
Steve Rader, Commissioner District 1
Steven L. Ferrell, Commissioner District 2
Richard R. Dahl, Commissioner District 3
Kelly Grayson, Clerk of the Board
![]()

Steve Rader, Commissioner District 1
Steven L. Ferrell, Commissioner District 2
Richard R. Dahl, Commissioner District 3
Kelly Grayson, Clerk of the Board
February 3 , 2026, 9:00 a.m.
Board Meeting Convenes at 9:00 a.m.
Invocation by Invitation
Pledge of Allegiance
Minutes of January 26-28, 2026
Consent Agenda of February 3, 2026
Agreements/Contracts/Bid Awards
Board Correspondence
Motion Items
Public Comments



ZOOM Link KLTV Link
Phone Option: (253) 215-8782

o Citizen Participation may be anonymous. See RCW 42.30.040
Agreements/Contracts/Bid Award Public Works
Webinar ID: 820 1961 3917 Live Stream Print Agenda
1. Change Order No. 1 to the Contract with Western United Civil Group, LLC for the 2025 Garlock Road Delameter Creek Fish Passage project to reconcile project cost over-runs resulting from site conditions. The change amount is $11,233.46 for a total amount of $2,360,353.66. (14662) Sheriff
2. Agreement between Weyerhaeuser Timber Holdings, Inc. for Sheriff's Deputies to perform patrol in Weyerhaeuser Timberlands through December 31, 2026. (14664)
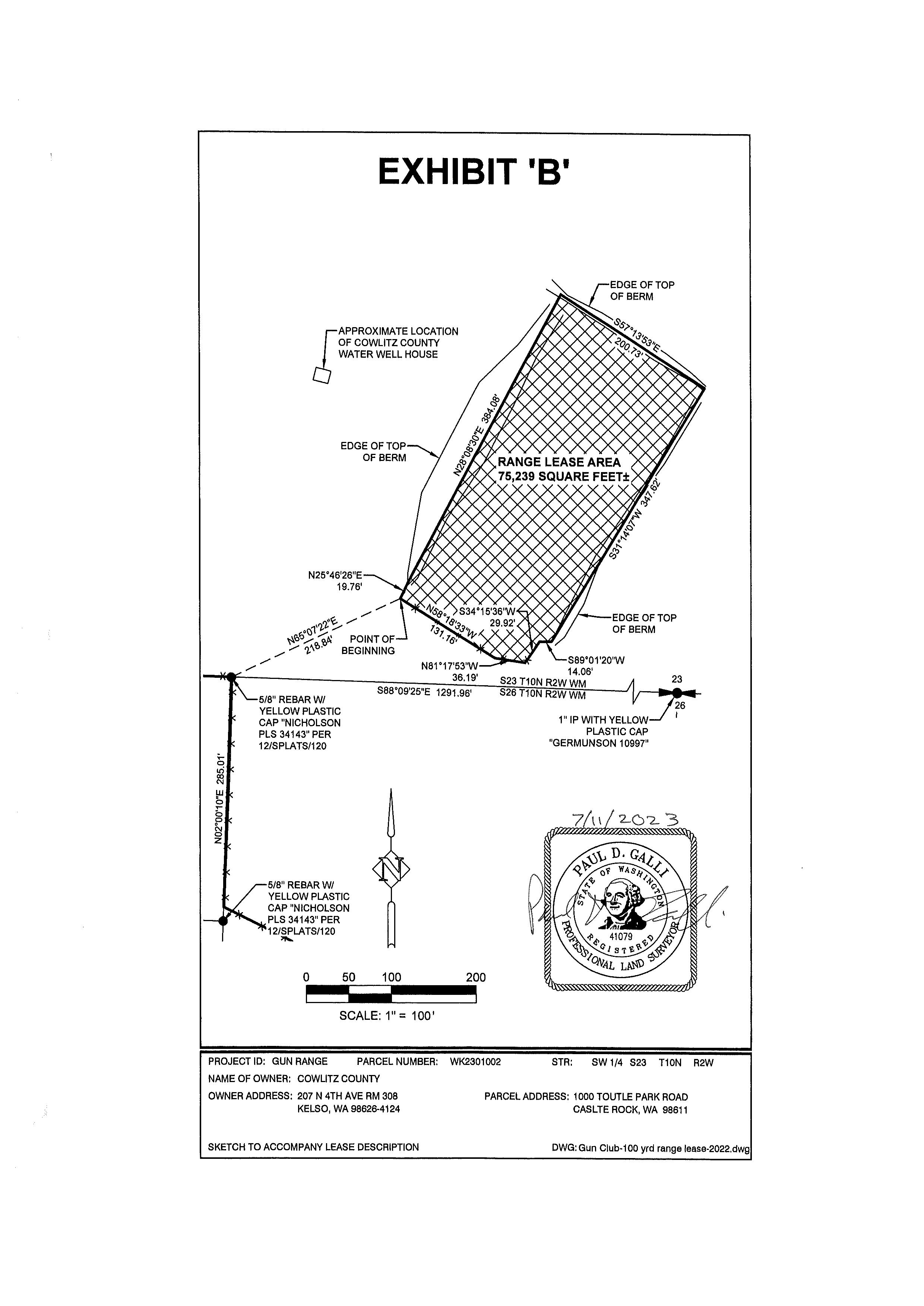
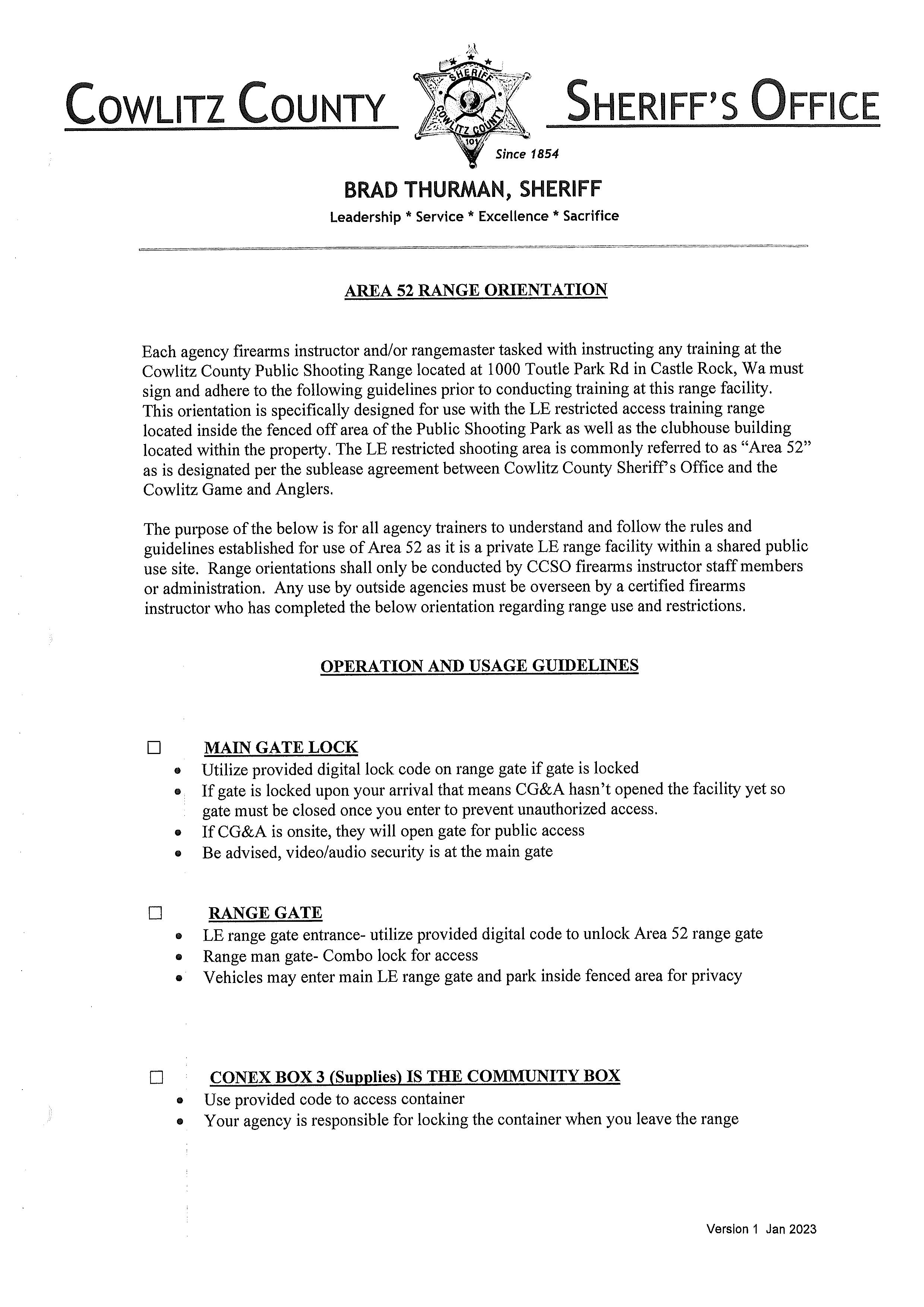
3. Memorandum of Agreement with the Correction Department for the use of the Cowlitz County Public Shooting Range for Law Enforcement Firearms Training Activities until December 31, 2026. (14665)
4. Memorandum of Agreement with the Longview Police Department for the use of the Cowlitz County Public Shooting Range for Law Enforcement Firearms Training Activities until December 31, 2026. (14666)
5. Memorandum of Agreement with the Kelso Police Department for the use of the Cowlitz County Public Shooting Range for Law Enforcement Firearms Training Activities until December 31, 2026. (14667)
Regular Public Meeting
February 3, 2026, 9:00 a.m.
6. Memorandum of Agreement with the Kalama Police Department for the use of the Cowlitz County Public Shooting Range for Law Enforcement Firearms Training Activities until December 31, 2026. (14669)
7. Memorandum of Agreement with the Washington Department of Fish and Wildlife for the use of the Cowlitz County Public Shooting Range for Law Enforcement Firearms Training Activities until December 31, 2026. (14668)
8. Personal Services Agreement with Incident Management Partners to provide Emergency Evacuation Planning. The total amount will not exceed $8,000. (14448)
9. Voucher Ratification for Drainage Improvement District No. 1 for expenses incurred in November 2025 for $370.79. (14663)
The following vouchers/warrants are approved for payment.
Motion Items
Health & Human Services
10. Agreement with Emergency Support Shelter to provide funding to support shelter operations for individuals who are at risk of domestic violence and/or fleeing violence and abuse. The total reimbursement will not exceed $150,000.00 and is funded through Document Recording Fees and the Consolidated Homeless Grant. (14652)
Updates
Chairman Updates Cancellations:
Monday, February 16th – Office Closed (Holiday)
Tuesday, February 17th – Meetings canceled Upcoming Meetings:
Tuesday, February 10th @ 2:00 p.m. – Community House on Broadway (CHOB)
Tuesday, February 24th @ 10:00 a.m. – Board of Health
Tuesday, March 24th @ 10 a.m. – Department of Ecology
February 3, 2026, 9:00 a.m.
RCW 42.30.040 - Conditions of attendance ne required. A member of the public shall not be required, as a condition to attendance at a meeting of a governing body, to register his or her name and other information, to complete a questionnaire, or otherwise to fulfill any condition precedent to his or her attendance. People may remain anonymous when logging on to Zoom by creating any name and email of their choosing. In a meeting, public comment will be received, either or both, orally (raise hand in Zoom or use *9 on phone) and by writing. Note: Written comments may be sent to the Board at any time. For oral presentations, the Board may set a time for comments and speakers.
All matters listed with the Consent Agenda were previously distributed to each Board Member for reading and study, were available for public viewing, are considered items of regular County business, and will be approved, without separate discussion, by one motion of the Board of County Commissioners. An item may be removed from the Consent Agenda and placed on the Regular Agenda for separate discussion and voting at the request of any Board Member.
The Board of Commissioners may add and take action on other items not listed on this Agenda.
Agenda Online Address: https://www.co.cowlitz.wa.us/535/Agendas Regular-Public-Meetings
ZOOM Invitation Address (for all meeting days):
o https://us06web.zoom.us/j/82019613917
KLTV Live Feed Address: http://www.kltv.org







































































































































































































































