NAForum nr. 2-2023

Page 1

Perioperativ diabetisk ketoacidose ved bruk av SGLT2-hemmere

Revisjon av Norsk Standard for Anestesi

Forhåndssamtaler – et viktig verktøy i palliativt arbeid

Tidsskrift for Norsk anestesiologisk forening, DNLF
36 -2 2023

ImmunoCAP Tryptase-test

Unik markør for alvorlige reaksjoner / mastocytose.

ImmunoCAP™ Tryptase er en unik markør som måler det totale nivået av tryptase, frigjort fra mastceller til blodbanen i blodsirkulasjonen. Forhøyet tryptasenivå hjelper klinikere med å bekrefte mastcelleaktivering ved forskjellige sykdommer og reaksjoner. 1-3

• Alvorlige allergiske reaksjoner

• Allergenspesifikk immunterapi

• Mastocytose

• Hematologiske lidelser

ImmunoCAP™ Tryptase muliggjør måling av forbigående økning i tryptasenivåene, i tillegg til å etablere personens basalnivå for tryptase. En forbigående økning av tryptase under en alvorlig reaksjon, hjelper med å identifisere og vurdere reaksjonens alvorlighetsgrad. 1 Et vedvarende forhøyet basalnivå av tryptase er en indikator på mulig mastocytose. 1,3

Referenser

Tryptase (hva og når)

Forbigående forhøyet tryptasenivå

• 15 minutter til 3 timer etter reaksjonen 1,2

Etabler tryptase basalnivå

• 24 – 48 timer etter reaksjonen, når alle kliniske symptomer er tatt hånd om 2,3

• Mastcelle-aktivering bekreftes dersom ∆-tryptase er ≥ 20% av pasientens eget basalnivå + 2 µg/li 4

1. Schwartz, L.B., Diagnostic value of tryptase in anaphylaxis and mastocytosis. Immunol Allergy Clin North Am, 2006. 26(3): p. 451-63.

2. Bonifazi, F., et al., Prevention and treatment of hymenoptera venom allergy: guidelines for clinical practice. Allergy, 2005. 60(12): p. 1459-70.

3. Horny H-P et al. Mastocytosis. In: Swerdlow SH, Campo E, Harris NL, Jaffe ES, Pileri SA, Stein H, Thiele J (Eds). WHO Classification of Tumours of Haematopoietic and Lymphoid Tissues (Revised 4th edition). IARC: Lyon, 2017.

4. Valent P, et al. Definitions, Criteria and Global Classification of Mast Cell Disorders with Special Reference to Mast Cell Activation Syndromes: A Consensus Proposal. Int Arch Allergy Immunol. 2011(157):215–25.

Finn ut mer på thermoscientific.com/phadia For mere informasjon: tlf 70 23 33 06, info-dk.idd@thermofisher.com © 2020 Thermo Fisher Scientific Inc. All rights reserved. All trademarks are the property of Thermo Fisher Scientific and its subsidiaries unless otherwise specified. 090920.1.AL.EU23.NO.v1.20
∆-tryptase Tid (t) 4 0 24
Tryptase (μg/l) Grunnlinje

NAForum

Tidsskrift for Norsk anestesiologisk forening

NAForum er et uavhengig tidsskrift. Meninger og holdninger avspeiler ikke nødvendigvis den offisielle holdning til styret i NAF eller Dnlf. Signerte artikler står for forfatterens egen regning. Kopiering av artikler kan tillates etter kontakt med ansvarlig redaktør og oppgivelse av kilde.

STYRETS SAMMENSETNING

Leder Jon Henrik Laake Oslo universitetssykehus, Rikshospitalet leder@nafweb.no

Nestleder Randi Marie Mohus St. Olavs Hospital nestleder@nafweb.no

Styrets kontakt overfor Anestesiutvalget

Kasserer Eirik Nydal Adolfsen Haukeland univesitetssykehus kasserer@nafweb.no

Styrets kontakt overfor Smerteutvalget

Sekretær Kaj Fredrik Johansen St. Olavs Hospital sekretar@nafweb.no

Styrets kontakt overfor Akuttutvalget

Medlemssekretær Vegard Tørå Dokka Sørlandet sykehus, Arendal medlem@nafweb.no

Høstmøtesekretær Oda Uhlin Husebekk HMR Ålesund/UNN hostmote@nafweb.no

Styremedlem Kirsten Brun Kjelstrup styremedlem@nafweb.no

Styrets kontakt overfor Intensivutvalget

NAForum, Vol 36; 2023, nr. 2

4 Lederen har ordet

Jon Henrik Laake

6 Redaktøren har ordet Anne Berit Guttormsen

7 Styrets hjørne Kirsten Kjelstrup

8 Perioperativ diabetisk ketoacidose ved bruk av SGLT2-hemmere – En pasientserie Gunhild Holmaas, Marianne C. Astor, Lillan M. Andreassen og Marit Farstad

11 Høstmøtet i Bergen

12 Revisjon av Norsk Standard for Anestesi Anestesiutvalget

14 Reisebrev fra Sapporo Pål Klepstad

18 Forhåndssamtaler – et viktig verktøy i palliativt arbeid

Nina Elisabeth Hjorth

22 Spesialitet i palliativ medisin Dagny Faksvåg Haugen

24 Jobbskifte: Fra intensiv til palliativt senter Anne Berit Guttormsen

26 Lindring av intraktable smerter hos palliative pasienter: Hva kan anestesiologen bidra med? Jan Henrik Rosland

29 PiCCO bør brukes oftere Jinyang Yu

31 Ludvig XIVs fistel: God save the king Genevieve Roulin

33 Indiahavet – På tokt med Statsraad Lehmkuhl Camilla Grung

Bli medlem i NAF

Design/layout

Apriil Media

www.apriil.no

Annonser Apriil Media www.apriil.no media@apriil.no

Forsidefoto

Streetart fra Bergen

Foto: Anne Berit Guttormsen

NAForum på internett www.nafweb.no

nafweb.no

Innmelding skjer via hjemmesiden til legeforeningen. Under fanen "medlem", kan du hake av at du ønsker å være medlem i NAF. Evt kontakt medlem@legeforeningen.no, eller kontakt oss på nafweb.no

Fullt betalende medlemmer (spesialister): kr 8 570.

Medlemmer uten spesialistgodkjenning: kr 7 590.

Stipendiater i full stilling: kr 6 420.

For ytterligere informasjon se medlem@legeforeningen.no

3
INNHOLD
NR 2 2022
36-2 2023

Lederen har ordet

Ingen snarveier til kompetanse

Kritisk syke og skadde pasienter er ikke tjent med at det oppstår strid om hvilken spesialitet som besitter rett kompetanse til å hjelpe dem. En tydelig rollefordeling er derfor ønskelig. Oppsplitting av fagfelt, slik vi nå opplever etter introduksjon av akutt­ og mottaksspesialister, og ved at intensivavdelinger opprettes i regi av andre spesialiteter, undergraver dette.

Kjernen i problemstillingen er at den som hjelper pasienten må ha solid faglig kompetanse, tuftet på praktisk erfaring og medisinsk vitenskap. Teoretisk kunnskap og praktisk erfaring er hver for seg utilstrekkelig grunnlag for utøvelsen av moderne anestesiologi, og må utfylle hverandre. Men vektingen av de to er et tilbakevendende problem i en travel hverdag, og de fleste vil trolig erfare at det er det praktiske arbeidet som blir gitt prioritet. Dette gjør noe med oss som fagansvarlige: De færreste av oss evner å se at egen erfaring kan være en usikker referanse når vi skal velge mellom ulike prosedyrer eller behandlingsstrategier for våre pasienter. Er vi usikre spør vi gjerne en kollega. Men om vedkommende har erfaring fra samme arbeidssted som oss selv, er sannsynligheten stor for at vi har de samme preferansene. Slik oppstår en erfaringsbasert kultur som i verste fall kan medføre at alle går på det samme skjæret.

Dersom det er avsatt lite tid til forskning og faglig fordypning er det stor risiko for at

vår evne til kritisk refleksjon rundt egen virksomhet forvitrer. Det kan gå så langt som at det uttrykkes irritasjon overfor kollegaer som stiller kritiske spørsmål. Men uten kritikk og empirisk forskning blir vi fort et laug heller enn en fagmedisinsk forening. I jakten på kunnskap er det mange fallgruber, og like mange språklige bilder: «Range vegen vert ikkje rett om det er mange som går han», lyder et norsk ordtak. Argumentum ad populum, eller «folkets røst», er to andre og illustrerer at konsensus kan skape en problematisk illusjon av å ha rett. Motsatt er det å lene seg for tungt på faglige autoriteter like problematisk.

Deltakelse i kliniske studier eller i strukturert arbeid med kliniske retningslinjer gir de fleste leger en brutal påminnelse om utilstrekkeligheten i eget formelt kunnskapsnivå, og illustrerer også godt hvorfor heller ikke solid teoretisk og vitenskapelig innsikt er nok. Å forstå klinisk forskningsmetodikk er en forutsetning for å tolke tilgjengelige kunnskapskilder. Og når metodene som anvendes i klinisk forskning øker i kompleksitet kommer vi klinikere ofte til kort. Men med slik innsikt blir vi også pinlig klar over hvor spinkelt kunnskapsgrunnlaget er for deler av moderne medisin, og det lærer oss å styre unna de mest fantasifulle tilnærmingene kollegaer i inn­ og utland har å by på.

En rasjonell debatt blant kollegaer, om fordeler og ulemper ved ulike prosedyrer

eller behandlingsmetoder, vil måtte ta utgangspunkt i både formelle og uformelle kunnskapskilder. Dersom vi legger overdreven vekt på vår egen erfaring, selv om den er kollektiv, risikerer vi systemfeil heller enn god pasientbehandling.

Dersom norske anestesileger skal bevare troverdighet som forvaltere av de fire «søylene» i faget vårt, er det bare hardt arbeid å by på. Via vårt kollektive medlemskap i Scandinavian Society of Anaesthesiology and Intensive Care Medicine (SSAI) tilbys vi imidlertid praktisk og teoretisk etterutdanning tilpasset kunnskapsnivået til skandinaviske klinikere. SSAI har egne programmer i intensivmedisin, i obstetrisk anestesi, barneanestesi og thoraxanestesi, og i smertemedisin, perioperativ medisin og akuttmedisin. Men SSAI tilbyr også kurs i klinisk forskningsmetodikk og inviterer til deltakelse i kliniske retnings linjepaneler.

Denne skandinaviske modellen har fått internasjonal oppmerksomhet; i år har European Society of Intensive Care Medicine (ESICM) gitt sin tilslutning til det nordiske etterutdanningsprogrammet i intensivmedisin. Det er en anerkjennelse av at vår modell for å ivareta egen kompetanse er på rett spor og i tråd med europeisk tankegang. Men det er opp til hver enkelt avdeling, og hver enkelt lege, å benytte seg av tilbudet. Vi må hegne om faget vårt.

4

Bactiguards unike belegg

reduserer risikoen for sykehusinfeksjoner

Gi din pasient en ekstra beskyttelse mot sykehusinfeksjoner med Bactiguards infeksjonsforebyggende teknologi; Bactiguard Infection Protection (BIP).

Et patentert belegg bestående av gull, sølv og palladium som i kontakt med væske skaper en galvanisk effekt som fører til at færre bakterier fester på produktet. Mindre mikrobiell adhesjon reduserer risikoen for biofilmdannelse og infeksjon.

Færre sykehusinfeksjoner bidrar til et redusert forbruk av antibiotika, reduserer behandlingskostnader og øker pasientsikkerheten.

BIP Central Venous Catheter

Reduserer risikoen for CRBSI med 52% og har vist en veldig god blodkompatibilitet1,2

BIP Endotrahceal Tube

Reduserer risikoen for VAP med 53%3.

Les mer om våre infeksjonsforebyggende løsninger www.bactiguard.com

1. Goldschmidt H, et al. Prevention of catheter-related infections by silver coated central venous catheters in oncological patients. Zentralbl Bakteriol 1995 Dec;283(2):215–23.

2. Harter C, et al. Catheter-related infection and thrombosis of the internal jugular vein in hematologiconcologic patients undergoing chemotherapy: a prospective comparison of silver-coated and uncoated catheters. Cancer 2002;94:245–51.

3. Damas P, et al. Prevention of ventilator-associated pneumonia by noble metal coating of endotracheal tubes: a multi-center, randomized, double-blind study. Ann. Intensive Care 12, 1 (2022). https://doi. org/10.1186/s13613-021-00961-yl.

4. Kai-Larsen Y, et al. Foley catheter with noble metal alloy coating for preventing catheter-associated urinary tract infections: a large multi-center clinical trial. Antimicrob Resist Infect Control 2021;10(1):40.

BIP Foley TempSensor

Urinkateter med integrert temperaturovervåking reduserer risikoen for CAUTI med 69%4

RMH-16852
Vår samarbeidspartner i Norge

Redaktøren har ordet

I sommerens NAForum er det flere innlegg med tema Palliasjon. Smerte og Palliasjon er en av de fire søylene i anestesifaget, og anestesileger har spilt en sentral rolle i utviklingen av faget.

Alle anestesifagets fire søyler har tilbud om Nordiske kurs. Palliativ medisin er intet unntak. Kurset arrangeres ikke av de nasjonale anestesiforeningene, men av spesialforeningene for palliativ medisin i respektive land. Målsettingen med kurset er å gi den teoretiske utdanningen som kreves for Kompetanseområde palliativ medisin. Kurset består av seks kursuker som holdes på ulike steder i Norden. Deltakerne må gjøre et avgrenset forskningseller fagutviklingsprosjekt som del av kurset. Det er hjemmeoppgaver mellom modulene og en skriftlig, avsluttende eksamen.

I år gjennomføres kurset for siste gang. Dette fordi palliasjon nå er opprettet som en egen hovedspesialitet. Du kan lese mer om dette i artikkelen til professor Dagny Faksvåg Haugen.

I dette nummeret av NAForum kan du også lese om hvordan det er å være lege på tokt med Statsraad Lehmkuhl og hvorfor du bør bruke PiCCO kateter mer enn du gjør.

Videre oppfordrer Styret foreningens medlemmer til å stille til styrevalg og til verv i spesialitetskomiteen. Uten engasjerte anestesiologer i styrer og utvalg råtner vi på rot.

Har du et snev av lyst – meld deg til tjeneste.

Gjengen i Bergen gleder seg til å invitere til Høstmøte. Sett av tiden og meld deg på.

God sommer!

I morgen reiser jeg på en ukes ferie på Helgelandskysten – tar med badedrakt. AB Bergen 3.6.23

6
«Død er ikke noe du burde frykte, for så lenge du er her, er ikke døden her, og når døden ankommer, er du borte.»
Antonio Machado Reza

Styrets hjørne

Vi hadde gledet oss til å vedta en ny Norsk standard for anestesi, NSA. Revisjonsgruppen hadde gjort grundig forarbeid. Dokumentet hadde vært på bred høring og vekket lokale debatter i hele landet. Revisjonsgruppen hadde gått nøye gjennom høringssvarene og inkorporert innspillene på en klok måte i utkastet det skulle stemmes over. Syntes vi. Det hadde ikke falt oss inn at denne NSA­versjonen kunne blir nedstemt av det ekstraordinære årsmøtet. Men det ble den.

Det var avsnittet om barneanestesi som ble umulig å godta. ­ Med disse formuleringene er det nesten ingen sykehus i landet som kan drive barneanestesi, hevdet møtedeltakerne. Hvor mange anestesiologer kan egentlig påstå at barneanestesi er en vesentlig del av deres praksis? Og hva betyr egentlig vesentlig? Betydningsfull? Stor andel? Hovedaktivitet? Bekymringen gikk ut på at en slik fortolkning av ordet ville kunne føre til sentralisering av barneanestesi, med den konsekvens at beredskap for akutt syke barn totalt sett blir svekket. Det kom forslag til omformuleringer, flere gode, og på et tidspunkt virket det fristende å lage et nytt utkast nærmest over bordet.

Men møteleder Jon Henrik beholdt roen og tillot ingen forhastede omkalfatringer. Det ble stemt over utkastet slik det forelå; ja eller nei.

Nei, sa årsmøtet, med en liten overvekt.

Det var et nedtrykt styre som logget ut av Teams­møtet etter avstemningen. Kunne vi gjort dette annerledes? Ja. Teams er en dårlig arena for god diskusjon. Møtedynamikken blir stringent, og det var vanskelig å legge en plan B på sparket. Styret tar selvkritikk på at vi som gode anestesileger burde vi hatt en plan B i ermet før plan A begynte å floke seg til.

Implementeringen av den nye standarden må dermed vente til årsmøtet i uke 43. Et halvt år er ikke så lenge sett i lys av at NSA har eksistert siden 1991. Det er mye viktigere at vi får en standard som fagutøverne faktisk føler eierskap til. Dessuten er det veldig gledelig at NAF­medlemmene engasjerer seg og møter opp på Teams selv om tidspunktet er vanskelig å kombinere med henting i barnehagen.

Nå ser vi frem til behandlingen på det ordinære årsmøtet i Bergen på gamlemåten. Vi gleder oss til å diskutere med dere, og vi regner med at NSA vil bli godkjent med innhold og forumleringer som vi, anestesiologer i Norge, står inne for.

7
Kirsten Kjelstrup Styremedlem

Perioperativ diabetisk ketoacidose ved bruk av SGLT2-hemmere

En pasientserie

Perioperativ normalt- og forhøyet aniongaps diabetisk ketoacidose hos seks pasienter med type-2-diabetes som brukte SGLT2-inhibitorer: Pasienthistorier som illustrerer behovet for internasjonale forskningsbaserte retningslinjer.

Perioperativ diabetisk ketoacidose (DKA) hos pasienter med type­2­diabetes som bruker sodium glucose cotransporter­2 inhibitorer (SGLT2i) er godt dokumentert,1,2 og ulike retningslinjer for profylakse og behandling er publisert.3,4,6 Så langt er det ingen konsensus om når SGLT2i skal seponeres før og reintroduseres etter kirurgi.

Britiske retningslinjer fra Centre for Perioperative Care (CPOC) anbefaler seponering dagen før kirurgi,3 sikkerhetsanbefalinger fra trans­Tasmanske diabetesand anestesiorganisasjoner to dager, 4 amerikansk Food and Drug Administration (FDA) 3­4 dager 5 og norske endokrinologiske retningslinjer 3­5 dager før stor kirurgi.6

Rapporter om forlenget renal inhibering ved bruk av SGLT2i kan tyde på at fem halveringstider ikke er lang nok seponeringstid. 7 Khunti et al argumenterer for at SGLT2is positive effekt på nyre­ og hjertesvikt, blant annet hos covid 19­pasienter, utfordrer dagens utbredte anbefaling om seponering ved alvorlig sykdom.8

De trans­Tasmanske­ og CPOC­retningslinjene anbefaler å restarte SGLT2i når pasi­

enten spiser normalt og har normale blodketoner,3,4 mens de norske retningslinjene anbefaler oppstart dagen etter at pasienten spiser normalt og væskebalansen er stabil.6

I mai 2018 fikk en 47 år gammel kvinne (pasient A) livstruende ketoacidose etter ukomplisert hjertekirurgi på Haukeland Universitetssykehus. Hendelsen førte til økt oppmerksomhet blant anestesipersonalet i forhold til syre­baseforstyrrelser per­ og postoperativt hos pasienter som brukte SGLT2i. Vi brukte blod­ketoner ≥ 3.0 mmol l­1 og HCO3 ≤18 mmol l­1 som indikatorer for DKA.6

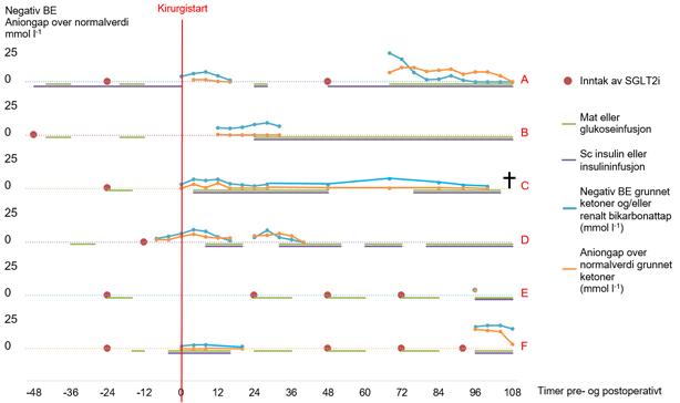
Figur 1: Perioperativ tidslinje for pasient A–F Matinntak eller intravenøs glukose, insulininfusjon eller subkutant insulin og peroral SGLT2i før, under og etter kirurgi. Negativ base excess (blå linjer) viser total acidose som mmol l-1. Acidosen består av aniongap over normalverdi grunnet ketoner (oransje linjer) og normalt aniongaps acidose grunnet renalt basetap. Pasient A og D ble behandlet med buffer som reduserte negativ base excess (BE).

8
Gunhild Holmaas Kirurgisk Serviceklinikk, Haukeland Universitetssykehus gunhild.holmaas@helse-bergen.no Marianne C. Astor Endokrinologisk seksjon, Medisinsk avd., Haukeland Universitetssykehus marianne.catharina.astor@helse-bergen.no

I løpet av ett år ble ytterligere syv tilfeller av ketoacidose påvist og behandlet i forbindelse med de ca. 21500 anestesikrevende kirurgiske prosedyrene som ble gjennomført på sykehuset.

Vi har fått godkjenning fra seks av pasientene eller deres pårørende og fra regional etisk komite (REK Vest 219728) til å skrive denne artikkelen.

På Haukeland Universitetssykehus bruker vi vanligvis glukose/insulindrypp med glukosekontroll hver 4. time til fastende diabetespasienter, og i 2018 og 2019 brukte vi ringeracetat som per­ og postoperativt standard krystalloid.

SGLT2i i bruk var empagliflozin med halveringstid 12,4 timer og dapagliflozin med halveringstid 12,9 timer. Alle pasientene hadde ketonuri, og ingen hadde forhøyet laktat. Halvparten av pasientene hadde euglykemisk ketoacidose med blod­glukose < 11,1 mmol l­1

Glukoseinntak, insulin og SGLT2iadministrering samt grad av acidose er vist i figur 1. Blodketonmåling måler kun ett av ketonene, β­hydroxybutyrat, og aniongap over normalverdi brukes derfor til å angi grad av forhøyet aniongaps acidose i figuren.

Pasienthistoriene

A. Den 47 år gamle kvinnen ble funnet bevisstløs tre dager etter ukomplisert elektiv hjertekirurgi. Hun hadde acetonluktende ånde, og blod­glukose var 13,9 mmol l ­1. Hun hadde en kombinert normalt­ og forhøyet aniongaps acidose med HCO3 3,0 mmol l­1 og pH 6.87. Hun kom seg etter glukose/insulindrypp og totalt 1200mmol buffer.

B. En 78 år gammel mann ble svært kvalm dagen etter ukomplisert elektiv hjertekirurgi. Blodglukose var normal. Han hadde acetonluktende ånde og blodketoner 3.2 mmol l­1. Han hyperventilerte og kompenserte en hovedsakelig normalt aniongaps acidose med HCO3 13,0 mmol l ­ 1 til pH 7,35. Glukose/ insulindrypp over to dager korrigerte syre ­ baseforstyrrelsen. SGLT2i ble gjeninnsatt to uker senere uten ytterligere komplikasjoner.

C. En 69 år gammel kvinne utviklet en kombinert euglykemisk normalt­ og forhøyet aniongaps acidose under elektiv nevrokirurgi. Blodketoner var 4,2 mmol l­1, HCO3 16,0 mmol l­1 og pH 7.32. Glukose/insulindrypp over to dager normaliserte blodgassene, men etter seponering falt HCO3 igjen, og infusjonen ble startet på nytt med effekt. Fjerde postoperative dag døde pasienten av massiv lungeemboli.

D. En 67 år gammel multimorbid mann ble innlagt med septisk sjokk og Fourniers gangren, en kjent komplikasjon til SGLT2i. Under kirurgisk revisjon utviklet han en kombinert normalt­ og forhøyet aniongaps acidose med blodketoner 4,3 mmol l­1, HCO3 14,5 mmol l­1 og pH 7,27. På grunn av sirkulatorisk instabilitet ble pH korrigert med buffer. Glukose/insulindrypp korrigerte acidosen som gjenoppstod i forbindelse med noen timers pause grunnet radiologisk utredning. Pasienten fikk intensivbehandling i en måned uten flere episoder med DKA.

E. En 76 år gammel mann med en patologisk fraktur ble ekstremt kvalm etter kirurgi. Han spiste mat og tok sin

foreskrevne SGLT2i uten å kaste opp. Fjerde postoperative dag var blodglukose 11,0 mmol l­1, blodketoner 4,3 mmol l­1 og HCO3 19,5 mmol l­1. Da SGLT2i ble skiftet ut med subkutan insulin, forsvant kvalmen. pH var 7,43 og HCO3 >18 mmol l­1, så han fylte ikke kriteriene for DKA, men han hyperventilerte til PaCO2 4,0 kPa, han fastet ikke, og blodketonene var høyere enn 3,0 mmol l­1

F. En 65 år gammel kvinne ble kvalm og tungpusten fem dager etter ukomplisert elektiv gynekologisk kirurgi. Blodsukker var 12,5 mmol l­1. Hun hadde kombinert normalt­ og forhøyet aniongaps acidose med blodketoner 6,3 mmol l­1 og HCO3 4,0 mmol l­1. Hun hyperventilerte til PaCO2 1,5 kPa og pH 7,21. Ketoacidosen ble korrigert med sykehusets ketoacidoseprotokoll.

Alle de elektive pasientene seponerte SGLT2i ≥24 timer før kirurgi. Pasient B, D og E fastet over ett døgn. Pasient F fikk profylaktisk glukose/insulindrypp under og etter kirurgi og pasient C og D postoperativt. Ingen pasienter startet SGLT2i igjen før de spiste normalt.

Verken seponering ≥24 timer før kirurgi, kort fastetid eller peri­ og postoperativt glukose/insulindrypp forhindret ketoacidose. Hos våre seks pasienter var enten seponering av SGLT2i ≥24 timer for sent eller postoperativ gjeninsetting når de spiste normalt for tidlig.

Alle pasientene ble behandlet med karbohydrater og insulin og seponering av SGLT2i. Pasient A og D fikk i tillegg buffer.

9
Lillan M. Andreassen RELIS Vest, Haukeland Universitetssykehus lillan.mo.andreassen@helse-bergen.no Marit Farstad Kirurgisk Serviceklinikk, Haukeland Universitetssykehus marit.farstad@helse-bergen.no

Tidsskrift for Norsk anestesiologisk forening, DNLF

Patofysiologi

Normalt aniongaps acidose på grunn av renalt bikarbonattap er vanlig ved SGLT2iassosiert DKA.1,9 En pasient hadde kun normalt aniongaps acidose og en kun forhøyet aniongaps acidose. De andre hadde kombinasjoner. Buffer kan muligens ha en rolle som behandling for normalt aniongaps acidose ved SGLT2i­assosiert DKA, da noen av farene ved bufring ved hyperglykemisk DKA, som hjerneødem ved fall i osmolalitet og alvorlig hypokalemi, er mindre uttalte grunnet lavere glukosenivå.9,10

Insidensen for perioperativ SGLT2iassosiert DKA er ikke kjent. Årsakene er komplekse og ikke fullt utforsket. SGLT2i brukes også ved hjerte­ og nyresvikt hos pasienter som ikke har diabetes.11,12 Ingen av 4458 SGLT2i ­ brukere uten type ­ 2diabetes fikk DKA i fire studier, men disse pasientene gjennomgikk ikke kirurgi.8,13 Om perioperativ DKA også vil opptre hos pasienter uten type­2­diabetes, vil framtiden vise. Overvåkenhet hos helsepersonell og god informasjon til pasienter er viktig, og internasjonale forskningsbaserte perioperative retningslinjer må komme på plass.

Referanser

1. Thiruvenkatarajan V, Meyer EJ, Nanjappa N, Van Wijk RM, Jesudason D. Perioperative diabetic ketoacidosis associated with sodium-glucose co-transporter-2 inhibitors: a systematic review. Br J Anaesth 2019; 123: 27‐36

2. Somagutta MR, Agadi K, Hange N et al. Euglycemic Diabetic Ketoacidosis and Sodium-Glucose Cotransporter-2 Inhibitors. A Focused Review of Pathophysiology, Risk Factors, and Triggers. Cureus 2021; 13: e13665

3. Diabetes Guideline working group. Centre for Perioperative Care. Guideline for Perioperative Care for People with Diabetes mellitus Undergoing Elective and Emergency Surgery. March 2021. CPOC_Diabetes_ Surgery_Guideline_March_2021.pdf (abcd.care) (sett 15. januar 2023)

4. Australian Diabetes Society, Australian Diabetes Educators Association, Diabetes Australia, Australian and New Zealand College of Anaesthetists, and New Zealand Society for the Study of Diabetes. Periprocedural diabetic ketoacidosis (DKA) with SGLT2 inhibitor use in people with diabetes. Alert update January 2022. Microsoft Word - 2021 ADS_DKA_ SGLT2i_Alert_highlighted changes Jan 22 .docx (diabetessociety.com.au) (sett 15. januar 2023)

5. FDA revises labels of SGLT2 inhibitors for diabetes to include warnings about too much acid in the blood and serious urinary tract infections. FDA Drug Safety Communication. https://www.fda.gov/drugs/drug-safety-and-availability/fda-revises-labels-sglt2inhibitors-diabetes-include-warnings-abouttoo-much-acid-blood-and-serious (sett 15. april 2023)

6. Ueland GÅ, Huseby Ø, Whitfield R, Nermoen I, Tazmini K, Berge TJ. Norsk endokrinologisk forening: Nasjonal veileder i endokrinologi. SGLT-2-hemmere ved innleggelse i sykehus, ved faste til undersøkelser og ved kirurgi. 14. mars 2023. https://endokrinologi.no/index. php?action=showtopic&topic=TshVR3xA (sett 15. april 2023)

7. Thiruvenkatarajan V, Jesudason D, Nanjappa N, Meyer EJ, Van Wijk RM. Perioperative Management of Glucose-lowering Drugs: Comment. Anesthesiology 2021; 134: 349-50

8. Khunti, K, Aroda, VR, Bhatt, DL, et al. Re-examining the widespread policy of stopping sodium-glucose cotransporter-2 inhibitors during acute illness: A perspective based on the updated evidence. Diabetes Obes Metab 2022; 24: 2071- 2080

9. Sampani E, Sarafidis P, Dimitriadis C et al. Severe euglycemic diabetic ketoacidosis of multifactorial etiology in a type 2 diabetic patient treated with empagliflozin: case report and literature review. BMC Nephrol 2020; 21:276

10. Chua HR, Schneider A, Bellomo R. Bicarbonate in diabetic ketoacidosis - a systematic review. Ann Intensive Care 2011; 1:23

11. Theresa A McDonagh et al, ESC Scientific Document Group, 2021. ESC Guidelines for the diagnosis and treatment of acute and chronic heart failure: Developed by the Task Force for the diagnosis and treatment of acute and chronic heart failure of the European Society of Cardiology (ESC) With the special contribution of the Heart Failure Association (HFA) of the ESC, European Heart Journal 2021; 42:3599-3726

12. Harrington WG et al. UK Kidney Association Clinical Practice Guideline: Sodium-Glucose Co-transporter-2(SGLT-2) Inhibition in Adults with Kidney Disease. October 2021. UKKA guideline: SGLT2i in adults with kidney disease (ukkidney.org) (sett 13.april 2023)

13. Goldenberg RM. Sodium-glucose cotransporter-2-inhibitors increase risk of diabetic ketoacidosis in adults with type 2 diabetes: Should we be concerned in people without diabetes? Canadian J Diabetes 2022; 46:109

10

Følg med på NAFweb og instagramkonto anestesi_bergen_2023 – fullstendig program finner du på NAFweb.

Høstmøtet i Bergen

Best på det vi gjør mest

Vi er glade over å kunne invitere dere til Bergen i uke 43. Programmet er så å si klart og byr på tema fra alle de fire søylene.

Møtet arrangeres på Grand Hotell Terminus som ligger sentralt i forhold til adkomst fra Flesland eller jernbanestasjonen. Hotellet ble fredet av Riksantikvaren i 2012. Noen vil kanskje også la seg begeistre over at hotellet huser Bar Amundsen med en prisbelønnet whiskysamling.

Det faglige programmet starter opp med to plenumsforelesninger, en om ketamin og en om moderne brannskadebehandling. Vi legger opp til to parallelle sesjoner gjennom hele møtet. Du kommer til å få høre om håndtering av akutt sykt barn, luftveishåndtering, spinal i palliativ behandling, prioriteringsdilemma, bruk av fullblod, hvordan håndtere postpartum blødninger mm.

Det sosiale programmet vil blant annet by på smaking av den prisbelønnede whiskeyen på hotellet, sauna for de morgenfriske, og sist men ikke minst en fantastisk festmiddag med musikk, dans og god underholdning.

Et godt høstmøte skapes av medlemmene. Vi håper på mange abstrakt, entusiasme og livlige faglige diskusjoner.

Til slutt; Vi oppfordrer også representanter for de fire søylene til å arrangere fagspesifikke program. Det er satt av tid til disse møtene onsdag kl 18.30 ­20.00.

Vel møtt!

Kollegial hilsen

Høstmøtekomiteen 2023

11

Anestesiutvalget:

Revisjon av Norsk Standard for Anestesi

En hverdagshistorie fra klinikken:

Den erfarne anestesiologen er satt opp til anestesi på et friskt barn på 13 måneder til lyskebrokk-kirurgi. Han har vært ansvarlig for 800 barneanestesier de siste 10 årene men det utgjør nok ikke mere enn 10-20 prosent av hans samlede antall anestesier. Han har ingen formell utdannelse innen barneanestesi men har hospitert på større sykehus flere ganger. Anestesiteamet består i tillegg av en erfaren anestesisykepleier samt en LIS III som skal superviseres.

En enda mere erfaren anestesiolog spør dagen før om hun kan være med som observatør.

Det samla teamet bruker god tid på planlegging, gjennomføring og ikke minst refleksjoner i etterkant.

Norsk Standard for Anestesi (NSA) ble utarbeidet første gang i 1991. Den revideres nå for 6. gang og et forslag til ny revidert NSA var gjenstand for behandling og avstemning på et ekstraordinært årsmøte på Teams i mars i år. Forslaget til ny versjon av NSA ble stemt ned, og vi oppfatter at man vil behandle saken på ny på det ordinære årsmøtet på Høstmøtet i Bergen. Revisjonsgruppen som i 1 ½ år har jobbet med en ny NSA vil i det følgende benytte anledningen til presentere det nye forslaget og reflektere rundt dette.

Dette er et arbeide som NAF og ANSF (Anestesisykepleierne NSF) har gjort sammen. Godt anestesiologisk arbeid forutsetter godt teamarbeid. Vi er helt enige

med de som mener at NSA i så måte har hatt en positiv og oppdragende effekt. Vi tror også at det er et betydelig potensiale ved å bruke NSA som et verktøy for å utvikle dette teamarbeidet videre.

Avgrensninger og begrensninger ved Norsk Standard for Anestesi NSA er ikke en prosedyrebok. Vi ønsker at den skal fungere som en minimumsstandard for hvordan faget vårt skal utøves. Hensikten er å ivareta pasientsikkerheten gjennom å sikre tilfredsstillende og mest mulig lik anestesipraksis i Norge. Det stiller krav til at språket i NSA er mest mulig presist. Vi opplever at noe av kritikken mot det nedstemte forslaget til ny NSA dreier seg om ulik tolkning av enkelte formuleringer.

Selv om NSA er en fagstandard har vi stor respekt for at forhold som demografi, geografi og økonomi også er faktorer som definerer hvordan helsevesenet er organisert. NSA må ikke formuleres slik at ovennevnte ikke – faglige forutsetninger umuliggjør at den kan følges. Det beste må ikke bli det godes fiende. NSA setter allikevel allerede i første kapittel krav til at vi som helsepersonell og organisasjoner reflekterer og tar hensyn til dette: «Ved praksis som systematisk avviker fra NSA skal det utarbeides lokale risiko ­ og sårbarhetsanalyser» .

Tilgjengelighet til kritisk utstyr og personell er et annet tema som det er krevende og være presis på. Vi har definert krav til at noe skal være «lett tilgjengelig». Dette gjelder til eksempel videolaryngoskop. Å sette et krav i meter eller sekunder på hva som kan defineres som «lett tilgjengelig» er ikke mulig. Det vil avhenge av flere forhold og forutsetter lokale diskusjoner og analyser.

Versjon 2023 – en mindre revisjon

I hovedsak har vi oppfattet dette som en mindre revisjon etter at versjonen fra 20161 hadde betydelige endringer. Det er verdt å merke seg at man har en sedvane i NSA for å skille mellom «skal» og «bør» ved implementering av nye kvalitets forbedrende tiltak og nytt utstyr. Nye tiltak går ofte via

12
(leder) Anestesiolog UNN Tromsø/ Helgelandssykehuset Sandnessjøen svein.arne.monsen@helgelandssykehuset.no

«bør» i en versjon til «skal» i den neste (til eksempel nevromuskulær overvåkning ved bruk av ikke­depolariserende muskelrelaksantia). Etter samme lest har vi nå foreslått at variabel puls­tone bør vurderes

Andre nye tema i faget vårt som er tatt inn eller styrket i denne versjonen er:

• Bruk av tvang

• Betydningen av anestesikompetanse i virksomhetenes beredskapsplaner

• Miljømessige hensyn

• Tilstedevære av bakvakt

• Anestesipersonells deltagelse ved anskaffelse og anbudsinnhenting på medisinsk utstyr

• Vurdering av skrøpelighet for pasienter over 65 år

• Tilgjengelighet for ultralyd

• Definisjon av våken­ og ikke­våken sedasjon

• Bruk av kapnograf ved ikke­våken sedasjon.

• Bruk av «Sjekkliste for trygg kirurgi»

• Anestesiarbeid i intrahospital akuttmedisin og på intensivavdelinger

• Utredning av mistenkt allergisk reaksjon

• Vurdering av pasienter med alvorlig søvnapnoe­syndrom mht dagkirurgisk virksomhet

• Plan for varighet og omfang av opioidbehandling postoperativt

Anestesi hos barn

Vi har oppfattet at hovedkritikken mot vårt forslag dreier seg om forhold ved barneanestesiologisk virksomhet. Dette var også gjenstand for gode diskusjoner ved forrige revisjon. Vi mener at den nye versjonen er skrevet slik at den fremmer kvalitetshevende tiltak uten at den er sentraliserende.

Tina

I realiteten er det ingen endring mht anestesiologisk virksomhet for de minste (under et år) og sykeste barna. Disse bør møte et erfarent anestesiteam innen barneanestesi. Vi oppfatter at dette er i tråd med slik praksisen er i dag. Vi har vektlagt betydningen av at dette i størst mulig grad skjer på sykehus med barneavdeling. Dette mener vi sier noe om betydningen av tverrfaglig tilnærming og infrastruktur i det perioperative forløpet.

Studier har vist at risikoen er større for uheldige hendelser ved anestesi av barn under 3 år 2. Vi mener allikevel at mindre kirurgi til barn mellom 1 og 3 år bør kunne skje på veldig mange sykehus. Vi mener også det bør være to spesialister i anestesiologi tilgjengelig i avdelingen ved slik anestesi. Det første vi gjør når vi trenger hjelp er at vi ber om hjelp. Da bør det være noen der.

For større barn (eldre enn 3 år), også når disse er ASA 3, bør det foretas en individuell vurdering om hvorvidt videreutdanning/ erfaring/praksis innenfor anestesi til barn er påkrevd. Selv om man er definert som barn til man er 18 år vil kravene til barneanestesiologisk fokus være glidende avhengig av barnets alder og tilstand samt type kirurgi.

Hva er vesentlig del av praksis?

Kanskje har den største diskusjonen vært rundt vår formulering der vi mener det bør være kollegaer med en vesentlig del av sin praksis som skal anestesere de minste barna. Noen har ment at dette betyr at det bør være over halvparten av anestesiene. Dette har aldri revisjonsgruppa ment og det gjør heller ikke definisjonene av vesentlig i de ordbøkene vi har brukt.

God kvalitet og pasientsikkerhet dreier seg ikke bare om volum og formell kompetanse. Mange vil hevde at hospitering, supervisjon, og ikke minst kvalitetsarbeid på systemnivå er minst like viktig.

Vi innledet med en hverdagshistorie fra klinikken. Vi mener at den erfarne anestesiologen som ba om å få være observatør nettopp viste at hun hadde gjort barneanestesi til noe vesentlig i sin praksis. Hennes innspill i det perioperative forløpet var også med på at resten av anestesitemaet fikk økt kunnskap og refleksjon. På systemnivå kan man tenke seg at virksomheten stilte krav om en slik tilnærming.

Norsk Standard for Anestesi har betydning

Revisjonsgruppen har opplevd det som svært givende å få dykke ned i faget vårt slik vi har fått anledning til. Vi er takknemmelige for de helt nødvendige tilbakemeldingene som er kommet i i høringssvarene. Dette er et konsensusdokument. Vi har måtte legge fra oss en del personlige kjepphester i arbeidet. For oss er det viktigst at vi snart får en ny revidert standard som tar inn over seg den kvalitetsforbedringen som hele tiden skjer til det beste for pasientene.

Referanser

1. https://www.legeforeningen.no/foreningsledd/ fagmed/norsk-anestesiologisk-forening/ dokumenter/standard-for-anestesi-i-norge/#Standard%20for%20anestesi

2. Habre W, Disma N, Virag K, Becke K, Hansen TG, Jöhr M, Leva B, Morton NS, Vermeulen PM, Zielinska M, Boda K, Veyckemans F; APRICOT Group of the European Society of Anaesthesiology Clinical Trial Network. Incidence of severe critical events in paediatric anaesthesia (APRICOT): a prospective multicentre observational study in 261 hospitals in Europe. Lancet Respir Med 2017;5(5):412-425. doi: 10.1016/ S2213-2600(17)30116-9

13
Kristoffer Hennum Anestesiolog Ringerike Sykehus krhen05@gmail.com Sand LIS III UNN Tromsø tina.sand@unn.no

Reisebrev fra Sapporo

I overlegepermisjon var jeg invitert for å holde innlegg på 3rd&4th Sapporo Conference for Palliative and Supportive Care in Cancer (SCPSC).

Møtet var for Asia, men hadde også mange deltagere fra Australia og New Zealand. Stort møte med ca 1000 påmeldte pluss TV­overføring. Hva tilhørerne egentlig hørte vet jeg ikke siden det var simultanoversetting til Japansk. Jeg hadde en brief med oversetter på forhånd som bidro sterkt til usikkerhet.

Å være foreleser her var noe svært annerledes. Startet med å bli møtt av tre dresskledde herrer på flyplassen; en bar kofferten min, en kjørte meg til hotellet i det som jeg ville kalle en solid limo og en bidro til intens nikking. Og slik gikk dagene. Alle jeg møtte var ekstremt vennlige og gjestfrie verter.

14
Pål Klepstad Overlege, professor St. Olavs Hospital pal.klepstad@ntnu.no Utetid i flotte forhold med kirsebærblomstring. Alle foto: Privat

Tidsskrift for Norsk anestesiologisk forening, DNLF

Se den lille skjermen oppe til venstre. Her kunne sykepleier som hadde intensivpasienten samtidig følge en overvåkingspasient i et annet rom med monitor og video. De hadde og monitor og video av alle pasientene på vaktrommet. Japansk Helseplattform nede til høyre.

Samtidig benyttet jeg anledningen til å besøke en av intensivavdelingene til Sapporo University Hospital. Her ble jeg godt tatt imot av dr. Hiromitsu Kuroda. Sykehuset er like stort som St Olav med 900 senger. De har to intensivavdelinger, den jeg besøkte har medisinske pasienter og intensivopphold/komplikasjoner etter elektiv kirurgi, den andre steller med det

de kalte «emergency care». Avdelingen har 8 intensivsenger og planla økning til 10 senger. Seks av sengene var i åpen avdeling, to på smitterom. Det som er påfallende, er alt som er likt. De har Hamilton/Dräger respirator, Impella, ABL blodgassmaskin, Edwards Swan ­ Ganz monitor etc. De medikamentene vi diskuterte lignet også f.eks. propofol, dexmedetomidine og

fentanyl for sedasjon. Pleiefaktor på dagtid normalt en sykepleier per pasient, på natt to pasienter per sykepleier. De hadde akkurat startet med systematisk rapport ved overlevering (type ISBAR) og NEWS på sengepost. Inntrykket mitt er at jeg og dr. Kuroda kunne byttet arbeidsplass på dagen helt uproblematisk (unntatt språket, han var dårlig i Norsk).

15
Åpen avdeling som føltes luftig og fin. Pasient med mye MTU. Ingenting fremmed for oss. En slags båre med innebygd luftmadrass, brukt til mageleie. Pasienten ble snudd fra seng over på denne. Ny pasient fra operasjonsstua. «ISBAR-rapport» gjennomføres.

Tidsskrift for Norsk anestesiologisk forening, DNLF

Krav til posering sammen med to av de som underholdt til middag. Her sammen med en sveitser og en ire som ikke hadde vært bortkomne på en Trøndersk bygdefest. Også vennlig press om at forelesere måtte bidra med karaoke. Sangen var «I shall be released» fra the Band så det gikk fint.

Masse skilter som en ikke skjønner. Må planlegge med bruk av nett før en beveger seg noe sted. Her står det sikkert: «Pass dem for anden».

16
Ligner på møterommet på St Olav.

Tidsskrift for Norsk anestesiologisk forening, DNLF

Valg av nytt

NAF-styre til høsten

Styret i NAF er på valg til høsten og det er fortsatt mulig å komme med forslag til kandidater.

Det er ønskelig med engasjerte kollegaer både med lang og kort fartstid i anestesifaget, fra små og store sykehus i ulike deler av landet. Vi vil oppfordre særlig kollegaer i lederposisjoner til å komme med forslag til kandidater!

Styrets leder er som kjent også på valg til høsten, ta gjerne kontakt med en av oss i valgkomitéen dersom du har spørsmål eller ønsker å komme med forslag til kandidater.

Fristen for forslag

til kandidater

til NAF er 1. august.

På vegne av valgkomitéen til NAF

Camilla C. Bråthen (leder)

Camilla.Brathen@gmail.com

Camilla.Christin.Brathen@sykehuset-innlandet.no

Spesialitetskomitéen i anestesi trenger en overlege vara!

Spesialitetskomiteens oppgaver:

• Spesialitetskomiteen skal, i nært samarbeid med vedkommende fagmedisinske forening, overvåke og vurdere forhold av betydning for spesialistog etterutdanning i vedkommende spesialitet.

• Spesialitetskomiteenes besøk ved utdanningsvirksomhetene er en viktig del av kvalitetssikringen av spesialistutdanningen. Komiteenes faglige kompetanse har stor betydning for vurdering og oppfølging av gjennomføringen av utdanningen i den enkelte virksomhet. Besøkene bidrar til å sikre nasjonalt harmonisert spesialistutdanning, og er en viktig arena for å diskutere utdanningsrelaterte problemstillinger, dele erfaringer, inspirere, belyse utfordringer og drøfte forbedringstiltak.

• Vurdere og godkjenne kurs og kongresser

• Besvare høringer

• Vurdere søknad om spesialistgodkjenning – avtale med Helsedirektoratet om sakkyndig vurdering

Vi søker etter en engasjert kollega som overlege vara til Spesialitetskomitéen i anestesi.

Valgperioden er for 2–4 år om gangen.

Ta kontakt med valgkomitéen til NAF!

17

Forhåndssamtaler

– et

viktig

verktøy i palliativt arbeid

Palliativ behandling kan handle om så mye, men god, klinisk kommunikasjon er grunnleggende. Pasientens autonomi og medvirkning har blitt stadig viktigere i pasientbehandlingen, og i forhåndssamtaler spør vi pasienten om hva som er viktig her og nå og på veien videre. Helsedirektoratet forventes å publisere Nasjonale faglige råd om forhåndssamtaler høsten 2023.

Pallliasjon – og det eksistensielle mennesket

Palliasjon handler om å hjelpe mennesker som lever med en livstruende sykdom som vil forkorte deres levetid (Definition of palliative care, WHO 2002.). I stor grad arbeider vi i det palliative fagfeltet for å opprettholde og kanskje til og med forbedre livskvalitet. For å kunne møte pasienters (= menneskers) sammensatte plager og behov, arbeider vi tverrfaglig. Vårt fokus er helheten, slik at pasienten og de pårørende hører med i vårt utvidede team­begrep. Pasientens autonomi er viktig for oss – som ellers i det moderne helsevesenet – og vi ser at den relasjonelle autonomien ofte øker når pasientene blir sykere og trenger mer støtte og hjelp fra andre – fra både pårørende og helsepersonell (Macauley RC et al.).

Selv om vi alle vet at vi en gang skal dø, er det for de fleste ikke et enkelt og dagligdags tema. Folk flest fokuserer oftest på å leve i nuet, mens vi håper på et langt og godt liv. Store og/eller skremmende livshendelser kan være utløsende for at eksistensielle tanker kommer fram. Slike utløsende hendelser, som gir oss en påminning om

vår egen dødelighet, kan være fødsler og/ eller dødsfall hos mennesker i nære relasjoner, eller ulykker og sykdom. Pasienter som er i en palliativ fase, kan oppleve seg ganske alene om å bekymre seg over eksistensielle problemstillinger, og mange finner det vanskelig å ta opp sine bekymringer med sine nærmeste og med helsearbeidere (Back A et al., 2009.)

Når vår eksistens trues, kan vi trenge samtaler

Når mennesker kommer i en palliativ situasjon med livstruende og ikke­kurerbar sykdom, rammes de midt i det «eksistensielle solar plexus» og kan trenge hjelp til sorteringsarbeid, til å se muligheter og håp, og til å kunne sette ord på ønsker og preferanser, ja, kanskje til og med legge planer, for den framtiden de har igjen. For når noe er vanskelig, kan det være nyttig å legge planer, fordi planlegging kan øke trygghetsfølelsen også når det gjelder så store og eksistensielle hendelser som fødsel og død.

Mange kolleger snakker med pasientene sine om problemstillinger knyttet til at de har fått en livsbegrensende diagnose, men

samtalene og dokumentasjonen av dem er ikke satt i system, slik at det er tilfeldig hvem som tilbys slike samtaler, og det er også tilfeldig hva som dokumenteres og deles fra slike viktige samtaler. Dermed har altfor mange pasienter blitt gående alene med sin sorg og utrygghet, og uten at den viktige informasjonen om pasientenes ønsker, preferanser, holdninger og verdier vedrørende behandling og pleie – og for livets siste fase – har blitt gjort kjent for pårørende eller for behandlende helsepersonell. Når så viktig informasjon ikke er kjent, kan viktige avgjørelser om behandling, omsorg og pleie bli tatt på feil grunnlag. Dette er særlig problematisk når pasienten kommer i en situasjon der han eller hun ikke lenger kan medvirke i beslutningsprosessene rundt videre behandling. En slik neglisjering av viktig informasjon kan føre til hensiktsløs behandling; og til en overbehandling nær livets slutt. Når behandlende lege ikke kjenner pasientens ønsker og preferanser, kan han/hun velge å behandle pasienten ut fra egne holdninger og verdier, uten å kjenne til pasientens verdier. I vår post­modernistiske tidsalder der pasientens autonomi skal ivaretas i størst

18
Nina Elisabeth Hjorth Overlege, ph.d Palliativ avdeling, Haukeland Universitetssykehus, Bergen nina.hjorth@helse-bergen.no

Tidsskrift for Norsk anestesiologisk forening, DNLF

mulig grad, bør slike paternalistiske holdninger i pasientbehandlingen snart være historie. Nå er det pasientmedvirkning og samvalg som står på dagsordenen, og forhåndssamtaler kan bidra til at dette skjer i større grad enn tidligere.

Forhåndssamtaler –en definisjon og noen effekter

Forhåndssamtaler er samtaler som helsepersonell inviterer pasienter til, og det er ønskelig at også nærmeste pårørende deltar, om pasienten tillater dette. Slike samtaler kan sette personer i stand til å definere mål og preferanser for fremtidig medisinsk behandling, omsorg og pleie, og diskutere disse målene og preferansene med pårørende og med helsepersonell, samt dokumentere og revurdere disse preferansene om ønskelig (Definisjon ved European Association for Palliative Care (EAPC): Rietjens JAC et al., 2017. Norsk konsensusoversettelse 2020). Tidspunktet for forhåndssamtaler kan være i alle livsfaser, men innholdet i samtalene vil ofte være mer målrettet når personen/pasienten nærmer seg livets siste fase. På samme måte som vi lever livet i faser, og de ulike sykdomsforløpene er prosesser, er forhåndssamtaler en prosess av flere samtaler som tilbys pasienten – og hans/hennes pårørende – ved viktige vendepunkt i forløpet. Viktige vendepunkt kan være når pasienten først får en palliativ diagnose, når behandling startes, endres og avsluttes, og når pasienten innlegges akutt på grunn av sykdomsforverring (som nøytropen sepsis, akutt nyresvikt, tverrsnittslesjon grunnet metastasering, etc.).

Internasjonalt foreligger det mye forskning og erfaring om forhåndssamtaler (Advance Care Planning, ACP), mens det har vært gjort noe forskning og utprøving i

Norge de siste årene, inkludert tre ph.d.avhandlinger om temaet (Sævareid TJL, 2019; Aasmul I, 2020; Hjorth NE, 2022.). Forskning har vist at forhåndssamtaler kan øke tryggheten for både pasient og pårørende (Detering et al., 2010), samtalene kan bidra til at pasientens ønsker og verdier knyttet til behandling i større grad blir dokumentert (Nishikawa et al., 2020; Walsh et al., 2021; Ng et al., 2022; Sævareid et al., 2019), samt føre til bedre beslutningsprosesser (Malhotra et al., 2022). I tillegg til at forhåndssamtaler kan forbedre kommunikasjonen mellom helsepersonell, pasient og pårørende (Malhotra et al., 2022; Lee og Brady, 2019; Aasmul et al., 2018), kan de bidra til en reduksjon av overbehandling nær livets siste fase (Thomas K et al., 2018; Brinkman­Stoppelenburg A et al., 2014; Pecanac KE et al., 2014). Forhåndssamtaler synes å være et ønsket og verdsatt tilbud, både blant pasienter, pårørende og helsepersonell (Hjorth et al., 2020; Hjorth et al., 2021; Zwakman et al., 2018; Sævareid et al., 2021).

Forhåndssamtaler er pasientsentrerte samtaler

Før samtalen er det å anbefale at man planlegger sammen med pasienten vedrørende både aktuelle tema for samtalen og hvilke deltakere som skal inviteres til samtalen. Forhåndssamtaler må være pasientsentrerte samtaler der man respekterer pasientens grenser for åpenhet om de ulike tema som fremkommer i samtalen, og det er nyttig å avklare med pasienten på forhånd om det skulle være enkelte tema som han/hun ikke ønsker å snakke om i denne samtalen.

Forhåndssamtaler kan innebære å avklare hvilke målsetninger og preferanser pasienten har for fremtidig behandling og pleie,

og samtalen kan bidra til at denne viktige informasjonen også deles med pårørende. Pårørende­involvering er viktig i palliativ behandling både for pasient, pårørende og helsepersonell.

Utforskning av pasientens mål for fremtidig behandling, pleie og omsorg er en sentral del av samtalen og kan gjøres ved å invitere pasienten til å snakke om viktige situasjoner, hendelser eller tanker fra hans/hennes fortid, nåtid og/eller fremtid (Rietjens JAC et al., 2017). I forhåndssamtaler kan man utveksle informasjon slik at helsearbeider får informasjon om hva som er viktige verdier og preferanser for pasienten, og pasient og pårørende kan få utfyllende informasjon om aktuell sykdomssituasjon, og også ev. om prognose, om dette ønskes. Når man fokuserer på pasientens informasjonsbehov, kan forhåndssamtalen bidra til å øke pasientens helsekompetanse og dermed til å bedre pasientmedvirkning og samvalg.

Barrierer

Til tross for at forskning har vist hvor nyttig forhåndssamtaler kan være, er det kjente barrierer mot slike samtaler blant pasienter og pårørende, helsepersonell og i organiseringen av helsevesenet.

Pasienter med lav helsekompetanse og manglende forståelse for egen sykdomssituasjon kan ha forventninger om at helsepersonell vil invitere til forhåndssamtaler når dette blir nødvendig (Jabbarian LJ et al., 2018; Aasmul et al., 2018.). «Positiv tenkning» kan ofte være en forkledd frykt for å snakke om sykdommens alvorlighet og om livets siste fase (Patel K et al., 2012; Brown AJ et al., 2014). Dessuten beskytter ofte pasienter og pårørende hverandre mot vanskelige og emosjonelt ladde samtaler (Back A et al., 2009).

19

Mangel på kunnskaper og ferdigheter om klinisk kommunikasjon og om forhåndssamtaler kan være barrierer for helsepersonell (Patel K et al., 2012; Jabbarian LJ et al., 2018.). Helsepersonell kan også være paternalistisk overbeskyttende overfor sine pasienter og skåne dem for dårlige nyheter og vanskelige samtaler (Patel K et al., 2012; Jabbarian LJ et al., 2018.). I tillegg kan usikkerhet hos helsepersonell om det rette tidspunktet for å introdusere både palliativ diagnose og forhåndssamtale virke som barrierer.

Organisatorisk kan manglende leder­støtte og tilrettelegging for både opplæring i klinisk kommunikasjon og tid for å ha samtalene være barrierer (Jabbarian LJ et al., 2018.). En avdelingskultur der fokuset er på kurativ behandling, kan også virke som en barriere mot forhåndssamtaler (Jabbarian LJ et al., 2018.).

Arbeidsdeling ved forhåndssamtaler

Helsepersonell som kjenner pasienten og som har ferdigheter i å lede forhåndssamtaler, kan arrangere forhåndssamtaler, både i primær­ og spesialisthelsetjenesten. Så selv om leger kan tenke at det er de som skal lede disse samtalene, skjer det oftere at det er sykepleiere eller andre helsefaglige yrkesgrupper som har tid og anledning til å gjøre dette. Det er imidlertid nødvendig at lege deltar i samtalen når medisinske problemstillinger tematiseres. Derfor kan man se for seg at sykepleiere har de/n innledende samtalen(e), og at lege deltar sammen med sykepleier når det er behov og anledning for dette. (EAPC’s retningslinjer for forhåndssamtaler: Rietjens JAC et al., 2017) Mange av oss har nok erfart at gode kliniske samtaler kan ta tid, men at de likevel i lengden kan være tidsbesparende. Likevel vil vi trenge å

videreutvikle et godt samarbeid mellom profesjonene for å gi pasientene det de trenger av god, klinisk kommunikasjon og best mulig kontinuitet i behandlingskjeden.

Dokumentasjon: Trygg og tilgjengelig Hensikten med å dokumentere fra en forhåndssamtale og dele dokumentet er å øke trygghet og forutsigbarhet for pasienten, og derfor bør pasienten få påvirke hva som skal dokumenteres, og hvem informasjonen kan deles med. Man kan også oppfordre pasienten til å lage en palliativ plan sammen med helsepersonell og pårørende. Dokumentasjon og en ev. palliativ plan må kunne være lett tilgjengelig for alle involverte, både pasient og helsearbeidere, og planen må kunne revideres når pasienten ønsker dette. Derfor må pasienten kunne tilbys flere forhåndssamtaler i løpet av sykdomsforløpet.

Hvordan forhåndssamtalene skal dokumenteres for at viktig informasjon kan deles mellom behandlere i ulike deler av helsevesenet på en trygg måte, og for at dokumentet lett kan revideres når pasienten ønsker dette, er en utfordring som Direktoratet for e­helse skal være invitert til å se nærmere på. Erfaring tilsier at dokumentet bør være standardisert, og at journalen bør merkes med at det har vært utført en forhåndssamtale, for å sikre tilgjengelighet. Når det gjelder dokumentets juridiske betydning, vil et forhåndssamtaledokument aldri ha større betydning enn en våken og klar pasient. Og som kjent, har norske pasienter rett til å nekte å motta behandling, men de kan ikke kreve å få hensiktsløs – eller ikke tilgjengelig –behandling. I følge norsk helselovgiving vil altså et slikt dokument kunne være

veiledende, men ikke bestemmende for medisinske beslutninger.

Veien videre: Nasjonale faglige råd som motivasjon og rettesnor

De siste årene har Helsedirektoratet ledet et større arbeid der Stortingsmelding om palliasjon (Meld.St.24 (2019 ­ 2020) –regjeringen.no) følges opp. Grunnleggende for denne meldingen var ønsket om større åpenhet om døden samt tilrettelegging for valgfrihet. Som ledd i dette arbeidet har man lagt til rette for større åpenhet om både lindrende behandling og om livets siste fase ved å legge ut mye nyttig informasjon på Helse Norge (https://www.helsenorge. no/doden).

Helsedirektoratet har også, som ledd i det større oppfølgingsarbeidet, ledet et arbeid med å utforme nasjonale faglige råd om forhåndssamtaler. Senter for medisinsk etikk, UiO, og de fire regionale kompetansesentrene i lindrende behandling har blitt invitert inn til å bidra i prosessen. Rådene er nå ute på høring og vil sannsynligvis publiseres høsten 2023. I tillegg til de nasjonale faglige rådene, vil det sannsynligvis også bli nødvendig å arbeide videre med å øke ferdighetskompetansen hos helsepersonell i klinisk kommunikasjon generelt og i forhåndssamtaler spesielt, samt å øke kunnskapen generelt i befolkningen om palliasjon og om muligheten for å ha slike forhåndssamtaler.

Livet kan være et usikkert prosjekt, men ett er sikkert: En dag skal vi alle dø. Det er derfor et håp som denne artikkelforfatter har, at palliativ behandling og forhåndssamtaler i nær fremtid blir like naturlig tematisert og brukt i befolkningen og i helsevesenet som paracet og penicillin blir i dag.

20
Tidsskrift for Norsk anestesiologisk forening, DNLF

Tidsskrift for Norsk anestesiologisk forening, DNLF

Referanser

World Health Organization. (2002). National cancer control programmes : policies and managerial guidelines, 2nd ed. World Health Organization, p84. https://apps.who.int/iris/ handle/10665/42494.

Macauley RC. Practical bioethics in the care of patients with advanced illness. In: Cherny N, Fallon M, Kaasa S, Portenoy RK, Currow DC, editors. Oxford Textbook of Palliative Medicine (6 ed).

Back A, Arnold R, Tulsky J. Mastering Communication with Seriously ill Patients - Balancing Honesty with Empathy and Hope. New York: Cambridge; 2009. 158 p.

Rietjens JAC, Sudore RL, Connolly M, van Delden JJ, Drickamer MA, Droger M, et al. Definition and recommendations for advance care planning: an international consensus supported by the European Association for Palliative Care. Lancet Oncol. 2017;18(9):e543-e51.

Sævareid, T. J. L. (2019). Advance care planning in nursing homes – A mixed methods study of a complex intervention using a whole-ward approach. Senter for medisinsk etikk, Institutt for helse og samfunn, Universitetet i Oslo. Tilgjengelig fra: www.duo.uio.no/ handle/10852/70654

Aasmul, I. (2020). Advance Care Planning and the staff perspective: The development, implementation, and investigation of a complex intervention in the nursing home. Senter for alders- og sykehjemsmedisin, Institutt for global helse og samfunnsmedisin, Universitetet i Bergen. Tilgjengelig fra: bora.uib.no/handle/1956/21785

Hjorth, N.E. (2022). End-of-life care: Patients’ preferences and relatives’ experiences, with focus on communication and advance care planning. Kompetansesenter i lindrande behandling, Region vest, Helse Bergen HF. Klinisk institutt K1, Universitetet i Bergen. Tilgjengelig fra BORA, UiB: https://hdl.handle. net/11250/2996437

Detering KM, Hancock AD, Reade MC, Silvester W. The impact of advance care planning on end of life care in elderly patients: randomised controlled trial. BMJ. 2010;340:c1345.

Malhotra C, Shafiq M, Batcagan-Abueg APM. What is the evidence for efficacy for advance care planning in improving patient outcomes? A systematic review of randomised controlled trials. BMJ Open 2022;12: e060201

Lee O, Brady AM. A systematic review comparing the effectiveness of a facilitated approach to advance care planning to usual care in patients with COPD. Irish Journal of Medical Science 2019;188(Supplement 10): S300

Aasmul I, Husebo BS, Sampson EL, Flo E. Advance Care Planning in Nursing Homes – Improving the Communication Among Patient, Family, and Staff: Results from a Cluster-Randomized Controlled Trial (COSMOS). Frontiers in Psychology. 2018; 9:2284

Thomas K, Lobo B, Detering K. Advance Care Planning in End of Life Care. 2nd ed. United Kingdom: Oxford University Press; 2018. 301 p. Brinkman-Stoppelenburg A, Rietjens JA, van der Heide A. The effects of advance care planning on end-of-life care: a systematic review. Palliat Med. 2014;28(8):1000-25.

Pecanac KE, Repenshek MF, Tennenbaum D, Hammes BJ. Respecting Choices(R) and advance directives in a diverse community. J Palliat Med. 2014;17(3):282-7.

Hjorth NE, Schaufel MA, Sigurdardottir KR, Haugen DRF. Feasibility and acceptability of introducing advance care planning on a thoracic medicine inpatient ward: an exploratory mixed method study. BMJ Open Respir Res. 2020;7(1).

Hjorth NE, Hufthammer KO, Sigurdardottir K, Tripodoro VA, Goldraij G, Kvikstad A, Haugen DF, on behalf of the ERANet-LAC CODE project group. Hospital care for the dying patient with cancer: does an advance care planning invitation influence bereaved relatives’ experiences? A two-country survey. BMJ Support Palliat Care 2021

Zwakman M, Jabbarian LJ, van Delden J, van der Heide A, Korfage IJ, Pollock K, et al. Advance care planning: A systematic review about experiences of patients with a life-threatening or life-limiting illness. Palliat Med. 2018;32(8):1305-21

Saevareid TJL, Pedersen R, Magelssen M. Positive attitudes to advance care planning - a Norwegian general population survey. BMC Health Serv Res. 2021;21(1):762

Nishikawa Y, Hiroyama N, Fukahori H, Ota E, Mizuno A, Miyashita M, et al. Advance care planning for adults with heart failure. Cochrane Database Syst Rev 2020;2:CD013022

Walsh SC, Murphy E, Devane D, Sampson EL, Connolly S, Carney P, et al. Palliative care interventions in advanced dementia. Cochrane Database Syst Rev 2021;9:CD011513

Ng AYM, Takemura N, Xu X, Smith R, Kwok JY, Cheung DST, et al. The effects of advance care planning intervention on nursing home residents: A systematic review and meta-analysis of randomised controlled trials. Int J Nurs Stud 2022;132:104276

Sævareid TJL, Thoresen L, Gjerberg E, Lillemoen L, Pedersen R. Improved patient participation through advance care planning in nursing homes-A cluster randomized clinical trial. Patient Educ Couns. 2019;102(12):2183-91

Jabbarian LJ, Zwakman M, van der Heide A, Kars MC, Janssen DJA, van Delden JJ, et al. Advance care planning for patients with chronic respiratory diseases: a systematic review of preferences and practices. Thorax. 2018;73(3):222-30.

Aasmul I, Husebo BS, Flo E. Description of an advance care planning intervention in nursing homes: outcomes of the process evaluation. BMC Geriatr. 2018;18(1):26

Patel K, Janssen DJ, Curtis JR. Advance care planning in COPD. Respirology. 2012;17(1):72-8.

Brown AJ, Shen MJ, Ramondetta LM, Bodurka DC, Giuntoli RL, 2nd, Diaz-Montes T. Does death anxiety affect end-of-life care discussions? Int J Gynecol Cancer. 2014;24(8):1521-6.

21

Dagny Faksvåg Haugen

Seksjonsoverlege og leder av Kompetansesenter i lindrande behandling Helseregion Vest, Haukeland universitetssjukehus; professor ved Klinisk institutt 1, Universitetet i Bergen. Medlem av Helsedirektoratets arbeidsgruppe for etablering av spesialitet i palliativ medisin. E-post: dagny.haugen@helse-bergen.no

Spesialitet i palliativ medisin

Smertebehandling er en av anestesifagets søyler, og flere anestesileger var viktige pionerer for palliasjon i Norge. Etter hvert har palliativ medisin vokst frem som et eget fag, fra 2011 formalisert som et medisinsk kompetanseområde. Fra 2024 vil faget bli en egen spesialitet.

Lindring ved uhelbredelig sykdom har alltid vært en del av medisinen, men moderne palliasjon har en relativt kort historie. Det første moderne, akademisk forankrede hospice ble etablert i London i 1967 av legen Cicely Saunders. Her gikk pasientbehandling hånd i hånd med undervisning og forskning. Det tok ikke mer enn 20 år før palliativ medisin ble godkjent som medisinsk spesialitet i Storbritannia1.

Utviklingen av palliasjon i Norge

Også leger fra Norge dro til Storbritannia for å bli inspirert og lære. Blant pionerene innen palliasjon i Norge finner vi kjente smerteleger, slik som Harald Breivik i Trondheim og Stein Husebø i Bergen2. Den tverrfaglige smerteklinikken på Haukeland sykehus, etablert i 1983, ble forløperen til et palliativt team. Den andre hovedveien inn til palliativ medisin i Norge var via onkologi. I 1993 fikk landet sin første spesialavdeling for palliasjon i Seksjon lindrende behandling ved Kreftavdelingen på St Olavs hospital 2 .

I 1999 kom den viktige Livshjelputredningen, NOU 1999:2: Behandling, pleie og omsorg for uhelbredelig syke og døende 3. Her ble grunnlaget for organisering av palliasjon i den norske helsetjenesten lagt. I årene etter ble det etablert

regionale kompetansesentre for lindrende behandling, og fra 2003 ble det fart på etableringen av palliative team og sengeenheter i sykehus 2. Standard for palliasjon utgitt av Legeforeningen i 2004 ble en viktig «oppskriftsbok» i utbyggingen 4

Legenes kompetanse

Ved opprettelsen av palliative team og enheter trengtes medisinsk kompetanse i palliasjon. De første årene var det leger med personlig interesse for lindrende behandling som søkte til disse stillingene. Det fantes ingen formell utdanning. Norsk forening for palliativ medisin ble dannet i år 20005, og styret så raskt behovet for kvalitetssikring av legevirksomheten i palliasjon. I 2003 startet det første Nordisk spesialistkurs i palliativ medisin, et samarbeid mellom foreningene for palliativ medisin i de fem nordiske land, ikke ulikt den nordiske smerteutdannelsen 6. I de 20 årene som er gått, har 10 slike toårige kurs utdannet i alt 341 spesialister i palliativ medisin i Norden, derav 95 i Norge. Det neste og siste nordiske kurset starter opp i september 2023 7 .

Legene som blir tatt opp til den nordiske utdanningen, må alle ha spesialistgodkjenning. De første årene var det flest onkologer og anestesileger, etter hvert har det blitt flest onkologer og spesialister i allmenn­

medisin, men fortsatt noen anestesileger og «slengere» fra andre spesialiteter. Palliativ medisin overlapper med mange ulike spesialiteter, men har også et eget innhold som ikke dekkes inn av noen annen spesialitet. I 2011 ble den toårige «påbyggingen» i palliativ medisin (klinisk tjeneste og kurs) godkjent som et formelt kompetanseområde 8. Per mai 2023 har 82 norske leger oppnådd godkjenning i Kompetanseområde palliativ medisin, derav 21 anestesileger. Atten palliative sentre er godkjente utdanningssteder til kompetanseområdet.

Kompetanseområde eller spesialitet?

Det å ha leger med bakgrunn fra flere ulike spesialiteter har vært opplevd som en klar styrke i palliativ virksomhet. På den annen side har ordningen med kompetanseområder «falt ut» av ny spesialistutdanning; godkjenningen gir liten status og få rettigheter, og den blir ikke en gang registrert i Helsepersonellregisteret. Da det derfor kom en ny, offentlig utredning om palliasjon i 2017 9, ønsket fagmiljøet at palliativ medisin kunne bli en påbyggingsspesialitet, etter modell fra Sverige og Island, alternativt en full spesialitet. Stortinget gjorde høsten 2020 sitt vedtak i tråd med dette 10 , men fordi «påbyggingsspesialitet» ikke eksisterer i Norge, bestemte Helse­ og

22

Temaområdene som de 59 anbefalte læringsmålene for spesialiteten palliativ medisin skal dekke:

1. Palliativ tilnærming og kartlegging

2. Generell medisin

3. Palliasjon til barn og unge

4. Kommunikasjon, etikk og beslutningsprosesser

5. Samhandling/samarbeid og pasientforløp

6. Smerte- og symptomlindring

7. Komplikasjoner og akutte tilstander

8. Behandling, pleie og omsorg i livets sluttfase

9. Praktiske prosedyrer og ferdigheter

10. Ledelse av palliativt team / palliativ enhet

11. Egenomsorg og refleksjon over egen praksis

omsorgsdepartementet at palliativ medisin skulle bli en full medisinsk spesialitet.

En arbeidsgruppe i Helsedirektoratet med leger oppnevnt av de regionale helseforetakene og Legeforeningen utarbeidet i fjor et forslag til program for spesialiteten palliativ medisin. Legene kom fra ulike spesialiteter, og nesten alle hadde godkjenning i Kompetanseområde palliativ medisin. Arbeidsgruppen ble ledet av onkolog Anne­Tove Brenne fra St Olavs hospital. Seniorrådgiver Marie Thoresen i Helsedirektoratet var prosjektleder.

Hvilken kompetanse skal spesialisten ha, og hvordan kan den oppnås?

Alle spesialiteter er nå bygget opp omkring læringsmål. Læringsmålene skal oppnås gjennom et utdanningsløp med klinisk tjeneste og gjennomføring av ulike læringsaktiviteter.

For spesialiteten palliativ medisin er det foreslått 59 læringsmål, fordelt på 11 ulike temaområder, se tekstboks. Arbeidsgruppen anbefaler utdanningsløp med klinisk tjeneste på spesialisert palliativ avdeling med sengepost (palliativt senter med palliativ enhet), indremedisinsk sengepost og i den kommunale helse­ og omsorgstjenesten. Indremedisin er lagt inn som krav for å bygge kompetanse i generell

medisin for leger som kommer direkte inn i spesialistløpet etter autorisasjon. Palliativt senter vil også være obligatorisk tjenestested, mens kommunal tjeneste vil være en mulighet, men ikke et krav. Tjeneste fra en rekke andre kliniske avdelinger vil kunne inngå for å oppnå læringsmålene.

Arbeidsgruppen har foreslått et felles grunnkurs i palliativ medisin, fire ukesmoduler med naturlig progresjon, etter modell av det nordiske kurset. De regionale kompetansesentrene for lindrende behandling antas å få en sentral rolle i dette kurset. Andre anbefalte læringsaktiviteter er hospitering i palliativt team for barn og unge og i den kommunale helse ­ og omsorgstjenesten. Under tjenestetiden på palliativt senter bør legen delta i både ambulant tjeneste og vaktarbeid, samt undervisning og formidling om palliativ medisin til helsepersonell og publikum.

Hvilke leger er aktuelle for spesialiteten i palliativ medisin?

Rekruttering til den nye spesialiteten vil sannsynligvis skje via tre veier: 1) direkte fra LIS1­ tjeneste, 2) med bakgrunn fra annen spesialisering, eller 3) palliativ medisin som ny spesialitet i tillegg til annen godkjent spesialitet. Arbeidsgruppen håper at leger med ulik fagbakgrunn vil søke seg til faget. Leger med godkjenning i Kompetanseområde palliativ medisin vil

sannsynligvis komme inn under en overgangsordning for å sikre en grunnstamme av godkjente spesialister til opplæringen av utdanningskandidater.

Hva skjer videre?

Planen er at forslaget til program for den nye spesialiteten skal sendes ut på høring før sommeren 2023. Hvem som helst kan sende inn høringssvar, og arbeidsgruppen håper på gode innspill!

Det er fortsatt et mål at spesialitetsløpet kan starte i 2024. I tråd med stortingsvedtaket om spesialiteten forventes utdanningsstillinger i alle regioner.

Referanser:

1. Association for Palliative Medicine of Great Britain and Ireland. https://apmonline.org/

2. Strømskag KE. Og nå skal jeg dø. Hospicebevegelsen og palliasjonens historie i Norge. Oslo: Pax 2012.

3. Norges offentlige utredninger. NOU 1999:2. Livshjelp. Behandling, pleie og omsorg for uhelbredelig syke og døende. https://www. regjeringen.no/no/dokumenter/nou-1999-2/ id141460/

4. Norsk forening for palliativ medisin. Standard for palliasjon. Den norske legeforening 2004. https://www.legeforeningen.no/om-oss/ publikasjoner/standard-for-palliasjon/

5. Norsk forening for palliativ medisin https:// www.legeforeningen.no/palliativmed

6. Sigurdardottir V, Edenbrandt CM, Hirvonen O, Jespersen BA, Haugen DF. Nordic Specialist Course in Palliative Medicine: Evaluation and Impact on the Development of Palliative Medicine in the Nordic Countries: A Survey among Participants from Seven Courses 2003-2017. J Palliat Med 2021; 24:1858-1862. https://www. liebertpub.com/doi/epdf/10.1089/jpm.2021.0310

7. Nordic Specialist Course in Palliative Medicine https://www.nscpm.org/

8. Palliativ medisin som kompetanseområde https://www.helsedirektoratet.no/tema/ autorisasjon-og-spesialistutdanning/ palliativ-medisin-som-kompetanseomrade

9. Norges offentlige utredninger. NOU 2017:16. På liv og død. Palliasjon til alvorlig syke og døende. https://www.regjeringen.no/no/ dokumenter/nou-2017-16/id2582548/

10. Meld. St. 24 (1029-2020). Lindrende behandling og omsorg – Vi skal alle dø en dag. Men alle andre dager skal vi leve.Stortingsvedtak: https://www.stortinget.no/nn/Saker-ogpublikasjonar/Vedtak/Vedtak/Sak/?p=79681

23

Jobbskifte:

Fra intensiv til palliativt senter

Jeg har jobbet over 20 år med intensivmedisin, de siste årene mest med pasienter med små og store brannskader. Jeg liker å jobbe og jeg har elsket jobben min. Men det er en tid for alt og på slutten av karrieren har jeg tenkt at kanskje kan jeg gjøre nytte for meg et annet sted. Jeg bestemte meg for å forsøke Palliativt senter, Kirurgisk serviceklinikk, Haukeland universitetssykehus.

Det er spennende med nye utfordringer. Forsøke å forstå, sette seg inn i andre menneskers livssituasjon, bidra til en litt bedre tilværelse, er noe jeg ser stor verdi i. Smertetriksene har jeg allerede lært meg og jeg er utstyrt med nysgjerrighet og vilje til å lære nye ting.

Nå har 6 mnd gått og jeg er fornøyd med det valget jeg har tatt.

Palliativt senter Haukeland universitetssykehus

Dette er en liten enhet som består av en sengepost med 5 senger og et ambulerende team som betjener hele sykehuset. Enheten har også et samarbeid med Smerteklinikken og noen av legene på enheten jobber også på Kompetansesenter for lindrende behandling.

Tiden framover blir spennende fordi faget er i utvikling og til høsten utvides sengeposten med 5 senger, og vi flytter inn i nye lokaler. Det blir også en ny spesialitet i palliativ medisin.

Hva er palliasjon?

Palliasjon defineres som «Aktiv behandling, pleie og omsorg for pasienter med uhelbredelig sykdom og kort forventet levetid.»

Målet er å lindre pasientens fysiske smerter og andre plagsomme symptomer som kvalme, angst og også tiltak rettet mot psykiske, sosiale og åndelige/ eksistensielle problemer.

Den palliative fasen er en prosess som starter når det erkjennes at sykdommen er uhelbredelig .

Den palliative fasen avsluttes når pasienten dør. Palliasjon inkluderer også sorgarbeid og oppfølging av etterlatte.

Verdens Helseorganisasjon sin definisjon av palliasjon

«Palliativ behandling, pleie og omsorg er en tilnærmingsmåte som har til hensikt å forbedre livskvaliteten til pasienter og deres familier i møte med livstruende sykdom, gjennom forebygging og lindring av lidelse, ved tidlig identifisering, grundig kartlegging, vurdering og behandling av smerte og andre problemer av fysisk, psykososial og åndelig art.»

Palliasjon er aktuelt tidlig i sykdomsforløpet sammen med annen behandling som har til hensikt å forlenge livet, som for eksempel medikamentell kreftbehandling og strålebehandling, og omfatter også undersøkelser som er nødvendige for å forstå og håndtere symptomer og komplikasjoner som sykdommen medfører.

Dette innebærer at palliativ tilnærming kan brukes for alle pasienter med livstruende sykdom, også tidlig i sykdomsforløpet.

Hovedtyngden av de pasientene vi blir involvert i har kreft, men det kan også være aktuelt å iverksette palliative tiltak hos pasienter med andre lidelser; Invalidiserende hjerte­ og karsykdom, KOLS, slag, demens, AIDS og andre nevrologiske sykdommer.

24
Anne Berit Guttormsen Overlege, professor, KSK, Bergen anne.guttormsen@helse-bergen.no

Tilnærmingen

Pasientene kan være i ulike faser av sykdomsforløpet. Disse fasene håndteres ulikt og kan eksemplifiseres slik:

• Pasienten får livsforlengende behandling (immunterapi, cytostatika) i kurativ eller lindrende hensikt

• Ofte jobber vi med symptomlindrende tiltak hvor det inkluderes samtale, tilrettelegging og bruke av ulike medikamenter. (opioider, ketamin, stråling, spinalkateter)

• Symptomforebyggende tiltak kan være å redusere, forhindre kvalme og iverksette tiltak for å forebygge angst og depresjon.

Det er viktig å få innsyn i hva pasienten og pårørende ønsker. Et viktig verktøy i så måte er å gjennomføre forhåndssamtaler.

Betydningen av forhåndssamtaler kan du lese mer om i artikkelen Forhåndssamtaler – et viktig verktøy i Palliativt arbeid, s 18 i dette nummeret av NAForum.

Jeg har ikke så lang fartstid i avdelingen, men det er fascinerende å oppdage at selv når det ser som mørkest ut for pasienten og de rundt hen så kan vi bidra til å gjøre den delen av livet som er igjen til noe fint for pasienten, og noe de pårørende kan minnes med glede. Noen velger å dø hjemme. I Norge er vi ikke så gode med dette med hjemmedød og de aller fleste dør på institusjon. Å få lov til å dø hjemme med sine kjære rundt seg tror jeg er noe verdifullt gitt at smerte, kvalme og angst er lindret. I 2022 døde 28 % på sykehus og 54 % døde på en annen helseinstitusjon, for det meste sykehjem. 14 % døde hjemme (Kilde: SSB).

Hva er forutsetningene for å lykkes i det palliative arbeidet?

Pasienten må ha god symptomlindring. Forutsetningen for å oppnå dette er god kjennskap til pasienten og hans/hennes familie. Det må gjennomføres en kartlegging av pasientens plager og en grundig anamnese og klinisk undersøkelse hører også med. Til tider kan målrettet utredning være nødvendig. Den må være minst mulig plagsom og foregå i forståelse med pasienten. Hensyn til almenntilstand, forventet levetid og forventet gevinst i forhold til symptomlindring må alltid vektlegges. Vil du vite mer anbefales websidene til kompetanse sentrene for lindrende behandling.

Smart fjernmonitorering basert på AI-teknikk

Biobeats fjernmonitoreringssystem bruker trådløs, non-invasiv teknikk av medisinsk kvalitet for registrering og analyse av opp til 13 vitalparametre i realtid.

25
Skandinavisk distributør www.infiniti.no eller info@infiniti.no
En avlednings-EKG*
CO Cardiac Output CI Cardiac Index MAP Pulsefrekvens Temperatur Annons 185x131mm_landscape_Smart fjernmonitorering_Norge_23 06 08.indd 2 2023-06-08 10:10:11
PPV Blodtrykk SpO2 Hjertefrekvens HRV Slagvolum SVR *Gjelder kun brystsensoren

Lindring av intraktable smerter hos palliative pasienter:

Hva kan anestesiologen bidra med?

Palliative pasienter, spesielt kreftpasienter som har vært gjennom lang og komplisert behandling over tid, vil oppleve ulike plager underveis i forløpet, og i særdeleshet kan sammensatte smerteplager bli en stor og krevende utfordring.

I den palliative fasen, der vi har lagt bort målet om helbredelse, vil livskvalitet i den resterende og ofte sterkt begrensede levetid være det som står i fokus både hos pasienten og de nærmeste pårørende; å fungere som familie i den tiden som er igjen. Flere studier viser at sykehus for de aller fleste ikke er det ønskede sted å tilbringe siste levetid, bortsett fra der behandlingen er blitt for komplisert og avansert, og tryggheten for å ha kompetent helsepersonell til stede hele tiden trumfer andre ønsker og behov.

Hvordan kan vi best lindre på pasientens premisser?

Som anestesileger tenker vi automatisk sykehusmedisin, som inkluderer avanserte behandlingstiltak når vi vurderer det mest hensiktsmessig for pasienten. Derfor er det lett å sette i gang avansert behandling uten å tenke konsekvenser for en pasient der det høyeste ønske er å komme hjem og tilbringe mest mulig tid der.

I palliasjon er mål om behandling på lavest mulig nivå nærmest hjemmet et bærende prinsipp. Derfor bør vi sette en fot i bakken

før vi setter i gang med avanserte tiltak og spørre: Kan denne behandling kontinueres i hjemmet, og har hjemkommunen ressurser til det?

I anestesiologens verktøy kasse finner vi regionale blokader, TPN og ulike intravenøse behandlingsregimer som også inkluderer kontinuerlig sedasjon, og som er lett å igangsette på sykehuset, også på vakttid. Vurdert der og da synes dette som gode og hensiktsmessige tiltak, men konsekvensene for pasienten kan bli at alle planer for framtiden blir snudd på hodet.

Som handlingsglad anestesiolog har jeg gjennom over 20 år i palliasjon lært meg å «tøyle mine lyster» og tenke meg om og gjerne ringe helsetjenesten i pasientens hjemkommune før jeg foreslår et avansert tiltak og spørre: Hvis jeg legger spinalkateter på denne pasienten, kan dere sørge for at dette kan håndteres hjemme? Svaret er oftest betinget positivt ja, men gi oss litt tid. Hvis jeg stiller dette spørsmålet først når pasienten skal skrives ut, blir det oftere nei, eller «vi trenger mer tid», og vi bruker opp pasientens korte levetid på å vente.

Bruk av spinalanalgesi i

palliasjon

Når systemisk smertelindring ikke fører til målet eller gir for mye bivirkninger, kan spinalanalgesi med tunnellert kateter være et godt alternativ eller tillegg der systemisk behandling kan reduseres til god balanse mellom nytte og bivirkninger. Spesielt ved gynekologisk kreft, rectum, blære og prostatakreft med affeksjon av bekkenskjelett og /eller bekkenorganer, kommer man erfaringsmessig ofte til kort med systemisk smertelindring. Dette fordi disse pasientene kan leve svært lenge med lokalanvansert sykdom med mye lidelse, men lite affeksjon av vitale organer, og der sederende bivirkninger derfor kan oppleves svært negativt.

Også ved kreftformer som affiserer andre bukorganer, samt skjelett, kan en thoracal spinal gi god lindring, og i en øvet anestesiologs hånd, er det ingen hindring å tre inn et spinalkateter mid­thoracalt og titrere med kombinasjon av lokalanestetikum og opioid, som ved tradisjonell lumbal spinal. Forskjell er at ved lumbal spinal vil motorisk affeksjon av underekstremiteter være en god veileder for maksimal doser, mens ved

26

Tidsskrift for Norsk anestesiologisk forening, DNLF

thoracal spinal vil man kunne ramme andre funksjoner uten at motorisk funksjon i underekstremitetene er påvirket, spesielt blodtrykk og hjerterytme. Blærekontroll må ikke glemmes.

Prosedyre ved anleggelse

Selve anleggelse av spinalkateter bør kunne beherskes av alle anestesiologer, spesielt ved lumbalt innstikk. Bruk standard 18G Touhy epiduralnål. Pas kan sitte eller ligge, avhengig av hva som er mest komfortabelt for pasienten. Det er viktig å unngå metastaseaffiserte områder, og det er nyttig å merke av med tusj/penn først. Vanlig LOR teknikk til epiduralrommet, deretter videre avansering på «åpen nål» med nåleåpning parallelt med durafibre. Når dura er perforert og det kommer klar spinalvæske, dreies nåleåpningen rostralt, for å unngå å tre kateteret ned i en rot recess med lokal nervelammelse som resultat. Bruk alltid tunnellering. Det krever en god teknikk for å unngå knekk i kateter ved overgang til subcutan tunnell. Trikset er et godt og dypt snitt gjennom huden til subutis (ca 2 cm) mens nålen står i posisjon, og lett disseksjon slik at cutane fibre ikke hindrer fri bevegelse av kateteret når nålen fjernes. Lang Sekalon T CVK er perfekt å lage tunnell med, og fra en av flankene tres CVK­en subcutant til den treffer Touhy nålen og CVK spissen lirkes ut i hudsnittet. Så fjernes Touhy nålen og CVK mandrengen. Kateteret trekkes ut til 12­14 cm i hudnivå og tres gjennom CVK kateter, rettes ut og dyttes på plass subcutant i hudsnittet. Test korrekt kateterplassering med 20­30 mg xylocain, som skal gi kortvarig symmetrisk parese i begge ueks.

Kateteret festes grundig med holdesuturer i flanken og alt dekkes med transparent bandasje for å følge med ev. lekkasjer eller

blødning. Vanligvis vil det ytterste merket på epiduralkateteret så vidt være synlig ved hudutstikk, hvis ikke bør kateteret merkes slik at man kan følge med om det migrerer. Dersom man sørger for at 5­8 cm av kateteret ligger intraspinalt (vanligvis ca 5­6 cm fra hud til spinalkanal) har man mulighet for å trekke kateteret inntil 2­3 cm hvis spissen blir liggende uheldig plassert og lage motorisk blokade.

Et godt plassert og fiksert spinalkateter kan bli liggende i flere måneder og fungere som en god og stabil smertelindring gjennom hele pasientens restlevetid, men ikke sjelden må det legges om enten pga tekniske problemer (knekk, eller annen okklusjon) eller at det dras ut aksidentelt.

Oppfølgning

Det viktigste er nøye hygiene og gode rutiner for regelmessig skifting av sett og filter, som bør være minimum 1 g ukentlig med tilnærmet steril teknikk.

Ved aksidentell frakopling bør hele settet skiftes, og dersom det skjer på selve kateter koplingen må minimum 10 cm av kateteret kuttes av med steril teknikk før det koples sammen igjen. Dersom frakoplingen har vært av lang varighet (flere timer) bør man vurdere å skifte hele kateteret for å minske fare for alvorlig infeksjon. Hvert bytte av kateter er i seg selv også en infeksjonsrisiko, og derfor bør alltid ansvarlig anestesiolog konsulteres ved slik aksidentell frakopling. I min praksis har vi hatt svært få meningitter, men alle har vært relatert til kateter problemer, enten flere bytter med korte mellomrom, eller aksidentell frakopling.

Umiddelbart etter primærinnleggelse kan man oppleve følgende:

1. Pasienten utvikler postspinal hodepine. Dette er relativt sjeldent, skal håndteres konservativt med iv væske, koffein tilskudd (Fenazon koffein/kaffe) og analgetika. Flatt leie hjelper. Plagene går over i løpet få dager.

2. Lekkasje av væske langs kateter. Vanligvis er det vevsvæske som kommer fra omliggende subcutane ødemer, men man kan ikke utelukke at det er en komponent av spinalvæske lekkasje spesielt om pas samtidig har utviklet PSPH. Man kan gjøre ulike tester for å påvise spinalvæske, men resultatet er usikkert og det er ingen indikasjon for å seponere kateteret. Lekkasjen gir seg oftest i løpet av få dager. Derfor konservativ behandling, skifte våte bandasjer så ofte som nødvendig for å redusere infeksjonsrisiko. Husk ekstra væske ved samtidig hodepine.

3. Uhensiktsmessig motorisk blokade. Dersom denne er ensidig: prøv å trekke kateter et par cm. Hvis det ikke hjelper, må blandingen justeres for å redusere motorisk blokade. Ropivacain gir vesentlig mindre motorisk blokade enn bupivacain, men andre LA kan også brukes. Opioidkonsentrasjonen kan økes, spesielt er fentanyl konsentrasjonen i standard blandinger svært lav. Hvis morfin benyttes, må man være mer tilbakeholden med doseøkning, men opptil 0,5 mg/kg/d kan benyttes spinalt og anbefales i litteraturen.

Vår policy er alltid å starte med standard Breivik blanding, ca 0,5­0,7 ml/t, der økning opp til 1,2 ml/d tolereres hos de fleste uten

27

vesentlig motorisk påvirkning (30 mg bupivacain /d). Bolus 0,5 ml inntil hver time.

Dersom motorisk blokade utvikles med samtidig utilfredsstillende lindring, byttes blandingen til en apotekframstilt blanding. Dessverre har denne ofte svært kort holdbarhet, og bestillingen må fornyes ofte (de fleste apotek gir maks 1 uke holdbarhet!). Poenget er å bruke en blanding som gir mindre motorisk påvirkning, enten ved å øke konsentrasjonen av opioider og ev legge til alfa2 agonist (catapresan) eller bruke et LA med liten motorisk påvirkning (ropivacain). Vår policy er å unngå infusjonshastighet over 3 ml/t for å hindre rostral spredning i spinalvæsken (men vi har ingen sikker dokumentasjon på at dette er en relevant grense).

Overgang fra systemisk smertelindring til spinal smertelindring, må foregå trinnvis. Selv om hele det nociceptive felt dekkes av spinalanalgesien, kan man ikke bråseponere systemisk opioidbehandling. Da vil pasienten gå i opioid abstinens. Samtidig vil en effektiv spinal kunne medføre akutt overdosering dersom systemisk opioidbehandling ikke samtidig reduseres. En trygg overgang skjer ved at hovedanalgesien på forhånd består av sc eller iv opioidtilførsel, som stoppes straks spinalanalgesi etableres med testdose. Når parese etter testdose har gitt seg, startes det med halv dose systemisk opioid, som kan trappes ytterligere ned avhengig av hvor godt spinalanalgesien dekker de smertegenererende dermatomer. I beste fall kan systemiske opioider trappes ned til et minimum, men ofte må man beholde en moderat dose enten som subcutan/iv infusjon eller bedre peroralt /transdermalt, slik at pasienten slipper med en pumpe.

Planlegge hjemreise

Når pasienten nærmer seg hjemreise, må alt utstyr til spinalanalgesi bestilles på seksjon for behandlingshjelpemidler. Hjemmesykepleien må få adekvat opplæring i å skifte pumpesett og kassett, samt ivareta hygieniske prinsipper. Det må lages en avtale med behandlingsansvarlig sykehusavdeling om åpen retur dersom noe skulle tilstå, og en plan for dosering og tilgang til rescue medisinering med adekvate subcutane doser dersom systemet svikter. Man kan ikke forvente at fastlegen vil ta ansvar for behandlingen, og derfor

må det gjøres en avtale med hjemmesykepleien, slik at de kan kontakte den ansvarlige sykehusavdelingen ved uforutsette hendelser. Det bør også legges inn regelmessige kontrolltimer minimum 1 g månedlig ved sykehusets poliklinikk eller palliativt team.

Hvis dette gjennomføres på en systematisk og ryddig måte med gode prosedyrer og samhandlingsavtaler, er det gode sjanser for at pasienten kan oppleve trygg og effektiv smertelindring livet ut.

Utvalgte referanser:

Aprili D, Bandschapp O, Rochlitz C, Urwyler A, Ruppen W. Serious complications associated with external intrathecal catheters used in cancer pain patients: a systematic review and meta-analysis. Anesthesiology. 2009 Dec;111(6):1346-55.

Mercadante S, Porzio G, Gebbia V. Spinal analgesia for advanced cancer patients: an update. Crit Rev Oncol Hematol. 2012 May;82(2):227-32. Review.

Pasutharnchat K, Tan KH, Abdul Hadi M, Ho KY. Intrathecal analgesia in patients with cancer pain--an audit in a tertiary institution. Ann Acad Med Singap. 2009 Nov;38(11):943-6.

Rasmussen SS, Lene Jarlbæk L. Intratekal eller epidural smertebehandling til patienter med kræft. Ugeskr Laeger. 2021 Nov 8;183(45).

28
Tidsskrift for Norsk anestesiologisk forening, DNLF

PiCCO bør brukes oftere

Introduksjon

De fleste anestesileger blir ukomfortable når de ser pasienter med høye noradrenalinbehov (NorA­behov). En ting mange frykter er at det høye NorA­behovet stammer fra lavt hjerte minuttvolum (cardiac output, CO), for da er sjansen stor for at NorA gjøre iatrogen skade. Hadde man overvåket CO, ville man avklart om dette var tilfellet eller ikke. Usikkerheten oppstår fordi vi er blinde for pasientens CO når vi kun overvåker deres blodtrykk. Når vi ikke får avklart usikkerhet rundt økende NorA­behov, kan usikkerhet utvikle seg til frykt. Da handler vi reaktivt ved å gi væske – i håp om å korrigere lav CO og redusere sjansen for iatrogen skade fra NorA. Dessverre er væske sjeldent effektivt og bidrar til ytterligere skade.

I stedet for å handle reaktivt, bør vi avklare årsaken for NorA­behovet; dersom årsaken er vasodilatasjon, er jo NorA riktig behandling. Dette kan man avklare med PiCCOkateteret. Mitt inntrykk er at færre og færre bruker PiCCO. Én årsak er fordi ekkokardiografi kan gi estimater av CO på en mindre invasiv måte. En annen er at mange avfeier den kontinuerlige CO­målingen fra PiCCOens pulskonturanalyse, fordi de vet den drifter fra den «sanne» CO­verdien når arterietreets egenskaper endrer seg.

Jeg påstår at PiCCO­kateteret kan mer praktisk nytte enn å estimere CO. Brukt riktig kan metoden avklare pasienter med økende NorA­behov, optimalisere væskebehandling, titrere NorA­ doser og få pasienter raskere postklare.

PiCCO kvantifiserer graden av vasodilatasjon

Ved hjelp av PiCCO kan vi kvantifisere graden av vasodilatasjon. Dette er nyttig hos pasienter med økende NorA­behov: hvis vi vet at pasienten er vasodilatert, blir vi tryggere på at høye NorA­ behov er indisert og ikke nødvendigvis skadelig. Én måte vi kan kvantifisere vasodilatasjon med PiCCO, er å se på forholdet mellom pulstrykkvariasjon (PPV) og slagvolumvariasjon (SVV). Dette forholdet – PPV/ SVV – kalles dynamisk arteriell elastans (Eadyn), og er et mål på kartonus 1. Normal Eadyn er rundt 1, og lavere Eadyn taler for økende vasodilatasjon 2. En annen måte er å beregne systemisk vaskulær resistens (SVR) fra CO. PiCCOens termodilusjon gir presise estimater av CO 3, 4. Lavere SVR taler for økende vasodilatsjon.

PiCCO kan spå trykkrespons

Om det er fysiologisk riktig eller ei, så ønsker de fleste egentlig ikke å øke CO når de gir væske, men å korrigere hypotensjon eller redusere NorA­behov 5 Væskerespons er når væske øker CO, mens trykkrespons er når væske øker CO som så øker middelarterietrykket (MAP). Selv om CO øker, vil ikke nødvendigis MAP øke eller NorAbehovet falle 1, 6. Dette er tilfellet hos alvorlig vasodilaterte pasienter med høye NorAbehov. Vasodilatasjon gjør at arteriene blir ettergivelige, slik at økt volum i kartreet (ifa. CO) ikke øker trykket i kartreet (ifa. MAP).

Jo lavere Eadyn, desto mindre sannsynlig er det at pasienten er trykkresponder, hvor cut­off for Eadyn ligger rundt 1 6. I tillegg

er PiCCOs pulskonturanalyse for kontinuerlig CO (CCO) validert for den beste testen for væskerespons: passiv beinheving (passive leg raise, PLR) 7, 8. PLR kan brukes hos alle pasienter – også hos de med små tidalvolum, spontanpust eller høyre ventrikkelsvikt, hvor vi ikke kan bruke pulstrykkvariasjon (PPV). Dersom vi vet at vi ikke oppnår det vi ønsker med væske, kan vi spare pasienten for mange unødvendige liter i plussbalanse.

PiCCO kan forbedre titrering av noradrenalin

Ofte er NorA­ behovet det eneste som hindrer pasientene fra å bli postklar. Den vanlige strategien for utfasing av NorA er å redusere NorA­dosen, og så se hvor hypotensiv pasienten blir. Ettersom hypotensjon er skadelig, er det åpenbart at dette er en suboptimal strategi. Det hadde vært bedre om vi kunne spådd om pasienten ble hypotensiv dersom vi reduserte NorAdosen – og det kan vi. Lav Eadyn (under 1) kan spå om pasienten blir hypotensiv dersom man reduserer NorA­dosen 9. Også motsatt, så taler høy Eadyn (over 1) for at pasienten er klar for å få NorA­ dosen redusert. En randomisert studie viste at pasienter kunne skrives ut av intensiven 1 dag raskere dersom man bruker Eadyn fra PiCCO til å titrerte NorA­dosen 10

PiCCO måler riktigere blodtrykk

Alle titrerer NorA­dosen etter MAP. Det fysiologisk relevante MAP er i aorta, mens vi måler MAP i radialis. Problemet er at syke pasienter har lavere MAP i radialis enn

29
Jinyang Yu LIS anestesi St Olavs, PhD-stipendiat NTNU Blogg: www.dritsyk.no / jinyang.yu@ntnu.no

Tidsskrift for Norsk anestesiologisk forening, DNLF

aorta 11, 12 . Dermed blir NorA­ dosene unødvendig høye og sannsynligheten for skade øker. I situasjoner hvor arteriekran legges i femoralis, ser man at NorA­behovet er mye lavere 13. Dette førte til en fersk studie som viste at pasienter med arteriekran i femoralis (eller axillaris) hadde kortere liggetid på intensiven, nettopp på grunn av lavere NorA­behov 14. Å måle MAP i femoralis er også nyttig hos pasienter der korrekt blodtrykk er avgjørende. Dette kan være pasienter med hodeskade, hvor cerebral perfusjonstrykk er livsviktig; nyresviktpasienter, hvor renalt perfusjonstrykk er avgjørende for dialyse eller ei; eller hjertesviktpasienter, hvor blodtrykket er avgjørende å balansere afterload og organperfusjon. Når vi først bør legge arteriekran i femoralis, hvorfor ikke legge et PiCCOkateter som har så mange andre fordeler?

Hos hvilke pasienter er PiCCO nyttig?

1. PiCCO er nyttig hos pasienter med økende NorA-behov.

Hos disse pasientene er nok ekkokardiografi det første steget for å utelukke underliggende overraskelser, men kvantifisering av vasodilatasjon er viktig, men vanligvis oversett.

2. PiCCO er nyttig for pasienter med væsketap.

Disse pasientene kan ofte identifiseres tidlig, som f.eks. pasienter etter stor kirurgi, blødninger som håndteres konservativt eller septisk sjokk.

3. PiCCO er nyttig for alle nye pasienter med sirkulasjonssvikt. NorA­behov og væskebehov er daglige problemstillinger hos intensivpasienter. Individualisert behandling fra første stund forbedrer forhåpentlig forløpet mer enn om det brukes som siste utvei.

4. PiCCO er nyttig for pasienter der korrekt blodtrykk er avgjørende. I tillegg til spesifikke pasientgrupper (hodeskade, nyresvikt, hjertesvikt etc.) er korrekt blodtrykk avgjørende for pasienter med økende NorA­behov.

Konklusjon

PiCCO­kateteret kan brukes til å avklare økende NorA­behov, optimalisere væskebehandling, titrere NorA­ doser og få pasienter raskere postklare. Vi bør bruke PiCCO oftere.

Referanser

1. Pinsky MR (2011) Defining the boundaries of bedside pulse contour analysis: dynamic arterial elastance. Crit Care 15:120. https://doi. org/10.1186/cc9986

2. Zhou X, Pan W, Chen B, et al (2021) Predictive performance of dynamic arterial elastance for arterial pressure response to fluid expansion in mechanically ventilated hypotensive adults: a systematic review and meta-analysis of observational studies. Ann Intensive Care 11:119. https://doi.org/10.1186/s13613-021-00909-2

3. Monnet X, Persichini R, Ktari M, et al (2011) Precision of the transpulmonary thermodilution measurements. Crit Care 15:R204. https://doi. org/10.1186/cc10421

4. Monnet X, Teboul J-L (2017) Transpulmonary thermodilution: advantages and limits. Crit Care 21:147. https://doi.org/10.1186/ s13054-017-1739-5

5. Cecconi M, Hofer C, Teboul J-L, et al (2015) Fluid challenges in intensive care: the FENICE study. Intensive Care Med 41:1529–1537. https:// doi.org/10.1007/s00134-015-3850-x

6. Monge García MI, Gil Cano A, Gracia Romero M (2011) Dynamic arterial elastance to predict arterial pressure response to volume loading in preload-dependent patients. Crit Care 15:R15. https://doi.org/10.1186/cc9420

7. Monnet X, Shi R, Teboul J-L (2022) Prediction of fluid responsiveness. What’s new? Ann Intensive Care 12:46. https://doi.org/10.1186/ s13613-022-01022-8

8. Monnet X, Marik P, Teboul J-L (2016) Passive leg raising for predicting fluid responsiveness: a systematic review and meta-analysis. Intensive Care Med 42:1935–1947. https://doi. org/10.1007/s00134-015-4134-1

9. Guinot P-G, Bernard E, Levrard M, et al (2015) Dynamic arterial elastance predicts mean arterial pressure decrease associated with decreasing norepinephrine dosage in septic shock. Crit Care 19:14. https://doi.org/10.1186/ s13054-014-0732-5

10. Guinot P-G, Abou-Arab O, Guilbart M, et al (2017) Monitoring dynamic arterial elastance as a means of decreasing the duration of norepinephrine treatment in vasoplegic syndrome following cardiac surgery: a prospective, randomized trial. Intensive Care Med 43:643–651. https://doi.org/10.1007/s00134-016-4666-z

11. Kim WY, Jun JH, Huh JW, et al (2013) Radial to Femoral Arterial Blood Pressure Differences in Septic Shock Patients Receiving High-Dose Norepinephrine Therapy. Shock 40:527. https:// doi.org/10.1097/SHK.0000000000000064

12. Jacquet-Lagrèze M, Costescu A, Denault A (2022) Can we trust radial artery pressure monitoring for cardiac surgery? Can J Anesth Can Anesth 69:1319–1326. https://doi. org/10.1007/s12630-022-02321-1

13. Dorman T, Breslow MJ, Lipsett PA, et al (1998) Radial artery pressure monitoring underestimates central arterial pressure during vasopressor therapy in critically ill surgical patients. Crit Care Med 26:1646

14. Jacquet-Lagrèze M, Bredèche F, Louyot C, et al (2023) Central versus peripheral arterial pressure monitoring in patients undergoing cardiac surgery: A prospective observational study. J Cardiothorac Vasc Anesth 0: https://doi. org/10.1053/j.jvca.2023.04.024

30

Ludvig

XIVs fistel

GOD SAVE THE KING

De mektige i denne verden kan bli syke som hvem som helst, men dette kan føre til historiske påvirkninger. Historien om Ludvig XIVs fistel illustrerer dette.

Solkongens journal har blitt publisert og fakta er godt kjent Den franske kongen overtok kongeriket etter farens død. Han var da 4 år og 8 måneder. Under hans regjeringstid (den lengste in Europa) på over 72 år fikk Ludvig b.a. analfistel. Sykdommen var nokså vanlig på denne tiden pga ridning og klyster. Symptomene begynte i januar 1686 og utviklet seg til abscess.

Leger anbefalte kataplasma som ikke førte til bedring av symptomene.

Ludvig (1638–1715) hadde sterke smerter som ingen klarte å lindre.

I mai, 4 måneder etter at symptomene begynte takket han ja til operasjon. Operatøren, Charles Francois Tassy kalt Felix (1635­1703) fikk 6 måneder på seg til å planlegge inngrepet fordi dette hadde ingen gjort før han.

Kirurgi på 1600 tallet

Kirurgi var lite utviklet på 1600 tallet og virksomheten hadde et dårlig rykte.

Religion var den moralske autoriteten og

Tours råd i 1163 hadde tydelig uttalt at kirken avskyr blod («ecclesia abhorret a sanguine»), og kirurgi hadde etter det blitt sett som en barbarisk handling. Inngrep

31
Genevieve Roulin Overlege, Haukeland universitetssykehus, Bergen genevieve.roulin@helse-bergen.no «Solkongen» Ludvig XIV.

Tidsskrift for Norsk anestesiologisk forening, DNLF

ble utført uten anestesi og uten aseptikk. Dødeligheten var svært høy. Kirurger ble veldig dårlig ansett. Yrket ble praktisert av bødler som var de som kjente anatomien best. I Tyskland fikk bødler diplom fra universitet i Ulm og de ble kalt kirurger. I Frankrike ble ikke diplomet godkjent og her ble bødlene kalt helbreder.

Leger som hadde studert medisin ved universitet i tillegg til religion og filosofi brukte latin og hadde lite med pasientene å gjøre. De unversitetsstuderte så ned på kirurgene som prøvde å utvikle yrket med undervisning og universitetsdiplom. De verdsatte i enda mindre grad barbererne uten godkjent utdanning og som ofte var analfabeter og utførte små inngrep.

Da det ble kjent at kongen var syk, ble befolkningen veldig bekymret. Ludvig styrte landet og problemene stod i kø. Alle ba for solkongens helbredelse.

Trening før den viktige operasjonen Felix brukte tiden til å dra fra fengsel til fengsel for å identifisere fanger med analfistel. Han øvde seg på dem og skapte et operasjonsverktøy som fortsatt er å finne på «musée de la médecine» i Paris. De fangene som døde etter inngrepet ble begravd i all hemmelighet før daggry.

Overstående praksis var vanlig på denne tiden. Det kan nevnes at da Kong Henrik II ble skadet i øyet under en turnering i 1559 påførte Ambroise Paré (1510–1590), kongens kirurg, den samme skaden på fanger. Etter døden obduserte han dem for å identifisere skaden.

Ludvik den XIVs fistelkirurgi Operasjonen foregikk 18.11.1686 uten anestesi og varte 3 timer. Det var en offentlig

begivenhet, ingenting ved kongen var privat. Ludvig ba kirurgen om å ikke bry seg om at det var kongen han skulle operere på.

Ambroise Paré opplevde det samme tidligere. Da kongen ba ham om å bli operert som en bonde, svarte han at dette ikke var mulig da han opererte enhver som om de var kongen.

Etter operasjonen kom Ludvig gradvis til krefter. Han frisknet til og ble erklært frisk i januar 1687. Tretti hoffmenn uttalte da at også de kunne tenke seg å bli operert.

Hele Europa, som hadde trodd at Ludvig lå på dødsleiet, fikk vite om suksessen. Det ble fryd og fest i hele kongeriket, og kongens makt ble forsterket, og Felix ble rikelig betalt og hedret.

Ludvig XIV kirurgiens beskytter

Etter det vellykkede inngrepet beskyttet Ludvig XIV faget kirurgi som utviklet seg og fikk godt rykte. Tilliten til faget ble gjenopprettet. Hans etterfølger opprettet akademiet for kirurgi i 1731 som ville gi kirurgene den samme anseelse som leger.

Denne historien er godt kjent.

Mange brydde seg om Ludvig XIV

Foreldreløse jenter på maison royale de saint Louis ba også for kongen. Det var en nyåpnet internatskole skapt av Madame de Maintenon (Ludvigs kone). Da de ikke enda kunne latin skrev Madame de Brinon (den styrende nonnen ) en bønn på fransk.

Hun gikk deretter til Lully og ba ham om å skrive musikk. Det ble «grand dieu sauve le roi» (store Gud redd kongen). https://www.youtube.com/watch?v= Z1gVvB5k_hg

Populær sang

Denne sangen ble umiddelbart populær ved hoffet. Hver gang Ludvig besøkte internatskolen pleide les demoiselles de Saint Cyr (slik ble kalt de som bodde på maison royale de saint Louis ) å synge denne sangen.

I 1714 var Georg Friedrich Haendel (1685–1759) på besøk i Versailles. Han hørte sangen skrevet 28 år tidligere og likte den. Haendel ønsket på denne tiden å komme i favør på det engelske hoffet. Han tok sangen med seg og dro til England. Han fikk den oversatt til engelsk og ga den som gave til den nye kongen Georges I. Denne gesten ble satt pris på og Haendel ble kongens komponist. I 1740 ble denne sangen nasjonalsang i UK.

Forbindelsen mellom franske Ludvig XIV og God save the king hadde blitt glemt hvis Renée Caroline Victoire de Froulay, marquise de Crequy ikke hadde fortalt historien i boken. Hun hadde hørt historien fra bestemoren som var vitne til det hele.

Oppsummert

• Musikk skrevet av Giovanni Battista Lully som var italianer og bifil

• Tekst av en nonne

• Skapt for fattige edle jenter til en rik, syk konge

• Stjålet av en tysk musiker som utga seg for å være komponisten

• Oversatt og sunget første gang i UK av Henry Carey (1687–1743) til en frisk konge som var overhodet for kirken i England

Historie er spennende…

32

Indiahavet

På tokt med Statsraad Lehmkuhl

Ivinter deltok jeg som skipslege på jordomseilingen til seilskipet Statsraad Lehmkuhl, med to tokt over Indiahavet. Norsk Senter for Maritim­ og Dykkemedisin hadde fått i oppdrag å formidle leger til seilasen. De fordelte toktene på leger fra flere spesialiteter; indremedisin, fysikalsk medisin, pediatri og anestesi, i tillegg til å sende sine egne leger. Vi fikk dekket utgifter til flyreise, vaksiner og sjømannsattest. Før

toktet deltok vii på informasjonsmøter og her fikk vi bla lister over medikamentene om bord som følger satsen til marinens skip.

Heldigvis hadde jeg kjennskap til skipet fra før fordi jeg hadde deltatt på flere korte tokt tidligere. Overvåkningsutstyret var fornyet og man bruker Shipmed for å loggføre medikamentbruk.

Jeg var spent fordi jeg hadde ikke opplevd å seile i tropevarme tidligere.

Forberedelser

Jeg inviterte alle skipslegene hjem til meg våren 2022 og her delte vi erfaringer med de som skulle ut det kommende året. Jeg var den nest siste i rekken av leger som skulle reise. Mine etapper gikk fra Indonesia til Mauritius, der mannskapet ble skiftet

33
Camilla Grung Haukeland universitetssykehus, Bergen camilla.grung@helse-bergen.no

Tidsskrift for Norsk anestesiologisk forening, DNLF

ut, og fra Mauritius til Maputo i Mosambik. Det var åpne tokt. Hvem som helst kunne bestille plass som medseiler og betale for kost og losji og opplæring i sjømannskap.

Prisen for 26 dager på sjøen var kr 23.000 og det var noe billigere enn toktet rundt Kapp Horn som kostet kr 60.000 for en uke.

Å forbygge sykdom hos

medseilerne og passasjerer

PWC har oversikt over miljøregnskap for hele ekspedisjonen ONE Ocean, og her kan man se at mine tokt, 33 og 34 av 36 etapper, hadde flest medseilere ombord. De over 70 år hadde legeerklæring på at helsen var god nok til å tåle reisen. Toktet over Indiahavet var langt fra land og uten mulighet for assistanse, og utenfor rekkevidden av helikopter. Kollega Eirik Vikane fortalte at mange eldre medseilere hadde fått hevelser i bena i tropevarmen, han som til vanlig jobbet med fysikalsk medisin hadde organisert felles trim på dekk med øvelser som reduserte ødemet. Roald Havre delte sine erfaringer fra korona smitten om bord da han seilte ut fra Miami til NY i

desember 2021 Erfaringene har han publisert en artikkel i overlegetidskiftet, med tittelen «Skipslege i koronaens tid». Det hørtes travelt ut å få tatt PCR test av mange og vanskelig å få isolert smittede på skipet. I Norge var smitteverntiltakene opphevet i februar 2022, man trengte ikke lenger å isoleres ved sykdom.

Strenge tiltak med tanke på Korona

Reglene til sjøs var fortsatt strenge hva gjelder forebygging av koronasmitte. Man fulgte med på rettsaken i Nord­Norge der kapteinen og skipslegen på hurtigruten fikk bot. De som betalte for å bli med på tokt ble kalt medseilere, til forskjell fra passasjerer, noe som innebærer andre regler til sjøs. Både mannskap og medseilere måtte dokumentere vaksinestatus og testes rett før de fikk komme om bord. Dersom noen fikk positivt testresultat, ville de ikke få entre skipet.

I Indonesia møtte 135 medseilere opp dagen før avgang, og de ble delt opp i puljer

på 10 som ble veiledet og hjulpet til selvtest med antigen hurtigtest. Testingen skjedde i en stor ventehall. Mange kom fra ferieopphold på Bali og andre øyer og vi fikk dessverre en eldre kar som testet positivt. Gode råd var dyre. Vi fikk ham bort i et hjørne og en matros tok ham med til hospitalet for isolering der. Hans kone hadde fått influensa symptomer ti dager tidligere på Bali og selv hadde han fått symptomer et par dager etter, men var nå i god almenntilstand uten feber. Dersom havnemyndighetene hadde fått nyss om prøveresultatet, ville de stengt av hele terminalen og satt skipet i karantene. Vi valgte derfor å ta ham stille med oss til isolasjon.

Mannskap fra alle verdenshjørner og Edvard Munch

Det var folk fra USA, Canada, Sveits, Australia, Italia, til sammen 169 mennesker fra 11 ulike nasjoner som seilte ut fra Indonesia, mellom Java og Sumatra, med synet av Krakatau vulkanen i det fjerne. Denne vulkanen hadde et utbrudd i 1883 som kunne høres helt til Australia, og

34
Med legene Jostein Waage og Ling Kituyi på dekk, Julie i midten syr en seilersekk av gamle seil. Hun jobber til vanlig som guide i Paris. Hospitalet med fire køyesenger.
35
Hver kveld etter middag stod vi på «bakken» for å se på solnedgangen, her med unge Mathea fra Bergen.

himmelen fikk en intens farge over mesteparten av verden. Edvard Munch beskrev himmelen som blodrød og ble inspirert til å male Skrik ti år senere.

Sykdomspanorama

Det ble travelt å være skipslege over Indiahavet. I løpet av tre uker på åpent hav kom over halvparten av medseilere innom legekontoret, i snitt to ganger hver. Terskelen var lav for å oppsøke lege. Det kostet dem ingenting, og de fikk medisiner gratis. Jeg gikk nesten tom for Paracet, og måtte forsyne meg av tabletter fra grabb vesken som inneholdt nødvendige medisiner til å bære med seg dersom man forlot skipet. Flere fikk halsvondt, mange hostet, men de fleste testet negativt på korona, og ingen hadde positiv streptokokk A test. Hostesaften var tom etter få dager. Noen fikk blemmer i hendene, små skrubbsår, en kuttet seg med kniven de skulle lage, noen hadde senebetennelser, de fikk utslett og noen fikk soppinfeksjon i lysken. Syv testet positivt på korona etter hvert som dagene gikk, men aldri mer enn to samtidig.

Jeg isolerte dem i fem dager på hospitalet, der de hadde et eget bad og WC. På hospitalet var det 4 køyesenger, 2 i høyden. Det var 80% belegg på disse. De fikk servert tre måltider for dagen, i tillegg til påfyll av isvann og kaffe. Sengetøyet deres ble vasket og hospitalet rengjort. Imidlertid var korona syke oftest i bedre almenntilstand enn andre med forkjølelseshoste og tonsillitt. Noen med kraftig hoste ved forsøk på søvn ble innlagt på hospitalet, fordi de ba om å slippe å sove i banjeren og forstyrre alle de andre som sov tett i tett i hengekøyer. Jeg gav inhalasjonsbehandling til flere.

Det ble engstelse blant medseilere for at noen kunne få koronasmitte rett før Mauritius og ikke få bli med på neste etappe, hele 38 hadde tenkt å bli med videre etter oppholdet der. Ettersom korona ikke gav alvorlig sykdom og alle hadde god vaksinedekning, kommuniserte jeg med Lehmkuhl kontoret i Bergen for å få endret rutinene slik at vi ikke lenger skulle teste de som kom på skipet i Mauritius. Det gikk i orden, og det var en lettelse å slippe å gå

med munnbind blant medseilere og det var heldigvis lite snakk om korona på den neste etappen. Det ble kjøpt inn rikelig med hostestillende medisin på apoteket på Mauritius, i tillegg til medbrakte medisiner bestilt fra Norge til neste etappe. På den neste etappen hadde nesten ingen plager med hoste.

Jeg fryktet selvsagt at det skulle oppstå en alvorlig hendelse underveis, og vi hadde hørt om en tragedie i Danmark der en 23­åring fra besetningen på skoleskipet Danmark hadde falt ned 20 m fra riggen 16. februar 2022 og seinere døde av skadene. Han hadde seilt med flere av mannskapet. Reglene for å få entre riggen var nå blitt skjerpet i Europa, med krav om at man skulle klare pull­ups. Flere strevde med å klare dette og spesielt kvinnene trente hardt for å bestå testen.

Heldigvis falt ingen ned fra riggen. Jeg hadde imidlertid noen tilfeller som gav bekymringer; en sprek dame med kjent residiverende divertikulitt fikk symptomer

36
Tidsskrift for Norsk anestesiologisk forening, DNLF Det er langt ned fra masten, 48 meter. Vi sikrer oss ved første saling 17 meter opp og klatrer alltid opp på siden med vinden i ryggen.

med murring i magen og hun fikk Dulcolax med god effekt, og senere også antibiotika. Det ble tatt CRP hurtigtest som viste en CRP mellom 40–80.

En med magesår etter for mye NSAIDs hadde blodig oppkast og melena, men ble bra etter en god kur med Somac. Hun var på hospitalet med endometriose smerter. Inngrodde tånegler på unge menn ble behandlet med stell og antibiotika. I varmen ble sår lettere infisert, og jeg delte ut mer antibiotika enn jeg ville ha gjort i Norge. En mann med et infisert sår på leggen ble sendt hjem fra Mauritius. En far som reiste med to voksne ungdommer fikk akutt isjas og holdt sengen i noen dager. Han fikk tilbakefall en natt da han lente seg over ripen for å se på morilden, og hadde så kraftige smerter at jeg la inn PVK i rødt nattlys. Intravenøs Morfin ble gitt, etter at 3 tabletter med Pinex Forte og NSAIDs IM ikke hadde lindret smertene. Flere store karer måtte hjelpe ham ned den bratte trappen fra forreste dekk som heter bakken. Heldigvis hadde han ingen symptomer som ville ha krevd akutt kirurgi. Han ble sengeliggende i noen dager og en annen ung mann måtte gi ham plassen sin i den nederste køyen.

37
Spleising av tau og ulike seilerknuter læres bort i grupper. Crabb-vesken undersøkes av en jordmor, hun holder NG flasken. Kvinner øver på pull ups. Film på storseilet om kvelden. Havneplassen kan være langt fra sentrum, her i Jakarta, som er en raskt synkende by. Han fikk daglige inhalasjoner, jeg ba ham skjule ansiktet her.

Mannskapet benyttet anledningen på den lange etappen til vedlikehold av skip og seil, og en ung matros fikk kraftig maling i øyet i det han tok av seg ansiktsmasken, et vindkast hadde blåst maling fra pensel til ansiktet. Heldigvis hadde lettmatros Edda startet med øyeskyll øyeblikkelig, og jeg fortsatte med dette. En stor infusjonspose med fysiologisk saltvann ble klippet opp og brukt til å etterfylle øyeskylleflasken. Han fikk øyesalve og hadde heldigvis ingen sekvele. En ung kanadisk dame blødde fra munnen, og det viste seg at hun hadde spist ananas og fått noen skarpe nåler fra skallet inn mellom fortennene. En kompress dynket med Lidocain med Adrenalin ble presset mot blødningen i gummen.

Det var lite sjøsyke, kun sporadisk de første dagene, foruten en utenlandsk dame som fikk Scopoderm plaster hver tredje dag gjennom hele seilasen.

Stor egenomsorg

Det var stor egenomsorg blant medseilere. Likevel, måtte jeg skjerme og hospitalisere en ung kvinne som fikk flere panikkanfall med kraftige skjelvinger. En annen fikk delir med skjelvinger og lå flere dager på hospitalet.

Samarbeidspartnere

Det var ingen kirurger blant medseilere, men tre erfarne leger der to av dem hadde vært på skipet som frivillige leger tidligere. Vi hadde en erfaren lege som hadde vært allmennlege i Afrika og nå leder for FNs flyktningråd i Genève, hun gav meg verdifulle råd da jeg holdt et innlegg om Malaria, Dengue feber og Chikungunyavirus før ankomst Afrika. Jeg delte ut Malarone tabletter til besetningen, flere skulle tilbringe julen i Maputo.

Forskning

Vi hadde flere forskere med på toktet som foretok målinger av mikro DNA i havet, saltinnhold, målte mengde mikroplast og skipet lå da stille i vannet. På grunn av store hai i havet kunne vi ikke bade i sjøen, men vi fikk dagligsaltvannsdusj på dekk, noe som var veldig populært i varmen. For å unngå solforbrenning, var det satt opp en hvit duk over halve dekket. Vi hadde øvelser på evakuering, brann og førstehjelp. Førstehjelpteamet bestod av Stuert, kokk og forpleining. De viste meg en app på mobilen ; «Mariners Medico Guide» som er nyttig for sjøfolk uten lege på skipet. Radio Medico benyttes ellers flittig og gir gratis hjelp til sjøfolk over hele kloden.

Det var en god blanding av ressurssterke og spreke medseilere, og flere holdt foredrag, om livet i havet, om tiltak for å gjøre båter mer miljøvennlige, om sykkelturer over kontinenter, en hadde vært med på tokt på 70 tallet og viste bilder derfra. Jeg holdt flere foredrag om mikroplast i hav, takket være satellitt hadde mannskapet tilgang til wifi, og jeg kunne lage foredraget på legekontoret, med flere bilder fra internett. Det ble servert vegetarkost til alle måltider. Skipet produserte ferskvann og hadde en liten motor i drift for å forsyne alle med strøm og ferskvann. Det ble etterspurt enda mer vegetabilsk mat, men skipet hadde ikke kapasitet til å frakte de store mengdene med grønnsaker som ville kreves til å mette alle med vegetarkost i ukesvis.

Arbeidsoppgaver

Overaskende mange reiste alene på turen, det var lett å bli kjent med andre og alle fikk oppgaver to og to i løpet av sine 4 timers vakter. De eldste og mest skrøpelige foretrakk å være i den blå gruppen som jobbet

mellom 08­12 og 20­24. Ulempen deres, var at hengekøyen deres måtte pakkes bort før 07.30 fordi forreste banjer ble brukt som spisesal og oppholdsrom. Søvnmangel kunne bli et problem. Jeg hadde ikke Zopiklone i satsen, men fikk flere tabletter av en medseiler som kunne deles ut til andre. Flere foretrakk å sove på benkene og det var lett å få sove der uten å falle ned på dørken fordi sjøen var rolig under hele overfarten.

Statsraad Lehmkuhl og andre seilskip som seiler på kortere strekninger over Nordsjøen ønsker å ha med seg en frivillig medic på turen. Når lege ikke er til stede, vil førstestyrmann oftest ta seg av medisinske gjøremål. De pleier å stifte sårkutt i stedet for å suturere. Når man deltar på tokt, får man være en del av besetningen og man har egen lugar med vask. Det er ulønnet arbeid, men vi kan ta med oss en person som reiser gratis. Maten er veldig god. Jeg har tatt med alle i familien på flere turer til Shetland, Orknøyene, Dublin, Hardanger og til Trænafestivalen. Det anbefales.

38
Tidsskrift for Norsk anestesiologisk forening, DNLF Hilsen fra Indiahavet i solnedgang.

KLIMASMART GASS-ANESTESI med CONTRAfluran™

✔ ENKELT

CONTRAfluran™ anestesigassfilter1 er enkelt i bruk.

✔ EFFEKTIVT

Filteret adsorberer 99 % av anestesigassen som ellers ville gått ut i atmosfæren via AGSS2

✔ KLIMASMART

Anestesigasser adsorbert i filteret kan ekstraheres, steriliseres og resirkuleres3

CONTRAfluran er en klimasmart teknologi for å eliminere utslipp av anestesigasser4. Målet er å lage et helt syklussystem for inhalasjonsbedøvelse5. Bli med på reisen!

Med Contrafluran™ kan helsevesenet velge inhalasjonsanestesi basert på kliniske fordeler og samtidig redusere miljøbelastning

Cyanokit

SERB

Antidot.

V03A B33 (Hydroksokobalamin, Vitamin B12)

PULVER TIL INFUSJONSVÆSKE, oppløsning 5 g: Hvert hetteglass inneh.: Hydroksokobalamin 5 g, saltsyre.

Indikasjoner

Behandling av kjent eller mistenkt cyanidforgiftning. Skal administreres samtidig med adekvat dekontaminering og støttebehandling.

Dosering

Startdose: Skal gis som i.v. infusjon løpet av 15 minutter.

Voksne: 5 g. Barn: Fra spedbarn til ungdom er startdosen 70 mg/kg kroppsvekt, maks. 5 g.

20 30 40 50 60

Videre dosering: Avhengig av forgiftningens alvorlighetsgrad og klinisk respons kan det gis en 2. dose som i.v. infusjon. Basert på pasientens tilstand kan infusjonsraten for 2. dose variere fra 15 minutter (for svært ustabile pasienter) til 2 timer. Voksne: 5 g. Barn: Fra spedbarn til ungdom er 2. dose 70 mg/kg kroppsvekt, maks. 5 g.

Maks. dose: Voksne: 10 g. Barn: Fra spedbarn til ungdom er høyest anbefalt dose 140 mg/kg, maks. 10 g.

Spesielle pasientgrupper: Nedsatt nyre- og leverfunksjon: Administreres kun som akuttbehandling en livstruende situasjon, dosejustering er derfor ikke nødvendig, selv om sikkerhet og effekt ikke er undersøkt hos disse pasientene.

Tilberedning/Håndtering: Hvert hetteglass skal rekonstitueres med 200 ml væske (natriumklorid 9 mg/ml (0,9%) oppløsning er anbefalt), og medfølgende steril overføringskanyle skal brukes. Bare hvis natriumklorid 9 mg/ml (0,9%) oppløsning ikke er tilgjengelig kan Ringerlaktatoppløsning eller 5% glukosebrukes. Vend og snu hetteglasset i minst 60 sekunder for å blande oppløsningen. Må ikke ristes, da risting av glasset kan føre til skumdannelse som gjør det vanskeligere å kontrollere oppløsningen. Fordi den rekonstituerte oppløsningen er mørkerød, kan det hende at partikler ikke sees. Det medfølgende intravenøse infusjonssettet må derfor brukes, ettersom det inneholder et spesialfilter. Infusjonssettet må primes med den rekonstituerte oppløsningen. Gjenta prosedyren om nødvendig med det andre hetteglasset.

Administrering: Til i.v. infusjon.

Forsiktighetsregler

Ved behandling av cyanidforgiftning må det øyeblikkelig sørges for frie luftveier, adekvat oksygenering og hydrering, kardiovaskulær støtte og behandling av kramper. Dekontaminering må vurderes ut fra eksponeringsmekanismen. Cyanokit erstatter ikke oksygenbehandling, og må ikke forsinke oppstarten for tiltakene ovenfor. Tilstedeværelse og grad av cyanidforgiftning er ofte ukjent utgangspunktet. Det finnes ingen lett tilgjengelig og rask blodprøve som kan bekrefte cyanidforgiftning. Behandlingsbeslutningene må tas på grunnlag av anamnese og/eller tegn og symptomer på cyanidforgiftning (se SPC). Kilder til cyanidforgiftning inkl. hydrogencyanid (blåsyre) og dets salter, cyanogener, inkl. cyanogene planter, alifatiske nitriler eller forlenget eksponering for natriumnitroprussid. Brannskader, traume eller eksponering for andre giftige substanser kan forverre det kliniske bildet. Før Cyanokit gis anbefales å sjekke aktuelle pasienter for tilstedeværelse av følgende faktorer: Eksponering for røyk i et lukket område, sot rundt munn, nese og/eller orofarynks, endret mental status. I en slik situasjon er hypotensjon og/eller plasmalaktatkonsentrasjon ≥10 mmol/liter viktige indikasjoner på cyanidforgiftning. Behandling med Cyanokit skal ikke forsinkes ved først å måle laktatkonsentrasjonen plasma. En nytte-risikovurdering, mht. overfølsomhet for hydroksokobalamin eller vitamin B12må gjøres før Cyanokit gis, da hypersensitivitetsreaksjoner kan forekomme. Akutt nyresvikt med akutt tubulær nekrose, nedsatt nyrefunksjon og kalsiumoksalatkrystaller urin kan forekomme. Dette kan kreve hemodialyse. Derfor skal regelmessig overvåkning av nyrefunksjonen (inkl. blodureanitrogen og serumkreatinin) utføres til 7 dager etter behandlingsstart. Forbigående, vanligvis asymptomatisk blodtrykksøkning kan forekomme. Størst økning blodtrykk er observert mot slutten av en infusjon. Hydroksokobalamin vil senke cyanidkonsentrasjonen i blodet. Å dokumentere cyanidforgiftning kan være nyttig, men å bestemme cyanidkonsentrasjonen blodet er ikke nødvendig og må aldri forsinke behandlingen med hydroksokobalamin. Ved planlagt måling av cyanidnivået blodet anbefales blodprøvetaking før man starter behandlingen med Cyanokit. Hydroksokobalamin kan gi rød hudfarge, og kan derfor påvirke vurderingen av brannskader. Hudlesjoner, ødem og smerter er tydelige tegn på brannskader. Hydroksokobalamin kan påvirke bestemmelsen av laboratorieparametre (klinisk kjemi, hematologi, koagulasjon og urinparametre). Grad og varighet av denne påvirkningen kan variere med alvorlighetsgraden av forgiftningen. Forsiktighet er påkrevd ved rapportering og tolkning av laboratorieresultater siden resultatene kan variere betydelig mellom måleapparatene. Hydroksokobalamin kan påvirke alle kolorimetriske urinparametre. Effekten på disse testene varer vanligvis 48 timer etter en dose på 5 g. Forsiktighet er nødvendig ved tolkning av svar på kolorimetriske urinprøver så lenge kromaturi foreligger. Sikkerheten ved å gi andre cyanidantidoter sammen med Cyanokit er ikke undersøkt. Ved beslutning om å gi en annen cyanidantidot sammen med Cyanokit må disse legemidlene ikke gis samtidig i samme intravenøse inngang.

Graviditet, amming og fertilitet

Graviditet: Dyrestudier har vist teratogene effekter etter daglig eksponering gjennom hele organogenesen. Det foreligger ikke tilstrekkelig data på bruk under graviditet og human risiko er ukjent. Ved potensielt livstruende tilstand og mangel på passende alternativ behandling, kan hydroksokobalamin likevel gis under graviditet, dersom det tas hensyn til at det maks. må gis 2 injeksjoner. Dersom gravide eksponeres for hydroksokobalamin, må helsepersonell straks informere innehaver av markedsføringstillatelsen og følge opp graviditeten og resultatet nøye. Amming: Kan utskilles morsmelk. Siden hydroksokobalamin brukes potensielt livstruende situasjoner er amming ingen kontraindikasjon. Vis informasjon om graviditet fra Norsk legemiddelhåndbok.

Bivirkninger

Ukjent frekvens: Blod/lymfe: Redusert lymfocyttall. Gastrointestinale: Magesmerter, dyspepsi, diaré, oppkast, kvalme, svelgebesvær. Hjerte/kar: Ventrikulære ekstrasystoler, økt hjertefrekvens, forbigående økt blodtrykk som vanligvis går over etter noen timer, hetetokter, redusert blodtrykk. Hud: Reversibel rødfarging av hud og slimhinner som kan vare ≤15 dager, pustulære utslett med varighet i flere uker, først og fremst på hode og hals. Luftveier: Pleuraeffusjon, dyspné, klem i halsen, tørr hals, ubehag brystet. Nevrologiske: Hukommelsessvikt, svimmelhet. Nyre/urinveier: Akutt nyresvikt med akutt tubulær nekrose, nedsatt nyrefunksjon, kalsiumoksalatkrystaller i urin. Kromaturi: Alle vil få rødfarging av urinen som er nokså markert 3 dager etter administrering. Fargen urinen kan vedvare ≤35 dager. Psykiske: Rastløshet. Øye: Hevelse, irritasjon, rødhet. Øvrige: Hodepine, reaksjoner på injeksjonsstedet, perifere ødemer, allergiske reaksjoner inkl. angionevrotisk ødem, hudutslett, urticaria og kløe.

Overdosering/Forgiftning

Doser opptil 15 g er gitt uten spesifikke doserelaterte bivirkninger. Ved overdose rettes behandlingen mot behandling av symptomene. Hemodialysekan være effektivt slike situasjoner, men er bare indisert ved betydelig hydroksokobalaminrelatert toksisitet.

Egenskaper

Virkningsmekanisme: Basert på hydroksokobalamins evne til tett binding av cyanidioner. For å forme cyanokobalamin binder hvert hydrokso-kobalaminmolekyl ett cyanidion ved å erstatte hydroksyliganden.

Proteinbinding: Signifikant binding til plasmaproteiner og fysiologiske forbindelser med lav molekylvekt.

Kobalamin (III)-kompleksene som dannes har lav molekylvekt, og inkl. hydroksokobalamin.

Halveringstid: Ca. 26 og 31 timer for hhv. 5 og 10 g.

Utskillelse: Gjennomsnittlig total mengde av kobalaminer (III) utskilt urinen i en samleperiode på 72 timer er ca. 60% av en dose på 5 g dose, og ca. 50% av en dose på 10 g. Mesteparten av urinutskillelsen skjer de første 24 timene. Hos cyanidforgiftede er det forventet at hydroksokobalamin binder seg til cyanid og danner cyanokobalamin som skilles ut urinen. Farmakokinetikken kan påvirkes av kroppens cyanidbelastning, ettersom cyanokobalamin er rapportert å ha en halveringstid 2-3 ganger lavere enn totale kobalaminer (III) hos friske frivillige.

Oppbevaring og holdbarhet

For ambulant bruk, kan Cyanokit i korte perioder utsettes for temperaturvariasjoner som forekommer ved vanlig transport (15 dager utsatt for temperatur fra 5-40°C), transport i ørkenen (4 dager utsatt for temperaturer fra 5-60°C) og frysing/opptining (15 dager eksponert for temperaturer fra -20°C til 40°C).

Oppbevaringsbetingelser for rekonstituert legemiddel: Ved 2-40°C er kjemisk og fysisk bruksstabilitet av ferdigblandet oppløsning 6 timer. Fra et mikrobiologisk synspunkt bør legemidlet brukes umiddelbart. Dersom det ikke brukes umiddelbart, er brukeren selv ansvarlig for oppbevaringstiden og oppbevaringsforholdene. Den bør normalt ikke være lengre enn 6 timer ved 2-8°C.

Andre opplysninger

Fysisk inkompatibilitet (partikkeldannelse) er observert når oppløst hydroksokobalamin blandes med diazepam, dobutamid, dopamin, fentanyl, nitroglyserin, pentobarbital, natriumfenytoin, propofol og tiopental. Kjemisk inkompatibilitet er observert med natriumtiosulfat, natriumnitritt og askorbinsyre. Disse legemidlene må derfor ikke gis samtidig gjennom samme intravenøse inngang som hydroksokobalamin. Dersom blodprodukter (helblod, røde blodlegemer, blodplatekonsentrat eller fersk frosset plasma) og hydroksokobalamin administreres samtidig, anbefales bruk av separate, intravenøse tilganger (fortrinnsvis på kontralateral ekstremitet).

Sist endret: 18.11.2020 (priser og ev. refusjon oppdateres hver 14. dag)

Basert på SPC godkjent av SLV/EMA: 27.11.2018

Cyanokit, PULVER TIL INFUSJONSVÆSKE, oppløsning: Styrke Pakning Varenr. Refusjon1 Byttegruppe Pris (kr)2 R.gr.3

5 g 1 stk. (hettegl.) 1120738846,30 C

1 Gjelder forhåndsgodkjent refusjon. For informasjon om individuell stønad, se HELFO.

2 Pakninger som selges uten resept er angitt med stjerne * kolonnen Pris. Det er fri prisfastsettelse for pakninger som selges uten resept, og maksimal utsalgspris kan derfor ikke angis.

3 Reseptgruppe. Utleveringsgruppe.

Serb Nordic & Baltic Cathrin Wall
c.wall@serb.eu | Tlf. +47 97654133
5
Startdose g 0,35 0,7 1,4 2,1 2,8 3,5 4,2 ml
Kroppsvekt (kg)
10
14 28 56 84 112 140 168
20/08/NO/CYA/001 SERB SA – Avenue Louise 480, 1050 Brussels, Belgium – www.serb.eu

Turn static files into dynamic content formats.

Create a flipbook
Issuu converts static files into: digital portfolios, online yearbooks, online catalogs, digital photo albums and more. Sign up and create your flipbook.