Skip to main content

Regular Public Meeting Agenda 3/26/2024

Page 1

Arne Mortensen, Commissioner District 1

Dennis Weber, Commissioner District 2

Richard R. Dahl, Commissioner District 3

Kelly Dombrowsky, Clerk of the Board

Regular Public Meeting

March 26 , 202 4 , 9:00 a.m.

Board Meeting Convenes at 9:00 a.m.

 Pledge of Allegiance

 Minutes of March 18-20, 2024

 Consent Agenda of March 26, 2024

 Motion Items

 Board of Health – 10:00 a.m.

 Public Comments

o Citizen Participation may be anonymous. See RCW 42.30.040

Consent Agenda

Agreements/Contracts/Bid Awards

Phone Option: (253) 215-8782

Webinar ID: 820 1961 3917 www.kltv.org Live Stream

1. Interlocal Agreement Amendment #1 with the City of Kelso for Law Enforcement Records After Hours Services to extend until June 30, 2024.

2. Interlocal Agreement Amendment #1 with the City of Kalama for Law Enforcement Records After Hours Services to extend until June 30, 2024.

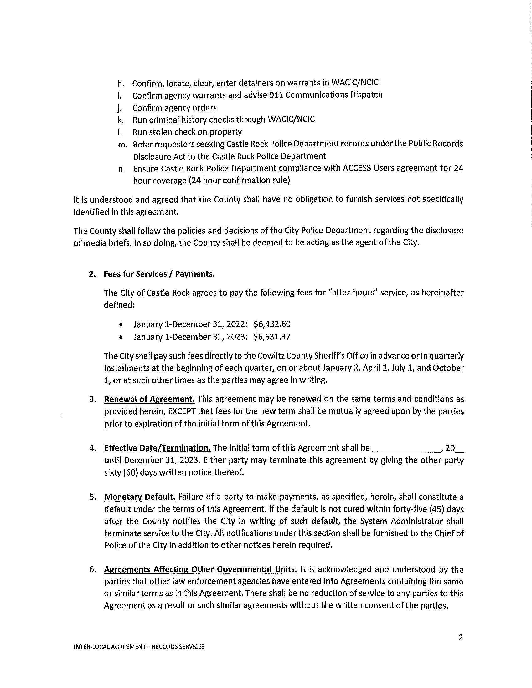
3. Interlocal Agreement Amendment #1 with the City of Castle Rock for Law Enforcement Records After Hour Services to extend until June 30, 2024.

4. Interlocal Agreement Amendment #1 with the City of Woodland for Law Enforcement Records After Hours Services to extend until June 30, 2024.

5. Interlocal Agreement Amendment #1 with the City of Longview for Law Enforcement Records After Hours Services to extend until June 30, 2024.

6. Contract Usage Agreement with the WA State Department of Enterprise Services to maintain access to statewide contracts for goods and services.

7. Contract Execution with J.L. Storedahl & Sons for removal of dredged materials at Cook Ferry Road. J.L. Storedahl & Sons will pay $2.06 per cubic yard of material removed, with a minimum of 150,000 cubic yards.

8. Amendment # 1 Agreement No. 2022-0046-01 with Aetta Architects, previously Collins Architect Group, for on-call engineering and architectural consultation services. ZOOM Link KLTV Link

Page 1 of 3

Regular Public Meeting

March 26, 2024, 9:00 a.m.

9. Interlocal Agreement with the Consolidated Diking Improvement District No. 1 to provide administrative or engineering services, construction, and maintenance services, as needed.

Board Correspondence

10. Letters/Notices

a. Letter dated 3/26/2024 to Ryan Searcy appointing him to the Veteran's Advisory Board. This is a 4-year term that expires on October 31, 2028.

Motion Items

Health and Human Services

11. Contract with Community House on Broadway for the construction of a youth shelter facility. The cost of reimbursement will not exceed $2,000,000, funded through Document Recording Fees for housing and homelessness programs.

12. Contract with Lower Columbia CAP for the construction of affordable housing units. The cost of reimbursement will not exceed $695,000 funded through Document Recording Fees for housing and homelessness programs.

Board of Health – 10:00 a.m.

 10AM - Call Meeting to Order

 Old / Unfinished Business

o Review Minutes

 New Business

o Fentanyl Discussion – With Coroner

o Public Service Announcement Winners

o County H.H.S. Budget Discussion

 Public Comment Period

o Citizen Participation may be anonymous. See RCW 42.30.040

 Executive Session (as needed)

 Adjourn Meeting

Page 2 of 3

Regular Public Meeting

March

Updates

Chairman Updates

Upcoming Events:

 Wednesday, March 27th @ 2:30 p.m. – Rural Public Facilities

 Wednesday, April 3rd @ 2:30 p.m. – Rural Public Facilities Presentations

 Wednesday, April 10th @ 2:30 p.m. – Metropolitan Planning Area – Cowlitz-Wahkiakum Council of Governments (CWCOG)

 Wednesday, April 24th @ 2:30 p.m. – Lodging Sales Tax and Cumulative Reserve

Citizen Comments – Citizen participation may be anonymous. See RCW 42.30.040

RCW 42.30.040 - Conditions of attendance not to be required. A member of the public shall not be required, as a condition to attendance at a meeting of a governing body, to register his or her name and other information, to complete a questionnaire, or otherwise to fulfill any condition precedent to his or her attendance. People may remain anonymous when logging on to Zoom by creating any name and email of their choosing. In a meeting, public comment will be received, either or both, orally (raise hand in Zoom or use *9 on phone) and by writing. Note: Written comments may be sent to the Board at any time. For oral presentations, the Board may set a time for comments and speakers.

All matters listed with the Consent Agenda were previously distributed to each Board Member for reading and study, were available for public viewing, are considered items of regular County business, and will be approved, without separate discussion, by one motion of the Board of County Commissioners. An item may be removed from the Consent Agenda and placed on the Regular Agenda for separate discussion and voting at the request of any Board Member.

The Board of Commissioners may add and take action on other items not listed on this Agenda.

 Agenda Online Address: https://www.co.cowlitz.wa.us/535/Agendas Regular-Public-Meetings

 ZOOM Invitation Address (for all meeting days):

o https://us06web.zoom.us/j/82019613917

 KLTV Live Feed Address: http://www.kltv.org

Page 3 of 3
26, 2024, 9:00 a.m.

AMENDMENT NO. 1 to Interlocal Agreement for Law Enforcement Records Services by and between Cowlitz County and the City of Kalama

1. This Amendment No. ONE to the Interlocal Agreement for Law Enforcement Records Services is between Cowlitz County, Washington, (“COUNTY”), and the City of Kalama (“CITY”), collectively, the (“PARTIES”) and it shall take effect and be in force on the below stated date of authorization as agreed to by COUNTY and CITY

2. COUNTY AND CITY have entered into an Interlocal Agreement for law enforcement records services, to wit: Interlocal Agreement for Law Enforcement Records Services by and between Cowlitz County and the City of Kalama (the “AGREEMENT”), approved and executed by the Board of County Commissioners and City Manager, which agreement will expire on, December 31, 2023

3. CITY is now in need of continuing or additional professional services under the original AGREEMENT through, June 30, 2024, and COUNTY is amenable to extending its services to CITY under the same terms and conditions of the original AGREEMENT, and as set forth below.

4. Both COUNTY and CITY agree to modify the original AGREEMENT as in the parties’ best interests and in furtherance of the purposes and intent of this amendment, as set forth below:

a. Pursuant to Section 3, the AGREEMENT is hereby extended until June 30, 2024.

b. Section 4 is modified to provide that either party may terminate the AGREEMENT by giving the other party thirty (30) days written notice thereof.

c. Section 7 is hereby deleted.

d. The PARTIES agree compensation will continue at the 2023 level through June 30, 2024, but the PARTIES also agree compensation will later be modified to relate back to January 1, 2024, to provide backpay/benefits based on the results of a new collective bargaining agreement that is currently being negotiated. The PARTIES agree this is for consistency with RCW 43.09.210 and collective bargaining requirements.

5. Except as provided above in this Amendment No. ONE, all terms, conditions, duties, obligations and provisions of the original AGREEMENT shall remain in full force and effect.

The PARTIES hereto have executed this AMENDMENT No. ONE on this day of December, 2023, and each signatory to this Amendment No. ONE warrants that he/she is duly authorized and executes this Amendment for and on behalf of the below-inscribed PARTIES hereto.

[Remainder of page intentionally left blank; signatures below]

CITY OF KALAMA:

Signature

Print name:

BOARD OF COUNTY COMMISSIONERS OF COWLITZ COUNTY, WASHINGTON

Richard R. Dahl, Chairman

Dennis P. Weber , Commissioner

Arne Mortensen, Commissioner

Title: City Manager ATTEST:

CONTRACT HAS BEEN APPROVED AS TO FORM BY COWLITZ COUNTY Kelly Dombrowski , Clerk of the Board PROSECUTING ATTORNEY Date

Turn static files into dynamic content formats.

Create a flipbook