Skip to main content

Regular Public Meeting Agenda, Packet, & Video

Page 1

Cowlitz County Board of Commissioners

Dennis P. Weber, Commissioner Arne Mortensen, Commissioner Richard R. Dahl, Commissioner

Regular Public Meeting

March 14, 2023

Cowlitz County Commissioners' Agenda Page: Regular Public Meeting Agenda

Board of Cowlitz County Commissioners regular Tuesday formal meetings are shown live on KLTV Government Access Channel 29: KLTV Link

Board Meeting Convenes at 9:00 a.m.

Pledge of Allegiance

Minutes of March 6-8, 2023

Consent Agenda of March 14, 2023

Call for Hearings

Call for Bids

Motion Items

Bid Openings 11:00 a.m.

Public Comment

Citizen participation may be anonymous. See RCW 42.30.040

Consent Agenda

Call for Hearings

1. Call for Public Hearing date approval for March 28, 2023 at 10:00 a.m. for the proposed urban subdivision of Silver Lake Village III.

Call for Bids

2. Request for Qualifications (RFQ) approval requesting Statements of Qualifications for experienced professional planning consulting services with geotechnical services or peer review of geotechnical assessments.The response deadline is March 30, 2023 at 3:00 p.m.

3. Reject all Bids and Reissue Call for Bids for 28 - 100 ft. X 200 ft. Scrim Polyethylene Geomembranes. Bid Opening is scheduled for March 28, 2023 at 11:00 a.m.

Agreements / Contracts / Bid Awards

Agreements / Contracts / Bid Awards

4. Bid Award approval to Battery Power Solutions for the replacement of the Uninterruptible Power Supply (UPS) system batteries at the Cowlitz County Hall of Justice. Total cost is $30,611.73 including tax.

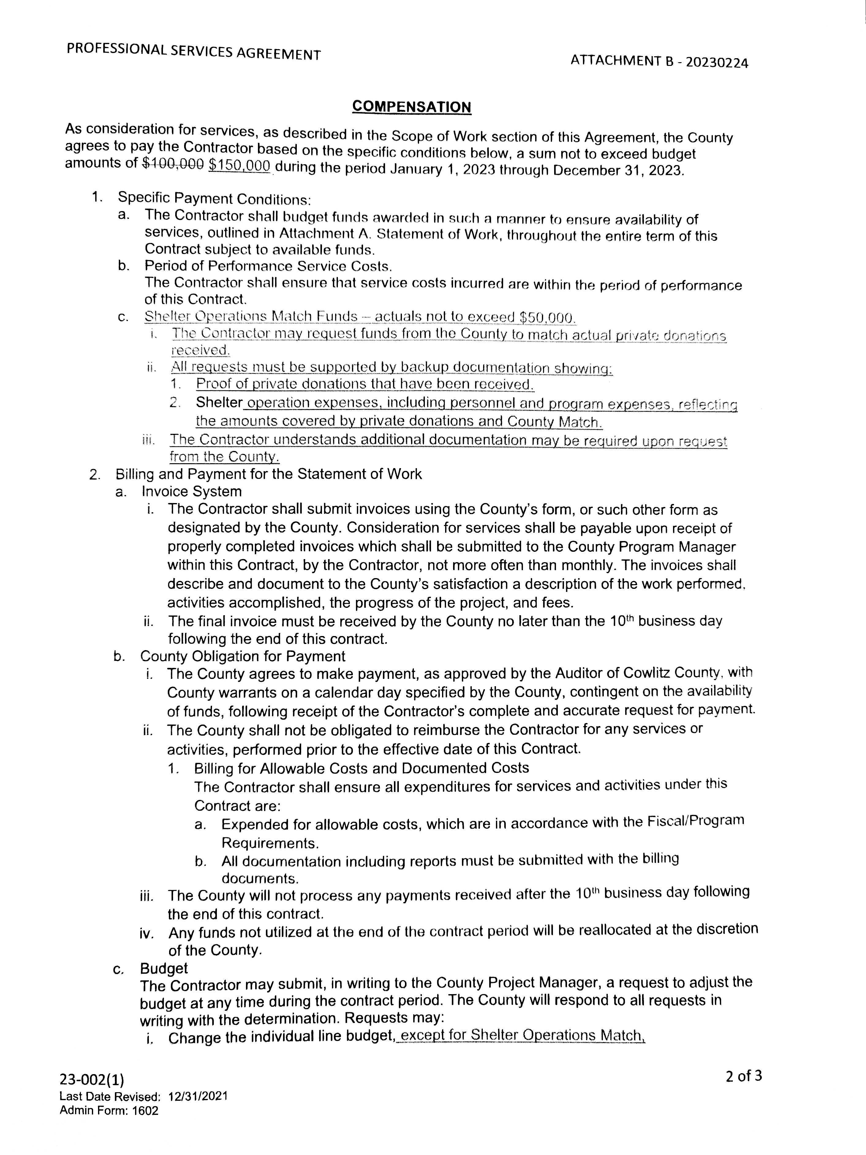
5. Amended Agreement No. One approval with the Emergency Support Shelter to add $50,000 additional match funding to support Shelter operations for individuals fleeing violence and abuse.

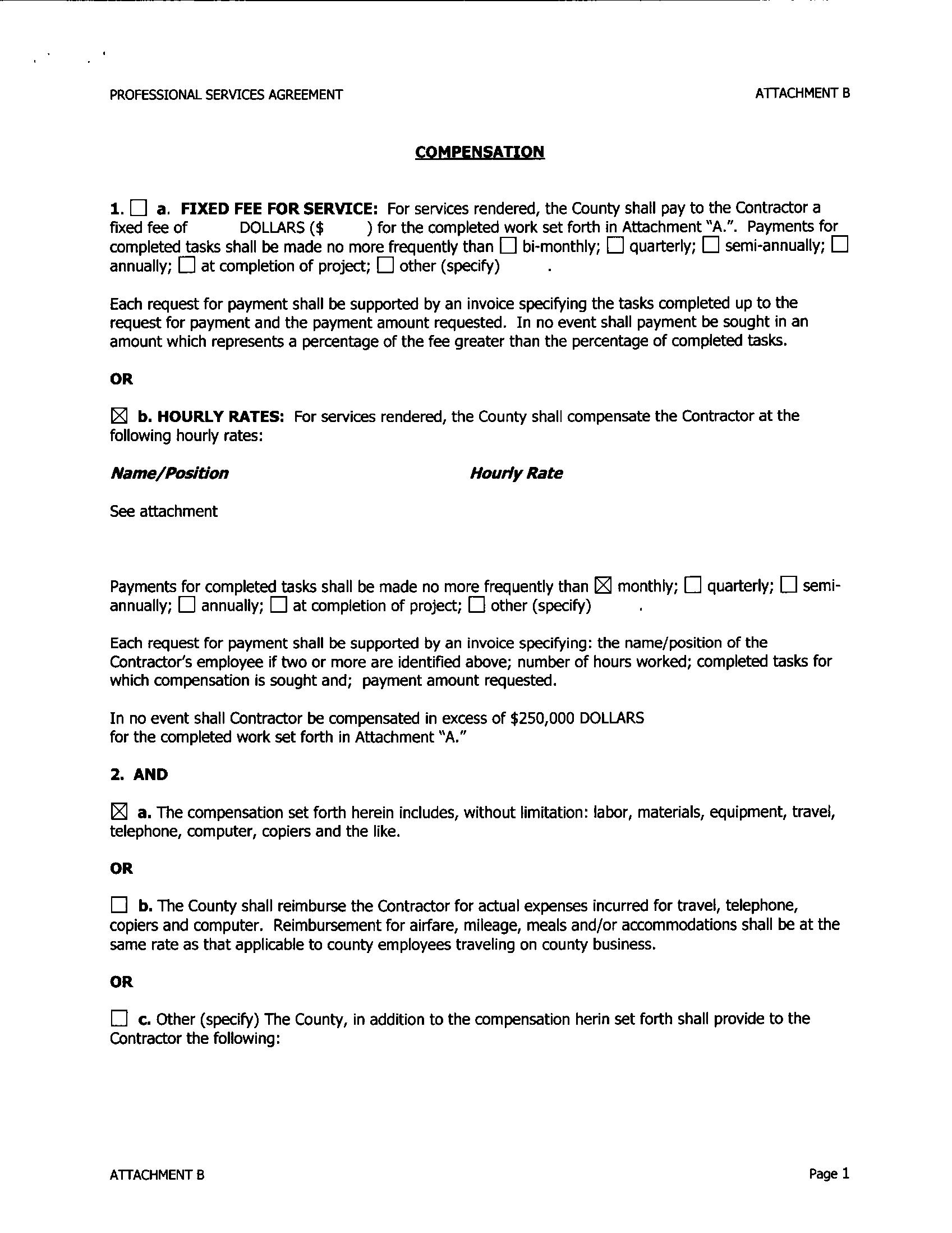
6. Agreement Amendment No. 1 approval with Herrera Environmental Consultants, Inc. for engineering consultant services. The total is not to exceed by $150,000 for a total of $400,000.

7. Completion Letter approval with Columbia River Contractors, Inc., for the 2021 Unit Price Guardrail Installation and repair project.

8. Contract Change Order No. 1 approval to Pacific Tech Construction, Inc for the Sheriff's Office Transaction Window for the added electrical circuits and network drops for the printers and copiers at their new location. The increase is $6,630.00 to $7,167.04 for a total amount of $56,330.89.

Board Correspondence

9. Letters/Notices

a. Federal Energy Regulatory Commission (FERC) Notice dated 2/28/2023 regarding the 2022 Spillway Gate Operation Certificates

Vouchers

10. Voucher ratification approval for Drainage Improvement District No. 1 for the expenses incurred in January 2023 for $31,970.49.

The following vouchers/warrants are approved for payment

Fund Voucher Numbers Amount Claims 1000045269-1000045365 $ 752,633.37 Claims 1000011998-1000012052 208,674.18 Special Purpose District 01 5000001704-5000001714 13,295.33 Special Purpose District 01 5000015353-5000015361 6,832.21 Special Purpose District 02 7000003269-7000003284 13,647.20 Total $ 995,082.29

Motion Items

Public Works

11. Resolution approval for fixing weight restrictions on County owned bridges pursuant to RCW 36.75.270. The load rating analysis identified certain County owned bridges are required to have weight limit restrictions for a period of 10 years.

Building and Planning

12. Agreement approval with Mark Scheibmeir to serve as the Cowlitz County Hearing Examiner for variety of land use, health, and other permit and appeal hearings. Total cost is not to exceed $20,000 per year.

Juvenile Department

13. Bid Award approval to Accurate Electric Unlimited for security system support, repair, and quarterly preventative maintenance services at the Cowlitz County Juvenile Detention Center. Total amount for the first year is not to exceed $14,524.65 including tax, 2024$14,785.57, 2025 - $15,133.46, 2026 - $15,481.36.

Citizen Comments - Citizen participation may be anonymous. See RCW 42.30.040

Timed Items

Bid Openings - Conducted by the Clerk of the Board after Board meeting is adjourned. Bids will not be accepted at 11:00 a.m.

14. Bid Opening - Health & Human Services Roof Replacement

RCW 42.30.040 - Conditions to attendance not to be required. A member of the public shall not be required, as a condition to attendance at a meeting of a governing body, to register his or her name and other information, to complete a questionnaire, or otherwise to fulfill any condition precedent to his or her attendance. People may remain anonymous when logging on to Zoom by creating any name and email of their choosing. In a meeting, public comment will be received, either or both, orally (raise hand in Zoom or use *9 on phone) and by writing. Note: Written comment may be sent to the Board at any time. For oral presentations, the Board may set a time for comment and speakers.

All matters listed with the Consent Agenda were previously distributed to each Board Member for reading and study, were available for public viewing, are considered items of regular County business, and will be approved, without separate discussion, by one motion of the Board of County Commissioners. An item may be removed from the Consent Agenda and placed on the Regular Agenda for separate discussion and voting at the request of any Board Member.

The Board of Commissioners may add and take action on other items not listed on this Agenda.

Agenda Online Address: https://www.co.cowlitz.wa.us/535/Agendas---Regular-Public-Meetings

ZOOM Invitation Address:

Monday - https://us06web.zoom.us/j/81136460132

Tuesday - https://us06web.zoom.us/j/94612805144

Wednesday - https://us06web.zoom.us/j/94101722618

KLTV Live Feed Address: http://www.kltv.org

AS-12675

BOCC Agenda

Meeting Date: 03/14/2023

Call for Hearing - Silver Lake Village III Preliminary Plat

Submitted For: Greta Holmstrom

Department: Building & Planning

Submitted By: Greta Holmstrom

Information

Consent 1.

Subject and Summary Statement

Call for Hearing for closed-record quasi-judicial hearing for proposed urban subdivision Silver Lake Village III.

Will Staff Attend - NAME OF STAFF

Daniel Turner

Greta Holmstrom

Department Recommendation

The Department recommends that the Board, at its March 14, 2023 meeting, set a date for a closed record public hearing on the preliminary plat of Silver Lake Village III, Urban Subdivision Case No. 2270-01.

Attachments

Call for Hearing

Form Started By: Greta Holmstrom

Form Review

Started On: 03/01/2023 09:00 AM

AGENDA SUMMARY

To: The Board of County Commissioners

From: Daniel Turner, Senior Community Planner

Re: Call For Hearing – Preliminary Plat for

Silver Lake Village III, a 26-lot Urban subdivision

Case No. 2270.01

Closed Record - Quasi-Judicial Hearing

Agenda Item No.:

Dept. of Origin: Building & Planning

Date Submitted: March 1, 2023

For Agenda of: March 14, 2023

Expenditure Required: N/A

Attending: Staff

List of Exhibits: Agenda Summary, Resolution, Public Notice

Project Description: Preliminary Plat approval for Silver Lake Village III, a 26-lot Urban Subdivision on an approximately 11.75-acre parcel. A closed record hearing beforethe Board of County Commissioners is required to complete preliminary review.

Project Location: The property is located 6.5 miles northeast of the City of Castle Rock, at 400 Hall Road, Silver Lake; within the NW ¼ of Section 36, Township 10 North, Range 1 West, Willamette Meridian.

Department Recommendation: The Department recommends that the Board, at its March 14, 2023 meeting, set a date for a closed record public hearing on the preliminary plat of Silver Lake Village III, Urban Subdivision Case No. 2270.01.

Planning Commission Action: The Cowlitz County Planning Commission held a quasi-judicial, open record public hearing on February 15, 2023 The staff report, planning commission recommendations and findings of fact, and the meeting minutes will be transmitted to the Board prior to the closed record hearing.

Board Action:

1. Adopt the enclosed resolution setting the closed record public hearing date to consider the approval of Silver Lake Village III Urban Subdivision, Case No. 2270.01.

2. Publish a legal notice at least ten days prior to the hearing date.

BEFORE THE BOARD OF COMMISSIONERS OF COWLITZ COUNTY, STATE OF WASHINGTON

A Resolution in the Matter of Setting a Closed Record X Public Hearing Date to consider the approval of X Resolution No. _______________ Silver Lake Village III Subdivision submitted by X Chilton Development Services, Urban Subdivision X Case Number 2270.01. X

WHEREAS, The Cowlitz County Planning Commission as required by law, has held an open record public hearing to consider an application for preliminary plat approval submitted by Chilton Development Services, to subdivide approximately 11.75 acres into 26 lots, known as Silver Lake Village III.

The property is located 6.5 miles northeast of the City of Castle Rock, at 400 Hall Rd; within the NW ¼ of Section 36, Township 10 North, Range 1 West, Willamette Meridian.

NOW, THEREFORE, IT IS HEREBY RESOLVED by the Board of Commissioners of Cowlitz County, Washington, in a meeting assembled in the Administration Building of said county, that a hearing be held on the 28th day of March, 2023, at the hour of 10:00 am to determine whether the proposed application should be approved, approved with conditions, or denied.

IT IS FURTHER RESOLVED, that the Clerk of said Board forthwith give at least ten (10) days’ notice of said hearing as required by law.

DATED THIS 14th DAY OF March, 2023

BOARD OF COUNTY COMMISSIONERS OF COWLITZ COUNTY, WASHINGTON

Dennis Weber, Chairman

Arne Mortensen, Commissioner

Rick Dahl, Commissioner

ATTEST:

Clerk of the Board

BILL TO: Cowlitz County Department of Building and Planning

207 Fourth Avenue North Kelso, WA. 98626

NOTICE OF CLOSED RECORD PUBLIC HEARING

The Cowlitz County Board of Commissioners will hold a public hearing on March 28, 2023, at 10:00 a.m. Remote and real-time public participation is available- https://zoom.us/j/94612805144 Or Phone: 12532158782, 94612805144# - and in the Commissioner’s Hearing Room, Third Floor, County Administration Building, 207 Fourth Avenue North, Kelso, Washington. Hearing to consider a request submitted by Chilton Development Services, for preliminary plat approval of a 26-lot Urban Subdivision known as Silver Lake Village III. The proposal is to subdivide an approximately 11.75-acre parcel into 26 residential lots. The proposed lots are approximately 6,000 square feet each. The proposal includes new internal public roads and stormwater management facilities. The proposed lots will utilize public water and sanitary sewer.

The property is located 6.5 miles northeast of the City of Castle Rock, at 400 Hall Rd, Silver Lake; within the NW ¼ of Section 36, Township 10 North, Range 1 West

Any and all parties of record having submitted written or verbal testimony may appear at said time and place to be heard, or may submit comments by mail or facsimile, provided the information is received no later than 5:00 p.m., March 27, 2023. Mail or fax your comments to the attention of Kelly Dombrowsky, Clerk of the Board, Cowlitz County Commissioners, 207 Fourth Avenue North, Kelso, Washington 98626, Fax No. 423-9987. The Cowlitz County Administration Building is accessible for persons with disabilities.

BOARD OF COUNTY COMMISSIONERS OF COWLITZ COUNTY, WASHINGTON.

By Direction: Kelly Dombrowsky, Clerk of the Board

Publication Date: __________________________

AS-12682

BOCC Agenda

Meeting Date: 03/14/2023

Consent 2.

Request for Qualifications - Planning Consultation Services with emphasis in Geotechnical Assessments

Submitted For: Traci Jackson

Department: Building & Planning

Submitted By: Traci Jackson

Information

Subject and Summary Statement

Cowlitz County Department of Building & Planning is requesting Statements of Qualifications from qualified consultants able to provide professional planning consulting services with specific design, development, and execution of planning projects and experience with geotechnical services or peer review of geotechnical assessments.

Will Staff Attend - NAME OF STAFF

Department Recommendation

The department recommends the Board to advertise for Request for Qualifications for planning projects and with emphasis in Geotechnical services or peer review of geotechnical assessments.

Attachments

RFQ  Notice

Form Started By: Traci Jackson

Final Approval Date: 03/07/2023

Form Review
Started On: 03/06/2023 10:51 AM

COWLITZ COUNTY DEPARTMENT OF BUILDING & PLANNING

REQUEST FOR QUALIFICATIONS

Consultant Services For:

As-Needed Planning Consultation Services with emphasis in Geotechnical Assessments and Peer Review

Response Deadline: 3:00 p.m., Wednesday, March 30, 2023

Cowlitz County Department of Building & Planning 207 N. 4th Avenue Kelso, WA 98626 (360) 577 – 3052

REQUEST FOR QUALIFICATIONS

As – Needed Geotechnical Engineering Consultation Services with emphasis in Peer Review of Geotechnical Assessments and Critical Areas Permitting

1.0 OBJECTIVE

The Cowlitz County Department of Building & Planning (County) is requesting Statements of Qualifications from qualified consultants able to provide licensed professional geotechnical engineering consulting services with specific experience providing peer review of geotechnical assessments The consultant will provide geotechnical services as County projects are scheduled for development or as circumstances emerge that require professional geotechnical services peer review.

The County anticipates contracting with one firm to provide consulting services on an as-needed basis. The contract term will be for a period of two years with a possible one-year extension.

2.0 BACKGROUND AND AGENCY NEEDS

The County desires to have a firm(s) available for a variety of geotechnical assessments or peer review of third-party assessments and reports prepared to support requests for permit for various types of development activity. No specific projects have been identified at this time.

3.0 SCOPE OF WORK

The task order process will consist of the County contacting and requesting services for a specific project. The consultant will be expected to provide analysis of the geotechnical work performed by licensed professionals in response to code requirements from the Cowlitz County Critical Areas Ordinance. This will include an initial analysis with feedback on revisions needed. Subsequent reviews may be required to address requirements of the Code.

The County will enter into an as-needed agreement for Geotechnical Services and Peer review that can demonstrate experience and ability to perform services that include but are not limited to:

• Peer review of Geotechnical analysis, Geotechnical assessments and Geotechnical reports for compliance with Cowlitz County Code Chapter 19.15

All work and deliverables shall be in accordance with all current and applicable local, State and Federal requirements and shall comply with the department’s standards and schedules.

4.0 ESTIMATE AND SCHEDULE

Anticipated maximum value of resultant contract is $50,000.

The contract is expected to be executed by April 2023 with a term of two (2) years. At the sole option of the County the contract may be extended for up to two one-year extensions

Request for Qualifications As-Needed Planning & Geotechnical Peer Review Services Page 1 of 5

5.0 REQUEST FOR QUALIFICATION (RFQ) PROCESS

Proposers are solely responsible for all costs incurred in the development and submission of the response statement to this RFQ or any other presentations whether in response to this RFQ or to any subsequent requirements of the consultant selection and contract negotiation process.

To be considered responsive to this RFQ the Consultant must follow the directions presented in this solicitation and include the information required.

5.01 SOQ SUBMITTAL AND GENERAL GUIDELINES

Please submit TWO copies of your Statement of Qualifications to: Cowlitz County Department of Building & Planning, 207 N. 4th Avenue, Kelso, WA 98626, Attention Traci Jackson, Director, no later than 3:00 p.m. on Thursday, March 30, 2023. Sealed envelopes containing the submittals shall be labeled “As-Needed Geotechnical and Geological Services SOQ”. Submittals will not be accepted after that time and date.

5.02 SOQ SUBMITTAL CONTENT

The SOQ package must include an introductory letter. The letter is limited to one page and shall contain:

• The firm/consultant name and contact person with name, title, mailing address, e-mail address, and phone number.

• Name and title of the proposed Project manager (if not the contact person) and his/her contact information.

Supporting documentation attached as appendices, cover sheet and introductory letter are included in the determination of total page count of 10.

The firm/consultant must demonstrate competence and qualifications related to the services performed including:

• Successful experience in the aforementioned services including the firm’s ability to provide the technical details, reports and recommendations that may be required.

• The consultant must demonstrate the ability to manage projects and coordinate with other design team members, and County staff, to ensure the projects as a whole are delivered on time and within budget, with potential risks and opportunities identified.

• Ability to respond to unexpected requests (emergencies) for services with minimal notice and delay.

• Ability to work collaboratively in a regulatory environment with other agencies, interest groups, and the County.

Demonstrated Experience

The Qualifications shall list previous work experience that describes and demonstrates that the firm and team members have recent experience in performing peer review of

Request for Qualifications As-Needed Planning & Geotechnical Peer Review Services Page 2 of 5

geotechnical and geological assessments and reports for public and private projects. At a minimum, the following information should be included:

• The names of firm’s employees that are intended to participate in this contract, including principal employees, and a clear delineation of their responsibilities and level of authority within the firm. Identify their expertise and experience, and their proposed interaction with County staff, within the firm and with other agencies.

• Your company’s demonstrated expertise in performing geotechnical and geological peer review services, the dates in which the work was completed, and project contact information.

• Your firm is invited to describe any particular aspects of its organization or qualification that, by way of background, experience, unique qualifications, or other basis, sets this company (team) apart from the competition in its ability to accomplish the identified services.

5.03 COUNTY PROJECT MANAGER

Work performed under the resulting task orders shall be under the direction of the County’s project manager for the specific project for which the task order was created. Please direct questions and inquiries regarding the request for qualifications to:

Cowlitz County Building & Planning Director

207 N. 4th Avenue

Kelso, WA 98626

(360) 577-3052

jackson.traci@cowlitzwa.gov

5.04 ANTICIPATED SCHEDULE

The following schedule has been established for the submission and evaluation of the SOQs and selection of the Consultant. These are tentative dates only and the County reserves the right to adjust these dates at its sole discretion:

• SOQs due: 3:00 P.M., Thursday, March 30, 2023

• Interviews: The week of April 3 - 7, 2023

5.05 ACCEPTANCE/REJECTION OF RESPONSES

The County reserves the right and holds at its discretion the following rights and options:

• To waive any or all informalities in any SOQ,

• To reject any or all responses

• To issue subsequent requests

This RFQ solicitation does not commit the County to enter into a contract or proceed with the procurement of the project. The County assumes no obligations, responsibilities and liabilities

Request for Qualifications As-Needed Planning & Geotechnical Peer Review Services Page 3 of 5

fiscal or otherwise, to reimburse all or part of the costs incurred by the parties submitting an RFQ response. All such costs shall be borne by each company submitting an RFQ response.

5.06 ADDENDUMS TO THE RFQ

In the event it becomes necessary to revise any part of this RFQ, addenda will be provided via email to all individuals who have made the County aware of their interest. Any revisions, updates, clarifications of the RFQ will be posted on the County’s webpage at https://www.co.cowlitz.wa.us/Bids.aspx?CatID=37 . If you download this RFQ from the County website, you are responsible for sending your name, e-mail address and telephone number to Publicworks@cowlitzwa.gov with the subject line As-Needed Geotechnical and Geological Services RFQ in order for your organization to receive any addenda.

6.0 CONSULTANT EVALUATION PROCESS

A team of County staff will evaluate the SOQs according to the consultant evaluation criteria. At the discretion of the County interviews may be conducted and a firm’s final score will be a combination of the two.

6.01 EVALUATION CRITERIA

The SOQs will be evaluated and ranked based on the criteria listed below.

1) Key Personnel and Organization competence and qualifications related to geotechnical services (20 points)

2) Demonstrated experience with geotechnical and geological services (20 points)

3) Demonstrated experience evaluating compliance with critical areas regulations in Washington State (20 points)

4) Demonstrated ability to communicate and work effectively with staff and review bodies (10 points)

5) The firm’s ability to allocate appropriate resources resulting in the ability to respond to ongoing or unexpected services (20 points)

6) Responsiveness to this request for qualifications and references (10 points)

6.02 INTERVIEWS

Following evaluations of the SOQs, the highest ranking firms may be invited to participate in an interview process. The project manager will schedule interviews with the contact person provided in the SOQ. Additional interview information shall be provided at the time of the invitation. The intent of the interviews is to help clarify and verify information provided in the SOQ and to give the County’s evaluation team an opportunity to learn more about the firm’s relevant experience and expertise.

7.0 CONTRACT NEGOTIATION PROCESS

Negotiation of the Scope of Work and budget for each task order will be completed on an as needed basis.

Request for Qualifications As-Needed Planning & Geotechnical Peer Review Services Page 4 of 5

8.0 COUNTY CONTACT INFORMATION

Questions regarding this RFQ should be directed to:

Traci Jackson, Director (360) 577 – 3052 jackson.traci@cowlitzwa.gov

All questions related to this RFQ must be submitted in writing via e-mail to the contact person identified above. The e-mail subject line should state the following, As-Needed Geotechnical and Geological Services RFQ Question. Material questions received by March 20, 2023 will be answered in the form of an addendum and posted to the Cowlitz County website. No verbal answers to questions by County personnel will be binding on the County.

Persons with disabilities may request this information be prepared and supplied in alternate forms by calling (360) 577 – 3052

Americans with Disabilities Act (ADA) Information

Cowlitz County in accordance with Section 504 of the Rehabilitation Act (Section 504) and the Americans with Disabilities Act (ADA), commits to nondiscrimination on the basis of disability, in all of its programs and activities. This material can be made available in an alternate format by emailing Cowlitz County Building & Planning Department at jackson.traci@cowlitzwa.gov or by calling 360-577-3052.

Title VI Statement

Cowlitz County in accordance with provisions of Title VI of the Civil Rights Act of 1964 (78 Stat. 252, 42 U.S.C. 2000d to 2000d-4) and the Regulations, hereby notifies all bidders that it will affirmatively ensure that any contract entered into pursuant to this advertisement, disadvantaged business enterprises will be afforded full and fair opportunity to submit bids in response to this invitation and will not be discriminated against on the grounds of race, color, or national origin in consideration for an award.

Request for Qualifications As-Needed Planning & Geotechnical Peer Review Services Page 5 of 5

AS-12685 3.

BOCC Agenda

Meeting Date: 03/14/2023

REJECT ALL BIDS AND REISSUE CALL FOR BIDS - 28 - 100 ft. X 200 ft. Scrim Polyethylene Geomembranes

Submitted For: Shawn Roewe, Public Works

Department: Public Works

Submitted By: Emilie Cochrane, Public Works

Information

Subject and Summary Statement

Bids were received and opened on February 21, 2023 for 28 - 100 ft. X 200 ft. Scrim Polyethylene Geomembranes.  There was only one bidder and after the bid was reviewed it became clear that the total bid amount came in significantly higher than anticipated.

Attached are the necessary documents to issue a new call for bids for the purchase of 28 - 100 ft. X 200 ft. Scrim Polyethylene Geomembranes.

Will Staff Attend - NAME OF STAFF or No

Yes

Department Recommendation

It is the recommendation of the Department of Public Works that the Board reject the bid submitted on February 21, 2023  and issue a new call for bids, set the bid opening and publish the notice in the usual manner.

Approved: ___________________

Dennis P. Weber, Commissioner

Arne Mortensen, Commissioner

Richard R. Dahl, Commissioner

Attest:_______________________

Kelly Dombrowsky, Clerk of the Board

Attachments

Call for Bids and Notice

Form

Form Started By: Emilie Cochrane

Final Approval Date: 03/08/2023

Review Inbox Reviewed By Date Mike Moss, Public Works Mike Moss 03/07/2023 04:54 PM
Started On: 03/07/2023 08:35 AM

CALL FOR BIDS

The Board of County Commissioners of Cowlitz County, Washington, will receive sealed bids for approximately Twenty Eight (28) 100 ft. x 200 ft. scrim reinforced polyethylene geomembranes.

Sealed bids will be received by the Clerk of the Board of County Commissioners, prior to 11:00 a.m., on the 28th day of March 2023, at which time all bids received will be publicly opened and read in the chambers of the Board, third floor, County Administration Building, 207 Fourth Avenue North, Kelso, Washington, 98626.

RCW 39.34 allows cooperative purchasing between public agencies in the State of Washington. Other public entities (cities, school districts, and so forth), which have filed an interlocal cooperative joint purchasing agreement with the County may elect to purchase the material from the Bidder based on the terms and conditions of this agreement, subject to Bidder’s consent.

Specification and proposal forms will be furnished, upon request, by the Department of Public Works, Public Works Administration Building, 1600 - 13th Avenue South, Kelso, Washington, 98626, telephone (360) 577-3030. The bid proposal, bid specifications, and bid results may be viewed on the Cowlitz County Department of Public Works internet website at http://www.co.cowlitz.wa.us/.

DATED this 14th day of March 2023.

BOARD OF COUNTY COMMISSIONERS OF COWLITZ COUNTY, WASHINGTON

Published: 3/15/23

PUBLICATION REQUIREMENT: To be published in one issue at least thirteen (13) days prior to bid opening.

BILLING INFORMATION:

1) AFFIDAVIT TO: Cowlitz County Commissioners

ATTN: Clerk of the Board

2) BILL TO: Cowlitz County Department of Public Works

P.O. 00954 1600 – 13th Avenue South Kelso, WA 98626

N O T I C E
100 FT. x 200 FT. SCRIM REINFORCED POLYETHYLENE GEOMEMBRANES

CALL FOR SEALED BIDS AND PROPOSALS

100 FT. x 200 FT. SCRIM REINFORCED POLYETHYLENE GEOMEMBRANES

Sealed bids will be received by the Board of County Commissioners of Cowlitz County, Washington, ATTN: Clerk of the Board, 207 Fourth Avenue North, Kelso, Washington, 98626, prior to 11:00 a.m., the 28th day of March, 2023, at which time all bids received will be publicly opened and read in the chambers of the Board for approximately Twenty Eight (28) 100 ft. x 200 ft. scrim reinforced polyethylene geomembranes.

Outside of envelope must have the following information:

1) Mailing Address: Commissioner's Office

ATTN: Clerk of the Board 207 Fourth Avenue North, Room 305 Kelso, WA 98626

2) Bid Description: 100 ft. x 200 ft. scrim reinforced polyethylene Geomembranes

3) Date of Bid Opening: Tuesday, March 28, 2023 prior to 11:00 a.m.

All bids must be submitted upon the Bidder's Proposal form with a specification sheet attached of the proposed material. Bidders shall complete every space in the SECTION 2 - BIDDER'S PROPOSAL column with either a check mark () to indicate the item being bid is exactly as specified or a description to indicate any deviation of item being bid from specifications. Bids received after the date and time stated in this call for bids will not be accepted and will be returned unopened to Bidder.

Firm prices are solicited for approximately Twenty-Eight (28) 100 ft. x 200 ft. scrim reinforced polyethylene geomembranes Cowlitz County will accept no additional charges including, but not limited to freight, fuel surcharges and other charges. Payment for the material will be made according to State Statute, in the month following date of delivery, provided a detailed invoice has been furnished by the Bidder.

Deviations or alternatives from the provisions of these specifications will be considered to permit manufacturers to follow their standard manufacturing processes. Such deviations or alternatives will be approved, however, only in the sole discretion of the County and only if, in their opinion, they do not adversely affect the strength, efficiency, effectiveness or life of the material. All proposed deviations or alternatives, with full details, must be listed on the bid proposal form, which is part of the bid, unless otherwise noted. The listing of such deviations or alternatives will indicate that the bid may be accepted only with such deviation. There shall be no deviations from the specifications, except those, which are listed as deviations on said Bidder's proposal and which are expressly approved as part of the Board's acceptance of the bid.

Availability date of the material will be a consideration in the acceptance of the bid. The bid proposal shall serve as the binding contract document for the purchase of this material.

RCW 39.34 allows cooperative purchasing between public agencies in the State of Washington. Other public entities (cities, school districts, and so forth), which have filed an interlocal cooperative joint purchasing agreement with the County may elect to purchase the material from the Bidder based on the terms and conditions of this agreement, subject to Bidder’s consent.

The Board reserves the right to reject any and all bids, to waive any informalities in the bids, and to accept other than the low bid if it appears to be in the best interests of the County.

DATED this 14th day of March 2023.

BOARD OF COUNTY COMMISSIONERS OF COWLITZ COUNTY, WASHINGTON

Dennis P. Weber, Chairman

Arne Mortensen, Commissioner

Richard R. Dahl, Commissioner

ATTEST: Kelly Dombrowsky Clerk of the Board

GENERAL REQUIREMENTS

GENERAL DESCRIPTION

The material requested will be used as needed for interim covering of landfill surfaces at the Headquarters Landfill.

These specifications cover material that will meet or exceed the following requirements.

COMPLIANCE WITH SPECIFICATIONS

To be eligible for award, Bidders must indicate in the space provided adjacent to each item, whether the material they are offering meets, exceeds or deviates from the desired technical specifications with a specification sheet attached.

STANDARD MATERIAL

The material offered shall include all of the manufacturer’s standard material for the material type offered in addition to the items required by the specifications.

ACCEPTANCE

No part or parts defective in manufacture or deficient in any of the requirements of these specifications will be considered as being accepted consequence of the failure of any employee of Cowlitz County to point out said defects prior to acceptance of the material by Cowlitz County. Bidder shall include in the bid price the following guarantees or warranties:

Warranty

a. A manufacturer’s certificate that the geomembrane material was manufactured and tested in accordance with GRI-GM22 specifications shall be furnished at time of shipment. The successful Bidder hereby warrants that all geomembranes delivered hereunder shall be free from defects in material and workmanship shall conform to all applicable specifications and shall be fit for the County’s intended use as interim landfill cover applications. Upon being notified that any item delivered hereunder fails to comply with the foregoing warranty, Bidder shall promptly repair or replace the defective item(s) to the County’s satisfaction. No acceptance of, use of, or payment for such item(s) shall be deemed to constitute acceptance of any defect(s) nor release Bidder from its obligation under this warranty. Said warranty shall extend for 90 days from date of delivery of the geomembranes and sandbags.

b. Cowlitz County may avail itself of the Bidder’s standard warranty if more beneficial to the County.

DESCRIPTION OF MATERIAL OFFERED

Bidder shall insert a detailed description (and product literature) of the material offered in the space provided for each item in the material specifications. If more space is needed, additional sheets shall be attached.

Reinforced Polyethylene Geomembrane Bid Page 1 of 4

POST-DELIVERY INSPECTION

Cowlitz County shall retain the right to rescind this purchase, if within 7 days of delivery, the material is found to not meet all of the required or agreed upon specifications.

DELIVERY

Cowlitz County requests delivery within forty-five (45) days of purchase order.

F.O.B. POINT

Bid price submitted shall include delivery of the completed units as follows: each to the Cowlitz County Headquarters Landfill, 3434 South Silver Lake Road, Castle Rock, WA 98611. Contact Shawn Roewe at (360) 577-3030 ext. 6560, or at roewes@cowlitzwa.gov to schedule delivery.

METHOD OF AWARD

It is the intention of the County to make award on a total package basis and Bidders are encouraged to submit complete bid proposals. However, Cowlitz County reserves the right to award on an individual item basis or in any manner that is considered to be in its best interest.

Award of this contract is subject to funding availability.

Cowlitz County also reserves the right to make no award at its discretion.

All Quantities are approximate and some reductions or additional tonnage may be requested at bid unit price.

BRAND NAME MATERIAL SPECIFIED

Any reference to a brand name product is intended to indicate an acceptable quality level and provide reference as to the type of material requested.

OPTIONAL PRICING

Bidders are requested to provide optional pricing as indicated. This optional pricing will not be considered when evaluating the low responsive bid. However, Cowlitz County reserves the right to avail itself to the optional prices if it appears to be in the County’s best interest to do so.

TERMINATION

The County may cancel any purchase order/contract, or any part thereof, by written notice at any time without penalty if the Bidder fails to comply with the terms, instructions, specifications, delivery completion date, or to perform the work with diligence.

ADDITIONAL INFORMATION

If additional information is desired, please contact Shawn Roewe, at (360) 577-3030 ext. 6560, or at roewes@cowlitzwa.gov.

Reinforced
Page 2 of 4
Polyethylene Geomembrane

SECTION 1

BIDDER’S PROPOSAL FORM

MINIMUM SPECIFICATIONS

100 FT. x 200 FT. SCRIM REINFORCED POLYETHYLENE GEOMEMBRANES

SECTION 2

BIDDER’S PROPOSAL

GENERAL

It is the intent of this specification to describe and govern the purchase of 100 ft. x 200 ft. scrim reinforced polyethylene geomembranes.

FREIGHT

Freight costs must be included in the unit price, FOB, Cowlitz County Headquarters Landfill, 3434 South Silver Lake Road, Castle Rock, Washington 98611. Bidder will be responsible for any damage in transit.

Above delivery location does not have an unloading ramp as such tarps will require delivery in open sided trailer to allow removal with forklift from the ground.

Yes ___ No ___ Yes ___ No

MATERIAL FOR GEOMEMBRANES

Griffolyn TX-1600 a 3-ply laminate combining two layers of U.V. stabilized coextruded polyethylene and a high-strength nylon cord grid which is a registered trademark of Reef Industries, Inc., of Houston, Texas, or Dura-Skrim R12BV 4-layer reinforced extrusion laminate manufactured by Raven Industries of Sioux Falls, South Dakota Yes ___ No

MATERIAL PROPERTIES

Geomembrane shall comply with Geosynthetic Research Institute

(GRI) GM22 standard specification for test methods, Required Properties and Testing Frequencies for Scrim Reinforced Polyethylene Barriers Use in Exposed Temporary Applications. Yes ___ No

COLOR, QUANTITY AND SIZE

a.

b.

Black Geomembranes each with a dimension of 100 ft. x 200 ft. size

Yes No Yes ___ No ___

Reinforced Polyethylene Geomembrane

Page 3 of 4

Prices quoted on this proposal will be honored by the Bidder until: __________________.

Bidder must attach a specification sheet of the material. (Date)

OPTIONS:

Other deviations not listed in the foregoing specifications (Including Alternatives/Options):

The bidder acknowledges receipt of the following addenda (if any):______________________.

100

The undersigned agrees to furnish the foregoing material in accordance with the attached specifications, with no deviations except as noted.

DATE AVAILABLE:

BID SUBMITTED BY: (Company Name)

SIGNATURE: TITLE:

NAME PRINTED:

ADDRESS OF BIDDER:

PHONE: FAX:

EMAIL:

DATE OF BID:

Reinforced Polyethylene Geomembrane

Page 4 of 4
Item Quantity Unit Price (per each roll) Extended Price (quantity x unit price)
28 $ $
State Sales Tax (7.8%) $ Total Cost to County $
Geomembranes
Washington
FT. x 200 FT. SCRIM REINFORCED POLYETHYLENE GEOMEMBRANE

AS-12681

BOCC Agenda

Meeting Date: 03/14/2023

Contract Execution: UPS Battery Replacement Project #2023-0009-01

Submitted For: Will Tastad

Department: Facilities Maintenance

Subject and Summary Statement

Consent B. 4.

Submitted By: Ashley Claussen

Information

On February 28, 2023, the Board of County Commissioners voted to award agreement #2023-0009-01 for the replacement of the UPS system batteries at the Cowlitz County Hall of Justice to Battery Power Solutions (AS-12644). The agreement has been signed and returned by the contractor and now requires final signature and execution.

The total cost of the agreement is $30,611.73 including Washington State sales tax.

Will Staff Attend - NAME OF STAFF No.

Department Recommendation

It is the recommendation of the Facilities Maintenance Department that the Board sign and execute the agreement.

Fiscal Impact

Expenditure Required $: 30,611.73

Budget Sufficient Y-N: Y

Amendment Required Y-N: N

Source of Funds - What Dept ? : Facilities

Grant Y-N: N

Attachments

Agreement

Form Review

Inbox Reviewed By Date Will Tastad

Mike Moss, Public Works

Form Started By: Ashley Claussen

Final Approval Date: 03/07/2023

Will Tastad 03/06/2023 07:13 AM
Mike Moss 03/06/2023 07:37 AM
Started On: 03/03/2023 11:06 AM

COWLITZ COUNTY

SMALL WORKS ROSTER CONSTRUCTION SERVICES AGREEMENT CONTRACT NUMBER 2023-0009-01

TITLE: UPS BATTERY REPLACEMENT

CONTRACT SUMMARY

Contract Value: $30,611.74including applicable taxes

Estimated Completion Date: Thirty (30) working days after Notice to Proceed

Contract Type: Lump Sum

Contract Administrator: Ashley Claussen

Phone: 360-577-3030 ext. 6856

Email: ClaussenA@cowlitzwa.gov

PARTIES

COUNTY: CONTRACTOR:

Cowlitz County Washington Battery Power Solutions LLC

C/O Cowlitz County Facilities Maintenance 201 Frontage Road N, Suite A 1600 13th Avenue S Pacific, WA 98047

Kelso, WA 98626

Contract Facilitator: Dylan Wills

Phone:360-577-3199 ext. 6757

Email: WillsD@cowlitzwa.gov

Contact: Tina McGraw

Phone: 253-931-8222

Fax: N/A

Email: tmcgraw@batterypowersystems.com

THISAGREEMENT made and entered into effectivethe ___________ day of _____________, 2023 by and between COWLITZ COUNTY, a political subdivision of the State of Washington having offices for the transaction of business indicated above and hereinafter referred to as the “County”, and the “Contractor”, named and having offices for the transaction of business indicated above jointly, hereinafter referred to along with the County as the“Parties”.

WHEREAS, the Board of County Commissioners of Cowlitz County pursuant to the provisions of the Revised Code of Washington Section 36.32.120(6) has the care of County property and the management of County funds and business; and

WHEREAS, the Purchasing Services Department pursuant to the above cited statutory section and those provisions as set forth in the Revised Code of Washington Section 39.04.155, et seq. did let out for bid the Small Works Roster Project #2023-0009-01 for the replacement of batteries in the Uninterruptible Power Supply system at the Cowlitz County Hall of Justice; and

WHEREAS, thePurchasing Service Department, on behalf of Cowlitz County, did on January 30, 2023 open said bids and theBoard ofCountyCommissionersdidonFebruary28,2023acceptthebidoftheContractorhereinasthelowestresponsiblebidderforCowlitz County.

NOW,THEREFORE,forandinconsiderationofthemutualpromisessetforthherein,thepartiesheretodomutuallyagreeasfollows:

ARTICLE 1. COMPENSATION, WORK AND SERVICES.

The Contractor, for the consideration of thirty thousand six hundred eleven dollars and seventy-four cents ($30,611.74), including applicable sales tax, for work performed as specified in the “Contract Documents” as enumerated herein below, shall in strict accordance with all of the provisions therein, perform all work and provide all materials called for by the Contract Documents. The County agrees to pay the Contractor for said work as specified in the “ContractDocuments.”

ARTICLE 2. CONTRACT DOCUMENTS

TheContractDocumentsconsistofthisAgreement,allconditions ofCowlitzCountyBidNo. 2023-0009-01 and other documents listed below issued prior to the execution of this Agreement and all modifications and change orders issued subsequent thereto. These forma contract and all are as fully a part of the contract as if attached to this Agreement or repeated herein. In the event of a conflict between documents the order of precedence will be the order listed below. An enumeration of the contract documents is set forth below:

1. Change Orders; and

2. Notice to Proceed; and

3. Notice of Award; and

4. Agreement; and

5. Addenda; and

3 March

6. Specifications, Project Conditions and Drawings;and

7. The provisions of Cowlitz County Bid No. 2023-0009-01; and

8. The bid of the contractordated January 26, 2023.

ARTICLE 3. RELATIONSHIP OF THE PARTIES

The parties intend that an independent contractor relationship will be created by this Agreement. The County is interested only in the results to be achieved, and the conduct and control of all services or work will lie solely with the Contractor. No agent, employee, servant or otherwise of the Contractor shall be or shall be deemed to be an employee, agent, servant or otherwise of the County for any purpose, and the employees of the Contractor are not entitled to any of the benefits that the County provides for County employees. The Contractor will be solely and entirely responsible for its acts and for the acts of its agents, employees, servants, subcontractors, or otherwise during the performance of his Contract. In the performance of the services herein contemplated, the Contractor is an independent contractor with the authority to control and direct the performance and details of the work, the County beinginterested onlyin the results obtained; however, theworkcontemplated herein must meet the approval of the County pursuant to the provisions of the agreement under which the services and work were let to theContractor.

ARTICLE 4. INDEMNIFICATION

The Contractor is an independent contractor and not the agent or employee of the County. No liability shall attach to the County for entering into this Contract or because of any act or omission of the Contractor except as expressly provided.

The Contractor agrees to defend, indemnify and hold the County and the County's Consultant(s), when used on the project, harmless from any and all claims, including but not limited to reasonable attorney fees, demands, losses and liabilities to or by third parties arising from, resulting from or connected with services performed or to be performed under this contract by the Contractor, its agents or employees to the fullest extent permitted by law. The Contractor's duty to indemnify the County and Consultant shall not apply to liability for damages arising out of bodily injury to persons or damage to property caused by or resulting fromthe sole negligence of the County or Consultant, their agents or employees. The Contractor's duty to indemnify the CountyandConsultantforliabilityfordamagesarisingoutofbodilyinjurytopersonsordamagetopropertycausedbyorresulting from the concurrent negligence or (a) the County or Consultant, their agents or employees, and (b) Contractor, its agents or employees shall apply only to the extent of negligence of the Contractor or its agents or employees. Contractor's duty to defend, indemnify and hold the County harmless shall include, as to all claims, demands, losses and liability to which it applies, the County's personnel-related costs, reasonable attorney's fees, court costs and all other claim-relatedexpenses.

The Contractor's indemnification shall specifically include all claims for loss liability because of wrongful payments under the Uniform Commercial Code, or other statutory or contractual liens or rights or third parties, including taxes, accrued or accruing as a result of this contract or work performed or materials furnished directly or indirectly because of this contract.

Contractor further agrees that this dutyto indemnifyCountyapplies regardless of any provisions in RCW Title 51 tothe contrary, including but not limited to any immunity of Contractor for liability for injuries to Contractor's workers and employees, and Contractor herebywaives any such immunity for the purpose of this duty toindemnifyCounty.

ARTICLE 5. TERMINATION

Contract(s) resulting from this bid may be terminated, in whole or in part, under the following conditions: 1) by mutual written agreement; 2) bytheCounty for breachbythebidder of any of the obligations or requirements set forth inthe contract documents. TheCountyretains the optiontorequire thebiddertoassume liabilityfor anyandall damages, includingtheexcess ofre-procuring similar products or services; 3) for the convenience of the County; or 4) by the County for non-appropriation of funds.

ARTICLE 6. TERMINATION BY THE COUNTY WITHOUT CAUSE

Notwithstandingany other provisions contained herein, theCounty, withoutcause, mayterminatethe contractbetween the parties by providing notice to the Contractor. Upon termination under this section: 1) All remaining obligations of the parties are discharged, but any right based upon breach or performance occurring prior to termination survives; 2) If the reasonable costs of performance incurred by the Contractor prior to termination exceed the amount paid by the County to the Contractor on the Contract Sum, the County shall reimburse the Contractor in the amount of such excess; 3) If the amount paid by the County to the Contractor on the Contract Sum exceeds the reasonable costs of performance incurred by the Contractor prior to termination, the Contractor shall reimburse the County in the amount of such excess; 4) Any funds obtained or retained by the Contractor as provided in 2) or 3) of this paragraph, shall constitute full payment and consideration for the services performed bythe Contractor prior to termination.

ARTICLE 7. MAINTENANCE OF RECORDS

The Firmwill maintain, for at least three (3) years after completion of this contract, all relevant records pertaining to this contract. The Firmshall make available to the County or the Washington State Auditor or their duly authorized representatives, atany time during their normal operating hours, all records, books or pertinent information which the Firm shall have kept in conjunction with this Agreement and which the County may be required by law to include or make part of its auditing procedures, an audit trail or which may be required for the purpose of funding the services contracted forherein.

ARTICLE 8. VENUE STIPULATION

This Agreement has and shall be construed as having been made and delivered in the State of Washington, and the laws of the State ofWashingtonshallbeapplicable toits constructionandenforcement. Anyactionatlaw,suitinequity orjudicialproceeding for the enforcement of this Agreement or any provisions hereto shall be instituted only in courts of competent jurisdiction within Cowlitz County, Washington, unless relocation or commencement elsewhere is required by law.

ARTICLE 9. COMPLIANCE WITH LAWS

TheContractor inthe performance ofthis Agreementagrees to complywithallapplicable federal, state andlocallaws, ordinances and regulations including but not limited to those pertaining to civil rights. The Contractor may not, without the prior written approval of the County, assign, sublet or transfer in whole or in part his interest in this Agreement.

ARTICLE 10. INTEGRATION

This Agreement contains all the terms and conditions agreed upon by the Parties. No other understanding, oral or otherwise regarding the subject matter of this Agreement shall be deemed to exist or to bind any of the parties. All Parties have read and understand the above contract and now state that no representations, promises, or agreements not expressed by this Agreement have been made to induce the other to execute the same.

ARTICLE 11. LIQUIDATED DAMAGES

Time is of the essence in the performance of the contract. Because the County finds it impractical to calculate the actual costs of delays, it has adopted the Liquidated Damage Table in the Attachment to the Bid Documents.

Liquidated damages will not be assessed for any days for which an extension of time is granted. No deduction or payments of liquidated damages will in any degree, release the Contractor from further obligation and liabilities to complete the entire work.

ARTICLE 12. RECOVERY OF FUNDS

Whenever, under the contract, any sum of money shall be recoverable from or payable by the Contractor to Cowlitz County the same amount may be deducted from any sum due to the Contractor under the contract or under any other contract between the contractor and Cowlitz County. The rights of Cowlitz County are in addition and without prejudice to any other right Cowlitz County may have to claim the amount of any loss or damage suffered by Cowlitz County on account of the acts or omissions of the Contractor.

ARTICLE 13. ENFORCEMENT COSTS

If any legal action or other proceeding is brought for the enforcement of this Contract, or because of an alleged dispute, breach, default or misrepresentation in connection with any provisions of this Contract, the successful or prevailing party or parties shall be entitled to recover reasonable attorney's fees, court costs, and all expenses (including taxes) even if not taxable as court costs (including, without limitation, all such fees, costs, and expenses incident to appeals), incurred in that action or proceeding, in addition to any other relief to which such party or parties may be entitled.

ARTICLE 14. ANTI-KICKBACK

No officer or employee of the County, having the power or duty to perform an official act or action related to this Agreement, shall have or acquire any interest in this agreement, or have solicited, accepted or granted a present or future gift, favor, service, or other thing of value from or to any person involved in this Agreement.

ARTICLE 15. WAIVER

No officer, employee, agent or otherwise of the COUNTY has the power, right or authority to waive any of the conditions or provisions to this Agreement. No waiver of any breach of this Agreement shall be held to be a waiver of any other or subsequent breach. All remedies afforded in this Agreement or at law shall be taken and construed as cumulative, that is, in addition to every other remedy provided herein or by law. Failure of the COUNTY to enforce at any time any of the provisions of this Agreement or to require at any time performance by CONTRACTOR of any provision hereof, shall in no way be construed to be a waiver of such provisions, nor in any way affect the validity of this Agreement or any part hereof, or the right of the COUNTY to hereafter enforce each and every suchprovision.

ARTICLE 16. EXECUTION AND VALIDITY

Execution of this Agreement constitutes the valid and binding obligation of Contractor, enforceable against it in accordance with the terms of the Agreement. The PARTIES warrant that the officers/individuals executing below have been duly authorized to act for and on behalf of the Party for purposes of confirming this Agreement.

ARTICLE 17. COUNTERPARTS

This Agreement may be executed in any number of counterparts, each of which, when so executed and delivered, shall be an original, but such counterparts shall together constitute but one and the same

ARTICLE 18. THIRD PARTY BENEFICIARIES

This Agreement is intended for the benefit of the COUNTY and CONTRACTOR and not for the benefit of any third parties.

ARTICLE 19. SURVIVAL

Without being exclusive, the Article for Indemnification and the Article for Venue Stipulation of this Agreement shall survive any termination, expiration or determination of invalidity of this Agreement in whole or in part. Any other Articles of this Agreement which, by their sense and context, are intended to survive shall also survive.

IN WITNESS WHEREOF, the said Contractor has executed this instrument, and the said Board of County Commissioners pursuant to resolution duly adopted, has caused this instrument to be executed by and in the name of said Board on the day and year set forth herein.

CONTRACTOR

BOARD OF COUNTY COMMISSIONERS OF COWLITZ COUNTY, WASHINGTON

Signature Dennis P. Weber, Chairman

Tina McGraw

Print Name Arne Mortensen, Commissioner

Title

Date:

Technical Sales 3/2/2023

Richard R. Dahl, Commissioner

ATTEST: Kelly Dombrowsky, Clerk of the Board

AS-12679

BOCC Agenda

Meeting Date: 03/14/2023

Contract with Emergency Support Shelter 23-002 (1)

Submitted For: Carole Harrison

Department: Health/Human Services

Subject and Summary Statement

Consent B. 5.

Submitted By: Wheeldon Jennifer

Information

This Agreement # 23-002 with the Emergency Support Shelter continues to provide funding to support Shelter operations for individuals fleeing violence and abuse.

On February 7, 2023, the Board of County Commissioners approved to add $50,000 additional match funding. The purpose of the amendment is to reflect the additional funding:

Will Staff Attend - NAME OF STAFF

Gena James will attend

Department Recommendation

It is the recommendation of the Cowlitz County Health & Human Services that the Cowlitz County Board of Commissioners give consent to contract amendment 23-002(1) with Emergency Support Shelter.

Fiscal Impact

Expenditure Required $: 150000

Budget Sufficient Y-N: y

Amendment Required Y-N: n

Source of Funds - What Dept ? : 18401

Grant Y-N: n

Attachments

23-002(1)

Original Signed Contract  Insurance Certificate  Form

Contract/SOW Name Current Change Total Time Period 23-002 100,000.00 100,000.00 1/1/23-12/31/23 23-002(1) +50.000.00 150,000.00 1/1/23-12/31-23
Review Inbox Reviewed By Date Jamie Hopps Jamie Hopps 03/03/2023 07:50 AM Gena James Gena James 03/06/2023 08:51 AM Form Started By: Wheeldon Jennifer Started On: 03/02/2023 03:34 PM

Non Profit Insurance Program Certificate of Coverage

THIS CERTIFICATE IS ISSUED AS A MATTER OF INFORMATION ONLY AND CONVERS NO RIGHTS UPON THE CERTIFICATE HOLDER. THIS CERTIFICATE DOES NOT AMEND, EXTEND OR ALTER THE COVERAGE AFFORDED BY THE POLICIES BELOW. THIS CERTIFICATE OF COVERAGE DOES NOT CONSTITUE A CONTRACT BETWEEN THE ISSUING INSURER(S), AUTHORIZED REPRESENTATIVE OR PRODUCER, AND THE CERTIFICATE HOLDER.

IMPORTANT: If the certificate holder is an ADDITIONAL INSURED, the policy(ies) must be endorsed. If SUBROGRATION IS WAIVED, subject to the terms and conditions of the policy, certain coverage may require an endorsement. A statement on this certificate does not confer rights to the certificate holder in lieu of such endorsement(s).

PRODUCER

Clear Risk Solutions

451 Diamond Drive Ephrata, WA 98823

INSURED

Emergency Support Shelter

1330 11th Avenue

Longview, WA 98632

COVERAGES

COMPANIES AFFORDING COVERAGE

GENERAL LIABILITY

American Alternative Insurance Corporation, et al.

AUTOMOBILE LIABILITY

American Alternative Insurance Corporation, et al.

PROPERTY

American Alternative Insurance Corporation, et al.

MISCELLANEOUS PROFESSIONAL LIABILITY

Princeton Excess and Surplus Lines Insurance Company

THIS IS TO CERTIFY THAT THE POLICIES OF INSURANCE LISTED BELOW HAVE BEEN ISSUED TO THE INSURED NAMED ABOVE FOR THE COVERAGE PERIOD INDICATED, NOT WITHSTANDING ANY REQUIREMENT, TERM OR CONDITION OF CONTRACT OR OTHER DOCUMENT WITH RESPECT TO WHICH THIS CERTIFICATE MAY BE ISSUED OR MAY PERTAIN. THE INSURANCE AFFORDED BY THE POLICIES DESCRIBED HEREIN IS SUBJECT TO ALL THE TERMS, EXCLUSIONS AND CONDITIONS OF SUCH POLICIES. LIMITS SHOWN MAY HAVE BEEN REDUCED BY PAID CLAIMS.

Regarding funding. Cowlitz County is named as Additional Insured regarding this funding only and is subject to policy terms, conditions, and exclusions. Additional Insured endorsement is attached.

CANCELLATION

SHOULD ANY OF THE ABOVE DESCRIBED POLICIES BE CANCELLED BEFORE THE EXPIRATION DATE THEREOF, NOTICE WILL BE DELIVERED IN ACCORDANCE WITH THE POLICY PROVISIONS.

CERTIFICATE HOLDER AUTHORIZED REPRESENTATIVE

Cowlitz County Health & Human Services Departments

1952 9th Avenue Longview, WA 98632

Issue Date 5/21/2022 Cert #:0000035448
TYPE OF INSURANCEPOLICY NUMBERPOLICY EFF DATE POLICY EXP DATE DESCRIPTION LIMITS GENERAL LIABILITY COMMERCIAL GENERAL LIABILITYN1-A2-RL-0000013-13 6/1/2022 6/1/2023 PER OCCURRENCE $5,000,000 OCCURRENCE FORM PER MEMBER AGGREGATE $10,000,000 INCLUDES STOP GAP PRODUCT-COMP/OP $5,000,000 PERSONAL & ADV. INJURY $5,000,000 (LIABILITY IS SUBJECT TO A $250,000 SIR PAYABLE FROM PROGRAM FUNDS) ANNUAL POOL AGGREGATE $50,000,000 AUTOMOBILE LIABILITY ANY AUTON1-A2-RL-0000013-13 6/1/2022 6/1/2023 COMBINED SINGLE LIMIT $5,000,000 (LIABILITY IS SUBJECT TO A $250,000 SIR PAYABLE FROM PROGRAM FUNDS) ANNUAL POOL AGGREGATE NONE PROPERTY N1-A2-RL-0000013-13 6/1/2022 6/1/2023 ALL RISK PER OCC EXCL EQ & FL $75,000,000 EARTHQUAKE PER OCC Excluded FLOOD PER OCC Excluded (PROPERTY IS SUBJECT TO A $250,000 SIR PAYABLE FROM PROGRAM FUNDS) ANNUAL POOL AGGREGATE NONE MISCELLANEOUS PROFESSIONAL LIABILITY N1-A3-RL-0000060-13 6/1/2022 6/1/2023 PER CLAIM $5,000,000 (LIABILITY IS
$250,000
PAYABLE
PROGRAM
ANNUAL POOL AGGREGATE $40,000,000 DESCRIPTION OF OPERATIONS / LOCATIONS / VEHICLES / SPECIAL ITEMS
SUBJECT TO A
SIR
FROM
FUNDS)

AMERICAN ALTERNATIVE INSURANCE COMPANY

ADDITIONAL INSURED – DESIGNATED PERSON OR ORGANIZATION (GENERAL LIABILITY)

Named Insured

Non Profit Insurance Program (NPIP)

Policy Number

N1-A2-RL-0000013-13

Endorsement Effective 6/1/2022

THIS ENDORSEMENT CHANGES THE POLICY. PLEASE READ IT CAREFULLY

This endorsement modifies insurance provided under the following:

GENERALLIABILITYCOVERAGEPART

This endorsement changes the policy effective on the inception date of the policy unless another date is indicated above.

Schedule

PersonorOrganization(AdditionalInsured):As Per Schedule on file with Clear Risk Solutions, Underwriting Administrator

Cowlitz County Health & Human Services Departments

1952 9th Avenue Longview, WA 98632

Regarding funding. Cowlitz County is named as Additional Insured regarding this funding only and is subject to policy terms, conditions, and exclusions. Additional Insured endorsement is attached.

A With respects to the General Liability Coverage Part only, the definition of Insured in the Liability Conditions, Definitions and Exclusions section of this policy is amended to include as an Insured the Person or Organization shown in the above Schedule.SuchPersonor OrganizationisanInsured onlywithrespecttoliabilityforBodily Injury, Property Damage, or Personal and Advertising Injury caused in whole or in part by youracts or omissions or the acts or omissions of those acting on your behalf:

1 In performance of your ongoing operations; or

2 In connection with your premises owned or rented to you.

B The Limits of Insurance applicable to the additional Insured are those specified in either the:

1 Written contract or written agreement; or

2 Declarations for this policy, whichever is less. These Limits of Insurance are inclusive and not in addition to the Limits Of Insurance shown in the Declarations.

All other terms and conditions remain unchanged.

Includes copyrighted material of the Insurance Services Office, Inc., with its permission

BOCC Agenda

Meeting Date: 03/14/2023

AGREEMENT - Amendment No. 1 to PSA - Herrera Environmental Consultants, Inc.

Submitted For: Susan Eugenis, Public Works

Department: Public Works

Submitted By: Emilie Cochrane, Public Works

Information

Subject and Summary Statement

Attached is Amendment No. 1 to the Professional Services Agreement between Cowlitz County and Herrera Environmental Consultants, Inc..  The original contract agreement was signed on March 8, 2022, and established engineering consultant services for landfill operations at the Headquarters and Tennant Way landfills.  These services are used to augment staff to maintain daily operations and permit compliance.  Amendment No. 1 is issued to increase the total not-to-exceed amount by $150,000 for a total of $400,000.

Will Staff Attend - NAME OF STAFF or No

Yes

Department Recommendation

It is the recommendation of the Department of Public Works that the Board move to approve Amendment No. 1 to the Professional Services Agreement with Herrera Environmental Consultants, Inc. increasing the amount of the agreement to $400,000 and authorize the document to be executed.

Fiscal Impact

Expenditure Required $: 150000

Budget Sufficient Y-N: Y

Amendment Required Y-N: N

Source of Funds - What Dept ? : Solid Waste

Grant Y-N: N

Attachments

Amendment No. 1

PSA - Herrera Environmental Consultants

Form Review

Form Started By: Emilie Cochrane

Final Approval Date: 03/08/2023

AS-12687 B. 6.
Inbox Reviewed By Date Susan Eugenis Susan Eugenis 03/07/2023 01:31 PM
Mike Moss 03/07/2023 04:54 PM
Mike Moss, Public Works
Started On: 03/07/2023 11:37 AM

AS-12686

BOCC Agenda

Meeting Date: 03/14/2023

CONTRACT COMPLETION: 2021 Unit Price Guardrail Installation and Repair; PRJ No. 2216: Columbia River Contractors, Inc.

Submitted For: Susan Eugenis, Public Works

Department: Public Works

Submitted By: Carol Sides, Public Works

Information

Subject and Summary Statement

A final inspection of the 2021 Unit Price Guardrail Installation and Repair project has been made by the Department of Public Works and all phases of the work have been found to be satisfactorily complete.  A copy of the construction cost summary is attached.

Please return the original letter to Public Works for transmittal.

Will Staff Attend - NAME OF STAFF or No

Yes

Department Recommendation

It is the recommendation of the Department of Public Works that the Board move to accept the contract with Columbia River Contractors, Inc., for the 2021 Unit Price Guardrail Installation and repair project as being complete by signing the attached letter.

Fiscal Impact

Expenditure Required $: 410,494.41

Budget Sufficient Y-N: Y

Amendment Required Y-N: N

Source of Funds - What Dept ? : Roads

Grant Y-N: N

Attachments

Letter

Cost Summary  Form

B.
7.
Review Inbox Reviewed By Date Gary Gonser Carol Sides 03/07/2023 11:08 AM Gary Gonser Gary Gonser 03/07/2023 03:47 PM Susan Eugenis Susan Eugenis 03/07/2023 04:53 PM Mike Moss, Public Works Mike Moss 03/07/2023 04:54 PM Gary Gonser Kelly Dombrowsky 03/08/2023 09:28 AM Susan Eugenis Susan Eugenis 03/08/2023 09:37 AM Mike Moss, Public Works Mike Moss 03/08/2023 01:03 PM Form Started By: Carol Sides Started On: 03/07/2023 08:38 AM Final Approval Date: 03/08/2023

Board of Commissioners

COMMISSIONERS

March 14, 2023

County Administration Building

207 Fourth Avenue North

Kelso, WA 98626

TEL (360) 577-3020

FAX (360) 423-9987

www.co.cowlitz.wa.us

Washington Relay Service 711 or (888) 833-8633

Columbia River Contractors, Inc.

PO Box 1070 Clackamas, OR 97015

SUBJECT: 2021 Unit Price Guardrail Installation and Repair Project No. 2216 Contract Completion

We have received certification from our Department of Public Works that you have satisfactorily completed your contract for the 2021 Unit Price Guardrail Installation and Repair Project Therefore, we accept your contract as being complete.

Your retainage will be held for thirty (30) days from this date and until releases are received from the Department of Labor and Industries and the Department of Revenue.

Very truly yours,

BOARD OF COUNTY COMMISSIONERS OF COWLITZ COUNTY, WASHINGTON

Dennis P. Weber, Chairman

Arne Mortensen, Commissioner

BOCC:cs

cc: County Auditor Accounting

Richard R. Dahl, Commissioner

Arne Mortensen District 1 Dennis P. Weber District 2 Richard R. Dahl District 3 CLERK OF THE BOARD Kelly Dombrowsky

AS-12661

BOCC Agenda

Meeting Date: 03/14/2023

Sheriff's Office Transaction Window

Submitted For: Don Nyman

Department: Facilities Maintenance

Submitted By: Don Nyman

Information

Subject and Summary Statement

On October 14th, 2022 the Board of Commissioners awarded Agreement # 2022-0040-01for the installation of the Sheriff's Transaction Window to Pacific Tech Construction, Inc.for $49,163.85 including Washington State Sales Tax.

Will Staff Attend - NAME OF STAFF

Yes, Will Tastad.

Department Recommendation

It is the recommendation of the Maintenance Department that the Board move to approve Change Order No.1 for the added electrical circuits and network drops for the printers and copiers at their new location.

Fiscal Impact

Expenditure Required $: 7,167.03

Budget Sufficient Y-N: Y

Amendment Required Y-N: N

Source of Funds - What Dept ? : 31001 375100

Grant Y-N: N

Attachments

Change Ordr No. 1 - Pac Tech  Change Order Proposal

Form Started By: Don Nyman

Final Approval Date: 03/01/2023

Form Review

Consent B. 8.
Reviewed By Date Mike Moss, Public Works 02/21/2023 03:20 PM Mike Moss, Public Works Mike Moss 02/22/2023 02:37 PM Will Tastad Will Tastad 02/28/2023 01:19 PM
Inbox
Started On: 02/21/2023 12:51 PM

1302 Walnut St, Kelso, WA 98626

Phone: 360-414-8084 Fax: 360-414-8084

WA license # PACIFTC550NG

To: Cowlitz County Public Works

C/O Don Nyman

Change Order Proposal 2/3/2023

Cowlitz Country Sheriff’s Office Transaction window

312 1st Ave South

Kelso, Wa 98626

We hereby submit specifications and estimates for the following scope of work:

Electrical ………………………………………………………..……………………….…………. $6,630

• Deenergize electrical circuit and remove existing electrical in wall to allow new window framing.

• Relocate outlets in new window wall per provided layout.

• Add 20 amp circuit for copier

• Add 20 amp circuit for printer

• Add new single duplex outlet on east wall per layout

• Add 8 cat 6e outlets and terminate w/2 port plates

All work to be done during normal business hours

Exclusions: Design/Engineering, Permits and Fees, Bond, Sales Tax,

We propose hereby to furnish material and labor complete in accordance with these specifications for the sum of Sub-Total

Six Thousand, Six Hundred-Thirty Dollars and Zero Cents ******** $6,630.00** Plus Washington State Sales Tax

** Any additional repair to be done on a time and material basis. Labor is billed at $90.00/hr; materials are cost plus 20%

Payable as follows

Due upon completion.

Minimum $35.00 late charge assessed for any balances not paid within 10 days of invoice.

All material is guaranteed to be as specified. All work to be completed in a workmanlike manner according to standard practices. Any alteration or deviation from above specifications involving extra cost will be executed only upon written orders, and will become an extra charge over and above the estimate. All agreements contingent upon strikes, accidents or delays beyond our control. Owner to carry fire, tornado, and other necessary insurance. Our workers are fully covered by Worker's Compensation Insurance

Authorized Signature___________________ ____________Date__

Matt Hanna

Note: This proposal may be withdrawn if not accepted within 30 days.

Acceptance of Proposal

The prices, specifications and conditions are satisfactory and are hereby accepted. You are authorized to do the work as specified. Payment will be made as outlined above.

Signature___________________________________________Date________

AS-12689

BOCC Agenda

Meeting Date: 03/14/2023

FERC Notice Regarding 2022 Spillway Gate Operation Certificates

Submitted For: Kelly Dombrowsky, Clerk of the Board

Submitted By: Kelly Dombrowsky, Clerk of the Board

Department: Commissioners Office

Information

Consent 9. a.

Subject and Summary Statement

Federal Energy Regulatory Commission (FERC) Notice dated 2/28/2023 regarding the 2022 Spillway Gate Operation Certificates

Will Staff Attend - NAME OF STAFF

Department Recommendation

Attachments

Notice

Form Started By: Kelly Dombrowsky

Final Approval Date: 03/08/2023

Form Review

Started On: 03/08/2023 11:12 AM

AS-12683 10.

BOCC Agenda

Meeting Date: 03/14/2023

APPROVAL OF EXPENDITURES – Drainage Improvement District No. 1 – January 2023 Vouchers

Submitted For: Susan Eugenis, Public Works

Department: Public Works

Submitted By: Emilie Cochrane, Public Works

Information

Subject and Summary Statement

On March 2, 2023, the Supervisor for Drainage Improvement District No. 1 ratified payment of the expenses incurred in January 2023 for $31,970.49. Attached is the Voucher Ratification outlining said expenses. These expenses are included in the 2023 Budget.

Will Staff Attend - NAME OF STAFF or No

Yes

Department Recommendation

Drainage Improvement District No. 1 recommends approval of the January 2023 ratification of the vouchers in the total amount of $31,970.49.

APPROVED this 14th day of March, 2023.

BOARD OF COUNTY COMMISSIONERS OF COWLITZ COUNTY, WASHINGTON

Dennis P. Weber, Chairman

Arne Mortensen, Commissioner

Richard R. Dahl, Commissioner

Attest: ______________________________

Kelly Dombrowsky, Clerk of the Board

Fiscal Impact

Expenditure Required $: 31,970.49

Budget Sufficient Y-N: Y

Amendment Required Y-N: N

Source of Funds - What Dept ? : Drain 1

Grant Y-N: N

Attachments

Voucher Ratification - January 2023

Form Started By: Emilie Cochrane

Final Approval Date: 03/07/2023

Form Review

Inbox Reviewed By Date Susan Eugenis Susan Eugenis 03/07/2023 10:55 AM Mike Moss, Public Works Mike Moss 03/07/2023 10:59 AM
Started On: 03/07/2023 07:55 AM

AS-12684 11.

BOCC Agenda

Meeting Date: 03/14/2023

RESOLUTION: Fixing Weight Restrictions on County Owned Bridges

Submitted For: Susan Eugenis, Public Works

Department: Public Works

Submitted By: Carol Sides, Public Works

Information

Subject and Summary Statement

Attached is a resolution in the matter of fixing weight restrictions on County owned bridges pursuant to RCW 36.75.270.  These weight restrictions are required in the best interest of public safety and welfare.  Load rating analyses were performed in response to Federal Highway Administration (FHWA) requirements to review bridge carrying capacity for Specialized Haul Vehicles   (SHV) and Emergency Vehicles (EV).  The SHV consist of four to seven axle single unit trucks.  The EV’s consist of two or three axle emergency response vehicles.  The results of the load ratings identify the bridges required to have weight limit restrictions, which should be imposed on certain County owned bridges for a period of 10 years.

Will Staff Attend - NAME OF STAFF or No

Department Recommendation

It is the recommendation of the Department of Public Works that the Board move to approve the Resolution fixing weights on County owned bridges.

Attachments

Form

Final Approval Date: 03/08/2023

Yes
Resolution
Review Inbox Reviewed By Date Chris Andrews Chris Andrews 03/07/2023 09:23 AM Susan Eugenis Susan Eugenis 03/07/2023 11:34 AM Mike Moss, Public Works Mike Moss 03/07/2023 11:36 AM
Started On: 03/07/2023 08:17 AM
Form Started By: Carol Sides

BEFORE THE BOARD OF COUNTY COMMISSIONERS OF COWLITZ COUNTY, WASHINGTON

In the Matter of Fixing Weight ) Restrictions on County Owned Bridges ) RESOLUTION NO.

Pursuant to RCW 36.75.270 )

WHEREAS, based on load rating analyses performed in response to Federal Highway Administration (FHWA) requirements to review bridge carrying capacity for Specialized Haul Vehicles consisting of four to seven axle single unit trucks and for Emergency Vehicles, weight limit restrictions should be placed on certain county owned bridges; and

WHEREAS, these restrictions are in the best interest of public safety and welfare.

NOW, THEREFORE, BE IT RESOLVED by the Board of County Commissioners of Cowlitz County, Washington, that weight limit restrictions shall be imposed on the following bridges as described for a period of ten (10) years from the effective date of this Resolution.

Abernathy

Truck Type Weight Restriction 7 axle Single Unit Vehicle 32 tons 3 axle Emergency Vehicle 35 tons Harmony Drive Bridge #1 Truck Type Weight Restriction
axle Emergency Vehicle 30 tons Holcomb Road Bridge
osted for
TRUCK AT
TIME”
Bridge #1 Truck Type Weight Restriction 6 axle Single Unit Vehicle 34 tons 7 axle Single Unit Vehicle 34 tons 3 axle Emergency Vehicle 29 tons
Creek Bridge #2
3
P
“ONE
A
Ostrander

BE IT FURTHER RESOLVED that the Department of Public Works is hereby authorized to post said bridges using standard signs in accordance with the Manual on Uniform Traffic Control Devices (MUTCD), the Washington State Department of Transportation (WSDOT) Sign Fabrication Manual, the WSDOT Bridge Inspection Manual; and

BE IT FURTHER RESOLVED that any person violating this restriction shall be guilty of a misdemeanor, in accordance with RCW 36.75.270; and

BE IT FURTHER RESOLVED that these weight limit restrictions and penalization thereupon shall not take effect until both the above-stated bridges are posted and this Resolution is published in the County’s official newspaper under RCW 36.72.075

ATTEST: Dennis P. Weber,

Fixing Weight Restrictions on County Owned Bridges Page 2 Slide Creek Road Bridge #1 Truck Type Weight Restriction 6 axle Single Unit Vehicle 31 tons 7 axle Single Unit Vehicle 32 tons 2 axle Emergency Vehicle 12 tons 3 axle Emergency Vehicle 21 tons
DATED this _______ day of , 2023.
BOARD OF COUNTY COMMISSIONERS OF COWLITZ COUNTY, WASHINGTON

AS-12688

BOCC Agenda

Meeting Date: 03/14/2023

PSA for Hearing Examiner Services

Submitted For: Greta Holmstrom

Department: Building & Planning

Subject and Summary Statement

Motion Items 12.

Submitted By: Greta Holmstrom

Information

Agreement with Mark Scheibmeir to serve as the Cowlitz County Hearing Examiner. The Hearing Examiner services under the direction of the Board of County Commissioners and hears a variety of land use, health, and other permit and appeal hearings, enumerated in Cowlitz County Code 2.05.010(B).

The cost of the contract is set not to exceed $20,000 per year and will commence immediately upon approval by the Board.

Will Staff Attend - NAME OF STAFF

Traci Jackson

Greta Holmstrom

Department Recommendation

The Director of Building and Planning recommends approval.

Attachments

Agenda Summary

PSA

Form Started By: Greta Holmstrom

Final Approval Date: 03/07/2023

Form Review

Started On: 03/07/2023 02:11 PM

AGENDA SUMMARY

To: The Board of County Commissioners

From: Traci Jackson, Director

Re: PSA for Hearing Examiner Services

Motion Item

List of Exhibits: Professional Services Agreement

Agenda Item No.:

Dept. of Origin: Building & Planning

Date Submitted: March 7, 2023

For Agenda of: March 14, 2023

Subject and Summary Statement: Agreement with Mark Scheibmeir to serve as the Cowlitz County Hearing Examiner. The Hearing Examiner services under the direction of the Board of County Commissioners and hears a variety of land use, health, and other permit and appeal hearings, enumerated in Cowlitz County Code 2.05.010(B).

The cost of the contract is set not to exceed $20,000 per year and will commence immediately upon approval by the Board.

Department Recommendation: The Director of Building and Planning recommends approval.

Board Action:

1. Approved:________________________

BOARD OF COUNTY COMMISSIONERS COWLITZ COUNTY, WASHINGTON

ATTEST: CLERK OF THE BOARD

Dennis Weber, Chairman Arne Mortensen, Commissioner Rick Dahl, Commissioner

PERSONAL SERVICES AGREEMENT

Contract Number:

THIS AGREEMENT is entered into between COWLITZ COUNTY, a political subdivision of the State of Washington, (hereinafter called "County" or "Cowlitz County") and

Name: Mark C. Scheibmeir

Address: PO Box 939

Chehalis, WA 98532

Phone No: 360-748-3386

(hereinafter called "Contractor").

This Agreement is comprised of:

Attachment A – Scope of Work

Attachment B – Compensation

Attachment C – General Conditions

Attachment D – Special Terms and Conditions and Retirement Status Form (signature required)

Attachment E –

copies of which are attached hereto and incorporated herein by this reference as if fully set forth.

The term of this Agreement shall commence on the 14 day of March 2023 and shall, unless terminated as provided elsewhere in the Agreement, terminate on the 13 day of March 2025. The County reserves the right to extend the contract for up to four additional one-year periods.

IN WITNESS WHEREOF, the parties have executed this Agreement on this 14 day of March 2023.

CONTRACTOR:

Print name: Mark C. Scheibmeir

Title: Hearing Examiner

Date: ______________, 2023

(OptionalforCommissionerApproval)

ATTEST:

Kelly Dombrowsky, Clerk of the Board

[2014_ver. 3]

COWLITZ COUNTY:

Dennis P. Weber, Chairman

Arne Mortensen, Commissioner

Richard R. Dahl, Commissioner (BOCCapprovalsubjecttoBoardratificationorauthorization)

CONTRACT HAS BEEN APPROVED AS TO FORM BY COWLITZ COUNTY PROSECUTING ATTORNEY

SCOPE OF WORK

Mark C. Scheibmeir shall provide professional hearings examiner services at the request of, and in consultation with, COWLITZ COUNTY, under the director of the Board of County Commissioners or its designee. The specific services that Mark C. Scheibmeir provides shall be limited to the Departments of Building and Planning and Health and Human Services of Cowlitz County, and as otherwise mutually agreed to between the parties. The scope of professional services is set forth below.

1. Professional Services. The Hearing Examiner is responsible for conducting hearings on and adjudicating quasi-judicial cases involving a variety of complex land use, health code and regulatory compliance issues, and other issues which the County may designate to the Hearing Examiner by ordinance or resolution. The Hearing Examiner shall issue decisions and recommendations based on relevant ordinances, regulations, policies, federal and state statutes and administrative codes, and other authorities.

In addition to any other duty established by ordinance or resolution, the Hearing Examiner:

a. Supervises and evaluates the work of employees as required.

b. Develops procedural rules for the scheduling and conduct of hearings and related matters.

c. Reviews properties that are the subject of hearings to become familiar with the terrain and relationships to other properties.

d. Receives and examines hearing related documents, and reviews case files, County codes and policies, environmental impact statements, plot plans, and topographical maps.

e. Evaluates testimony and evidence, prepares the record of proceedings, enters final written findings, and imposes conditions to conform projects to state laws and regulations, and County ordinances and policies.

f. Maintains knowledge of current relevant state and County laws, regulations, policies, and related state and federal court and administrative decisions.

g. Prepares reports and correspondence to the County Board and Public Services Director as requested.

h. Meets with the County Board and County staff as requested to identify conflicts in County codes, regulations and policies.

2. The County will provide a properly equipped hearing room and on-site audio-visual assistance. The Hearing Examiner shall independently provide for the Examiner’s clerk and/or administrative staff and other support services. Scheduling of hearings is generally done in coordination with staff from the relevant County department. The Hearing Examiner shall receive and examine relevant information and public records, conduct public hearings and proceedings, organize and prepare a record of proceedings, prepare written findings of fact and conclusions of law in accordance with adopted county regulations and policies. The Hearing Examiner shall render decisions, in writing, within ten working days after the close of the public hearing or proceedings, or close the record in such matters. The Hearing Examiner decisions shall be clear, complete, internally consistent, factually accurate, and legally sufficient.

3. Conflict of Interest. The Hearing Examiner agrees to disqualify themselves as to any application in with the Hearing Examiner has a personal or financial interest. The Hearing Examiner agrees to conform to the requirements and standards of the Appearance of Fairness Doctrine, Chapter 42.36 RCW, during the pendency of any quasi-judicial proceeding.

PERSONAL SERVICES AGREEMENT ATTACHMENT A Page 1

4. Procedures and Exhibits: The Hearing Examiner shall develop and make available for publication written rules of process and procedure governing County Hearings Examiner hearings and proceedings.

5. Certification Regarding Ethics: The Hearing Examiner certifies that they are in compliance with Chapter 42.52 regarding Ethics in Public Service.

All work and deliverables shall be in accordance with all current and applicable local, State and Federal requirements and shall comply with County standards and schedules.

In the event the Contractor, or its agents or assigns, are unable to complete their work as scheduled, the contract period and compensation may be adjusted by mutual agreement of the County and Contractor.

PERSONAL SERVICES AGREEMENT ATTACHMENT A Page 2

COMPENSATION

1. a. FIXED FEE FOR SERVICE: For services rendered, the County shall pay to the Contractor a fixed fee of DOLLARS ($ ) for the completed work set forth in Attachment “A.”. Payments for completed tasks shall be made no more frequently than bi-monthly; quarterly; semi-annually; annually; at completion of project; other (specify):

Each request for payment shall be supported by an invoice specifying the tasks completed up to the request for payment and the payment amount requested. In no event shall payment be sought in an amount which represents a percentage of the fee greater than the percentage of completed tasks.

OR

b. HOURLY RATES: For services rendered, the County shall compensate the Contractor at the following hourly rates:

Position&Location HourlyRate

Mark C. Scheibmeir $250.00

Cowlitz County Hearing Examiner

Payments for completed tasks shall be made no more frequently than monthly; quarterly; semiannually; annually; at completion of project; other (specify):

Each request for payment shall be supported by an invoice specifying: the name/position of the Contractor’s employee if two or more are identified above; number of hours worked; completed tasks for which compensation is sought and; payment amount requested.

In no event shall Contractor be compensated in excess of $20,000 per year for the completed work set forth in Attachment “A.”

2. AND

a. The compensation set forth herein includes, without limitation: labor, materials, equipment, travel, telephone, computer, copiers and the like.

OR

b. The County shall reimburse the Contractor for actual expenses incurred for travel, telephone, copiers and computer. Reimbursement for airfare, mileage, meals and/or accommodations shall be at the same rate as that applicable to county employees traveling on county business.

OR

c. Other (specify) The County, in addition to the compensation herein set forth shall provide to the Contractor the following:

PERSONAL SERVICES AGREEMENT ATTACHMENT B Page 1

GENERAL CONDITIONS

1. Scope of Contractor's Services. The Contractor agrees to provide to the County services and any materials set forth in the project narrative identified as Attachment A during the agreement period. No material, labor, or facilities will be furnished by the County, except as provided for herein.

2. Accounting and Payment for Contractor Services. Payment to the Contractor for services rendered under this Agreement shall be as set forth in Attachment B unless specifically stated in Attachment B, the County will not reimburse the Contractor for any costs or expenses incurred by the Contractor in the performance of this contract.

3. Delegation and Subcontracting. Contractor's services are deemed personal and no portion of this contract may be delegated or subcontracted to any other individual, firm or entity without the express and prior written approval of the County Project Manager.

4. Independent Contractor. The Contractor's services shall be furnished by the Contractor as an independent contractor and nothing herein contained shall be construed to create a relationship of employer/employee or master/servant.

The Contractor acknowledges that the entire compensation for this Agreement is specified in Attachment B and the Contractor is not entitled to any county benefits including, but not limited to: vacation pay, holiday pay, sick leave pay, medical, dental or other insurance benefits, or any other rights or privileges afforded to Cowlitz County employees. The Contractor represents that it maintains a separate place of business, serves clients other than the County, will report all income and expense accrued under this contract with the Internal Revenue Service on a business tax schedule, and has a tax account with the State of Washington Department of Revenue for payment of all sales and use and Business and Occupation taxes collected by the State of Washington.

In the event that either the state or federal government determines that an employer/employee or master/servant relationship exists rather than an independent contractor relationship such that Cowlitz County is deemed responsible for federal withholding, social security contributions, workers compensation and the like, the Contractor agrees to reimburse Cowlitz County for any payments made or required to be made by Cowlitz County. Should any payments be due to the Contractor pursuant to this Agreement, the Contractor agrees that reimbursement may be made by deducting from such future payments a pro rata share of the amount to be reimbursed.

Notwithstanding any determination by the state or federal government that an employer/employee or master/servant relationship exists, the Contractor, its officers, employees and agents, shall not be entitled to any benefits which Cowlitz County provides to its employees.

5. No Guarantee of Employment. The performance of all or part of this contract by the Contractor shall not operate to vest any employment rights whatsoever and shall not be deemed to guarantee any employment of the Contractor or any employee of the Contractor or any subcontractor or any employee of any subcontractor by the County at the present time or in the future.

6. Regulations and Requirements. This Agreement shall be subject to all federal, state and local laws, rules, and regulations.

7. Right to Review. This contract is subject to review by any federal or state auditor. The County shall have the right to review and monitor the financial and service components of this program by whatever means are deemed expedient by the County Project Manager. Such review may occur with or without notice, and may include, but is not limited to, on-site inspection by County agents or employees, inspection of all records or other materials which the County deems pertinent to the Agreement and its performance, and any and all communications with or evaluations by service recipients under this Agreement. The Contractor shall preserve and maintain all financial records and records relating to the performance of work under this Agreement for six (6) years after contract

PERSONAL SERVICES AGREEMENT ATTACHMENT C Page 1

termination, and shall make them available for such review, within Cowlitz County, State of Washington, upon request, during reasonable business hours.

8. Modifications. Either party may request changes in the Agreement. Any and all agreed modifications shall be in writing, signed by each of the parties.

9. Termination for Default If the Contractor defaults by failing to perform any of the obligations of the contract or becomes insolvent or is declared bankrupt or makes an assignment for the benefit of creditors, the County may, by depositing written notice to the Contractor in the U.S. Mail, postage prepaid, terminate the contract, and at the County's option, obtain performance of the work elsewhere. If the contract is terminated for default, the Contractor shall not be entitled to receive any further payments under the contract. Any extra cost or damage to the County resulting from such default(s) shall be deducted from any money due or coming due to the Contractor. The Contractor agrees to bear any extra expenses incurred by the County in completing the work, including all increased costs for completing the work, and all damage sustained, or which may be sustained by the County by reason of such default.

If a notice of termination for default has been issued and it is later determined for any reason that the Contractor was not in default, the rights and obligations of the parties shall be the same as if the notice of termination had been issued pursuant to the Termination for Public Convenience paragraph hereof.

10. Termination for Public Convenience. The County may terminate the contract in whole or in part whenever the County determines, in its sole discretion that such termination is in the interests of the County. Whenever the contract is terminated in accordance with this paragraph, the Contractor shall be entitled to payment for actual work performed for completed items of work. An equitable adjustment in the contract price for partially completed items of work will be made, but such adjustment shall not include provision for loss of anticipated profit on deleted or uncompleted work. Termination of this contract by the County at any time during the term, whether for default or convenience, shall not constitute a breach of contract by the County.

11. Termination Due to Insufficient Funds. If sufficient funds for payment under this contract are not appropriated or allocated or are withdrawn, reduced, or otherwise limited, the County may terminate this contract upon thirty (30) days written notice to the Contractor. No penalty or expense shall accrue to the County in the event this provision applies.

12. Termination Procedure. The following provisions apply in the event that this Agreement is terminated:

(a) The Contractor shall cease to perform any services required hereunder as of the effective date of termination and shall comply with all reasonable instructions contained in the notice of termination, if any.

(b) The Contractor shall provide the County with an accounting of authorized services provided through the effective date of termination.

(c) If the Agreement has been terminated for default, the County may withhold a sum from the final payment to the Contractor that the County determines necessary to protect itself against loss or liability.

13. Defense and Indemnity Agreement. To the fullest extent permitted by law and except to the extent caused by the sole negligence of the County, the Contractor shall indemnify, defend and hold the County and its appointed and elected officers, agents and employees, and volunteers, harmless from and against any and all claims for any injuries, death or damage to persons or property (including any loss of use resulting therefrom), directly or indirectly arising out of, resulting from, or in connection with performance of this Agreement. Contractor’s obligation to indemnify, defend and hold harmless includes any claim by Contractor’s agents, employees, representatives, or any subcontractor or its employees. Contractor expressly agrees to indemnify, defend and hold harmless

PERSONAL SERVICES AGREEMENT ATTACHMENT C Page 2

the County from any claims arising out of or incident to either Contractor’s or its Subcontractor’s performance or failure to perform the Agreement.

It is further agreed by and between the parties that in no event shall any County appointed or elected officer, agent, employee, or volunteer, when executing their official duties in good faith, be in any way personally liable or responsible for any agreement or performance contained herein, whether express or implied, nor for any statement or representation made herein or in any connection with this Agreement.

14. Industrial Insurance Waiver. With respect to the performance of this Agreement and as to claims against the County, its appointed and elected officers, agents and employees, the Contractor expressly waives its immunity under Title 51 of the Revised Code of Washington, the Industrial Insurance Act, as now or hereafter amended, or other worker’s compensation act, disability benefit act, or other employee benefit act of any jurisdiction otherwise applicable, for injuries to its employees and agrees that the obligations to indemnify, defend and hold harmless provided in this Agreement extend to any claim brought by or on behalf of any employee of the Contractor. Along with the other provisions of this Agreement, this waiver is mutually negotiated by the parties to this Agreement.

15. Venue and Choice of Law. In the event that any litigation should arise concerning the construction or interpretation of any of the terms of this Agreement, the venue of such action shall be in the courts of the State of Washington in and for the County of Cowlitz. This Agreement shall be governed by the law of the State of Washington.

16. Withholding Payment In the event the County Project Manager determines that the Contractor has failed to perform any obligation under this Agreement within the times set forth in this Agreement, then the County may withhold from amounts otherwise due and payable to Contractor the amount determined by the County as necessary to cure the default, until the County Project Manager determines that such failure to perform has been cured. Withholding under this clause shall not be deemed a breach entitling Contractor to termination or damages, provided that the County promptly gives notice in writing to the Contractor of the nature of the default or failure to perform, and in no case more than ten (10) days after it determines to withhold amounts otherwise due. A determination of the County Project Manager set forth in a notice to the Contractor of the action required and/or the amount required to cure any alleged failure to perform shall be deemed conclusive, except to the extent that the Contractor acts within the times and in strict accord with the provision of the Disputes clause of this Agreement. The County may act in accordance with any determination of the County Project Manager which has become conclusive under this clause, without prejudice to any other remedy under the Agreement, to take all or any of the following actions: (1) cure any failure or default, (2) to pay any amount so required to be paid and to charge the same to the account of the Contractor, (3) to set off any amount paid or incurred from amounts due or to become due the Contractor. In the event the Contractor obtains relief upon a claim under the Disputes clause, no penalty or damages shall accrue to the Contractor by reason of good faith withholding by the County under this clause.

17. Rights and Remedies. The duties and obligations imposed by this Agreement and the rights and remedies available hereunder shall be in addition to and not a limitation of any duties, obligations, rights and remedies otherwise imposed or available bylaw.

18. Contractor Commitments, Warranties and Representations. Any written commitment received from the Contractor concerning this Agreement shall be binding upon the Contractor, unless otherwise specifically provided herein with reference to this paragraph. Failure of the Contractor to fulfill such a commitment shall render the Contractor liable for damages to the County. A commitment includes, but is not limited to any representation made prior to execution of this Agreement, whether or not incorporated elsewhere herein by reference, as to performance of services or equipment, prices or options for future acquisition to remain in effect for a fixed period, or warranties.

PERSONAL SERVICES AGREEMENT ATTACHMENT C Page 3

19. Patent/Copyright Infringement. Contractor will defend, indemnify and save harmless County, its appointed and elected officers, agents and employees from and against all loss or expense, including but not limited to claims, demands, actions, judgments, settlements, attorneys' fees and costs by reason of any and all claims and demands upon the County, its elected or appointed officials or employees for damages because of the Contractor’s alleged infringement on any patent or copyright. The Contractor will pay those costs and damages attributable to any such claims that are finally awarded against the County, its appointed and elected officers, agents and employees in any action. Such defense and payments are conditioned upon the following:

(a) That Contractor shall be notified promptly in writing by County of any notice of such claim.

(b) Contractor shall have the right, hereunder, at its option and expense, to obtain for the County the right to continue using the information, in the event such claim of infringement, is made, provided no reduction in performance or loss results to the County.

20. Disputes.

(a) General Differences between the Contractor and the County, arising under and by virtue of the contract documents shall be brought to the attention of the County at the earliest possible time in order that such matters may be settled or other appropriate action promptly taken. The records, orders, rulings, instructions, and decision of the County Project Manager shall be final and conclusive thirty (30) days from the date of mailing unless the Contractor mails or otherwise furnishes to the County Project Manager a written notice of appeal. The notice of appeal shall include facts, law, and argument as to why the conclusions of the County Project Manager are in error.

In connection with any appeal under this clause, the Contractor and County shall have the opportunity to submit written materials and argument and to offer documentary evidence in support of the appeal. Oral argument and live testimony will not be permitted. The decision of the County Project Manager for the determination of such appeals shall be final and conclusive. Reviews of the appellate determination shall be brought in the Superior Court of Cowlitz County within fifteen (15) days of mailing of the written appellate determination. Pending final decision of the dispute, the Contractor shall proceed diligently with the performance of this Agreement and in accordance with the decision rendered.

(b) Notice of Potential Claims. The Contractor shall not be entitled to additional compensation or to extension of time for (1) any act or failure to act by the County Project Manager or the County, or (2) the happening of any event or occurrence, unless the Contractor has given the County a written Notice of Potential Claim within ten (10) days of the commencement of the act, failure, or event giving rise to the claim, and before final payment by the County. The written Notice of Potential Claim shall set forth the reasons for which the Contractor believes additional compensation or extension of time is due, the nature of the cost involved, and insofar as possible, the amount of the potential claim. Contractor shall keep full and complete daily records of the work performed, labor and material used, and all costs and additional time claimed to be additional.

(c) Detailed Claim. The Contractor shall not be entitled to claim any such additional compensation, or extension of time, unless within thirty (30) days of the accomplishment of the portion of the work from which the claim arose, and before final payment by the County, the Contractor has given the County a detailed written statement of each element of cost or other compensation requested and of all elements of additional time required, and copies of any supporting documents evidencing the amount or the extension of time claimed to be due.

21. Ownership of Items Produced and Public Disclosure. All writings, programs, data, art work, music, maps, charts, tables, illustrations, records or other written, graphic, analog or digital materials prepared by the Contractor and/or its consultants or subcontractors, in connection with the performance of this Agreement shall be the sole and absolute property of the County and constitute "work made for hire" as that phrase is used in federal and/or state intellectual property laws and

PERSONAL SERVICES AGREEMENT ATTACHMENT C Page 4

Contractor and/or its agents shall have no ownership or use rights in the work. Except as to data or information in the public domain or previously known to Contractor or required to be disclosed by law, subpoena or other process, the following shall apply:

(a) Correspondence, emails, reports and other electronic or written work product will be generated between the Contractor and County during the course of this Contract. This Contract and such work product in the possession of Contractor may be deemed public records subject to disclosure under the Washington State Public Records Act, Chapter 42.56 RCW (Public Records Act). Thus, the County shall be required, upon request, to disclose this Contract and all documents related to it unless an exemption under the Public Records Act or other laws applies. Contractor shall fully cooperate with and assist the County with respect to any request for public records received by the County related to the services performed under this Contract.

(b) Should County receive a request for disclosure, County agrees to provide Contractor ten (10) days written notice of impending release, and to cooperate with any legal action which may be initiated by Contractor to enjoin or otherwise prevent such release, provided that all expense of any such litigation shall be borne by Contractor, including any damages, attorney’s fees or costs awarded by reason of having opposed disclosure, and further provided that County shall not be liable for any release where notice was provided and Contractor took no action to oppose the release of information. Notice of any proposed release of information pursuant to Chapter 42.56 RCW, shall be provided to Contractor according to the “Notice” provision herein. If the Contractor has not obtained an injunction and served the County with that injunction by the close of business on the tenth business day after the County sent notice, the County will then disclose the record unless it makes an independent determination that the record is exempt from disclosure. Notwithstanding the above, the Contractor must not take any action that would affect (a) the County’s ability to use goods and services provided under this Contract or (b) the Contractor obligations under this Contract. The Contractor will fully cooperate with the County in identifying and assembling records in case of any public disclosure request.

(c) Contractor’s failure to timely provide such records upon demand shall be deemed a material breach of this Contract. To the extent that the County incurs any monetary penalties, attorneys’ fees, and/or any other expenses as a result of such breach, Contractor shall fully indemnify and hold harmless County as set forth in Section 13. For purposes of this section, the terms “public records” and “agency” shall have the same meaning as defined by Chapter 42.56 RCW, as said chapter has been construed by Washington courts. The provisions of this section shall survive the expiration or termination of this Agreement.

22. Recovery of Payments to Contractor. The right of the Contractor to retain monies paid to it is contingent upon satisfactory performance of this Agreement, including the satisfactory completion of the project described in the Scope of Work (Attachment A). In the event that the Contractor fails, for any reason, to perform obligations required of it by this Agreement, the Contractor may, at the County Project Manager's sole discretion, be required to repay to the County all monies disbursed to the Contractor for those parts of the project that are rendered worthless in the opinion of the County Project Manager by such failure to perform.

Interest shall accrue at the rate of 12 percent (12%) per annum from the time the County Project Manager demands repayment of funds.

23. Project Approval. The extent and character of all work and services to be performed under this Agreement by the Contractor shall be subject to the review and approval of the County Project Manager. For purposes of this Agreement, the County Project Manager is:

Name: Traci Jackson, Director, Cowlitz County Department of Building and Planning

Address: 207 Fourth Avenue North, Suite 119 Kelso, WA 98626

Phone: 360-577-3052 x1-6659

E-Mail: jackson.traci@cowlitzwa.gov

PERSONAL SERVICES AGREEMENT ATTACHMENT C Page 5

In the event there is a dispute with regard to the extent and character of the work to be done, the determination of the County Project Manager as to the extent and character of the work to be done shall govern subject to the Contractor's right to appeal that decision as provided herein.

24. Non-Discrimination. The Contractor shall not discriminate against any person on the basis of race, creed, political ideology, color, national origin, sex, marital status, sexual orientation, age, or the presence of any sensory, mental or physical handicap.

25. Subcontractors. In the event that the Contractor employs the use of any subcontractors, the contract between the Contractor and the subcontractor shall provide that the subcontractor is bound by the terms of this Agreement between the County and the Contractor. The Contractor shall insure that in all subcontracts entered into, County is named as an express third-party beneficiary of such contracts with full rights as such.

26. Third Party Beneficiaries. This agreement is intended for the benefit of the County and Contractor and not for the benefit of any third parties.

27. Standard of Care. The Contractor shall perform its duties hereunder in a manner consistent with that degree of care and skill ordinarily exercised by members of the same profession as Contractor currently practicing under similar circumstances. The Contractor shall, without additional compensation, correct those services not meeting such a standard.

28. Time is of the Essence. Time is of the essence in the performance of this contract unless a more specific time period is set forth in either the Special Terms and Conditions or Scope of Work.

29. Notice. Except as set forth elsewhere in the Agreement, for all purposes under this Agreement, except service of process, any notices shall be given by the Contractor to the County Project Manager. Notice to the Contractor for all purposes under this Agreement shall be given to the person executing the Agreement on behalf of the Contractor at the address identified on the signature page.

30. Severability. If any term or condition of this contract or the application thereof to any person(s) or circumstances is held invalid, such invalidity shall not affect other terms, conditions or applications which can be given effect without the invalid term, condition or application. To this end, the terms and conditions of this contract are declared severable.

31. Precedence In the event of inconsistency in this Agreement, unless otherwise provided herein, the inconsistency shall be resolved by giving precedence in the following order:

(a) Applicable federal, state and local statutes, ordinances and regulations;

(b) Scope of Work (Attachment A) and Compensation (Attachment B);

(c) Special Terms and Conditions (Attachment D); and

(d) General Conditions (Attachment C).

32. Waiver. Waiver of any breach or condition of this contract shall not be deemed a waiver of any prior or subsequent breach. No term or condition of this contract shall be held to be waived, modified or deleted except by an instrument, in writing, signed by the parties hereto.

33. Attorney Fees. In the event that litigation must be brought to enforce the terms of this agreement, the prevailing party shall be entitled to be paid reasonable attorney fees.

34. Construction. This agreement has been mutually reviewed and negotiated by the parties and should be given a fair and reasonable interpretation and should not be construed less favorably against either party.

35. Survival. Without being exclusive, Paragraphs 4, 7, 13-19, 21-22 and 30-35 of these General Conditions shall survive any termination, expiration or determination of invalidity of this Agreement in whole or in part. Any other Paragraphs of this Agreement which, by their sense and context, are intended to survive shall also survive.

PERSONAL SERVICES AGREEMENT ATTACHMENT C Page 6

36. Contract Documents. The Contract Documents for this Agreement, except for modifications issued after execution of this Agreement, form a contract and all are as fully a part of the contract as if attached to this Agreement or repeated herein. The contract represents the entire and integrated Agreement between the parties and supersedes any prior statements, discussions or understandings between the parties except as provided herein. An enumeration of the contract documents is set forth below:

1. Notice of Award; and

2. Addenda; and

3. Agreement; and

4. Conditions of Cowlitz County Request For Proposals No. 2023-0006-01; and

5. Quoted proposal of Contractor dated January 31, 2023

PERSONAL SERVICES AGREEMENT ATTACHMENT C Page 7

SPECIAL TERMS AND CONDITIONS AND RETIREMENT STATUS FORM

1. Reporting The Contractor shall submit written progress reports to the County Project Manager as set forth below:

With each request for payment.

Monthly.

Quarterly.

Semi-annually.

Annually.

Project completion.

Other:

Reports shall include any problems, delays or adverse conditions which will materially affect the Contractor's ability to meet project objectives or time schedules together with a statement of action taken or proposed to resolve the situation. Reports shall also include recommendations for changes to the Scope of Work, if any. Payments may be withheld if reports are not submitted.

2. Insurance. The Contractor shall maintain in full force and effect during the term of this Agreement, and until final acceptance of the work, public liability and property damage insurance with companies or through sources approved by the state insurance commissioner pursuant to RCW Title 48, as now or hereafter amended. The County, its appointed and elected officials, agents and employees, shall be specifically named as additional insureds in a policy with the same company which insures the Contractor or by endorsement to an existing policy or with a separate carrier approved pursuant to RCW Title 48, as now or hereafter amended, and the following coverages shall be provided:

COMPREHENSIVE GENERAL LIABILITY:

Bodily injury, including death and property damage

$1,000,000 per occurrence

$1,000,000 Aggregate

ERRORS AND OMISSIONS or PROFESSIONAL LIABILITY with an Extended Reporting Period

Endorsement (two year tail).

$1,000,000 per occurrence

$1,000,000 Aggregate

WORKERS COMPENSATION: Statutory amount

AUTOMOBILE: coverage on owned, non-owned, rented and hired vehicles

Bodily injury, liability, including death, and $1,000,000 Combined Single Limit Property damage liability

All Contractor’s and Contractor’s subcontractors’ insurance policies and additional named insured endorsements shall provide primary insurance coverage and be non-contributory. Any insurance, self-insured retention, deductible, risk retention or insurance pooling maintained or participated in by the County shall be excess and not contributory to such insurance policies. All Contractor’s and Contractor’s subcontractors’ liability insurance policies must be endorsed to show this primary coverage.

PERSONAL SERVICES AGREEMENT ATTACHMENT D Page 1

Upon request, the Contractor shall provide a full and complete certified copy of all requested insurance policies to the County. The County reserves the right, but not the obligation, to revise any insurance requirement, not limited to limits, coverages and endorsements, or to reject any insurance policies which fail to meet the requirements of this Agreement. Additionally, the County reserves the right, but not the obligation, to review and reject any proposed insurer providing coverage based upon the insurer’s financial condition or licensing status in Washington. Any deductibles and/or selfinsured retentions exceeding $10,000, stop loss provisions, and/or exclusions contained in such policies must be approved by the County in writing. For any deductibles or self-insured retentions exceeding $10,000 or any stop-loss provisions, the County shall have the right to request and review the Contractor’s most recent annual financial reports and audited financial statements as a condition of approval.

Contractor hereby agrees to a waive subrogation with respect to each insurance policy maintained under this Agreement. When required by an insurer, or if a policy condition does not permit Contractor to enter into a pre-loss agreement to waive subrogation without an endorsement, then Contractor agrees to notify the insurer and obtain such endorsement. This requirement shall not apply to any policy which includes a condition expressly prohibiting waiver of subrogation by the insured or which voids coverage should the Contractor enter into such a waiver of subrogation on a pre-loss basis.

The County, its departments, elected and appointed officials, employees, agents and volunteers shall be named as additional insureds on Contractor’s and Contractor’s subcontractors’ insurance policies by way of endorsement for the full available limits of insurance maintained by the Contractor and subcontractor, and all coverage shall be primary and non-contributory. A statement or notation of additional insured status on a Certificate of Insurance shall not satisfy these requirements. [This endorsementshallnotberequirediftheContractorisagovernmentalentityandisinsuredthrough agovernmentalentityriskpoolauthorizedbytheStateofWashington.]

The Contractor shall, for each required insurance policy, provide a Certificate of Insurance, with endorsements attached, evidencing all required coverages, limits, deductibles, self-insured retentions and endorsements and which is conditioned upon the County receiving thirty (30) days prior written notice of reduction in coverages, cancellation or non-renewal. Each Certificate of Insurance and all insurance notices shall be provided to the attention of the project manager. This Agreement shall be voidabinitioif the proof of coverage is not timely supplied.

The insurance maintained under this Agreement shall not in any manner limit or qualify the liabilities or obligations of the Contractor under this Agreement. All insurance policy deductibles and selfinsured retentions for policies maintained under this Agreement shall be paid by the Contractor.

Compensation and/or payments due to the Contractor under this Agreement are expressly conditioned upon the Contractor’s strict compliance with all insurance requirements. Payment to the Contractor shall be suspended in the event of non-compliance. Upon receipt of evidence of Contractor’s compliance, payments not otherwise subject to withholding or set-off will be released to the Contractor. This Agreement shall be void ab initio if the proof of coverage is not timely supplied.

If the Errors and Omissions or Professional Liability insurance obtained is an occurrence policy as opposed to a claims-made policy, the Extended Reporting Period Endorsement is not required.

3. Liquidated Damages. For delays in timely completion of the work to be done or missed milestones of the work in progress, the Contractor shall be assessed Dollars ($ ) per day as liquidated damages and not as a penalty because the County finds it impractical to calculate the actual cost of delays. Liquidated damages will not be assessed for any days for which an extension of time has been granted. No deduction or payment of liquidated damages will, in any degree, release the Contractor from further obligations and liabilities to complete the entire project.

4. Other (specify):

PERSONAL SERVICES AGREEMENT ATTACHMENT D Page 2

COUNTY RETAINS THIS FORM Individualcontractorsandserviceprovidersmustcompleteandsign

2. WA Department of Retirement Systems: Independent Contractor Verification and State Retirement Status Reporting Form [WAC 415-02-110; DRS Email 13-011; DRS Email 09-001]

SECTION 1: INDIVIDUAL CONTRACTOR COMPLETES THIS SECTION AND SIGNS:

Did you retire from one of the State of Washington Retirement Systems? YES NO Did you retire before age 65 using the 2008 early retirement factors (ERF)?

CONTRACTOR (Full, individual name of contractor):

Signature: Social Security No. : Date:

SECTION 2: COUNTY COMPLETES THIS SECTION AND RETAINS FOR AUDIT PURPOSES:

1. Contractor has been a member of a Washington State Retirement System YES NO If YES, what system and plan?

2. Is the contractor a retiree of a Washington State Retirement System? Yes No

3. Did the contractor retire before age 65 using the 2008 ERF? Yes No

I have verified the information above using MRV or by contacting DRS, and I have evaluated the individual Contractor, Independent Contractor or Service Provider under WAC 415-02-110 and/or DRS Form-MS 344 (R 5/09), and the Internal Revenue Service rules governing independent contractor status.

COUNTY OFFICIAL/DEPARTMENT REPRESENTATIVE:

Signature: Date:

COUNTY RETAINS THIS FORM

PERSONAL SERVICES AGREEMENT ATTACHMENT D Page 3
YES NO Will you be
YES NO
YES NO Will you be receiving direct compensation for your services?
receiving indirect compensation for your services?
[Use Member Reporting Verification (MRV) to verify the past retirement membership]
Teachers’ Retirement System (TRS) Plan1 Plan 2 Plan 3 School Employees’ Retirement System (SERS) Plan 2 Plan 3 Public Employees’ Retirement System (PERS) Plan 1 Plan 2 Plan 3 Public Safety Employees’ Retirement System (PSERS) Plan 2 Law Enforcement Officers’ & Fire Fighters’ Retirement System (LEOFF) Plan 1 Plan 2 Washington State Patrol Retirement System (WSPRS) Plan 1 Plan 2
Judicial Retirement System (JRS)

AS-12677

BOCC Agenda

Meeting Date: 03/14/2023

Motion Items 13.

Contract Award and Execution: Juvenile Detention Security System Maintenance Services #2022-0041-01

Submitted For: Ashley Claussen

Department: Juvenile

Subject and Summary Statement

Submitted By: Ashley Claussen

Information

In September 2022 the Purchasing Services Department requested proposals on behalf of the Cowlitz County Juvenile Detention Center for security system support, repair, and quarterly preventative maintenance services. One proposal was received from Accurate Electric Unlimited, Inc. The first year of the requested agreement will be for an amount not to exceed $14,524.65 including tax, with increases for additional service years as outlined below:

2024 - $14,785.57

2025 - $15,133.46

2026 - $15,481.36

There are sufficient appropriations in the department budget, along with termination and non-appropriation language standard to multi-year agreements.

Will Staff Attend - NAME OF STAFF

Yes - Nick Maudlin/George Moya

Department Recommendation

Staff recommends that the Board move to award and execute the attached agreement for security system support, repair, and quarterly preventative maintenance services to Accurate Electric Unlimited.

Fiscal Impact

Expenditure Required $: 14,524.65

Budget Sufficient Y-N: Y

Amendment Required Y-N: N

Source of Funds - What Dept ? : Juvenile

Grant Y-N: N

Attachments

Agreement

Form Started By: Ashley Claussen

Final Approval Date: 03/01/2023

Form Review

Started On: 03/01/2023 09:55 AM

PERSONAL SERVICES AGREEMENT

Contract Number: 2022-0041-01

THIS AGREEMENT is entered into between COWLITZ COUNTY, a political subdivision of the State of Washington, (hereinafter called "County" or "Cowlitz County") and

Name: Accurate Electric Unlimited, Inc.

Address: PO Box 871866

Vancouver, WA 98687

Phone No: 360-798-8546

(hereinafter called "Contractor").

This Agreement is comprised of:

Attachment A – Scope of Work

Attachment B – Compensation

Attachment C – General Conditions

Attachment D – Special Terms and Conditions

Attachment E – Contractor Proposal Dated February 1, 2023

Attachment F – Prevailing Wage Rates

copies of which are attached hereto and incorporated herein by this reference as if fully set forth.

The term of this Agreement shall commence on the 1st day of March 2023 and shall, unless terminated as provided elsewhere in the Agreement, terminate on the 31st day of December 2026 The County reserves the right to extend the contract for up to two additional two-year periods.

IN WITNESS WHEREOF, the parties have executed this Agreement on this day of 2023.

CONTRACTOR:

Print name:

Title:

Date:

2-28-23

(OptionalforCommissionerApproval)

ATTEST:

Kelly Dombrowsky, Clerk of the Board

[2014_ver. 3]

COWLITZ COUNTY:

Dennis P. Weber, Chairman

Arne Mortensen, Commissioner

Richard R. Dahl, Commissioner (BOCCapprovalsubjecttoBoardratificationorauthorization)

CONTRACT HAS BEEN APPROVED AS TO FORM BY COWLITZ COUNTY PROSECUTING ATTORNEY

SCOPE OF WORK

Cowlitz County hereby engages the Contractor to serve as an independent contractor providing security system installation, maintenance, and repair services to the County on the terms and conditions set forth in this Agreement. The Contractor agrees to complete the services on behalf of Cowlitz County as described below, including the following elements:

1. Remote support telephone number provided to the County with an included allowance of ten (10) support hours.

a. Telephone support calls shall be received twenty-four (24) hours per day, seven (7) days per week. Contractor shall respond to routine support calls within two (2) hours.

b. Emergency support and service requests shall be received twenty-four (24) hours per day, seven (7) days per week. On-site response to emergency requests shall be within twelve (12) hours from the receipt of call.

2. Twice-yearly preventative maintenance (PM) visits to include inspection, updates, replacement of hardware and components, performance analysis and testing completed via scheduled quarterly onsite visits.

3. PM visits will include, but not be limited to:

a. Network security evaluation

b. Workstation and server software testing

c. Workstation hardware cleaning

d. Virus protection and memory evaluation

e. PLC evaluation, repair and replacement as necessary

f. Intercom and paging system evaluation

g. Digital and analog camera system testing

h. Locking door system evaluation

i. Recommendations for improvements outside of routine or preventative maintenance. Additions or changes outside of this scope shall not be implemented until reviewed and approved by the County.

4. Status and progress summary reports to include dates, durations, contact information, original problem, and troubleshooting method employed, resolution to the repair, and potential recommendations to prevent the failure in the future. Recommended additions or changes outside of this scope shall not be implemented until reviewed and approved by the County.

5. Additional services and/or activities as detailed in Attachment E - Contractor Proposal Dated February 1, 2023

In the event the Contractor, or its agents or assigns, are unable to complete their work as scheduled, the contract period and compensation may be adjusted by mutual agreement of the County and Contractor.

PERSONAL SERVICES AGREEMENT ATTACHMENT A Page 1

COMPENSATION

1. a. FIXED FEE FOR SERVICE: For services rendered, the Contractor shall be compensated according to the fixed rate schedule below:

Each request for payment shall be supported by an invoice specifying the tasks completed up to the request for payment and the payment amount requested. In no event shall payment be sought for an amount greater than rates and annual totals detailed above.

b. HOURLY RATES: For services rendered, the County shall compensate the Contractor at the following hourly rates:

Position&Location

HourlyRate

Payments for completed tasks shall be made no more frequently than monthly; quarterly; semiannually; annually; at completion of project; other (specify):

Each request for payment shall be supported by an invoice specifying: the name/position of the Contractor’s employee if two or more are identified above; number of hours worked; completed tasks for which compensation is sought and; payment amount requested.

In no event shall Contractor be compensated in excess of for the completed work set forth in Attachment “A.”

2. AND

a. The compensation set forth herein includes, without limitation: labor, materials, equipment, travel, telephone, computer, copiers and the like.

OR

b. The County shall reimburse the Contractor for actual expenses incurred for travel, telephone, copiers and computer. Reimbursement for airfare, mileage, meals and/or accommodations shall be at the same rate as that applicable to county employees traveling on county business.

OR

c. Other (specify) The County, in addition to the compensation herin set forth shall provide to the Contractor the following:

PERSONAL SERVICES AGREEMENT ATTACHMENT B Page 1
OR

GENERAL CONDITIONS

1. Scope of Contractor's Services. The Contractor agrees to provide to the County services and any materials set forth in the project narrative identified as Attachment A during the agreement period. No material, labor, or facilities will be furnished by the County, except as provided for herein.

2. Accounting and Payment for Contractor Services. Payment to the Contractor for services rendered under this Agreement shall be as set forth in Attachment B unless specifically stated in Attachment B, the County will not reimburse the Contractor for any costs or expenses incurred by the Contractor in the performance of this contract.

3. Delegation and Subcontracting. Contractor's services are deemed personal and no portion of this contract may be delegated or subcontracted to any other individual, firm or entity without the express and prior written approval of the County Project Manager.

4. Independent Contractor. The Contractor's services shall be furnished by the Contractor as an independent contractor and nothing herein contained shall be construed to create a relationship of employer/employee or master/servant.

The Contractor acknowledges that the entire compensation for this Agreement is specified in Attachment B and the Contractor is not entitled to any county benefits including, but not limited to: vacation pay, holiday pay, sick leave pay, medical, dental or other insurance benefits, or any other rights or privileges afforded to Cowlitz County employees. The Contractor represents that it maintains a separate place of business, serves clients other than the County, will report all income and expense accrued under this contract with the Internal Revenue Service on a business tax schedule, and has a tax account with the State of Washington Department of Revenue for payment of all sales and use and Business and Occupation taxes collected by the State of Washington.

In the event that either the state or federal government determines that an employer/employee or master/servant relationship exists rather than an independent contractor relationship such that Cowlitz County is deemed responsible for federal withholding, social security contributions, workers compensation and the like, the Contractor agrees to reimburse Cowlitz County for any payments made or required to be made by Cowlitz County. Should any payments be due to the Contractor pursuant to this Agreement, the Contractor agrees that reimbursement may be made by deducting from such future payments a pro rata share of the amount to be reimbursed.

Notwithstanding any determination by the state or federal government that an employer/employee or master/servant relationship exists, the Contractor, its officers, employees and agents, shall not be entitled to any benefits which Cowlitz County provides to its employees.

5. No Guarantee of Employment. The performance of all or part of this contract by the Contractor shall not operate to vest any employment rights whatsoever and shall not be deemed to guarantee any employment of the Contractor or any employee of the Contractor or any subcontractor or any employee of any subcontractor by the County at the present time or in the future.

6. Regulations and Requirements. This Agreement shall be subject to all federal, state and local laws, rules, and regulations.

7. Right to Review. This contract is subject to review by any federal or state auditor. The County shall have the right to review and monitor the financial and service components of this program by whatever means are deemed expedient by the County Project Manager. Such review may occur with or without notice, and may include, but is not limited to, on-site inspection by County agents or employees, inspection of all records or other materials which the County deems pertinent to the Agreement and its performance, and any and all communications with or evaluations by service recipients under this Agreement. The Contractor shall preserve and maintain all financial records and records relating to the performance of work under this Agreement for six (6) years after contract termination, and shall make them available

PERSONAL SERVICES AGREEMENT ATTACHMENT C Page 1

for such review, within Cowlitz County, State of Washington, upon request, during reasonable business hours.

8. Modifications. Either party may request changes in the Agreement. Any and all agreed modifications shall be in writing, signed by each of the parties.

9. Termination for Default If the Contractor defaults by failing to perform any of the obligations of the contract or becomes insolvent or is declared bankrupt or makes an assignment for the benefit of creditors, the County may, by depositing written notice to the Contractor in the U.S. Mail, postage prepaid, terminate the contract, and at the County's option, obtain performance of the work elsewhere If the contract is terminated for default, the Contractor shall not be entitled to receive any further payments under the contract. Any extra cost or damage to the County resulting from such default(s) shall be deducted from any money due or coming due to the Contractor. The Contractor agrees to bear any extra expenses incurred by the County in completing the work, including all increased costs for completing the work, and all damage sustained, or which may be sustained by the County by reason of such default.

If a notice of termination for default has been issued and it is later determined for any reason that the Contractor was not in default, the rights and obligations of the parties shall be the same as if the notice of termination had been issued pursuant to the Termination for Public Convenience paragraph hereof.

10. Termination for Public Convenience. The County may terminate the contract in whole or in part whenever the County determines, in its sole discretion that such termination is in the interests of the County. Whenever the contract is terminated in accordance with this paragraph, the Contractor shall be entitled to payment for actual work performed for completed items of work. An equitable adjustment in the contract price for partially completed items of work will be made, but such adjustment shall not include provision for loss of anticipated profit on deleted or uncompleted work. Termination of this contract by the County at any time during the term, whether for default or convenience, shall not constitute a breach of contract by the County.

11. Termination Due to Insufficient Funds If sufficient funds for payment under this contract are not appropriated or allocated or are withdrawn, reduced, or otherwise limited, the County may terminate this contract upon thirty (30) days written notice to the Contractor. No penalty or expense shall accrue to the County in the event this provision applies.

12. Termination Procedure. The following provisions apply in the event that this Agreement is terminated:

(a) The Contractor shall cease to perform any services required hereunder as of the effective date of termination and shall comply with all reasonable instructions contained in the notice of termination, if any.

(b) The Contractor shall provide the County with an accounting of authorized services provided through the effective date of termination.

(c) If the Agreement has been terminated for default, the County may withhold a sum from the final payment to the Contractor that the County determines necessary to protect itself against loss or liability.

13. Defense and Indemnity Agreement. To the fullest extent permitted by law and except to the extent caused by the sole negligence of the County, the Contractor shall indemnify, defend and hold the County and its appointed and elected officers, agents and employees, and volunteers, harmless from and against any and all claims for any injuries, death or damage to persons or property (including any loss of use resulting therefrom), directly or indirectly arising out of, resulting from, or in connection with performance of this Agreement. Contractor’s obligation to indemnify, defend and hold harmless includes any claim by Contractor’s agents, employees, representatives, or any subcontractor or its employees. Contractor expressly agrees to indemnify, defend and hold harmless the County from any claims arising out of or incident to either Contractor’s or its Subcontractor’s performance or failure to perform the Agreement.

PERSONAL SERVICES AGREEMENT ATTACHMENT C Page 2

It is further agreed by and between the parties that in no event shall any County appointed or elected officer, agent, employee, or volunteer, when executing their official duties in good faith, be in any way personally liable or responsible for any agreement or performance contained herein, whether express or implied, nor for any statement or representation made herein or in any connection with this Agreement.

14. Industrial Insurance Waiver. With respect to the performance of this Agreement and as to claims against the County, its appointed and elected officers, agents and employees, the Contractor expressly waives its immunity under Title 51 of the Revised Code of Washington, the Industrial Insurance Act, as now or hereafter amended, or other worker’s compensation act, disability benefit act, or other employee benefit act of any jurisdiction otherwise applicable, for injuries to its employees and agrees that the obligations to indemnify, defend and hold harmless provided in this Agreement extend to any claim brought by or on behalf of any employee of the Contractor. Along with the other provisions of this Agreement, this waiver is mutually negotiated by the parties to this Agreement.

15. Venue and Choice of Law In the event that any litigation should arise concerning the construction or interpretation of any of the terms of this Agreement, the venue of such action shall be in the courts of the State of Washington in and for the County of Cowlitz. This Agreement shall be governed by the law of the State of Washington.

16. Withholding Payment. In the event the County Project Manager determines that the Contractor has failed to perform any obligation under this Agreement within the times set forth in this Agreement, then the County may withhold from amounts otherwise due and payable to Contractor the amount determined by the County as necessary to cure the default, until the County Project Manager determines that such failure to perform has been cured. Withholding under this clause shall not be deemed a breach entitling Contractor to termination or damages, provided that the County promptly gives notice in writing to the Contractor of the nature of the default or failure to perform, and in no case more than ten (10) days after it determines to withhold amounts otherwise due. A determination of the County Project Manager set forth in a notice to the Contractor of the action required and/or the amount required to cure any alleged failure to perform shall be deemed conclusive, except to the extent that the Contractor acts within the times and in strict accord with the provision of the Disputes clause of this Agreement. The County may act in accordance with any determination of the County Project Manager which has become conclusive under this clause, without prejudice to any other remedy under the Agreement, to take all or any of the following actions: (1) cure any failure or default, (2) to pay any amount so required to be paid and to charge the same to the account of the Contractor, (3) to set off any amount paid or incurred from amounts due or to become due the Contractor. In the event the Contractor obtains relief upon a claim under the Disputes clause, no penalty or damages shall accrue to the Contractor by reason of good faith withholding by the County under this clause.

17. Rights and Remedies. The duties and obligations imposed by this Agreement and the rights and remedies available hereunder shall be in addition to and not a limitation of any duties, obligations, rights and remedies otherwise imposed or available bylaw.

18. Contractor Commitments, Warranties and Representations. Any written commitment received from the Contractor concerning this Agreement shall be binding upon the Contractor, unless otherwise specifically provided herein with reference to this paragraph. Failure of the Contractor to fulfill such a commitment shall render the Contractor liable for damages to the County. A commitment includes, but is not limited to any representation made prior to execution of this Agreement, whether or not incorporated elsewhere herein by reference, as to performance of services or equipment, prices or options for future acquisition to remain in effect for a fixed period, or warranties.

19. Patent/Copyright Infringement. Contractor will defend, indemnify and save harmless County, its appointed and elected officers, agents and employees from and against all loss or expense, including but not limited to claims, demands, actions, judgments, settlements, attorneys' fees and costs by reason of any and all claims and demands upon the County, its elected or appointed officials or employees for damages because of the Contractor’s alleged infringement on any patent or copyright. The Contractor will pay those costs and damages attributable to any such claims that are finally awarded against the

PERSONAL SERVICES AGREEMENT ATTACHMENT C Page 3

County, its appointed and elected officers, agents and employees in any action. Such defense and payments are conditioned upon the following:

(a) That Contractor shall be notified promptly in writing by County of any notice of such claim.

(b) Contractor shall have the right, hereunder, at its option and expense, to obtain for the County the right to continue using the information, in the event such claim of infringement, is made, provided no reduction in performance or loss results to the County.

20. Disputes.

(a) General Differences between the Contractor and the County, arising under and by virtue of the contract documents shall be brought to the attention of the County at the earliest possible time in order that such matters may be settled or other appropriate action promptly taken. The records, orders, rulings, instructions, and decision of the County Project Manager shall be final and conclusive thirty (30) days from the date of mailing unless the Contractor mails or otherwise furnishes to the County Project Manager a written notice of appeal. The notice of appeal shall include facts, law, and argument as to why the conclusions of the County Project Manager are in error.

In connection with any appeal under this clause, the Contractor and County shall have the opportunity to submit written materials and argument and to offer documentary evidence in support of the appeal. Oral argument and live testimony will not be permitted. The decision of the County Project Manager for the determination of such appeals shall be final and conclusive. Reviews of the appellate determination shall be brought in the Superior Court of Cowlitz County within fifteen (15) days of mailing of the written appellate determination. Pending final decision of the dispute, the Contractor shall proceed diligently with the performance of this Agreement and in accordance with the decision rendered.

(b) Notice of Potential Claims The Contractor shall not be entitled to additional compensation or to extension of time for (1) any act or failure to act by the County Project Manager or the County, or (2) the happening of any event or occurrence, unless the Contractor has given the County a written Notice of Potential Claim within ten (10) days of the commencement of the act, failure, or event giving rise to the claim, and before final payment by the County. The written Notice of Potential Claim shall set forth the reasons for which the Contractor believes additional compensation or extension of time is due, the nature of the cost involved, and insofar as possible, the amount of the potential claim. Contractor shall keep full and complete daily records of the work performed, labor and material used, and all costs and additional time claimed to be additional.

(c) Detailed Claim. The Contractor shall not be entitled to claim any such additional compensation, or extension of time, unless within thirty (30) days of the accomplishment of the portion of the work from which the claim arose, and before final payment by the County, the Contractor has given the County a detailed written statement of each element of cost or other compensation requested and of all elements of additional time required, and copies of any supporting documents evidencing the amount or the extension of time claimed to be due.

21. Ownership of Items Produced and Public Disclosure. All writings, programs, data, art work, music, maps, charts, tables, illustrations, records or other written, graphic, analog or digital materials prepared by the Contractor and/or its consultants or subcontractors, in connection with the performance of this Agreement shall be the sole and absolute property of the County and constitute "work made for hire" as that phrase is used in federal and/or state intellectual property laws and Contractor and/or its agents shall have no ownership or use rights in the work. Except as to data or information in the public domain or previously known to Contractor or required to be disclosed by law, subpoena or other process, the following shall apply:

(a) Correspondence, emails, reports and other electronic or written work product will be generated between the Contractor and County during the course of this Contract. This Contract and such work product in the possession of Contractor may be deemed public records subject to disclosure under the Washington State Public Records Act, Chapter 42.56 RCW (Public Records Act). Thus, the County

PERSONAL SERVICES AGREEMENT ATTACHMENT C Page 4

shall be required, upon request, to disclose this Contract and all documents related to it unless an exemption under the Public Records Act or other laws applies. Contractor shall fully cooperate with and assist the County with respect to any request for public records received by the County related to the services performed under this Contract.

(b) Should County receive a request for disclosure, County agrees to provide Contractor ten (10) days written notice of impending release, and to cooperate with any legal action which may be initiated by Contractor to enjoin or otherwise prevent such release, provided that all expense of any such litigation shall be borne by Contractor, including any damages, attorney’s fees or costs awarded by reason of having opposed disclosure, and further provided that County shall not be liable for any release where notice was provided and Contractor took no action to oppose the release of information. Notice of any proposed release of information pursuant to Chapter 42.56 RCW, shall be provided to Contractor according to the “Notice” provision herein. If the Contractor has not obtained an injunction and served the County with that injunction by the close of business on the tenth business day after the County sent notice, the County will then disclose the record unless it makes an independent determination that the record is exempt from disclosure. Notwithstanding the above, the Contractor must not take any action that would affect (a) the County’s ability to use goods and services provided under this Contract or (b) the Contractor obligations under this Contract. The Contractor will fully cooperate with the County in identifying and assembling records in case of any public disclosure request.

(c) Contractor’s failure to timely provide such records upon demand shall be deemed a material breach of this Contract. To the extent that the County incurs any monetary penalties, attorneys’ fees, and/or any other expenses as a result of such breach, Contractor shall fully indemnify and hold harmless County as set forth in Section 13. For purposes of this section, the terms “public records” and “agency” shall have the same meaning as defined by Chapter 42.56 RCW, as said chapter has been construed by Washington courts. The provisions of this section shall survive the expiration or termination of this Agreement.

22. Recovery of Payments to Contractor. The right of the Contractor to retain monies paid to it is contingent upon satisfactory performance of this Agreement, including the satisfactory completion of the project described in the Scope of Work (Attachment A). In the event that the Contractor fails, for any reason, to perform obligations required of it by this Agreement, the Contractor may, at the County Project Manager's sole discretion, be required to repay to the County all monies disbursed to the Contractor for those parts of the project that are rendered worthless in the opinion of the County Project Manager by such failure to perform.

Interest shall accrue at the rate of 12 percent (12%) per annum from the time the County Project Manager demands repayment of funds.

23. Project Approval. The extent and character of all work and services to be performed under this Agreement by the Contractor shall be subject to the review and approval of the County Project Manager. For purposes of this Agreement, the County Project Manager is:

Name: Nick Maudlin

Address: 1725 1st Avenue Longview, WA 98632

Phone: 360-577-3101 ext. 8227

E-Mail: MaudlinN@cowlitzwa.gov

In the event there is a dispute with regard to the extent and character of the work to be done, the determination of the County Project Manager as to the extent and character of the work to be done shall govern subject to the Contractor's right to appeal that decision as provided herein.

24. Non-Discrimination The Contractor shall not discriminate against any person on the basis of race, creed, political ideology, color, national origin, sex, marital status, sexual orientation, age, or the presence of any sensory, mental or physical handicap.

PERSONAL SERVICES AGREEMENT ATTACHMENT C Page 5

25. Subcontractors. In the event that the Contractor employs the use of any subcontractors, the contract between the Contractor and the subcontractor shall provide that the subcontractor is bound by the terms of this Agreement between the County and the Contractor. The Contractor shall insure that in all subcontracts entered into, County is named as an express third-party beneficiary of such contracts with full rights as such.

26. Third Party Beneficiaries. This agreement is intended for the benefit of the County and Contractor and not for the benefit of any third parties.

27. Standard of Care The Contractor shall perform its duties hereunder in a manner consistent with that degree of care and skill ordinarily exercised by members of the same profession as Contractor currently practicing under similar circumstances. The Contractor shall, without additional compensation, correct those services not meeting such a standard.

28. Time is of the Essence. Time is of the essence in the performance of this contract unless a more specific time period is set forth in either the Special Terms and Conditions or Scope of Work.

29. Notice Except as set forth elsewhere in the Agreement, for all purposes under this Agreement, except service of process, any notices shall be given by the Contractor to the County Project Manager. Notice to the Contractor for all purposes under this Agreement shall be given to the person executing the Agreement on behalf of the Contractor at the address identified on the signature page.

30. Severability. If any term or condition of this contract or the application thereof to any person(s) or circumstances is held invalid, such invalidity shall not affect other terms, conditions or applications which can be given effect without the invalid term, condition or application. To this end, the terms and conditions of this contract are declared severable.

31. Precedence. In the event of inconsistency in this Agreement, unless otherwise provided herein, the inconsistency shall be resolved by giving precedence in the following order:

(a) Applicable federal, state and local statutes, ordinances and regulations;

(b) Scope of Work (Attachment A) and Compensation (Attachment B);

(c) Special Terms and Conditions (Attachment D); and

(d) General Conditions (Attachment C).

32. Waiver Waiver of any breach or condition of this contract shall not be deemed a waiver of any prior or subsequent breach. No term or condition of this contract shall be held to be waived, modified or deleted except by an instrument, in writing, signed by the parties hereto.

33. Attorney Fees. In the event that litigation must be brought to enforce the terms of this agreement, the prevailing party shall be entitled to be paid reasonable attorney fees.

34. Construction. This agreement has been mutually reviewed and negotiated by the parties and should be given a fair and reasonable interpretation and should not be construed less favorably against either party.

35. Survival. Without being exclusive, Paragraphs 4, 7, 13-19, 21-22 and 30-35 of these General Conditions shall survive any termination, expiration or determination of invalidity of this Agreement in whole or in part. Any other Paragraphs of this Agreement which, by their sense and context, are intended to survive shall also survive.

36. Contract Documents. The Contract Documents for this Agreement, except for modifications issued after execution of this Agreement, form a contract and all are as fully a part of the contract as if attached to this Agreement or repeated herein. The contract represents the entire and integrated Agreement between the parties and supersedes any prior statements, discussions or understandings between the parties except as provided herein. An enumeration of the contract documents is set forth below:

PERSONAL SERVICES AGREEMENT ATTACHMENT C Page 6

1. Notice of Award; and

2. Addenda; and

3. Agreement; and

4. Conditions of Cowlitz County Request For Proposals No. 2022-0041-01; and

5. Quoted proposFeal of Contractor dated February 1, 2023.

PERSONAL SERVICES AGREEMENT ATTACHMENT C Page 7

SPECIAL TERMS AND CONDITIONS

1. Reporting. The Contractor shall submit written progress reports to the County Project Manager as set forth below:

With each request for payment.

Monthly.

Quarterly.

Semi-annually.

Annually.

Project completion.

Other:

Reports shall include any problems, delays or adverse conditions which will materially affect the Contractor's ability to meet project objectives or time schedules together with a statement of action taken or proposed to resolve the situation. Reports shall also include recommendations for changes to the Scope of Work, if any. Payments may be withheld if reports are not submitted.

2. Insurance The Contractor shall maintain in full force and effect during the term of this Agreement, and until final acceptance of the work, public liability and property damage insurance with companies or through sources approved by the state insurance commissioner pursuant to RCW Title 48, as now or hereafter amended. The County, its appointed and elected officials, agents and employees, shall be specifically named as additional insureds in a policy with the same company which insures the Contractor or by endorsement to an existing policy or with a separate carrier approved pursuant to RCW Title 48, as now or hereafter amended, and the following coverages shall be provided:

COMPREHENSIVE GENERAL LIABILITY: Bodily injury, including death and property damage

ERRORS AND OMISSIONS or PROFESSIONAL LIABILITY with an Extended Reporting Period

(two year tail).

EMPLOYER’S LIABILITY/STOP GAP

Can be endorsement or standalone policy

per occurrence

WORKERS COMPENSATION: Statutory amount

AUTOMOBILE: coverage on owned, non-owned, rented and hired vehicles

Bodily injury, liability, including death, and $1,000,000 Combined Single Limit Property damage liability

All Contractor’s and Contractor’s subcontractors’ insurance policies and additional named insured endorsements shall provide primary insurance coverage and be non-contributory. Any insurance, self-insured retention, deductible, risk retention or insurance pooling maintained or participated in by the County shall be excess and not contributory to such insurance policies. All Contractor’s and Contractor’s subcontractors’ liability insurance policies must be endorsed to show this primary coverage.

PERSONAL SERVICES AGREEMENT ATTACHMENT D Page 1
$1,000,000 per occurrence $1,000,000 Aggregate
$1,000,000
$2,000,000 Aggregate
Endorsement
per occurrence
$1,000.000

Upon request, the Contractor shall provide a full and complete certified copy of all requested insurance policies to the County. The County reserves the right, but not the obligation, to revise any insurance requirement, not limited to limits, coverages and endorsements, or to reject any insurance policies which fail to meet the requirements of this Agreement. Additionally, the County reserves the right, but not the obligation, to review and reject any proposed insurer providing coverage based upon the insurer’s financial condition or licensing status in Washington. Any deductibles and/or selfinsured retentions exceeding $10,000, stop loss provisions, and/or exclusions contained in such policies must be approved by the County in writing. For any deductibles or self-insured retentions exceeding $10,000 or any stop-loss provisions, the County shall have the right to request and review the Contractor’s most recent annual financial reports and audited financial statements as a condition of approval.

Contractor hereby agrees to a waive subrogation with respect to each insurance policy maintained under this Agreement. When required by an insurer, or if a policy condition does not permit Contractor to enter into a pre-loss agreement to waive subrogation without an endorsement, then Contractor agrees to notify the insurer and obtain such endorsement. This requirement shall not apply to any policy which includes a condition expressly prohibiting waiver of subrogation by the insured or which voids coverage should the Contractor enter into such a waiver of subrogation on a pre-loss basis.

The County, its departments, elected and appointed officials, employees, agents and volunteers shall be named as additional insureds on Contractor’s and Contractor’s subcontractors’ insurance policies by way of endorsement for the full available limits of insurance maintained by the Contractor and subcontractor, and all coverage shall be primary and non-contributory. A statement or notation of additional insured status on a Certificate of Insurance shall not satisfy these requirements. [This endorsementshallnotberequirediftheContractorisagovernmentalentityandisinsuredthrough agovernmentalentityriskpoolauthorizedbytheStateofWashington.]

The Contractor shall, for each required insurance policy, provide a Certificate of Insurance, with endorsements attached, evidencing all required coverages, limits, deductibles, self-insured retentions and endorsements and which is conditioned upon the County receiving thirty (30) days prior written notice of reduction in coverages, cancellation or non-renewal. Each Certificate of Insurance and all insurance notices shall be provided to the attention of the project manager. This Agreement shall be voidabinitioif the proof of coverage is not timely supplied.

The insurance maintained under this Agreement shall not in any manner limit or qualify the liabilities or obligations of the Contractor under this Agreement. All insurance policy deductibles and selfinsured retentions for policies maintained under this Agreement shall be paid by the Contractor.

Compensation and/or payments due to the Contractor under this Agreement are expressly conditioned upon the Contractor’s strict compliance with all insurance requirements. Payment to the Contractor shall be suspended in the event of non-compliance. Upon receipt of evidence of Contractor’s compliance, payments not otherwise subject to withholding or set-off will be released to the Contractor. This Agreement shall be void ab initio if the proof of coverage is not timely supplied.

If the Errors and Omissions or Professional Liability insurance obtained is an occurrence policy as opposed to a claims-made policy, the Extended Reporting Period Endorsement is not required.

3. Prevailing Wages. The work outlined in this Agreement is considered Public Work and requires payment of prevailing wages in accordance with RCW 39.12 and WAC 296-127-023. No less than the applicable prevailing rate of wage must be paid to any worker, laborer, or mechanic employed in the performance of any part of the stated work. A copy of Prevailing Wage Rates for Electronic Technicians (WAC 296-127-01308) can be found as Attachment F – Prevailing Wage Rates. If Prevailing Wage rates change during the term of this contract, then the employer must pay their employees the wage rates in effect for the period in which the work was performed. Surcharges for fuel, hazardous material disposal, or similar will not apply. The Contractor shall complete and file State of Washington, Department of Labor and Industries Statement of Intent to Pay Prevailing Wages on Public Contracts and shall familiarize itself with all of the provisions of Chapter 39.12 RCW. The Contractor shall also be responsible for and pay all costs pertaining to the processing of these forms.

PERSONAL SERVICES AGREEMENT ATTACHMENT D Page 2
PERSONAL SERVICES AGREEMENT ATTACHMENT E Page 1
February 1, 2023
Contractor Proposal Dated
PERSONAL SERVICES AGREEMENT ATTACHMENT E Page 2
PERSONAL SERVICES AGREEMENT ATTACHMENT F Page 1
Prevailing Wage Rates

AS-12620

BOCC Agenda

Meeting Date: 03/14/2023

Timed Items 14.

11:00 A.M. Bid Opening – Health and Human Services Roof Replacement #2023-0001-01

Submitted For: Ashley Claussen

Department: Purchasing Services

Submitted By: Ashley Claussen

Information

Subject and Summary Statement

Bids for the HHS Roof Replacement Project are scheduled to be opened at 11:00 A.M. on March 14, 2023. Attached is the preliminary result worksheet.

Will Staff Attend - NAME OF STAFF

Yes - Ashley Claussen.

Department Recommendation

The Purchasing Services Department recommends bids be opened as advertised.

Attachments

Preliminary Results

Form Started By: Ashley Claussen

Final Approval Date: 03/07/2023

Form Review

Started On: 02/08/2023 09:22 AM

Purchasing Services

1600 13th Ave S

Kelso, WA 98626

TEL (360) 577-3030

FAX (360) 423-9987

www.co.cowlitz.wa.us

Board of County Commissioners

Arne Mortensen District 1

Dennis P. Weber District 2

Richard R. Dahl District 3

PRELIMINARY RESULTS

HHS Roof Replacement #2023-0001-01

Opening: March 14, 2023 at 11:00 AM

Company
Bid Amount: ABC Roofing $ Coastline Roofing & Construction $ Galk Construction $ Preferred Roof Services $ Roof Toppers $ Signature Roof Service $ $ $ $
Name:

Turn static files into dynamic content formats.

Create a flipbook
Regular Public Meeting Agenda, Packet, & Video by cowlitzwa.gov - Issuu