Skip to main content

Regular Public Meeting Agenda 06/06/23

Page 1

Arne Mortensen, Commissioner District 1

Dennis Weber, Commissioner District 2

Richard R. Dahl, Commissioner District 3

Regular Public Meeting

June 6 , 202 3 , 9:00 a.m.

Board Meeting Convenes at 9:00 a.m.

 Pledge of Allegiance

 Minutes of May 29-31, 2023

 Consent Agenda of June 6, 2023

 Call for Hearings

 Call for Bids

 Motion Items

 9:45 a.m. Public Hearing

 Public Comments

o Citizen Participation may be anonymous. See RCW 42.30.040

Consent Agenda

Call for Hearings

1. Call for Public Hearing to discuss the updates to the Access section of the Land Use Ordinance scheduled for 6/20/2023 at 9:45 a.m.

Call for Bids

2. Call for Bid for the Revised County Road Project No. 770 to paint the Abernathy Creek Bridge 2. Funding will be from the Federal Highway Administration Bridge Program in the amount of $272,500 and construction amount of $241,500.

Agreements/Contracts/Bid Awards

3. Beneficiary Agreement with the Sunnyside Grange #129 to assist with negative economic impacts due to the COVID-19 pandemic. Total amount is $7,800.

4. Amendment No. 1 for the RH2 Engineering, Inc. contract for the Toutle Water System Improvement Project to add surveying the Shadow Mountain area. Amount added is $68,000, increasing the total amount from $271,740 to $339,740.

Page 1 of 3 v
ZOOM Link KLTV Link
Option: (253) 215-8782 Webinar ID:
3917 www.kltv.org
Phone
820 1961

Regular Public Meeting

June 6, 2023, 9:00 a.m.

Board Correspondence

5. Letters/Notices

a. Letter dated 6/6/23 to Alena Pisarchuk appointing her to the Homeless Housing Taskforce. This is a 2-year term that expires June 31, 2025.

b. Letter dated 6/6/23 to John Brugman appointing him to the Solid Waste Advisory Committee. This is a 2 -year term that expires March 31, 2025.

c. Letter dated 05/24/23 from the Federal Emergency Management Agency (FEMA) regarding the Proposed Flood Hazard Determinations affecting the Flood Insurance Rate Map (FIRM).

Vouchers

The following vouchers/warrants are approved for payment:

Motion Items

Public Works

6. Bid Award to Specialized Pavement Marking for the 2023 Joint Agency Striping Project Bids. Total cost is $1,057,407.25.

Health & Human Services

7. Amendment 2 to Contract No. 21-037 with Washington State Department of Social & Health Services (DSHS) - Developmental Disabilities Administration (DDA) to allow individuals to access both adult employment and day services concurrently. The increase is $165,875 and the total amount will not exceed $3,620,041.

8. Amendment 1 to Contract No. 22-019 with Compass Career Solutions to allow eligible DDA clients to access adult employment and day services concurrently. The increase is $59,764 and the total amount will not exceed $293,764.

Page 2 of 3
Fund Voucher Numbers Amount Claims 1000047213-1000047331 $ 515,564.80 Claims 1000012956-1000013039 650,926.36 Special District 01 5000001876-5000001893 562,921.83 Special District 01 5000015886-5000015920 55,644.07 Special District 02 7000000278-7000000278 1,420,992.79 Special District 02 7000003395-7000003397 5,080.05 Public Facilities District 9000000118-9000000120 2,712.50 Public Facilities District 9000000559-9000000556 17,807.00 Salary Fund 162449-162469 29,987.45 Salary Fund 259242-259774 1,161,936.86 Total $ 4,422,573.71

Regular Public Meeting

June 6, 2023, 9:00 a.m.

9. Amendment No. 1 to Contract No. 22-022 with Lifeworks for DDA eligible clients to access adult employment and day services concurrently. The increase is $59,787 and the total amount will not exceed $894,787.

Public Hearings

Building & Planning

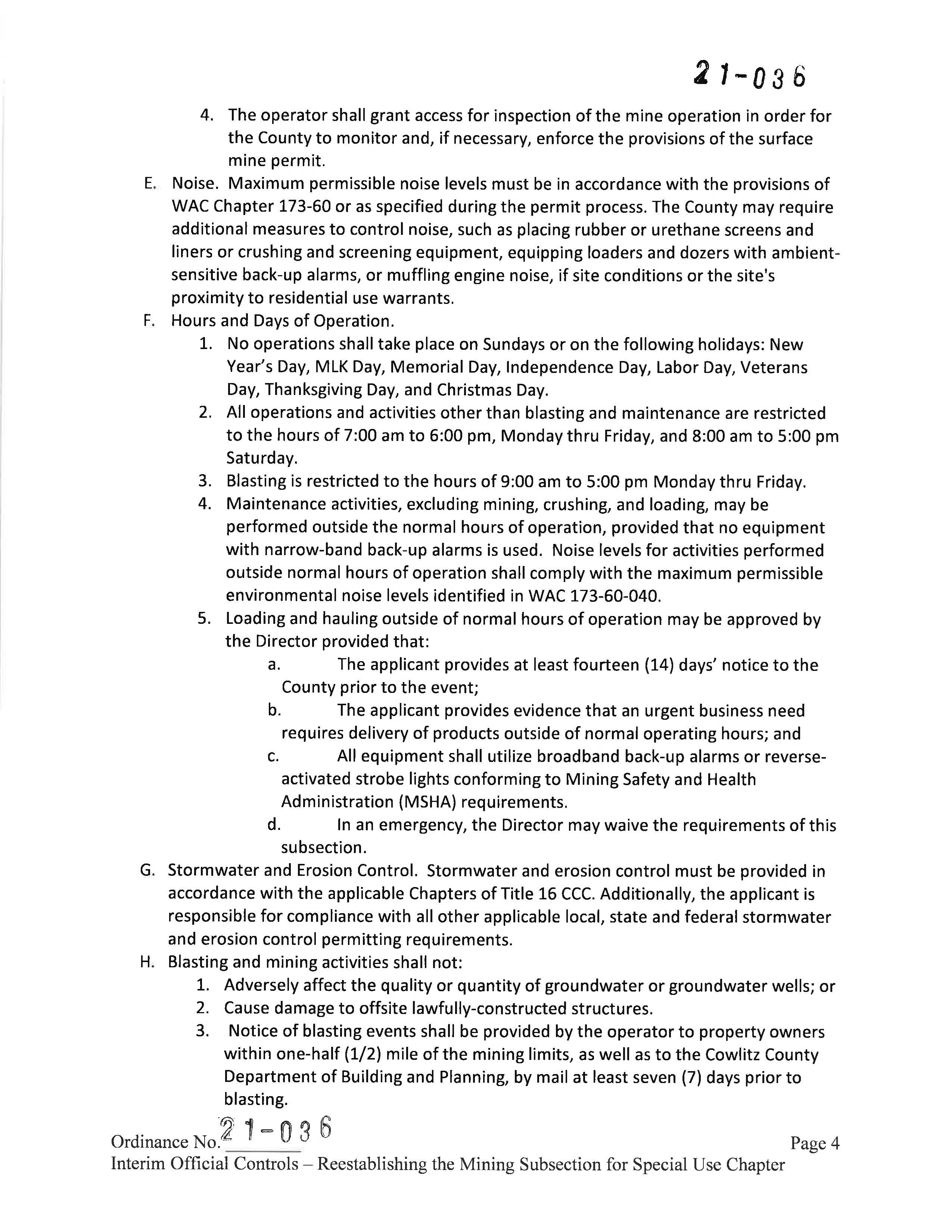
10. 9:45 a.m. - Surface Mining Extension for the Interim Official Controls

Updates

Chairman Updates

Tabled Items:

 Coroner’s Office – Personal Service Agreement with Dr. Emmanuel Lacsina

Citizen Comments – Citizen participation may be anonymous. See RCW 42.30.040

RCW 42.30.040 - Conditions to attendance not to be required. A member of the public shall not be required, as a condition to attendance at a meeting of a governing body, to register his or her name and other information, to complete a questionnaire, or otherwise to fulfill any condition precedent to his or her attendance. People may remain anonymous when logging on to Zoom by creating any name and email of their choosing. In a meeting, public comment will be received, either or both, orally (raise hand in Zoom or use *9 on phone) and by writing. Note: Written comments may be sent to the Board at any time. For oral presentations, the Board may set a time for comments and speakers.

All matters listed with the Consent Agenda were previously distributed to each Board Member for reading and study, were available for public viewing, are considered items of regular County business, and will be approved, without separate discussion, by one motion of the Board of County Commissioners. An item may be removed from the Consent Agenda and placed on the Regular Agenda for separate discussion and voting at the request of any Board Member.

The Board of Commissioners may add and take action on other items not listed on this Agenda.

 Agenda Online Address: https://www.co.cowlitz.wa.us/535/Agendas---Regular-Public-Meetings

 ZOOM Invitation Address (for all meeting days):

o https://us06web.zoom.us/j/82019613917

 KLTV Live Feed Address: http://www.kltv.org

Page 3 of 3

AS-12842

BOCC Agenda

Meeting Date: 06/06/2023

Call for Public Hearing - Land Use Ordinance update, section Access 18.10.690

Submitted For: Traci Jackson

Department: Building & Planning

Submitted By: Traci Jackson

Information

Consent 1.

Subject and Summary Statement

The Building & Planning Department requests the Board of Commissioners set a hearing to discuss the updates to the Access section of the Land Use Ordinance.

Will Staff Attend - NAME OF STAFF

Wayne Nelsen

Department Recommendation

The Department recommends the Board set a date for the hearing and the Clerk of the Board advertise the hearing.

Attachments

Public Notice

Resolution

Form Started By: Traci Jackson

Final Approval Date: 06/01/2023

Form Review

Started On: 05/23/2023 08:21 AM

Please publish legal notice of public hearing as shown below.

NOTICE OF PUBLIC HEARING

NOTICE IS HEREBY GIVEN that a public hearing will be held on 6/20/23, at _____ a.m. in the Commissioners' Hearing Room, County Admin Bldg, Kelso, WA to consider updating the Land Use Ordinance Access section 18.10.690 adopted last in 2018

The Clerk of the Board will accept written testimony concerning the proposed Land Use Ordinance update until 6/16/2023 at 4:30 p.m.

The Cowlitz County Administration Building is accessible for persons with disabilities Details on the type of meeting will be posted on the BOCC website: https://www.co.cowlitz.wa.us/166/Board-of-Commissioners.

BOARD OF COUNTY COMMISSIONERS OF COWLITZ COUNTY, WASHINGTON

Published: 6/7/23

PUBLICATION REQUIREMENT: To be published in one (1) issue

BILLING INFORMATION:

1) AFFIDAVITS TO: Cowlitz County Commissioners ATTN: Clerk of the Board 207 Fourth Avenue North, Room 305 Kelso, WA 98626

2) BILL TO: Cowlitz County Building and Planning Department

Attn: Meghan Stump 207 4th Ave N Kelso, WA. 98626

BEFORE THE BOARD OF COMMISSIONERS OF COWLITZ COUNTY, STATE OF WASHINGTON

A Resolution in the Matter of Setting an Open Record X Legislative Hearing Date to Consider Updating the X Resolution No. _______________ Land Use Ordinance, Access section 18.10.690 X

IT IS HEREBY RESOLVED by the Board of Commissioners of Cowlitz County, Washington, in a meeting assembled in the Administration Building of said county, that a hearing be held on the 20th day of June 2023, at the hour of am to consider the update to the Land Use Ordinance 18.10.690, section Access.

IT IS FURTHER RESOLVED, that the Clerk of said Board forthwith give at least ten (10) days’ notice of said hearing as required by law.

DATED THIS 6th day of June, 2023

BOARD OF COUNTY COMMISSIONERS OF COWLITZ COUNTY, WASHINGTON

Richard R. Dahl, Chairman

Dennis P. Weber, Commissioner

Arne Mortensen, Commissioner

ATTEST:

Clerk of the Board

X

BOCC Agenda

Meeting Date: 06/06/2023

REVISED CRP NO. 770 AND CALL FOR BIDS - Abernathy Creek Bridge 2 Painting Project - Project No. 1610

Submitted For: Susan Eugenis, Public Works

Submitted By: Carol Sides, Public Works Department: Public Works

Information

Subject and Summary Statement

Attached is revised County Road Project No. 770 for the painting of the Abernathy Creek Bridge 2, and the necessary documents to issue the Call for Bids.  This project consists of repainting Abernathy Bridge No. 2.

This project will receive funding from the Federal Highway Administration Bridge Program in the amount of $272,500.  At this time, staff is requesting authorization for construction in the amount of $241,500.

Will Staff Attend - NAME OF STAFF or No

Yes

Department Recommendation

It is the recommendation of the Department of Public Works that the Board move to approve Revised CRP No. 770, issue the Call for Bids, set the bid opening date and publish the Notice in the usual manner.

Fiscal Impact

Expenditure Required $: 225,000

Budget Sufficient Y-N: Y

Amendment Required Y-N: N

Source of Funds - What Dept ? : Roads

Grant Y-N: Yes

Attachments

CRP No. 770 REVISED

CRP No. 770

Call for Bids

Notice to Contractor

Vicinity Map

AS-12849 2.
Form Review Inbox Reviewed By Date Chris Andrews Chris Andrews 05/30/2023 11:44 AM Susan Eugenis Susan Eugenis 05/30/2023 11:46 AM Mike Moss, Public Works Mike Moss 05/30/2023 12:05 PM
Started On: 05/30/2023 10:10 AM
Form Started By: Carol Sides

Form Started By: Carol Sides Started On: 05/30/2023 10:10 AM

Final Approval Date: 06/01/2023

BEFORE THE BOARD OF COUNTY COMMISSIONERS OF COWLITZ COUNTY, WASHINGTON

In the Matter of Initiating a County Road Project Designated as REVISED C.R.P. No. 770; Project No. 1610

IT IS HEREBY RESOLVED THAT ABERNATHY CREEK ROAD, State Road Log No. 20930 from Milepost 4.34 to Milepost 4.36 be improved as provided below:

) Arterial ( )

Repaint the steel members of Abernathy Creek Bridge #2

) Collector ( X)

) Access ( )

This project is hereby declared to be a public necessity and the County Road Engineer is hereby ordered and authorized to report and proceed thereon as by law provided. (RCW 36.75.050, 36.80.030, 36.80.070)

IT IS FURTHER RESOLVEDTHAT an appropriation from the officially adopted road fund budget and based on the County Engineer's estimate is hereby made in the amounts and for the purposes shown:

(X) This project is included in the officially adopted annual road program as Item 7

( ) The project is hereby made a part of the officially adopted annual road program in accordance with RCW 36.81.130.

IT IS FURTHER RESOLVED THAT:

(X) The construction is to be accomplished by contract in accordance with RCW 36.77.020. et.seq.

( ) The construction is to be accomplished by county forces in accordance with RCW 36.77.060 and WAC 136-18.

ADOPTED this 6th day of June, 2023

BOARDOFCOUNTYCOMMISSIONERS

ATTEST: OFCOWLITZCOUNTY,WASHINGTON

Richard R. Dahl, Chairman

Arne Mortensen, Commissioner

Dennis P. Weber, Commissioner

Resolution No. ___________
PURPOSE AMOUNT OF APPROPRIATION Engineering $ 31,000.00 Right of Way Acquisition $ 0.00 TOTAL
$ 31,000.00 Construction $
TOTAL
$
Less Contributions
Other Funds $
TOTAL COUNTY ROAD FUND ALLOCATION $
(Not subject to 36.77.060)
241,500.00
PROJECT COST
272,500.00
from
272,500.00
0.00

CALL FOR BIDS

The Board of County Commissioners of Cowlitz County, Washington will receive sealed bids until June 27, 2023, prior to 11:00 a.m., for the following work: ABERNATHY CREEK BRIDGE 2 PAINTING PROJECT.

Work performed under this contract consists of the following: Containment, surface preparation, shielding adjacent areas from work, testing and disposing of debris, furnishing and applying paint, clean-up and other work.

At that time all bids will be publicly opened and read in the Board's hearing room. Bids must be addressed to:

Board of County Commissioners

Attn: Clerk of the Board 207 Fourth Avenue North Kelso WA 98626

Project bid documents (Plans, specifications, addenda, bid documents, bidders list and plan holders list) for this project are available online for inspection during the bidding period through the Builders Exchange of Washington (BXWA) website at www.bxwa.com. Click on Posted Projects, then Public Works, then Cowlitz County and then Projects Bidding. These documents are available for viewing, downloading and printing on your own equipment free of charge. This service is provided to Prime Bidders, Subcontractors, and Vendors bidding on this project. Bidders will need to “Register as a Bidder” through the BXWA in order to receive automatic e-mail notification of future addenda and to be placed on the Bidders List. Bidders should contact Builder’s Exchange of Washington at (425) 258-1303 for questions regarding access or registration.

It is the sole responsibility of the Bidder to obtain Addenda, if any. Addenda information will be available on the BXWA web site at www.bxwa.com. Cowlitz County accepts no responsibility or liability and will provide no accommodation to bidders who fail to check for addenda and thereby submit inadequate or incomplete responses.

Cowlitz County will not provide paper copies of the Project bid documents for this project for bidding purposes. A copy of the plans and specifications may be reviewed at the office of the Clerk of the Board of County Commissioners.

All bid proposals shall be accompanied by a bid proposal deposit in cash, certified check, cashier’s check, or surety bond in an amount equal to five percent (5%) of the amount of such bid proposal. Should the successful bidder fail to enter into such contract and furnish satisfactory performance bond within the time stated in the specifications, the bid proposal deposit shall be forfeited to Cowlitz County.

Call for Bids Page 1 Abernathy Creek Bridge 2 Painting Project No. 1610

All documents received in response to this invitation to bid will become a matter of public record and subject to the Washington public disclosure act under chapter 42.56 RCW.

Cowlitz County, in accordance with the provisions of Title VI of the Civil Rights Act of 1964 (78 Stat. 252, 42 U.S.C. 2000d to 2000d-4) and the Regulations, hereby notifies all bidders that it will affirmatively ensure that in any contract entered into pursuant to this advertisement, disadvantaged business enterprises will be afforded full and fair opportunity to submit bids in response to this invitation and will not be discriminated against on the grounds of race, color, or national origin in consideration for an award.

The Board reserves the right to reject any and all bids and to waive any immaterial irregularities or informalities in any bid or in the bidding.

DATED this 6th day of June, 2023.

ATTEST:

Call for Bids Page 2 Abernathy Creek Bridge 2 Painting Project No. 1610
BOARD OF COUNTY COMMISSIONERS OF COWLITZ COUNTY, WASHINGTON

NOTICE TO CONTRACTORS CALL FOR BIDS

The Board of County Commissioners of Cowlitz County, Washington will receive sealed bids until June 27, 2023, prior to 11:00 a.m., for the following work: ABERNATHY CREEK BRIDGE 2 PAINTING PROJECT.

Work performed under this contract consists of the following: Containment, surface preparation, shielding adjacent areas from work, testing and disposing of debris, furnishing and applying paint, clean-up and other work.

At that time all bids will be publicly opened and read in the Board's hearing room. Bids must be addressed to:

Board of County Commissioners

Attn: Clerk of the Board 207 Fourth Avenue North Kelso WA 98626

Project bid documents (Plans, specifications, addenda, bid documents, bidders list and plan holders list) for this project are available online for inspection during the bidding period through the Builders Exchange of Washington (BXWA) website at www.bxwa.com. Click on Posted Projects, then Public Works, then Cowlitz County and then Projects Bidding. These documents are available for viewing, downloading and printing on your own equipment free of charge. This service is provided to Prime Bidders, Subcontractors, and Vendors bidding on this project. Bidders will need to “Register as a Bidder” through the BXWA in order to receive automatic e-mail notification of future addenda and to be placed on the Bidders List. Bidders should contact Builder’s Exchange of Washington at (425) 258-1303 for questions regarding access or registration.

It is the sole responsibility of the Bidder to obtain Addenda, if any. Addenda information will be available on the BXWA web site at www.bxwa.com. Cowlitz County accepts no responsibility or liability and will provide no accommodation to bidders who fail to check for addenda and thereby submit inadequate or incomplete responses.

Cowlitz County will not provide paper copies of the Project bid documents for this project for bidding purposes. A copy of the plans and specifications may be reviewed at the office of the Clerk of the Board of County Commissioners.

All bid proposals shall be accompanied by a bid proposal deposit in cash, certified check, cashier’s check, or surety bond in an amount equal to five percent (5%) of the amount of such bid proposal. Should the successful bidder fail to enter into such contract and furnish

satisfactory performance bond within the time stated in the specifications, the bid proposal deposit shall be forfeited to Cowlitz County.

All documents received in response to this invitation to bid will become a matter of public record and subject to the Washington public disclosure act under chapter 42.56 RCW.

Cowlitz County, in accordance with the provisions of Title VI of the Civil Rights Act of 1964 (78 Stat. 252, 42 U.S.C. 2000d to 2000d-4) and the Regulations, hereby notifies all bidders that it will affirmatively ensure that in any contract entered into pursuant to this advertisement, disadvantaged business enterprises will be afforded full and fair opportunity to submit bids in response to this invitation and will not be discriminated against on the grounds of race, color, or national origin in consideration for an award.

The Board reserves the right to reject any and all bids and to waive any immaterial irregularities or informalities in any bid or in the bidding.

DATED this 6th day of June, 2023.

PUBLISHED:

PUBLICATION REQUIREMENT: To be published in three issues prior to June 27, 2023.

BILLING INFORMATION:

1) AFFIDAVIT TO: Cowlitz County Commissioners

Attn: Clerk of the Board

207 4th Avenue N Kelso, WA 98626

2) BILL TO: Cowlitz County Department of Public Works

1600 – 13th Avenue South Kelso, WA 98626

P.O. 000966

BOARD OF COUNTY COMMISSIONERS OF COWLITZ COUNTY, WASHINGTON

AS-12836

BOCC Agenda

Meeting Date: 06/06/2023

ARPA Beneficiary Agreement - Sunnyside Grange #129

Submitted For: KayLee McKay

Department: Auditor

Subject and Summary Statement

Submitted By: KayLee McKay

Information

The Board of County Commissioners approved the request from Sunnyside Grange #129 for assistance to non-profits through the ARPA funding received by the County. According to ARPA's final rule, the County has the ability to assist non-profits with negative economic impacts due to the COVID-19 pandemic.

Will Staff Attend - NAME OF STAFF

Yes - KayLee McKay, Accounting Manager

Department Recommendation

Staff recommend that BoCC approve the Beneficiary agreement with Sunnyside Grange to assist in their revenue decline due to COVID-19 impacts.

Fiscal Impact

Expenditure Required $: 7,800

Budget Sufficient Y-N: Y

Amendment Required Y-N: N

Source of Funds - What Dept ? : ARPA

Grant Y-N: Y

Attachments

Beneficiary Agreement

Form Started By: KayLee McKay

Final Approval Date: 06/01/2023

Form Review

Started On: 05/22/2023 09:15 AM

Consent C. 3.

AS-12850

BOCC Agenda

Meeting Date: 06/06/2023

AMENDMENT NO. 1 - Toutle Water System Improvement Project - RH2 Engineering, Inc.

Submitted For: Patrick Harbison, Public Works

Department: Public Works

Submitted By: Carol Sides, Public Works

Information

Subject and Summary Statement

Attached is Amendment No. 1 to the contract with RH2 Engineering, Inc. for the Toutle Water System Improvement Project.  This amendment will allow the consultant to provide survey for the Shadow Mountain water project, adding $68,000 to the contract and increasing the total authorized amount from $271,740 to $339,740.

Will Staff Attend - NAME OF STAFF or No

Yes

Department Recommendation

It is the recommendation of the Department of Public Works that the Board move to approve Amendment No. 1, with RH2 Engineering, Inc., for the Toutle Water System Improvement Project, increasing the contract by $68,000 for a revised total of $339,740.

Fiscal Impact

Expenditure Required $: 68,000

Budget Sufficient Y-N: Y

Amendment Required Y-N: N

Source of Funds - What Dept ? : Water-Sewer

Grant Y-N:

Amendment

Exhibits A - D

Form Started By: Carol Sides

Final Approval Date: 06/01/2023

Attachments

Form Review

C. 4.
Inbox Reviewed By Date Patrick Harbison Patrick Harbison 05/31/2023 02:17 PM Susan Eugenis Susan Eugenis 05/31/2023 03:35 PM Mike Moss, Public Works Mike Moss 06/01/2023 07:52 AM
Started On: 05/30/2023 01:25 PM

AS-12852

BOCC Agenda

Meeting Date: 06/06/2023

Consent a.

Letter dated 6/6/23 to Alena Pisarchuk appointing her to the Homeless Housing Taskforce

Submitted For: Kelly Dombrowsky, Clerk of the Board

Submitted By: Kelly Dombrowsky, Clerk of the Board

Department: Commissioners Office

Information

Subject and Summary Statement

Letter dated 6/6/23 to Alena Pisarchuk appointing her to the Homeless Housing Taskforce. The 2-year term expires on June 31, 2025.

Will Staff Attend - NAME OF STAFF

Department Recommendation

Attachments

Letter

Form Started By: Kelly Dombrowsky

Final Approval Date: 05/31/2023

Form Review

Started On: 05/31/2023 11:06 AM

Board of Commissioners

COMMISSIONERS

Arne Mortensen

District 1

Dennis P. Weber

District 2

Richard R. Dahl

District 3

CLERK OF THE BOARD

Kelly Dombrowsky

June 6, 2023

Alena Pisarchuk

2717 Tweed Ct. Kelso, WA 98626

Dear Ms. Pisarchuk,

The Cowlitz County Board of Commissioners, at its regularly scheduled meeting today, June 6, 2023, were pleased to appoint you to serve on the Homeless Housing Task Force. This is a 2-year term that expires June 30, 2025.

We are grateful for your willingness to work in this capacity and delighted that you have agreed to serve.

Sincerely,

Board of County Commissioners Of Cowlitz County, Washington

cc: Commissioner’s Record Health & Human Services

County Administration Building 207 Fourth Avenue North Kelso, WA 98626 TEL (360) 577-3020 FAX (360) 423-9987
www.co.cowlitz.wa.us

AS-12856

BOCC Agenda

Meeting Date: 06/06/2023

Letter dated 6/6/23 to John Brugman Appointment to Solid Waste Advisory Committee

Submitted For: Kelly Dombrowsky, Clerk of the Board

Submitted By: Kelly Dombrowsky, Clerk of the Board

Department: Commissioners Office

Information

Consent b.

Subject and Summary Statement

Letter dated 6/6/23 to John Brugman appointing him to the Solid Waste Advisory Committee. This is a 2-year term that expires March 31, 2025.

Will Staff Attend - NAME OF STAFF

Department Recommendation

Attachments

Letter

Form Started By: Kelly Dombrowsky

Final Approval Date: 06/02/2023

Form Review

Started On: 06/02/2023 09:57 AM

Board of Commissioners

COMMISSIONERS

Arne Mortensen

District 1

Dennis P. Weber

District 2

Richard R. Dahl

District 3

CLERK OF THE BOARD

Kelly Dombrowsky

June 6, 2023

John Brugman

875 Shadow Mtn. Rd. Silverlake, WA 98649

Dear Mr. Brugman,

The Cowlitz County Board of Commissioners, at its regularly scheduled meeting today, June 6, 2023, were pleased to appoint you to serve on the Solid Waste Advisory Committee. This is a 2-year term that expires March 31, 2025.

We are grateful for your willingness to work in this capacity and delighted that you have agreed to serve.

Sincerely,

Board of County Commissioners Of Cowlitz County, Washington

cc: Commissioner’s Record Public Works

County Administration Building 207 Fourth Avenue North Kelso, WA 98626 TEL (360) 577-3020 FAX (360) 423-9987
www.co.cowlitz.wa.us

AS-12853

BOCC Agenda

Meeting Date: 06/06/2023

Letter dated 5/24/23 from FEMA regarding the Flood Insurance Rate Map

Submitted For: Kelly Dombrowsky, Clerk of the Board

Submitted By: Kelly Dombrowsky, Clerk of the Board

Department: Commissioners Office

Information

Consent c.

Subject and Summary Statement

Letter dated 05/24/23 from the Federal Emergency Management Agency (FEMA) regarding the Proposed Flood Hazard Determinations affecting the Flood Insurance Rate Map (FIRM).

Will Staff Attend - NAME OF STAFF

Department Recommendation

Attachments

Letter

Form Started By: Kelly Dombrowsky

Final Approval Date: 05/31/2023

Form Review

Started On: 05/31/2023 12:54 PM

AS-12851 6.

BOCC Agenda

Meeting Date: 06/06/2023

BID AWARD - 2023 Joint Agency Pavement Striping - Project No. 2066-23 - Specialized Pavement Marking

Submitted For: Susan Eugenis, Public Works

Submitted By: Emilie Cochrane, Public Works Department: Public Works

Information

Subject and Summary Statement

Bids were received and opened on May 30, 2023 for the 2023 Joint Agency Striping Project.  We received two bids with the low bidder being Specialized Pavement Marking at $1,057,407.25.  A copy of the bid tabulation is attached.

Will Staff Attend - NAME OF STAFF or No

Yes

Department Recommendation

It is the recommendation of the Department of Public Works that the Board move to award the 2023 Joint Agency Pavement Striping Project to the lowest responsible bidder, Specialized Pavement Marking, at a total cost of $1,057,407.25.

APPROVED this 6th day of June, 2023.   BOARD OF COUNTY COMMISSIONERS OF COWLITZ COUNTY, WASHINGTON

Richard R. Dahl, Chairman

Arne Mortensen, Commissioner

Dennis P. Weber, Commissioner

Attest:_______________________________             Kelly Dombrowsky, Clerk of the Board

Fiscal Impact

Expenditure Required $: 1,057,407

Budget Sufficient Y-N: Y

Amendment Required Y-N: N

Source of Funds - What Dept ? : Roads

Grant Y-N: N

Attachments

Bid Tabulation

Inbox

Roger Maurer

Emilie Cochrane (Originator)

Form Review

Reviewed By Date

Emilie Cochrane 05/30/2023 04:27 PM

Emilie Cochrane 05/31/2023 07:52 AM

Roger Maurer Emilie Cochrane 05/31/2023 07:53 AM

Emilie Cochrane (Originator)

Emilie Cochrane 05/31/2023 07:55 AM

Roger Maurer Roger Maurer 05/31/2023 08:53 AM

Gary Gonser Gary Gonser 05/31/2023 12:05 PM

Susan Eugenis Susan Eugenis 05/31/2023 02:15 PM

Mike Moss, Public Works Mike Moss 06/01/2023 07:52 AM

Form Started By: Emilie Cochrane Started On: 05/30/2023 04:22 PM

Final Approval Date: 06/01/2023

BID TABULATION

Project Name 2023 Joint Agency Pavement Striping Project

Bid Opening Date May 30, 2023

Project No. 2066-23

Specialized Pavement Marking, Inc

Engineer's Estimate 11095 SW Industrial Way Tualatin, OR 97062

Item Bid Item Unit Quantity Unit Total Unit Total Unit Total No. Price Amount Price Amount Price Amount 1 Skip Center Line Miles 45.76 440.00 20,134.40 375.00 17,160.00 444.00 20,317.44 2 Skip Center Line with No-Pass Line Miles 61.86 850.00 52,581.00 1,000.00 61,860.00 699.00 43,240.14 3 Double Yellow Center Line Miles 308.47 1,080.00 333,147.60 1,350.00 416,434.50 1,500.00 462,705.00 4 Edge Line Miles 516.45 810.00 418,324.50 750.00 387,337.50 885.00 457,058.25 5 Edge Line, 8-Inch Wide Miles 0.62 1,680.00 1,041.60 2,000.00 1,240.00 999.00 619.38 6 Skip Center Line Miles 15.64 440.00 6,881.60 375.00 5,865.00 444.00 6,944.16 7 Skip Center Line with No-Pass Line Miles 12.79 850.00 10,871.50 1,000.00 12,790.00 699.00 8,940.21 8 Double Yellow Center Line Miles 27.06 1,080.00 29,224.80 1,350.00 36,531.00 1,500.00 40,590.00 9 Edge Line Miles 111.52 810.00 90,331.20 800.00 89,216.00 800.00 89,216.00 -10 Skip Center Line Miles 1.87 440.00 822.80 375.00 701.25 444.00 830.28 11 Skip Center Line with No-Pass Line Miles 0.61 850.00 518.50 1,300.00 793.00 699.00 426.39 12 Double Yellow Center Line Miles 2.57 1,080.00 2,775.60 1,350.00 3,469.50 1,500.00 3,855.00 13 Edge Line Miles 6.09 810.00 4,932.90 800.00 4,872.00 800.00 4,872.00 14 Edge Line, 8-Inch Wide Miles 0.90 1,680.00 1,512.00 2,000.00 1,800.00 999.00 899.10 -15 Skip Center Line Miles 6.66 440.00 2,930.40 375.00 2,497.50 444.00 2,957.04 16 Skip Center Line with No-Pass Line Miles 3.28 850.00 2,788.00 1,325.00 4,346.00 699.00 2,292.72 17 Double Yellow Center Line Miles 2.52 1,080.00 2,721.60 1,650.00 4,158.00 1,500.00 3,780.00 18 Edge Line Miles 7.92 810.00 6,415.20 800.00 6,336.00 800.00 6,336.00 Subtotal Schedule A 825,229.10 884,032.00 983,940.21 Subtotal Schedule B 137,309.10 144,402.00 145,690.37 Subtotal Schedule C 10,561.80 11,635.75 10,882.77 Subtotal Schedule D 14,855.20 17,337.50 15,365.76 Grand Total 987,955.20 1,057,407.25 1,155,879.11 Schedule D - City of Woodland Stripe Rite Inc. 1813 137th Ave E Sumner, WA 98390 Schedule A - Cowlitz County Schedule B - Wahkiakum County Schedule C - City of Castle Rock Page 1 of 1

AS-12832

BOCC Agenda

Meeting Date: 06/06/2023

Contract Amendment 2 with DSHS - Developmental Disabilities Administration

Submitted For: Carole Harrison

Department: Health/Human Services

Subject and Summary Statement

Motion Items 7.

Submitted By: Wheeldon Jennifer

Information

The purpose of Amendment 2 to Contract No. 21-037 with DSHS - DDA  is to increase funding and add additional services. This amendment incorporates changes from the legislature that allows DDA eligible individuals to access both adult employment and day services concurrently.

The amended maximum contract amount shall not exceed $3,620,041.00. This is a $165,875.00 increase for the fiscal period July 1, 2022 through June 30, 2023.

Will Staff Attend - NAME OF STAFF

Gena James will attend

Department Recommendation

The Cowlitz County Health & Human Services Departments recommend that the Cowlitz County Board of Commissioners move to approve and execute amendment No. 2 to the County Contract #21-037 with DSHS - Developmental Disabilities Administration.

Attachments

21-037 Amendment 2

21-037 Amendment 1

Original Signed Contract

Form Review

Inbox Reviewed By Date

Jamie Hopps Jamie Hopps 05/19/2023 07:42 AM

Gena James Gena James 05/22/2023 09:47 AM

Form Started By: Wheeldon Jennifer Started On: 05/17/2023 02:48 PM

Final Approval Date: 06/01/2023

Contract/SOW Name Current Change Total Time Period Original $1,736,609.00 $1,736,609.00 7/1/21-6/30/22 Amendment 1 $1,736,609.00 $1,717,557.00 $3,454,166.00 7/01/22-6/30/23 Amendment 2 $3,454,166.00 +$165,875.00 $3,620,041.00 7/01/23-6/30/23

COUNTY PROGRAM AGREEMENT AMENDMENT

DDD County Services

ThisProgramAgreementAmendmentisbyandbetweentheStateofWashington DepartmentofSocialandHealthServices(DSHS)andtheCountyidentifiedbelow.

DSHSADMINISTRATION DevelopmentalDisabilities Admin

DSHSCONTACTNAMEANDTITLE

WendiWinchel

DSHSCONTACTTELEPHONE (360)725-4264

DSHSDIVISION DivisionofDevelopmental Disabilities

COUNTYNAME CowlitzCounty CowlitzCountyDDACountyServices

COUNTYFEDERALEMPLOYERIDENTIFICATION NUMBER

COUNTYCONTACTTELEPHONE (360)414-5599

DSHSINDEXNUMBER 1136

DSHSCONTACTADDRESS POBOX45315 Olympia,WA 98504-5315

DSHSCONTACTFAX (360)586-6502

COUNTYADDRESS 19529thAvenue

Longview,WA 98632-

COUNTYCONTACTNAME

GenaJames

COUNTYCONTACTFAX Clickheretoentertext.

DSHSAgreementNumber 2163-27353

AmendmentNo. 02

Administration or Division Agreement Number Clickheretoentertext. County Agreement Number

CCSCONTRACTCODE 1136

DSHSCONTACTE-MAIL winchwa@dshs.wa.gov

COUNTYCONTACTE-MAIL jamesg@co.cowlitz.wa.us

$3,620,041.00

REASONFORAMENDMENT; CHANGEORCORRECTOTHER: SEEPAGETWO

EXHIBITS. Whentheboxbelowismarkedwithacheck()oranX,thefollowingExhibitsareattachedandare incorporatedintothisProgramAgreementAmendmentbyreference:

Exhibits(specify): ExhibitB,ProgramAgreementBudget

ThisProgramAgreementAmendment,includingallExhibitsandotherdocumentsincorporatedbyreference,containsall ofthetermsandconditionsagreeduponbythepartiesaschangestotheoriginalProgramAgreement. Noother understandingsorrepresentations,oralorotherwise,regardingthesubjectmatterofthisProgramAgreementAmendment shallbedeemedtoexistorbindtheparties. AllothertermsandconditionsoftheoriginalProgramAgreementremainin fullforceandeffect. ThepartiessigningbelowwarrantthattheyhavereadandunderstandthisProgramAgreement Amendment,andhaveauthoritytoenterintothisProgramAgreementAmendment.

COUNTYSIGNATURE(S)

PRINTEDNAME(S)ANDTITLE(S)

DATE(S)SIGNED

DSHSCentralContractServices

1769CPContractAmendment(12-10-21) Page1

ISTHECOUNTYASUBRECIPIENTFORPURPOSESOFTHISPROGRAM AGREEMENT? No
AMENDMENT START DATE 01/01/2023 PROGRAM AGREEMENT ENDDATE 06/30/2023 PRIORMAXIMUMPROGRAMAGREEMENT AMOUNT $3,454,166.00 AMOUNTOFINCREASEORDECREASE $165,875.00 TOTALMAXIMUMPROGRAMAGREEMENT AMOUNT
CFDANUMBERS
DSHSSIGNATURE PRINTEDNAMEANDTITLE DATESIGNED

This Program Agreement between the County and the State of Washington Department of Social and Health Services (DSHS) is hereby amended as follows:

A. Exhibit B, Program Agreement Budget, is revised and replaced with Exhibit B-1, Program Agreement Budget, which is attached hereto and incorporated herein.

B. The Special Terms andConditions are revised and replaced with thefollowing (excluding Exhibit A –Exhibit A remains the same):

1. DefinitionsSpecifictoSpecialTerms: The words and phrases listed below, as used in Contract, shall each have the following definitions:

a. “Acuity Level” means the level of a Client’s abilities and needs as determined through the DDA assessment.

b. “ADSA Access (AWA)”means a web-based portal to the Developmental Disabilities Administration CARE system designed to support county services for DDA clients.

c. “Additional Consumer Services” refers to indirectClient service types as follows:

(1) “Community Information and Education”: Activities toinform and/or educate the general public about developmental disabilities and related services. Thesemay include information and referral services; activities aimed at promoting public awareness and involvement; and community consultation, capacity building and organization activities.

(2) “Training”: To increase the job related skills and knowledge of staff, providers, volunteers, or interning students inthe provision of services to people with developmental disabilities. Also to enhance program related skills of board or advisory board members.

(3) “Other Activities”: reserved for special projects and demonstrations categorized into the following types:

(a) Infrastructure projects: Projects in support of Clients (services not easily tracked back to a specific working age Client) or that directly benefit a Client(s) but the Client is not of working age. Examples include planning services like generic job development e.g. “Project Search.”

(b) Start-up projects: Projects that support an agency or directly benefit the agency. Examples include equipment purchases and agency administrative support.

(c) Partnership Project: Collaborative partnerships with schooldistricts, employment providers, DVR, families, employers and other community collaborators needed to provide the employment supports and services young adults with developmental disabilities require to become employed during the school year they turn twenty-one (21).

d. “Budget and Accounting Reporting System (BARS)” means a master classification of balance sheet, revenue and expenditure/expense account reports.

e. “Client”means a personwith a developmental disability as defined in chapter 388-823 WAC who is currently eligible and active with the Developmental Disabilities Administration or is an identified PASRR Client

DSHSCentralContractServices 1769CPContractAmendment(12-10-21) Page2

f. “CompetitiveIntegratedEmployment” means work performed by a Client on a part-time or full-time basis, within an integrated setting withinthe community that meets HCBS settings requirements. The Client must be compensated at minimum wage or higher, using the higher of the Federal, State, or local rate, andat a rate comparable to the wage paidto non-disabled workers performing the same tasks, including receiving the same benefits and opportunities for advancement.

g. "Consumer Support” refers to direct Client service types as follows:

(1) “Community Inclusion” or “CI”: means individualized services provided in integrated community settings with other individuals without disabilities. The activities are basedon Client interests and provide opportunities typically experienced by the general public of similar age in theirlocal community, accessible by public transit or a reasonable commutefrom their home. The goal of the service is to support clients to participate, contribute, and develop relationships with community members who are not paid staff. These services may be authorized for individuals age 62 and older. Theseservices may be authorized in addition to or instead of employment support (Individual Employment or Group Supported Employment) for working age individuals who have received nine months of employment support.

(2) “Child Development Services” or “CDS”: Birthtothree services are designed to meet the developmental needs of each eligible child and the needs of the family related to enhancing the child’s development. Services may include specialized instruction, speech-language pathology, occupational therapy, physical therapy, assistive technology, and vision services. Services are provided in natural environments tothe maximum extent appropriate.

(3) “Individual Supported Employment” or “IE”: services are a part of a Client’s pathway to employment and are tailored to individual needs, interests, and abilities, and promote career development. These are individualized services necessary tohelp persons with developmental disabilities obtain and continue integrated employment at or above the state’s minimum wage in the general workforce. These services may include intake, discovery, assessment, job preparation, job marketing, job supports, record keeping and support to maintain ajob.

(4) “Individualized Technical Assistance” or “ITA”: services are a part of a Client’s pathway to individual employment or community inclusion. This service provides assessment and consultation to the provider to identify and address existing barriers to employment or community inclusion. This is in addition to supports received through supported employment or community inclusion services for Clients who have not yet achieved theirgoal.

(5) “Group Supported Employment” or “GSE”: services are a part of a Client’s pathway to integrated jobs in typical community employment. These services are intended to be short term and offer ongoing supervised employment for groups of no morethan eight (8) workers with disabilities in the same setting. The service outcome is sustained paid employment leading to further career development in integrated employment at or above minimum wage. Examples include enclaves, mobile crews, and other businessmodels employing small groups of workers with disabilities in integratedemployment incommunity settings.

h. “DDA Case ResourceManager (CRM)” means a case manager for DDAClients.

i. “County Service Authorization (CSA)” means an authorization for county services.

j. “Developmental disabilities (DD)” means a disability attributable to intellectual disability, cerebral palsy, epilepsy, autism,or another neurological or other condition of an individual found by the secretary tobe closely related to an intellectual disability or to requiretreatment similar to that required for individuals with intellectual disabilities, which disability originates before the individual attains age eighteen, which has continued or can be expectedto continue indefinitely, and which

DSHSCentralContractServices
Page3
1769CPContractAmendment(12-10-21)

constitutes a substantial limitation to the individual.

k. “Developmental Disabilities Administration DDA”means a division within the Department of Social and Health Services.

l. “DDA Regional office(DDA Region)” means the regional DDA officethat supports DDA clients.

m. “Division of Vocational Rehabilitation (DVR)” means a division within the Department of Social and Health Services.

n. “Employment Outcome Payment” means a payment to providers for transition students born between specific dates; have high acuity; are authorized for Individual employment; and student obtains acompetitive integrated job within aspecific timeframe. If the job is a minimum of ten hours of work per week an additional amount will be include in the payment

o. “Medicaid Home and Community Based Services (HCBS)” means services that occur in a Client’s home or community rather than institutions or other isolated settings. These programs serve a variety of targeted populations groups, such as people with intellectual or developmental disabilities, physical disabilities, and/or mental illnesses.

p. “Job Foundation Report” is a document derived from employee readiness activities performed by students who are between ages 19 through 20that identifies actionable next step for employment. The employment service providers developing the Job Foundation report will be supporting students with employment activities on average of 35 hours.

q. “Preadmission Screening and Resident Review (PASRR)” means individuals with intellectual disabilities or related conditions (ID/RC) who have been referred for nursing facility (NF)care.

r. Person Centered Service Plan or PCSP” means a document that authorizes and identifies the DDA paid services to meet aClient’s assessed needs. Formerly referred to as the Individual Support Plan.

s. “Quality Assurance” means an adherence toall Contract requirements, including DDA Policy 6.13, Provider Qualifications for Employment and Day Program Services. County Guidelines and the Criteria for Evaluation, as well as afocus on reasonably expected levels of performance, quality, and practice.

t. “Quality Improvement” means a focus on activities to improve performance above minimum standards and reasonably expected levels of performance, quality and practice.

u. “Service Provider” is a qualified Client service vendor who is contracted to provide Employment and Day Program services.

v. “Subcontractor” is the service provider contracted by the Contractor to provide services.

2. Purpose: This Program Agreement is entered into between Developmental Disabilities Administration (DDA) and the County in accordance with chapter 71A.14 RCW. Its purpose is to advance the state legislative policy to provide a coordinated and comprehensive state and local program of services for persons withdevelopmental disabilities.

3. ClientEligibility: Client eligibility and service referral are the responsibility of DDA under chapter 388823 WAC (Eligibility) and chapter 388-825 WAC (Service Rules).Only persons referred by DDA shall be eligible for direct Client services under this Program Agreement. It is DDA’s responsibility to determine and authorizethe appropriatedirect service(s) type. Direct Client services provided without a current County ServiceAuthorization are not reimbursable under this Contract.

1769CPContractAmendment(12-10-21)

DSHSCentralContractServices
Page4

4. CredentialsandMinimumRequirements:

a. Administration of the developmental disabilities Employment and Day program cannot be subcontracted.

b. Qualified DD Program Coordinator: A qualified DD program coordinator has aminimum of five years training and experience in the administration and/or the delivery of developmental disabilities services to acommunity. For a county where thecoordinator administersmore than one program area (e.g. Chemical Dependency, Mental Health,Developmental Disabilities), training and experience in administration and/or a related Human or Social service may be considered.

c. Administration Responsibility: The County must demonstrate the ability toadminister the Contract including contract oversight and monitoring, community outreach and education activities, and regular communication with the DDA Regional office (DDAregion) and contracted providers.

d. Fiscal Responsibility: The Contractor must demonstrate the ability to safeguard public funds including maintaining books, records, documents and other materials relevant to the provision of goods and services.

e. Sufficient Policies and Procedures for establishment and maintenance of adequate internal control systems: The Contractor will maintain written policy procedural manuals for information systems, personnel, and accounting/finance in sufficient detail such that operations can continue should staffing change or absences occur. Policies shall be dated and include dates when updated.

f. Background/Criminal History Check: A background/criminal history clearance is required every three years for all employees (including DD program Contractor staff), subcontractors, and/or volunteers who may have unsupervised accessto vulnerable DSHS Clients, in accordance with RCW 43.43.830-845, RCW 74.15.030, and Chapter 388 WAC. If the entity reviewing the application elects to hireor retain an individual after receiving notice that the applicanthas a conviction for an offense that would disqualify the applicant from having unsupervised access to vulnerable adults as defined in Chapter 74.34 RCW, then DDA shalldeny payment for any subsequent services rendered by the disqualified individual provider. The DSHS Background Check Central Unit (BCCU) must be utilized to obtainbackground clearance.

g. Qualified Advisory Board Members: A Developmental Disabilities advisory board shallinclude members knowledgeable about developmental disabilities. No board member shall have a contract with the County or Contractor to provide Training, Community Information Activities, and Consumer Support as defined in this Contract, and shall notbe a board member, officer, or employee of an agency subcontracting with the County or Contractor to provide such services.

h. Qualified Service Providers: The Contractor assures that all serviceproviders meet qualifications as outlined in the DDA Policy 6.13, Provider Qualifications for Employment and Day Program Services.

i. Home and Community Based Waiver Services Assignment of Medicaid Billing Rights: The Contractor assures thateach subcontractor has agreed to assign to DDA its Medicaid billing rights for services to DDA Clients eligible under Title XIX programs in this Contract. Written documentation shall be available to DSHS on request.

j. Reporting Abuse and Neglect: The Contractor staff and its subcontractors who are mandated reporters under RCW 74.34.020(13) must comply with reporting requirements described in RCW 74.34.035, .040 and Chapter 26.44 RCW. If theContractor is notified by DSHS that a subcontractor staff member is cited or on the registry for a substantiated finding, then that associated staff will be prohibited from providing services under this Contract.

DSHSCentralContractServices
Page5
1769CPContractAmendment(12-10-21)

k. Contractor who provides Child Development Services (birth to three early intervention services), must provide those services under the regulations implementing the Individuals with Disabilities Education Act (IDEA), Part C, and Washington State’s Early Support for Infant and Toddler Federally Approved Plan.

l. The Contractor staff who perform evaluations of subcontractor work siteswill promptly report to DSHS per DDA Policy 6.08, Incident Management and Reporting Requirements for County and County-Contracted Providers, if:

(1) They have reasonable cause tobelieve that abandonment, abuse, financial exploitation or neglect (as defined in RCW 74.34.020) of a person who has a developmental disability (as defined in RCW 71A.10.020) has occurred, and,

(2) If they have reason to suspect that sexualor physical assault of such aperson has occurred, they shall alsoimmediately report to the appropriate law enforcement agency.

m. Contractors are specifically authorized to have data storage on portable devices or media in accordance with the Data Security Requirements.

n. Order of Precedence: Inthe event of any inconsistency in this Contract and any attached exhibits, unless otherwise provided herein, the inconsistency shall be resolved by giving precedence, in the following order, to:

(1) Contract; and

(2) Attached Exhibits.

5. DutytoDisclose: Pursuant to 42 CFR §455.104, the Administration must obtain certain disclosures and complete required screenings to ensure the State does not payfederal funds to excluded person or entities. The Contractor is required toprovide disclosures from managing employees, specifically the persons inthe positions of Developmental Disabilities Director and Fiscal/Budget Director, i.e. the person who authorizes expenditures. A completed Medicaid Provider Disclosure Statement, DSHS Form 27-094, should be submitted to the Administration to complete the required screenings. Disclosures must be provided at contract renewaland within thirty-five (35) days whenever there is a change in the staff holding these management positions [42 CFR 455.104 (c)(1)].

6. StatementofWork: The Contractor shall provide the services and staff, and otherwise do all things necessary for or incidental tothe performance of work, as set forth below. Working collaboratively, the parties shalladministerDD services withinthe Contractor as set forth below:

a. The DDA region shall:

(1) Review subcontractors and shall immediately notify the Contractor of anydisapproval of the subcontractors identified by the Contractor;

(2) Inform and include the Contractor in the discharge planning of Clients leaving institutions and returning to the community who will need program funding;

(3) Inform the Contractor of Clients who have hadtheir waiver status changed;

(4) Work with the Contractor when referring Clients for services and will withdraw referrals when authorization is not issued;

(5) Authorize newservice within 5 working days and will extend existing service authorization before expiration date;

DSHSCentralContractServices
Page6
1769CPContractAmendment(12-10-21)

(6) Inform Clients of servicechanges through Planned Action Notice(s);

(7) Work with the Contractor to document planned services in the Client’s Person Centered Service Plan including notification of assessment dates;

(8) Work with the Contractor when terminating services;

(9) Work with the DDA Head Quarters and Contractor on Spending Plan adjustments; and

(10) Work with the Contractor in participating in evaluation of direct service providers.

b. The Contractor shall:

(1) Work with the DDA Region to document planned services in the Client’s Person Centered Service Plan;

(2) Assist withinforming the DDA Region of any potential servicelevel changes not documented in the Client’s DD Assessment prior to any changes;

(3) Work with the DDA Region regarding service termination;

(4) Work with the DDA Head Quarters on Spending Plan adjustments;

(5) Inform the DDA Region of new providers to be included on the AWA system;

(6) Notify the DDA Region of any intent to terminatea subcontractor who is serving a DDA referral;

(7) Provide a copy of each subcontractor’s contract upon written request from DDA; and

(8) Notify and work with the DDA Regional Employment Specialist when performing evaluations of direct serviceproviders.

c. Compliance with Budget and Accounting Reporting System Policies: The Contractor shall take any necessary and reasonable steps tocomply with BARS policy.

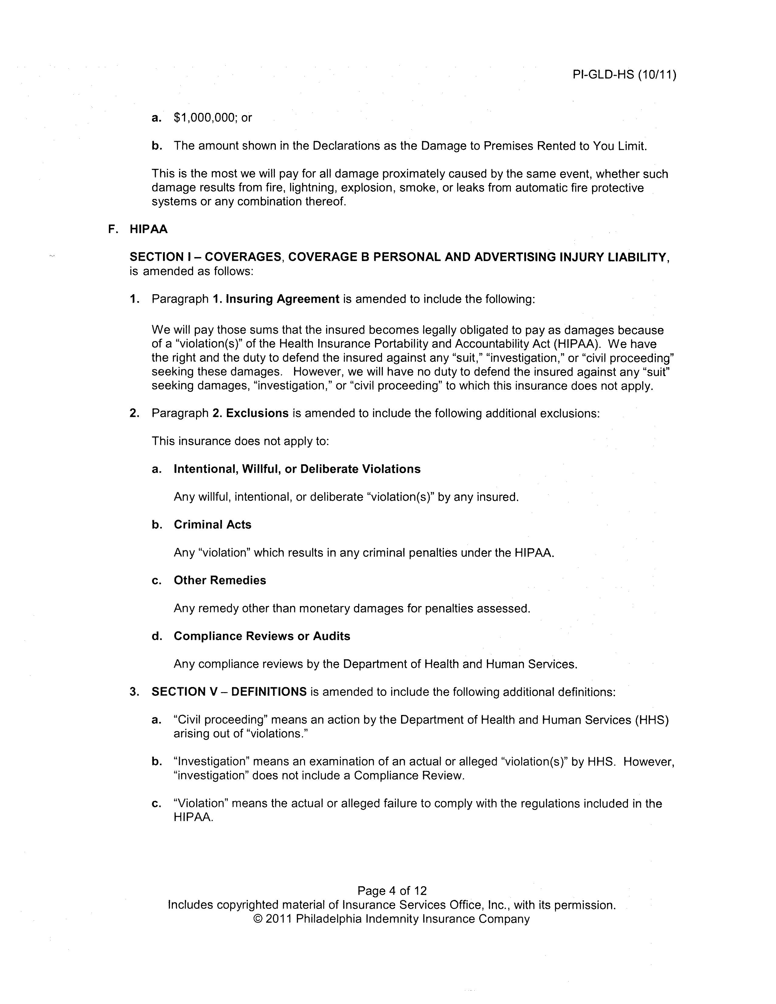
d. The Contractor shall comply with the following referenced documents found at DDA Internet site https://www.dshs.wa.gov/dda/Contractor-best-practices under “County Best Practices”:

(1) DDA Policy 4.11, County Services for Working Age Adults;

(2) Chapter 388-850 WAC,chapter 388-828 WAC, and WAC 388-845-0001, 0030, 0210, 0215, 0220, 0600-0610, 1030-1040, 2100, 2110;

(3) Criteriafor Evaluation;

(4) DDA Guiding Values;

(5) County Guide to Achieve DDA’s Guiding Values;

(6) DDA Guidelines for Community Assessments within Employment and Vocational Programs; and

(7) Disability Rights Washington (formerly Washington Protection and Advocacy System) Access Agreement

1769CPContractAmendment(12-10-21)

DSHSCentralContractServices
Page7

e. The Contractor shall develop and submit a comprehensive plan for the Contractor DD Services as required by WAC388-850-020.

f. Conveyance of The Estimated Number of People to be Served and Targeted Outcomes: The Contractor shall submit the Service Information Forms (SIF’s) (provided by DDA at Internet site https://www.dshs.wa.gov/dda/county-best-practices to indicatethe estimated number of peopleto be served, targeted outcomes, and identified goal(s) that focus on quality improvement withinthe categories of Training, Community Information, Direct Client Services, andOther Activities within 30 days of execution of the Contract. Once approved, the SIF outcomes may be modified only by mutual agreement of theContractor and the DDARegion.

g. Solicitation for Qualified Employment and Day Program ServiceProviders: Requests for Information (RFI’s) and/or Requests for Proposals (RFPs), Requests for Qualifications (RFQ’s) for direct services, excluding Child Development, will be open continuous enrollment.

h. Qualified Providers: A qualified provider must be a Contractor or an individual or agency contracted with Contractor named in this Personal Service Agreement or DDA.

i. Technical Assistance: DDA contracts with Technical Assistance providers that may be utilized by Contractor with prior written approval.

j. Subcontractors: The County will pass on all applicable contractual requirements that are between DDA and the County to the subcontractor. The County shall immediatelynotify the DDA Region of the County’s intent to terminate asubcontractor who is serving a DDA referral. Individuals or agencies contracted with a county or DDA may not subcontract for Employment or Community Inclusion services.

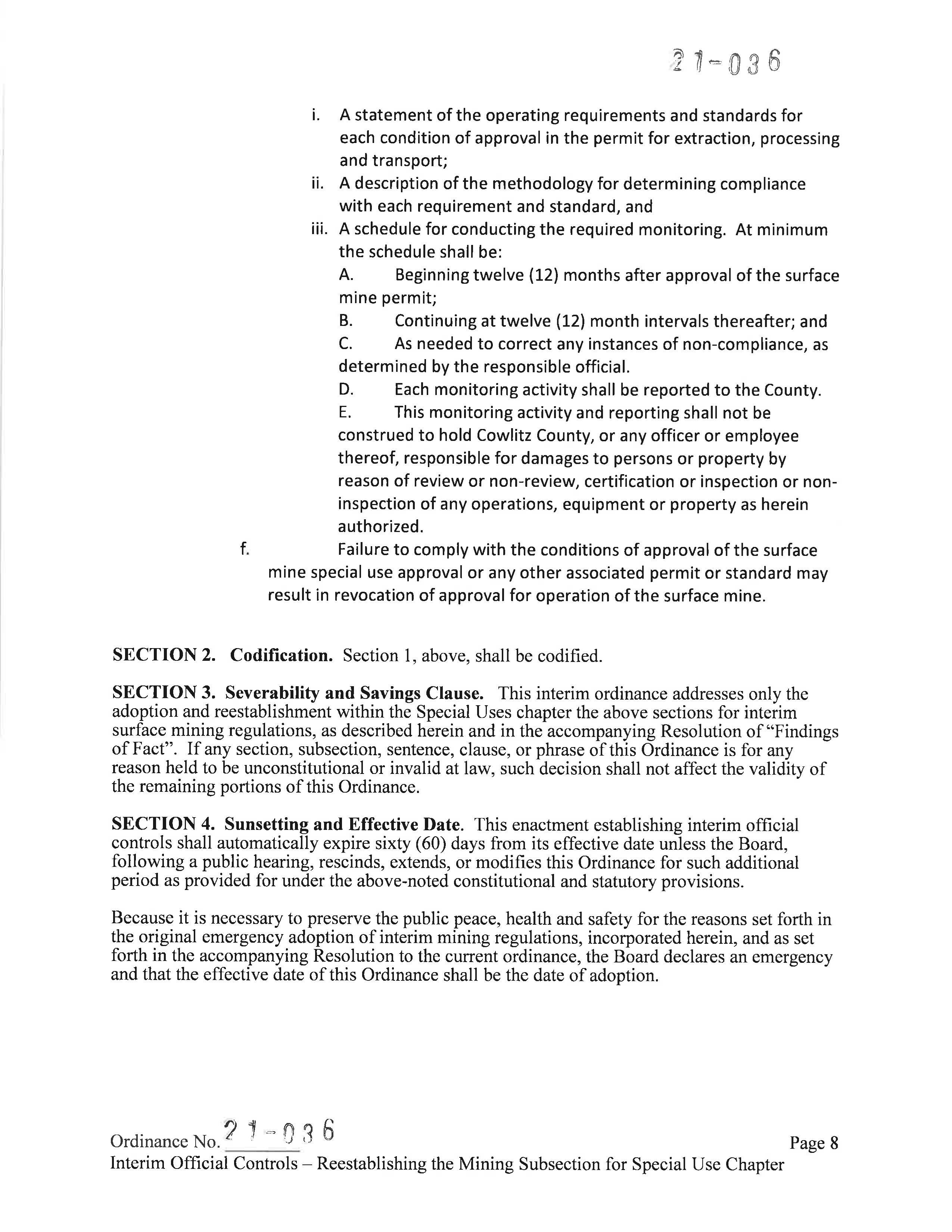
k. The Contractor shall provide or contract with qualified Employment and Day Program Service Providers for consumer support services that include the following program outcomes:

(1) Monthly Community Inclusion (CI) service support hours will be based on the Client’s CI service level per WAC388-828-9310 for all Clients whobegan receiving CI services July 1, 2011 and forward.

(a) To ensurehealth and safety, promote positiveimage and relationships in the community, increase competence and individualized skill-building, and achieve other expected benefits of CI, services will occur individually or in agroupof no more than two (2) or three (3) clients with similar interests and needs.

(b) CI services will focus on activities that are typically experienced by the general public. Support to participate in segregated activities and/or specialized activities will not be reimbursed.

(2) Clients in an employment program will be supported to work towards a living wage. A living wage is the amount needed toenable a client to meet or exceed living expenses. Clients should be supported toaverage twenty (20) hours of community work per week or eighty-six (86) hours per month; however, each person’s preferred hours of employment should be taken into consideration. The amount of service a Client receives will be based on demonstrated need, acuity level and work history per WAC 388-828.

(3) The Client’s DDA PCSP is the driver for service. The AWA County Service Authorization (CSA) and updated Planned Rates information will not exceed the Client’s DDAPCSP. Service changes will not occur until the Client has received proper notification from DDA.

(4) All Clients will have an Individualized Employment and/or Community Inclusion plan to identify

1769CPContractAmendment(12-10-21)

DSHSCentralContractServices
Page8

Client’s preferences. Minimum plan elements are outlined in the reference document “Criteria for Evaluation.” A copy of the Client’s individualized plan will be provided to the Client, their DDA Case Resource Manager (CRM), guardian and others as appropriate.

(5) Six-month progress reports describing the progress made towards achieving Client’s goal will be provided by the service provider to the CRM, Client, and/or guardian, if any, within 30 days following the six-month period. The report will summarize activities and outcomes made towards the Client’s individualized goal(s).

(6) All Clients will be contacted by their service provider according to Client need and at least once per month.

(7) If Clients in Individual Employment, Group Supported Employment have not obtained paid employment at minimum wage or higher within six(6)months, the Contractor will assure the following steps aretaken:

(a) Review the progress toward employment goals;

(b) Provide evidence of consultation with the family/Client; and

(c) Develop additional strategies with the family/Client, Contractor staff, employment support staff and the case manager. Strategies may include providing technical assistance, changing toa new provider, and/or providing additional resources as needed tosupport the Client’s pursuit of employment. The additional strategies will be documented for each Client and kept in the Client’s file(s).

(8) If after twelve (12) months the Client remains unemployed, an additional review will be conducted. The provider will address steps outlined in the previous six month progress report in the next six month progress report.

(9) The Client may request Community Inclusion services in addition to or instead of employment services after participation for nine months. When requesting to participatein CI, the Client shall communicate directly with his or her DDA Case Manager. The DDA CaseManager is responsible for authorizing CI services.

(10) For individual Employment wherethe service provider is alsothe Client’s employer, long term funding will remain available to the service provider employer for six months after the employee DDA Client’s date of hire. At the end of the six-month period, if the DDA Client continues to need support on thejob, another serviceprovider who is not the employer of record must provide the support unless the Contractor or DDA issues prior written approval for the service provider to continue to provide long-term supports if needed. If the Contractor or DDA approves the continuation of long-term supports where the service provider is also the Client’s employer,the Contractor or DDA will regularly monitor these positions to assurefading efforts occur when appropriate and any potential conflict of interest is addressed.

(11) Individual Employment staff hours must be attributed tothe “Individual Employment and Billable Activity Phase(s)”.

(12) For Group Supported Employment (GSE), Clients must have paidwork. The total number of direct servicestaff hoursprovided to the group should be equal to or greater than the group’s collective amount of individual support monthly base hours. If the direct service staff hours are less than the collective amount, then the provider will be reimbursed only for the number of hours staff actually provided.

(a) The collective group’s individual hours should bethe minimum staff hours delivered to

DSHSCentralContractServices 1769CPContractAmendment(12-10-21) Page9

support the group.

(b) A GSE Client must be on-site/at work at least their base individual hours as a minimum per month. If a Client is not on-site/at work for allof their base hours, the county should verify that the provider delivered the collective group’s individual hours tothe group (what was the number of staff hours provided to the group during the month? If it was less than the collective group’s total the provider can only bill for the staff hours that were provided).

(c) A GSE agency may notbill for a GSE Client who does not receive services during an entire service month.

(d) A GSE agency must have a record of which staff is supporting which Clients on any given day.

(e) A GSE agency must have supportive documentation that provides clear evidence of support helping with specific activities as identified in the Client plan tomove a Client on their pathway towards their employment goal(s).

(f) Running a GSEserviceis a part of the businessoperation and not billable to Clients (contract procurement, contract maintenance, or administration functions associated with GSE).

(g) Individual timein the community working towards the individual employment goal, separate from the group time, must include phase information (refer to Employment Phases and Billable Activities - see Phases 1 –4 for element / activity description).

(13) Employment and day services must adhere to the Home and Community Based settings (HCBS) requirements of 42 C.F.R. Section 441.301(c)(4), including that:

(a) The setting is integrated in the greater community and supports Client’s to have full access to the greater community;

(b) Ensures the Client receives services in the community tothe same degree of access as individuals not receiving Medicaid HCBS;

(c) The setting provides opportunities to seek employment and work in competitive integrated settings; and

(d) The setting facilitates individual choice regarding services and supports, and who provides them

l. Quality Assurance and Service Evaluation: The Contractor shall develop and have available an evaluation system to review services. The evaluation system must have both aQuality Assurance and a Quality Improvement component, and both must include objective measures. The objective measures at a minimum will include performanceindicators, by acuity,that include the number of new jobs; job loss and reasons for job loss; the percentage employed earning minimum wage or better; and the averagenumber of hours worked. The Contractor’s serviceevaluation system shall serve as the method by which current providersdemonstrate that they continue to be qualified providers. A copy or description of such evaluation system shall be provided upon request to DDA for review.

m. Evaluation: The Contractor shall evaluate and review services delivered toreasonably assure compliance and quality. The Contractor shallconduct at least one visit toeach subcontractor every two (2) years. The Contractor shall maintain written documentation of all evaluations, recommendations and corrective action plans for each subcontractor. Copies of such

DSHSCentralContractServices 1769CPContractAmendment(12-10-21) Page10

documentation will be provided tothe DDA upon request.

n. The Contractor shall work with local developmental disability advisory groups to plan for and coordinate services.

o. The Contractor shall participate in regularly scheduled meetings betweenContractor DD staff and DDA staff to remain updated and current including ACHS and Regional Meetings.

p. AWA DataSystem:In compliance with the AWA Training Manual, the County shall use the AWA data system for all:

(1) Billing requests;

(2) Service provider address and phone number maintenance;

(3) Evaluation dates;

(4) Employment outcome information; and

(5) Monthly provide all data described in the Billing Instructions and in the Employment Outcomes Instructions, which is hereby incorporated by reference.

q. Assurethe integrity of data submitted to the State. When data is submitted and rejected due to errors or an error is later identified, the County will correct and resubmit the data within thirty (30) days.

r. Review and respond theAWA “Work List” items within 5 working days including Referrals and pending Authorization.

s. Review the AWA “Ticklers” Planned Rate tab andupdate the planned rate within 5 working days after the Planned Rate start date.

t. Partnership Project.

(1) A Job Foundation document will be completed per guidelines for eligible students. Eligible students are DDA clients who wereborn between:

(a) For fiscal year 2021 9/1/00 through 8/31/01

(b) For fiscal year 2022 9/1/01 through 8/31/02

(c) For fiscal year 2023 9/1/02 through 8/31/03

(d) For fiscal year 2024 9/1/03 through 8/31/04

These students currently attending school and have completed an application to participate in this Value Based Payment (VPB) project. The VBP project application will include the following minimum criteria identified in the sample application found at:

https://www.dshs.wa.gov/sites/default/files/DDA/dda/documents/Job%20Foundation%20Applica tion_040720%20%28002%29.docx

(2) Qualified providers will collaborate with SchoolDistrict staff to complete the Job Foundation document and then provide a copytothe County. To be aqualified provider for the Partnership Project the Counties must require the provider tohave a current contractwith the Division of Vocational Rehabilitation; acontract in good standing with the County and cannot be in

1769CPContractAmendment(12-10-21)

DSHSCentralContractServices
Page11

provisional status; aminimum of twoyears’ experience providing Individual Employment with demonstratedjob placement skills. The Job Foundation recommendation will only have actionable next steps towards integrated competitive employment.

(3) County participating in the Partnership Project must have the ability to work collaboratively with School Districts to identify DDA students in high school, collect and track information, be proficient in electronic spreadsheets, and ability to evaluate if completed Job Foundation document(s) meet quality standards.

u. Employment Outcome Payment. – Providers, with transition students born between:

 For fiscal year 2023 9/1/00 through 8/31/01

 For fiscal year 2024 9/1/01 through 8/31/02

 For fiscal year 2025 9/1/02 through 8/31/03

 For fiscal year 2026 9/1/03 through 8/31/04

High acuity Clients whoare authorized for Individual employment, may receive one outcome payment if student obtains a competitive integrated job approved by theCounty withintimeframes described in the chart in the DDA Billing Instructions. If the County is also the service provider DDA will provide the job approval. If the job is at aminimum of ten hours of work per week an additional amount will be include in the payment.

7. Consideration:

a. Fees:

(1) Approval of fees is the responsibility of the DDA.The DDA Region reserves the right to approve fees/ratesfor the services being provided. The Contractor will submit a fee/rate schedule with the initial Contract. The Contractor will submit updated fee/rate schedules to the DDA Region for approval as changes occur. The rate schedule will include the following information:

(a) Contractor(s) name;

(b) Time period for which the schedule is applicable; and

(c) Each contracted direct service (IE,GSE, CI, ITA, CDS) and its associated rate.

(2) Fee Limitations: The DDA Billing Instructions found on the County Best Practices site provides limitations on the Hourly Rate for each direct service. Hourly rates must bedivisible by four.

b. Budget and Spending Plan, attached as ExhibitB:

(1) Budget amount listed in ExhibitB: The Contractor may not exceed the state only revenue dollar amount or the total revenue dollar amount indicated on the Program Budget Agreement included in ExhibitB. The waiver revenue dollar amount may be exceeded to accommodate Clients moving from state-only employment andday services to waiver employment and day services.

(2) Spending Plan: DDA will provide the initial spending plan/Program Agreement Budget / Exhibit B. Funding shall be distributed under State and Medicaid in the revenue section. The planned expenditures for Consumer Support are based on authorized Clients, their acuity level and work history for a given point in time. To determine theAdditional Consumer Support amount, the

DSHSCentralContractServices 1769CPContractAmendment(12-10-21) Page12

Consumer Support amount is multiplied by apercentage. The spending plan may only be modified by mutual agreement of the parties in writing and shall not require a program agreement amendment.

(a) Funds Designated for Additional Consumer Services: If a Contractor provides Community Information and Education services under additional consumer services, then activities must include outreach efforts to federally recognized local tribes.

(b) Funds Designated for Adult Day Care Consumers: Funds designated for Adult Day Care Consumers are available to Clients who were served between December 1996 and December 2003 in AdultDay Health agencies and were subsequently determined ineligible for Level II or Ill services (Adult Day Health). Level ll and lllservices are licensed rehabilitation and skilled nursing services along with socialization. Level l services (Adult Day Care) aresupervised day programs where frail and disabled adults can participate in social, educational, and recreational programs without the need for skilled nursing. These Clients may be referred to services defined in thestatement of work, or toan Adult Day Care service other than Level II or Ill. If a Client no longer needs and wants services, the funds are available for other Clients who arenot part of the group of original Clients identified between December 1996 and 2003. An Adult Day Care service shallonly be provided by Adult Day Care agencies certified by the local Area Agency on Aging. Adult Day Care service is not a waiver approved service.

c. Contract A Contractor can request an amendment at any time. An amendment for additional Client(s) may be supported when clients exceed the number usedto develop the contract. An amendment for additional service hours authorized may be supported when county provides evidence. An amendment request for expenditures exceeding contract total due tohourly rates paid to service provider may not be supported as the county is responsible to manage contract and rates paid totheir providers.

d. Exemptions: The DDA Assistant Secretarymay approve in writing an exemption to a specific Contract requirement.

8. BillingandPayment:

a. Contract Budget: DSHSshallpay the Contractor all allowable costs, which are defined by DDA as cost incurred by the program for:

(1) Administration: Costs of the County Human Services Department or similar county office, responsible for administration of the Developmental Disabilities Program. Allowable costs include personnel and overhead costs directly related tothe administration and coordination of the program, including such activities as program planning, budgeting, contracting, monitoring, and evaluation. Also included are departmental and county indirect and/or direct administrative costs, to the extent that such costs are appropriately allocated tothe program using an established methodology consistent with grants management guidelines. For a Contractor whose designated coordinator managesmultipleprograms, the Contractor must be ableto provide.

(2) Additional Consumer Services:

(a) Training:

i. Staff Training: Costs incurred by the program for planned, structured activities for the purpose of providing, or improving, or enhancing job-related knowledge and skills of staff, providers, volunteers, or interning students in the provision of developmental

DSHSCentralContractServices
Page13
1769CPContractAmendment(12-10-21)

disabilities services.

ii. Board Training: Costs incurred by the program for planned, structured activities designed toprovide, improve, or enhanceprogram-related skills of boardand advisory committee members.

(b) Community Information and Education: toinform and/or educate the general public about developmental disabilities and related services. These may include information and referral services; activities aimed at promoting public awareness and involvement;and community consultation, capacity building and organization activities.

(c) Other Activities.

i. Infrastructure projects: Projects in support of Clients (services not easily tracked back to a specific working age Client) or that directly benefit a Client(s) but the Client is not of working age. Examples include planning services like generic job development e.g. “Project Search.”

ii. Start-up projects: Projects that support an agency or directly benefit the agency. Examples include equipment purchases and agency administrative support.

iii. Partnership project: Collaborative partnerships with schooldistricts, employment providers, Division of Vocational Rehabilitation (DVR), families, employers and other community collaboratorsneeded to provide the employment supports and services young adults with developmental disabilities require to become employedduring the school year theyturn twenty-one (21). Supports provided should complement and not replace what the student(s) receive through the Individualized Education Program (IEP).

(3) Consumer Support.

(a) Adult Day Care services are available to Clients who wereserved between December 1996 and December 2003 in Adult Day Health agencies and weresubsequently determined ineligible for Level II or III services (Adult Day Health). LevelII and III services are licensed rehabilitation and skilled nursing services along with socialization. Level I services (Adult Day Care) aresupervised day programs where frail and disabled adults can participate in social, educational, and recreational programs without the need for skilled nursing.

(b) Community Inclusion services are individualized and provided in integrated community settings with other individuals without disabilities. The activities are basedon Client interests and provide opportunities typically experienced by the general public of similar age in their local community, accessible by public transit or a reasonable commutefrom their home. The goal of the service is tosupport Clients to participate, contribute, and develop relationships with community members who are not paidstaff. These services may be authorized for individuals age 62 and older. These services may be authorized in addition to or instead of employment support (Individual Employment or Group Supported Employment) for working age individuals who have received nine monthsof employment support.

(c) Child Development Services are designed to meet the developmental needs of each eligible child and the needs of the family related to enhancing the child’s development. Services may include specialized instruction, speech-language pathology, occupational therapy, physical therapy, assistive technology, and vision services. Services are provided in natural environments to the maximum extent appropriate.

(d) Individual Supported Employment services are apart of a Client’s pathway to employment and are tailored toindividual needs, interests, and abilities to promote career development.

DSHSCentralContractServices
Page14
1769CPContractAmendment(12-10-21)

These are individualized services necessary to help persons with developmental disabilities obtain and continue integrated employment at or above the state’s minimum wage in the general workforce. These services may include intake, discovery, assessment, job preparation, job marketing, job supports, record keeping and support to maintain ajob (per the Individual Employment Phases & Billable Activities).

(e) Individualized Technical Assistance services area part of a Client’s pathway to employment or community inclusion. This serviceprovides assessment and consultation to the provider to identify and address existing barriers to employment or community inclusion. This is in addition to supports received through supported employment or community inclusion services for Clients whohave not yet achieved their goal.

(f) Group Supported Employment services are a part of aClient’s pathway to integrated jobs in typical community employment. These services are intended to be short term and offer ongoing supervised employment for groups of no morethan eight (8) workers with disabilities in the same setting. The service outcome is sustained paid employment leading to further career development in integrated employment at or above minimum wage. Examples include enclaves, mobile crews, and other business models employing small groups of workers with disabilities in integrated employment community settings.

b. Reimbursement for the Fiscal Year shall not exceed the total amount listed in ExhibitBtothis Contract. However, with a Contract amendment, the parties may increase or decrease the Contract amount. The Contractor will work with DDA HQ on amendments to the Contract.

c. Monthly Invoicewith Signed Documentation: All requests for reimbursement amountsmust be entered and posted into the AWA system. The Contractor may post acombined claim of all programs/services covered by this Contract. DSHS shall make all payments due to the Contractor for all invoices submitted pursuant to this section within sixty (60) days following posting of required information.

d. Clients will be assisted in accessing DVR services per the DDA/DVR MOU. Client services shall not be reimbursed under this Contract when the same services are paid for under the Rehabilitation Act of 1973 by DVR, Public Law 94-142 or any other source of public or private funding.

e. Reimbursement of Client Services: A claim for each Client is made on the CMIS system by indicating the number of service units delivered toeach Client listed and the fee per unit. Units are defined as:

(1) An “Hour” is at least fifty (50) minutes of direct service. Partial hour to the quarter may be recorded.

(2) A “Day” is at least four (4) hours of direct serviceand will only be used in connection with Adult Day Carereimbursement.

(3) A "Month" represents aminimum of one servicevisit which is at least fifty (50) minutes of direct service for CDS reimbursement.

f. Program Administration: The Contractor will provide program administration and coordination including such activities as planning, budgeting, contracting, monitoring, and evaluation. Monthly claims for administration can be 1/12 of the maximum amount identified in Exhibit B under Administration or for the actual costs incurred inthe given month but the total Administration billed will be the lesser of the two. Administration cost reimbursement will not exceed 7% unless the Assistant Secretary of DDA approves a request for an exception under chapter 388-850 WAC.

g. The Employment Phases & Billable Activities document defines the individual Client services that

DSHSCentralContractServices
Page15
1769CPContractAmendment(12-10-21)

DDA reimburses. That document is located on the DSHS DDA County Best Practices Web site at https://www.dshs.wa.gov/dda/Contractor-best-practices.

h. The Community AccessBillable Activities document defines the individual Client services DDA reimburses. That document is located on the DSHS DDA County Best Practices Web site at https://www.dshs.wa.gov/dda/Contractor-best-practices

i. Timeliness of and Modification to Billings: All initial invoices with signed documentation must be received by the DDA Region within forty-five(45) calendar days following the last day of the month in which the serviceis provided. Corrected invoices and documentation including re-posted billing information will be accepted throughout the fiscal year as long as they are received within sixty (60) calendar days of the associated fiscalyear unless an extension is approved by the DDA Regional Administrator or designee. Payment will not be made on any invoicesubmitted past sixty (60) calendar days after theContract fiscal year.

j. Recovery of Fees: If the Contractor bills and is paid fees for services that DSHS later finds were (a) not delivered or (b) not delivered in accordance with Contract standards, DSHS shall recover the fees for those services and the Contractor shallfully cooperateduring the recovery.

k. Preadmission Screening and Resident Review (PASRR): The Contractor may billfor administration costs as identified in ExhibitB. Monthly claims for administration cost will be based on the actual PASRR expenditures multiplied by 7%.

l. Reimbursement for Partnership project: aclaim of $2,400 per student for each completed Job Foundation document that is at a satisfactory or above rating will be requested through the AWA system as other monthly cost

m. Job Foundation report line item 95 and 96 as identified in the ADSA Web Access (AWA) billing system. King, Snohomish and Pierce Counties will use line item 95, all other participating Counties will use line item 96 (OSPI). A copy of the completed Job Foundation document will be sent electronically to the shared mailbox located at: DDAJobFoundationReports@dshs.wa.gov

n. Job placement verification for transition students: The AWA Employment Output for Individual Employment will be completed and submitted with payment request to verify employer, job start date, job type, etc.

o. Job Foundation Administration: The County maybill for administration costs as identified in Exhibit B. Monthly claims for administration cost will be based on the actual expenditures multiplied by 7%. King, Snohomish and Pierce Counties will use line item 13, all other participating Counties will use line item 14 (OSPI).

9. IntermediateCareIntermediateCareFacilitiesforIntellectualDisabilities(ICF/ID)Agreement. If applicable per 42 CFR 483.410, the Contractor shallassure that all Contractor-operated or subcontracted programsserving persons living in ICF/IDfacilities developa plan and coordinatetheir services withthe facility on behalf of the ICF/IDresident. DDA will supply to the Contractor a list of ICF/ID residents who attend a day program.

10. SingleStateMedicaidAgency—HealthCareAuthority(HCA): HCA,as the single stateMedicaid Agency, has administrative authority for Title XIX coverage per 42 CFR 431.10. DSHS is the operating agency for the Home and Community Based Waivers for services for people with developmental disabilities. The Contractor only has responsibility for services covered in this agreement.

11. DSHS/DRWAccessAgreement: The DRW February 27, 2001 Access Agreement with DDA is incorporated by reference. The Contractor assures that it and its subcontractors have reviewed the Access Agreement. The agreement covers DRW’s access toindividuals with developmental

DSHSCentralContractServices
Page16
1769CPContractAmendment(12-10-21)

disabilities, Clients, programs and records, outreach activities, authority to investigate allegations of abuse and neglect, and other miscellaneous matters and is binding for all providers of DDA contracted services.

12. ConfidentialInformation. All Counties and theirsubcontractors must:

a. Ensure the security of Confidential Information, and

b. When transporting client records containing Confidential Information outside a Secure Area, one or more of the following as appropriate:

(1) Using a Trusted Network; or

(2) Encrypting the Confidential Information, including:

(a) Email and/or email attachments

(b) Confidential Information when it is stored on portable devices or media including but not limited tolaptop computers and flash memory devices.

13. DataSecurityRequirements. ExhibitA shallonly apply to the County if the County possesses 150 or more DSHS records across all programs or services throughout their organization or transmits more than 5 records at one time.

DSHSCentralContractServices
Page17
1769CPContractAmendment(12-10-21)

Program Agreement Budget

DSHSCentralContractServices 1769CPContractAmendment(12-10-21) Page18
Exhibit B-1
OriginalBudget BudgetRevision REVENUES Fiscal Year FundSource Original 1st Revision 2nd Revision 3rd Revision 2022 Stateonly 930,372 930,372 930,372 Medicaid 806,237 806,237 806,237 TotalRev. $1,736,609 $1,736,609 $1,736,609 $ Fiscal Year FundSource Original 1st Revision 2nd Revision 3rd Revision 2023 Stateonly 929,706 1,041,247 Medicaid 787,851 842,185 TotalRev. $1,717,557 $1,883,432 $ AccountTitle/BARS Job Foundation Funds PASRR Funds State Funds Medicaid Funds TOTAL ADMINISTRATION 11,12,13,14 302 1,920 66,442 54,362 123,026 OTHERCONSUMER SUPPORTS 31,32,41,92,93,94,97 0 0 146,442 90,362 236,804 CONSUMERSUPPORT STATE-ONLY 62, 64,65, 67,69 0 0 0 0 ChildDevelopment61 125,440 125,440 MEDICAID CLIENTS 62, 64,65,67,6995,96 4,968 27,432 682,881 682,881 1,398,162 ROADS to COMMUNITY LIVING 62, 64,65,67,69 0 0 0 TOTAL 5,270 29,352 1,021,205 827,605 1,883,432 14.
Julie Manning Contract Manager
09/13/21
Melissa Diebert, Management Analyst

AS-12833

BOCC Agenda

Meeting Date: 06/06/2023

Contract Amendment with Compass Career Solutions 22-019 (1)

Submitted For: Carole Harrison

Department: Health/Human Services

Subject and Summary Statement

Motion Items 8.

Submitted By: Wheeldon Jennifer

Information

The purpose of Amendment 1 to Contract No. 22-019 with Compass Career Solutions is to increase funding and add additional services. This amendment incorporates changes from the legislature that allows eligible DDA clients to access adult employment and day services concurrently.

The maximum consideration for this contract shall not exceed $293,764.00 during the period January 1, 2023 through June 30, 2023; and increase of $59,764.

Funding for this contract is passed through from the county's contract with the DSHS - Developmental Disabilities Administration Program.

Will Staff Attend - NAME OF STAFF

Gena James will attend

Department Recommendation

Cowlitz County Health and Human Services recommends that the Cowlitz County Board of Commissioners move and execute Amendment No.1 to the Cowlitz County Contract 22-019 with Compass Career Solutions.

Fiscal Impact

Expenditure Required $: 293,764

Budget Sufficient Y-N: y

Amendment Required Y-N: n

Source of Funds - What Dept ? : 14101

Grant Y-N:

22-019 Amendment 1

Original Signed Contract

Attachments

Contract/SOW Name Current Change Total Time Period Original $234,000.00 $234,000.00 7/01/22-6/30/23 Amendment 1 $234,000.00 +$59,764.00 $293,764.00 1/01/23-6/30/23
Form Review Inbox Reviewed By Date Jamie Hopps Jamie Hopps 05/19/2023 07:48 AM Gena James Gena James 05/22/2023 09:51 AM

Jamie Hopps Jamie Hopps

Gena James Gena James

Form Started By: Wheeldon Jennifer

Final Approval Date: 06/01/2023

05/22/2023 04:32 PM

05/23/2023 08:28 AM

Started On: 05/17/2023 04:19 PM

AMENDMENT NO. 1 to 22-019

Cowlitz County Professional Services Agreement With Compass Career Solutions

1. This Amendment No. ONE to Agreement 22-019 is between Cowlitz County, Washington, (“COUNTY”), and Compass Career Solutions (“CONTRACTOR”), and it shall take effect and be in force on the below stated date of authorization as agreed to by COUNTY and CONTRACTOR.

2. COUNTY AND CONTRACTOR have entered into an Agreement for professional services, to wit: Agreement: 22-019, approved and executed by the Board of County Commissioners, which agreement will expire on, June 30, 2023.

3. COUNTY is now in need of continuing or additional professional services under the original Agreement through, June 30, 2023, and CONTRACTOR is amenable to extending his/her professional services to COUNTY under the same terms and conditions of the original Agreement, and as set forth below.

4. Both COUNTY and CONTRACTOR agree to modify the original Agreement as in the parties’ best interests and in furtherance of the purposes and intent of this amendment, as set forth below:

a. Attachment A hereby amended and replaced with Attachment A – 20230516, attached hereto and incorporated by reference.

b. Attachment B hereby amended and replaced with Attachment B – 20230516, attached hereto and incorporated by reference.

c. Attachment D hereby amended and replaced with Attachment D – 20230516, attached hereto and incorporated by reference.

5. Except as provided above in this Amendment No. ONE, all terms, conditions, duties, obligations and provisions of the original Agreement and any prior Amendment(s) shall remain in full force and effect.

The parties hereto have executed this agreement on this day of June 2023, and each signatory to this Amendment No. ONE warrants that he/she is duly authorized and executes this Amendment for and on behalf of the below-inscribed parties hereto.

CONTRACTOR: BOARD OF COUNTY COMMISSIONERS OF COWLITZ COUNTY, WASHINGTON

Signature Richard R. Dahl, Chairman

Dennis P. Weber, Commissioner

Print name:

Arne Mortensen, Commissioner

Title: ATTEST:

CONTRACT HAS BEEN APPROVED AS TO FORM BY COWLITZ COUNTY , Clerk of the Board PROSECUTING ATTORNEY Date

SCOPE OF WORK

The Contractor agrees to complete the professional services work for Cowlitz County, as described below (or in the attached documents) in accordance with Chapter 71A.14 RCW. Its purpose is to advance the state legislature policy to provide a coordinated and comprehensive state and local program of services for persons with developmental disabilities by including the following elements, as set forth below:

1. Direct Client Services. The Contractor shall deliver the following services:

a. “Community Inclusion” or “CI”: means services are individualized services provided in typical integrated community settings with other individuals without disabilities The activities are based on Client interests and provide opportunities typically experienced by the general public of similar age in their local community, accessible by public transit or a reasonable commute from their home. The goal of the service is to support clients to participate, contribute, and develop relationships with community members who are not paid staff. Services will promote individualized skill development, independent living and community integration for persons to learn how to actively and independently engage in their local community. Activities will provide opportunities to develop relationships and to learn, practice and apply skills that result in greater independence and community inclusion (per the Community Inclusion Billable Activities). These services may be authorized for individuals age sixty two (62) and older. These services may be authorized in addition to or instead of employment support (Individual Employment or Group Supported Employment) for working age individuals who have received nine (9) months of employment support.

b. “Individual Supported Employment” or “IE”: services are a part of an individual’s Client’s pathway to employment and are tailored to individual needs, interests, and abilities, and promote career development. These are individualized services necessary to help persons with developmental disabilities obtain and continue integrated employment at or above the state’s minimum wage in the general workforce. These services may include intake, discovery, assessment, job preparation, job marketing, job supports, record keeping and support to maintain a job (per the Individual Employment Phases & Billable Activities).

c. “Individualized Technical Assistance” or “ITA”: services are a part of an individual’s Client’s pathway to individual employment or community inclusion. This service provides assessment and consultation to the employment provider to identify and address existing barriers to employment or community inclusion. This is in addition to supports received through supported employment or community inclusion services for individuals Clients who have not yet achieved their employment goal

d. “Group Supported Employment” or “GSE”: services are a part of an individual’s Client’s pathway to integrated jobs in typical community employment. These services are intended to be short term and offer ongoing supervised employment for groups of no more than eight (8) workers with disabilities in the same setting. The service outcome is sustained paid employment leading to further career development in integrated employment at or above minimum wage. Examples include enclaves, mobile crews, and other business models employing small groups of workers with disabilities in integrated employment in community settings.

e. Job Foundations Partnership Project means a payment to providers for transition students born between specific dates; have high acuity; are authorized for Individual employment; and student obtains a competitive integrated job within a specific timeframe. If the job is a minimum of then ten (10) hours of work per week an additional amount will be included in the payment.

2. Coordination. Working collaboratively, the parties shall administer DD services within the county as set forth below: The DDA region shall:

a. Inform and include the County in the discharge planning of individuals Clients leaving institutions and returning to the community who will need program funding;

b. Inform the County of individuals Clients who have had their waiver status changed;

c. Work with the County when referring individuals Clients for services and will withdraw referrals when authorization is not issued;

22-019 (1)

Last Date Revised: 12/31/2021

Admin Form: 1602

PROFESSIONAL SERVICES AGREEMENT ATTACHMENT A - 20230516
2 of 16

d. Authorize new service within five (5) working days and will extend existing service authorization before expiration date;

e. Inform Clients of service changes through Planned Action Notice(s);

f. Work with the County to document planned services in the Individual’s Client’s Person Centered Service Plan including notification of assessment dates;

g. Work with the County when terminating services;

h. Work with the County in participating in evaluation of the Contractor.

The County shall:

a. Work with the DDA Region and the Contractor when individuals Clients are referred for services, authorized services, and/or for support modifications;

b. Work with DDA Region and the Contractor to document planned services in the Individual’s Client’s Person Centered Service Plan;

c. Assist with informing the DDA Region of any potential service level changes not documented in the individual’s Client’s DD Assessment prior to any changes; and

d. Work with the DDA Region and the Contractor regarding service termination.

e. Notify and work with the DDA Regional Employment Specialist when performing evaluations of the Contractor.

The Contractor shall:

a. Facilitate the County Coordinator attendance at employment plan meetings as requested.

b. Work with the DDA Region and the County when individual’s Client’s are referred for services;

c. Work with DDA Region and the County to document planned services in the Individual’s Client’s Person Centered Service Plan;

d. Assist with informing the DDA Region and County of any potential service level changes not documented in the individual’s DD Assessment prior to any changes; and

e. Work with the DDA Region and the County regarding service termination.

f. Work with the County Coordinator for approval prior to providing Group Supported Employment.

3. Program Outcomes: The Contractor shall provide qualified Employment Program Service for consumer support services that include the following program outcomes:

a. Monthly Community Inclusion (CI) service support hours will be based on the Client’s CI service level per WAC 388-828-9310 for all Clients who began receiving CI services July 1, 2011 and forward.

i. To ensure health and safety, promote positive image and relationships in the community, increase competence and individualized skill-building, and achieve other expected benefits of CI, services will occur individually or in a group of no more than two (2) or three (3) individuals clients with similar interests and needs.

ii. CI services will focus on activities that are typically experienced by the general public. Support to participate in segregated activities and/or specialized activities will not be reimbursed.

iii. A Client receiving CI services will not receive employment support simultaneously.

iv. A Client receiving CI services may at any time choose to leave CI to pursue work and receive employment support.

b. Clients in an employment program will be supported to work towards a living wage. A living wage is the amount needed to enable an individual client to meet or exceed his/her living expenses. Clients should be supported to average twenty (20) hours of community work per week or eighty-six (86) hours per month; however, each person’s preferred hours of employment should be taken into consideration. The amount of service a Client receives will be based on his/her demonstrated need, acuity level and work history per WAC 388-828.

c. Prior to beginning service or prior to an expected change in service, the Contractor will clearly communicate to the Client and the County the maximum service hours per month the Client can expect to receive. Service changes will not occur until the Client has received proper notification from DDA.

i. The Client’s DDA PCSP is the driver for service. The County Service Authorization (CSA) and updated Planned Rates information will not exceed the Client’s DDA PCSP.

22-019 (1)

Last Date Revised: 12/31/2021 Admin Form: 1602

3 of 16

Service changes will not occur until the Client has received proper notification from DDA.

ii. The amount of service the Client receives should match with the County Service Authorization and updated Planned Rates information.

d. All Clients will have an iIndividualized eEmployment and/or Community Inclusion plan to identify Client’s preferences. Minimum plan elements are outlined in the reference document “Criteria for Evaluation.” A copy of the Client’s individualized plan will be provided to the Client, their DDA Case Resource Manager (CRM), guardian and others as appropriate.

e. Six-month progress reports describing the progress made towards achieving Client’s goal will be provided by the Contractor to the CRM, participant Client, and/or guardian, if any, within 30 days following the six-month period. The report will summarize activities and outcomes made towards the Client’s individualized goal(s).

f. All Clients will be contacted according to Client need and at least once per month.

g. If Clients in Individualized Employment, Group Supported Employment have not obtained paid employment at minimum wage or better within six (6) months, the Contractor will assure the following steps are taken:

i. Review the progress toward employment goals;

ii. Provide evidence of consultation with the Client/guardian family/Client; and

iii. Develop additional strategies with the Client/guardian family/Client, County Staff, employment support staff, case manager, and others identified by the Client. Strategies may include providing technical assistance, changing to a new provider, and/or providing additional resources as needed to support the individual’s Client’s pursuit of employment. The additional strategies will be documented for each Client and kept in the Client’s file(s).

h. If after twelve (12) months the Client remains unemployed, an additional review will be conducted. The Contractor will address steps outlined in the previous six month progress report in the next six month progress report. The Client may request to participate in Community Inclusion activities or the Client may choose to remain in an employment program. When requesting to participate in CI, the Client shall communicate directly with his or her DDA Case Manager. The DDA Case Manager is responsible for authorizing CI services.

i. The Client may request Community Inclusion services in addition to or instead of employment services after participation for nine months. When requesting to participate in CI, the Client shall communicate directly with his or her DDA Case Manager. The DDA Case Manager is responsible for authorizing CI services.

j. For Individual Employment where the service provider is also the Client’s employer, long term funding will remain available to the service provider employer for six months after the employee DDA Client’s date of hire. At the end of the six-month period, if the DDA Client continues to need support on the job, another service provider who is not the employer of record must provide the support unless the County and/or DDA issues prior written approval for the service provider to continue to provide long-term supports if needed. If the County and/or DDA approves the continuation of long-term supports where the Contractor is also the Client’s employer, the County and/or DDA will regularly monitor these positions to assure fading efforts occur when appropriate and any potential conflict of interest is addressed.

k. Individual Employment staff hours must be attributed to the “Individual Employment and Billable Activity Phase(s)”.

l. For Group Supported Employment (GSE), Clients must have paid work. The total number of direct service staff hours provided to the group should be equal to or greater than the group’s collective amount of authorized service individual support monthly base hours. If the direct service staff hours are less than the collective amount, then the provider will be reimbursed only for the number of hours staff actually provided

i. The collective group’s individual hours should be the minimum staff hours delivered to support the group.

ii. A GSE client must be on-site/at work at least their base individual hours as a minimum per month. If a client is not on-site/at work for all of their base hours, the County will

Last Date Revised: 12/31/2021 Admin Form: 1602

(1) 4 of 16
22-019

should verify that the provider delivered the collective group’s individual hours to the group (what was the number of staff hours provided to the group during the month? If it was less than the collective group’s total the provider can only bill for the staff hours that were provided).

iii. A GSE agency may not bill for a GSE client who does not receive services during an entire service month.

iv. A GSE agency must have a record of which staff is supporting which cClients on any given day

v. A GSE agency must have supportive documentation that provides clear evidence of support helping with specific activities as identified in the cClient plan to move a cClient on their pathway towards their employment goal(s).

vi. Running a GSE service is part of the business operation and not billable to individuals Clients (contract procurement, contract maintenance, or administration functions associated with GSE).

vii. Individual time in the community working towards the individual employment goal, separate from the group time, must include phase information (refer to Employment Phases and Billable Activities – (see Phases 1 – 4 for element / activity description).

m. Employment and day services must adhere to the Home and Community bBased settings (HCBS) requirements of 42CFR Section 441.301(c)(4) 530(a)(1), including that:

i. The setting is integrated in the greater community and supports individuals Client’s to have full access to the greater community;

ii. Ensures the individual Client receives services in the community to the same degree of access as individuals not receiving Medicaid HCBS;

iii. The setting provides opportunities to seek employment and work in competitive integrated settings; and

iv. The setting facilities individual choice regarding services and supports, and who provides them.

n. Partnership Project

i. A Job Foundation document will be completed per guidelines for eligible students. Eligible students are DDA clients who were born between: 9/1/02 through 8/31/03

1. For fiscal year 2023 9/1/02 through 8/21/03

2. For fiscal year 2024 9/1/03 through 8/31/04

These students currently attending school and have completed an application to participate in this Value Based Payment (VBP) project. The VBP project application will include the following minimum criteria identified in the sample application found at: https://www.dshs.wa.gov/sites/default/files/DDA/dda/documents/Job%20Foundation%20 Application_040720%20%28002%29.docx

ii. The Contractor will collaborate with School District staff to complete the Job Foundation document and then provide a copy to the County. To be a qualified provider for the Partnership Project the Contractor must have a current contract with the Division of Vocational Rehabilitation; a contract in good standing with the County and cannot be in provisional status; a minimum of two years’ experience providing Individual Employment with demonstrated job placement skills. The Job Foundation recommendation will only have actionable next steps towards integrated competitive employment.

4. Additional Requirements: The contractor will maintain and make available, if requested, documentation demonstrating accomplishments of the contract. Such documentation may include, but is not limited to, the following:

a. Services provided

b. Number of hours of service

c. Data Collection

d. Completed evaluation tools

e. Backup reports/data for invoicing.

5. Site Visits: The contractor will coordinate visits with the County Project Manager for contract compliance, organizational due diligence, program evaluation, technical assistance, and Continuous Quality Improvement.

Last Date Revised: 12/31/2021 Admin Form: 1602

5 of 16
22-019 (1)

COMPENSATION

As consideration for services, as described in the Scope of Work section of this Agreement, the County agrees to pay the Contractor based on the specific conditions below, a sum not to exceed budget outlined below:

1. Specific Payment Conditions: a. Consumer Services

i. The County shall pay for only services to DD referred consumers authorized to receive the direct services (s) type, which the County has agreed to support.

ii. Clients will be assisted in accessing DVR services per the DDA/DVR MOU. Client services shall not be reimbursed under this Program Agreement when the same services paid for under Rehabilitation Act of 1973 by DVR, Public Law 94-142 or any other source of public or private funding.

iii. Production/commercial profits generated by the work of County-funded consumers shall be used to support County funded services as needed.

iv. The Individual Employment Phases & Billable Activities document defines the individual Client services that the County reimburses. That document is located on the DSHS DDA County Best Practices Web site at https://www.dshs.wa.gov/dda/county-best-practices

v. The Community Inclusion Billable Activities document defines the individual Client services that the County reimburses. That document is located on the DSHS DDA County Best Practices Web site at https://www.dshs.wa.gov/dda/county-best-practices

vi. Partnership Project. – Providers with transition students born between: 9/1/02 through 8/31/03, high acuity and authorized for Individual employment, may receive one outcome payment if student obtains a competitive integrated job approved by the County. If the job is at a minimum of ten hours of work per week an additional amount will be included in the payment.

1. For fiscal year 2023 9/1/00 through 8/31/01

2. For fiscal year 2024 9/1/01 through 8/31/02

3. For fiscal year 2025 9/1/02 through 8/31/03

4. For fiscal year 2026 9/1/03 through 8/31/04

High acuity Clients who are authorized for Individual employment, may receive one outcome payment if students obtain a competitive integrated job approved by the County within the outlined timeframes.

July 1st – September 30th

Provider is eligible for an additional payment of $1,000 if client paid hours are >= 10 hours/week

October 1st – December 31st $1,000

Provider is eligible for an additional payment of $1,000 if client paid hours are >= 10 hours/week

January 1st – March 31st $500

Provider is eligible for an additional payment of $1,000 if client paid hours are >= 10 hours/week

April 1st - June 30th $250

Provider is eligible for an additional payment of $1,000 if client paid hours are >= 10 hours/week

Please note a current County Service Authorization for Individual Employment must be in place prior to outcome payment.

b. Training

i. The Contractor may provide training for planned, structured activities for the purpose of providing, or improving, or enhancing job-related skills and knowledge of staff,

22-019 (1)

Last Date Revised: 12/31/2021

Admin Form: 1602

PROFESSIONAL SERVICES AGREEMENT ATTACHMENT B - 20230516
6 of 16
Agreement Allocation Change Contract Total Time Period Initial Agreement $234,000.00 July 1, 2022 – June 30, 2023 Amendment 1 $59,764.00 293,764.00 January 1, 2023 – June 30, 2023
Date
job placement Outcome Payment Amount
range for
$1,500

volunteers, providers, volunteers, or interning students in the provision of developmental disabilities services.

ii. The Contractor shall make every effort to minimize the cost of individuals training by seeking out scholarships and stipends, shared transportation and lodging when applicable to help reduce costs. Any additional costs will be the sole responsibility of the Contractor.

iii. The Contractor shall inform individuals of allowable travel and training expenses.

iv. The Contractor shall stay within the following guidelines for reimbursement requires:

1. Meals: shall be reimbursed based on actual expenses not to exceed the current Washington State Per Diem rates.

2. Mileage: shall be reimbursed at rates not to exceed the allowable current State of Washington’s Office of Financial Management Standard Mileage Rate (see http://www.ofm.wa.gov/policy/10.90a.pdf).

3. Other Transportation and Accommodations: shall be reimbursed based on actual expenses.

v. After training has been completed, the Contractor shall invoice the County for actual costs incurred.

vi. The Contractor shall submit copies of itemized receipts, MapQuest directions, travel itineraries, conference registration including agenda pertaining to all requested reimbursements. Expenses without receipts will not be reimbursed.

vii. The County has established a budget of $2,000 for the period July 1, 2022 through June 30, 2023 for training and travel expenses.

c. Other Activities as approved by the County:

i. Infrastructure projects: Projects in support of Clients (services not easily tracked back to a specific working age Client) or that directly benefit a Client(s) but the Client is not of working age. Examples include planning services like benefits planning and generic job development e.g. “Project Search.”

ii. Start-up projects: Projects that support an agency or directly benefit the agency. Examples include equipment purchases and agency administrative support.

iii. Reimbursement for Partnership project: A claim of $2,400 per student for each completed Job Foundation document that is at a satisfactory or above rating.

d. Concurrent Services Implementation

i. The Contractor may bill for state approved concurrent services implementation activities and services, as pre-approved by the County DD Coordinator

ii. The County has established a budget not to exceed $50,240 for the period of January 1, 2023 through June 30, 2023 for Concurrent Services Implementation.

e. Direct Client Services

i. The Contractor may bill at the rate authorized on the County Service Authorization for the number of unit(s) per consumer per month for:

1. Community Inclusion

2. Individual Supported Employment

3. Group Supported Employment

4. Individualized Technical Assistance

ii. The Contractor shall transmit client data utilizing a secured method approved by the County.

iii. The Contractor shall submit a monthly invoice to the County by the 10th calendar day following the month services were performed. Provide all data described in the Employment Outcomes Instructions and monthly invoice, which is hereby incorporated by reference.

iv. Assure the integrity of data submitted to the County. When data is submitted and rejected due to errors or an error is later identified, the Contractor will correct and resubmit the data within fifteen (15) days.

v. Reimbursement for Client Services: A claim for each individual client is made by indicating the number of service units delivered to each individual listed and the fee per unit. Units are defined as:

Last Date Revised: 12/31/2021 Admin Form: 1602

PROFESSIONAL SERVICES AGREEMENT ATTACHMENT B - 20230516
7 of 16
22-019 (1)

1. An “Hour” is at least fifty (50) minutes of direct service. Partial hour to the quarter may be recorded.

vi. The County has established a budget not to exceed $232,000 $241,524 for Consumer Services for the period July 1, 2022 through June 30, 2023.

f. General Payment Conditions: The Contractor agrees to:

i. Home and Community Based Waiver Services Assignment of Medicaid Billing Rights: The Contractor agrees to assign to DDA its Medicaid billing rights for services to DDA Clients eligible under Title XIX program in this Program Agreement. Written documentation shall be available to the County and/or DSHS on request.

ii. Fiscal Responsibility: The Contractor must demonstrate the ability to safeguard public funds including maintaining books, records, documents and other materials relevant to the provision of goods and services.

iii. The County agrees to make payments, as approved by the Auditor of Cowlitz County, with County warrants on a calendar day specified by the County, contingent on the availability of funds, following receipt of the Contractor’s complete and accurate request for payment.

iv. Timeliness of and Modification to Billings: All initial invoices with signed documentation must be received by the County within thirty (30) calendar days following the last day of the month in which the service is provided. Corrected invoices and documentation including re-posted billing information will be accepted throughout the fiscal year as long as they are received within thirty (30) calendar days of the associated fiscal year unless an extension is approved by the County. Payment will not be made on any invoice submitted past thirty (30) calendar days after the Program Agreement fiscal year.

v. Recovery of Fees: If the Contractor bills and is paid fees for services that the County and/or DSHS later finds were (a) not delivered or (b) not delivered in accordance with Program Agreement standards, County shall recover the fees for those services and the Contractor shall fully cooperate during the recovery.

2. Billing and Payment for the Statement of Work

a. Invoice System

i. The Contractor shall submit invoices using the County’s form, or such other form as designated by the County. Consideration for services shall be payable upon receipt of properly completed invoices which shall be submitted to the County Program Manager within this Contract, by the Contractor, not more often than monthly. The invoices shall describe and document to the County’s satisfaction a description of the work performed, activities accomplished, the progress of the project, and fees.

ii. The final invoice must be received by the County no later than the 10th business day following the end of this contract.

b. County Obligation for Payment

i. The County agrees to make payment, as approved by the Auditor of Cowlitz County, with County warrants on a calendar day specified by the County, contingent on the availability of funds, following receipt of the Contractor’s complete and accurate request for payment.

ii. The County shall not be obligated to reimburse the Contractor for any services or activities, performed prior to the effective date of this Contract.

1. Billing for Allowable Costs and Documented Costs

The Contractor shall ensure all expenditures for services and activities under this Contract are:

a. Expended for allowable costs, which are in accordance with the Fiscal/Program Requirements.

b. All documentation including reports must be submitted with the billing documents.

iii. The County will not process any payments received after the 10th business day following the end of this contract.

22-019 (1)

Last Date Revised: 12/31/2021

Admin Form: 1602

PROFESSIONAL SERVICES AGREEMENT ATTACHMENT B - 20230516
8 of 16

iv. Any funds not utilized at the end of the contract period will be reallocated at the discretion of the County.

c. Duplication

The Contractor assures that work performed and invoiced does not duplicate work to be charged to the County and State of Washington under any other Contract or agreement with the Contractor.

3. Advance Payment and Billing Limitations.

a. Advance Payment

The County shall not make any payments in advance or in anticipation of the delivery of services to be provided pursuant to this Contract.

b. Authorized Services

The County shall pay the Contractor only for authorized services provided in accordance with this Contract. If this Contract is terminated for any reason, the County shall pay only for services authorized and provided through the date of termination.

22-019 (1)

Last Date Revised: 12/31/2021

Admin Form: 1602

PROFESSIONAL SERVICES AGREEMENT ATTACHMENT B - 20230516
9 of 16

SPECIAL TERMS AND CONDITIONS

1. Definitions Specific to Program Agreement: The words and phrases listed below, as used in this Program Agreement, shall each have the following definitions:

a. “Acuity Level” means the level of an individual’s Client’s abilities and needs as determined through the DDA assessment.

b. “Additional Consumer Services” refers to indirect Client service types as follows:

i. “Community Information and Education”: Activities to inform and/or educate the general public about developmental disabilities and related services. These may include information and referral services; activities aimed at promoting public awareness and involvement; and community consultation, capacity building and organization activities.

ii. “Training”: To increase the job related skills and knowledge of staff, or interning students in the provision of services to people with developmental disabilities.

iii. “Other Activities” reserved for special projects and demonstrations categorized into the following types:

1. Infrastructure projects: Projects in support of Clients (services not easily tracked back to a specific working age Client) or that directly benefit a Client(s) but the Client is not of working age. Examples include planning services like generic job development e.g. “Project Search.”

2. Start-up projects: Projects that support an agency or directly benefit the agency. Examples include equipment purchases and agency administrative support.

3. Partnership Project: Collaborate partnerships with school districts, employment providers, DVR, families, employers and other community collaborators needed to provide the employment supports and services young adults with developmental disabilities require to become employed during the school year they turn twenty-one (21). Supports provided should complement and not replace what the student(s) receive through the Individualized Education Program (IEP).

c. “CFR” means the Code of Federal Regulations. All references in this Agreement and any Program Agreement to CFR chapters or sections shall include any successor, amended, or replacement regulation.

d. “Client” means a person with a developmental disability as defined in Chapter 388-823 WAC who is currently eligible and active with the Developmental Disabilities Administration or is an identified PASRR Client.

e. “Competitive Integrated Employment” means work performed by an individual Client on a parttime or full-time basis, within an integrated setting within the community that meets HCBS settings requirements. The individual Client must be compensated at minimum wage or higher, using the higher of the Federal, State, or local rate, and at a rate comparable to the wage paid to non-disabled workers performing the same tasks, including receiving the same benefits and opportunities for advancement.

f. “Confidential Information” means information that is exempt from disclosure to the public or other unauthorized person under RCW 42.56 or other federal or state laws. Confidential Information includes, but not limited to, Personal information.

g. “DDA Case Resource Manager (CRM)” means DDA Case Resource Manager a case manager for DDA Clients.

h. “County Service Authorization (CSA)” means County Service Authorization an authorization for county services

i. “Developmental disabilities (DD)” means developmental disabilities a disability attribute to intellectual disability, cerebral palsy, epilepsy, autism, or another neurological or other condition of an individual fund by the secretary to be closely related to an intellectual disability or to require treatment similar to that required for individuals with intellectual disabilities, which disability originates before the individual attains age eighteen, which has continued or can be expected to continue indefinitely, and which constitutes a substantial limitation to the individual

j. “Developmental Disabilities Administration DDA” means the Developmental Disabilities Administration within DSHS a division within the Department of Social and Health Services

22-019 (1)

Last Date Revised: 12/31/2021

Admin Form: 1602

PROFESSIONAL SERVICES AGREEMENT ATTACHMENT D - 20230516
10 of 16

k. “DDA Regional office (DDA Region)” means the regional DDA Regional office that supports DDA clients

l. “Debarment” means an action taken by a federal official to exclude a person or business entity from participating in transactions involving certain federal funds.

m. “DSHS” means the Department of Social and Health Services of the state of Washington.

n. “Division of Vocational Rehabilitation (DVR)” means the Division of Vocational Rehabilitation a division within the Department of Social and Health Services.

o. “HCBS” means the Medicaid Home and Community Based Services

p. “Employment Outcome Payment: means a payment to providers for transition students born between specific dates; have high acuity; are authorized for Individual Eemployment, and student obtains a competitive integrated job within specific timeframes. If the job is a minimum of ten hours of work per week an additional amount will be included in the payment.

q. “Job Foundation Report” means is a document derived from employment readiness activities performed by students who are between ages 19 through 20 that identifies actionable next step for employment. The employment service providers developing the Job Foundation report will be supporting students with employment activities on average 35 hours.

r. “Medicaid Home and Community Based Services (HCBS)” means services that occur in a Client’s home or community rather than institutions or other isolated settings. These programs serve a variety of targeted population groups, such as people with intellectual or developmental disabilities, physical disabilities, and/or mental illnesses.

s. “PASRR” means Preadmission Screening and Resident Review (PASRR)” means individuals with intellectual disabilities or related conditions (ID/RC) who have been referred for nursing facility (NF) care

t. “PCSP” means Person Centered Service Plan or PCSP” means, a document that authorizes and identifies the DDA paid services to meet a Client’s assessed needs. Formerly referred to as the Individual Support Plan.

u. “Personal Information” means information identifiable to any person including, but not limited to, information that relates to a person’s name, health, finances, education, business, use or receipt of governmental services or other activities, addresses, telephone numbers, Social Security Numbers, driver’s license numbers, other identifying numbers, and any financial identifiers.

v. “Quality Assurance” means an adherence to all Program Agreement requirements, including DDA Policy 6.13, Provider Qualifications for Employment and Day Program Services, County Guidelines and the Criteria for Evaluation, as well as a focus on reasonably expected levels of performance, quality and practice.

w. “Quality Improvement” means a focus on activities to improve performance above minimum standards and reasonably expected levels of performance, quality and practice.

x. “RCW” means the Revised Code of Washington. All references in this Agreement and any Program Agreement to RCW chapters or sections shall include any successor, amended, or replacement statue.

y. “Service Provider” is a qualified Client service vendor who is contracted to provide Employment and Day Program services.

z. “USC” means the United States Code. All references in this Agreement and any Program Agreement to USC chapters and sections shall include any successor, amended, or replacement regulation.

aa. “WAC” means the Washington Administrative Code. All references in this Agreement and any Program Agreement to WAC chapters or sections shall include any successor, amended, or replacement of regulation.

2. Insurance. The Contractor shall maintain in full force and effect during the term of this Agreement, and until final acceptance of the work, public liability and property damage insurance with companies or through sources approved by the state insurance commissioner pursuant to RCW Title 48, as now or hereafter amended. The County, its appointed and elected officials, agents and employees, shall be specifically named as additional insureds in a policy with the same company which insures the Contractor or by endorsement to an existing policy or with a separate carrier approved pursuant to RCW Title 48, as now or hereafter amended, and the following coverages shall be provided:

22-019 (1)

Last Date Revised: 12/31/2021

Admin Form: 1602

PROFESSIONAL SERVICES AGREEMENT ATTACHMENT D - 20230516
11 of 16

COMPREHENSIVE GENERAL LIABILITY:

WORKERS

AUTOMOBILE: coverage on owned, non-owned, rented and hired vehicles

Bodily injury, liability, including death and property damage liability

$1,000,000 Combined Single Limit

All Contractor’s and Contractor’s subcontractors’ insurance policies and additional named insured endorsements shall provide primary insurance coverage and be non-contributory. Any insurance, self-insured retention, deductible, risk retention or insurance pooling maintained or participated in by the County shall be excess and not contributory to such insurance policies. All Contractor’s and Contractor’s subcontractors’ liability insurance policies must be endorsed to show this primary coverage.

Upon request, the Contractor shall provide a full and complete and certified copy of all requested insurance policies to the County. The County reserves the right, but not the obligation, to revise any insurance requirement, not limited to limits, coverages and endorsements, or to reject any insurance policies which fail to meet the requirements of this Agreement. Additionally, the County reserves the right, but not the obligation, to review and reject any proposed insurer providing coverage based upon the insurer’s financial condition or licensing status in Washington. Any deductibles and/or self-insured retentions exceeding $10,000 or any stop-loss provisions, the County shall have the right to request and review the Contractor’s most recent annual financial reports and audited financial statements as a condition of approval.

Contractor hereby agrees to waive subrogation with respect to each insurance policy maintained under this Agreement. When required by an insurer, or if a policy condition does not permit Contractor to enter into a pre-loss agreement to waive subrogation without an endorsement, then Contractor agrees to notify the insurer and obtain such endorsement. This requirement shall not apply to any policy which includes a condition expressly prohibiting waiver of subrogation by the insured or which voids coverage should the Contractor enter into such a waiver of subrogation on a pre-loss basis.

The County, its departments, elected and appointed officials, employees, agents and volunteers shall be named as additional insureds on Contractor’s and Contractor’s subcontractors’ insurance policies by way of endorsement for the full available limits of insurance maintained by the Contractor and subcontractor, and all coverage shall be primary and non-contributory. A state or notion of additional insured status on a Certificate of Insurance shall not satisfy these requirements. [This endorsement shall not be required if the Contractor is a governmental entity and is insured through a governmental entity risk pool authorized by the State of Washington.]

The Contractor shall, for each required insurance policy, provide a Certificate of Insurance, with endorsements attached, evidencing all required coverages, limits, deductibles, self-insured retentions and endorsements and which is conditioned upon the County receiving thirty (30) days prior written notice of reduction in coverages, cancellation or non-renewal. Each Certificate of Insurance and all insurance notices shall be provided to: ATTN: County Project Manager, Cowlitz County Health & Human Services, 1952 9th Avenue, Longview, WA 98632. This Agreement shall be void ab initio if the proof of coverage is not timely supplied.

PROFESSIONAL SERVICES AGREEMENT ATTACHMENT D - 20230516 22-019 (1) 12 of 16 Last
Admin Form: 1602
Date Revised: 12/31/2021
injury,
$1,000,000 Per occurrence Property damage $1,000,000 Per occurrence $2,000,000 Aggregate ERRORS AND OMISSIONS or PROFESSIONAL LIABILITY with an Extended Reporting Period Endorsement (two year tail). $1,000,000 Per occurrence $2,000,000 Aggregate
Bodily
including death.
COMPENSATION: Statutory amount Waiver of Title 51 Rights

The insurance maintained under this Agreement shall not in any manner limit or qualify the liabilities or obligations of the Contractor under this Agreement. All insurance policy deductibles and self-insured retentions for policies maintained under this Agreement shall be paid by the Contractor

Compensation and/or payments due to the Contractor under this Agreement are expressly conditioned upon the Contractor’s strict compliance with all insurance requirements. Payment to the Contractor shall be suspended in the event of non-compliance. Upon receipt of evidence of Contractor’s compliance, payments not otherwise subject to withholding or set-off will be released to the Contractor. This Agreement shall be void ab initio if the proof of coverage is not timely supplied.

If the Errors and Omissions or Professional Liability insurance obtained is an occurrence policy as opposed to a claims-made policy, the Extended Reporting Period Endorsement is not required.

3. Client Eligibility: Client eligibility and service referral are the responsibility of DDA under chapter 388-823 WAC (Eligibility) and chapter 388-825 WAC (Service Rules). Only persons referred by DDA shall be eligible for direct Client services under this Agreement. It is DDA’s responsibility to determine and authorize the appropriate direct service(s) type. Direct Client services provided without a current County Service aAuthorization are not reimbursable under this Agreement.

4. Credentials and Minimum Requirements:

a. Sufficient Policies and Procedures for establishment and maintenance of adequate internal control systems: The Contractor will maintain written policy procedural manuals for information systems, personnel, and accounting/finance in sufficient detail such that operations can continue should staffing change or absences occur. Policies shall be dated and include dates when updated.

b. Background/Criminal History Check: A background/criminal history clearance is required every three years for all employees (including DD Pprogram staff), and/or volunteers who may have unsupervised access to vulnerable DSHS Clients, in accordance with RCW 43.43.830-845, RCW 74.15.030, and chapter 388 WAC. If the entity reviewing the application elects to hire or retain an individual after receiving notice that the applicant has a conviction for an offense that would disqualify the applicant from having unsupervised access to vulnerable adults as defined in chapter 74.34 RCW, then the County shall deny payment for any subsequent services rendered by the disqualified individual provider. The DSHS Background Check Central Unit (BCCU) must be utilized to obtain background clearance.

c. The Contractor shall meet qualification as outlined in the DDA Policy 6.13, Provider Qualifications for Employment and Day Program Services

d. Reporting Abuse and Neglect: The Contractor staff who are mandated reporters under RCW 74.34.020(13) must comply with reporting requirements described in RCW 74.34.035, .040 and cChapter 26.44 RCW. If the County is notified by DSHS that a Contractor’s staff member is cited or on the registry for a substantiated finding, then that associated staff will be prohibited from providing services under this Agreement.

e. The Contractor will promptly report to the County and DSHS per DDA Policy 5.13, Protection from Abuse: Mandatory Reporting Policy 6.08, Incident Management and Reporting Requirements for County and County-Contracted Providers, if:

i. They have reasonable cause to believe that abandonment, abuse, financial exploitation or neglect (as defined in RCW 74.34.020) of a person who has a developmental disability (as defined in RCW 71A.10.020) has occurred, and,

ii. If they have reason to suspect that sexual or physical assault of such a person has occurred, they shall also immediately report to the appropriate law enforcement agency.

iii. The Contractor will report incidents involving injury, health or safety to DDA and the County per DDA Policy 6.08, Incident management and Reporting Requirements for County and County Contracted Providers.

f. Contractor is specifically authorized to have data storage on portable devices or media in accordance with Attachment E. Data Security Requirements.

22-019 (1)

Last Date Revised: 12/31/2021

Admin Form: 1602

PROFESSIONAL SERVICES AGREEMENT ATTACHMENT D - 20230516
13 of 16

5. Duty to Disclose: Under 42 CFR §455.104, the Administration must obtain certain disclosures and complete required screenings to ensure the County and State does not pay federal funds to excluded person or entities. The Contractor is required to provide disclosures from managing employees, specifically the persons in the positions of Developmental Disabilities Director and Fiscal/Budget Director, i.e. the person who authorizes expenditures. A completed Medicaid Provider Disclosure Statement, DSHS Form 27-094, should be submitted to the County to complete the required screenings. Disclosures must be provided at contract renewal and within twenty (20) days whenever there is a change in the staff holding these management positions [42 CFR 455.104 (c)(1)].

6. Debarment Certification. The Contractor, by signature to this Agreement, certifies that the Contractor is not presently debarred, suspended, proposed for debarment, declared ineligible, or voluntarily excluded in this Agreement by any federal department or agency from participating in transactions (Debarred). The Contractor also agrees to include the above requirement in all subcontracts into which it enters. The Contractor shall immediately notify the County if, during the term of this Contract, the Contractor becomes debarred. The County may immediately terminate this Contract by providing Contractor written notice if Contractor becomes debarred during the term hereof.

7. Certification Regarding Ethics. By signing this Agreement, the Contractor certifies that the Contractor is in compliance with Chapter 42.23 RCW and shall comply with Chapter 42.23 RCW throughout the term of this Agreement and any Program Agreement.

8. The Contractor shall comply with the following referenced documents found at DDA Internet site https://www.dshs.wa.gov/dda/county-best-practices under “County Best Practices”:

a. DDA Policy 4.11, County Services for Working Age Adults;

b. Chapter WAC 388-850 WAC, chapter WAC 388-828 WAC, WAC 388-845-0001, 0030, 0210, 0215, 0220, 0600-0610, 1030-1040, 1400-1410, 2100, 2110;

c. Criteria for Evaluation;

d. DDA Guiding Values;

e. County Guide to Achieve DDA’s Guiding Values;

f. DDA Guidelines for Community Assessments with Employment and Vocational Programs; and

g. Disability Rights Washington (formerly Washington Protection and Advocacy System) Access Agreement.

9. The Contractor shall ensure that all staff, working with clients receiving Community Access or Individual Employment Services, complete the following DDA online courses upon hire http://gowise.org/training/wa-state-dda-online-courses/:

a. DDA-5.06: WA State Client Rights;

b. DDA-6.13CG: WA State County Guidelines;

c. DDA-6.13ESP: WA State Employment Service Plans for Employment providers or DDA

6.13CSP: Community Access Service Plans for Community Inclusion providers.

d. The Contractor shall ensure that all staff working with clients receiving Community Inclusion services receive annual training on Community Inclusion services and plan writing that incorporates the Community Inclusion Quality Review Tool.

https://www.dshs.wa.gov/dda/county-best-practices under “Community Inclusion”

10. Qualified Providers: A qualified provider must be an agency contracted with a county or DDA.

11. Quality Assurance and Service Evaluation: The Contractor shall develop and have available an evaluation system to review services. The evaluation system must have both a Quality Assurance and a Quality Improvement component, and both must include objective measures. The objective measures at a minimum will include performance indicators, by acuity, that include the number of new jobs; job loss and reasons for job loss; the percentage employed earning minimum wage or better; and the average number of hours worked. The Contractor’s service evaluation system shall serve as the method to demonstrate to the County that they continue to be a qualified provider. A copy of such evaluation system shall be provided upon request to County for review and approval.

12. Evaluation: The County shall evaluate and review services delivered to reasonably assure compliance and quality at least one visit to the Contractor during the biennium. The County shall maintain written documentation of all evaluations, recommendations and corrective action plans which will be provided to the DDA upon their request.

22-019 (1)

Last Date Revised: 12/31/2021 Admin Form: 1602

PROFESSIONAL SERVICES AGREEMENT ATTACHMENT D - 20230516
14 of 16

13. Single State Medicaid Agency – Health Care Authority (HCA): HCA, as the single state Medicaid Agency, has administrative authority for Title XIX coverage per 42 CFR 431.10. DSHS is the operating agency for the Home and Community Based Waivers for services for people with developmental disabilities. The Contractor and County only has responsibility for services covered in this agreement.

14. DSHS/DRW Access Agreement: The Contractor assures the County that it has reviewed the Access Agreement. The DRW February 27, 2001 Access Agreement with DDA is incorporated by reference. The agreement covers DRW’s access to individuals with developmental disabilities, Clients, programs and records, outreach activities, authority to investigate allegations of abuse and neglect, and other miscellaneous matters and is binding for all providers of DDA contracted services.

15. Confidential Information

a. Ensure the security of Confidential Information;

b. When transporting client records containing Confidential Information outside a Secure Area, one or more of the following as appropriate:

i. Use a Trusted Network; or

ii. Encrypting the Confidential Information, including:

1. Email and/or email attachments.

2. Confidential Information when it is stored on portable devices or media including buyt not limited to laptop computers and flash memory devices.

16. Data Security Requirements: Attachment E shall only apply if the Contractor serves possesses 150 or more DSHS records across all programs or services throughout their organization, or transmits more than 5 records at one time.

17. Compliance with Applicable Law: At all times during the term of this Agreement, the Contract and County shall comply with all applicable federal, state and local laws, regulations, and rules, including but not limited to, nondiscrimination laws and regulations and the Health Insurance Portability and Accountability Act of 1996

18. Confidentiality

a. The Contractor shall not use, publish, transfer, sell or otherwise disclose any Confidential Information gained by reason of this Agreement for any purpose that is not directly connected with the performance of the services contemplated there under, except:

i. As provided by law; or,

b. In the case of Personal Information, as provided by law or with the prior written consent of the person or personal representative of the person who is the subject of the Personal Information. The Contractor shall protect and maintain all Confidential Information gained by reason of this Agreement against unauthorized use, access, disclosure, modification or loss. This duty requires the Contractor to employ reasonable security measures, which include restricting access to the Confidential Information by:

i. Allowing access only to staff that have an authorized business requirement to view the Confidential Information.

ii. Physically securing any computers, documents, or other media containing the Confidential Information.

c. To the extent allowed by law, at the end of the Agreement term, or when no longer needed, the Contractor shall return Confidential Information or certify in writing the destruction of Confidential Information upon written request by the County.

d. Paper documents with Confidential Information may be recycled through a contracted firm, provided the contract with the recycler specifies that the confidentiality of information will be protected, and the information destroyed through the recycling process. Paper documents containing Confidential Information requiring special handling (e.g., protected health information) must be destroyed through shredding, pulping, or incineration.

22-019 (1)

Last Date Revised: 12/31/2021

Admin Form: 1602

PROFESSIONAL SERVICES AGREEMENT ATTACHMENT D - 20230516
15 of 16

COUNTY RETAINS THIS FORM

Individual contractors and service providers must complete and sign

19. WA Department of Retirement Systems: Independent Contractor Verification and State Retirement Status Reporting Form [WAC 415-02-110; DRS Email 13-011; DRS Email 09-001]

SECTION 1: INDIVIDUAL CONTRACTOR COMPLETES THIS SECTION AND SIGNS:

Did you retire from one of the State of Washington Retirement Systems? YES NO

Did you retire before age 65 using the 2008 early retirement factors (ERF)? YES NO

Will you be receiving direct compensation for your services? YES NO

Will you be receiving indirect compensation for your services? YES NO

CONTRACTOR (Full, individual name of contractor):

Signature: Social Security No.: Date:

SECTION 2: COUNTY COMPLETES THIS SECTION AND RETAINS FOR AUDIT PURPOSES:

[Use Member Reporting Verification (MRV) to verify the past retirement membership]

1. Contractor has been a member of a Washington State Retirement System YES NO If YES, what system and plan?

System (JRS)

2. Is the contractor a retiree of a Washington State Retirement System? Yes No

3. Did the contractor retire before age 65 using the 2008 ERF? Yes No

I have verified the information above using MRV or by contacting DRS, and I have evaluated the individual Contractor, Independent Contractor or Service Provider under WAC 415-02-110 and/or DRS Form-MS 344 (R 5/09), and the Internal Revenue Service rules governing independent contractor status.

COUNTY OFFICIAL/DEPARTMENT REPRESENTATIVE:

Signature: Date: COUNTY RETAINS THIS FORM

22-019 (1)

Last Date Revised: 12/31/2021 Admin Form: 1602

16 of 16

PROFESSIONAL SERVICES AGREEMENT ATTACHMENT D - 20230516
Teachers’ Retirement System (TRS) Plan1 Plan 2 Plan 3 School Employees’ Retirement System (SERS) Plan 2 Plan 3 Public Employees’ Retirement System (PERS) Plan 1 Plan 2 Plan 3 Public Safety Employees’ Retirement System
Plan
Plan 1 Plan 2
(PSERS)
2 Law Enforcement Officers’ & Fire Fighters’ Retirement System (LEOFF)
Washington State Patrol Retirement System (WSPRS) Plan 1 Plan 2 Judicial Retirement

AS-12835

BOCC Agenda

Meeting Date: 06/06/2023

Motion Items 9.

Contract Amendment with Lifeworks for Developmental Disability Program 22-022 (1)

Submitted For: Carole Harrison

Department: Health/Human Services

Submitted By: Wheeldon Jennifer

Information

Subject and Summary Statement

The purpose of Amendment 1 to Contract No. 22-022 with Lifeworks is to increase funding and add additional services. This amendment incorporates changes from the legislature that allows eligible DDA clients to access adult employment and day services concurrently.

The maximum consideration of this contract shall not exceed $894,787.00 during the period of July 1,2022 through June 30, 2023; and increase of $59,787.

Funding for this contract is passed through from the County's contract with the DSHS Developmental Disabilities Administration for Developmental Disability Program.

Will Staff Attend - NAME OF STAFF

Gena James will attend

Department Recommendation

Cowlitz County Health and Human Services recommends that the Cowlitz County Board of Commissioners move to approve and execute County Contract Amendment # 22-022 (1) with Lifeworks.

Fiscal Impact

Expenditure Required $: 894,787

Budget Sufficient Y-N: y

Amendment Required Y-N: n

Source of Funds - What Dept ? : 14101

Grant Y-N:

22-022 (1) Lifeworks DD

Original Signed Contract

Insurance Certificate

Attachments

Contract/SOW Name Current Change Total Time Period Original $835,000.00 $835,000.00 7/01/22-6/30/23 Amendment 1 $835,000.00 +$59,787.00 $894,787.00 1/01/23-6/30/23
Form Review

Inbox

Reviewed By Date

Jamie Hopps Jamie Hopps 05/19/2023 07:56 AM

Gena James Gena James 05/22/2023 09:55 AM

Jamie Hopps Jamie Hopps 05/22/2023 04:35 PM

Gena James Gena James 05/23/2023 08:28 AM

Form Started By: Wheeldon Jennifer Started On: 05/18/2023 08:55 AM

Final Approval Date: 06/01/2023

SCOPE OF WORK

The Contractor agrees to complete the professional services work for Cowlitz County, as described below (or in the attached documents) in accordance with Chapter 71A.14 RCW. Its purpose is to advance the state legislature policy to provide a coordinated and comprehensive state and local program of services for persons with developmental disabilities by including the following elements, as set forth below:

1. Direct Client Services. The Contractor shall deliver the following services:

a. “Community Inclusion” or “CI”: means services are individualized services provided in typical integrated community settings. with other individuals without disabilities. The activities are based on Client interests and provide opportunities typically experienced by the general public of similar age in their local community, accessible by public transit or a reasonable commute from their home. The goal of the service is to support clients to participate, contribute, and develop relationships with community members who are not paid staff. Services will promote individualized skill development, independent living and community integration for persons to learn how to actively and independently engage in their local community. Activities will provide opportunities to develop relationships and to learn, practice and apply skills that result in greater independence and community inclusion (per the Community Inclusion Billable Activities). These services may be authorized for individuals age sixty two (62) and older. These services may be authorized in addition to or instead of employment support (Individual Employment or Group Supported Employment) for working age individuals who have received nine (9) months of employment support.

b. “Individual Supported Employment” or “IE”: services are a part of an individual’s Client’s pathway to employment and are tailored to individual needs, interests, and abilities, and promote career development. These are individualized services necessary to help persons with developmental disabilities obtain and continue integrated employment at or above the state’s minimum wage in the general workforce. These services may include intake, discovery, assessment, job preparation, job marketing, job supports, record keeping and support to maintain a job (per the Individual Employment Phases & Billable Activities).

c. “Individualized Technical Assistance” or “ITA”: services are a part of an individual’s Client’s pathway to individual employment or community inclusion. This service provides assessment and consultation to the employment provider to identify and address existing barriers to employment. This is in addition to supports received through supported employment or community inclusion services for individuals Clients who have not yet achieved their employment goal.

d. “Group Supported Employment” or “GSE”: services are a part of an individual’s Client’s pathway to integrated jobs in typical community employment. These services are intended to be short term and offer ongoing supervised employment for groups of no more than eight (8) workers with disabilities in the same setting. The service outcome is sustained paid employment leading to further career development in integrated employment at or above minimum wage. Examples include enclaves, mobile crews, and other business models employing small groups of workers with disabilities in integrated employment in community settings.

e. Job Foundations Partnership Project means a payment to providers for transition students born between specific dates; have high acuity; are authorized for Individual employment; and student obtains a competitive integrated job within a specific timeframes. If the job is a minimum of then ten (10) hours of work per week an additional amount will be included in the payment.

2. Coordination. Working collaboratively, the parties shall administer DD services within the county as set forth below: The DDA region shall:

a. Inform and include the County in the discharge planning of individuals Clients leaving institutions and returning to the community who will need program funding;

b. Inform the County of individuals Clients who have had their waiver status changed;

c. Work with the County when referring individuals Clients for services and will withdraw referrals when authorization is not issued;

22-022 (1)

Last Date Revised: 12/31/2021

Admin Form: 1602

PROFESSIONAL SERVICES AGREEMENT ATTACHMENT A - 20230516
2 of 17

d. Authorize new service within five (5) working days and will extend existing service authorization before expiration date;

e. Inform Clients of service changes through Planned Action Notice(s);

f. Work with the County to document planned services in the Individual’s Client’s Person Centered Service Plan including notification of assessment dates;

g. Work with the County when terminating services;

h. Work with the County in participating in evaluation of the Contractor.

The County shall:

a. Work with the DDA Region and the Contractor when Individual’s Client’s are referred for services, authorized services, and/or for support modifications;

b. Work with DDA Region and the Contractor to document planned services in the Individual’s Client’s Person Centered Service Plan;

c. Assist with informing the DDA Region of any potential service level changes not documented in the Individual’s Client’s DD Assessment prior to any changes; and

d. Work with the DDA Region and the Contractor regarding service termination.

e. Notify and work with the DDA Regional Employment Specialist when performing evaluations of the Contractor.

The Contractor shall:

a. Facilitate the County Coordinator attendance at employment plan meetings as requested.

b. Work with the DDA Region and the County when individuals are referred for services;

c. Work with DDA Region and the County to document planned services in the Individual’s Person Centered Service Plan;

d. Assist with informing the DDA Region and County of any potential service level changes not documented in the individual’s DD Assessment prior to any changes; and

e. Work with the DDA Region and the County regarding service termination.

f. Work with the County Coordinator for approval prior to providing Group Supported Employment.

3. Program Outcomes: The Contractor shall provide qualified Employment Program Service for consumer support services that include the following program outcomes:

a. Monthly Community Inclusion (CI) service support hours will be based on the Client’s CI service level per WAC 388-828-9310 for all Clients who began receiving CI services July 1, 2011 and forward.

i. To ensure health and safety, promote positive image and relationships in the community, increase competence and individualized skill-building, and achieve other expected benefits of CI, services will occur individually or in a group of no more than two (2) or three (3) individuals clients with similar interests and needs.

ii. CI services will focus on activities that are typically experienced by the general public. Support to participate in segregated activities and/or specialized activities will not be reimbursed.

iii. A Client receiving CI services will not receive employment support simultaneously.

iv. A Client receiving CI services may at any time choose to leave CI to pursue work and receive employment support.

b. Clients in an employment program will be supported to work towards a living wage. A living wage is the amount needed to enable an individual client to meet or exceed his/her living expenses. Clients should be supported to average twenty (20) hours of community work per week or eighty-six (86) hours per month; however, each person’s preferred hours of employment should be taken into consideration. The amount of service a Client receives will be based on his/her demonstrated need, acuity level and work history per WAC 388-828.

c. Prior to beginning service or prior to an expected change in service, the Contractor will clearly communicate to the Client and the County the maximum service hours per month the Client can expect to receive. Service changes will not occur until the Client has received proper notification from DDA.

i. The Client’s DDA PCSP is the driver for service. The County Service Authorization (CSA) and updated Planned Rates information will not exceed the Client’s DDA PCSP.

22-022 (1)

Last Date Revised: 12/31/2021 Admin Form: 1602

3 of 17

ii. The amount of service the Client receives should match with the County Service Authorization and updated Planned Rates information. Service changes will not occur until the Client has received proper notification from DDA

d. All Clients will have an iIndividualized eEmployment and/or Community Inclusion plan to identify Client’s preferences. Minimum plan elements are outlined in the reference document “Criteria for Evaluation.” A copy of the Client’s individualized plan will be provided to the Client, their DDA Case Resource Manager (CRM), guardian and others as appropriate.

e. Six-month progress reports describing the progress made towards achieving Client’s goal will be provided by the Contractor to the CRM, participant Client , and/or guardian, if any, within 30 days following the six-month period. The report will summarize activities and outcomes made towards the Client’s individualized goal(s)

f. All Clients will be contacted according to Client need and at least once per month.

g. If Clients in Individualized Employment, Group Supported Employment have not obtained paid employment at minimum wage or better within six (6) months, the Contractor will assure the following steps are taken:

i. Review the progress toward employment goals;

ii. Provide evidence of consultation with the Client/guardian family/Client ; and

iii. Develop additional strategies with the Client/guardian family/Client , County Staff, employment support staff, case manager, and others identified by the Client. Strategies may include providing technical assistance, changing to a new provider, and/or providing additional resources as needed to support the individual’s Client’s pursuit of employment. The additional strategies will be documented for each Client and kept in the Client’s file(s).

h. If after twelve (12) months the Client remains unemployed, an additional review will be conducted. The Contractor will address steps outlined in the previous six month progress report in the next six month progress report. The Client may request to participate in Community Inclusion activities or the Client may choose to remain in an employment program. When requesting to participate in CI, the Client shall communicate directly with his or her DDA Case Manager. The DDA Case Manager is responsible for authorizing CI services.

i. The Client may request Community Inclusion services in addition to or instead of employment services after participation for nine months. When requesting to participate in CI, the Client shall communicate directly with his or her DDA Case Manager. The DDA Case Manager is responsible for authorizing CI services.

j. For Individual Employment where the service provider is also the Client’s employer, long term funding will remain available to the service provider employer for six months after the employee DDA Client’s date of hire. At the end of the six month period, if the DDA Client continues to need support on the job, another service provider who is not the employer of record must provide the support unless the County and/or DDA issues prior written approval for the service provider to continue to provide long-term supports if needed. If the County and/or DDA approves the continuation of long-term supports where the Contractor is also the Client’s employer, the County and/or DDA will regularly monitor these positions to assure fading efforts occur when appropriate and any potential conflict of interest is addressed.

k. Individual Employment staff hours must be attributed to the “Individual Employment and Billable Activity Phase(s)”.

l. For Group Supported Employment (GSE), Clients must have paid work. The total number of direct service staff hours provided to the group should be equal to or greater than the group’s collective amount of authorized service individual support monthly base hours. If the direct service staff hours are less than the collective amount, then the provider will be reimbursed only for the number of hours staff actually provided

i. The collective group’s individual hours should be the minimum staff hours delivered to support the group.

ii. A GSE client must be on-site/at work at least their base individual hours as a minimum per month. If a client is not on-site/at work for all of their base hours, the County will should that the provider delivered the collective group’s individual hours to the group

Last Date Revised: 12/31/2021 Admin Form: 1602

(1) 4 of 17
22-022

(what was the number of staff hours provided to the group during the month? If it was less than the collective group’s total the provider can only bill for the staff hours that were provided).

iii. A GSE agency may not bill for a GSE client who does not receive services during an entire service month.

iv. A GSE agency must have a record of which staff is supporting which cClients on any given day

v. A GSE agency must have supportive documentation that provides clear evidence of support helping with specific activities as identified in the cClient plan to move a cClient on their pathway towards their employment goal(s).

vi. Running a GSE service is part of the business operation and not billable to individuals Clients (contract procurement, contract maintenance, or administration functions associated with GSE).

vii. Individual time in the community working towards the individual employment goal, separate from the group time, must include phase information (refer to Employment Phases and Billable Activities – (see Phases 1 – 4 for element / activity description).

m. Employment and day services must adhere to the Home and Community bBased settings (HCBS) requirements of 42CFR Section 441.301(c)(4) 530(a)(1), including that:

i. The setting is integrated in the greater community and supports individuals Client’s to have full access to the greater community;

ii. Ensures the individual Client receives services in the community to the same degree of access as individuals not receiving Medicaid HCBS;

iii. The setting provides opportunities to seek employment and work in competitive integrated settings; and

iv. The setting facilities individual choice regarding services and supports, and who provides them.

n. Partnership Project

i. A Job Foundation document will be completed per guidelines for eligible students. Eligible students are DDA clients who were born between: 9/1/02 through 8/31/03

1. For fiscal year 2023 9/1/02 through 8/21/03

2. For fiscal year 2024 9/1/03 through 8/31/04

These students currently attending school and have completed an application to participate in this Value Based Payment (VBP) project. The VBP project application will include the following minimum criteria identified in the sample application found at:

https://www.dshs.wa.gov/sites/default/files/DDA/dda/documents/Job%20Foundation%20 Application_040720%20%28002%29.docx

ii. The Contractor will collaborate with School District staff to complete the Job Foundation document and then provide a copy to the County. To be a qualified provider for the Partnership Project the Contractor must have a current contract with the Division of Vocational Rehabilitation; a contract in good standing with the County and cannot be in provisional status; a minimum of two years’ experience providing Individual Employment with demonstrated job placement skills. The Job Foundation recommendation will only have actionable next steps towards integrated competitive employment.

4. ARC Services

a. Community Information and Education: to inform and/or educate the general public about intellectual and developmental disabilities and related services. These may include information and referral services; activities aimed at promoting public awareness and involvement, and community consultation, capacity building and organizational activities. The below activities have been identified as activities the Contractor will provide:

i. Provide educational workshops, webinars, and individual guidance on a variety of topics related to developmental disabilities, such as; community resources, DDA services, respite, DVR services, high school transition, supported decision making, guardianship, housing options, future planning, social security, ABLE accounts, special needs trust, special education, self-advocacy, financial planning, emergency preparedness, etc.

Last Date Revised: 12/31/2021 Admin Form: 1602

5 of 17
22-022 (1)

ii. Provide consultation, advocacy, and assistance understanding and navigating the special education system for families whose child has or may need educational supports.

iii. Promote information about services to the community through social media, email or mailings. The content shall focus on how to access services and provide information of general interest to individuals who have developmental disabilities and their families.

iv. Provide reports to the County semi-annually within sixty (60) calendar days following the last six (6) month of service is provided. Reports shall document the number of individuals served, hours of staff/volunteer services provided, summary of services provided, newsletter distribution details, and expenses incurred.

v. Provide individualized guidance, support and problem-solving assistance to individuals and families to access and coordinate potential community resources and services such as DDA, DVR, social security, specialized transportation, etc.

vi. Provide leadership development and training opportunities to individuals with developmental disabilities that promotes self-advocacy, is inclusive and educates participants about their rights.

vii. Provide regularly scheduled opportunities for individuals to connect to develop friendships, express creativity, further independence and connect with the community. Ongoing collaboration with local and community resources will promote community inclusion and maximize service affiliations. These include but are not limited to Parks and Recreation, Lower Columbia College, Lower Columbia CAP, YMCA, local companies and vendors.

viii. Conduct an annual disability education event that is open to the community with the purpose of connecting individuals to education and support for developmental disabilities. The event should also recognize the efforts of the community, providers, and individuals with disabilities who show excellence in their field of work.

ix. Facilitate a high school transition program that coordinates with Cowlitz County school districts and supports individuals with a 90 day work based learning experience.

x. Activities must include outreach effrots efforts to federally recognized local tribes.

xi. Training and Travel Expenses

The Contractor shall provide reimbursement to families for travel and training expenses incurred while undertaking training that will enhance their ability to understand the unique challenges that their child’s developmental disability presents.

5. Additional Requirements: The contractor will maintain and make available, if requested, documentation demonstrating accomplishments of the contract. Such documentation may include, but is not limited to, the following:

a. Services provided

b. Number of hours of service

c. Data Collection

d. Completed evaluation tools

e. Backup reports/data for invoicing.

6. Site Visits: The contractor will coordinate visits with the County Project Manager for contract compliance, organizational due diligence, program evaluation, technical assistance, and Continuous Quality Improvement.

22-022 (1)

Last Date Revised: 12/31/2021 Admin Form: 1602

6 of 17

COMPENSATION

As consideration for services, as described in the Scope of Work section of this Agreement, the County agrees to pay the Contractor based on the specific conditions below, a sum not to exceed budget outlined below:

1. Specific Payment Conditions:

a. Consumer Services

i. The County shall pay for only services to DD referred consumers authorized to receive the direct services (s) type, which the County has agreed to support.

ii. Clients will be assisted in accessing DVR services per the DDA/DVR MOU. Client services shall not be reimbursed under this Program Agreement when the same services paid for under Rehabilitation Act of 1973 by DVR, Public Law 94-142 or any other source of public or private funding.

iii. Production/commercial profits generated by the work of County-funded consumers shall be used to support County funded services as needed.

iv. The Individual Employment Phases & Billable Activities document defines the individual Client services that the County reimburses. That document is located on the DSHS DDA County Best Practices Web site at https://www.dshs.wa.gov/dda/county-best-practices

v. The Community Inclusion Billable Activities document defines the individual Client services that the County reimburses. That document is located on the DSHS DDA County Best Practices Web site at https://www.dshs.wa.gov/dda/county-best-practices

vi. Partnership Project. – Providers with transition students born between: 9/1/02 through 8/31/03, high acuity and authorized for Individual employment, may receive one outcome payment if student obtains a competitive integrated job approved by the County. If the job is at a minimum of ten hours of work per week an additional amount will be include in the payment.

1. For fiscal year 2023 9/1/00 through 8/31/01

2. For fiscal year 2024 9/1/01 through 8/31/02

3. For fiscal year 2025 9/1/02 through 8/31/03

4. For fiscal year 2026 9/1/03 through 8/31/04

High acuity Clients who are authorized for Individual employment, may receive one outcome payment if students obtain a competitive integrated job approved by the County within the outlined timeframes.

July 1st – September 30th

Provider is eligible for an additional payment of $1,000 if client paid hours are >= 10 hours/week

October 1st – December 31st $1,000

Provider is eligible for an additional payment of $1,000 if client paid hours are >= 10 hours/week

January 1st – March 31st $500

Provider is eligible for an additional payment of $1,000 if client paid hours are >= 10 hours/week

April 1st - June 30th $250

Provider is eligible for an additional payment of $1,000 if client paid hours are >= 10 hours/week

Please note a current County Service Authorization for Individual Employment must be in place prior to outcome payment.

22-022 (1)

Last Date Revised: 12/31/2021

Admin Form: 1602

PROFESSIONAL SERVICES AGREEMENT ATTACHMENT B – 20230516
7 of 17
Agreement Allocation Change Contract Total Time Period Initial Agreement $835,000.00 July 1, 2022 – June 30, 2023 Amendment 1 $59,787.00 $894,787.00 January 1, 2023 – June 30, 2023
Date range
job placement Outcome Payment Amount
for
$1,500

b. Training

i. The Contractor may provide training for planned, structured activities for the purpose of providing, or improving, or enhancing job-related skills and knowledge of staff, providers, or interning students in the provision of developmental disabilities services.

ii. The Contractor shall make every effort to minimize the cost of individuals training by seeking out scholarships and stipends, shared transportation and lodging when applicable to help reduce costs. Any additional costs will be the sole responsibility of the Contractor.

iii. The Contractor shall inform individuals of allowable travel and training expenses.

iv. The Contractor shall stay within the following guidelines for reimbursement requires:

1. Meals: shall be reimbursed based on actual expenses not to exceed the current Washington State Per Diem rates.

2. Mileage: shall be reimbursed at rates not to exceed the allowable current State of Washington’s Office of Financial Management Standard Mileage Rate (see http://www.ofm.wa.gov/policy/10.90a.pdf).

3. Other Transportation and Accommodations: shall be reimbursed based on actual expenses.

v. After training has been completed, the Contractor shall invoice the County for actual costs incurred.

vi. The Contractor shall submit copies of itemized receipts, MapQuest directions, travel itineraries, conference registration including agenda pertaining to all requested reimbursements. Expenses without receipts will not be reimbursed.

vii. The County has established a budget of $2,000 for the period July 1, 2022 through June 30, 2023 for training and travel expenses.

c. Other Activities as approved by the County:

i. Infrastructure projects: Projects in support of Clients (services not easily tracked back to a specific working age Client) or that directly benefit a Client(s) but the Client is not of working age. Examples include planning services like benefits planning and generic job development e.g. “Project Search.”

ii. Start-up projects: Projects that support an agency or directly benefit the agency. Examples include equipment purchases and agency administrative support.

iii. Reimbursement for Partnership project: A claim of $2,400 per student for each completed Job Foundation document that is at a satisfactory or above rating

d. Concurrent Services Implementation

i. The Contractor may bill for state approved concurrent services implementation activities and services, as pre-approved by the County DD Coordinator

ii. The County has established a budget not to exceed $47,280 for the period of January 1, 2023 through June 30, 2023 for Concurrent Services Implementation.

e. Direct Client Services

i. The Contractor may bill at the rate authorized on the County Service Authorization for the number of unit(s) per consumer per month for:

1. Community Inclusion

2. Individual Supported Employment

3. Group Supported Employment

4. Individualized Technical Assistance

ii. The Contractor shall transmit client data utilizing a secured method approved by the County.

iii. The Contractor shall submit a monthly invoice to the County by the 10th calendar day following the month services were performed. Provide all data described in the Employment Outcomes Instructions and monthly invoice, which is hereby incorporated by reference.

iv. Assure the integrity of data submitted to the County. When data is submitted and rejected due to errors or an error is later identified, the Contractor will correct and resubmit the data within fifteen (15) days.

22-022 (1)

Last Date Revised: 12/31/2021

Admin Form: 1602

PROFESSIONAL SERVICES AGREEMENT ATTACHMENT B - 20230516
8 of 17

v. Reimbursement for Client Services: A claim for each individual client is made by indicating the number of service units delivered to each individual listed and the fee per unit. Units are defined as:

1. An “Hour” is at least fifty (50) minutes of direct service. Partial hour to the quarter may be recorded.

vi. The County has established a budget not to exceed $765,000 $777,507.00 for Consumer Services for the period July 1, 2022 through June 30, 2023

f. ARC Services as described in scope of work: The County has established a budget not to exceed $68,000 for the period of July 1, 2022 through June 30, 2023.

g. General Payment Conditions: The Contractor agrees to:

i. Home and Community Based Waiver Services Assignment of Medicaid Billing Rights: The Contractor agrees to assign to DDA its Medicaid billing rights for services to DDA Clients eligible under Title XIX program in this Program Agreement. Written documentation shall be available to the County and/or DSHS on request.

ii. Fiscal Responsibility: The Contractor must demonstrate the ability to safeguard public funds including maintaining books, records, documents and other materials relevant to the provision of goods and services.

iii. The County agrees to make payments, as approved by the Auditor of Cowlitz County, with County warrants on a calendar day specified by the County, contingent on the availability of funds, following receipt of the Contractor’s complete and accurate request for payment.

iv. Timeliness of and Modification to Billings: All initial invoices with signed documentation must be received by the County within thirty (30) calendar days following the last day of the month in which the service is provided. Corrected invoices and documentation including re-posted billing information will be accepted throughout the fiscal year as long as they are received within thirty (30) calendar days of the associated fiscal year unless an extension is approved by the County. Payment will not be made on any invoice submitted past thirty (30) calendar days after the Program Agreement fiscal year.

v. Recovery of Fees: If the Contractor bills and is paid fees for services that the County and/or DSHS later finds were (a) not delivered or (b) not delivered in accordance with Program Agreement standards, County shall recover the fees for those services and the Contractor shall fully cooperate during the recovery.

2. Billing and Payment for the Statement of Work

a. Invoice System

i. The Contractor shall submit invoices using the County’s form, or such other form as designated by the County. Consideration for services shall be payable upon receipt of properly completed invoices which shall be submitted to the County Program Manager within this Contract, by the Contractor, not more often than monthly. The invoices shall describe and document to the County’s satisfaction a description of the work performed, activities accomplished, the progress of the project, and fees.

ii. The final invoice must be received by the County no later than the 10th business day following the end of this contract.

b. County Obligation for Payment

i. The County agrees to make payment, as approved by the Auditor of Cowlitz County, with County warrants on a calendar day specified by the County, contingent on the availability of funds, following receipt of the Contractor’s complete and accurate request for payment.

ii. The County shall not be obligated to reimburse the Contractor for any services or activities, performed prior to the effective date of this Contract.

1. Billing for Allowable Costs and Documented Costs

The Contractor shall ensure all expenditures for services and activities under this Contract are:

a. Expended for allowable costs, which are in accordance with the Fiscal/Program Requirements.

22-022 (1)

Last Date Revised: 12/31/2021 Admin Form: 1602

PROFESSIONAL SERVICES AGREEMENT ATTACHMENT B - 20230516
9 of 17

b. All documentation including reports must be submitted with the billing documents.

iii. The County will not process any payments received after the 10th business day following the end of this contract.

iv. Any funds not utilized at the end of the contract period will be reallocated at the discretion of the County.

c. Duplication

The Contractor assures that work performed and invoiced does not duplicate work to be charged to the County and State of Washington under any other Contract or agreement with the Contractor.

3. Advance Payment and Billing Limitations.

a. Advance Payment

The County shall not make any payments in advance or in anticipation of the delivery of services to be provided pursuant to this Contract.

b. Authorized Services

The County shall pay the Contractor only for authorized services provided in accordance with this Contract. If this Contract is terminated for any reason, the County shall pay only for services authorized and provided through the date of termination.

22-022 (1) 10 of 17

Last Date Revised: 12/31/2021 Admin Form: 1602

PROFESSIONAL SERVICES AGREEMENT ATTACHMENT B - 20230516

SPECIAL TERMS AND CONDITIONS

1. Definitions Specific to Program Agreement: The words and phrases listed below, as used in this Program Agreement, shall each have the following definitions:

a. “Acuity Level” means the level of an individual’s Client’s abilities and needs as determined through the DDA assessment.

b. “Additional Consumer Services” refers to indirect Client service types as follows:

i. “Community Information and Education”: Activities to inform and/or educate the general public about developmental disabilities and related services. These may include information and referral services; activities aimed at promoting public awareness and involvement; and community consultation, capacity building and organization activities.

ii. “Training”: To increase the job related skills and knowledge of staff, volunteers, or interning students in the provision of services to people with developmental disabilities.

iii. “Other Activities” reserved for special projects and demonstrations categorized into the following types:

1. Infrastructure projects: Projects in support of Clients (services not easily tracked back to a specific working age Client) or that directly benefit a Client(s) but the Client is not of working age. Examples include planning services like generic job development e.g. “Project Search.”

2. Start-up projects: Projects that support an agency or directly benefit the agency. Examples include equipment purchases and agency administrative support.

3. Partnership Project: Collaborate partnerships with school districts, employment providers, DVR, families, employers and other community collaborators needed to provide the employment supports and services young adults with developmental disabilities require to become employed during the school year they turn twenty-one (21). Supports provided should complement and not replace what the student(s) receive through the Individualized Education Program (IEP).

c. “CFR” means the Code of Federal Regulations. All references in this Agreement and any Program Agreement to CFR chapters or sections shall include any successor, amended, or replacement regulation.

d. “Client” means a person with a developmental disability as defined in Chapter 388-823 WAC who is currently eligible and active with the Developmental Disabilities Administration or is an identified PASRR Client.

e. “Competitive Integrated Employment” means work performed by an individual Client on a parttime or full-time basis, within an integrated setting within the community that meets HCBS settings requirements. The individual Client must be compensated at minimum wage or higher, using the higher of the Federal, State, or local rate, and at a rate comparable to the wage paid to non-disabled workers performing the same tasks, including receiving the same benefits and opportunities for advancement.

f. “Confidential Information” means information that is exempt from disclosure to the public or other unauthorized person under RCW 42.56 or other federal or state laws. Confidential Information includes, but not limited to, Personal information.

g. “DDA Case Resource Manager (CRM)” means DDA Case Resource Manager a case manager for DDA Clients

h. “County Service Authorization (CSA)” means County Service Authorization an authorization for county services

i. “Developmental disabilities (DD)” developmental disabilities a disability attribute to intellectual disability, cerebral palsy, epilepsy, autism, or another neurological or other condition of an individual fund by the secretary to be closely related to an intellectual disability or to require treatment similar to that required for individuals with intellectual disabilities, which disability originates before the individual attains age eighteen, which has continued or can be expected to continue indefinitely, and which constitutes a substantial limitation to the individual

j. “Developmental Disabilities Administration DDA” means the Developmental Disabilities Administration within DSHS a division within the Department of Social and Health Services.

k. “DDA Regional office (DDA Region)” means the regional DDA Regional office that supports DDA clients.

22-022 (1)

Last Date Revised: 12/31/2021

Admin Form: 1602

PROFESSIONAL SERVICES AGREEMENT ATTACHMENT D - 20230516
11 of 17

l. “Debarment” means an action taken by a federal official to exclude a person or business entity from participating in transactions involving certain federal funds.

m. “DSHS” means the Department of Social and Health Services of the state of Washington.

n. “Division of Vocational Rehabilitation (DVR)” means the Division of Vocational Rehabilitation a division within the Department of Social and Health Services

o. “Employment Outcome Payment: means a payment to providers for transition students born between specific dates; have high acuity; are authorized for Individual Eemployment, and student obtains a competitive integrated job within specific timeframes. If the job is a minimum of ten hours of work per week an additional amount will be included in the payment.

p. “Job Foundation Report” means is a document derived from employment readiness activities performed by students who are between ages 19 through 20 that identifies actionable next step for employment. The employment service providers developing the Job Foundation report will be supporting students with employment activities on average 35 hours.

q. “Medicaid Home and Community Based Services (HCBS)” means services that occur in a Client’s home or community rather than institutions or other isolated settings. These programs serve a variety of targeted population groups, such as people with intellectual or developmental disabilities, physical disabilities, and/or mental illnesses.

r. “PASRR” means Preadmission Screening and Resident Review (PASRR)” means individuals with intellectual disabilities or related conditions (ID/RC) who have been referred for nursing facility (NF) care.

s. “PCSP” means Person Centered Service Plan or PCSP” means, a document that authorizes and identifies the DDA paid services to meet a Client’s assessed needs. Formerly referred to as the Individual Support Plan.

t. “Personal Information” means information identifiable to any person including, but not limited to, information that relates to a person’s name, health, finances, education, business, use or receipt of governmental services or other activities, addresses, telephone numbers, Social Security Numbers, driver’s license numbers, other identifying numbers, and any financial identifiers.

u. “Quality Assurance” means an adherence to all Program Agreement requirements, including DDA Policy 6.13, Provider Qualifications for Employment and Day Program Services, County Guidelines and the Criteria for Evaluation, as well as a focus on reasonably expected levels of performance, quality and practice.

v. “Quality Improvement” means a focus on activities to improve performance above minimum standards and reasonably expected levels of performance, quality and practice.

w. “RCW” means the Revised Code of Washington. All references in this Agreement and any Program Agreement to RCW chapters or sections shall include any successor, amended, or replacement statue.

x. “Service Provider” is a qualified Client service vendor who is contracted to provide Employment and Day Program services.

y. “USC” means the United States Code. All references in this Agreement and any Program Agreement to USC chapters and sections shall include any successor, amended, or replacement regulation.

z. “WAC” means the Washington Administrative Code. All references in this Agreement and any Program Agreement to WAC chapters or sections shall include any successor, amended, or replacement of regulation.

2. Insurance. The Contractor shall maintain in full force and effect during the term of this Agreement, and until final acceptance of the work, public liability and property damage insurance with companies or through sources approved by the state insurance commissioner pursuant to RCW Title 48, as now or hereafter amended. The County, its appointed and elected officials, agents and employees, shall be specifically named as additional insureds in a policy with the same company which insures the Contractor or by endorsement to an existing policy or with a separate carrier approved pursuant to RCW Title 48, as now or hereafter amended, and the following coverages shall be provided:

COMPREHENSIVE GENERAL LIABILITY:

22-022 (1)

Last Date Revised: 12/31/2021

Admin Form: 1602

PROFESSIONAL SERVICES AGREEMENT ATTACHMENT D - 20230516
12
17
of
Bodily injury, including death. $1,000,000 Per occurrence Property damage $1,000,000 Per occurrence

WORKERS

AUTOMOBILE: coverage on owned, non-owned, rented and hired vehicles

Bodily injury, liability, including death and property damage liability

All Contractor’s and Contractor’s subcontractors’ insurance policies and additional named insured endorsements shall provide primary insurance coverage and be non-contributory. Any insurance, self-insured retention, deductible, risk retention or insurance pooling maintained or participated in by the County shall be excess and not contributory to such insurance policies. All Contractor’s and Contractor’s subcontractors’ liability insurance policies must be endorsed to show this primary coverage.

Upon request, the Contractor shall provide a full and complete and certified copy of all requested insurance policies to the County. The County reserves the right, but not the obligation, to revise any insurance requirement, not limited to limits, coverages and endorsements, or to reject any insurance policies which fail to meet the requirements of this Agreement. Additionally, the County reserves the right, but not the obligation, to review and reject any proposed insurer providing coverage based upon the insurer’s financial condition or licensing status in Washington. Any deductibles and/or self-insured retentions exceeding $10,000 or any stop-loss provisions, the County shall have the right to request and review the Contractor’s most recent annual financial reports and audited financial statements as a condition of approval.

Contractor hereby agrees to waive subrogation with respect to each insurance policy maintained under this Agreement. When required by an insurer, or if a policy condition does not permit Contractor to enter into a pre-loss agreement to waive subrogation without an endorsement, then Contractor agrees to notify the insurer and obtain such endorsement. This requirement shall not apply to any policy which includes a condition expressly prohibiting waiver of subrogation by the insured or which voids coverage should the Contractor enter into such a waiver of subrogation on a pre-loss basis.

The County, its departments, elected and appointed officials, employees, agents and volunteers shall be named as additional insureds on Contractor’s and Contractor’s subcontractors’ insurance policies by way of endorsement for the full available limits of insurance maintained by the Contractor and subcontractor, and all coverage shall be primary and non-contributory. A state or notion of additional insured status on a Certificate of Insurance shall not satisfy these requirements. [This endorsement shall not be required if the Contractor is a governmental entity and is insured through a governmental entity risk pool authorized by the State of Washington.]

The Contractor shall, for each required insurance policy, provide a Certificate of Insurance, with endorsements attached, evidencing all required coverages, limits, deductibles, self-insured retentions and endorsements and which is conditioned upon the County receiving thirty (30) days prior written notice of reduction in coverages, cancellation or non-renewal. Each Certificate of Insurance and all insurance notices shall be provided to: ATTN: County Project Manager, Cowlitz County Health & Human Services, 1952 9th Avenue, Longview, WA 98632. This Agreement shall be void ab initio if the proof of coverage is not timely supplied.

The insurance maintained under this Agreement shall not in any manner limit or qualify the liabilities or obligations of the Contractor under this Agreement. All insurance policy deductibles

PROFESSIONAL SERVICES AGREEMENT ATTACHMENT D - 20230516 22-022 (1) 13 of 17 Last
Admin Form: 1602 $2,000,000 Aggregate
AND OMISSIONS or PROFESSIONAL LIABILITY with an Extended Reporting Period Endorsement (two year tail). $1,000,000 Per occurrence $2,000,000 Aggregate
Date Revised: 12/31/2021
ERRORS
COMPENSATION: Statutory amount
of Title 51 Rights
Waiver
Combined Single Limit
$1,000,000

and self-insured retentions for policies maintained under this Agreement shall be paid by the Contractor

Compensation and/or payments due to the Contractor under this Agreement are expressly conditioned upon the Contractor’s strict compliance with all insurance requirements. Payment to the Contractor shall be suspended in the event of non-compliance. Upon receipt of evidence of Contractor’s compliance, payments not otherwise subject to withholding or set-off will be released to the Contractor. This Agreement shall be void ab initio if the proof of coverage is not timely supplied.

If the Errors and Omissions or Professional Liability insurance obtained is an occurrence policy as opposed to a claims-made policy, the Extended Reporting Period Endorsement is not required.

3. Client Eligibility: Client eligibility and service referral are the responsibility of DDA under chapter 388-823 WAC (Eligibility) and chapter 388-825 WAC (Service Rules). Only persons referred by DDA shall be eligible for direct Client services under this Agreement. It is DDA’s responsibility to determine and authorize the appropriate direct service(s) type. Direct Client services provided without a current County Service aAauthorization are not reimbursable under this Agreement.

4. Credentials and Minimum Requirements:

a. Sufficient Policies and Procedures for establishment and maintenance of adequate internal control systems: The Contractor will maintain written policy procedural manuals for information systems, personnel, and accounting/finance in sufficient detail such that operations can continue should staffing change or absences occur. Policies shall be dated and include dates when updated.

b. Background/Criminal History Check: A background/criminal history clearance is required every three years for all employees (including DD Pprogram staff), and/or volunteers who may have unsupervised access to vulnerable DSHS Clients, in accordance with RCW 43.43.830-845, RCW 74.15.030, and chapter 388 WAC. If the entity reviewing the application elects to hire or retain an individual after receiving notice that the applicant has a conviction for an offense that would disqualify the applicant from having unsupervised access to vulnerable adults as defined in chapter 74.34 RCW, then the County shall deny payment for any subsequent services rendered by the disqualified individual provider. The DSHS Background Check Central Unit (BCCU) must be utilized to obtain background clearance.

c. The Contractor shall meet qualification as outlined in the DDA Policy 6.13, Provider Qualifications for Employment and Day Program Services

d. Reporting Abuse and Neglect: The Contractor staff who are mandated reporters under RCW 74.34.020(13) must comply with reporting requirements described in RCW 74.34.035, .040 and cChapter 26.44 RCW. If the County is notified by DSHS that a Contractor’s staff member is cited or on the registry for a substantiated finding, then that associated staff will be prohibited from providing services under this Agreement.

e. The Contractor will promptly report to the County and DSHS per DDA Policy 5.13, Protection from Abuse: Mandatory Reporting Policy 6.08, Incident Management and Reporting Requirements for County and County-Contracted Providers , if:

i. They have reasonable cause to believe that abandonment, abuse, financial exploitation or neglect (as defined in RCW 74.34.020) of a person who has a developmental disability (as defined in RCW 71A.10.020) has occurred, and,

ii. If they have reason to suspect that sexual or physical assault of such a person has occurred, they shall also immediately report to the appropriate law enforcement agency.

iii. The Contractor will report incidents involving injury, health or safety to DDA and the County per DDA Policy 6.08, Incident management and Reporting Requirements for County and County Contracted Providers.

f. Contractor is specifically authorized to have data storage on portable devices or media in accordance with Attachment E. Data Security Requirements.

5. Duty to Disclose: Under 42 CFR §455.104, the Administration must obtain certain disclosures and complete required screenings to ensure the County and State does not pay federal funds to excluded person or entities. The Contractor is required to provide disclosures from managing employees, specifically the persons in the positions of Developmental Disabilities Director and

22-022 (1)

Last Date Revised: 12/31/2021

Admin Form: 1602

PROFESSIONAL SERVICES AGREEMENT ATTACHMENT D - 20230516
14 of 17

Fiscal/Budget Director, i.e. the person who authorizes expenditures. A completed Medicaid Provider Disclosure Statement, DSHS Form 27-094, should be submitted to the County to complete the required screenings. Disclosures must be provided at contract renewal and within twenty (20) days whenever there is a change in the staff holding these management positions [42 CFR 455.104 (c)(1)].

6. Debarment Certification. The Contractor, by signature to this Agreement, certifies that the Contractor is not presently debarred, suspended, proposed for debarment, declared ineligible, or voluntarily excluded in this Agreement by any federal department or agency from participating in transactions (Debarred). The Contractor also agrees to include the above requirement in all subcontracts into which it enters. The Contractor shall immediately notify the County if, during the term of this Contract, the Contractor becomes debarred. The County may immediately terminate this Contract by providing Contractor written notice if Contractor becomes debarred during the term hereof.

7. Certification Regarding Ethics. By signing this Agreement, the Contractor certifies that the Contractor is in compliance with Chapter 42.23 RCW and shall comply with Chapter 42.23 RCW throughout the term of this Agreement and any Program Agreement.

8. The Contractor shall comply with the following referenced documents found at DDA Internet site https://www.dshs.wa.gov/dda/county-best-practices under “County Best Practices”:

a. DDA Policy 4.11, County Services for Working Age Adults;

b. Chapter WAC 388-850 WAC, chapter WAC 388-828 WAC, WAC 388-845-0001, 0030, 0210, 0215, 0220, 0600-0610, 1030-1040, 1400-1410, 2100, 2110;

c. Criteria for Evaluation;

d. DDA Guiding Values;

e. County Guide to Achieve DDA’s Guiding Values;

f. DDA Guidelines for Community Assessments with Employment and Vocational Programs; and

g. Disability Rights Washington (formerly Washington Protection and Advocacy System) Access Agreement.

9. The Contractor shall ensure that all staff, working with clients receiving Community Access or Individual Employment Services, complete the following DDA online courses upon hire

http://gowise.org/training/wa-state-dda-online-courses/:

a. DDA-5.06: WA State Client Rights;

b. DDA-6.13CG: WA State County Guidelines;

c. DDA-6.13ESP: WA State Employment Service Plans for Employment providers or DDA 6.13CSP: Community Access Service Plans for Community Inclusion providers.

d. The Contractor shall ensure that all staff working with clients receiving Community Inclusion services receive annual training on Community Inclusion services and plan writing that incorporates the Community Inclusion Quality Review Tool.

https://www.dshs.wa.gov/dda/county-best-practices under “Community Inclusion”

10. Qualified Providers: A qualified provider must be an agency contracted with a county or DDA.

11. Quality Assurance and Service Evaluation: The Contractor shall develop and have available an evaluation system to review services. The evaluation system must have both a Quality Assurance and a Quality Improvement component, and both must include objective measures. The objective measures at a minimum will include performance indicators, by acuity, that include the number of new jobs; job loss and reasons for job loss; the percentage employed earning minimum wage or better; and the average number of hours worked. The Contractor’s service evaluation system shall serve as the method to demonstrate to the County that they continue to be a qualified provider. A copy of such evaluation system shall be provided upon request to County for review and approval.

12. Evaluation: The County shall evaluate and review services delivered to reasonably assure compliance and quality at least one visit to the Contractor during the biennium. The County shall maintain written documentation of all evaluations, recommendations and corrective action plans which will be provided to the DDA upon their request.

13. Single State Medicaid Agency – Health Care Authority (HCA): HCA, as the single state Medicaid Agency, has administrative authority for Title XIX coverage per 42 CFR 431.10. DSHS is the operating agency for the Home and Community Based Waivers for services for people with

22-022 (1)

Last Date Revised: 12/31/2021 Admin Form: 1602

PROFESSIONAL SERVICES AGREEMENT ATTACHMENT D - 20230516
15 of 17

developmental disabilities. The Contractor and County only has responsibility for services covered in this agreement.

14. DSHS/DRW Access Agreement: The Contractor assures the County that it has reviewed the Access Agreement. The DRW February 27, 2001 Access Agreement with DDA is incorporated by reference. The agreement covers DRW’s access to individuals with developmental disabilities, Clients, programs and records, outreach activities, authority to investigate allegations of abuse and neglect, and other miscellaneous matters and is binding for all providers of DDA contracted services.

15. Confidential Information

a. Ensure the security of Confidential Information;

b. When transporting client records containing Confidential Information outside a Secure Area, one or more of the following as appropriate:

i. Use a Trusted Network; or

ii. Encrypting the Confidential Information, including:

1. Email and/or email attachments.

2. Confidential Information when it is stored on portable devices or media including buyt not limited to laptop computers and flash memory devices.

16. Data Security Requirements: Attachment E shall only apply if the Contractor serves possesses 150 or more DSHS records across all programs or services throughout their organization, or transmits more than 5 records at one time.

17. Compliance with Applicable Law: At all times during the term of this Agreement, the Contract and County shall comply with all applicable federal, state and local laws, regulations, and rules, including but not limited to, nondiscrimination laws and regulations and the Health Insurance Portability and Accountability Act of 1996

18. Confidentiality

a. The Contractor shall not use, publish, transfer, sell or otherwise disclose any Confidential Information gained by reason of this Agreement for any purpose that is not directly connected with the performance of the services contemplated there under, except:

i. As provided by law; or,

b. In the case of Personal Information, as provided by law or with the prior written consent of the person or personal representative of the person who is the subject of the Personal Information. The Contractor shall protect and maintain all Confidential Information gained by reason of this Agreement against unauthorized use, access, disclosure, modification or loss. This duty requires the Contractor to employ reasonable security measures, which include restricting access to the Confidential Information by:

i. Allowing access only to staff that have an authorized business requirement to view the Confidential Information.

ii. Physically securing any computers, documents, or other media containing the Confidential Information.

c. To the extent allowed by law, at the end of the Agreement term, or when no longer needed, the Contractor shall return Confidential Information or certify in writing the destruction of Confidential Information upon written request by the County.

d. Paper documents with Confidential Information may be recycled through a contracted firm, provided the contract with the recycler specifies that the confidentiality of information will be protected, and the information destroyed through the recycling process. Paper documents containing Confidential Information requiring special handing (e.g., protected health information) must be destroyed through shredding, pulping, or incineration.

22-022 (1)

Last Date Revised: 12/31/2021

Admin Form: 1602

PROFESSIONAL SERVICES AGREEMENT ATTACHMENT D - 20230516
of 17
16

COUNTY RETAINS THIS FORM

Individual contractors and service providers must complete and sign

19. WA Department of Retirement Systems: Independent Contractor Verification and State Retirement Status Reporting Form [WAC 415-02-110; DRS Email 13-011; DRS Email 09-001]

SECTION 1: INDIVIDUAL CONTRACTOR COMPLETES THIS SECTION AND SIGNS:

Did you retire from one of the State of Washington Retirement Systems? YES NO

Did you retire before age 65 using the 2008 early retirement factors (ERF)? YES NO

Will you be receiving direct compensation for your services? YES NO

Will you be receiving indirect compensation for your services? YES NO

CONTRACTOR (Full, individual name of contractor):

Signature: Social Security No.: Date:

SECTION 2: COUNTY COMPLETES THIS SECTION AND RETAINS FOR AUDIT PURPOSES:

[Use Member Reporting Verification (MRV) to verify the past retirement membership]

1. Contractor has been a member of a Washington State Retirement System YES NO If YES, what system and plan?

Judicial Retirement System (JRS)

2. Is the contractor a retiree of a Washington State Retirement System? Yes No

3. Did the contractor retire before age 65 using the 2008 ERF? Yes No

I have verified the information above using MRV or by contacting DRS, and I have evaluated the individual Contractor, Independent Contractor or Service Provider under WAC 415-02-110 and/or DRS Form-MS 344 (R 5/09), and the Internal Revenue Service rules governing independent contractor status.

COUNTY OFFICIAL/DEPARTMENT REPRESENTATIVE:

Signature: Date: COUNTY RETAINS THIS FOR

22-022 (1)

Last Date Revised: 12/31/2021 Admin Form: 1602

17 of 17

PROFESSIONAL SERVICES AGREEMENT ATTACHMENT D - 20230516
Teachers’ Retirement System (TRS) Plan1 Plan 2 Plan 3 School Employees’ Retirement System (SERS) Plan 2 Plan 3 Public Employees’ Retirement System (PERS) Plan 1 Plan 2 Plan 3 Public Safety Employees’ Retirement System
Plan 2 Law
Retirement
(LEOFF) Plan 1 Plan 2 Washington
Plan 1 Plan
(PSERS)
Enforcement Officers’ & Fire Fighters’
System
State Patrol Retirement System (WSPRS)
2

AS-12831

BOCC Agenda

Meeting Date: 06/06/2023

Timed Items 10.

Public Hearing to consider extending "Interim Official Controls" Related to a Mining Subsection within Chapter 18.01 Cowlitz County Code

Submitted For: Adam Trimble

Department: Building & Planning

Submitted By: Adam Trimble

Information

Subject and Summary Statement

The Department of Building and Planning has drafted regulations to address the concerns outlined in Emergency Ordinance 21-036, adopted May 4, 2021, reestablishing the mining subsection as interim official controls within the Special Property Uses chapter, with local land use controls for the mining subsection, and has submitted the proposed regulations for legal review by County Prosecutor's office staff. The Department recommends extending the interim official controls to allow time to complete  review and schedule a Planning Commission public hearing before final action by the Board of Cowlitz County Commissioners, anticipated by June 2024.  Attached to the agenda is an updated work plan demonstrating progress made and remaining steps needed to adopt permanent amendments to Title 18, Land Use and Development. Also attached is a resolution with findings to support the extension and an ordinance to adopt extension of the interim controls ordinance 21-036 until June 6, 2024.

Will Staff Attend - NAME OF STAFF

Adam Trimble, Senior Policy Outreach Planner

Department Recommendation

The Department recommends that the Board of County Commissioners consider extending the interim official controls regarding special uses with a surface mining subsection, as originally adopted on June 22, 2021, and extended in June 2022, for one year until June 06, 2024.

1.

MOTION TO ADOPT THE ATTACHED RESOLUTION AND SPECIFIC FURTHER FINDINGS ON EXTENDING INTERIM OFFICIAL CONTROLS RELATED TO A MINING SUBSECTION OF COUNTY CODE CHAPTER 18.01-SPECIAL USE

MOTION TO ADOPT THE ATTACHED ORDINANCE CONTINUING "INTERIM OFFICIAL CONTROLS" RELATED TO A MINING SUBSECTION WITHIN CHAPTER 18.01 COWLITZ COUNTY CODE, EXPRIING JUNE 6, 2024.

21-036 Adopted Emergency Ordinance  MINING RESL continuting interim 2023

Surface Mine Work Plan & Timeline 5-16-23

MINING ORD continuing interim

Attachments

Form Review

Inbox Reviewed By Date

Traci Jackson Traci Jackson 05/23/2023 04:57 PM

Doug Jensen

Form Started By: Adam Trimble

Started On: 05/16/2023 04:41 PM

2.

BEFORE THE BOARD OF COUNTY COMMISSIONERS OF COWLITZ COUNTY, WASHINGTON

Ordinance Ntn 1- 0 3 6

Adopting and Reestablishing the Mining Subsection as " Interim Official Controls" within the Special Uses Chapter, with Local Land Use Controls for Such Mining Subsection, Pursuant to Article 11, Section 11 of Washington State Constitution, and RCW 36. 70A. 390, 36. 70. 795, 35A.63.220, and 35.63. 200; and All Upon a Declaration ofEmergency

SECTION 1: Adopting, Amending, and Reestablishing subsection " B" of 18.01. 100 of Chapter 18. 01, entitled " SPECIAL USE", of the Cowlitz County Code ( CCC), with the following Interim Official Controls pertaining to Mining, as follows:

B. Mining. These approval criteria apply to surface mining, which shall be allowed only as a special use permit in all zones.

1. Exemptions.

The provisions of this section shall not apply to the following activities. Activities exempt from this section remain subject to application of the Cowlitz County Grading Ordinance.

A. Surface excavation or grading for farming or agricultural practices which are less than three acres in size and less than 5, 000 yards per calendar year.

B. All Washington State Department of Natural Resources regulated Class I, II, III or IV Special forest practice activity conducted in accordance with RCW Chapter 76. 09 and WAC Title 222.

C. Stockpiling of materials for public roadway construction.

D. Surface mines that lawfully existed at the time of adoption of these regulations. The expansion of an existing site or operation beyond the scope of previously issued permits shall subject the site to review under the provisions of this section. Surface mines lawfully existing at the time of adoption of this Ordinance shall be subject to CCC 18. 02. 090 ( Existing Development), and this Chapter as applicable.

2. Definitions.

Unless specifically defined below, words or phrases used in this section shall be interpreted so as to give them the meaning they have in common usage.

Department" unless otherwise specified means the Department of Building and Planning of Cowlitz County.

Director" refers to the Director of the Department of Building and Planning of Cowlitz County, or his or her designee.

Operations" means all mine- related activities, exclusive of reclamation, that include, but are not limited to activities that affect noise generation, air quality, surface and ground water quality, quantity, and flow, glare, pollution, traffic safety, ground vibrations. Operations specifically include: Ordinance

Noi 1— 0 3 Page 1 Interim Official Controls— Reestablishing the Mining Subsection for Special Use Chapter

a. The mining or extraction of rock, stone, gravel, earth, minerals, and sand. Dredge spoils are included in this definition;

b. Blasting, equipment maintenance, sorting, crushing and loading;

c. On- site mineral processing including asphalt or concrete batching, concrete recycling, and other aggregate recycling;

d. Transporting minerals to and from the mine, on- site road maintenance, road maintenance for roads used extensively for surface mine activities, traffic safety and traffic control;

and shall specifically exclude short-term stockpiling of extracted materials at a public road improvement site or at a lawful construction site, for use at that job site.

Responsible Official" for the purposes of this chapter, the Responsible Official shall be as defined in CCC 18. 02. 030( A).

Surface Mine" means an operation required for extraction of rock or minerals from the earth including mining by open- pit method and extraction of rock or minerals near the surface. Surface mines include any area or areas in close proximity to each other where extraction of minerals results in more than three acres of disturbed area; or surface mined slopes greater than thirty feet high and steeper than 1. 0 foot horizontal to 1. 0 foot vertical; or more than one acre of disturbed area within an eight acre area when the disturbed area results from mineral prospecting or exploration activities.

3. Resource Activity Notification.

A. Prior to operations and permits issuance, the owner of any site within 1, 000 feet of Mineral Resource Land, as defined in this chapter, shall record a title notice with the Cowlitz County Auditor. Such notification shall be in the form set forth below:

PROPERTY ADJACENT TO MINERAL RESOURCE LAND TITLE NOTIFICATION

Parcel Number:

NOTICE: This parcel lies within 1, 000 feet of mineral resource land as defined in CCC 18. 20. A variety of commercial mining activities may occur which may not be compatible with other development. Potential disturbances or inconveniences may occur 24 hours per day and include but are not limited to: noise, blasting, odors, fumes, dust, smoke, and operation of heavy machinery."

B. The Department shall require the owner of any site within 1, 000 feet of mineral resource land, as defined in this chapter, for which a subdivision or short subdivision is submitted, record a title notice with the Cowlitz County Auditor. Such notification shall be in the form set forth below:

2 V—, 036
Ordinance NQ? -- 61 Page 2 Interim Official Controls— Reestablishing the Mining Subsection for Special Use Chapter

Parcel Number:

NOTICE: This parcel lies within 1, 000 feet of mineral resource land as defined in CCC 18.20. A variety of commercial mining activities may occur which may not be compatible with other development. Potential disturbances or inconveniences may occur 24 hours per day and include but are not limited to: noise, blasting, odors, fumes, dust, smoke, and operation of heavy machinery."

4. Development Operating Conditions. Development operating conditions shall address the following, with the applicant having the burden by substantial evidence to demonstrate any given Development Standard will impose an unnecessary hardship for purposes of variance under CCC 18. 10.355:

A. Siting. All new and expanded surface mines shall be located within Mineral Resource Lands so classified within the Cowlitz County Comprehensive Plan.

B. Lot Width. The minimum lot width for a new surface mine shall be no less than 180 feet, to accommodate the setback requirements below.

C. Setbacks. Mineral extraction operations on land classified as Mineral Resource Land shall be setback at least thirty ( 30) feet from abutting parcels not classified as Mineral Resource Land, or a greater distance as necessary to meet other regulations. The setback area shall only be used for roads, berms, landscaping, signs, fencing and reclamation activities.

D. Access.

1. All roads providing ingress and egress to the Surface Mine site shall be gated and posted " Active Surface Mining- No Trespassing". Emergency telephone contact information shall also be included on the sign.

2. The applicant shall obtain an approach permit from the Cowlitz County Department of Public Works for access from the surface mine site to the county road( s) and / or Washington State Department of Transportation for access to the state highway( s), as applicable. The applicant shall also obtain a haul road permit pursuant to CCC 12. 20. 070 if required by the County Engineer, which may include a road maintenance agreement to be incorporated into the terms and conditions of any approvals granted hereunder. Such agreements may include, but are not limited to, safety, restoration, rehabilitation, and resurfacing of the affected roadways and/ or financial participation in county road preservation projects.

3. The applicant shall prevent materials from the surface mine site from entering upon the county rights- of-way from mining, mineral processing and hauling, and from any accessory use or activity, and shall promptly and safely remove any materials which enter upon the rights- of-way. Such materials may include, but are not limited to, rock, sand, mud, soil, water, and/ or oil.

21 - 03b
PROPERTY ADJACENT TO MINERAL RESOURCE LAND TITLE NOTIFICATION
Ordinance Nol `_ rJ 9 ' Page 3 Interim Official Controls— Reestablishing the Mining Subsection for Special Use Chapter

4. The operator shall grant access for inspection of the mine operation in order for the County to monitor and, if necessary, enforce the provisions of the surface mine permit.

E. Noise. Maximum permissible noise levels must be in accordance with the provisions of WAC Chapter 173- 60 or as specified during the permit process. The County may require additional measures to control noise, such as placing rubber or urethane screens and liners or crushing and screening equipment, equipping loaders and dozers with ambientsensitive back- up alarms, or muffling engine noise, if site conditions or the site' s proximity to residential use warrants.

F. Hours and Days of Operation.

1. No operations shall take place on Sundays or on the following holidays: New Year' s Day, MLK Day, Memorial Day, Independence Day, Labor Day, Veterans Day, Thanksgiving Day, and Christmas Day.

2. All operations and activities other than blasting and maintenance are restricted to the hours of 7:00 am to 6:00 pm, Monday thru Friday, and 8:00 am to 5:00 pm Saturday.

3. Blasting is restricted to the hours of 9:00 am to 5:00 pm Monday thru Friday.

4. Maintenance activities, excluding mining, crushing, and loading, may be performed outside the normal hours of operation, provided that no equipment with narrow- band back- up alarms is used. Noise levels for activities performed outside normal hours of operation shall comply with the maximum permissible environmental noise levels identified in WAC 173- 60- 040.

5. Loading and hauling outside of normal hours of operation may be approved by the Director provided that:

a. The applicant provides at least fourteen (14) days' notice to the County prior to the event;

b. The applicant provides evidence that an urgent business need requires delivery of products outside of normal operating hours; and

C. All equipment shall utilize broadband back-up alarms or reverseactivated strobe lights conforming to Mining Safety and Health Administration ( MSHA) requirements.

d. In an emergency, the Director may waive the requirements of this subsection.

G. Stormwater and Erosion Control. Stormwater and erosion control must be provided in accordance with the applicable Chapters of Title 16 CCC. Additionally, the applicant is responsible for compliance with all other applicable local, state and federal stormwater and erosion control permitting requirements.

H. Blasting and mining activities shall not:

1. Adversely affect the quality or quantity of groundwater or groundwater wells; or

2. Cause damage to offsite lawfully- constructed structures.

3. Notice of blasting events shall be provided by the operator to property owners within one- half( 1/ 2) mile of the mining limits, as well as to the Cowlitz County Department of Building and Planning, by mail at least seven (7) days prior to blasting.

a1 - 036
Ordinance No. Z 1 3 6 Page 4 Interim Official Controls— Reestablishing the Mining Subsection for Special Use Chapter

I. Mining activities must meet applicable Federal, State and county standards governing odors, dust, smoke, blasting and vibration.

J. Lighting. Significant light or glare shall not be cast onto adjacent properties.

K. Aesthetics. The site shall be screened to minimize viewing from adjacent properties not classified as Mineral Resource Lands. Screening may include vegetation, berms or other topographic conditions, fencing and/ or other techniques as approved by the responsible official. Landscaping and fencing shall be maintained in good condition at all times during active operations and until such time as the site is reclaimed.

L. Reclamation Plan.

1. The applicant shall prepare and provide an acceptable reclamation plan to the Washington State Department of Natural Resources. The plan shall be prepared in accordance with the standards as set forth in RCW 78.44, and as subsequently amended. The Department of Natural Resources shall have the sole authority to approve reclamation plans. The Department shall support reclamation plans that emphasize the avoidance of off-site post-closure degradation due to off-site migration of pollutants from the surface mining site.

2. Prior to commencement of operations, the applicant shall provide the Department with copies of all permits/ approved plans filed with the Department of Natural Resources.

5. Development Site Conditions.

The development site application and review conditions shall address the following:

A. An application for a surface mine approval shall include information and details as necessary to sufficiently indicate the nature and extent of the current and future operations proposed and demonstrate conformance with the provisions of this section and all other relevant laws, codes, rules and regulations. Plans and submittals made to state or regional agencies for approvals to operate the same surface mine may be with the application to provide the information, provided at minimum such documentation includes the following:

1. Plans drawn to an engineer' s scale. All plans must include a scale, bar scale, north arrow, legend, and title block.

a. General vicinity maps of the proposed site;

b. Parcel boundaries and contours ( at intervals of five feet or less) of existing ground, details of existing terrain, and details of existing area drainage;

C. Boundaries of area that will be disturbed by mining;

d. Proposed elevations and contours (at intervals of five feet or less) of the greatest extent of the proposed mining and proposed drainage channels and related construction;

e. Location of existing site features, such as roads, railroads, utility lines, easements, streams, wells, lakes, springs and wetlands.

f. Detailed plans of all surface and subsurface drainage devices, walls, cribbing, dams, berms, settling ponds and other protective devices to be constructed with or as a part of the proposed work, together with the

11 - 03b
Ordinance No 2 1-® 3 6 Page 5 Interim Official Controls— Reestablishing the Mining Subsection for Special Use Chapter

maps showing the drainage area and the estimated runoff of the area served by any drains;

g. Location of any buildings or structures on the property where the work is to be performed, and the location of any buildings or structures on land of adjacent property owners which are within two hundred ( 200) feet of the property;

h. Topsoil and overburden storage areas;

L Location and type of proposed screening;

j. Location of access roads and primary haul routes.

k. Documentation of all necessary easements providing proof of legal access to site.

2. Cross Sections. At least two cross sections ( generally at right angles) that extend completely across and sixty ( 60) feet beyond the boundaries of the area to be disturbed by mining. Cross sections shall depict the original and final topography and the water table.

3. Backfilling. If backfilling is proposed, provide a plan detailing source of backfill material, quantity needed, grading and compaction scheme, erosion control plan, and immediate vegetation plan. All backfill shall be made with nonnoxious, nonflammable, noncombustible solids unless approval has otherwise been granted by the Cowlitz County Health Department.

4. Storm Drainage and Erosion Control Plan. Prepared by a registered professional engineer in the state of Washington. Plan must address continued maintenance and operation of storm drainage and erosion control system. Plan shall include stormwater calculations and proposed treatment facilities for runoff from access roads and impervious surfaces. Plan shall be prepared in accordance with the applicable chapters of Cowlitz County Code Title 16;

5. Hydrogeology Report. Prepared by a registered professional engineer in the state of Washington. The report shall provide evidence that groundwater will not be affected by the proposed activity, through data collection and analysis. The Report shall:

a. Identify, review and include the location of adjacent well logs;

b. Identify adjacent water rights and water use;

C. Provide a measurement of static water levels in adjacent wells;

d. Provide a determination of the current potentiometric surface.

6. Traffic Impact Analysis. Prepared by a registered professional engineer in the state of Washington. The Analysis shall include the following elements, and any additional elements as requested by the Director, or the Director of the Department of Public Works:

a. Trip generation, including passenger and haul vehicles;

b. Trip assignment and distribution;

C. Capacity analysis: Existing and proposed operational level of service at the site access and intersections along primary and secondary haul routes including proposed mitigation, if any;

2 1- 0 3 bp
Ordinance No. 3 Page 6 Interim Official Controls— Reestablishing the Mining Subsection for Special Use Chapter

d. Safety analysis: Sight distance at intersections and crash history at intersections and along haul route corridor, including proposed mitigation, if any;

e. Vehicular maneuvering analysis: Turning movements at intersections and tracking at intersections and horizontal curves including proposed mitigation, if any;

f. Structural capacity analysis: Remaining life of primary and secondary haul routes under current and proposed loading including and proposed improvements needed to achieve a fifteen ( 15)- year structural capacity.

7. Dust Control Plan. Demonstrating how dust will be controlled on- site and on public roadways.

8. County shall send, at applicant' s expense, written notice of Surface Mine Permit application, and any applicable associated applications, to owners of property within a radius of one (1) mile of the site and to owners of all parcels abutting local access roads identified as the primary haul route that are between the site and roads designated as a collector or arterial by the Department of Public Works, or as a State highway. Said notice shall be addressed as shown on the current tax rolls and transmitted not less than 14 days prior to the Hearing Examiner hearing, conducted pursuant to Ch. 2. 05 CCC.

B. The special use review of the surface mining shall include the following criteria and findings in making a decision as to whether or not to approve a permit:

1. Surface mining is an essential economic development activity, and that it may not be possible to extract minerals without producing some impacts.

2. The standards and requirements in this section are the minimum standards based on unique site- specific factors or conditions as appropriate to protect public health, safety and welfare.

3. Conditions of approval shall include mitigation on the detrimental impacts to the environment. Mitigation conditions shall be performance based and endeavor to:

a. Be directly and proportionately related to surface mining impacts;

b. Be reasonable, practicable and capable of being achieved by the mine operator; so as not to unduly limit the viability of the operator' s business;

C. Seek to alleviate existing and potential incompatibilities between mineral extraction operation and adjacent parcels and / or land uses;

d. Take into consideration the length of time mining operations were first conducted on the property and when adjacent incompatible uses were first developed.

e. The applicant shall develop and conduct a monitoring program. All monitoring shall be conducted at the applicant' s expense. The monitoring program shall be approved by the county prior to beginning operations under the permit, and shall include the following:

61 -03
Ordinance Nods " b Page 7 Interim Official Controls— Reestablishing the Mining Subsection for Special Use Chapter

i. A statement of the operating requirements and standards for each condition of approval in the permit for extraction, processing and transport;

ii. A description of the methodology for determining compliance with each requirement and standard, and

iii. A schedule for conducting the required monitoring. At minimum the schedule shall be:

A. Beginning twelve (12) months after approval of the surface mine permit;

B. Continuing at twelve (12) month intervals thereafter; and

C. As needed to correct any instances of non- compliance, as determined by the responsible official.

D. Each monitoring activity shall be reported to the County.

E. This monitoring activity and reporting shall not be construed to hold Cowlitz County, or any officer or employee thereof, responsible for damages to persons or property by reason of review or non- review, certification or inspection or noninspection of any operations, equipment or property as herein authorized.

f. Failure to comply with the conditions of approval of the surface mine special use approval or any other associated permit or standard may result in revocation of approval for operation of the surface mine.

SECTION 2. Codification. Section 1, above, shall be codified.

SECTION 3. Severability and Savings Clause. This interim ordinance addresses only the adoption and reestablishment within the Special Uses chapter the above sections for interim surface mining regulations, as described herein and in the accompanying Resolution of" Findings of Fact". If any section, subsection, sentence, clause, or phrase of this Ordinance is for any reason held to be unconstitutional or invalid at law, such decision shall not affect the validity of the remaining portions of this Ordinance.

SECTION 4. Sunsetting and Effective Date. This enactment establishing interim official controls shall automatically expire sixty (60) days from its effective date unless the Board, following a public hearing, rescinds, extends, or modifies this Ordinance for such additional period as provided for under the above- noted constitutional and statutory provisions.

Because it is necessary to preserve the public peace, health and safety for the reasons set forth in the original emergency adoption of interim mining regulations, incorporated herein, and as set forth in the accompanying Resolution to the current ordinance, the Board declares an emergency and that the effective date of this Ordinance shall be the date of adoption.

Ordinance No. 6 Page 8 Interim Official Controls— Reestablishing the Mining Subsection for Special Use Chapter

PASSED IN REGULAR SESSION, upon the declaration of an emergency by the Board of County Commissioners, this day of May, 2021.

ATTEST: BOARD OF COMMISSIONERS COWLITZ COUNTY, WASHINGTON

spaLtA- c. riffarly bstrc66, Clerk of Boards -'_ , 141 S is oe Gardner, Chairman

APPROVED AS TO FORM: Dennis P. Weber, Commissioner RYAN JURVAKAINEN, Prosecuting Atty.

1 II qq p 6
Ordinance Node?6 Page 9 Interim Official Controls— Reestablishing the Mining Subsection for Special Use Chapter

BEFORE THE BOARD OF COUNTY COMMISSIONERS OF COWLITZ COUNTY, WASHINGTON

RESOLUTION No. __________, 2023

Adopting Specific, Further Findings after Public Hearing on Extending "Interim Official Controls" Related to a Mining Subsection of County Code Chapter 18.01-Special Use, Pursuant to Article 11, Section 11 of Washington State Constitution and RCW 36.70A.390, 36.70.795, 35A.63.220, and 35.63.200

THE BOARD OF COWLITZ COUNTY COMMISSIONERS finds and resolves as follows:

1. Together with the adoption of the companion emergency Ordinance, extending interim official controls over mining activities proposed to operate or operating within the unincorporated portion of Cowlitz County, the Resolution serves to immediately preserve the status quo by supplementing appropriate land use and zoning, public health and safety regulations under the Special Use chapter of 18.01 Cowlitz County Code (CCC). Continuation of these interim controls will further ensure compliance with the intent of the comprehensive land use plan, and other land use and health and safety laws; and

2. Future adoption of more permanent measures regarding mining will be required to continue preservation of the integrity of and consistency with the policies, provisions and intent of County’s comprehensive plan and other development regulations and public health and safety laws while the County endeavors to adopt permanent official controls on Mining as a special use;

3. A work plan to study and develop permanent regulations has been partially completed, resulting in draft code amendments which are awaiting legal review prior to being presented at public hearing, and is incorporated herein by this reference;

4. A work group comprised of stakeholders and technical advisors was formed in 2022, met 10 times and held 3 open house meetings supported by Department of Building and Planning, to develop recommendations on permanent regulations, under the work plan and with the below mentioned timeline; and

5. Based on public comment and technical expertise of the work group, the Department of Building and Planning drafted regulations to address the concerns outlined in the prior Declaration of Emergency and has submitted the proposed permanent regulations for review by County Prosecutor ‘s office legal staff prior to scheduling Planning Commission public hearings or final action by the Board of Cowlitz County Commissioners anticipated by June 2024;

NOW, THEREFORE, BE IT RESOLVED by the Board of Cowlitz County Commissioners, in consideration of the above recitations, to make the following additional findings of fact in support of the extension of Interim Official Controls as adding a Mining subsection to the Special Use chapter:

1. Incorporating the following specific findings of fact and readopting its prior finding of fact from the emergency adoption, for extending these interim official controls restricting the acceptance and processing of applications, and land use and occupancy restrictions on private and public lands in the unincorporated areas of the County with the establishment of special use standards on surface mining, as more fully set forth in the emergency ordinance supplementing Chapter 18.01 of the Cowlitz County Code (CCC), pending further hearing(s) and review:

Resolution

No. ________ Page 1
of Fact – Continuing Interim Official Controls – Special Use – Mining
Findings

a. The Board of Commissioners finds it to be in the best public interest to extend these interim regulations for time to complete legal review of proposed permanent regulations regarding surface mining, and to complete the work required for adoption of permanent regulations.

b. Extending these interim regulations until June 6, 2024, to allow the work group and the Department of Building and Planning adequate time to develop recommended permanent regulations, and for the County to act on those recommendations with the adoption of permanent regulations.

PASSED AND ADOPTED contemporaneously with the ordinance extending Interim Official Controls with a Mining subsection within Ch. 18.01 CCC, and effective until June 06, 2024, and as of the date of public hearing on this 6th day of June 2023

ATTEST: BOARD OF COMMISSIONERS COWLITZ COUNTY, WASHINGTON

Kelly Dombrowsky, Clerk of the Board

Richard R Dahl, Chairman

APPROVED AS TO FORM: Dennis P. Weber, Commissioner RYAN JURVAKAINEN, Prosecuting Atty

By:________________________________

Douglas E. Jensen, Chief Civil Deputy Arne Mortensen, Commissioner

Resolution No. ________ Page 2 Findings of Fact – Extend Interim Official Controls – Special Use – Mining

Proposed Special Use –

Note- completed items have a ✓checkmark

Work Plan:

Surface Mine Work Plan 2023-2024

The intent of the special use – surface mine work plan is to:

• establish the location of known mineral resources in Cowlitz County,

• determine which are economically viable and desirable for protection for future use,

• recommend updates to the Comprehensive Plan related to classification of Mineral Resource Lands,

• evaluate interim regulations related to surface mining, and

• recommend permanent regulations related to surface mining.

Process Expectations

• Staff and the work group will review and make recommendations on Comprehensive Plan updates.

• Drafting of regulations will take place within Building and Planning. The Workgroup will provide technical assistance and review of public comments, outlines, and drafts of the proposed ordinance. The workgroup meetings will be open to public.

• Legal review will be ongoing throughout process. Each outline and/or draft will be submitted to the Prosecuting Attorney’s Office for review and guidance.

Workgroup membership:

Workgroup schedule:

✓ There were a series of meetings of the Surface Mine Workgroup. The schedule was adapted. The previous interim ordinance has an expiration date of June 22, 2022. The interim ordinance is proposed to be extended until June 2024.

✓ Meeting 1 – March 28, 2022

✓ Overview of current state of surface mining rules in Cowlitz County

✓ Workgroup expectations and procedures, as outlined by the Board of County Commissioners

✓ Scope of proposed updates under consideration, as outlined by the Board of County Commissioners

✓ Review current classified mineral resource lands

✓ Meeting 2 – April 11, 2022

✓ Review of Ordinance outline

✓ Review Comprehensive Plan map

✓ Identify issues/concerns

✓ Amend outlines as necessary in preparation for public comment meetings

✓ Meeting 3 – April 25, 2022

✓ Review of public comments and concerns

2. Industry professional
Industry professional
Representative from Commissioner’s District 1
Representative from Commissioner’s District
Representative from Commissioner’
District
1. Industry professional
3.
4.
5.
2 6.
s
3 7. Citizen at large

✓ Address public issues and concerns

✓ Review first draft of regulations and map and accept committee comment

✓ Meeting 4 – May 9, 2022

✓ Address concerns

✓ Review draft of regulations and comprehensive plan map and accept committee comment

✓ Prepare for Planning Commission meetings

✓ Meeting 5 – May 23, 2022

✓ Address concerns

✓ Review draft of regulations and comprehensive plan map and accept committee comment

✓ Prepare for Planning Commission meetings

✓ Meetings #6 through 10 ending September 10, 2022

✓ DRAFT Ordinance and Comprehensive Plan Map sent to Workgroup members for review- September, 2022

Public Comment Meetings

The meetings allowed for public comment regarding land use issues related to the permitting of surface mining and classification of suitable lands. The meetings involved a brief presentation of mapping, special use processes and existing ordinances and include an outline of topics to be covered in the upcoming ordinance. Participants were invited to comment verbally, in writing, or both.

✓ Thursday, June 9th, 2022 4pm - 6pm: Cowlitz County Admin. Building - General Meeting Room (3rd fl.) 207 N. 4th Ave. Kelso

✓ Monday, June 13th , 2022, 5pm - 7pm: Toutle Lake School – Multi Purpose Room 5050 Spirit Lake Hwy. Toutle

✓ Wednesday, June 22nd , 2022, 5pm - 7pm: Woodland High School - Library 1500 Dike Access Rd. Woodland

Proposed Timeline

✓ 2022-2023

✓ Fall Winter 2022

✓ January 2023

January 2023-24

February 2024

March 2024

May/June 2024

Hold 10 Workgroup meetings and 3 public open houses

Produce draft code amendments for surface mines- referred for legal review

Planning Commission workshop and public comments on draft code amendments

Legal review of draft code amendments

SEPA Determination Issued

Planning Commission Hearing

BOCC Work Session, Workshop and Hearings (Dates TBD)

BEFORE THE BOARD OF COUNTY COMMISSIONERS OF COWLITZ COUNTY, WASHINGTON

Ordinance No.

Continuing Emergency Ordinance 21-036, "Interim Official Controls" Related to a Mining Subsection within Chapter 18.01 Cowlitz County Code, Pursuant to Article 11, Section 11 of Wa. Const., and RCW 36.70A.390, 36.70.795, 35A.63.220, and 35.63.200

SECTION 1. Codification. No sections hereunder shall be codified.

SECTION 2. Severability and Savings Clause. This continuation of interim ordinance 21-036 addresses Mining subsection of Ch. 18.01 CCC, and as described therein and in the accompanying Resolution of “Findings of Fact”. If any section, subsection, sentence, clause, or phrase of this Ordinance is for any reason held to be unconstitutional or invalid at law, such decision shall not affect the validity of the remaining portions of this Ordinance.

SECTION 3. Sunsetting and Effective Date This enactment continuing interim official controls under Ordinance 21-036 shall be effective immediately, and shall automatically expire on June 6, 2024, unless the Board, following a public hearing, rescinds, or further extends or modifies this Ordinance for such additional period as provided for under the above-noted constitutional and statutory provisions.

APPROVED THIS 6th day of June, 2023, after a public hearing was held on said date, pursuant to Notice published on the 28th day of May, 2023, in The Daily News.

ATTEST: BOARD OF COMMISSIONERS COWLITZ

APPROVED AS TO FORM: Dennis P. Weber,

RYAN JURVAKAINEN, Prosecuting Atty

Ordinance No. ________ Page 1

Continuing Interim Official Controls – Special Use-Mining

Turn static files into dynamic content formats.

Create a flipbook