Skip to main content

Regular Public Meeting Agenda 6/18/24

Page 1

Arne Mortensen, Commissioner District 1

Dennis Weber, Commissioner District 2

Richard R. Dahl, Commissioner District 3

Kelly Dombrowsky, Clerk of the Board

Regular Public Meeting

June 1 8 , 2024, 9:00 a.m.

Board Meeting Convenes at 9:00 a.m.

 Pledge of Allegiance

 Minutes of June 10-12, 2024

 Consent Agenda of June 18, 2024

 Miscellaneous Item

 Public Comments

o Citizen Participation may be anonymous. See RCW 42.30.040

Consent Agenda

Agreements/Contracts/Bid Awards

ZOOM Link KLTV Link

Phone Option: (253) 215-8782

Webinar ID: 820 1961 3917 www.kltv.org Live Stream

1. Interlocal Agreement with the Port of Longview for the purpose of each agency providing administrative or engineering services, construction and maintenance services, as needed. The total of all services provided from one agency to the other shall not exceed $30,000 per calendar year.

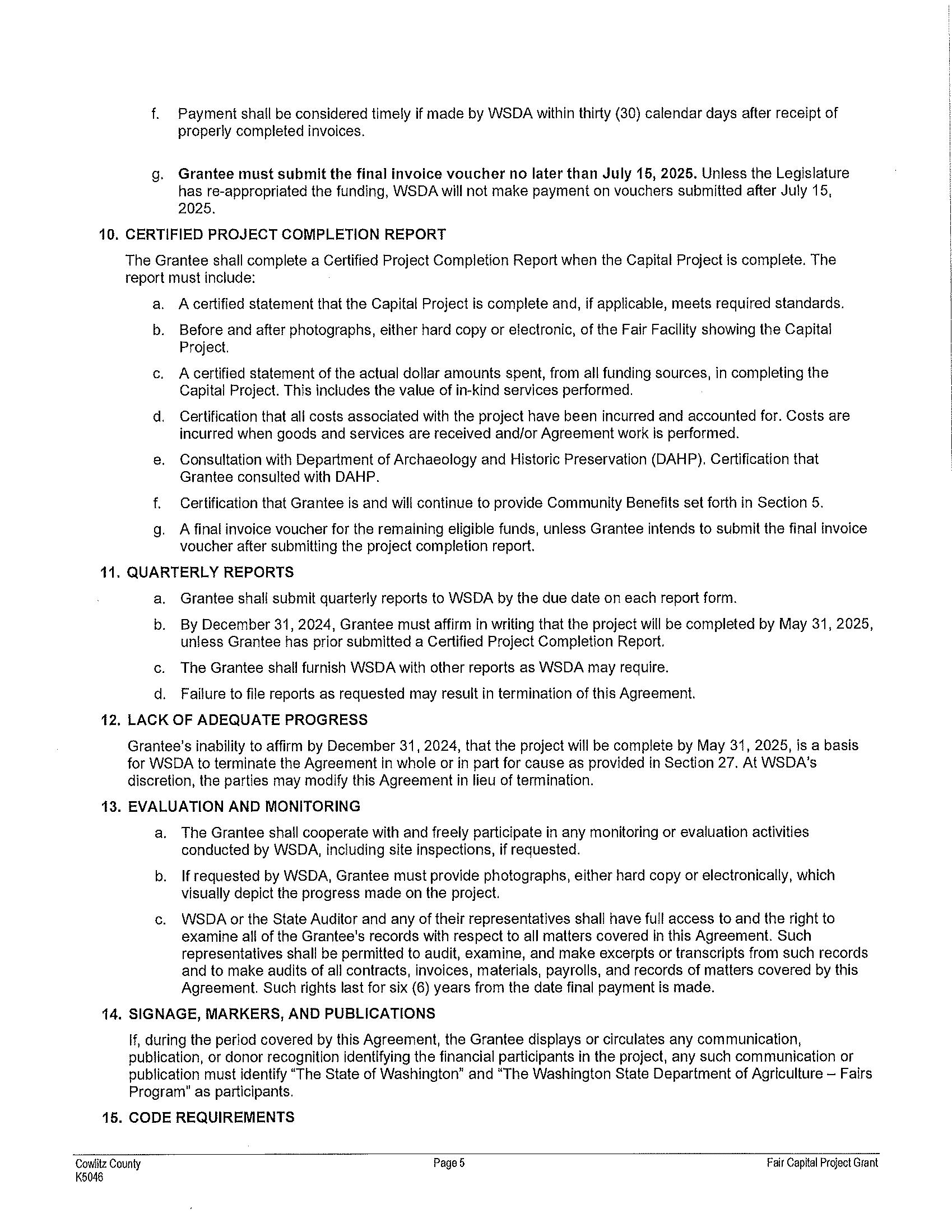
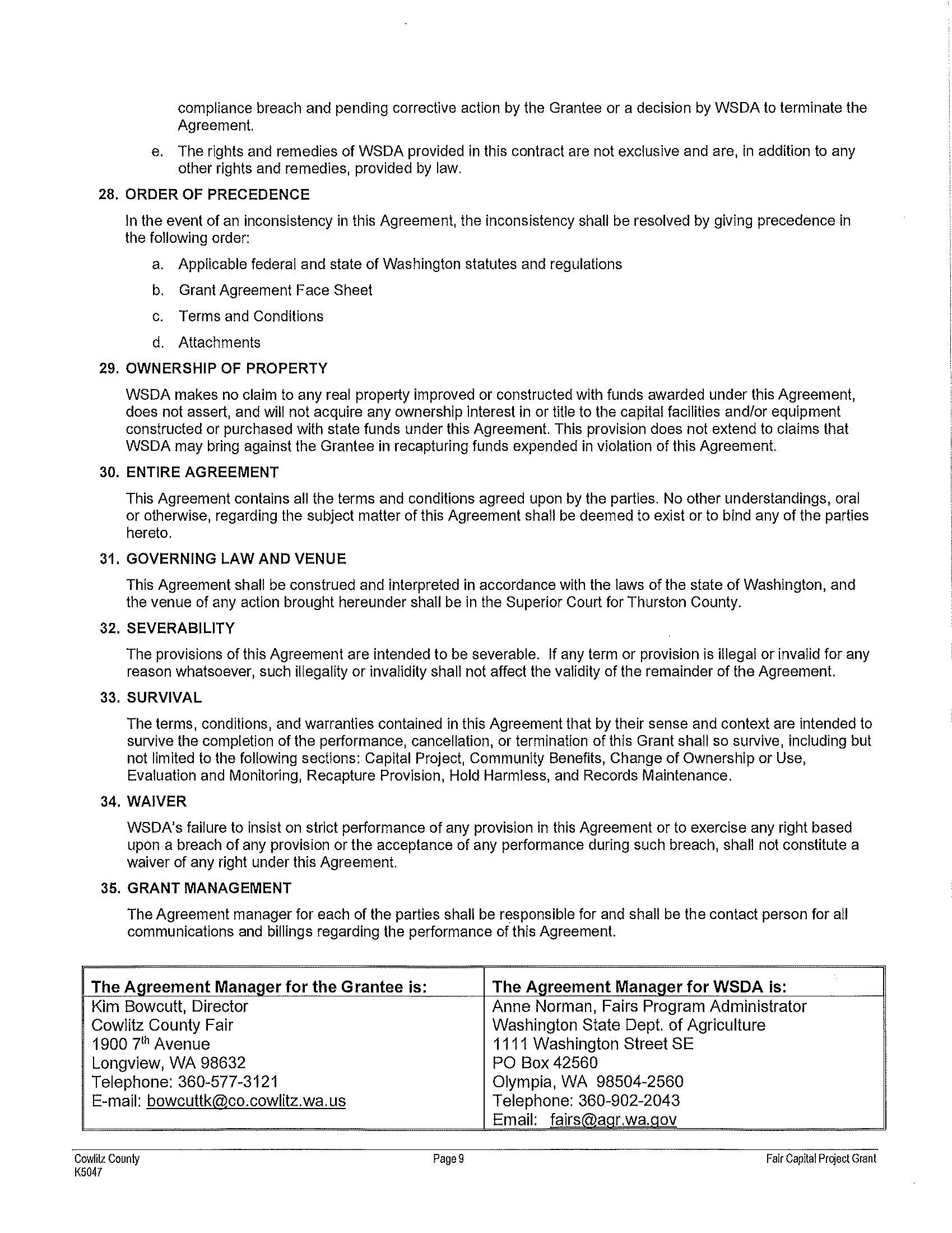
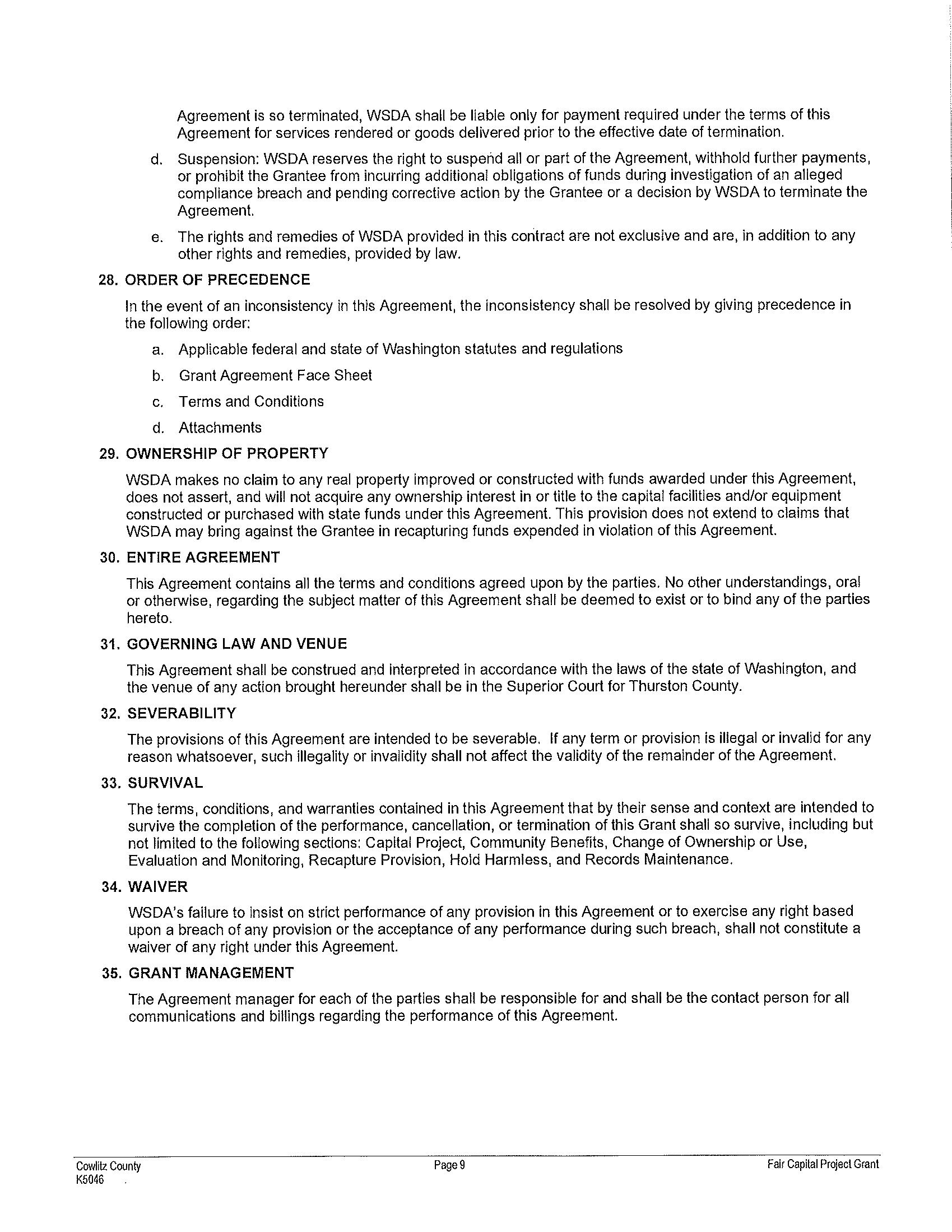
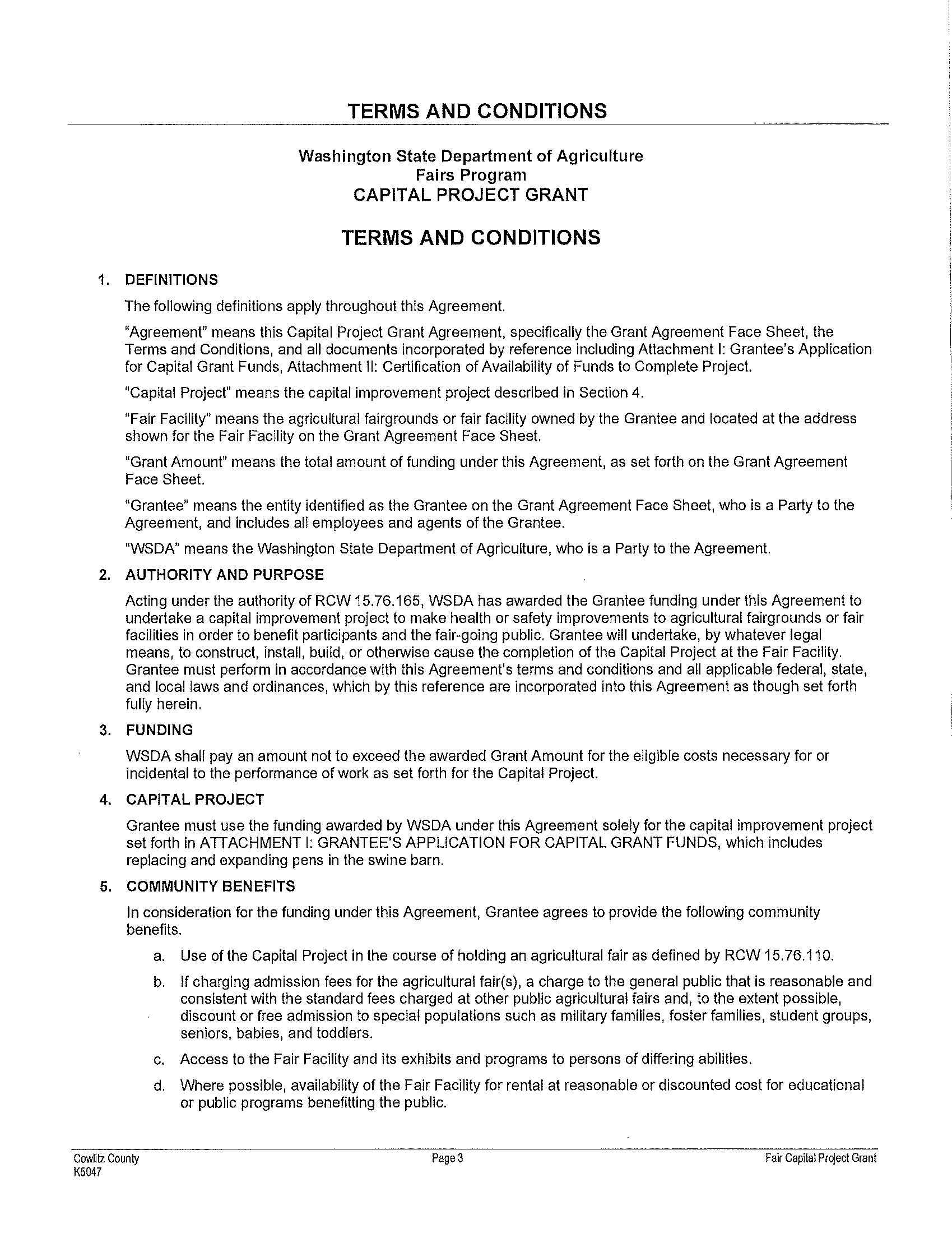
2. Grant Agreement with the Washington State Department of Agriculture Fairs Program Capital Project to provide funding for a capital improvement project to make health or safety improvements to the fairgrounds. The total grant amount is $58,666.49.

3. Grant Agreement with the Washington State Department of Agriculture Fairs Program Capital Project for a capital improvement project to make health or safety improvements to the fairgrounds. The total grant amount is $47,290.50.

4. Interlocal Agreement with Castle Rock to provide a portion of lodging taxes to support the operation costs of tourism promotion. The total amount is $30,000.00.

Resolution

5. Resolution in the matter of Adoption of Official Days and Hours of Public Access to the Cowlitz County Administration Building and Exceptions Thereto.

Page 1 of 3

June 18, 2024, 9:00 a.m.

Correspondence

6. Letters/Notices

a.Letter dated June 18, 2024, to Christian Louderback appointing him to the Fair Board. This is a four-year term that expires October 31, 2028.

b.Letter dated 6/18/2024 to Stephanie Clark-McNally appointing her to the Homeless Housing Task Force. This is a two-year term that expires 6/30/2026.

c.Letter dated 6/18/2024 to Dan Stahl, Chief Executive Officer of the Port of Longview regarding the Port of Longview's Planning and Design Project under Washington State Department of Commerce's General Clean Energy Grant.

d.Affidavit of posting resume for the month of March 2024.

e.Letter date 6/18/2024 to Duane Leaf designating Susan Eugenis, County Engineer, as the 2024 Voting Representative, and Chris Andrews, Senior Engineer, as the alternative for the Three Rivers Regional Wastewater Authority Operating Board.

Vouchers The following vouchers are approved for payment:

7. Contract No.23-026 Amendment No. 1 with Life Works to add funding for the close out of the 23-24 fiscal year to provide for the delivery of developmental disability employment and day services. The total added funding is $287,000, totaling $1,198,400.

8. Contract #23-035 with the Department of Commerce to provide funding for Lower Columbia Community Action Program (LCCAP) for the Meals on Wheels program. The total amount added to the funding is $66,000 ending on June 30, 2025, for a total amount of $133,000.

Page 2 of 3 Regular
Public Meeting
Fund Voucher Numbers Amount Claims 1000017463-1000017464 $ 50.88 Claims 1000056402-1000056492 118,956.12 Claims 1000056400-1000056401 4.39 Claims 1000056155-1000056165 49,853.95 Claims 1000056166-1000056399 371,453.57 Claims 1000017465-1000017539 544,792.57 Special Public District No. 1 5000018130-5000018149 118,180.79 Special Public District No. 1 5000018052-5000018129 38,780.02 Special Public District No. 1 5000002605-5000002623 595,909.58 Special Public District No. 2 7000003808-7000003817 62,259.82 Public Facilities District No. 1 9000000665-9000000671 28,550.87 Payroll 272855-273396 1,278,983.45 Total $3,207,776.01
Health & Human Services
Motion Items

Regular Public Meeting

June 18, 2024, 9:00 a.m.

9. Contract Amendment #23-036 with Lower Columbia Community Action Program (LCCAP) for the Meals on Wheels program. The total increase is $62,500 and shall not exceed $126,000 for the period July 1, 2023, through June 30, 2025.

Updates

Chairman Updates

Upcoming Events:

Wednesday June 19th – Canceled for Juneteenth

 Wednesday June 26th @ 2:30 p.m. – Lower Columbia Fish Recovery Board (LCFRB) –Robert Sudar & 2024 Budget Amendment Review

 Wednesday July 10th @ 2:30 p.m. – ADA Transition Plan

Citizen Comments – Citizen participation may be anonymous. See RCW 42.30.040

RCW 42.30.040 - Conditions of attendance not to be required. A member of the public shall not be required, as a condition to attendance at a meeting of a governing body, to register his or her name and other information, to complete a questionnaire, or otherwise to fulfill any condition precedent to his or her attendance. People may remain anonymous when logging on to Zoom by creating any name and email of their choosing. In a meeting, public comment will be received, either or both, orally (raise hand in Zoom or use *9 on phone) and by writing. Note: Written comments may be sent to the Board at any time. For oral presentations, the Board may set a time for comments and speakers.

All matters listed with the Consent Agenda were previously distributed to each Board Member for reading and study, were available for public viewing, are considered items of regular County business, and will be approved, without separate discussion, by one motion of the Board of County Commissioners. An item may be removed from the Consent Agenda and placed on the Regular Agenda for separate discussion and voting at the request of any Board Member.

The Board of Commissioners may add and take action on other items not listed on this Agenda.

 Agenda Online Address: https://www.co.cowlitz.wa.us/535/Agendas Regular-Public-Meetings

 ZOOM Invitation Address (for all meeting days): o https://us06web.zoom.us/j/82019613917

 KLTV Live Feed Address: http://www.kltv.org

Page 3 of 3

BOCC Agenda

Meeting Date: 06/18/2024

Letter 6/18/24 Duane Leaf, TRRWA designating County Engineer as Cowlitz Voting Representative

Submitted For: Kelly Dombrowsky, Clerk of the Board

Submitted By: Kelly Dombrowsky, Clerk of the Board

Department: Commissioners Office

Subject and Summary Statement

Information

Letter date 6/18/2024 to Duane Leaf appointing Chris Andrews, Senior Engineer as the 2024 County Voting Representative for the Three Rivers Regional Wastwater Authority Operating Board.

Will Staff Attend - NAME OF STAFF

Department Recommendation

Letter

Form Started By: Kelly Dombrowsky

Final Approval Date: 06/11/2024

Attachments

Form Review

Started On: 06/11/2024 02:42 PM

Consent 6. e.
AS-13566

Board of Cowlitz County Commissioners

June 18, 2024

Duane Leaf

Three Rivers Wastewater Authority 467 Fibre Way

Longview, WA 98632

Dear Mr. Leaf,

At the June 18, 2024, Regular Public Meeting, the Board of County Commissions appointed Susan Eugenis, County Engineer, as the 2024 Cowlitz County Voting Representative for the Three Rivers Regional Wastewater Authority (TRRWA) Operating Board, and Chris Andrews, Senior Engineer, as the alternate, effective immediately.

Please let us know if you have any questions.

Sincerely,

Richard R. Dahl, Chairman

Arne Mortensen, Commissioner District 1

Dennis P. Weber, Commissioner District 2

cc: Commissioners’ Records Public Works

Cowlitz

207 North 4th Avenue

cowlitz@cowlitzwa.gov

Kelso, WA 98626 www.co.cowlitz.wa.us

(360)577-3020
423-9987
County Board of Commissioners
Fax (360)
COMMISSIONERS Arne Mortensen, District 1 Dennis P. Weber, District 2 Richard R. Dahl, District 3 CLERK OF THE BOARD Kelly Dombrowsky

Turn static files into dynamic content formats.

Create a flipbook
Regular Public Meeting Agenda 6/18/24 by cowlitzwa.gov - Issuu