volatilidad de la demanda.

Cuando estos elementos se modelan con prudencia, muchos de los proyectos que hoy se “venden” como revolucionarios no superan la línea roja del costo por kilo… Y, es mejor descubrirlo en Excel que después de haber cortado el listón en la inauguración.

Por: Antonio Garza de Yta*

Quien esté pensando en RAS debe partir de una verdad incómoda: el costo por kilo manda. Si el costo total de producción supera el precio de mercado (después de logística, comercialización y mermas), el modelo no es sostenible.

Hay, sin embargo, segmentos donde el RAS urbano (o periurbano) es no solo viable, sino inevitable. El salmón es el ejemplo más claro: demanda estructuralmente mayor que la oferta, precios históricamente atractivos, y áreas tradicionales de cultivo cada vez más limitadas por temas ambientales, sanitarios y sociales. En este contexto, los sistemas en tierra (incluidos urbanos) se transforman en la próxima etapa de una industria que ya entiende que crecer en el mar es cada vez más difícil. La acuicultura urbana debe impulsarse con metas alcanzables: reducir energía por kilo, mejorar FCR, elevar supervivencia y mantener calidad constante. En este frente, vale reconocer a empresas que trabajan con objetivos realistas y obsesión por los costos, como Blue Aqua, que ha promovido modelos de producción intensiva con enfoque de eficiencia tanto en Singapur como en el Medio Oriente. Su virtud no es vender sueños, sino ejecutar y ajustar: adaptar biofiltración al agua disponible, diseñar flujos que ahorren bombeo, op-

timizar densidades, usar sensorización práctica (no solo “gadgets”), y vincular producción con mercados que pagan por calidad y constancia. Es exactamente el tipo de “operación quirúrgica” que convierte a un RAS en una planta de alimentos, no en una maqueta futurista.

Si filtramos con rigor financiero, sí hay una revolución alimentaria en marcha: RAS para especies de alta demanda y valor, en ciudades o perímetros urbanos, conectados directamente con procesamiento y distribución. No se trata de llenar azoteas de tanques, sino de plantas profesionales de proteína acuícola integradas a la red alimentaria de la ciudad. El beneficio es tangible: menor transporte, calidad uniforme, trazabilidad, resiliencia y empleo especializado.

El optimismo sin números es propaganda; los números sin visión son contabilidad. La acuicultura urbana y los RAS nos piden ambas cosas: visión para imaginar ciudades que produzcan proteína limpia y seriedad para que el costo por

kilo sostenga esa visión. En salmón, la puerta ya se abrió. En otras especies, nos toca seguir afinando hasta que la economía diga “sí”.

Porque el futuro no se vende: se diseña, se modela y se opera. Y cuando el costo por kilo logra ser competitivo, la revolución deja de ser discurso y se convierte en alimento.

* Antonio Garza de Yta es vicepresidente del Centro Internacional de Estudios Estratégicos para la Acuacultura (CIDEEA), presidente de Acuacultura sin Fronteras (AwF), expresidente de la Sociedad Mundial de Acuacultura (WAS), exsecretario de Pesca y Acuacultura de Tamaulipas (México) y creador de la Certificación para Profesionales en Acuacultura (CAP) junto con la Universidad de Auburn.

Puntos críticos de control en bioseguridad

Un tema común que se manifiesta de forma más o menos constante en los criaderos de camarones es la baja supervivencia. Hay muchas razones para ello, y en este artículo se exponen cuáles son algunas de ellas y qué se puede hacer centrándose en los puntos críticos de control.

Los camarones son invertebrados muy evolucionados, en el sentido de que han tenido cientos de millones de años (según los registros fósiles) para adaptarse a los numerosos entornos que ocupan. A medida que

la población humana ha aumentado en el último siglo, también lo ha hecho la demanda de los nutrientes presentes en el camarón y en los mariscos en general. Se estima que en 2025 se habrán pescado aproximadamente 3.3 millones de

toneladas métricas de camarones y langostinos. Esto contrasta con los más de 6 millones de toneladas métricas producidas mediante la acuicultura. Esta industria sigue creciendo año tras año y es probable que lo siga haciendo en el futuro.

No existe un paradigma de producción específico que se utilice de forma sistemática en todas partes. Hay una serie de generalidades que son aplicables. Tenga en cuenta que, al igual que en artículos anteriores, se trata de una visión general. Los detalles específicos están disponibles en internet, aunque vuelvo a advertir que el comprador debe tener cuidado. Además, los procesos biológicos, por su naturaleza, tienen una variabilidad inherente que puede dificultar el uso de un paradigma coherente. Mi enfoque consiste en definir puntos durante el proceso, al igual que se hace con los programas de Análisis de Peligros y Puntos Críticos de Control (HACCP, por sus siglas en inglés), que son puntos críticos de control (PCC). Si no se abordan los aspectos específicos de un PCC, pueden aumentar considerablemente las posibilidades de que se produzca una pérdida de la cosecha.

Punto crítico de control: los reproductores pueden ser portadores de diversos patógenos, incluso cuando han sido sometidos a pruebas de detección. Este es un punto de entrada importante. Si no puede

confiar en su proveedor, no le compre. Compruebe su historial. Si sus clientes tienen constantemente ciertos tipos de problemas, tenga en cuenta que existen riesgos que pueden no ser de su interés.

Los reproductores se emplean para producir los huevos que constituyen la base de la cosecha. La mejora genética de estos organismos es un proceso fluido y el aumento gradual de las tasas de crecimiento, la capacidad de usar fuentes alternativas de proteínas, la tolerancia y la resistencia a los patógenos y a los factores de estrés que son inherentes a muchos sistemas de producción, son objeto de numerosos esfuerzos en curso. El término libre de patógenos específicos (SPF, por sus siglas en inglés) sirve para describir la ausencia de patógenos específicos en un grupo de organismos. Este estado, cuando es genuino, se basa en que los camarones (o peces) se crían en condiciones que garantizan la ausencia de un patógeno determinado y que los organismos no sean portadores de estos patógenos desde el principio. Esto no significa que el camarón esté libre de todos los patógenos, ni que no puedan infectarse por los patógenos específicos de los que están libres. Los organismos SPF deben producirse y mantenerse en condiciones altamente controladas para garantizar que la población permanezca libre de un patógeno determinado. Si estos se mantienen en condiciones no exigentes, es posible que ya no se consideren SPF.

Punto de control crítico: la reacción en cadena de polimerasa (PCR, por sus siglas en inglés) aumenta los niveles de secuencias de ADN específicas y las analiza utilizando secuencias complementarias específicas que reaccionan con el ADN al examinar a los camarones, normalmente sobre una base poblacional. La qPCR es cuantitativa, ya que indica cuáles son los niveles de ADN que pueden correlacionarse con las cargas de patógenos y los cambios a lo largo del tiempo. Es la herramienta elegida para establecer la presencia o ausencia de ADN específico de un patógeno. Lo ideal es que se dirija contra los genes de toxinas (para los patógenos bacterianos), ya que hay muchos casos en los que un enfoque genérico reaccionaría con cepas que no son patógenos evidentes.

El cribado de reproductores individuales para detectar una serie de patógenos solía ser demasiado costoso. Las innovaciones recientes han reducido los costos generales y se puede analizar a los individuos para detectar la presencia de una serie de patógenos específicos de forma rentable. Sin embargo, existen limitaciones. La PCR solo puede detectar el ADN cuando está presente. Si un patógeno ataca tejidos específicos, estos tejidos deben analizarse. Además, cuando los patógenos tienen propiedades específicas que afectan su capacidad de crecimiento, analizarlos sin tener esto en cuenta puede dar lugar a falsos negativos. El virus del síndrome de la mancha blanca (WSSV, por sus siglas en inglés) es uno de ellos. Puede estar presente en los organismos en niveles bajos, esencialmente oculto. Por eso es necesario someter a los reproductores a pruebas para detectar su presencia, manteniéndolos a temperaturas del agua más bajas de lo ideal y sometiéndolos a estrés. Obviamente, solo se puede ver lo que se busca. Hay muchos virus y posibles patógenos bacterianos para los que no existe PCR.

Muchos camarones que se venden como SPF comienzan así, pero no se mantienen en un entorno que lo garantice. Un centro de cría nuclear (NBC, por sus siglas en inglés), una instalación de alta bioseguridad, que está cerrada (las entradas están estrictamente controladas), es un componente integral que garantiza se mantenga el estatus SPF de los organismos. Los reproductores silvestres, incluso si se seleccionan de forma individual, pueden suponer riesgos para la bioseguridad al igual que los criados en estanques. El uso de NBC garantiza que las características y el estado de salud de los reproductores sean uniformes.

Lo ideal es que los camarones se mantengan en una instalación de maduración biosegura, con luz controlada y parámetros de calidad del agua estables, incluyendo temperatura y salinidad. La proporción entre machos y hembras es alrededor de dos hembras por cada macho. Su entorno es propicio para maximizar la cópula. Los organismos se alimentan con una mezcla de alimento fresco, normalmente congelado y esterilizado, de alta calidad, aunque esto no es una regla absoluta, ya que algunos alimentos se produ-

Obviamente, solo se puede ver lo que se busca. Hay muchos virus y posibles patógenos bacterianos para los que no existe PCR.

cen en condiciones que garantizan que no haya posibilidad de contaminación por patógenos. Se les alimenta con una variedad de dietas que incluyen poliquetos, calamares, mejillones, krill y/o biomasa de Artemia, además de dietas formuladas estandarizadas que garantizan que los camarones dispongan de la gama de nutrientes necesarios para producir huevos y nauplios de alta calidad. Si estos alimentos frescos no se preparan de manera adecuada, pueden contaminar fácilmente a los reproductores y desencadenar una cascada de acontecimientos que, en última instancia, repercuten de forma negativa no solo en la fecundidad, sino también en la salud general de los camarones de los estanques de producción.

Punto crítico de control: lo mejor es alimentar a los reproductores con dietas de alta calidad que hayan sido tratadas en forma adecuada para garantizar que no sean una fuente de patógenos. Los protocolos de ablación del pedúnculo ocular que dejan al organismo con heridas abiertas al medio ambiente pueden infectarse. La ablación se está eliminando gradualmente debido a la preocupación de que se

realice de una manera perjudicial (¿dolorosa?) para el camarón.

Dado que el pedúnculo ocular contiene células que producen la hormona inhibidora de las gónadas (GIH, por sus siglas en inglés), que regula la ovogénesis, una práctica muy utilizada históricamente ha sido interferir en este proceso lesionando el pedúnculo ocular. Esto desregula el proceso y permite a los camarones desovar muchas veces en un periodo de tiempo relativamente corto, lo cual tiene algunas ventajas en términos de rapidez de desove, aunque puede agotar a la hembra y acelerar su muerte, y los últimos desoves pueden tener una aptitud física reducida. Se emplean diferentes enfoques, desde los más rudimentarios, que pueden causar un estrés severo a los organismos, hasta los más sofisticados, no estresantes. Se trata de un potencial punto a través del cual los agentes infecciosos pueden entrar en los reproductores, al igual que ocurre con los alimentos frescos esterilizados de forma inadecuada.

Punto crítico de control: muchos patógenos potenciales pueden adherirse a la superficie de huevos y nauplios. Incluso si los reproduc-

tores están “limpios”, es aconsejable aplicar protocolos de desinfección adecuados empleando desinfectantes suaves, como yodóforos, y lavarlos con agua limpia y estéril. Las larvas deben manipularse con cuidado, ya que se lesionan fácilmente.

El número de huevos producidos por las hembras depende de diversas variables. El género, el tamaño de la hembra, la calidad y la cantidad del alimento, la variabilidad de la cepa, el número de desoves inducidos sucesivos y el entorno, son factores importantes. En Penaeus vannamei, las hembras se aparean después de la muda. Los machos transfieren un paquete de esperma, el espermatóforo, al thelycum de las hembras, una estructura que almacena el esperma. Las hembras pueden desovar varias veces a partir de este único apareamiento. Esto suele tener lugar por la noche, cuando la hembra expulsa los huevos y se asegura de que sean fertilizados. Se emplean varios métodos. Las hembras apareadas se trasladan a tanques de desove y se devuelven a los tanques de maduración después del desove.

Se toman muestras de los huevos para determinar el recuento relativo

y los nauplios eclosionan entre 12 y 16 horas después de la fertilización. Los huevos deben desinfectarse en superficie con desinfectantes suaves y agua estéril y trasladarse a recipientes que contengan agua limpia. Una vez que eclosionan en nauplios, que también deben desinfectarse en superficie, pasan por una serie de mudas durante esta etapa sin alimentación, mientras digieren los nutrientes del huevo. Se trata de una etapa de vida frágil y, con frecuencia, los procedimientos operativos estándar (SOP, por sus siglas en inglés) no lo tienen en cuenta. Se lesionan fácilmente, lo que aumenta la probabilidad de que se infecten con patógenos bacterianos. La manipulación cuidadosa debe ser un SOP, aunque no siempre es así. Esto puede provocar problemas tempranos de supervivencia debido a las lesiones y a la presencia de bacterias oportunistas.

Punto crítico de control: la primera alimentación después de que los camarones dejan de usar los nutrientes de la yema suele ser un problema. El uso de algas axénicas es esencial, al igual que garantizar

que el agua donde se encuentran los organismos esté limpia y libre de posibles patógenos. Las Vibrio son muy comunes, incluso en niveles bajos, como contaminantes de algas y Artemia, y la primera vez que las larvas de camarón comen son muy susceptibles a los impactos negativos.

La primera etapa de alimentación, zoea, al igual que la nauplio, es también una etapa de vida poco resistente. Esta es la primera etapa de consumo de alimento. Las algas contaminadas pueden causar la desaparición total de la población y debilitar a los supervivientes. Es imperativo que el alimento sea axénico, es decir, no contaminado. A menudo esto se ignora en los criaderos más pequeños. Muchos criaderos grandes tienen mucho cuidado para asegurarse de que no haya contaminación. Los proveedores comerciales de algas también lo hacen. El síndrome de zoeae es el resultado de la ingestión de vibrios en sus primeras comidas, combinado con prácticas en los criaderos que han permitido la acumulación de la materia orgánica hasta niveles que alimentan a los vibrios y con-

taminan el medio acuático. La desinfección inadecuada, que crea un entorno donde prosperan los vibrios, y los alimentos contaminados son componentes del proceso infeccioso que se pueden controlar.

Punto crítico de control: las postlarvas de camarón son muy susceptibles a las infecciones. Manipularlas para contarlas, trasladarlas entre tanques, etc., puede lesionarlas y estresarlas, lo que las debilita y abre la puerta a los problemas. Cuanto menor sea la carga orgánica acumulada en el medio ambiente, mejor. La materia orgánica se acumula constantemente como resultado de la alimentación, así como debido a la muda y la defecación frecuente de los organismos.

Las zoea mudan a mysis. En P. vannamei, hay tres etapas de zoea y tres etapas de mysis. Después de la muda final de las mysis, se convierten en postlarvas de camarón (PL). Cada una de las etapas larvarias debe manejarse con cuidado para minimizar el estrés y mantenerse en condiciones que garanticen que la posibilidad de enfermedad sea mínima. Crear un entorno en el que los

Cada una de las etapas larvarias debe manejarse con cuidado para minimizar el estrés y mantenerse en condiciones que garanticen que la posibilidad de enfermedad sea mínima. Crear un entorno en el que los vibrios no puedan prosperar requiere diligencia.

vibrios no puedan prosperar requiere diligencia.

Punto crítico de control: la desinfección inadecuada durante las primeras etapas de vida y la producción en entornos que no están libres de estrés y contienen nutrientes acumulados que favorecen el crecimiento de bacterias patógenas conduce a problemas de salud animal.

Los virus necesitan células hospedadoras para replicarse y unos procesos adecuados de desinfección y cuarentena garantizarán que los virus conocidos no estén presentes en niveles problemáticos. No existen líneas celulares inmortales disponibles para el camarón. Las líneas celulares primarias que pueden vivir durante unos pocos ciclos son las únicas herramientas de las que se disponen para detectar la presencia de virus en géneros, así como la PCR para virus conocidos.

Punto crítico de control: una vez que las PL se almacenan en tanques, siguen existiendo riesgos significativos, incluso si todo lo

demás se ha hecho “correctamente”. Los vibrios pueden transmitirse por el aire e incluso pequeñas cantidades de materia orgánica acumulada les proporcionarán lo necesario para crecer hasta niveles que pueden causar problemas.

Los vibrios forman parte de un grupo de bacterias conocidas como copiotrofos. Prosperan en entornos ricos en nutrientes, típicos de los sistemas de producción acuática, donde se acumula materia orgánica. Crecen rápidamente y pueden usar con facilidad una amplia variedad de fuentes de nutrientes, incluidos sustratos simples como aminoácidos, azúcares y ácidos orgánicos. Aunque el género es omnipresente en entornos marinos, la mayoría de las especies son benignas y desempeñan un papel importante en el reciclaje de nutrientes en los ecosistemas acuáticos.

La distinción entre la capacidad de usar sacarosa constituye la base de la diferenciación de las especies en colonias verdes y amarillas en

el medio moderadamente selectivo (tiosulfato-citrato-sales biliares-sacarosa, TCBS). No existe correlación entre esto y la patogenicidad. Las cepas de Vibrio parahaemolyticus no pueden degradar la sacarosa. Esto no tiene relación con la presencia de toxinas. Las cepas de V. alginolyticus degradan la sacarosa, lo que tampoco está relacionado con la presencia de toxinas. La eliminación de todos los vibrios es una tarea inútil, ya que hay muchas otras bacterias que ocuparán los mismos nichos y muchos de los problemas relacionados con las infecciones bacterianas en los camarones son secundarios. Los que son primarios suelen ser el resultado de la presencia de toxinas en cepas específicas de especies específicas. La reducción de los niveles generales de esas cepas virulentas puede lograrse gestionando los niveles generales de materia orgánica, es decir, reduciendo los alimentos disponibles y manteniendo la diversidad microbiana natural.

La desinfección inadecuada, que crea un entorno donde prosperan los vibrios, y los alimentos contaminados, son componentes del proceso infeccioso que se pueden controlar.

Muchas empresas usan múltiples productos microbianos en los tanques con el fin de garantizarlo. Esto puede ser una mala idea, ya que algunas bacterias pueden interferir en la actividad de otras. Las bacterias pueden inhibirse entre sí e, incluso, permitir que las bacterias indeseables dominen. Por lo general, solo se necesita un único probiótico microbiano de alta calidad. La clave está en emplearlo de la forma adecuada. Muchos se venden como si fueran fórmulas, es decir, se usa la misma cantidad cada vez. Las dosis, en términos de frecuencia y cantidades, deben ajustarse a medida que aumenta la cantidad de materia orgánica durante el ciclo de producción.

La susceptibilidad a los patógenos es compleja. Además de tener un mecanismo para producir la enfermedad, el patógeno debe adherirse al organismo (cuando entra a través de la superficie externa), penetrar en él (cuando así es como produce la enfermedad) y reproducirse con la rapidez suficiente para evitar o superar los mecanismos de defensa inmunitaria del hospedador.

La genética y el entorno influyen en los factores que permiten la infección del hospedador. Las diferentes especies e, incluso, las cepas dentro de una misma especie, pueden mostrar una susceptibilidad variable a los patógenos obligados. Se trata de patógenos que por su mera presencia pueden causar enfermedades. Hay muy pocos de estos parientes en comparación con el número de patógenos oportunistas que se aprovechan de los hospedadores debilitados. Por lo tanto, aun si se pudiera eliminar totalmente un patógeno determinado, esto no significa que sus camarones no puedan enfermar.

En resumen, cada paso del proceso de producción conlleva riesgos. Si se aplican las medidas y controles adecuados, es poco probable que el proceso de producción de camarones para repoblación dé lugar a la introducción de patógenos. El riesgo surge una vez que se han repoblado. Los patógenos pueden introducirse de muchas maneras. Esto incluye, entre otras cosas, la introducción de vectores que transportan los patógenos, la desinfección inadecuada de los estanques entre ciclos, la falta de control de la acumulación de materia orgánica durante el ciclo, el gran número de aves que se alimentan de

Cuanto menor sea la carga orgánica acumulada en el medio ambiente, mejor. La materia orgánica se acumula constantemente como resultado de la alimentación, así como debido a la muda y la defecación frecuente de los organismos.

camarones débiles y enfermos y los trasladan de un estanque a otro, etc. Incluso estar a sotavento de granjas con brotes agudos puede provocar el desplazamiento aéreo de virus y bacterias a estanques no infectados. El estrés afecta de manera negativa los mecanismos homeostáticos de los camarones (y los peces). Para reducir el estrés es necesario comprender qué lo causa. Lo más conveniente es minimizar los factores estresantes, ya que, de lo contrario, aumentan considerablemente las posibilidades de que surjan problemas. Los organismos débiles pueden propagar los patógenos por toda la población. La bibliografía ofrece muchos ejemplos de factores estresantes. Las observaciones de que los camarones pueden estar expuestos a altos niveles de estrés y no enfermarse, no significan que sea una buena idea. Al hacerlo, se está jugando. Algunas prácticas que pueden ayudar son: el uso de aireación para garantizar que los niveles de oxígeno disuelto se mantengan por encima de ciertos umbrales, el uso de alimentadores automáticos, la fabricación de alimentos que hayan sido desarrollados para las especies específicas que se crían, no criar organismos en densidades excesivamente altas (comprender el concepto de capacidad de carga), evitar la manipulación innecesaria (las cose-

chas parciales pueden desencadenar fácilmente un brote de enfermedad), el uso de biorremediación/ probióticos (como PRO4000X y la línea AquaPro) para mejorar la calidad del agua, reducir los nutrientes disponibles para posibles patógenos y aumentar la capacidad de los camarones para tolerar la exposición, entre muchas otras.

* Stephen G. Newman es licenciado en Conservación y Gestión de Recursos (ecología) por la Universidad de Maryland y doctor en Microbiología Marina por la Universidad de Miami. Tiene más de 40 años de experiencia trabajando en diversos temas y enfoques de la acuicultura, como la calidad del agua, la sanidad animal y la bioseguridad, con especial atención al camarón y los salmónidos. Fundó AquaintechInc. en 1996 y sigue siendo su director general.

AquaintechInc. tiene clientes para su amplia gama de productos microbianos en muchos países. Se centra en la prestación de servicios de consultoría sobre tecnologías microbianas y bioseguridad en todo el mundo, y sus productos se utilizan en criaderos de camarones y peces, sistemas de recirculación acuícola (RAS, por sus siglas en inglés), reproductores, incubadoras y granjas de todo tipo. sgnewm@aqua-in-tech.com www.aqua-in-tech.com www.bioremediationaquaculture.com www.sustainablegreenaquaculture.com

directorio de publicidad

ALIMENTOS BALANCEADOS

CARGILL......................................CONTRAPORTADA

Carretera Internacional y Calle Fresno S/N Parque

Industrial No. 2

C.P. 85000 | Cd. Obregón, Sonora.

Contacto: Osvaldo Anaya / Clarissa Navarro

Tel: 644 410 6235

E-mail: clarissa_navarro@cargill.com www.cargill.com.mx

CARGILL (EMPYREAL)............................................5 W: www.empyreal75.com

CARGILL (MOTIV)...............SEGUNDA DE FORROS W: www.motivshrimp.com

MEGASUPPLY ....39

Centroamérica, EE.UU., Europa, Sudamérica, Asia y Medio Oriente

Tel: +1 305 381 0210

E-mail: orders@megasupply.net W: www.megasupply.net

ZEIGLER BROS, INC.................................................1

400 Gardners, Station RD, Gardners, PA. 17324, EE.UU. Contacto: Susan Thompson

Tel: 717 677 6181

E-mail: sales@zeiglerfeed.com www.zeiglerfeed.com

ANTIBIÓTICOS, PROBIÓTICOS Y ADITIVOS PARA ALIMENTOS

MEGASUPPLY ....39

Centroamérica, EE.UU., Europa, Sudamérica, Asia y Medio Oriente

Tel: +1 305 381 0210

E-mail: orders@megasupply.net W: www.megasupply.net

PRILABSA INTERNATIONAL CORP 11 2970 W. 84 St. Bay #1, Hialeah, FL. 33018, EE.UU. Contacto: Roberto Ribas. Tel: 305 822 8201, 305 822 8211

E-mail: rribas@prilabsa.com www.prilabsa.com

EQUIPOS DE AIREACIÓN, BOMBEO, FILTROS, MOBILIARIO PARA LABORATORIO E INSTRUMENTOS DE MEDICIÓN

SUN ASIA AERATION INT´L Co., Ltd.......................7 15f, 7, Ssu-wei 4 road, Ling-ya District, Kaohsiung, 82047 Táiwan R.O.C.

Tel: +56 9 4481 6922

E-mail: info@aqua-sur.cl W: www.aqua-sur.cl

EVENTOS Y EXPOSICIONES

AQUACULTURE AMERICA 2026..............................

Feb. 16-19, 2026

Las Vegas, Nevada, EEUU

T: (+1) 760 a751 5005

Fax: (+1) 760 751 5003

E: worldaqua@was.org

DE FORROS

AQUACULTURE EUROPE 2026...........................70

Sept. 28 - Oct. 01, 2026

Ljubljana, Slovenia

W: www.aquaeas.org

AQUASUR 2026 ...........51

Mar. 24-26, 2026

Ruta 5 Km 1009, 8. Puerto Montt. Región Lagos. E: carolina@was.org W: www.was.org

WORLD AQUACULTURE 2026...............................25

DIc. 1-4, 2026

Tanzania - with AFRAQ26s. E: worldaqua@was.org W: www.was.org

Panorama Acuícola Magazine

Empresarios No. #135 Int. Piso 7 Oficina 723

Col. Puerta de Hierro, C.P.45116. Zapopan, Jal. México. Cruza con las calles Av. Paseo Royal Country y Blvrd. Puerta de Hierro

Tels: +52 (33) 8000 0578

Contacto 1: Suscripciones

E-mail: suscripciones@panoramaacuicola.com

Tel: +52 (33) 8000 0629 y (33) 8000 0653

Contacto 2: Juan Carlos Elizalde, ventas y mercadotecnia

E-mail: crm@dpinternationalinc.com www.panoramaacuicola.com

Aquaculture Magazine

Design Publications International Inc.

203 S. St. Mary’s St. Ste. 160

San Antonio, TX 78205, EE.UU.

Oficina en EE.UU: +(210) 229 9036

Oficina en EE.UU, Directo: +(210) 504 3642

Oficina en México: (+52) (33) 3632 2355

Suscripciones: iwantasubscription@dpinternationalinc.com

Publicidad: crm@dpinternationalinc.com / sse@dpinternationalinc.com www.aquaculturemag.com

próximos eventos

FEBRERO 2026

AQUACULTURE AMERICA 2026

Feb. 16-19, 2026

Las Vegas, Nevada, EE. UU.

T: (+1) 760 751 5005

Fax: (+1) 760 751 5003

E: worldaqua@was.org

W: www.was.org

MARZO 2026

AQUASUR 2026

Marzo 24-26, 2026

Puerto Montt, Chile

T: +56944816922

E: info@aqua-sur.cl

W: www.aqua-sur.cl

ABRIL 2026

2026 KSU SHRIMP FARMING SYMPOSIUM

Abril 10-11, 2026

Kentucky, EE. UU.

E: marissa.bermeo@kysu.edu

W: https://www.kysu.edu/academics/college-ahnr/ events/shrimp-symposium.php

SEAFOOD EXPO GLOBAL/SEAFOOD PROCESSING GLOBAL

Abril 21-23, 2026

Barcelona, España

T: +31 88 2057200

E: seafoodexpoglobal@xpressreg.net

W: https://www.seafoodexpo.com/global/

BLUE INDIA 2026

Abril 27-29, 2026

Hyderabad, India

T: +61 390163202

E: writeus@scientificprism.com

W: https://blueindiaconference.com/

JUNIO 2026

WORLD AQUACULTURE SINGAPORE 2026

Junio 2-5, 2026

T: (+1) 760 751 5005

Fax: (+1) 760 751 5003

E: worldaqua@was.org

W: www.was.org

SEPTIEMBRE 2026

AQUACULTURE EUROPE 2026

Sept. 29 – Oct. 1, 2026

Ljubljana, Eslovenia

T: (+1) 760 751 5005

Fax: (+1) 760 751 5003

E: worldaqua@was.org

W: www.was.org

OCTUBRE 2026

AQUACULTURE HORIZONS

Oct. 26-28, 2026

Singapur

T: +61 390163202

E: rakshith.kumar@aquacultureconference.com.au

W: https://www.theaquacultureconference.com/

LACQUA 2026

Oct. 27-30, 2026

San Salvador, El Salvador

T: (+1) 760 751 5005

Fax: (+1) 760 751 5003

E: worldaqua@was.org

W: www.was.org

DICIEMBRE 2026

AQUACULTURE AFRICA 2026/WORLD

AQUACULTURE TANZANIA 2026

Dic. 1-4, 2026

Dar es Salaam, Tanzania

T: (+1) 760 751 5005

Fax: (+1) 760 751 5003

E: worldaqua@was.org

W: www.was.org

Organized by

Since 1976, EAS has been bringing people together for the sustainable development of European aquaculture. As we celebrate our 50 birthday, we look back on key moments and key th persons that made EAS what it is today. And we also look forward - continuing to expand our student activities and network and propose benefits for members that are suited to their profile and needs. We will celebrate this milestone throughout the year on social media, and in person at Aquaculture Europe 2026 in Ljubljana, where we invite EAS members to join the celebrations.

Supported by

Turn static files into dynamic content formats.

Create a flipbook