RCN Bulletin -May 2024

Page 1

BULLETIN

THE RCN
A Newsletter of the DAN Recompression Chamber Network www.dan.org rcn@dan.org 9th Edition May 2024
Page 1 May 2024 rcn@dan org www dan org WHAT'S INSIDE: RCN WELCOME LETTER Francois Burman, PE, MSC and the DAN RCN Team 2 NAVIGATING THE CHALLENGES OF DCS: A CASE STUDY IN RECREATIONAL SCUBA DIVING SAFETY Dr. Eduardo Vinhaes 3 CAW VESTIBULAR BEND CASE Dr. Ian Millar 5 IS THIS DECOMPRESSION SICKNESS? CASE STUDIES ON REPETITIVE DIVING Dr. Matias Nochetto 6 IN-CHAMBER MEDICAL EMERGENCIES: OXYGEN TOXICITY DURING TREATMENT 10 Sheryl Shea, RN, CHT FAQ 18 ABOUT THE AUTHORS 22 CONTACT INFORMATION 23 EMERGENCY ACTION PLANS (EAPS) 12 Francois Burman, PE, MSC EXAMPLES OF EMERGENCY ACTION PLANS (EAPS) 13 Francois Burman, PE, MSC

THE RCN WELCOME LETTER

While the diving industry has settled down after a few turbulent years, we are seeing interesting changes in terms of diver treatment centers More and more hyperbaric chambers are opening up in previously underserved regions Many of these have a focus on hyperbaric medicine, but most arestillpreparedtotreat injureddivers.

In general, this is a very good trend, as performing regular HBO treatments makes the facility far more economically sustainable, and also ensures that staff remain employed and retaintheirskillsforlonger

Sadly, the continuation of 24/7 hyperbaric facilities in the USA is not following the same trend, and these are disappearing at a rate of more than 10 facilities a year. This is very challenging for divers here, as well as us at DAN, as generally injured divers are sent for recompression treatments much later in the day when facilities are close for theday

We have to be grateful, however, that many chambers in busy but more remote or newer regions are prepared to remain available at all hours.

The Caribbean diving regions are busy, and several of the facilities have been modernized and new chambers installed DAN has been engaging with these facilities to assist with training, as well assafetyandtechnicalissues.

Something of possible interest to you is that we currentlyhave1,139operationalchambersin our

database, located in 108 countries around the world. So, you have many colleagues out there, oftenfacingthesamechallengesasyoudo

An exciting new region for us as the RCN team, and in which we have been very active since September 2022, is Indonesia. We have added many new facilities to the chamber database, and Dr Nochetto and I actually visited 9 different chambersduringanextensivefact-findingtrip.

In 2023 we attended the Asian Diving and Hyperbaric Medicine (AHDMA) annual scientific meeting in Malaysia, where there was an excellent turn-out and where we met many hyperbaric center staff from all over the region. In August we hosted the first Academy of Diving Medicine in Bali, Indonesia. Again, the turn-out wasfantastic, andournetworkisgrowingfast.

This edition contains a raft of interesting case studies for you to read about and consider for yourselves where such symptoms may present As we frequently get asked questions about emergency action plans, we have included a few examples for you to review. You do get your usualdoseof technicalmatterstodigest too.

Enjoy reading your newsletter, and as always, we ask for you to share your thoughts and ideas with us, or send us questions that you believe could be of interest to other facilities You can emailusdirectlyat rcn@dan.org.

Page 2 May 2024 rcn@dan org www dan org

Navigating the Challenges of DCS: A Case Study in Recreational Scuba Diving Safety

D R . E D U A R D O V I N H A E S

Recreational scuba diving is a very safe activity when basic safety and control procedures are followed Even when carefully and attentively following all procedures, however, there is a possibility, that the diver will present with some postdive signs and symptoms that may be difficult for most physicians to interpret. Because knowledge of diving medicine is still not part of most medical training around the world, situations can arise that will be real medical challenges in terms of diagnosisandtreatment.

Furthermore, even when decompression sickness is strongly suspected, hyperbaric treatment is not always readily available. We present below a real caseinwhichthesefactorswereevident.

A 40-year-old female recreational diver was on vacation, performing an average of two daily dives, using air and nitrox, to a maximum depth of 115 feet In the first two days of diving everything went normally On the third day, however, after completing the second dive of the day, the diver began to complain of abdominal pain. Initially she believed the pain was due to menstrual cramps, and it lessened in intensity after she took an analgesicandashort nap.

Following this apparent improvement, the diver decided to do a third dive that day, with air, to 75 feet deep However, shortly after leaving the water after this dive, which she performed without any problems, sheagainfelt thepainthat nowstartedin

her back and spread to her abdomen and one of her legs Still on the boat, she began to also experience nausea, vomiting, and loss of sensation in her lower limbs. She was promptly assisted by the diving team, receiving supplemental oxygen during the entire return trip. Upon arrival on shore, she was referred to an emergency medical service. As she was in a well-developed city with over a goodhospital

Despite the available facilities, however, the emergency physicians were not aware of decompression sickness, and considering that the main complaint was pain in the abdomen, they initially suspected an abdominal medical problem. Even with the report of the dives performed, they practically ignored the possibility of there being a problem due to decompression Keeping the patient under observation, they requested that a computed tomography (CT) of the abdomen be performed, an image exam frequently used in cases of abdominal emergencies. Although the equipment was readily available, CT can take a littletimetobeperformedandevaluated

While waiting for the result of the tomography, the diver began to complain of dizziness and also started to present a decrease in her blood pressure. She was transferred to an intensive care unit. When they saw the results of the abdominal tomography, the emergency physicians were surprised by signs of gaseous content in lower abdominal veins and even inside the liver With this result they finally began to consider the possibility of decompressionsickness

At this point, the emergency service doctors began to look for a hyperbaric service that could attend to the diver despite the fact that it was late. After all, they were in a big city and knew that there was a local hyperbaric service that could receive and treat this patient What they didn't know, however, was that the hyperbaric service was not immediately availablebecausethehyperbaricphysicianin

Page 3 May 2024 rcn@dan org www dan org

charge of the unit was out of town on a trip to resolve a family issue and could only assess and treat thispatient thefollowingmorning

After almost 12 hours waiting in the intensive care unit and receiving intravenous fluids to maintain blood pressure within normal values, the diver was finally referred to the hyperbaric service where she received recompression treatment. Undergoing two days of hyperbaric treatment, the diver ended up recovering and was discharged from the hospital onthethirddayof hospitalization

Cases like this can occur even in places where there is a good medical structure. The diagnosis of decompression sickness, which must be carried out with a good clinical evaluation, and which usually does not require imaging exams, can be a significant medical challenge Most physicians, including those in emergency departments, have never seen a case of decompression sickness, and even in well-developed medical centres there is no guarantee that it will be quickly identified and treated. In addition, the local presence of a hyperbaric medical service, generally intended for the treatment of other diseases that can be treated with hyperbaric oxygen therapy, does not guarantee that the treatment of cases of decompression illness will be carried out quickly andeffectively

Surely this case could have been attended to more quickly if there had been better communication between the doctors, the emergency room, and the hyperbaric service, but this communication is not always straightforward. And precisely to bridge this communication gap, the DAN Emergency Hotline is always available Not only can we advise, via the DAN hotline, what an injured diver should do initially in the event of suspected decompression illness, but we also often discuss the casewith

physicians who in an emergency medical department are faced with patients like this real challengestodiagnoseandtreat

In the case of suspected decompression illness, in addition to initial care (normobaric oxygen, hydration, etc.) often the best option is to refer the injured diver for evaluation at an emergency medical service and not directly to a hyperbaric chamber Although most of these doctors have never come into contact with a case of decompression sickness, even in an emergency medical service with few resources there is always a doctor, oxygen, fluids for intravenous hydration, and a telephone. And experience with these sorts of situations shows that being in contact with DAN diving medical experts through this phone, the emergency physician will feel much safer to assist the patient with more effective medical procedures In addition, the referral of the injured diver to the hyperbaric service may also be faster and safer, since the DAN Emergency Hotline staff will be able to inform the hyperbaric doctor in advance about the situation that is occurring. All of this can make the hyperbaric treatment more effective, preparing the hyperbaric unit to receive the case, which is fundamental for a good recovery of the injured diver

To be prepared in the event of a suspected diving accident, always have an emergency plan in advance. It should at least include the care that must be taken while still at the dive site, a reference emergency medical service to receive the diver, and the number of the DAN Emergency Hotline, by which DAN staff will be able to direct the case to a hyperbaric physician and guide the emergency physician with up-to-date and clear information about how to act in these cases, resulting in faster, safer, and more effective medicalcare.

Page 4 May 2024 rcn@dan org www dan org

CAW Vestibular Bends Case

A 26-year-old tunnel worker was engaged in “compressed air work,” which required him to work shifts of 3-4 hours under pressure in support of tunnel boring operations to construct a new main sewer pipe system. The sewer path ran below the water table such that pressures in the tunnel boring machines needed to be in the 20 bar range to keep water and mud from flooding the machines This required tunnel workers to be periodically compressed in the front face area of the machine to perform maintenance and repairs on the cutter head at pressures equivalent to a depth of 20 metres in sea water. Decompression was undertaken in the tunnel boring machine’s personnel lock, with oxygen breathing in accordance with the applicable schedule of the FrenchMT92tunnellingdecompressiontables

This type of compressed air work nearly always involves significant “decompression diving,” and workers normally spend a “bends watch” period of 1-2 hours on the construction site after finishing decompression and prior to departing home following a compressed air work shift Hot showers were available on site, and workers would usually take a shower during their bends watch The thinking was that this would trigger early recognition of mild joint pain symptoms if decompression illness was to occur, thus enabling early treatment in the tunnel project’s on-site recompressionchamber.

On this occasion, the worker had completed an evening shift at around 11:00 pm Although he normally showered on site, he was planning to join friends for social activities and therefore left early, drovehome, andtookahot showertherebefore

changing clothes and travelling to an inner-city nightclub

While standing outdoors in the nightclub entry queue, he experienced a sudden onset of severe vertigo, making him collapse onto his hands and knees and vomit onto the street While such behaviour normally elicits no sympathy from others in night club queues, a friend who knew he had not been drinking alcohol or taking drugs called emergency services, and paramedics attended promptly Their routine patient survey discovered a “hyperbaric tunnel worker” bracelet on the worker’s wrist He was therefore urgently transported to the nearby hospital-based hyperbaric facility where a diagnosis of acute vestibular decompression illness was made, with treatment provided using the U S Navy Table 6 schedule This was fortunately successful, giving rapid relief of symptoms, and the patient had made a complete recovery by the following day.

Inner ear decompression illness does not always respond well to treatment, with very early treatment providing the best chance of a good response. In this case, recompression was initiated in less than an hour after symptom onset.

Identification of hyperbaric exposure as a potential cause of acute disability is as critical for divers as for other hyperbaric workers who might become incapacitated by decompression illness. The traditional tunnel workers’ “dog tags” or medic alert bracelets have historically worked well and were critical to the good outcome in this case. For divers, especially for those undertaking deep or mixed-gas dives with significant decompression stress, it is worth considering an extension of the principle of buddies looking after each other during the first few hours after surfacing. This is certainly preferable to risking incapacitation when alone or in a crowded place where others may be unaware that one has been diving.

R I A N M I L L A R
D
Page 5 May 2024 rcn@dan org www dan org

Is this Decompression Sickness? Case Studies on Repetitive

Diving

The dives

A diver did a series of four dives on a small tropical island 230 nautical miles from the mainland. Dive exposureswereasfollows:

Morning dives

#1: 20m(66fsw)for35minutesonair

#2: 16m(52fsw)for60minutesonair

Afternoon dives

#3: 57m(187fsw)for20minutesonair+ decoonEAN50

#4: 12m(40fsw)for60minutesonair

Manifestations

About one-hour post dive, the diver manifested shoulder pain with a subjective intensity of 5/10 Within an hour of symptom onset, the diver selftreated with surface-level oxygen via demand valve. With marginal improvement of symptoms after four hours of oxygen, he decided to seek medicalevaluationat thelocalclinic.

Medical evaluation

The island is equipped with a small clinic staffed by a doctor and a nurse The clinic houses a recently refurbished recompression chamber, but due to longstanding administrative and operational shortcomings, the chamber had never been operational. The doctor has no training in diving medicine but is a dive instructor himself. Acknowledging his limitations, he called DAN for consultation with his patient This was not the first time this doctor called the DAN hotline for consultation, so he presented this case in a very organizedfashion

The diver is a 32-year-old male instructor who declares no past medical history of relevance; average-sized and appearing reasonably fit. All dives were uneventful The first two dives were planned and part of his regular daily dives guiding tourists. His afternoon dives were unplanned; he volunteered to guide a deep wreck that sits at 62 meters Upon examination the diver manifests a 5/10 right shoulder pain that does not change with motion and has no history of recent or previous trauma. Pain is dull, persistent, and deep. No skin discoloration, and no abnormal neurological findings other than a history of some mild tinging in a patchy area on his forearm that resolved during selfadministered oxygen. At present time (six hours after surfacing, and five from symptom onset) the patient presentsnootherabnormalities

The doctor is seeking advice on best course of action, as the closest chamber is on the mainland, and treatment cannot be guaranteed until next morningat best.

The

dilemma

Decompression sickness (DCS) is a clinical diagnosis. The exercise consists of trying to establish a plausible cause and effect relation between a somewhat provocative dive exposure and signs and symptoms compatible with DCS. Once all other diagnoses have been ruled out, one could assume the case is probably due to a decompression insult, and if it responds to treatment as expected, it probably was due to a decompression insult This is as close as we ever get toadefinitivediagnosis.

Upon discussing the case with the local doctor, the DAN representative agreed this was probably decompression sickness. Unfortunately, the diver was not a DAN member, so DAN could not cover the costs of an emergency medical evacuation, and the diver did not have the financial means to afford one

R
M A T I A S N O C H E T T O
D
.
Page 6 May 2024 rcn@dan org www dan org

General wisdom recommends timely and efficient treatment for all decompression insults. The risk of delayed treatment resulting in permanent disability or poor long-term outcomes persists today. However, in 2005 DAN and the UHMS (Undersea and Hyperbaric Medical Society) convened a workshop intended to establish the best course of action to deal with mild or marginal decompression illness in remote locations. The proceedings of this fantastic workshop were published and can be found here [insert reference and hyperlink]. The workshop resulted in a series of five final consensusstatements:

The first statement intended to define what constitutes“mild”symptomsof thebends

Consensus Statement 1

With respect to decompression illness (DCI), the workshop defines "mild" symptoms and signs as follows:

limbpain1,2 constitutionalsymptoms somecutaneoussensorychanges3 rash where these manifestations are static or remitting 4,5 and associated objective neurological dysfunction has been excluded by medical examination.

Footnotes

The workshop agrees that severity of pain has little prognostic significance but acknowledges that severity of pain may influence management decisions independent of the classificationof painasa"mild" symptom. Classical girdle pain syndromes are suggestive of spinal involvement and do not fall under the classificationof "limbpain."

The intent of "some cutaneous sensory changes" is to embrace subjective cutaneous sensory phenomena such as paraesthesiae that are present in patchy or non-dermatomal distributions suggestive of non-spinal, non-

specific, and benign processes. Subjective sensory changes in clear dermatomal distributionsorincertaincharacteristicpatterns suchasinbothfeet, maypredict evolutionof spinalsymptomsandshouldnot beconsidered "mild"

The proclamation of "mild" cannot be made wheresymptomsareprogressive If the presentation initially qualifies as mild and then begins to progress, it is no longer classifiedas"mild" (seealsoFootnote5). The possibility of delayed progression is recognized, such that the "mild" designation must be repeatedly reviewed over at least the first 24 hours following diving or the most recent decompression, the latter applying if there has been an ascent to altitude. Management plans shouldincludeprovisionsforsuchprogression.

The second statement focused on the prognosis of untreatedmildsymptoms.

Consensus Statement 2

The workshop accepts that untreated mild symptoms and signs 1 due to DCI are unlikely to progressafter24hoursfromtheendof diving.2

Footnote

Mild symptoms and signs are strictly limited to thosedefinedinStatement 1anditsfootnotes This statement does not hold where there is a further decompression, such as further diving or ascent to altitude, in the presence of mild symptoms.

The third statement intended to cover the prognosis of thesecasesupontreatment delays

Consensus Statement 3

Level B epidemiological' evidence indicates that a delay prior to recompression for a patient with mild DCI is unlikely to be associated with any worsening of long-termoutcome.

Page 7 May 2024 rcn@dan org www dan org
Francois Burman,PE, MSC

Footnotes

Levels of evidence in American Family Physician [Internet]. [Leawood (KS)]: American Academy of Family Physicians; 2004 [Cited 2004 Dec 6]. Available at: http://www.aafp.org/x17444.xml

"Mild DCI" is limited to those presentations exhibiting only "mild symptoms and signs" strictlyasdefinedinStatement 1andfootnotes

The fourth statement focused on treating these caseswhenrecompressionisnot anoption.

Consensus Statement 4

The workshop acknowledges that some patients with mild symptoms and signs after diving 1 can be treated adequately without recompression For those with DCI, recovery may be slower in the absenceof recompression

Footnote

The non-specific reference to "mild symptoms and signs after diving" is intentional It reflects the fact that the manifestations may or may not be the consequence of DCI. The statement suggests that even if they are the result of DCI, full recovery is anticipated irrespective of the use of recompression although resolution may take longer. Importantly, "mild symptoms and signs" are strictly limited to those defined in Statement 1 and footnotes Where symptoms and signs fall outside the spectrum of manifestations herein defined as "mild," standardmanagement andtherapyisindicated.

The fifth and final statement was regarding air evacuationof theseuntreatedcases.

Consensus Statement 5

The workshop acknowledges that some divers with mild symptoms or signs 1 after diving may be evacuated by commercial airliner to obtain treatment after a surface interval of at least 24 hours, and this is unlikely to be associated with worseningof outcome.2,3,4.

Footnotes

"Mild symptoms and signs" are strictly as definedinStatement 1andfootnotes.

It should be noted that most favorable experience with commercial airliner evacuations comes from short haul flights of between 1 and 2 hours duration. There is much lessexperiencewithlongerflights

It was agreed that provision of oxygen in as high an inspired fraction as possible is optimal practice for such evacuations In addition, the risk of such evacuation will be reduced by preflight oxygenbreathing.

It was emphasized that contact must be established with a receiving unit at the commercial flight destination before the evacuationisinitiated

The dilemma about the best course of action for this case was then resolved with the help of these practicalstatements.

Recommendations

Professional medical evaluation revealed we were indeed facing a case that fit the description of mild DCI As noted on the fifth footnote of the first statement, one has to recognize that six hours of evolution was still a short time to make any definitive determination. The recommendation was then to continue with high FiO2 and serial neurological examination to ensure the symptoms remained static or remitting. The history of a patchy area of numbness on the diver’s forearm was not deemed concerning, as it had already been resolved at the time of evaluation, and it did not seemtofollowadermatomaldistribution

Conclusion

This case illustrates how it is important to focus on the diver’s clinical examination and not overreact in a given case by judging the aggressiveness of the dive exposure. Diagnosing a decompression insult without a thorough anamnesis becomes a guess Wetreat signsandsymptoms, not diveexposures

Page 8 May 2024 rcn@dan org www dan org
Francois Burman,PE, MSC

DAN’s 6 tenets of diagnosis

Chief complaint 1.

Often subjective, imprecise; must be interpretedthroughinterrogation

Timeof symptomonset 2.

The sooner the symptom onset, the worse prognosisforDCI

The longer the delay, the lower the likelihoodof DCS; and/orthelessserious

3.

Diveexposure

Often unreliable (unless dive computer data provided)

More valuable on extremes; to rule it out on the very shallow, or to still consider it on the veryaggressive

4.

5

6

Evolutionof symptoms

Remittingorstaticvs. progressing

Neurologicalstatus

Not always available unless the diver seeks medicalevaluation

Unarguably the most valuable and readily availableclinicalexam

Exceptional value when gauging evolution andtreatment efficacy

Sourceof information

Professional medical evaluation is paramount. Regardless of any dive medicine training, DAN is happy to assist the local medical professionals evaluating a symptomaticdiver

MSC Page 9 May 2024 rcn@dan org www dan org
Francois Burman,PE, Management of Mild or Marginal DCI in Remote Locations

In-Chamber Medical Emergencies: Oxygen Toxicity

During Treatment

Here are three different scenarios of interest The first is a 34-year-old male scuba diver who is being treated for DCS becomes suddenly irritable about having to be in the chamber A few minutes later, he develops a twitch in his right forearm, and a few seconds after that, he develops a full-blown seizure. The second is a female diver who suddenly complains of nausea and feels as if she will vomit during her hyperbaric oxygen treatment, then a few seconds later, she begins to convulse The third is a 47-year-old ex-Navy diver being treated in the chamber for a CAGE, has a generalized tonic-clonic seizure during the last hour of treatment. All were being treated with an initial USN TT6. In each case, the chamber staff had been trained in managing oxygen toxicity, reacted appropriately, and the patients had no injuries or lastingadverseeffects.

Central nervous system (CNS) oxygen toxicity may develop on any oxygen treatment table With repeated USN TT6, especially with extensions, pulmonary oxygen toxicity may also develop. Unlike chamber emergencies such as fire and cardiac arrest, which are rare, oxygen toxicity can occur with greater frequency. Every recompression chamber should establish emergency procedures for oxygen toxicity and include them in staff training, so that the involved staff know what to do toensurethesituationismanagedappropriately

Chamber attendants must be alert for early symptoms of CNS oxygen toxicity. Once the symptoms present, they usually progress rapidly, possibly even before the attendant has time to react. Unfortunately, oxygen toxicity seizure may also occur without noticeable early warning signs. It is not always asobviousasit seems, especially if

the patient already had symptoms such as nausea, dizziness or apprehension at the beginning of their treatment.

Symptoms can be remembered by using the mnemonic VENTID-C:

V – Vision – blurry, tunnel vision

E – Ears – tinnitus - ringing in the ears), auditory hallucinations

N – Nausea

T – Twitching/Tingling – especially of lips and face, but can occur anywhere

I – Irritability, restlessness, apprehension

D – Dizziness or vertigo

C – Convulsion

At the first sign of CNS Oxygen Toxicity, the patient should be removed from oxygen and allowed to breathe chamber air. 15 min after all symptoms have subsided, oxygen breathing may be resumed. For USN TT5,6,and 6A, the treatment is resumed at the point of interruption. With seizures, the chamber attendant must protect the patient from physical injury. Repetitive, convulsive movements against a metal edge can result in significant soft tissue injuries if not prevented. Inserting an airway device or bite block is not recommended while the patient is convulsing. It is difficult and may cause harm if attempted.

If symptoms of CNS Oxygen Toxicity develop again, or if the first symptom is a convulsion, the patient should be removed from oxygen again and allowed to breathe chamber air. After all symptoms have completely subsided, decompress 10 feet at a rate of 1 foot/minute. With a convulsion, begin decompression when when the patient is fully relaxed and breathing normally. Then resume oxygen breathing at the point of interruption.

If another oxygen toxicity symptom occurs after ascending 10 feet, contact the diving medical officer to recommend further modification to the treatment table.

H E R Y L S H E A R N , C H T
S
Page 10 May 2024 rcn@dan org www dan org

The risk of CNS oxygen toxicity is much less likely at shallower depths and lower oxygen partial pressures, and physical activity increases the risk of CNS oxygen toxicity. Patients with severe CNS injuries may be prone to seizures and possibly more sensitive to CNS oxygen toxicity. Patients withanunknownorundisclosedhistoryofseizures may be more prone to oxygen toxicity seizures, as are febrile and dehydrated patients, or those who takeCNSstimulantssuchasamphetamines.

Pulmonary oxygen toxicity can develop in those utilizing elevated levels of oxygen diving, receiving surface oxygen and then HBOT especially with repeated USN TT5, 6 or 6A, extensions. The prolonged exposure to oxygen may result in endinspiratory discomfort, progressing to sub-sternal burningorseverepainoninspiration.Ifapatientin the chamber develops substernal burning, dry, hacking cough, chest tightness or dyspnea, bring this immediately to the attention of the attending diving medical officer. If significant neurological deficitremainsandimprovementiscontinuing,orif the patient deteriorates off oxygen, the diving medical officer may make the decision to continue oxygen breathing as long as considered beneficial, or until pain limits inspiration. If oxygen breathing must be continued beyond the period of substernal burning, the diving medical officer may decide to extendairbreaksto10minutesor,electtoprovide lower treatment oxygen partial pressures or even tailorthetreatmenttabletosuitindividualresponse totreatment.

Intheexamplesabove,thefirstpatientwasunable to tolerate further oxygen in spite of modifications to the treatment table, and the treatment was aborted.Thesecondhadnofurtheroxygentoxicity symptoms after the treatment table was modified. Thethirdpatientturnedouttohaveanundisclosed seizure history and was advised to discontinue diving.

Chamber medical emergencies which can be related to convulsions occurring during HBOT include lung barotrauma that can include pneumothorax. All chambers should havewritten

proceduresforthese,andothermedicalandoperational emergencies.Thestaffshouldbetrainedinthem,have scheduledperiodicreviewsorrefreshertraining.

PhotoCredit:ShearwaterResearch

References: USNDivingManual,version7,chapter17

DANRiskAssessmentGuideforRecompression ChamberFacilities,FourthEdition

OxygenToxicitySeizureMimics,DivingHyperb Med.2021Jun;51(2):161–166

Foley,K.,Banham,N.,Bonnington,S.,& Gawthrope,I.(2021).Oxygentoxicityseizure mimics.Divingandhyperbaricmedicine,51(2), 161–166. https://doi.org/10.28920/dhm51.2.161166

HyperbaricNursing,2002,BestPublishingCo.

Page 11 May 2024 rcn@dan.org www.dan.org

Emergency Action Plans (EAPs)

It is perhaps risky to share emergency action plans (EAPs) with others in case they are tempted to assume that they will work in their own environment or that they have all the necessary skills, training, and equipment.

However, the core steps in most emergencies will be similar.

In Newsletter Number 3, issued in March 2020, we discussed the essential attributes of effective EAPs. Since then, DAN published a fillable form that provides a solid basis for drafting plans or, at the very least, provides sufficient prompts to the hyperbaric team.

This form is on our website and can be freely accessed here.

In addition, those of you who have taken DAN’s online Recompression Chamber Course (available for free upon request) have access to the full range of EAPs for both technical and medical emergencies, contained in tables in the Chamber Operator and Chamber Tender manuals.

To illustrate a few different emergency situations, we have included these as drafted for specific facilities. You are welcome to use these for guidance, but we strongly encourage you to follow the process yourselves and to customize plans to suit your facility. Most important is that your team is competent to follow your plans.

You may also need to consider additional training and equipment.

The following diagrams cover some typical emergency situations encountered at facilities we have assisted or that we drafted EAPs for at facilities we have worked with in the past.

To review what we discussed in Newsletter #3, here is a full list of potentially expected emergency situations:

Chamberemergencies:

Loss of primary air and/or oxygen supply – see exampleprovided

Loss of backup air and/or oxygen supply – see examples(combinedwithabove)

Contamination of air or oxygen – see example provided

Rapid increase or decrease in chamber pressure

Fire inside or outside the chamber – see exampleofsmokeintheroom

Fire inside or outside of the compressor or gas storagefacilities

Lossofelectricalpower

Failure of any chamber systems (lighting, communications,etc.)

Activation of deluge system (either accidental orintentional)

Abandonment, being trapped inside the chamber

Externalthreats(weather,unrest,crime)

Patientorattendantmedicalsituations:

Oxygentoxicity–seeexampleprovided Arrhythmias,cardiacarrest(&defibrillation)

Pneumothorax

Barotrauma (middle ears, sinuses, teeth, lungs, intestinal)

Emergencymyringotomy

Arterialgasembolism

Respiratorydistressorbronchospasm

Suspectedhypoglycemia

Vomiting

Lossofconsciousness

Claustrophobia

Uncooperativeoraggressivepatient

If you are looking for specific guidance, please read the chamber operator and attendant manuals in the recompression chamber course, and then feel free tocontactusandshareyourdraftedplans.

F R A N C O I S B U R M A N , P E , M S C
Page 12 May 2024 rcn@dan.org www.dan.org

Examples of Emergency Action Plans

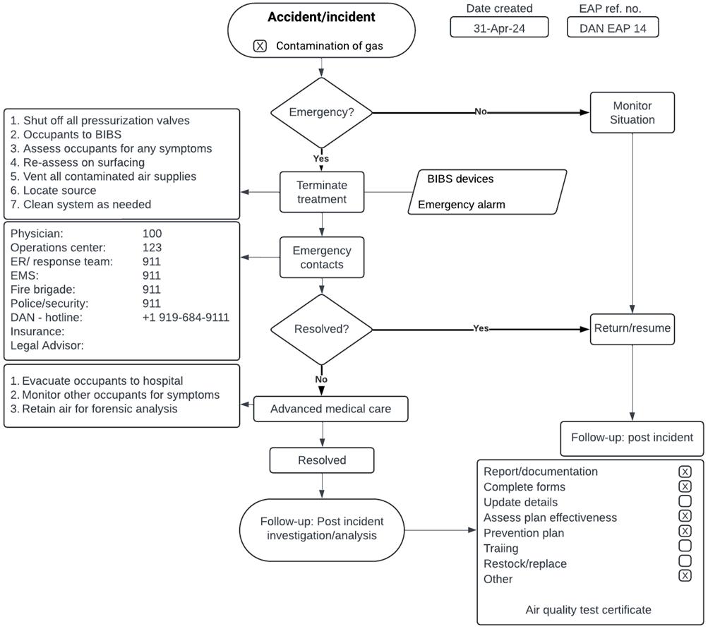
Contamination of gas

Page 13 May 2024 rcn@dan org www dan org
F R A N C O I S B U R M A N , P E , M S C
EAP:

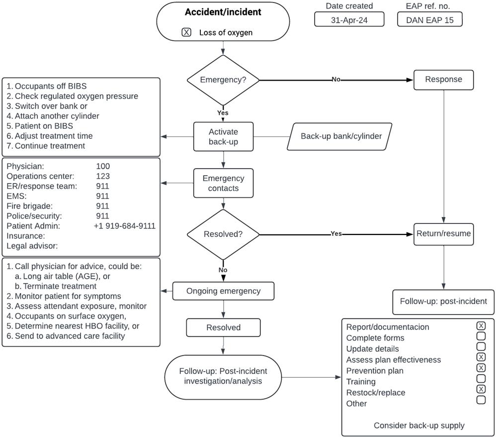
EAP: Loss of oxygen

Page 14 May 2024 rcn@dan org www dan org

EAP: Smoke in the room

Page 15 May 2024 rcn@dan org www dan org

EAP: Oxygen Toxicity

Page 16 May 2024 rcn@dan org www dan org

EAP:

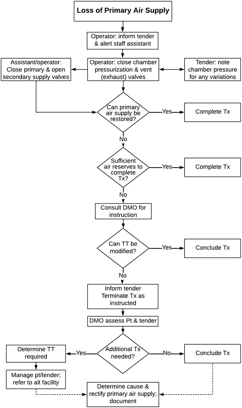
Loss of primary air supply

Page 17 May 2024 rcn@dan org www dan org

FREQUENTLY ASKED QUESTIONS

Q: What lubricants and sealants are appropriate for use in a hyperbaric facility?

A: All sliding or rotating surfaces, and including threaded joints, require a lubricant – whether to simply reduce friction, or to reduce the amount of heat generated by friction. Worn threaded joints, or where there are small leaks that develop over time, can be mitigated using a suitable sealant.

Oxygen is not a flammable gas, but when combined with a volatilized fuel and an ignition source ignition, the potentially devastating results are well publicized. In a hyperbaric environment we have all of these elements: oxygen, heat sources and materials that burn much more easily, especially where oxygen is above 21%.

Hydrocarbon-based cylinder valve fire

We therefore need to take great care when selecting materials, components, instruments, machinery, and gas control equipment, all of which may need some form of lubricant or sealant at some stage

To ensure that we remain safe regardless of what sort of equipment, lubricant or sealant may be needed, it is best to limit the types of products

22,2017

used to avoid confusion, and especially to maintain control over what may come into contact withoxygen-enrichedenvironments.

At the very minimum, no hydrocarbon-based products (greases, oils, sealants) should be allowed into a hyperbaric facility, and especially where surfaces are in contact with oxygen – even insmallamounts

CompatibleLubricants

Available information, pricing and availability are oftenlimitingfactorswhenitcomestowhatcanbe procured by a facility Compressors and other rotating machinery outside the actual hyperbaric chamber may well be lubricated using products that we do not want to come into contact with oxygen.

Inthisdiscussionwewillfocusonpressurecontrol equipment, seals, threaded joints, and any sliding surface likely to come into contact with elevated levelsofoxygen,includinginsidethechamber.

We will also use the term grease to indicate a lubricant used on sliding, mating, or sealing surfaces.

The primary purpose of a grease is to reduce friction. When tightening two threaded surfaces, we have two hard surfaces in close contact. A greasewillensurethatthetighteningeffortisused to achieve the required seal compression or tightness,ratherthanbeingusedtoovercome

Page 18 May 2024 rcn@dan org www dan org NYTimesJan

friction between the perhaps slightly damaged threads.

It can be used to ensure sliding surfaces, like the interlock mechanism, to retract smoothly and effective.

There are a few additional advantages to a grease thateffectchoice,suchas:

Acting as a barrier between two surfaces of different metals or materials, to protect them fromstickingtogether,orseizing.

Providing a minor degree of protection against surfacecorrosioncausedbytheenvironment.

Preserving materials, such as seals (flat and oringtype),andkeepingthemflexible.

Assisting with affixing seals and minor parts duringassembly,and Allowing a small amount of movement in repositioning of seals during assembly, as well aswhileinoperation.

However,greaseshavenostrengthproperties,and while they offer some temporary ability to stop very small leaks, they are not sealants. Eventually the greasewillbeforcedout.

There are many greases that are stable in oxygen at atmospheric pressure and up to at least 10 bar (145 psi). These include products used to lubricate door seals, hinges, interlocking and locking mechanisms. Where regular lubrication is needed, one would prefer to use a less expensive product. Silicone-based products are a good example of inexpensiveandreadilyavailablegreases.

Oxygen adds another dimension to the selection, asclearlyanyproductusedneedstoremainstable in oxygen, and more importantly, not produce flammable vapours at low temperatures If a chamber occupant touches a door seal before entering the chamber, and the grease is then left on a surface in the chamber, in elevated levels of oxygen,thiscouldpotentiallypresentaproblem

Thenfinally, operating, or environmentalpressure

needs to be considered. This is especially important with regard to seats and seals in high pressurecontrolequipment.

Product specification sheets, technical data sheets or application instructions do not always provide the answers needed. Some additional homework may be needed, especially when examining productsthatareaffordableandavailable.

The first column in the table below shows greases that can be used for general purpose applications in oxygen-enriched environments up to 100 bar (1450 psi) – be diligent in checking the actual pressure ratings. The second column shows greases compatible with oxygen up to the stated pressures.

To the best or the author’s knowledge, all of these products have been used in either hyperbaric or diving applications where oxygen is of concern. However, this does not automatically apply any endorsement of any listed product. One still needs to do some additional checking to ensure the grease is appropriate and also that it is compatible with the relevant materials – metals and synthetic orrubber-basedproducts.

Acceptablelubricantsforuseinhyperbaricsystems

Therearetwotakeawaymessageshere:

It is easier to use only one grease in a facility forallapplications.Thisavoidsanypotentialfor confusion. If the argument against this is cost, review your use of the grease, as it is a common mistake to use far too much to achievethesameresult. One should be very

Page 19 May 2024 rcn@dan org www dan org

sparing with the use of greases; it only requires a thinlayertoreducefriction.

CompatibleThreadSealants

This part of the discussion mirrors what we described above, with the primary difference being thefunctionandapplicationofsealants

The primary purpose of a sealant is to ensure a sealwherematingsurfacesarenotideal–perhaps caused by a degree of movement required during temperature changes, perhaps minor thread wear especially on tapered threads, perhaps just small surface aberrations However, these products are onlyintendedtosealminorleaks

There are a few additional advantages to a sealant thatmayaffectchoice,suchas:

Preventingthreadedjointsfromloosening.

Providing some friction reduction between threadedsurfacesduringassembly.

Acting as a barrier between two surfaces of different metals or materials, to protect them fromstickingtogether,orseizing.

Providing a minor degree of protection against surface corrosion caused by the environment andwherethesealantcoversthesesurfaces.

Therearethreeimportantnoteshere:

Threads must be clean and free of burrs or other imperfections that can cause damage duringassembly,

Thread sealants have no load bearing (strength) capability – they cannot replace a damagedthread

They should not be used together with a lubricant.

Threadsealantsareavailableinavarietyofforms:

Leadsealcapsulesand‘tinned’threads,used forheavierdutytaperedthreadapplications.

PTFE (Teflon) cones, used for clean applicationswheretaperedthreadsareused Threadsealants(liquidorpaste)

Lead-dippedsealant Tefloncone

Onceagain,productsareselectedbasedonprice andavailability,technicalcompliance,compatibility withthesealingsurfaces,andstabilityinoxygen.

The table below includes a range of oxygencompatible sealants and their respective environmentalpressureratings.

Tothebestortheauthor’sknowledge,allofthese productshavebeenusedineitherhyperbaricor diving applications where oxygen is of concern However, this does not automatically apply any endorsementofanylistedproduct.

Sealantsacceptableforuseinhyperbaricsystems

Thefinal,importantnotestothissectioninclude: Allprevioussealantproductmustbeeffectively removed – clean surfaces are needed for effectivebonding Carefulnotemustbetakenofdryingtime Sealants…. Seal! They are not intended to serveasprimarylubricants.

WhatthenaboutPTFE(Teflon)Tape?

The most universally used product for both lubricating and sealing actions is PTFE In fact,

Page 20 May 2024 rcn@dan org www dan org
Damagedthreads

PTFE is used as a base product in most lubricants andsealantsweuse

However, when it comes to tape form, is PTFE a lubricant orasealant?

To answer this, we need to consider the primary functions of PTFE tape, and that is to reduce friction, and thereby to enable an effective seal, using an additional seal such as an o-ring or flat elastomericwasher

It does appear to resolve very minor leaks, although in reality all it does is hide them temporarily

It does serve as a barrier between two dissimilar metals to reduce corrosion or materials, to protect them from sticking together, orseizing.

It does serve to reduce friction in tapered joints, enabling deeper engagement and effecting a betterthreadsurfacetosurfaceseal It isavailableinoxygen-compatibleform It does not serve as a sealant for parallel threads that require an o-ring or other soft materialtomaketheseal.

It has no strength or repair properties for damagedthreads.

Teflon is therefore primarily a lubricant and not a sealant. Its primary function is to reduce friction and ensure that the primary seal can do its job effectively

Page 21 May 2024 rcn@dan org www dan org

About The Authors

Dr. Eduardo Vinhaes (Brasil)

Eduardo Vinhaes is a diving and hyperbaric medicine specialist. Certified diver since 1982 with training in technical diving, has been participating as physician and diver in many diving expeditions in remote areas including high altitude diving (Lake Titicaca, Bolivia) and cave diving. After finishing medical residences in General and Thoracic surgery, he received his training in Hyperbaric Medicine the University of Campinas Hyperbaric facility and actually is the coordinator of the Post Graduate Course in Hyperbaric Medicine in another traditional medical school (Santa Casa de São Paulo) in Brazil.

Francois Burman, PE, MSC (South Africa)

Francois is a registered professional engineer and Vice President of Safety Services at Divers Alert Network, based in Durham, NC (USA). He is the author of the Risk Assessment Guide for Recompression Facilities, first published in 2001, and has performed over 150 on-site recompression chamber safety assessments around the world He has over 35 years of experience in designing, manufacturing, installing, supporting, and providing training in recompression chambers, has been with DAN since 1996, and is very active in supporting recompression chambers, especially through education and training

Sheryl Shea, RN, CHT (Mexico)

Sheryl is a registered nurse, a certified Clinical Hyperbaric Technologist, and works with the Medicine Department at Divers Alert Network. She has worked as a chamber operator and attendant, trained chamber personnel, worked for many years at a dive shop, has received extensive training in hyperbaric facility safety and technology, performed chamber safety assessments, and serves as both the chamber medical resource and diving medicine information specialist.

Page 22 May 2024 rcn@dan org www dan org

About The Authors

Dr. Matias Nochetto (Argentina)

Dr. Nochetto is DAN's Vice President of Medical Services and Programs. He received his medical degree in 2001 at Universidad de Buenos Aires (UBA) and completed a 3-year clinical and research fellowship in hyperbaric and diving medicine from National Autonomous University of Mexico (UNAM). At DAN, Dr. Nochetto runs the Medical Services Department where a team of paramedics, nurses and doctors handle calls on the Emergency Line and medical inquiries, as well as assisting with development and implementationof DANmedicalprogramsworldwide.

Dr. Ian Millar (Australia)

Dr Millar holds specialist qualifications in occupational medicine but has principally practiced in both diving medicine and clinical hyperbaric medicine for over 30 years since he left surgical training to work in emergency services in the 1980's. He has extensive experience in treating diving illness, with a special interest in the medical support of occupational diving, in which field he represents Australia on various advisory and standards bodies internationally. In his hospital based hyperbaric medicine practice, he has a special interest in high acuity hyperbaric critical care and the equipment required for this As a medical practitioner, he has a unique depth of engineering, safety and design knowledge and experience regarding the technology of hyperbaric therapy, in which field he teaches, consults, researches and audits He also supports pre-hospital emergency care provided by fire, police and rescue service personnel, with a special focus on remote, extremeandcompressedgasworkenvironments.

Contact Information

Divers Alert Network

Recompression Chamber Network technical and operational assistance

DAN Recompression Chamber Assistance Program

Recompression chamber and medicine enquiries

General diving safety enquiries

Chamber Operation Safety website

+1-919-684-2948

rcn@dan org

rcap@dan org medic@dan.org

riskmitigation@dan.org chamber-operational-safety

Page 23 May 2024 rcn@dan org www dan org

Turn static files into dynamic content formats.

Create a flipbook
Issuu converts static files into: digital portfolios, online yearbooks, online catalogs, digital photo albums and more. Sign up and create your flipbook.