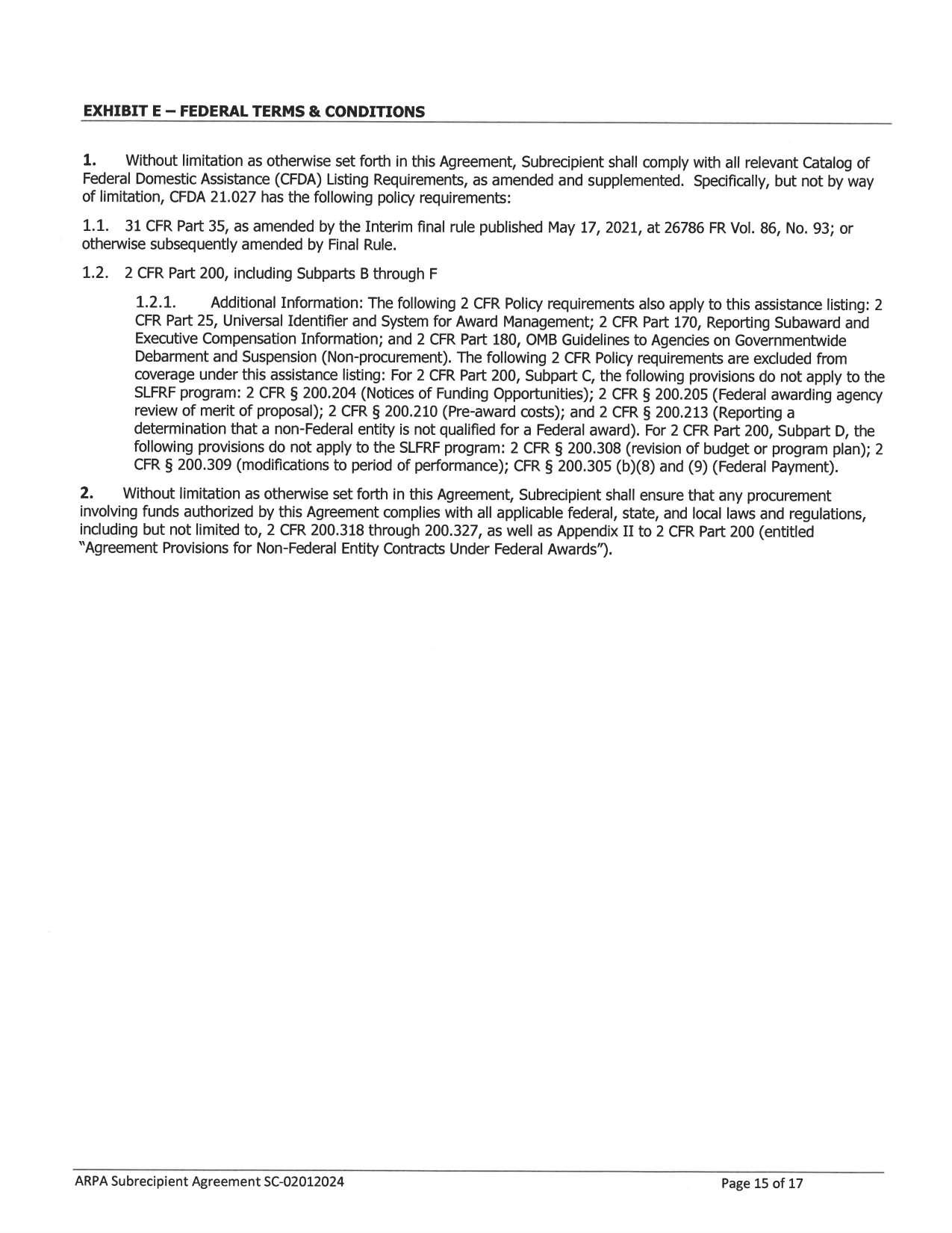
Skip to main content

Regular Public Meeting Agenda 3/12/24

Page 1

Arne Mortensen, Commissioner District 1

Dennis Weber, Commissioner District 2

Richard R. Dahl, Commissioner District 3

Kelly Dombrowsky, Clerk of the Board

Regular Public Meeting

March 12 , 202 4 , 9:00 a.m.

Board Meeting Convenes at 9:00 a.m.

ï‚· Pledge of Allegiance

ï‚· Minutes of March 4-6, 2024

ï‚· Consent Agenda of March 12, 2024

ï‚· Call for Bids

ï‚· Motion Items

ï‚· Public Comments

o Citizen Participation may be anonymous. See RCW 42.30.040

Consent Agenda

Call for Bids

ZOOM Link KLTV Link

Live Stream

Phone Option: (253) 215-8782

Webinar ID: 820 1961 3917

www.kltv.org

1. Call for Bids for County Road Project No. 801 for the Erick Creek Fish Passage Project to replace the culvert at Abernathy Creek Road milepost 5.35 scheduled for April 10, 2024, prior to 1:30 p.m.

Agreements/Contracts/Bid Awards

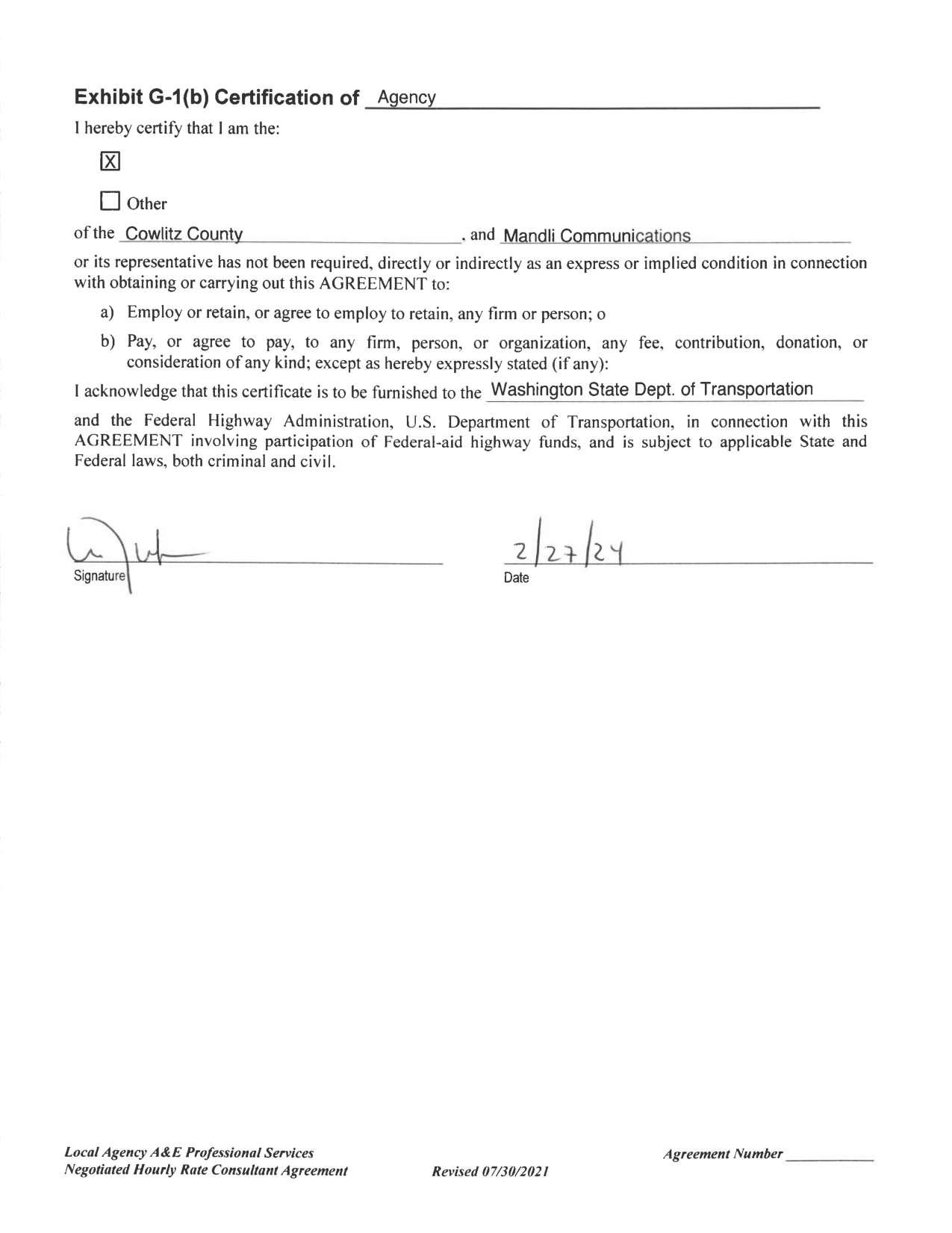
2. Local Agency Consultant Agreement for Mandli Communications, Inc. for the Clear Zone Inventory Project to drive all County roads with specialized equipment and taking high resolution imaging and collecting 3D LiDAR data to analyze roadside hazards. The total cost is $135,000 from the federal safety fund.

3. Certification of the 2024 Road Levy and Estimated Revenue Produced as directed by the County Road Administration Board (CRAB).

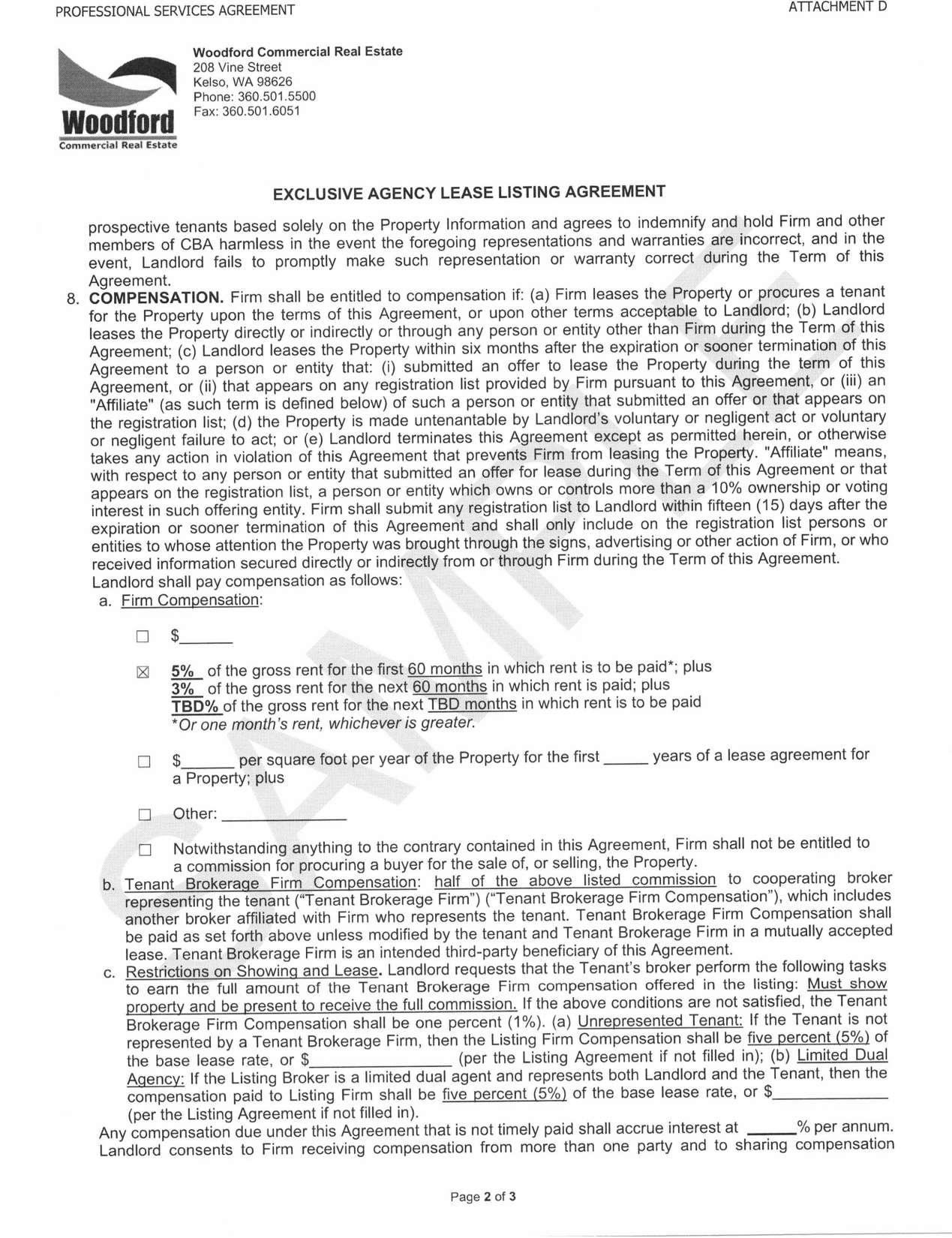
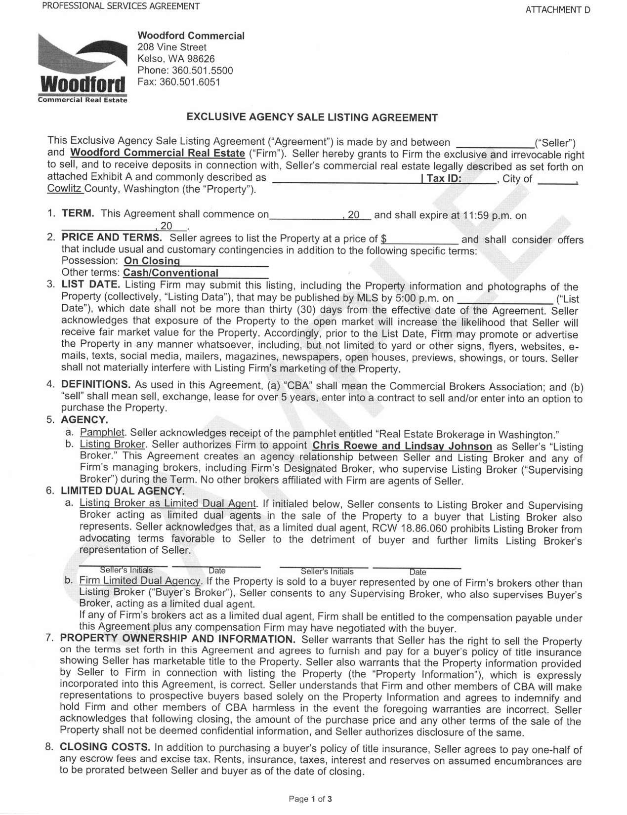
4. Contract with Woodford Commercial Real Estate to aid in the sale, lease, licensing, and purchasing of property on an as-needed basis. The compensation is a fixed commission of 5% of sales prices and $150 per hour for consulting and other services rendered.

Page 1 of 3

March

Resolution

5.Resolution for CRP No. 810 for the Kalama River Road Slide Mitigation project located from milepost 13.2 to 13.8 to investigate the extent and depth of the landslide. The total County Road fund allocation is $600,000.

Board Correspondence

6. Letters/Notices

a.Federal Energy Regulatory Commission (FERC) Notice dated 2/27/2024 regarding an Order Approving As-Built Drawings for Speely AI Bay Park.

b.Letter dated 3/12/2024 to Gabrielle Brown thanking her for her application for the Homeless Housing Taskforce and the Commissioners did not appoint her to the Committee.

Vouchers

7. January 2024 ratification of the vouchers in the total amount of $2,251.53 for Drainage Improvement District No. 1.

Motion Items Auditor

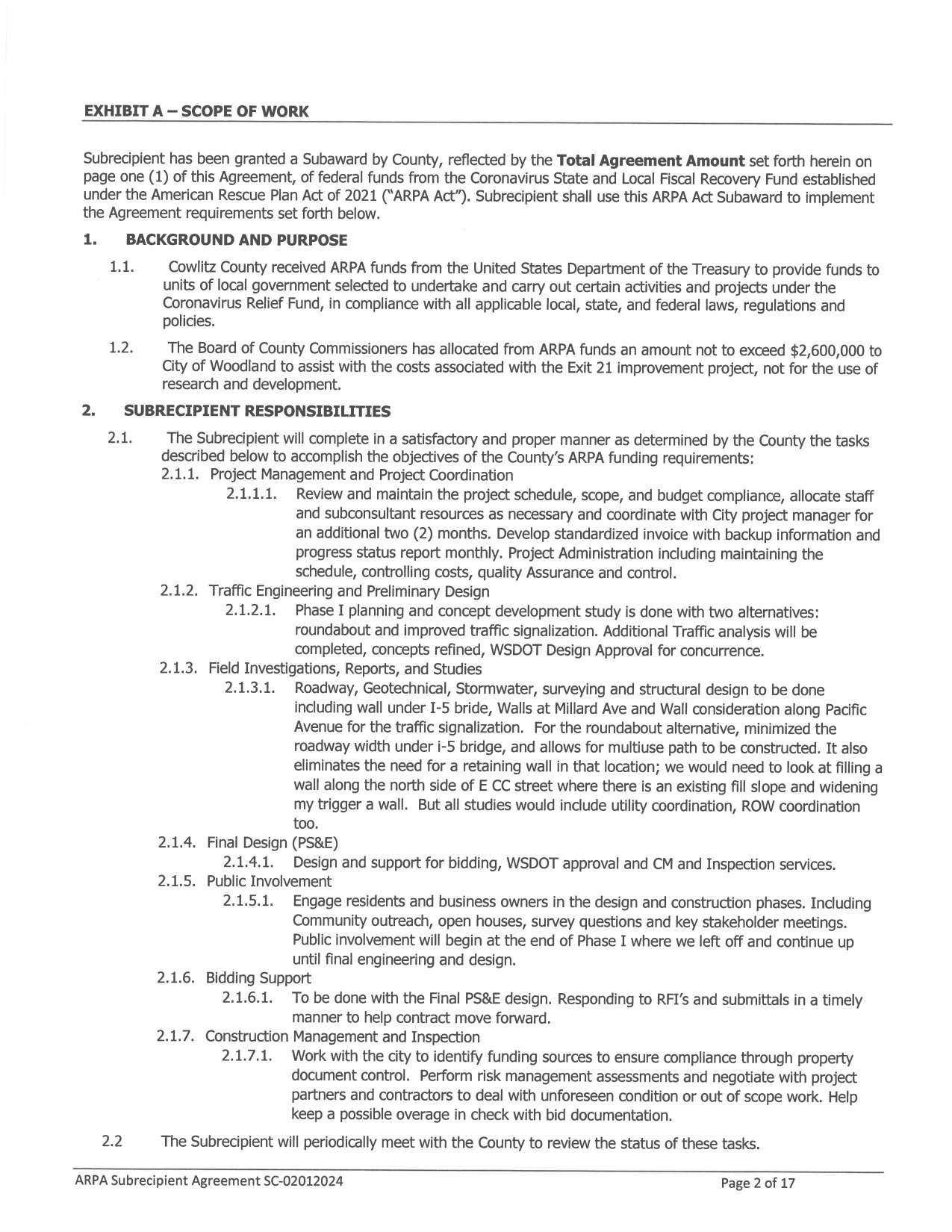
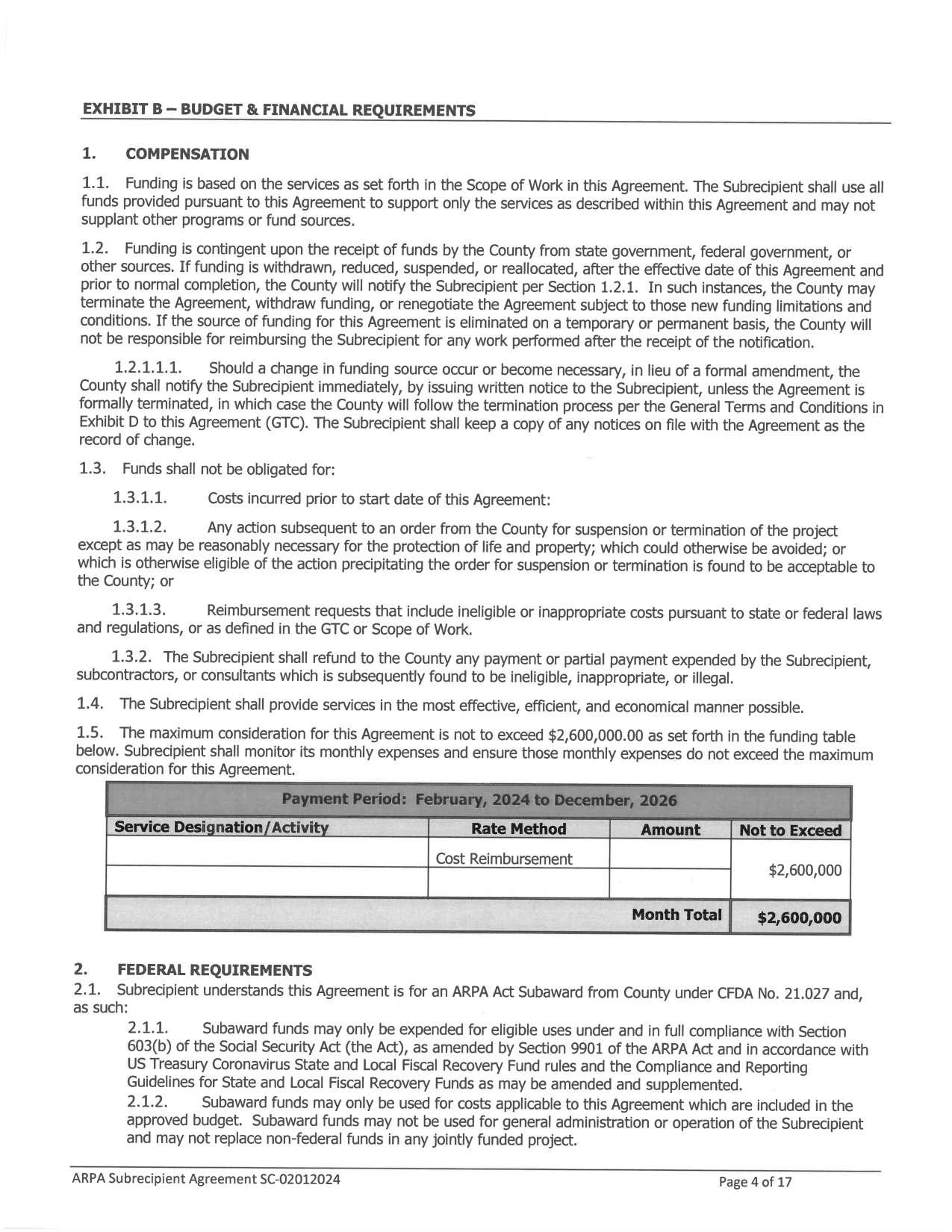
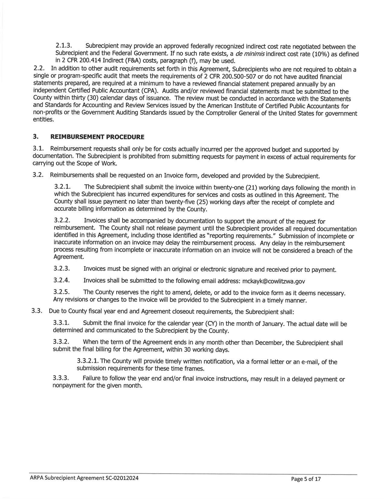
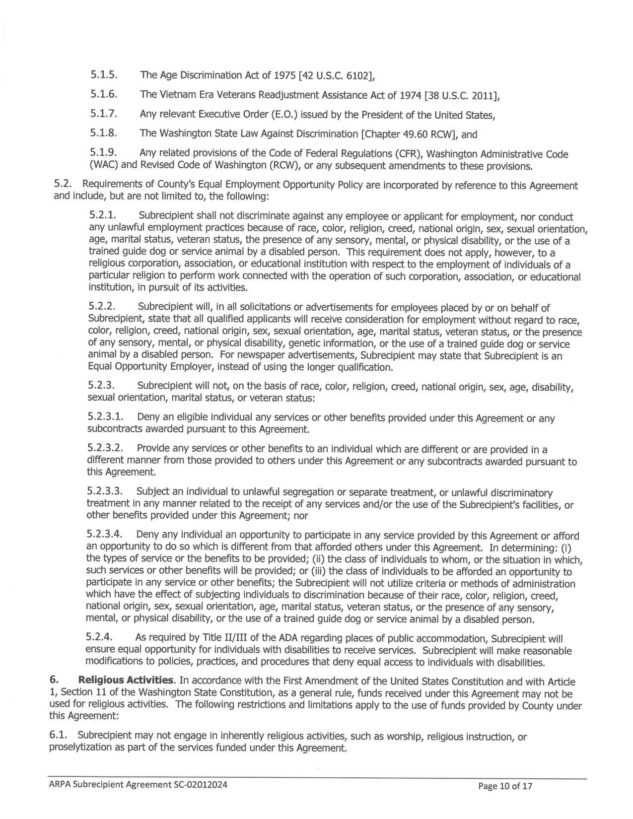
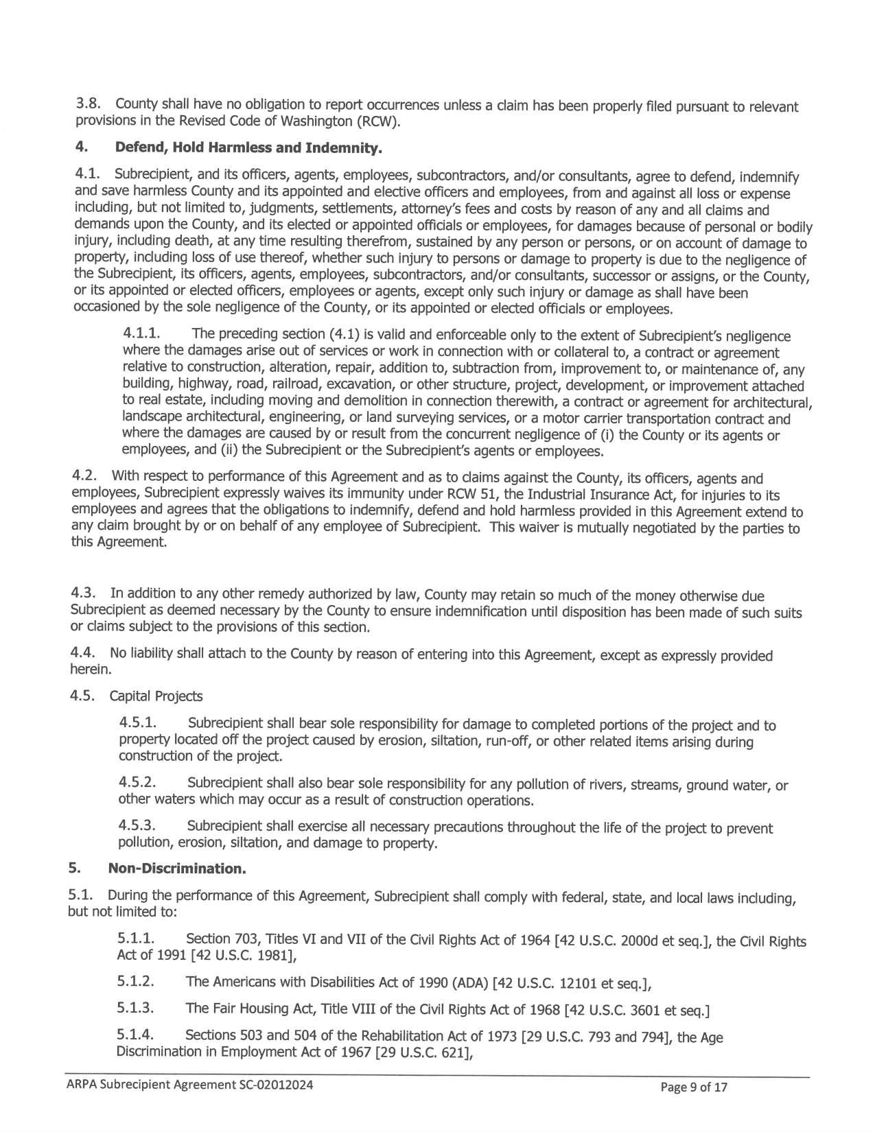
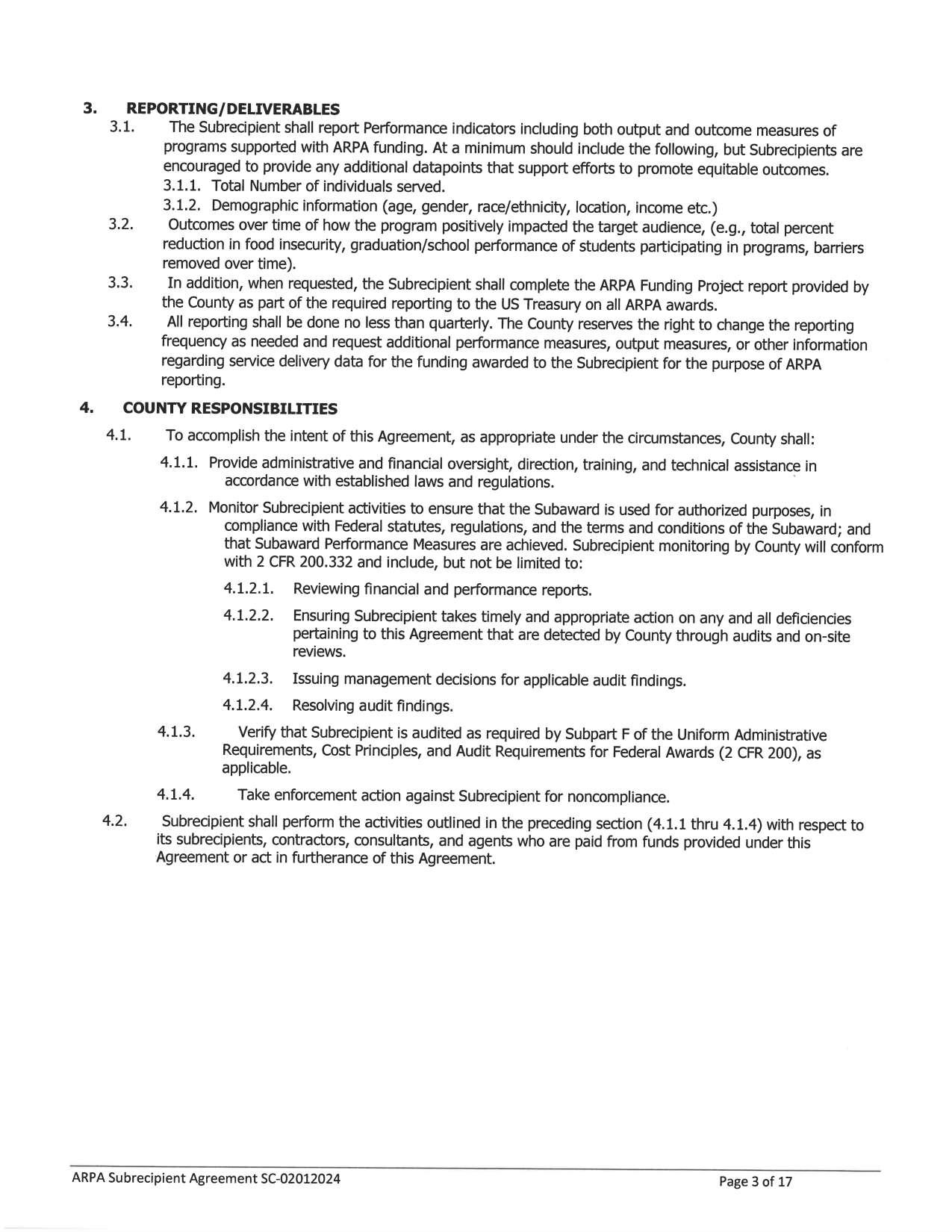
8. Subrecipient Agreement with the City of Woodland to allocate funds from the American Rescue Plan Act (ARPA) to assist in the costs associated with the Exit 21 improvement project. The total amount is $2,600,000.

Page 2 of 3
Regular Public Meeting
12,
2024, 9:00 a.m.
Amount Voucher Numbers Fund $ 809,247.38 1000016285-1000016299 Claims 561,405.68 1000016300-1000016375 Claims 284,855.39 1000016376-1000016442 Claims 46,988.36 1000053707-1000053715 Claims 547,006.30 1000053716-5000017573 Claims 621,133.42 5000002406-5000002431 Special Purpose District No. 1 100,823.01 5000002432-5000002435 Special Purpose District No. 1 44,376.54 5000017488-5000017573 Special Purpose District No. 1 383.40 7000000354-7000000354 Special Purpose District No. 2 554.47 7000000355-7000000356 Special Purpose District No. 2 146,491.80 7000003703-7000003718 Special Purpose District No. 2 3,762.50 9000000150-9000000153 Public Facilities District No. 1 $ 3,167,028.25 Total

Regular Public Meeting

March

Updates

Chairman Updates

Upcoming Events:

 Wednesday, March 13th @ 2:30 p.m. – Gifford Pinchot National Forest

 Wednesday, March 27th @ 2:30 p.m. – Rural Public Facilities

Citizen Comments – Citizen participation may be anonymous. See RCW 42.30.040

RCW 42.30.040 - Conditions of attendance not to be required. A member of the public shall not be required, as a condition to attendance at a meeting of a governing body, to register his or her name and other information, to complete a questionnaire, or otherwise to fulfill any condition precedent to his or her attendance. People may remain anonymous when logging on to Zoom by creating any name and email of their choosing. In a meeting, public comment will be received, either or both, orally (raise hand in Zoom or use *9 on phone) and by writing. Note: Written comments may be sent to the Board at any time. For oral presentations, the Board may set a time for comments and speakers.

All matters listed with the Consent Agenda were previously distributed to each Board Member for reading and study, were available for public viewing, are considered items of regular County business, and will be approved, without separate discussion, by one motion of the Board of County Commissioners. An item may be removed from the Consent Agenda and placed on the Regular Agenda for separate discussion and voting at the request of any Board Member.

The Board of Commissioners may add and take action on other items not listed on this Agenda.

ï‚· Agenda Online Address: https://www.co.cowlitz.wa.us/535/Agendas Regular-Public-Meetings

ï‚· ZOOM Invitation Address (for all meeting days):

o https://us06web.zoom.us/j/82019613917

ï‚· KLTV Live Feed Address: http://www.kltv.org

Page 3 of 3
12, 2024, 9:00 a.m.

Turn static files into dynamic content formats.

Create a flipbook