
Steve Rader, Commissioner District 1
Steven L. Ferrell, Commissioner District 2
Richard R. Dahl, Commissioner District 3
Kelly Grayson, Clerk of the Board
![]()

Steve Rader, Commissioner District 1
Steven L. Ferrell, Commissioner District 2
Richard R. Dahl, Commissioner District 3
Kelly Grayson, Clerk of the Board
June 10, 2025, 9:00 a.m.
Board Meeting Convenes at 9:00 a.m.
• Invocation by Invitation
• Pledge of Allegiance
• Minutes of June 2-4, 2025
• Consent Agenda of June 10, 2025
• Motion Items
• Special Items
• Public Comments
Citizen Participation may be anonymous. See RCW 42.30.040
1. Interlocal Agreement with Cowlitz Fire District #5 for a $50,000 grant from the Rural Public Facilities fund to build a Fire Training Facility. (14189)
2. Interlocal Agreement with the City of Kalama for a $500,000 grant from the Rural Public Facilities fund for a Water Plant Upgrade. (14190)
3. Interlocal Agreement with the Port of Longview for a $1,000,000 grant from the Rural Public Facilities Fund for the North Rail Capacity Addition Project. (14192)
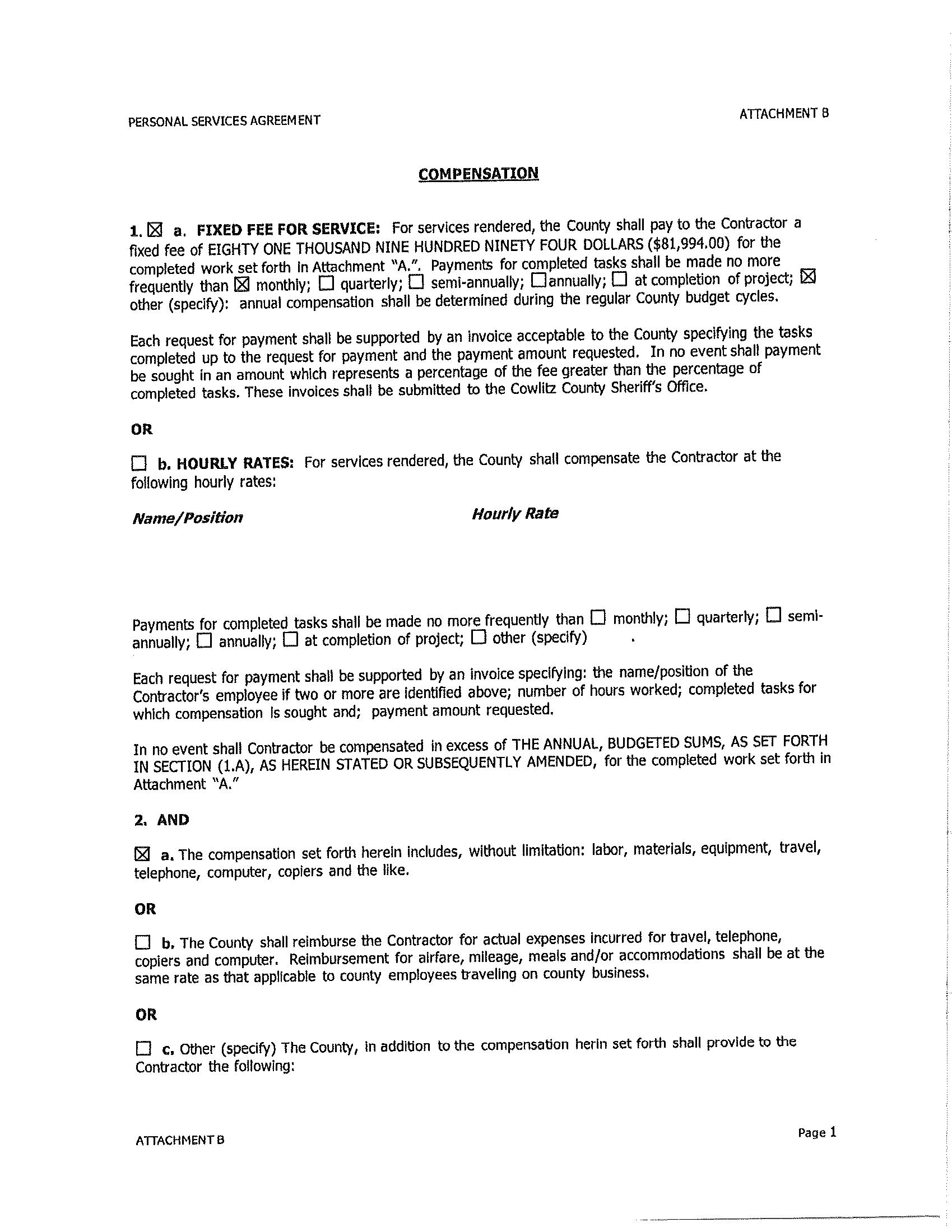
4. Personal Service Agreement with Reliable Admin Solutions for technical support for their Spillman Software program through 2028. The annual cost is $66,000. (14191)
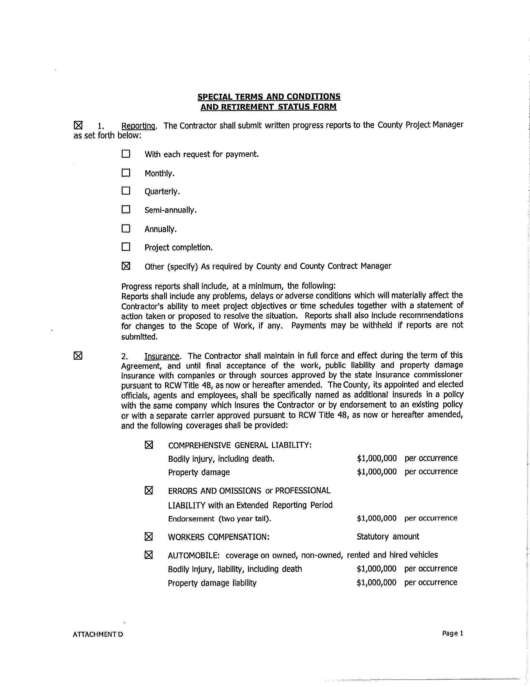
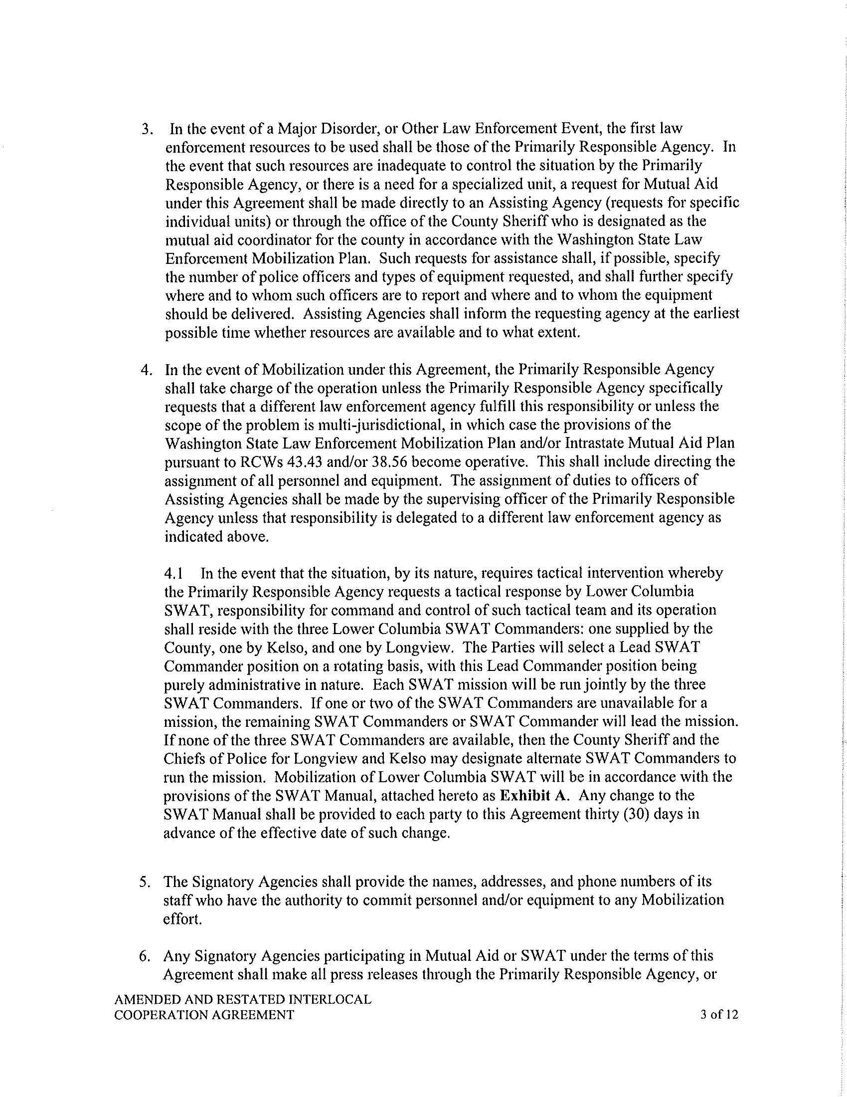
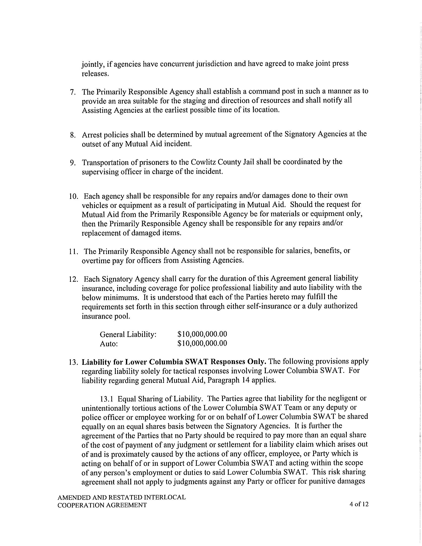
5. Amended and Restated Interlocal Cooperation Agreement for Lower Columbia SWAT (Special Weapons and Tactics) and for Law Enforcement Mutual Aid with the City of Longview, the City of Kelso, and the City of Castle Rock. (14198)
6. Contract Completion Letter to Advanced Electrical Technologies for the as-needed electrical services at the Headquarters Landfill. (14197)
Regular Public Meeting
June 10, 2025, 9:00 a.m.
Board Correspondence
7. Letters/Notices
a. Letter dated 6/10/2025 to Cameron Sueson appointing him to the Board of Equalization. This is a 3-year term that expires on 7/31/2028. (14193)
b. Letter dated 6/10/2025 to Tim Shay appointing him to the Veterans Advisory Board. This is a 4-year term that expires on 10/31/2029. (14194)
c. Letter dated 6/10/2025 to Todd Boze appointing him to the Veterans Advisory Board. This is a 4-year term that expires on 10/31/2029. (14195)
Vouchers
The following vouchers/warrants are approved for payment.
$ 787,658.15
Motion Items
Health & Human Services
8. Agreement with Housing Opportunities of Southwest Washington to provide permanent, supportive housing and case management services at Sunrise Village. The cost reimbursement will not exceed $60,000.00. (14184)
Commissioners
• Gifford Pinchot National Forest Update
June 10, 2025, 9:00 a.m.
Chairman Updates
Upcoming Events:
• Wednesday, June 11th @ 2:30 p.m. – Tiny Home Projects
• Wednesday, June 18th @ 2:30 p.m. – District Court Billing Rates Update
• Tuesday, June 24th @ 10:00 a.m. – Board of Health
Closures/Cancelations
• Thursday, June 19th – Office closed
• Thursday, July 3rd – Office closed
Citizen Comments – Citizen participation may be anonymous. See RCW 42.30.040
RCW 42.30.040 - Conditions of attendance not to be required. A member of the public shall not be required, as a condition to attendance at a meeting of a governing body, to register his or her name and other information, to complete a questionnaire, or otherwise to fulfill any condition precedent to his or her attendance. People may remain anonymous when logging on to Zoom by creating any name and email of their choosing. In a meeting, public comment will be received, either or both, orally (raise hand in Zoom or use *9 on phone) and by writing. Note: Written comments may be sent to the Board at any time. For oral presentations, the Board may set a time for comments and speakers.
All matters listed with the Consent Agenda were previously distributed to each Board Member for reading and study, were available for public viewing, are considered items of regular County business, and will be approved, without separate discussion, by one motion of the Board of County Commissioners. An item may be removed from the Consent Agenda and placed on the Regular Agenda for separate discussion and voting at the request of any Board Member.
The Board of Commissioners may add and take action on other items not listed on this Agenda.
• Agenda Online Address: https://www.co.cowlitz.wa.us/535/Agendas Regular-Public-Meetings
• ZOOM Invitation Address (for all meeting days):
o https://us06web.zoom.us/j/82019613917
• KLTV Live Feed Address: http://www.kltv.org


















































































































































































































































































