
Steve Rader, Commissioner District 1
Steven L. Ferrell, Commissioner District 2
Richard R. Dahl, Commissioner District 3
Kelly Grayson, Clerk of the Board
![]()

Steve Rader, Commissioner District 1
Steven L. Ferrell, Commissioner District 2
Richard R. Dahl, Commissioner District 3
Kelly Grayson, Clerk of the Board
April 14 , 2026, 9:00 a.m.
Board Meeting Convenes at 9:00 a.m.
Invocation by Invitation
Pledge of Allegiance
Minutes of April 6-7, 2026
Proclamation
Consent Agenda of April 14, 2026
o Call for Bids
o Board Correspondence
o Vouchers
Motion Items
Public Hearing Continuation – 9:30 a.m.
Work Session – 10:00 a.m.
Public Comments


ZOOM Link KLTV Link

Phone Option: (253) 215-8782
Webinar ID: 820 1961 3917 Live Stream

Print Agenda
o Citizen Participation may be anonymous. See RCW 42.30.040 Proclamation
Declaring April 2026 as Fair Housing Month in Cowlitz County (14798)
Call for Bids Public Works
1. Call for Bids for the 2026 Countywide Striping Project scheduled for May 11, 2026, at 1:30 p.m. (14795)
Board Correspondence
2. Letters/Notices
a. Signed and Recorded Rescission of Possession and Use Agreement for the Emergency Repair of the failing Sweet Birch Drive Storm Water System. (14796)
b. Retirement Letter dated 4/14/2026 to Sergeant Ryan Cruser, congratulating him on his retirement. (14797)
c. Petition for Establishment of a No Parking Zone at 2425 Kalama River Road, Cowlitz County. (14799)
April 14, 2026, 9:00 a.m.
Vouchers
The following vouchers/warrants are approved for payment.
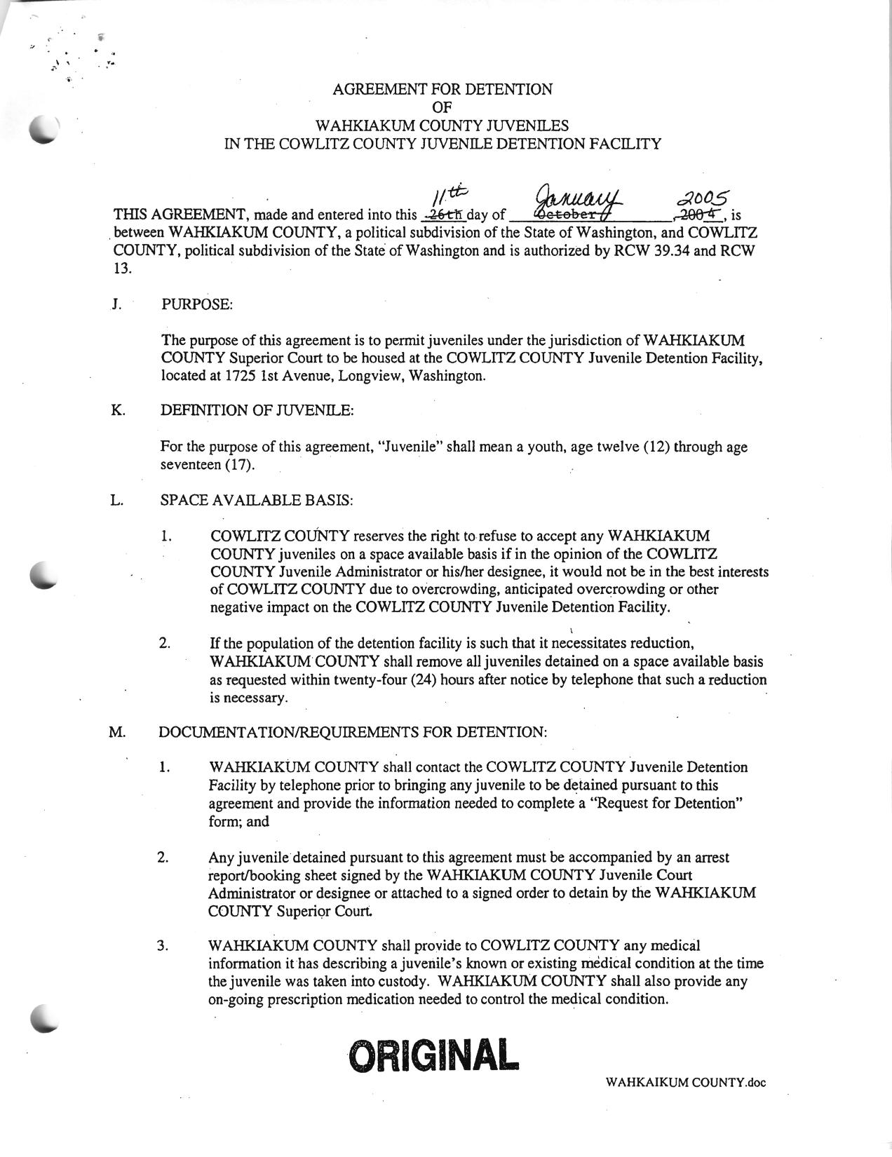
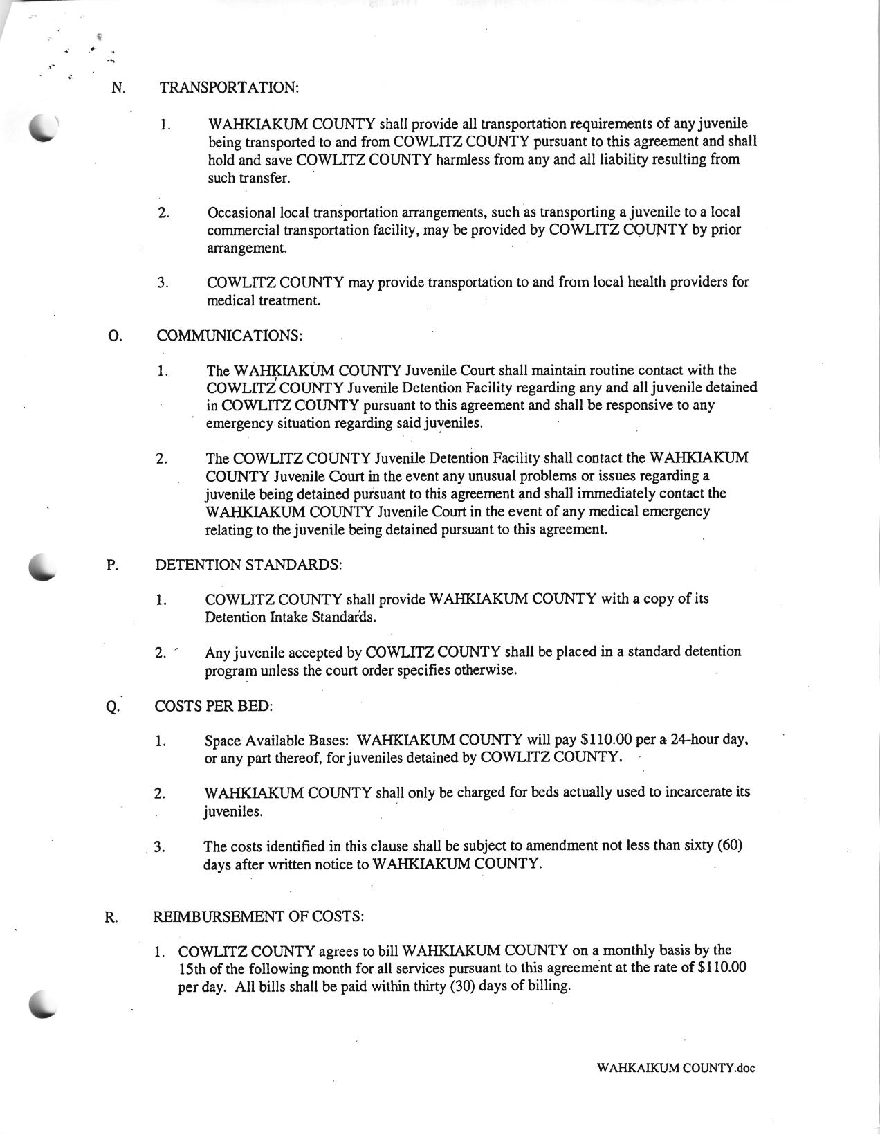
3. Amended Agreement with Wahkiakum County for Juvenile Detention Services to extend the contract period, increase the bed rate, and add new contract language to reflect current standards. The bed rate is $250 per day. (14775)
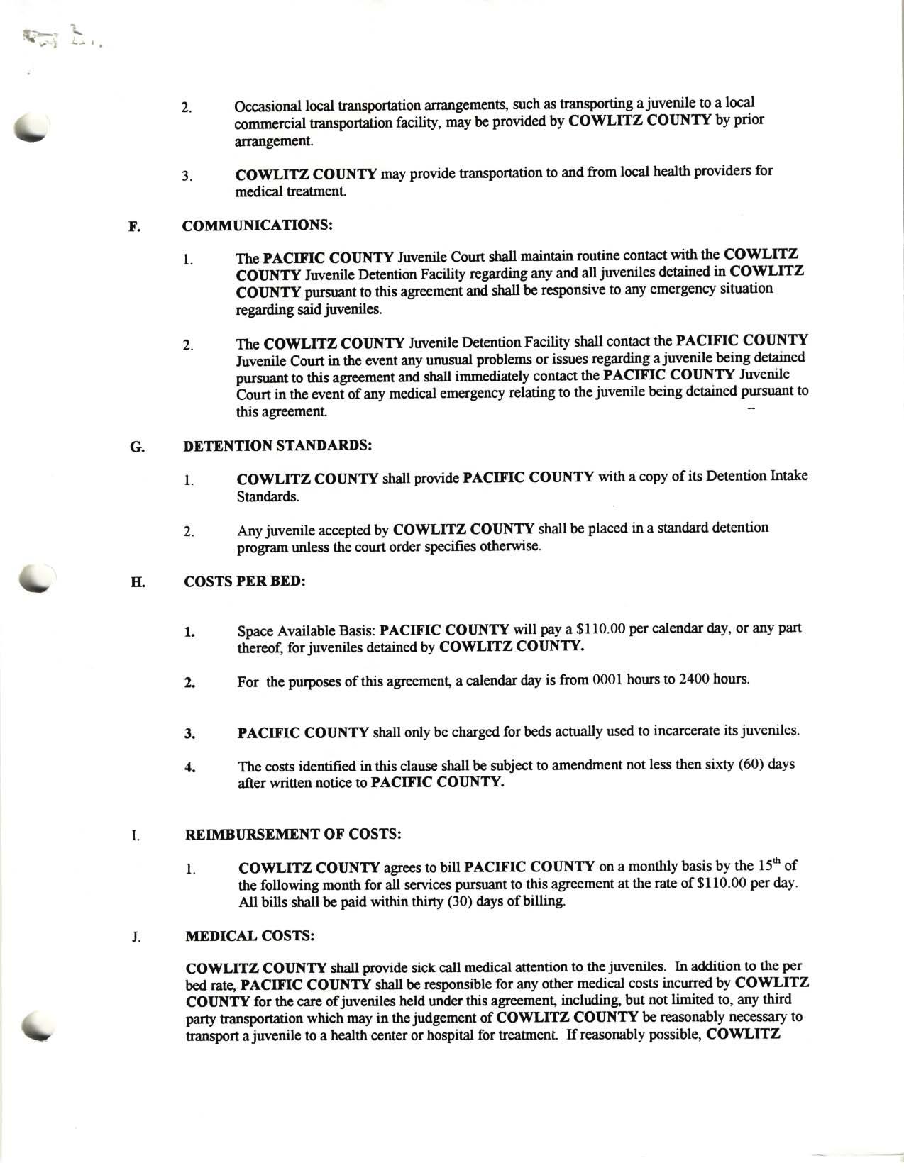
4. Amended Agreement with Pacific County, Washington for Juvenile Detention Services to extend the contract period, increase the bed rate, and add new contract language to reflect current standards. The bed rate is $250 per day. (14776)
Regular Public Meeting
April 14, 2026, 9:00 a.m.
Public Works
5. Resolution/Order Granting a ten (10) year Non-exclusive Telecommunications Franchise to Ziply Fiber for Telecommunication Systems and Appurtenances within the County Rights-of-Way from March 10, 2026. (14735)
Session – 10:00 a.m.
Mount St. Helens Discussion
Cancellations:
Monday, May 25th – Office Closed
Tuesday, May 26th – Meetings canceled Upcoming Meetings:
Tuesday, April 28th @ 10 a.m. – Board of Health
Tuesday, May 5th @ 10 a.m. – Humane Society of SW WA
Tuesday, June 23rd @ 10 a.m. – Department of Ecology
RCW 42.30.040 – Conditions to attendance not to be required. A member of the public shall not be required, as a condition to attendance at a meeting of a governing body, to register his or her name and other information, to complete a questionnaire, or otherwise to fulfill any condition precedent to his or her attendance. People may remain anonymous when logging on to Zoom by creating any name and email of their choosing. In a meeting, public comment will be received, either or both, orally (raise hand in Zoom or use *9 on phone) and by writing. Note: Written comments may be sent to the Board at any time. For oral presentations, the Board may set a time for comments and speakers.
All matters listed with the Consent Agenda were previously distributed to each Board Member for reading and study, were available for public viewing, are considered items of regular County business, and will be approved, without separate discussion, by one motion of the Board of County Commissioners. An item may be removed from the Consent Agenda and placed on the Regular Agenda for separate discussion and voting at the request of any Board Member.
The Board of Commissioners may add and take action on other items not listed on this Agenda.
Agenda Online Address: https://www.co.cowlitz.wa.us/535/Agendas Regular-Public-Meetings
ZOOM Invitation Address (for all meeting days):
o https://us06web.zoom.us/j/82019613917
KLTV Live Feed Address: http://www.kltv.org
BOCC Agenda
Meeting Date: 04/14/2026
Proclamation Declaring April 2026 Fair Housing Month in Cowlitz County
Submitted For: Kelly Grayson, Clerk of the Board
Submitted By: Kelly Grayson, Clerk of the Board
Department: Commissioners Office
Subject and Summary Statement
Information
Proclamation Declaring April 2026 Fair Housing Month in Cowlitz County.
Will Staff Attend - NAME OF STAFF
Department Recommendation
Proclamation
Form Started By: Kelly Grayson
Final Approval Date: 04/07/2026
Form Review
Started On: 04/07/2026 03:15 PM

In the Matter of declaring April 2026as)
Fair Housing Month in Cowlitz County)
WHEREAS On April 11, 1968, the Fair Housing Act was enacted into law, recognizing that no American should have their right to purchase or rent shelter of choice abridged because of race, color, religion, sex, handicap, familial status, national origin, sexual orientation, or gender identity. .
WHEREAS Cowlitz County is committed to the mission and intent of Congress to provide fair and equal housing opportunities for all; and
WHEREAS equality of opportunity for all is a fundamental policy of this nation and our state and our community; and
WHEREAS the location that people live has a direct impact on the quality of their health, education, and access to economic opportunities; and
WHEREAS Discriminatory housing practices create racial and economic segregation in communities that can lead to disparate outcomes in overall quality of life; and
WHEREAS Cowlitz County believes that access to fair housing laws have made our communities stronger and more vibrant in Washington State; and
WHEREAS we are committed to programs that will help educate the public about the right to equal housing in the State of Washington; and
WHEREAS we are committed to promoting housing choices and fostering inclusive communities free from housing discrimination
NOW THEREFORE, BE IT RESOLVED, that Cowlitz County celebrate and Proclaim the Month of April 2026 as Fair Housing Month and thank the many people in our communities who aspire to open the doors of opportunity of housing to all people free from any discrimination.
Board of County Commissioners Of Cowlitz County, Washington
ATTEST:
Kelly Grayson, Clerk of the Board
Richard R. Dahl, Chairman
Steve Rader, Commissioner
Steven L. Ferrell, Commissioner
Meeting Date: 04/14/2026
CALL FOR BIDS - 2026 Countywide Pavement Striping - Project No. 2066-26
Submitted For: Susan Eugenis, Public Works
Submitted By: Emilie Cochrane, Public Works Department: Public Works
Subject and Summary Statement
Attached are the necessary documents to issue the call for bids for the 2026 Countywide Striping Project. The project consists of the installation of paint lines on existing pavement. The County stripes roadways annually to help promote driver safety.
Will Staff Attend - NAME OF STAFF or No yes
It is the recommendation of the Department of Public Works that the Board move to approve the call for bids, set the bid opening for May 11, 2026, at 1:30 p.m. and publish the Call for Bids in the usual manner.
Expenditure Required $: 1,224,300
Budget Sufficient Y-N: Y Amendment Required Y-N: N
Source of Funds - What Dept ? : Roads Grant Y-N: N
Call for Bids Notice to Contractors
Inbox
Roger Maurer
Susan Eugenis
Mike Moss, Public Works
Form Started By: Emilie Cochrane
Reviewed By Date
Roger Maurer 04/06/2026 12:19 PM
Susan Eugenis 04/07/2026 02:54 PM
Mike Moss 04/07/2026 03:25 PM
Started On: 04/06/2026 09:14 AM
The Board of County Commissioners of Cowlitz County, Washington will receive sealed bids until May 11, 2026, prior to 1:30 p.m., for the following work: 2026 COUNTYWIDE PAVEMENT STRIPING PROJECT.
Work performed under this contract consists of the following:
Installation of paint lines on existing pavement in Cowlitz County. This project will complete the striping listed in the 2026 Pavement Striping Schedule in Appendix A, to be seasonally suspended, and to then complete striping as listed in a 2027 Pavement Striping Schedule to be issued by the County in 2027. Following completion of the 2026 striping portion, contract time will be suspended until 2027.
At that time all bids will be publicly opened and read in the Public Works Administration Building Training Room. Bids must be addressed to:
Cowlitz County Department of Public Works
Attn: County Engineer
1600 13th Avenue South Kelso WA 98626
Project bid documents (Plans, specifications, addenda, bid documents, bidders list and plan holders list) for this project are available online for inspection during the bidding period through the Builders Exchange of Washington (BXWA) website at www.bxwa.com. Click on Posted Projects, then Public Works, then Cowlitz County and then Projects Bidding. These documents are available for viewing, downloading and printing on your own equipment free of charge. This service is provided to Prime Bidders, Subcontractors, and Vendors bidding on this project. Bidders will need to “Register as a Bidder” through the BXWA in order to receive automatic e-mail notification of future addenda and to be placed on the Bidders List. Bidders should contact Builder’s Exchange of Washington at (425) 258-1303 for questions regarding access or registration.
It is the sole responsibility of the Bidder to obtain Addenda, if any. Addenda information will be available on the BXWA web site at www.bxwa.com. Cowlitz County accepts no responsibility or liability and will provide no accommodation to bidders who fail to check for addenda and thereby submit inadequate or incomplete responses.
Cowlitz County will not provide paper copies of the Project bid documents for this project for bidding purposes. A copy of the plans and specifications may be reviewed at the office of the Clerk of the Board of County Commissioners.
All bid proposals shall be accompanied by a bid proposal deposit in cash, certified check, cashier’s check, or surety bond in an amount equal to five percent (5%) of the amount of such bid proposal. Should the successful bidder fail to enter into such contract and furnish
satisfactory performance bond within the time stated in the specifications, the bid proposal deposit shall be forfeited to Cowlitz County.
All documents received in response to this invitation to bid will become a matter of public record and subject to the Washington public disclosure act under chapter 42.56 RCW.
In accordance with RCW 39.34.030, other public agencies may contract with the successful bidder with the unit prices in this Contract, provided that the successful bidder is willing.
Cowlitz County, in accordance with the provisions of Title VI of the Civil Rights Act of 1964 (78 Stat. 252, 42 U.S.C. 2000d to 2000d-4) and the Regulations, hereby notifies all bidders that it will affirmatively ensure that in any contract entered into pursuant to this advertisement, disadvantaged business enterprises will be afforded full and fair opportunity to submit bids in response to this invitation and will not be discriminated against on the grounds of race, color, or national origin in consideration for an award.
The Board reserves the right to reject any and all bids and to waive any immaterial irregularities or informalities in any bid or in the bidding.
DATED this ________ day of _______________, 2026.
BOARD OF COUNTY COMMISSIONERS OF COWLITZ COUNTY, WASHINGTON
Richard R. Dahl, Chairman
Steve Rader, Commissioner
Steven L. Ferrell, Commissioner
ATTEST:
Kelly Grayson, Clerk of the Board
The Board of County Commissioners of Cowlitz County, Washington will receive sealed bids until May 11, 2026, prior to 1:30 p.m., for the following work: 2026 COUNTYWIDE PAVEMENT STRIPING PROJECT.
Work performed under this contract consists of the following:
Installation of paint lines on existing pavement in Cowlitz County. This project will complete the striping listed in the 2026 Pavement Striping Schedule in Appendix A, to be seasonally suspended, and to then complete striping as listed in a 2027 Pavement Striping Schedule to be issued by the County in 2027. Following completion of the 2026 striping portion, contract time will be suspended until 2027.
At that time all bids will be publicly opened and read in the Public Works Administration Building Training Room. Bids must be addressed to:
Cowlitz County Department of Public Works
Attn: County Engineer
1600 13th Avenue South Kelso WA 98626
Project bid documents (Plans, specifications, addenda, bid documents, bidders list and plan holders list) for this project are available online for inspection during the bidding period through the Builders Exchange of Washington (BXWA) website at www.bxwa.com. Click on Posted Projects, then Public Works, then Cowlitz County and then Projects Bidding. These documents are available for viewing, downloading and printing on your own equipment free of charge. This service is provided to Prime Bidders, Subcontractors, and Vendors bidding on this project. Bidders will need to “Register as a Bidder” through the BXWA in order to receive automatic e-mail notification of future addenda and to be placed on the Bidders List. Bidders should contact Builder’s Exchange of Washington at (425) 258-1303 for questions regarding access or registration.
It is the sole responsibility of the Bidder to obtain Addenda, if any. Addenda information will be available on the BXWA web site at www.bxwa.com. Cowlitz County accepts no responsibility or liability and will provide no accommodation to bidders who fail to check for addenda and thereby submit inadequate or incomplete responses.
Cowlitz County will not provide paper copies of the Project bid documents for this project for bidding purposes. A copy of the plans and specifications may be reviewed at the office of the Clerk of the Board of County Commissioners.
All bid proposals shall be accompanied by a bid proposal deposit in cash, certified check, cashier’s check, or surety bond in an amount equal to five percent (5%) of the amount of such bid proposal. Should the successful bidder fail to enter into such contract and furnish
satisfactory performance bond within the time stated in the specifications, the bid proposal deposit shall be forfeited to Cowlitz County.
All documents received in response to this invitation to bid will become a matter of public record and subject to the Washington public disclosure act under chapter 42.56 RCW.
In accordance with RCW 39.34.030, other public agencies may contract with the successful bidder with the unit prices in this Contract, provided that the successful bidder is willing.
Cowlitz County, in accordance with the provisions of Title VI of the Civil Rights Act of 1964 (78 Stat. 252, 42 U.S.C. 2000d to 2000d-4) and the Regulations, hereby notifies all bidders that it will affirmatively ensure that in any contract entered into pursuant to this advertisement, disadvantaged business enterprises will be afforded full and fair opportunity to submit bids in response to this invitation and will not be discriminated against on the grounds of race, color, or national origin in consideration for an award.
The Board reserves the right to reject any and all bids and to waive any immaterial irregularities or informalities in any bid or in the bidding.
DATED this 14th day of April, 2026.
PUBLISHED:
PUBLICATION REQUIREMENT: To be published in two issues prior to May 5, 2026.
BILLING INFORMATION:
1) AFFIDAVIT TO: Cowlitz County Commissioners Attn: Clerk of the Board
2) AFFIDAVIT and BILL TO: Cowlitz County Department of Public Works
P.O. 01050 1600 – 13th Avenue South Kelso, WA 98626
AS-14796 a. BOCC Agenda
Meeting Date: 04/14/2026
RECISSION OF POSSESSION AND USE AGREEMENT - Sweet Birch Drive Emergency - Project No. 2175 - Ryan and Shantina Ellis
Submitted For: Susan Eugenis, Public Works
Department: Public Works
Subject and Summary Statement
Submitted By: Emilie Cochrane, Public Works
Information
A Possession and Use Agreement was acquired on October 6, 2026, for an emergency repair of the failing Sweet Birch Drive storm water system. The October 6, 2026, Agreement encompassed the owner’s entire parcels and was rescinded to release the remaining property not part of the acquired Easements.
Will Staff Attend - NAME OF STAFF or No
Yes
Department Recommendation
It is the recommendation of the Department of Public Works that the Board acknowledge the Rescission of Possession and Use Agreement, recorded on March 26, 2026, AFN 3786997 for the Commissioners official record.
Rescission Possession and Use Agreement Vicinity Map
Inbox
Susan Eugenis
Mike Moss, Public Works
Form Started By: Emilie Cochrane
Reviewed By Date
Susan Eugenis
Mike Moss
04/07/2026 02:52 PM
04/07/2026 03:25 PM
Started On: 04/06/2026 01:17 PM









Meeting Date: 04/14/2026
Retirement Letter date 4/17/26 to Ryan Cruser
Submitted For: Kelly Grayson, Clerk of the Board
Submitted By: Kelly Grayson, Clerk of the Board
Department: Commissioners Office
Subject and Summary Statement
Information
Retirement Letter dated 4/14/2026 to Sergeant Ryan Cruser, congratulating him on his retirement.
Will Staff Attend - NAME OF STAFF
Department Recommendation
Letter
Form Started By: Kelly Grayson
Final Approval Date: 04/07/2026
Form Review
Started On: 04/07/2026 03:12 PM

April 14, 2026
Sergeant Cruser
Dear Sergeant Cruser,
Commissioners
Steve Rader, Commissioner District 1
Steven L. Ferrell, Commissioner District 2
Richard R. Dahl, Commissioner District 3
Kelly Grayson, Clerk of the Board
Congratulations on your retirement! The Board of County Commissioners would like to extend our best wishes as you leave your position in the Sheriff's Office.
We appreciate your dedication and endeavors over the past 30 years. Your faithful service to the County is commendable.
We wish you the best of luck as you revel in your life of leisure. Take advantage of all that life has to offer!
Sincerely,
Board of County Commissioners Of Cowlitz County, Washington
Richard R. Dahl, Chairman
Steve Rader, Commissioner District 1
Steven L. Ferrell, Commissioner District 2
cc: Commissioner’s Record
Cowlitz County Board of Commissioners (360)577-3020
207 North 4th Avenue
cowlitz@cowlitzwa.gov
Kelso, WA 98626
www.co.cowlitz.wa.us
AS-14799
BOCC Agenda
Meeting Date: 04/14/2026
Petition No Parking Zone Kalama River Road
Submitted For: Kelly Grayson, Clerk of the Board
Submitted By: Kelly Grayson, Clerk of the Board
Department: Commissioners Office
Subject and Summary Statement
Information
Petition for Establishment of a No Parking Zone at 2425 Kalama River Road, Cowlitz County.
Will Staff Attend - NAME OF STAFF
Department Recommendation
Petition Form Review
Form Started By: Kelly Grayson
Final Approval Date: 04/08/2026
Started On: 04/08/2026 07:42 AM




BOCC Agenda
Meeting Date: 04/14/2026
Wahkiakum County Detention Service Agreement
Submitted For: Ashley White
Submitted By: Ashley White Department: Juvenile Probation
Information
Subject and Summary Statement
Attached is an amended agreement with Wahkiakum County , Washington for juvenile detention services. The intent is to continue services that have been in place since 2005. To date, there have been 3 amendments to the original contract (2005). This amendment extends the contract period, increases the bed rate, and adds new contract language to reflect current standards.
Will Staff Attend - NAME OF STAFF
Yes, George Moya
Department Recommendation
Our department is respectfully recommending the Board move to approve this agreement. An approval will increase revenue to the general fund.
Expenditure Required $: 0
Budget Sufficient Y-N: N/A
Amendment Required Y-N: N
Source of Funds - What Dept ? : Wahkiakum
Grant Y-N: N
Wahkiakum Contract Wahkiakum Contract New Letter
Wahkiakum Letter PA Wahkiakum Letter Sheriff
Form Started By: Ashley White
Final Approval Date: 04/02/2026
Started On: 03/20/2026 04:24 PM









BOCC Agenda
Meeting Date: 04/14/2026
Pacific County Detention Service Agreement
Submitted For: Ashley White
Submitted By: Ashley White Department: Juvenile Probation
Information
Subject and Summary Statement
Attached is an amended agreement with Pacific County, Washington for juvenile detention services. The intent is to continue services that have been in place since 1999. To date, there have been 4 amendments to the original contract (1999). This amendment extends the contract period, increases the bed rate, and adds new contract language to reflect current standards.
Will Staff Attend - NAME OF STAFF
Yes, George Moya
Department Recommendation
Our department is respectfully recommending the Board move to approve this agreement. An approval will increase revenue to the general fund.
Expenditure Required $: 0
Budget Sufficient Y-N: N/A
Amendment Required Y-N: N
Source of Funds - What Dept ? : PACIFIC COUNTY
Grant Y-N: N
Pacific County Contract Pacific County Original Contract Letter
Form Started By: Ashley White
Started On: 03/23/2026 01:45 PM Final Approval Date: 04/02/2026






BOCC Agenda
Meeting Date: 04/14/2026
9:30 A.M. PUBLIC HEARING: RESOLUTION: Order Granting a 10-year Non-Exclusive Telecommunications Franchise - Ziply Fiber Northwest, LLC
Submitted For: Susan Eugenis, Public Works
Department: Public Works
Subject and Summary Statement
Submitted By: Emilie Cochrane, Public Works
Information
Ziply Fiber has requested a ten (10) year non-exclusive telecommunications franchise to use certain roads, streets, avenues, rights-of-way and other county properties for the construction, operation, and maintenance of telecommunication facilities and appurtenances over, in, along, across, and under County public rights-of-way within the boundaries of unincorporated Cowlitz County, Washington, for the prupose of underground telecomminications.
Will Staff Attend - NAME OF STAFF or No
Yes
Department Recommendation
It is the recommendation of the Department of Public Works that the Board open the hearing as scheduled and move to execute the Resolution/Order Granting a ten (10) year Non-exclusive Telecommunications Franchise to Ziply Fiber for telecommunication systems and appurtenances within the County Rights-of-Way.
Order Granting Franchise
Inbox
Susan Eugenis
Mike Moss, Public Works
Form Started By: Emilie Cochrane
Final Approval Date: 03/10/2026
Reviewed By Date
Susan Eugenis
Mike Moss
03/03/2026 05:23 PM
03/10/2026 09:15 AM
Started On: 03/03/2026 03:06 PM
In the matter of a Non-Exclusive Franchise to ) RESOLUTION NO. _____________ ZIPLY FIBER NORTHWEST, LLC, d/b/a ZIPLY FIBER ) to construct, operate and maintain ) Telecommunications Facilities on Cowlitz ) ORDER GRANTING A County rights-of-way for Telecommunications ) NON-EXCLUSIVE Service; setting forth conditions accompanying ) TELECOMMUNICATIONS a grant of a Non-Exclusive Franchise; and ) FRANCHISE providing for County administration and ) regulation of said Franchise. )
WHEREAS, ZIPLY FIBER NORTHWEST, LLC, d/b/a ZIPLY FIBER (hereinafter ZIPLY FIBER), is a foreign limited liability company, and is requesting access to Cowlitz County rights-of-way for telecommunications, which access can be provided with a non-exclusive franchise to use certain roads, streets, avenues, highways, alleys, rights-of-way and other county properties for the installation, construction, erection, repair, maintenance, operation, relocation and removal of such “Telecommunications Facilities,” which may include all cables, wires, conduits, ducts, pedestals, vaults/hand holes, and any associated converter, equipment or other facilities within the County rights-of-way, for the purpose of providing “Telecommunications Service” and associated services utilizing said Telecommunications Facilities; and
WHEREAS, chapter 36.55 RCW and Cowlitz County Code (CCC) chapters 12.21, 12.26, 12.55, 16.15, and 16.31, and including County Road and Street Design Standards and Accommodation of Utilities in County Road Right of Way, address the regulatory requirements for review and granting of franchises by the County; and
WHEREAS, said request has come on regularly for hearing before the Board of County Commissioners of Cowlitz County, Washington on the 10th day of March 2026, at the hour of 9:30 o'clock, and notice of this hearing having been duly published on the 17th day of February, 2026, and the 21st, day of February, 2026, in the official newspaper of Cowlitz, County, Washington;
NOW, THEREFORE, BE IT ORDERED by the Board of County Commissioners of Cowlitz County, Washington, that a franchise be and the same is hereby given and granted to ZIPLY FIBER upon the following expressed terms and conditions, to-wit:
1.1 Definitions. Terms as used throughout this Franchise shall have the same meanings and intent as set forth in Cowlitz County Code (“CCC”) chapters 12.21, 12.26, 12.55, 16.15, and 16.31, and including County Road and Street Design Standards and Accommodation of Utilities in County Road Right of Way. Words used in this Franchise whose meanings and intent cannot be
drawn from the above-noted County legislation shall be given their common and ordinary meaning.
1.2 Grant of Franchise. Cowlitz County, a Washington municipal corporation and subdivision of the State (hereinafter "County") hereby grants ZIPLY FIBER, (hereinafter "Grantee"), a non-exclusive Franchise for the construction, operation, and maintenance of Telecommunications Facilities within the rights-of-way of unincorporated Cowlitz County. The following conditions shall apply to the Franchise granted herein:
A. The Franchise granted shall not convey any right, title or interest in the rights-of-way but shall be deemed a Franchise only to use and occupy the rights-of-way for the limited purposes and term stated herein. The Franchise shall not convey any right, title, or interest in rights-of-way that the County has an interest in only through agreement and does not possess an easement in the right-of-way.
B. The Franchise granted shall not authorize or excuse Grantee from securing such further easements, leases, permits or other approvals as may be required to lawfully occupy and use the rights-of-way
C. The Franchise granted shall not be construed as any warranty of title or interest in any right-of-way; it does not provide the Grantee with any interest in any particular location within the right-of-way; and it does not confer rights other than as expressly provided in the grant hereof.
D. No act, event, occurrence or thing shall give Grantee any rights to occupy or use the rights-of-way permanently nor shall operate as an estoppel against the County.
E. This Franchise is granted subject to the terms and conditions contained in CCC chapters 12.21, 12.26, 12.55, 16.15, and 16.31, and including County Road and Street Design Standards and Accommodation of Utilities in County Road Right of Way, hereinafter "Regulations," as they are now written or as later amended, which shall apply in addition to the provisions of this Franchise. Provisions of the Regulations shall control over inconsistent terms contained in this Franchise; provided, however, that Section 3.2 of this Franchise, "Release, Indemnity and Hold Harmless," shall control for this Franchise over inconsistent provisions of the Regulations as they are currently adopted. When in conflict with the terms of the Regulations, the express terms of this Franchise will control.
F. The matters contained in Grantee's franchise request and all subsequent requests or proposals for extensions or renewals of this Franchise, except as inconsistent with law, regulations or local polices, are hereby incorporated by reference.
G. Grantee shall comply with all applicable service quality and continuity requirements of state and federal law, including regulatory requirements of the WUTC, which are applicable to Grantee and its Telecommunications Services.
H. This grant of authority is for the installation, maintenance and operation of Grantee’s Telecommunications Facilities in, upon, over, under, along and across rights-of-way in the Franchise territory for purposes of Telecommunications Service and shall be limited solely to those services expressly described and no others. “Telecommunications Service” shall mean any telecommunications service, telecommunications capacity, or dark fiber, provided by the Grantee using its Facilities, either directly or as a carrier for its affiliates, or any other person engaged in Telecommunications Services, including, but not limited to, the transmission of voice,
data or other electronic information, facsimile reproduction, burglar alarm monitoring, meter reading and home shopping, or other subsequently developed technology that carries a signal over fiber optic cable. Telecommunications Service shall also include non-switched, dedicated and private line, high-capacity fiber optic transmission services to firms, businesses or institutions within the County and other lawful services not prohibited by this Resolution. However, Telecommunications Service shall not include the provision of “cable services”, as defined by 47 U.S.C. §522, as amended, for which a separate franchise would be required. In the event of any ambiguity, this Franchise agreement shall be strictly construed as to the rights granted herein.
1.3 Term of Franchise. The term of this non-exclusive Franchise shall be ten (10) years (“Initial Term”).
1.4 Non-Exclusive Franchise. The Franchise granted herein shall be non-exclusive. The County specifically reserves the right to grant, at any time, such rights, permits, licenses and/or franchises to other Persons to use the rights-of-way for similar or different purposes allowed hereunder as the County deems appropriate. Subject to this Franchise, Grantee shall not prevent or prohibit the County from constructing, altering, maintaining or using any of said rights-of-way, or affect its jurisdiction over them or any part of them, the County having full power and authority to make all necessary changes, relocation, repairs, or maintenance of said rights-ofway as the County deems appropriate.
1.5 Renewal Determinations. Should Grantee want to renew its franchise with the County, within 180 business days after receiving a complete application for renewal, the Board shall present the franchise request at public hearing for a determination on behalf of the County granting or denying the renewal application in whole or in part. If the renewal application is denied, the Franchise and the County’s permission to Grantee to occupy and use its rights-ofway shall cease, and no implied contract shall arise between the parties, and unless otherwise agreed by the County, Grantee shall promptly remove all of its facilities as required under the terms of this Franchise and aforementioned County Code and Road and Street Design Standards.
1.6 Obligation to Cure as a Condition of Renewal. This Franchise shall not be renewed until any ongoing violations or defaults in Grantee's performance of this Franchise, of the requirements of the Regulations, and all other applicable laws, statutes, codes, regulations, policies, rules and regulations have been cured, or a plan detailing the corrective action to be taken by Grantee has been approved by the Administrator. Failure to comply with the terms of an approved plan shall be grounds for non-renewal or immediate revocation of this Franchise.
1.7 Franchise Territory. The Franchise territory shall be that territory set out in Exhibit A attached hereto and made a part hereof. The Franchise granted herein does not give or grant to Grantee the right, privilege or authority to install Telecommunications Facilities at any other location within the County.
1.8 Amendment of Franchise for Territory Changes. Should Grantee not be able to install Telecommunications Facilities along the Franchise territory, Grantee shall request from the
County, in writing, a deviation from the territory set out in Exhibit A. If Grantee desires to extend or locate its Telecommunications Facilities in rights-of-way which are not included in this Franchise, Grantee shall apply in writing for an amendment to the Franchise. If the County orders Grantee to locate or relocate its Telecommunications Facilities in rights-of-way not included in this Franchise, the County shall grant a Franchise amendment for the territory change without further application.
1.9 Right to Require Removal of Property. At the expiration of this Franchise, and if Grantee has not obtained a new Franchise from the County, the County shall have the right to require Grantee to remove all or any part of Grantee's Telecommunications Facilities under this Franchise from the rights-of-way and restore the affected area, all at Grantee's expense. For purposes of this Franchise, “restore” shall mean to remove all Franchise improvements and return the affected area to its original or better condition. Removal and restoration shall be to the satisfaction of the County Engineer. If Grantee fails to do so, the County may perform the work or cause it to be done and collect the cost thereof from Grantee. The actual cost thereof, including direct and indirect administrative costs, shall be a lien upon all property of Grantee effective upon filing of the lien with the Cowlitz County Auditor.
2.1 Construction or Alteration.
A. Telecommunications Facilities shall be constructed, operated and maintained in accordance with this Franchise and all applicable Federal, State and County codes, rules and regulations, including, but not limited to the Regulations. Grantee shall comply with all lawful County policies, resolutions and regulations regarding the acquisition of permits and/or such other items as may be required in order to construct, operate, and maintain its Telecommunications Facilities. Grantee shall pay to the County all reasonable costs of granting or enforcing the provisions of this Franchise including, but not limited to, County fees related to the issuance of utility permits.
B. Grantee shall not construct, maintain, repair, relocate or remove its Telecommunications Facilities within the rights-of-way without obtaining a utility permit. Applications for utility permits to construct Grantee's Telecommunications Facilities shall be in compliance with the provisions of the Regulations.
C. Within limits reasonably related to the County's role in protecting public health, safety and welfare, the County may require that Telecommunication Facilities be installed at a particular time, at a specific place or in a particular manner as a condition of access to a particular Right-of Way; may deny access if Grantee is not willing to comply with County's requirements; and may remove, or require removal of, any facility that is not installed in compliance with the requirements established by the County, and may require Grantee to cooperate with others to minimize adverse impacts on the rights-of-way through joint trenching and other arrangements.
2.2 Non-Interference. In installing, constructing, operating, repairing, and maintaining its Telecommunications Facilities, Grantee shall not interfere with the use of the rights-of-way by the County, by the general public or other Persons authorized to use or be present in or upon the
rights-of-way. Work in the right-of-way, on other public property, near public property, or on or near private property shall be done in a manner that causes the least interference with the rights and reasonable convenience of property owners and residents. Grantee's Telecommunication Facilities shall be constructed and maintained in such manner as not to interfere with any other pipes, wires, conduits, pedestals, structures, or other facilities that may have been laid in the rights-of-way by, or under, the County's authority. In the event of such interference, the County may require the removal or relocation of Grantee's Telecommunication Facilities from the property in question at Grantee's expense.
2.3 Construction Schedule and Notice of Work. Unless otherwise provided herein, Grantee or any Person acting on Grantee's behalf shall comply with the notice provisions set out in this Franchise and the Regulations.
2.4 Traffic Control. Grantee shall comply with the traffic control provisions set out in the Regulations.
2.5 Relocation or Removal of Telecommunications Facilities. In the relocation or removal of Grantee's Telecommunications Facilities, Grantee shall comply with the Regulations and directives of the Department of Public Works (hereinafter “Department”), by and through the County Engineer. Pursuant to
2.6 Consistency with Designated Use. Notwithstanding this Franchise to use County rights-of-way, no right-of-way shall be used by Grantee if the County determines that such use is inconsistent with the terms, conditions or provisions by which such right-of-way was created or dedicated, or presently used under State and local laws.
2.7 Restoration of rights-of-way. Grantee shall comply with the restoration of rights-ofway conditions set out in this Franchise and Regulations and directives of the Department.
2.8 Restoration of Improvements. Upon completion of any construction work, Grantee shall make restoration in accordance with this Franchise and Regulations and directives of the Department.
2.9 rights-of-way and Other Public Property. Grantee shall warrant any restoration work performed by or for Grantee in the right-of-way or on other public property for one (1) year. If restoration is not satisfactorily performed by the Grantee within a reasonable time, the County may, after 48 hours prior notice to the Grantee, or without notice where the disturbance or damage may create a risk to public health or safety, cause the repairs to be made and recover the cost of those repairs from the Grantee. Within 30 days of receipt of an itemized list of those costs, including the costs of labor, materials and equipment, Grantee shall pay the County.
2.10 Telecommunications Facilities Maps. Grantee shall provide the County with Telecommunications Facilities maps in accordance with this Franchise and Regulations and requests of the Department.
2.11 As-Built Drawings. If an Engineer's Certification is requested and required in furtherance of the Regulations, then Grantee shall provide as-built drawings in accordance with the requests of the Department.
2.12 Administration Fees. In consideration of the privileges granted by this Franchise, and in addition to applicable permitting and franchising fees and costs for issuance of this Franchise, Grantee shall pay to Cowlitz County its franchise-administration fees and costs as the County may from time to time incur during the term of this Franchise. Grantee shall pay such fees and costs as specified in the billings of the Department, upon not more than thirty (30) days after mailing of billing.
2.13 Damage to Grantee's Telecommunications Facilities. To the extent permitted by Washington law, the County shall not be liable for any damage to or loss of any of Grantee's Telecommunications Facilities or any interruption in Telecommunications Services within the rights-of-way as a result of or in connection with any emergency removal or relocation, public works, public improvements, construction, excavation, grading, filling, or work of any kind in the rights-of-way by or on behalf of the County or any Person under contract with the County, except for damage caused by the negligence or willful misconduct of the County, including, but not limited to, damages, losses, or liability arising from the issuance or approval by the County of a permit, license or franchise to any third party.
2.14 Location of Telecommunications Facilities. All Telecommunications Facilities shall be constructed, installed, and located in accordance with this Franchise and Regulations and directives of the Department. Consistent with any general County undergrounding policy or program now or hereafter developed, the County may require Grantee's participation in Countyimposed undergrounding or related requirements at Grantee's expense. Grantee agrees to coordinate its underground installation and planning activities with the County's underground plan and policies.
A. County expressly reserves the right to prescribe how and where any overhead facilities, including poles, lines and wires, and attachments or co-locations thereto, shall be installed and may from time to time, upon reasonable notice, require the removal and replacement thereof in the public interest and consistent with this SECTION 2.
B. Grantee, with written authorization from the County to install overhead facilities, shall install its telecommunications facilities on pole attachments to existing utility poles only, if surplus space is available, and subject to any separate, existing or future County franchising of such utility poles. If installation to existing utility poles is not feasible, installation of new poles may be approved by the County Engineer on a case-by-case basis, subject to other franchising.
A. Grantee shall comply with any and all applicable laws, statutes, regulations and orders concerning hazardous substances relating to Grantee's Telecommunications Facilities in the rights-of-way.
B. Grantee agrees to indemnify the County against any claims, costs, and expenses, of any kind, whether direct or indirect, incurred by the County arising out of a release of hazardous substances caused by Grantee's Telecommunications Facilities, as set forth in Section 3.2, below.
2.16 Notice to Private Property Owners. Grantee shall give notice to private property owners of work on or adjacent to private property.
2.17 County Use of Trenching. The Grantee and the County recognize that situations may occur in the future where the County may desire to place its own cable or conduit in trenches or bores opened by the Grantee. The Grantee agrees to cooperate with the County in any construction by the Grantee that involves trenching or boring, provided that the County has first notified the Grantee in some manner that it is interested in sharing the trenches or bores in the area where the Grantee's construction is occurring. The Grantee shall allow the County to lay its cable or conduit in the Grantee's trenches and bores, provided the County shares in the cost of the trenching and boring on the same terms and conditions as the Grantee at that time shares the total cost of trenches and bores. The County shall be responsible for maintaining its respective cable or conduit buried in the Grantee's trenches and bores under this paragraph.
2.18 Movement of Telecommunication Facilities for Other Franchise Holders. If any removal, replacement, modification or disconnection of the Telecommunication System is required to accommodate the construction, operation or repair of the facilities or equipment of another County franchise holder, Grantee shall, after at least thirty (30) days' advance written notice, take action to effect the necessary changes requested by the responsible entity. If a readjustment or Relocation of Grantee’s Telecommunications Facilities does not involve a ‘Public Project” (defined as any county, state, federal agency or port district property), the Grantee may seek reimbursement of its actual costs from party pursuing such relocation.
2.19 Work of Contractors and Subcontractors. Grantee's contractors and subcontractors shall be licensed and bonded in accordance with state law. Work by contractors and subcontractors is subject to the same restrictions, limitations and conditions as if the work were performed by Grantee. Grantee shall be responsible for all work performed by its contractors and subcontractors and others performing work on its behalf as if the work were performed by it, and shall ensure that all such work is performed in compliance with this Franchise and other applicable law, and shall be jointly and severally liable for all damages and correcting all damage caused by them. It is Grantee's responsibility to ensure that contractors, subcontractors or other persons performing work on Grantee's behalf are familiar with the requirements of this Franchise and other applicable laws governing the work performed by them.
2.20 Inspection of Construction and Facilities. The County may inspect any of Grantee's facilities, equipment or construction at any time upon at least twenty-four (24) hours’ notice, or, in case of emergency, upon demand without prior notice. The County shall have the right to charge generally applicable inspection fees therefor. If an unsafe condition is found to exist, the County, in addition to taking any other action permitted under applicable law, may order Grantee, in writing, to make the necessary repairs and alterations specified therein forthwith to
correct the unsafe condition by a time the County establishes. The County has the right to correct, inspect, administer and repair the unsafe condition if Grantee fails to do so, and to charge Grantee therefor.
A. On notice from the County that any work is being performed contrary to the provisions of this Franchise, or in an unsafe or dangerous manner as determined by the County, or in violation of the terms of any applicable permit, laws, regulations, policies or standards, the work may immediately be stopped by the County.
B. The stop work order shall:
(1) Be in writing;
(2) Be given to the Person doing the work, or posted on the work site;
(3) Be sent to Grantee by overnight delivery at the address given herein;
(4) Indicate the nature of the alleged violation or unsafe condition; and
(5) Establish conditions under which work may be resumed.
3.1 Financial Security. County may require financial security to insure completion of construction before any construction work is started by Grantee. After consideration of the type of project planned by Grantee, the Permit issued by the County before construction starts, may require a bond. Financial security is not being required as part of this franchise.
A. In addition to and distinct from the insurance requirements of this Franchise, Grantee agrees to release and shall defend, indemnify and hold harmless the County, its elected and appointed officers, officials, employees, agents, and representatives (collectively referred to as the "Indemnitees") from any and all third party claims, losses, costs, liabilities, damages and expenses, including, but not limited to, those of Grantee's lessees, (except those damages caused by the negligence or willful misconduct of the Indemnitees), and also including, but not limited to, reasonable attorneys' fees: 1) arising out of or in connection with Grantee's negligence, willful misconduct, or acts or omissions arising from Grantee’s performance under this Franchise and its Telecommunications Facilities, the performance of any work, the operation of any Telecommunications Facilities or Telecommunications Services; and 2) arising out of or in connection with the negligence, willful misconduct, or acts or omissions of Grantee or any of its suppliers or independent contractors of any tier, or anyone acting on Grantee's behalf in connection Grantee’s performance arising under this Franchise and its Telecommunications Facilities, performance of work or operation of Telecommunications Facilities or Telecommunications System.
B. Such indemnity, protection and hold harmless shall include any demand, claim, suit or judgment for damages to property or injury to or death of persons, including officers, agents, and employees of any person including payment made under or in connection with any Worker's Compensation Law or under any plan for employees' disability and death benefits, which may arise out of or be caused or contributed to directly or indirectly by the erection, maintenance,
presence, operation, use or removal of Grantee's Telecommunications Facilities or installations of Telecommunications Facilities including any claims or demands of customers of Grantee with respect thereto.
C. Indemnitees shall not be liable to Grantee or to Grantee's customers, and Grantee hereby indemnifies, protects and saves harmless the Indemnitees against any and all such claims or demands, suit or judgment for loss, liability, damages and expense by Grantee's customers, or for any interruption to the service of Grantee, or for interference with the operation of the Telecommunications Facilities.
D. To the fullest extent permitted by applicable law, the foregoing release, indemnity and hold harmless provisions shall apply to and be for the benefit of the Indemnitees.
E. Inspection or acceptance by the County of any work performed by Grantee shall not be grounds for avoidance by Grantee of any of its obligations under this Section. Said indemnification obligations shall extend to claims which are not reduced to a suit and any claims which may be compromised prior to the culmination of any litigation or the institution of any litigation.
F. In the event of liability for damages arising out of bodily injury to persons or damages to property caused by or resulting from the concurrent negligence of Grantee and the County, Grantee's liability hereunder shall be only to the extent of Grantee's negligence. It is further specifically understood that the indemnification provision provided herein constitutes Grantee's waiver of immunity under Title 51 RCW, solely for the purposes of this indemnification. This waiver has been mutually negotiated by the parties.
G. The provisions of Section 3.2 shall survive the expiration or termination of this Franchise. Further, all provisions of Section 3.2 shall apply to the successors and assigns of Grantee.
H. Procedures and Defense. If a claim or action arises, the County or any other indemnified party shall timely notify Grantee thereof, County or any other indemnified party shall tender defense thereof to Grantee, and Grantee shall have the right and duty, at its sole cost and expense, to defend, settle and compromise such claim or demand arising hereunder. The County may participate in the defense of a claim and, in any event, the Grantee may not agree to any settlement of claims financially affecting the County or affecting the County’s statutory obligations on county roads without the County's written approval, which shall not be unreasonably withheld.
I. Duty of Defense. The fact that the Grantee carries out any activities under this Franchise though independent contractors shall not constitute an avoidance of or defense to the Grantee's duty of defense and indemnification under this Section.
3.3 Insurance. As a condition of this Franchise, Grantee shall secure, furnish and maintain the following insurance policies:
A. Umbrella Liability Insurance. Grantee shall maintain umbrella liability insurance coverage, in an occurrence form, over underlying commercial general liability and automobile liability policies. On or before the date this Franchise is fully executed by the parties, Grantee shall provide the County with a certificate of insurance as proof of commercial general liability and umbrella liability insurance coverage with each policy having a minimum liability limit of Five Million Dollars ($5,000,000) per occurrence. The insurance shall be with an insurance company
or companies rated A-VII or higher in Best's Guide and authorized to conduct business in the State of Washington. Cowlitz County needs to be named as Additional Insured.”
B. Business Automobile Liability insurance for owned, non-owned and hired vehicles with a combined single limit of not less than three million dollars ($3,000,000) per accident.
C. Workers' Compensation and Employer's Liability Coverage as required by the Industrial Insurance laws of the State of Washington.
D. The insurance policies and coverages required by Section 3.3 shall be maintained at all times by Grantee. Grantee will provide County with thirty (30) days’ notice prior to any cancellation of the policy and deliver such notice to the Administrator as well as the named insured though the County Risk Management Department. Grantee will be obligated to replace or renew the canceled or expiring policy and show proof in the form of a certificate of insurance, within at least ten (10) days at the expiration or cancellation of the existing policy(ies).
E. Grantee shall furnish the County Risk Manager with properly executed certificates of insurance or a signed policy endorsement which shall clearly evidence all insurance required in Section 3.3. The County shall be listed as an additional insured on all liability insurance policies. Grantee’s membership in a self-insured governmental risk pool shall satisfy all conditions set forth in this section for insurance requirements subject to limits as set forth above.
F. Grantee or its agent will provide local access to view a copy of any and all insurance policies or verification specified in this Franchise upon request of the Administrator.
G. The insurance limits mandated for any insurance coverage required by this Franchise are not intended to be an indication of limits of exposure nor are they limitations on liability or indemnification.
H. By acceptance of this Franchise, Grantee agrees that failure to procure or maintain the required insurance or self-insurance shall constitute a material breach of this Franchise and that the County may immediately terminate this Franchise or, at the County's discretion, procure or renew such insurance to protect the County's interests and be reimbursed by Grantee for all premiums paid in connection therewith.
3.4 Compensation. The Franchise granted hereunder is subject to the County's right, which is expressly reserved, to annually fix a fair and reasonable compensation for the authorization granted hereunder as reimbursing the County's costs in connection with processing, administration and ongoing oversight of this Franchise, and in connection with reviewing, inspecting, monitoring and supervising the use and occupancy of the rights-of-way. Nothing herein shall prohibit the County and Grantee from agreeing upon the compensation to be paid. This Franchise shall not be interpreted to prevent the County from imposing additional lawful conditions, including additional compensation conditions for use of the rights-of-way, should Grantee provide service other than Telecommunications Service.
3.5 Reimbursement. Except as provided in Subsection 3.4, Grantee shall reimburse the County within (30) calendar days after receipt of written demand for all reasonable amounts paid and costs incurred by the County in relation to this Franchise or the enforcement thereof.
4.1 Publication Costs. Grantee shall assume the costs of publication associated with this Franchise as such publication is required by law.
4.2 Vacation.
A. If the County vacates all or portion of any County rights-of-way which is subject to rights granted by this Franchise, and said vacation is for the purpose of acquiring the fee or other property interest in said rights-of-way for the use of the County in either its proprietary or governmental capacity, the Board may, at its option and by giving forty-five (45) days written notice to Grantee, terminate this Franchise with reference to any County rights-of-way so vacated, and the County shall not be liable for any damages or loss to Grantee by reason of such termination.
B. Whenever a County right-of-way or any portion thereof is vacated upon a finding that it is not useful and the public will be benefited by the vacation, the County may retain an easement in respect to the vacated land for the construction, repair and maintenance of public utilities and services which at the time of the vacation are specifically authorized under this Franchise or physically located on a portion of the land being vacated, but only in accordance with the provisions of RCW 36.87.140. The County shall not be liable for any damages or loss to Grantee by reason of any such vacation.
4.3 Eminent Domain. This Franchise is subject to the power of eminent domain and the right of the Board or the people acting for themselves through the initiative or referendum process to repeal, amend, or modify this Franchise. In any proceeding under eminent domain, this Franchise itself shall have no value.
4.4 Revocation or Termination.
A. This Franchise may be revoked as provided in the Regulations after notice, an opportunity to cure, and a hearing as provided in the Regulations.
B. In addition to Section 4.4 A. of this Franchise, upon failure of Grantee, after written notice, to perform properly and completely each term, condition, or obligation imposed upon it pursuant to this Franchise, the County may terminate this Franchise.
C. At the expiration of the term of this Franchise or upon its revocation or termination, the County shall have the right to require Grantee to remove its Telecommunications Facilities within ninety (90) days from the County rights-of-way. Grantee shall be liable for any costs incurred in removing any Telecommunications Facilities of Grantee and restoring any County rights-of-way. In removing its plant, structures and equipment, Grantee shall refill, at its own expense, any excavation that is made by it and shall leave all rights-of-way, public places and private property in as good condition as that prevailing prior to Grantee's removal of its equipment without affecting the electrical or telephone cable wires or attachments. The indemnification and insurance provisions and the letter of credit shall remain in full force and effect during the period of removal, and Grantee shall not be entitled to, and agrees not to request, compensation of any sort therefor.
D. A revocation or termination of this Franchise shall not prejudice any other remedy for breach of contract, damages, non-payment or otherwise which the County has under this Franchise or under law.
4.5 Modification. The County and Grantee reserve the right to modify the terms and conditions of this Franchise upon written agreement of both parties to such modification or in the exercise of the County's police power authority or other authority pursuant to applicable laws.
4.6 Franchise Subject to Future County Regulations. Nothing herein shall be deemed to restrict the County's ability to adopt and enforce all necessary and appropriate rules regulating the performance of the conditions of this Franchise, including any valid regulations made in the exercise of the County's police powers in the interest of public safety and for the welfare of the public. The County shall have the authority at all times to control by appropriate regulations the location, elevation, manner of construction and maintenance of any Telecommunications Facilities by Grantee. Grantee agrees to promptly conform to all such regulations as if they were in effect at the time this Franchise was executed by the County, unless compliance would cause Grantee to violate other requirements of law. In the event of a conflict between the provisions of this Franchise and any Regulations(s) enacted under the County's police power authority, such Regulations(s) shall take precedence over the provisions set forth herein.
4.7 Assignments or Transfers. Grantee shall comply with the Regulations regarding assignments, lease, sharing, transfers, and transactions affecting direct or indirect interest or control. In no event shall a sale, lease, sharing, transfer, assignment, or disposal of ownership, interest or control be approved without the written consent of the County, the transferee acknowledging the obligations under the Regulations, becoming a signatory to this Franchise and assuming all rights and obligations hereunder, and assuming all other rights and obligations of the transferor to the County. The County shall have sixty (60) days to act upon any request for approval of transfer. Should the County fail to render a final decision within 60 days the request shall be deemed granted unless Franchisee and County agree to an extension of time. The Franchisee, upon any transfer, shall within thirty (30) days thereafter file with the County a certified statement evidencing the transfer and containing the signed acknowledgement of the transferee that it agrees to be bound by the terms and conditions contained in this Franchise.
The requirements of this section shall not be deemed to prohibit the use of the Franchisee's property as collateral for security in financing the construction or acquisition of all or part of a Telecommunications Facilities of the Grantee or any affiliate of the Grantee. In the case of a transfer to secure indebtedness, whether by mortgage or other hypothecation, the County’s consent shall not be required unless and until the secured party elects to realize upon the collateral. However, the Telecommunications Facilities franchised hereunder, including portions thereof used as collateral, shall at all times continue to be subject to the provisions of this Franchise.
The requirements of this section shall not be deemed to prohibit sale of tangible assets of the Grantee in the ordinary conduct of the Grantee's business without the written approval of the County.
The requirements of this section shall not be deemed to prohibit, without the written approval of the County, a transfer to a transferee whose primary business is such Telecommunications Facilities and having a majority of its beneficial ownership held by the Franchisee, a parent of the Franchisee, or an affiliate, a majority of whose beneficial ownership is held by a parent of the Franchisee. If beneficial ownership of fifty percent (50%) or more of the stock of the Grantee, or of the majority of the stock of any parent company of the Grantee immediate or otherwise, or of any entity now owning or later acquiring such beneficial interest is acquired by or agent of common control is other than an organization with majority of its beneficial ownership held by the Grantee or a parent of the Grantee, then a change in control will be deemed to have taken place requiring written approval of the County.
A. At the option of the County, subject to applicable law, this Franchise may be revoked one hundred twenty (120) days after the appointment of a receiver or trustee to take over and conduct the business of Grantee whether in a receivership, reorganization, bankruptcy or other action or proceeding, unless:
(1) The receivership or trusteeship is vacated within one hundred twenty (120) days of appointment; or
(2) The receivers or trustees have, within one hundred twenty (120) days after their election or appointment, fully complied with all the terms and provisions of this Franchise, and have remedied all defaults under the Franchise. Additionally, the receivers or trustees shall have executed an agreement duly approved by the court having jurisdiction, by which the receivers or trustees assume and agree to be bound by each and every term, provision and limitation of this Franchise.
B. If there is a foreclosure or other involuntary sale of the whole or any part of the property and equipment of Grantee, the County may serve notice of revocation on Grantee and to the purchaser at the sale, and the rights and privileges of Grantee under this Franchise shall be revoked thirty (30) days after service of such notice, unless:
(1) The County has approved the transfer of the Franchise, in accordance with the procedures set forth in this Franchise and as provided by law; and
(2) The purchaser has covenanted and agreed with the County to assume and be bound by all of the terms and conditions of this Franchise.
A. If any rights-of-way covered by this Franchise are incorporated into the limits of any city or town, this Franchise shall terminate as to any rights-of-way within the corporate limits of such city or town; but this Franchise shall continue as to County rights-of-way not incorporated into a city or town.
B. If, pursuant to Article XI § 3 of the Washington Constitution, territory is stricken or taken from the County and a new county is established from the territory taken from the County,
this Franchise shall terminate as to any rights-of-way within the territory so taken to establish the new county; but this Franchise shall continue as to County rights-of-way not taken from the County.
4.10 Service of Notice. Except as provided herein, any notices required or permitted to be given under this Franchise shall be deemed properly served when deposited with the United States Postal Service, postage paid, addressed to the Contact Party, below, to receive same.
Notice to the County shall be sent to: County Engineer
Cowlitz County Public Works 1600 13th Ave. S. Kelso, WA 98626
with a copy to:
Cowlitz County Prosecuting Attorney Civil Division
Hall of Justice
312 SW 1st Ave. Kelso, WA 98626
Notice to the Grantee shall be sent to: ZIPLY FIBER NORTHWEST LLC
135 Lake Street South, Ste 155 Kirkland, WA 98033
Attn.: Jessica Epley, VP-Regl & Extrnl Affrs
Grantee shall also provide County with a current emergency contact name (or title) and phone number available 24-hours a day, seven days of a week, and shall promptly notify the County of any change in notice address or emergency contact.
4.11 Access and Open Records. Grantee agrees to supply, at no cost to County, any information reasonably requested by the County Engineer or their designee to facilitate and coordinate County functions with Grantee’s actions and activities, including identifying the location and depth of all Telecommunications Facilities with individual service connections, and to fulfill any obligation under State law.
The County, including the County's Auditor or his/her authorized representative, shall have access to, and the right to inspect, any books and records of Grantee, its parent corporations and Affiliates which are reasonably related to the administration or enforcement of the terms of this Franchise. The County may, in writing, request copies of any such records or books and Grantee shall provide such copies within thirty (30) days of the transmittal of such request. One (1) copy of all reports and records required under this or any other subsection shall be furnished to the County, at the sole expense of Grantee.
Grantee shall be responsible for clearly and conspicuously identifying confidential or proprietary information and shall provide a brief written explanation as to why such information is confidential or proprietary and how it may be treated as such under State or federal laws.
Should County receive a request for disclosure from any person, County agrees to provide Grantee ten (10) days written notice of impending release, and to cooperate with any legal action which may be initiated by Grantee to enjoin or otherwise prevent such release, provided that all expense of any such litigation shall be borne by Grantee, including any damages, attorney’s fees or costs awarded by reason of having opposed disclosure, and further provided that County shall not be liable for any release where notice was provided and Grantee took no action to oppose the release of information. Notice of any proposed release of information pursuant to Chapter 42.56 RCW, shall be provided to Grantee according to the “Notice” provision herein. If the Grantee has not obtained an injunction and served the County with that injunction by the close of business on the tenth business day after the County sent notice, the County will then disclose the record unless it makes an independent determination that the record is exempt from disclosure. The Grantee will fully cooperate with the County in identifying and assembling records in case of any public disclosure request.
Grantee’s failure to timely provide such records upon demand shall be deemed a material breach of this Franchise. To the extent that the County incurs any monetary penalties, attorneys’ fees, and/or any other expenses as a result of such breach, Grantee shall fully indemnify and hold harmless County as set forth in Section 3.2. For purposes of this section, the terms “public records” and “agency” shall have the same meaning as defined by Chapter 42.56 RCW, as said chapter has been construed by Washington courts. The provisions of this section shall survive the expiration or termination of this Agreement.
4.12 Severability. The parties understand and agree that if a court holds any part, term, or provision of this Franchise to be illegal or invalid in whole or in part, the validity of the remaining provisions shall not be affected, and the parties' rights and obligations shall be construed and enforced as if the Franchise did not contain the particular invalid provision. Should the County determine that the severed portions substantially alter the Franchise so that the original intent and purpose of this Franchise no longer exists, the County may, in its sole discretion, terminate this Franchise without cost or penalty.
4.13 Remedies. All remedies and penalties under this Franchise, including termination of this Franchise, are cumulative, and the recovery or enforcement of one is not a bar to the recovery or enforcement of any other such remedy or penalty. The remedies and penalties contained in this Franchise, including termination of this Franchise, are not exclusive, and the parties reserve the right to enforce the provisions of any Regulations or resolution and to avail itself of any and all remedies available at law or in equity.
4.14 Nonwaiver of Rights. The County and Grantee agree that the excuse or forgiveness of performance or waiver of any provision(s) of this Franchise does not constitute a waiver of
such provision(s) or future performance, or prejudice the right of the waiving party to enforce any of the provisions of this Franchise at a subsequent time.
4.15 Dispute Resolution and Choice of Law. In the event a dispute arises between County and Grantee by reason of this Franchise or permits arising therefrom, the dispute shall first be referred to the franchise administrators or operational officers or representatives appointed by County and Grantee to have oversight over administration of this Franchise. Said oversight officials shall meet within thirty (30) calendar days of either party’s request for a meeting, from the date of first request, for the parties to make a good faith effort to achieve resolution of the dispute. If the parties fail to obtain a resolution of the dispute in this manner, either party may pursue any available judicial remedies
This Franchise has been made and shall be governed and construed in accordance with the laws of the State of Washington without respect to choice of laws. In the event of any suit, arbitration or other proceeding arising out of or instituted to enforce any term of this Franchise. The parties agree that venue shall exclusively be in Cowlitz County, Washington.
4.16 Context. When consistent with the context, words used in the present tense include the future tense, words in the plural number include the singular number, and words in the singular number include the plural number.
4.17 Entire Agreement. The parties agree that this Franchise is the complete expression of the terms and conditions hereunder, and supersedes all prior agreements or proposals except as specifically set forth herein. Any oral or written representations or understandings not incorporated herein are specifically excluded. This Franchise is executed in duplicate originals and executed by the persons signing below who warrant that they have the authority to execute this Franchise.
4.18 Familiarity with Franchise. The Grantee acknowledges and warrants by acceptance of the rights, privileges and agreements granted herein, that it has carefully read and fully comprehends the terms and conditions of this Franchise and is willing to and does accept all lawful and reasonable risks of the meaning of the provisions, terms and conditions herein.
4.19 Acceptance. Within sixty (60) days after adoption of this Franchise by the Board, this Franchise may be accepted by Grantee by executing this Franchise in duplicate, filing it with the Clerk of the Board. Further, the executed Franchise shall be returned accompanied by the required evidence of insurance as provided in Sec. 3.3 of this Franchise. In the event Grantee fails to accept this Franchise or fails to comply with all conditions of acceptance as set forth herein within the sixty (60) days following adoption by the Board, this Franchise shall be null and void.
Order Granting Franchise to
DATED this ________ day of March 2026.
APPROVED AS TO FORM:
BOARD OF COMMISSIONERS
Ryan Jurvakainen, Prosecuting Attorney COWLITZ COUNTY, WASHINGTON
By: _________________________________
Civil Deputy
ATTEST:
Kelly Grayson, Clerk of Board
Richard R. Dahl, Chairman
Steven L. Ferrell, Commissioner
Steve Rader, Commissioner
THE UNDERSIGNED, GRANTEE herein, hereby accepts all of the rights and privileges of the foregoing granted Franchise and Regulations, subject to all the terms, conditions and obligations therein contained.
DATED this ____ day of ___________________, 2026
ZIPLY FIBER NORTHWEST, LLC, d/b/a ZIPLY FIBER
Name: (Authorized by law to sign on behalf of Grantee)
Title:
