Skip to main content

Regular Public Meeting Agenda 02/27/2024

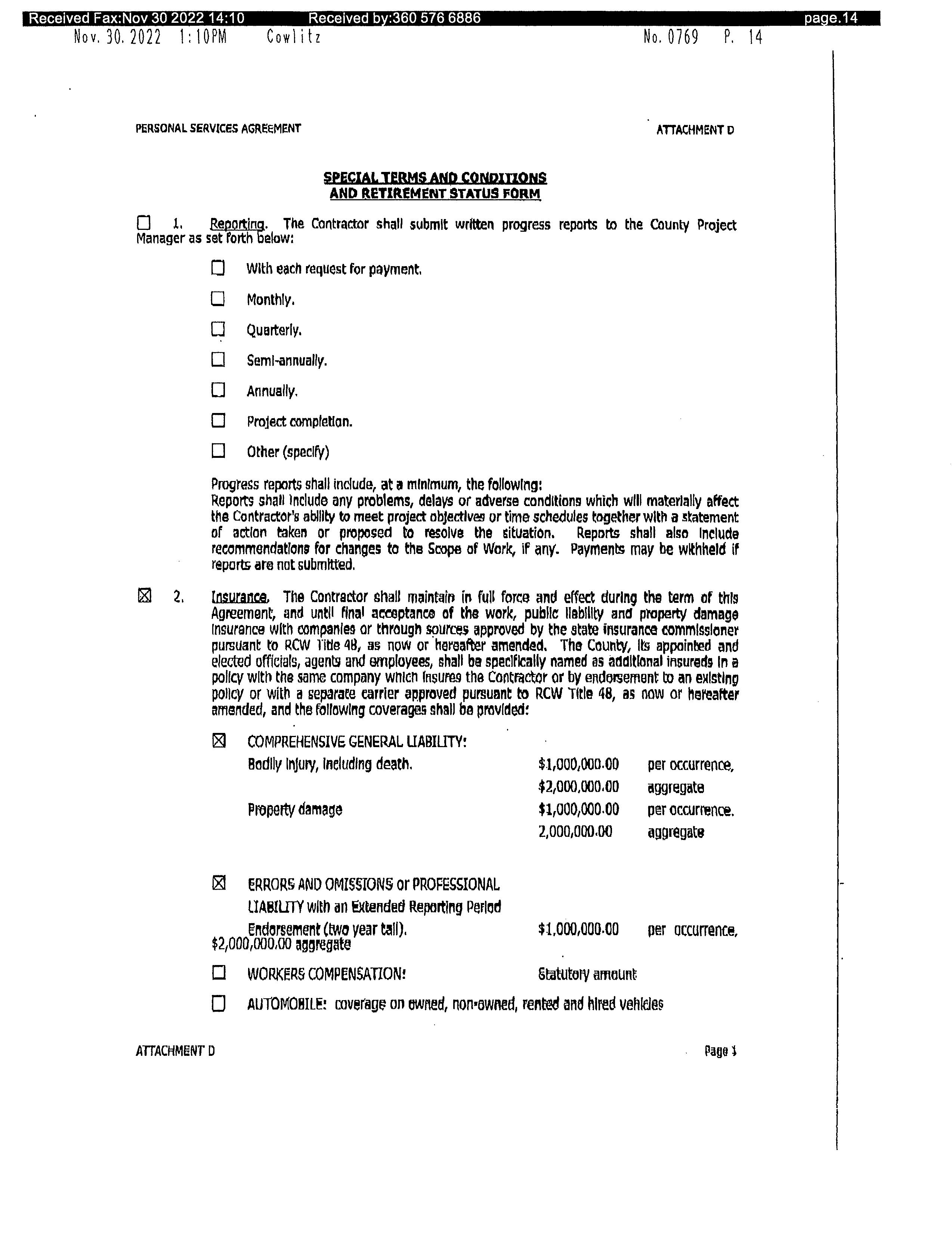
Page 1

Arne Mortensen, Commissioner District 1

Dennis Weber, Commissioner District 2

Richard R. Dahl, Commissioner District 3

Kelly Dombrowsky, Clerk of the Board

Regular Public Meeting

February

27, 2024, 9:00 a.m.

Board Meeting Convenes at 9:00 a.m.

 Pledge of Allegiance

 Minutes of February 19-21, 2024

 Consent Agenda of February 27, 2024

 Call for Hearing

 Motion Items

 Board of Health 10:00 a.m.

 Public Comments

ZOOM Link KLTV Link

Live Stream

Phone Option: (253) 215-8782

Webinar ID: 820 1961 3917

www.kltv.org

o Citizen Participation may be anonymous. See RCW 42.30.040

Consent Agenda

Call for Hearing

1. Call for Hearing - 2023 Budget Amendment & 2024 Budget Amendment scheduled for March 19, 2024, at 9:30 a.m.

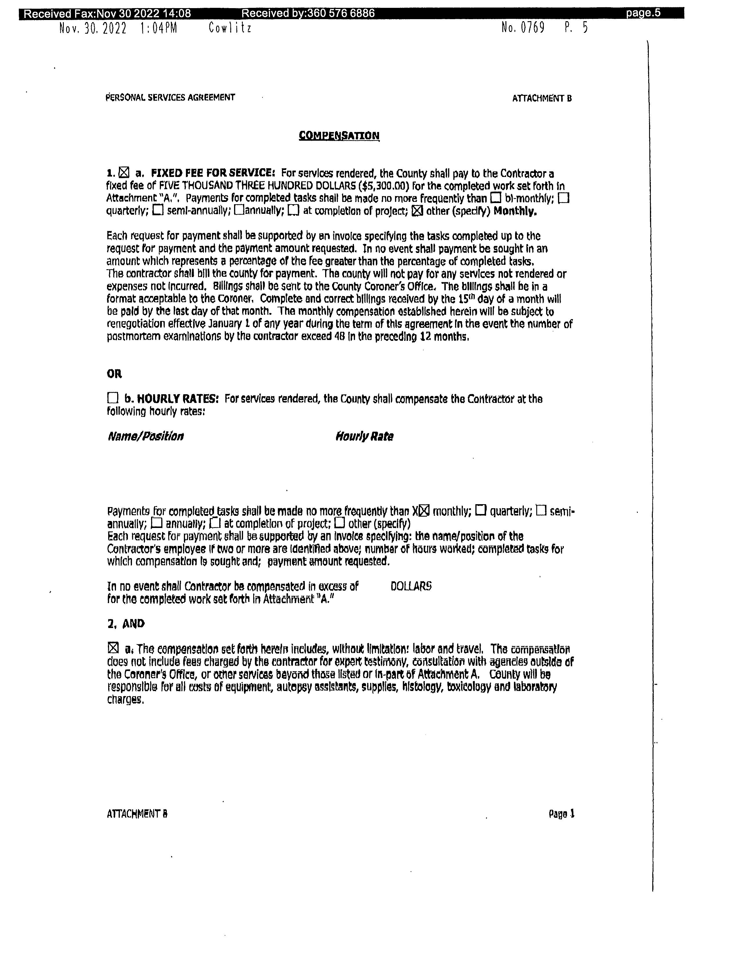
Agreements/Contracts/Bid Awards

2. Personal Service Agreement with Accurate Electric to perform maintenance on the detention security electronic system. The total cost for 2024-2025 is $16,621.50, 20252026 is $17,452.58 and 2026-2027 is $18,283.66.

3. Interlocal Agreement (ILA) with Mason County to provide disposal services at the Headquarters Landfill of Certain Solid Wastes for a term of ten (10) years and may be renewed by mutual agreement for three additional five-year periods.

4. Amendment to the Personal Service Agreement for Dr. Nelson to increase the number of yearly autopsies performed to sixty. The total amount is $120,000 per year.

5. Amendment to the Personal Service Agreement with Dr. Lacsina to provide autopsy services if the main pathologist is unavailable or has exceeded the sixty autopsies for the year at the same rate except child autopsies will be at a rate of $3,200.

Page 1 of 4

Regular Public Meeting

February

Resolution

6. Resolution appointing Lilian Hale as temporary successor to 19th Legislative District State Representative Joel McEntire as provided under RCW 73.16.041.

Board Correspondence

7. Letters/Notices

a. Lewis County Resolution #24-066 dated 2/20/2024 appointing Lilian Hale as temporary successor to 19th Legislative District State Representative Joel McEntire for the period of March 5-March 8, 2024.

b. Letter dated 2/20/2024 from Daniel L. Cothren, Wahkiakum Board of County Commissioners regarding the resolution No. 24-24 appointing Lilian Hale as temporary successor to Representative Joel McEntire for the period of March 5March 8, 2024.

c. Letter dated 2/20/2024 from Grays Harbor County regarding resolution No. 2024024 granting leave for Rep. Joel McEntire and appointing Lilian Hale as temporary successor for the period of March 5-March 8, 2024.

d. Letter date 2/7/2024 from William Fashing, Executive Director and David Olson, Chair of Cowlitz-Wahkiakum Council of Governments regarding the Surface Transportation Block Grant/Carbon Reduction Program funds - Coal Creek Road Improvement Project.

e. Letter dated 2/8/2024 from Jennifer Mendoza, Program Coordinator for the Cowlitz County Noxious Weed Control Program regarding the Noxious Weed Assessment for 2024.

f. Federal Energy Regulatory Commission (FERC) Notice dated 2/13/24 regarding the Bathymetric Survey Report – FERC Comments Response, Swift No. 2 Project.

g. Letter dated 2/27/2024 to Claire Pang reappointing her to the Mosquito Control District representing District 2. This is a 2-year term that expires on February 28, 2026.

h. Letter dated 2/27/2024 to Andriy Boyko reappointing him to the Mosquito Control District representing District 1. This is a 2-year term that expires on February 28, 2026.

Vouchers

8. Drainage Improvement District No. 1 ratification of the November 2023 and December 2023 vouchers in the total amount of $21,376.54.

Page 2 of 4
27, 2024, 9:00 a.m.

Regular Public Meeting

February 27, 2024, 9:00 a.m.

Motion Items

Parks and Recreation

9. Updated Cowlitz County Comprehensive Parks, Habitat and Recreation Plan.

Updates

Chairman Updates

Upcoming Events:

 Wednesday, February 28th @ 2:30 p.m. – Three Rivers Wastewater

 Wednesday, March 13th @ 2:30 p.m. – Gifford Pinchot National Forest

 Wednesday, March 27th @ 2:30 p.m. – Rural Public Facilities

Citizen Comments – Citizen participation may be anonymous. See RCW 42.30.040

Board of Health

 10AM - Call Meeting to Order

 Old / Unfinished Business

o Review Minutes

 New Business

o School Coalition Drug/Alcohol Prevention Presentation - Joy Lyons

o County Health Officer Discussion

o County H.H.S. Budget Discussion

 Public Comment Period

o Citizen Participation may be anonymous. See RCW 42.30.040

 Executive Session (as needed)

 Adjourn Meeting

Page 3 of 4
Fund Voucher Numbers Amount Claims 1000053241-1000053248 $ 42,249.13 Claims 1000053249-1000053398 510,537.42 Claims 1000016022-1000016043 1,680,464.15 Claims 1000016044-1000016117 590,595.33 Claims 1000016019-1000016021 0.00 Special Purpose District No. 1 5000017390-5000017449 72,216.41 Special Purpose District No. 1 5000002379-5000002395 35,505.09 Special Purpose District No. 2 7000003655-7000003659 1,208.11 Special Purpose District No. 2 7000003655-7000003659 520.00 Total $ 2,933,295.64

Regular Public Meeting

February 27, 2024, 9:00 a.m.

RCW 42.30.040 - Conditions of attendance not to be required. A member of the public shall not be required, as a condition to attendance at a meeting of a governing body, to register his or her name and other information, to complete a questionnaire, or otherwise to fulfill any condition precedent to his or her attendance. People may remain anonymous when logging on to Zoom by creating any name and email of their choosing. In a meeting, public comment will be received, either or both, orally (raise hand in Zoom or use *9 on phone) and by writing. Note: Written comments may be sent to the Board at any time. For oral presentations, the Board may set a time for comments and speakers.

All matters listed with the Consent Agenda were previously distributed to each Board Member for reading and study, were available for public viewing, are considered items of regular County business, and will be approved, without separate discussion, by one motion of the Board of County Commissioners. An item may be removed from the Consent Agenda and placed on the Regular Agenda for separate discussion and voting at the request of any Board Member.

The Board of Commissioners may add and take action on other items not listed on this Agenda.

 Agenda Online Address: https://www.co.cowlitz.wa.us/535/Agendas Regular-Public-Meetings

 ZOOM Invitation Address (for all meeting days):

o https://us06web.zoom.us/j/82019613917

 KLTV Live Feed Address: http://www.kltv.org

Page 4 of 4

BEFORE THE BOARD OF COMMISSIONERS OF COWLITZ COUNTY, WA.

In the Matter of Appointing Lilian Hale ) As Temporary Successor to Fill the Position )

Of 19th District State Representative, Joel ) McEntire as provided under RCW 73.16.041 )

24-016

RESOLUTION NO._______________

WHEREAS, pursuant to the provision of 36.32.120(6), the Board of County Commissioners of Cowlitz County has the care of County property and the management of funds and business and in the name of the county prosecute and defend all actions for and against the county, and such other power as are or may be conferred by law; and

WHEREAS, pursuant to the provisions of 73.16.041, when any elective officer of this state or any political subdivision thereof, including any judicial officer, shall enter upon active service or training as provided in RCW 73.16.031, 73.16.033 and 73.16.035, the proper officer, board or other agency, which would ordinarily be authorized to grant leave of absence or fill a vacancy created by the death or resignation of the elective official so ordered to such service, shall grant an extended leave of absence to cover the period of such active service or training and may appoint a temporary successor to the position so vacated. No leave of absence provided for herein shall operate to extend the term for which the occupant of any elective position shall have been elected.

WHEREAS, Joel McEntire, 19th District State Representative, has advised the Board of County Commissioners that he has been called to active service or training beginning on March 5, 2024, and ending on March 8, 2024; and

WHEREAS, the Board of County Commissioners wishes to grant a leave of absence to Joel McEntire, 19th District State Representative, to cover the period of his active service or training, and appoint Lilian Hale as temporary successor of the 19th District State Representative, through March 5, 2024, through March 8, 2024; and

NOW, THEREFORE, IT IS HEREBY RESOLVED by the Board of Health of Cowlitz County that Lilian Hale is hereby appointed to temporarily serve as 19th District State Representative, through March 5, 2024, through March 8th, 2024.

Approved in Open Session this 21 day of February 2024.

BOARD OF COUNTY COMMISSIONERS OF COWLITZ COUNTY, WASHINGTON

Dennis P. Weber, Commissioner District 2

Arne Mortensen, Commissioner District 1

ATTEST:

Kelly Dombrowsky, Clerk of the Board

Certificate Of Completion

Envelope Id: 6CA6DA6F84964B289352F57FB249DFF9

Subject: Resolution Joel McEntire Temporary Successor.pdf

Source Envelope:

Document Pages: 1

Certificate Pages: 5

AutoNav: Enabled

EnvelopeId Stamping: Disabled

Time Zone: (UTC-08:00) Pacific Time (US & Canada)

Record Tracking

Status: Original 2/22/2024 3:22:54 PM

Signer Events

Arne Mortensen

mortensena@cowlitzwa.gov

Security Level: Email, Account Authentication (None)

Signatures: 4

Initials: 0

Electronic Record and Signature Disclosure:

Accepted: 2/22/2024 3:47:43 PM

ID: 51eff4b7-a308-4329-8e23-f14ae0b4338c

Dennis P. Weber

weberd@cowlitzwa.gov

Security Level: Email, Account Authentication (None)

Electronic Record and Signature Disclosure:

Accepted: 12/13/2023 2:17:09 PM

ID: 4bbae5c0-ab12-40e4-9989-bbef8b3c924a

Kelly Dombrowsky

dombrowskyk@cowlitzwa.gov

Clerk of the Board

Security Level: Email, Account Authentication (None)

Status: Completed

Envelope Originator:

Cowlitz County Clerk Of the Board

Stamps: 1 , WA 98626

cowlitz@cowlitzwa.gov

IP Address: 65.183.210.194

Electronic Record and Signature Disclosure:

Accepted: 2/22/2024 3:26:17 PM

ID: c5b752ff-1795-493a-9608-d4173415e8dc

RIchard Dahl rdahl1955@yahoo.com

Security Level: Email, Account Authentication (None)

Holder: Cowlitz County Clerk Of the Board

cowlitz@cowlitzwa.gov

Location: DocuSign

Signature Timestamp

Signature Adoption: Pre-selected Style

Using IP Address: 65.183.210.194

Signature Adoption: Pre-selected Style

Using IP Address: 65.183.210.194

Signature Adoption: Pre-selected Style

Using IP Address: 65.183.210.194

Signature Adoption: Pre-selected Style

Using IP Address: 98.97.112.214

Signed using mobile

Sent: 2/22/2024 3:25:42 PM

Viewed: 2/22/2024 3:47:43 PM

Signed: 2/22/2024 3:47:50 PM

Sent: 2/22/2024 3:25:42 PM

Viewed: 2/22/2024 4:30:30 PM

Signed: 2/22/2024 4:30:49 PM

Sent: 2/22/2024 3:25:43 PM

Viewed: 2/22/2024 3:26:17 PM

Signed: 2/22/2024 3:27:03 PM

Sent: 2/22/2024 3:25:43 PM

Viewed: 2/22/2024 5:11:50 PM

Signed: 2/22/2024 5:12:17 PM

Signer Events Signature Timestamp

Electronic Record and Signature Disclosure:

Accepted: 2/22/2024 5:11:50 PM

ID: d9571aca-aac7-4eab-84ba-bc452af43a06

In Person Signer Events Signature Timestamp

Editor Delivery Events Status Timestamp

Agent Delivery Events Status Timestamp

Intermediary Delivery Events Status Timestamp

Certified Delivery Events Status Timestamp

Carbon Copy Events Status Timestamp

Witness Events Signature Timestamp

Notary Events Signature Timestamp

Envelope

Payment Events Status Timestamps

Electronic Record and Signature Disclosure

Summary Events Status Timestamps Envelope Sent Hashed/Encrypted 2/22/2024 3:25:43 PM Certified Delivered Security Checked 2/22/2024 5:11:50 PM Signing Complete Security Checked 2/22/2024 5:12:17 PM Completed Security Checked 2/22/2024 5:12:17 PM

ELECTRONIC RECORD AND SIGNATURE DISCLOSURE

From time to time, Kelly Dombrowsky (we, us or Company) may be required by law to provide to you certain written notices or disclosures. Described below are the terms and conditions for providing to you such notices and disclosures electronically through the DocuSign system. Please read the information below carefully and thoroughly, and if you can access this information electronically to your satisfaction and agree to this Electronic Record and Signature Disclosure (ERSD), please confirm your agreement by selecting the check-box next to ‘I agree to use electronic records and signatures’ before clicking ‘CONTINUE’ within the DocuSign system.

Getting paper copies

At any time, you may request from us a paper copy of any record provided or made available electronically to you by us. You will have the ability to download and print documents we send to you through the DocuSign system during and immediately after the signing session and, if you elect to create a DocuSign account, you may access the documents for a limited period of time (usually 30 days) after such documents are first sent to you. After such time, if you wish for us to send you paper copies of any such documents from our office to you, you will be charged a $0.00 per-page fee. You may request delivery of such paper copies from us by following the procedure described below.

Withdrawing your consent

If you decide to receive notices and disclosures from us electronically, you may at any time change your mind and tell us that thereafter you want to receive required notices and disclosures only in paper format. How you must inform us of your decision to receive future notices and disclosure in paper format and withdraw your consent to receive notices and disclosures electronically is described below.

Consequences of changing your mind

If you elect to receive required notices and disclosures only in paper format, it will slow the speed at which we can complete certain steps in transactions with you and delivering services to you because we will need first to send the required notices or disclosures to you in paper format, and then wait until we receive back from you your acknowledgment of your receipt of such paper notices or disclosures. Further, you will no longer be able to use the DocuSign system to receive required notices and consents electronically from us or to sign electronically documents from us.

All notices and disclosures will be sent to you electronically

Electronic Record and Signature Disclosure created on: 11/14/2023 11:36:00 AM Parties agreed to: Arne Mortensen, Dennis P. Weber, Kelly Dombrowsky, RIchard Dahl

Unless you tell us otherwise in accordance with the procedures described herein, we will provide electronically to you through the DocuSign system all required notices, disclosures, authorizations, acknowledgements, and other documents that are required to be provided or made available to you during the course of our relationship with you. To reduce the chance of you inadvertently not receiving any notice or disclosure, we prefer to provide all of the required notices and disclosures to you by the same method and to the same address that you have given us. Thus, you can receive all the disclosures and notices electronically or in paper format through the paper mail delivery system. If you do not agree with this process, please let us know as described below. Please also see the paragraph immediately above that describes the consequences of your electing not to receive delivery of the notices and disclosures electronically from us.

How to contact Kelly Dombrowsky:

You may contact us to let us know of your changes as to how we may contact you electronically, to request paper copies of certain information from us, and to withdraw your prior consent to receive notices and disclosures electronically as follows: To contact us by email send messages to: cowlitz@cowlitzwa.gov

To advise Kelly Dombrowsky of your new email address

To let us know of a change in your email address where we should send notices and disclosures electronically to you, you must send an email message to us at cowlitz@cowlitzwa.gov and in the body of such request you must state: your previous email address, your new email address. We do not require any other information from you to change your email address.

If you created a DocuSign account, you may update it with your new email address through your account preferences.

To request paper copies from Kelly Dombrowsky

To request delivery from us of paper copies of the notices and disclosures previously provided by us to you electronically, you must send us an email to cowlitz@cowlitzwa.gov and in the body of such request you must state your email address, full name, mailing address, and telephone number. We will bill you for any fees at that time, if any.

To withdraw your consent with Kelly Dombrowsky

To inform us that you no longer wish to receive future notices and disclosures in electronic format you may:

i. decline to sign a document from within your signing session, and on the subsequent page, select the check-box indicating you wish to withdraw your consent, or you may;

ii. send us an email to cowlitz@cowlitzwa.gov and in the body of such request you must state your email, full name, mailing address, and telephone number. We do not need any other information from you to withdraw consent.. The consequences of your withdrawing consent for online documents will be that transactions may take a longer time to process..

Required hardware and software

The minimum system requirements for using the DocuSign system may change over time. The current system requirements are found here: https://support.docusign.com/guides/signer-guidesigning-system-requirements.

Acknowledging your access and consent to receive and sign documents electronically

To confirm to us that you can access this information electronically, which will be similar to other electronic notices and disclosures that we will provide to you, please confirm that you have read this ERSD, and (i) that you are able to print on paper or electronically save this ERSD for your future reference and access; or (ii) that you are able to email this ERSD to an email address where you will be able to print on paper or save it for your future reference and access. Further, if you consent to receiving notices and disclosures exclusively in electronic format as described herein, then select the check-box next to ‘I agree to use electronic records and signatures’ before clicking ‘CONTINUE’ within the DocuSign system.

By selecting the check-box next to ‘I agree to use electronic records and signatures’, you confirm that:

 You can access and read this Electronic Record and Signature Disclosure; and

 You can print on paper this Electronic Record and Signature Disclosure, or save or send this Electronic Record and Disclosure to a location where you can print it, for future reference and access; and

 Until or unless you notify Kelly Dombrowsky as described above, you consent to receive exclusively through electronic means all notices, disclosures, authorizations, acknowledgements, and other documents that are required to be provided or made available to you by Kelly Dombrowsky during the course of your relationship with Kelly Dombrowsky.

Turn static files into dynamic content formats.

Create a flipbook