Buying your Home

Page 1


BUYING your home

SIMPLY THE BEST

Cottingham Chalk consistently outperforms the market. Our agents draw on the collective knowledge and experience of our company. No house or person is the same. We get that. As a boutique firm, we’re able to provide a customized and tailored experience. Simply put, we set the standard for real estate excellence in Charlotte.

AT A GLANCE COTTINGHAM CHALK

Daniel Cottingham President

Dan Cottingham Co-Founder & Chairman

Leigh C. Corso VP of Branding & Engagement

Built on a foundation of integrity and trust, Cottingham Chalk has a long history of serving the Charlotte community.

From the beginning, our focus has been on people. Attracting the best brokers to build their careers under our roof and empowering them to provide excellent service to our community, and in turn, attracting the best clientele to trust us to shepherd them through the process of buying or selling a home.

We identify wonderful people and develop them into excellent real estate agents, not the other way around. Our focus on homegrown talent has created a collaborative environment where brokers work together, share ideas, and support each other — and our clients reap the benefits of working with agents who are their best selves. Our brokers start here, learn here, grow here, and flourish here. They are leaders in our community and our industry.

Now in our second generation of leadership, we are a family business more than ever. We help each other, we trust each other, we care about each other. When you work at Cottingham Chalk, you are part of the family. When you hire a Cottingham Chalk broker, you have the entire company in your corner.

As a local, independent company, we are free to focus on the big picture as opposed to next quarter’s numbers. We can stay the course when it is the right path, and we can adjust quickly when change is appropriate. As an exclusive member of Leading Real Estate Companies of the World®, we are equipped with market leading resources to serve our clients both locally and around the globe.

THE IMPORTANCE OF BUY ER AGENCY

Record low inventory & record high demand have created an incredibly competitive market. We have the tools and the expertise to navigate the market and craft a smart offer that will help give you a leg up.

Vendors and contractors are busier than ever before. We have relationships and partnerships to get you from contract to closing on time and with ease.

We have off-market insight. Our access to offmarket, firm exclusive and new construction listings expands your pool of homes to consider.

Our experience and tools allow us to streamline the home buying process so you have an informed and efficient experience.

1 2 3 4 5 6

Exclusive access to the Offer Helper provides real-time data to make your offer most competitive.

Agents like working with agents. As Realtors, we spend a lot of time collaborating with agents at other real estate firms and maintaining strong relationships for our clients.

OUR ROLE AS BUYER AGENTS

When representing a buyer, a real estate agent serves as an advocate and acts with the buyer’s priorities in mind so that they can purchase with confidence, navigate potential pitfalls, and maximize their home purchase. A buyer’s agent involvement goes way beyond just finding the right property. It starts with understand the client’s objectives, assessing their finances, and organizing key preparatory steps.

A buyer’s agent will provide resources for obtaining a mortgage pre-approval, provide market insights for smart decision-making, schedule and accompany showings, help the buyer understand the pros and cons of homes they’re interested in, craft a favorable offer, interpret disclosures and reports, and even facilitate transition into the new home.

NAVIGATING THE HOME BUYING PROCESS

MEET WITH BUYER AGENT

> Discuss wants and needs

> Learn about home buying process

GET PRE-APPROVED

> Select a mortgage provider and fill out application

> Average application takes one hour to fill out and one day to process

> Receive pre-approval letter from lender

TOUR, SUBMIT OFFER, GO UNDER CONTRACT

> Write offer, submit offer, offer acceptance

> Due Diligence period begins immediately

CONDUCT DUE DILIGENCE

> Select inspections with your agent

> Order survey, if desired

> Submit request to Sellers for any repairs

> Negotiate and finalize repair requests/concessions

> Review appraisal results

> Secure home owners’ insurance

> Review Buyer Agency Agreement and execute prior to viewing property

SETUP MLS SEARCH

> Cottingham Chalk agent will set up a personalized MLS search for you

> You can choose to have homes sent to you the minute they come on the market

> Full access to search the MLS database on your own as well

SUBMIT DUE DILIGENCE FEE & EARNEST MONEY

> Due Diligence Fee is paid to Seller and credited at Closing. If you terminate the contract, this fee is retained by the Seller and non-refundable

> Earnest Money Deposit is held in an escrow account and credited back at closing. If you terminate after the DD period has ended or breach the Contract, this deposit goes to the seller

FINALIZE LOAN

> Work with lender to finalize loan approval and have property appraised

PREPARE FOR CLOSING

> Select a closing attorney and schedule closing

> Closing attorney will check for title defects and prepare closing documents

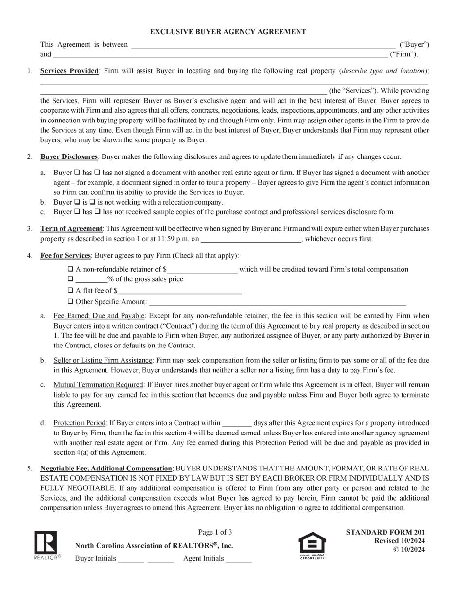
EXCLUSIVE

BUYER AGENCY AGREEMENT

This is the contract that outlines the agency relationship between you as a buyer and Cottingham Chalk as your agent. The agreement outlines each party’s responsibilities and duties through the buying process. Be sure to review this document in detail and discuss any questions with your agent.

Buyer agent fees are negotiated by buyer agents and their clients and outlined in a written agreement prior to any property showings.

At Cottingham Chalk, our fee for representing buyers is 3% of the purchase price. Typically, our clients include this fee in the purchase price to be paid from seller proceeds at closing, though additional options are available.

PROJECTED BUYER EXPENSES

Out-of-pocket expenses will vary for each property, but we recommended that you budget for the following:

BUYER’S ESTIMATED EXPENSES

Appraisal

Credit Report

$500 – $800 (Paid At Application)

$100 – $200

Loan Origination Fee % of Loan Amount

Loan Discount Points (if any)

Survey

Title Search

Title Insurance

Recording Fee

Federal Express Fee

Termite Inspection

General Home Inspection

Structural Inspection, if needed

Radon Testing

Property Taxes (escrow)

Attorney Fee

H OA Fees

1 Point = 1% of Loan Amount

$700 – $900

$100 – $150

$2.00 (per $1,000 )

$100 – $150

$30 – $75

$100 – $150

$600 – $800

$700 – $1,200

$150 – $200

Approximately – 6-12 Months, consult Lender

$1,000 ~ $1,300

6-12 Months, consult Lender

Homeowner’s Insurance (escrow) 14 Months, consult Lender

Interest Pro-rated to Date of Closing

Private Mortgage Insurance, if needed Consult your lender

Buyer Agent Commission 3% of purchase price

Good Faith Estimate of Closing Costs Provided by Mortgage Lender. These costs might include: Commitment Fee, Underwriting Fee, Tax Service Fee, Flood

Certificate Fee, Courier fee, Broker Fee, or Application Fee. All costs are approximates.

WHAT MAKES THE BEST BUYER AGENT

Expertise – A deep understanding of the market and the transaction process, guiding clients seamlessly through every step.

Relationships – Strong industry connections and an established network, opening doors to key opportunities.

Reputation – Respected by peers and clients alike, known for trustworthiness and results.

Referral-Based – Our business thrives on word-of-mouth, with a network built on satisfied, loyal clients.

Knowledge – Expertise in both the local market and the nuances of the home-buying process.

Support – A full-time support staff and a team of experienced agents, always available to assist.

Work Ethic – Dedicated, full-time commitment to providing a hands-on, full-service experience.

Fit – A personality-driven approach, ensuring we’re the right match for each client’s unique needs.

Motivation – A client-first mindset, focused on helping buyers achieve their goals.

Integrity – Honest, ethical, and transparent in every interaction.

Strategic – Proactive advice and strategies to help buyers reach their objectives with confidence.

Experience – A proven track record of successful transactions and satisfied clients, with testimonials to back it up.

A CLIENT FOR LIFE

At Cottingham Chalk our commitment to our clients extends beyond the closing table. We continue to provide value as your go-to resource for all things real estate.

Considering investment properties? We’ve got you covered.

Looking for a vacation home? We have connections around the globe.

Curious about your current home value? We can provide that.

Refinancing? We’ll provide supporting documentation for the appraiser.

Investing in your home? Whether considering a small facelift or massive renovation, we will advise on what will have the biggest impact for resale.

Need a repairman in a pinch? We have a solid list of trusted vendors.

Bottom line, we are here for you.

NOTES

Turn static files into dynamic content formats.

Create a flipbook
Issuu converts static files into: digital portfolios, online yearbooks, online catalogs, digital photo albums and more. Sign up and create your flipbook.
Buying your Home by CottinghamChalk - Issuu