















































































































![]()
















































































































Columbia Valley Pioneer staff
The replacement of Eileen Madson Primary School continues to be a top priority as Rocky Mountain School District No. 6 seeks public feedback on its Long Range Facilities Plan (LRFP).
Capital funding is also being sought to upgrade Edgewater Elementary and Martin Morigeau Elementary School, among other facilities.
“We
are at the mercy of the ministry as to timing and also the amount of funds available.”
Alan Rice, Secretary Treasurer
The school district is focusing on addressing historical disparities that have favoured Lower Mainland and coastal zone schools, and is opposing any potential school closures since no significant enrolment declines are anticipated.
Aaron Callaghan, the school district’s new superintendent, says the
LRFP is an important step in ensuring that schools are equipped to meet the evolving needs of learners.
He noted the feedback they receive will help shape the school district’s strategic priorities and guide future capital planning. Besides replacing Eileen Madson, the school district plans to address high-priority maintenance needs at other schools, ensuring they get proper upkeep and improvements.
A report by the school district indicates that Eileen Madson is functioning over its intended operating capacity and that the space is not flexible or suitable for non-primary grades.
Secretary Treasurer Alan Rice previously told the Pioneer that the school’s classrooms currently represent an “outdated learning style” at 60 square metres, adding that the new standard is 80 square metres. So, the plan is to bring this learning space into the 21st century, he said.
The idea is to incorporate the school’s two portables into the new facility on land next to the existing building. The other development that has already broken ground is the new child
care centre destined for the property.
Rice said the school district is also seeking funds for major renovations to Edgewater and Martin Morigeau schools. These include roof membrane replacements, exterior/envelope upgrade, window replacement, HVAC, or interior renovations.
“We are at the mercy of the minis-
try as to timing and also the amount of funds available,” Rice stated.
For a copy of the draft LRFP, visit the school district’s website at https:// sd6.bc.ca/departments/operations and refer to the “Long Range Facilities Plan” section. Feedback can be submitted through the “survey” link.




































By Sgt. Ed deJong Columbia Valley RCMP
This past week, September 16 to 23, the Columbia Valley RCMP responded to 70 calls for service. The main event in the valley this week was the Radium ‘Show and Shine’.
The Columbia Valley RCMP and BC Highway Patrol were both in the area to attempt to keep the driving behaviour under control. Over the Friday and Saturday a number of tickets were issued to drivers for speeding, undue care and attention, driving without consideration, among other offences.
The main concern with driving behaviour, specifically the tradition of doing “burnouts” along Hwy
93/95 through Radium and Hwy 93 eastbound toward the park, is the safety of everyone involved. There are many instances you can find on YouTube of burnouts going bad where either the driver loses control and runs down people in the crowd, or the vehicle malfunctions and parts fly off into the crowd causing injuries. These are the incidents the police are attempting to prevent with enforcement action.
There was a large turnout for the event, and other than some major traffic backups on the Saturday morning, there were no serious incidents over the weekend.
I received and appreciated many comments from the participants that were positive toward the police presence and actions taken over the weekend.



By Steve Hubrecht steve@columbiavalleypioneer.com
Invermere is another step closer to having a municipal composting program.
Although such a program is still nearly a year away from launching, what the program could look like is now a little clearer after Invermere council opted for residential curbside pickup over neighbourhood collection bins.
District of Invermere officials have been talking about a local composting program for years, but the idea has recently gotten a good deal more traction. That’s because the Regional District of East Kootenay (RDEK)’s composting facility in Athalmer is finally near completion. This facility is key, since that’s where all the compost collected from homes will end up.
During the summer the district ran a survey asking residents if they preferred curbside pickup (just like garbage and recycling) or if they wanted communal neighbourhood bins for organic waste. Both approaches have been used in other communities in the East Kootenay and in nearby parts of Alberta, and both have met with success.
A total of 186 residents responded to the survey. For the neigbourhood collection bins, 52 per cent of respondents said they were either likely or very likely to use them, while 48 per cent said they were unlikely or very unlikely to use them. For curbside collection, 75 per cent of respondents said they were likely or very likely to use it (if it included yard waste), 15 per cent
were uninterested or very uninterested, and 10 per cent were neutral. Some 63 per cent of respondents, however, did indicate concerns about the potential for wildlife conflicts with curbside collection.
Council read through the survey results, and weighed the pros and cons of eight different options for curbside collection during its Tuesday, Sept. 10 committee of the whole meeting. Councillors preferred curbside collection and directed staff to gather more details on how it could work. Of the eight options for bins, councillors favoured the 120-litre Schaefer bear-resistant bins that are used in Golden for garbage collection. These bins have metal clips and metal around the edges, which make it quite difficult (although not 100 per cent impossible) for wildlife to get in.
The eight bin options ranged in price from $8.50 per bin to $449 per bin. Not surprisingly, the more expensive bins sounded more robust and harder for bears (or other wildlife) to get into. But as Invermere councillor Kayja Becker noted, the only truly bearproof bins are the enormous metal latching ones welded to the ground that are used as garbage bins all over downtown Invermere (which are not at all practical for residential use).
Of the eight options, the Schaefer bin council favoured was the midpoint in terms of price. Still, the total cost for the 1,600 bins the district will need for curbside organic waste collection comes to roughly $430,000 — well in excess of the grant money that Invermere has so far received for its composting pro-

By Steve Hubrecht steve@columbiavalleypioneer.com
Concerned 5th Street residents worried about speeding in their neighbourhood are mostly happy with measures that District of Invermere staff have taken to keep the lead-footers in check.
This summer residents in the north part of Upper Invermere went to council seeking solutions to a rising number of vehicles using their street as a thoroughfare, some hitting speeds of up to 80 kilometres per hour on a residential road that has no sidewalks and sees plenty of pedestrians and cyclists (especially kids heading to school). They feared an accident was bound to happen.
Early in the summer Invermere staff put up temporary stop signs, creating a four-way stop halfway along 5th Street where it intersects 12th Avenue.
Residents pressed for those temporary stop signs to become permanent. To their delight, Invermere officials have now agreed, sending a letter to residents.
In the letter Invermere director of public works and operations Angela MacLean wrote that the temporary four-way stop has elicited both positive and negative feedback, but that “overall, the intent to slow people down has for the most part been effective.” Consequently the stop signs will become permanent and white stop bars will be painted at the intersection, likely some time in September.
Residents also want a three-way stop and a pair of crosswalks at the T-intersection of 5th Street and 13th Avenue.
MacLean outlined that the district does not have any traffic counts or speed data for the 5th Street and 13th Avenue area, but will soon get some.
gram.
Exactly where the extra money might come from, what the total cost of the program might be, and how residents will pay for it have yet to be decided and will be the subject of a report from Invermere environmental planner Amy Fletcher later this fall.
“Nothing is set in stone yet,” Fletcher cautioned. Even if things proceed without any hitches, and council gives the green light to the composting program at the first opportunity, the earliest that curbside composting could be a reality in Invermere is next summer.




Pursuant to s. 224 of the Community Charter, the Council of the Village of Radium Hot Springs will consider Bylaw No. 511, 2024 Permissive Tax Exemption (2025) for adoption at the Council Meeting on October 15th, 2024.
Bylaw No. 511, 2024 Permissive Tax Exemption (2025) exempts from taxation for the year 2025 the following land and/or improvements. Exemptions for 2026 and 2027 are dependent on eligible organizations applying for exemption before the due date. Copies of the bylaw are available at the Village Office, 4836 Radium Blvd., Radium Hot Springs, BC, or on the Village website: www.radiumhotsprings.ca









It’s absolutely amazing (and mind boggling) what small thrift stores can do for your community.
For example, look at what the Invermere Health Care Auxiliary Society is doing — donating $200,000 to ‘A Warm Embrace’ campaign (Neonatal Intensive Care Unit at East Kootenay Regional Hospital).
How on earth does a little second hand shop come up with that kind of money? It doesn’t sell stocks or bonds or big ticket items, it sells used clothing, books and housewares. And all affordably priced! Go figure.
Health care auxiliary thrift stores are vital in every town, village or city in raising money for medical equipment and supplies for local hospitals.
Here’s a bit of history for you: The Invermere group began in the early 1900s courtesy of a small group of ladies with a passion for volunteering. They observed the struggles people had with obtaining good health care so they banded together to make a difference. And what a huge difference they’ve made. Through fundraising, the ladies auxiliary fully equipped the new Windermere District Hospital in 1914. An incredible feat!
The auxiliary opened the thrift store in 1977 and never looked back, raising hundreds of thousands of dollars to enhance health care in the community.
Thrift stores are wonderful places to visit because you never know what you’ll find in their nooks and crannies. For example, a T-Rex fossil shower head, a leaning cabinet (like the Tower of Pisa), a pair of jeans that show your butt cheeks . . . the list goes on.
You may also find rare items that can fetch a small fortune on Ebay, such as old paintings and retro video games.

But the real gems at these shops are the volunteers who run them. They show up every day with a smile even if you don’t have one. They give up their time to sort through all those donations so that a $2 shirt or a $5 pair of shoes can find a new home and raise money for a great cause. Yes, these ladies, who are young at heart, are the backbone of these operations and deserve our thanks for changing people’s lives.
Word of the wise: Don’t haggle — these prices are already bargain basement. Ya, we know you’re cheap but don’t advertise it. Just think about where the money is going: a new hospital bed, a dialysis machine, a patient monitor . . . you get the picture.
Another cardinal sin is unloading your donations after hours. Those dirty old shoes with holes in ‘em won’t sell, neither will that busted electric grill.
While Value Village might have more to choose from, you can’t beat these small thrift stores in your neighbourhood. Their prices are way better, and you know for certain that every dime you spend there will go to its intended target.
If you really want to feel good about yourself, volunteer a few hours a week in the shop and make new friends while you’re at it!
Lyonel Doherty, editor

The ‘R’ word isn't one that any of us like to hear. But rest assured, it is alive and unwell in the Columbia Valley.
While you may be insulated from its worst forms, many of our friends and neighbours experience it on a daily basis. In particular, local Indigenous communities continue to put up with ongoing systemic racism which can often be perpetuated without us even knowing it.
So, what can we do? Show up with an open ear and heart. Local events like the Salmon Festival, Orange Shirt Day, and National Indigenous Peoples Day are all opportunities to come together and learn. These events are put on by local Indigenous communities which, despite the fact that they continue to face the brunt of systemic racism, they continue to open their arms and hearts to the community to come together and learn, share, connect, and celebrate.
We can reciprocate just by showing up with open ears and hearts. We also invite you to join us for the upcoming 4 Seasons of Indigenous Learning course. This is led by local Indigenous educator Jenna Jasek,




who is a proud Shuswap Band member with Ktunaxa ancestry.
You will hear from incredible Indigenous leaders and educators which will ground your learning. And upon completion, you will receive a certificate from the First Nations University of Canada.
We have made this as affordable as possible, but if cost is a barrier we are happy to offer this to you free of charge. Just ask.
Support projects are Indigenous-led. As we all know, there is no perfect project that will serve everybody, but let’s do our best to extend the most support for any Indigenous person or organization who is willing to put themselves out there despite the racism they know they will face.
With the local Columbia Valley Métis Association (housing) project on people’s minds, we would invite you to join us for the upcoming Métis Language and Cultural Learning course. You will have the opportunity to learn from the incredible Elder Marie Schoenthal who is so inspiring and engaging.
Continued on page 7


JULY 11, 2024
The Invermere Health Care Auxiliary Society has brought ‘A Warm Embrace’ campaign close to completion.
By Steve Hubrecht steve@columbiavalleypioneer.com
The Invermere Health Care Auxiliary Society (IHCAS) has donated $200,000 more towards A Warm Embrace (AWE) campaign to bring a Neonatal Intensive Care Unit to East Kootenay Regional Hospital. This NICU will keep families with premature babies from long, stressful, financially difficult trips across the province for care.
After nearly a year of the position sitting vacant, the District of Invermere finally has a new environmental planner.
Life started to seem a bit more settled in Australia, but then a job opportunity came up for Charlie — a heavy duty mechanic — that required him to be based in Canada.
Amy Fletcher began in the role the first week of June, and has already sunk her teeth into a number of initiatives.
The IHCAS has been the top supporter of A Warm Embrace campaign, donating a total of $400,000 towards the project in the last year.
Fletcher is Australian, but is no stranger to the Columbia Valley. She spent three winters as a snowboard instructor at Panorama Mountain Resort starting in 2010. Fletcher left Canada, became an environmental scientist and outdoor educator, started a family, and by a quirk of fate, returned to the Columbia Valley last year, almost a decade after she first left.
The IHCAS raises funds through the Invermere Thrift Store, located right on the main street of Invermere (7th Avenue). The store has been recycling, reusing, and re-purposing donated goods since 1977.
Their incredible group of 165 volunteers are always one of the strongest supporters of health care initiatives in the region. In total, they have donated over $1.3 million to East Kootenay Foundation for Health to improve medical equipment and patient care in the Columbia Valley, Golden, and the East Kootenay.
She grew up in a surfing and sailing family in Adelaide, capital of South Australia, and credits that initial — and constant — exposure to the outdoors fostering an environmental ethic in her at a young age.
“I didn’t think I’d end up back in Canada, but when that came up, I said ‘Oh, I know a place’,” recalled Fletcher. “When I first came to Invermere, back in 2010, I was drawn by what draws most of the Australians here — the mountains and the ski fields. They are mind blowing compared with what we have in Australia. But what drew us back was the people, the connection and the friendships.”
In addition to EKFH projects, the Invermere Health Care Auxiliary Society also donates to community health organizations and provides support to David Thompson Secondary School graduates who are enrolled in health related post-secondary education.



To find out more about the auxiliary’s work and thrift shop, visit www.invermerethriftstore.com. To learn more visit ekfh.ca or call 1-877-489-6481.
Brenna Baker, Executive Director of EKFH commented, “I am so grateful for the amazing support that we receive from the IHCAS. They continually support all the projects that we are involved in with the East Kootenay Regional Hospital, Invermere and District Hospital, Golden and District Hospital, Columbia House and Durand Manor. I have spent time at their thrift store in Invermere and their team works so hard. Besides this incredible donation to the Warm Embrace campaign this year, they have also given $165,000 to other equipment for Invermere and Golden. I hope they know how important they are to the improvements that we continue to see in health care for our region, and we are so incredibly thankful for the huge support of an East Kootenay NICU.”
Continued from page 6
“We were always, always by the ocean. Surfing, sailing, swimming. I didn’t realize it at the time, but it was a connection to nature and it was always there. Through that I learned the idea of leaving the environment in a better state than when I found it,” Fletcher told the Pioneer
Fletcher had several good friends from her time at Panorama still living in the Columbia Valley. When Charlie was offered the Canadian job, Fletcher immediately reached out to those friends. Was Invermere still the same awesome, outdoorsy, community-minded town she remembered? Of course, her friends replied. Soon she, Charlie and Joanie were headed across the Pacific to a home that was new to them as a family, but very familiar to Fletcher.
East Kootenay Foundation for Health
“Ski towns can be transient. But when you decide to stay in Invermere, you start to realize it’s not just a great place, it’s a great place and a great community, winter and summer,” said Fletcher. “You are surrounded by peo-
We invite you to review this and look at those resources that meet your needs:
She will offer you a deeper under standing of Metis culture and history while opening a window in your mind to the incredible depth of language and culture. And again, this is very afford able, but if price is a barrier, we will remove this barrier with no questions asked.
We have also prepared a list of in
After those winters at Panorama, Fletcher went to university (three uni versities, actually — Flinders Universi ty, Charles Darwin University, and the University of Tasmania), successively collecting an environmental science de gree; a teaching degree; and a post grad diploma in sustainability and waste management.









Continued from page 5
“Over the fall months we will place the speed reader sign in six locations around the intersections. This will provide the information required using current and relevant information,” wrote MacLean, later adding that if the traffic data show a need for a three-way stop, “it will be considered for implementation.”
When it comes to the crosswalks, however, MacLean noted these usually connect existing sidewalks and trails and there are no sidewalks or trail along 5th Street.
That said, she pointed out that 5th Street is identified as “an important connection” and is designated as a “collector” in the district’s active transportation master plan. She agreed that a sidewalk or trail would provide a safer solution for pedestrians and cyclists. There’s no budget, or staff capacity, at the moment for a 5th Street sidewalk, said MacLean, but she added “we are looking for funding sources for a trail along 5th Street in 2025. When and if the trail network is expanded, staff would be in support of a crosswalk from the existing trail along 13th Avenue to a connecting trail on 5th Street.”
“Most of us are happy,” resident Barry Wiseman told the Pioneer regarding residents’ reaction to the district’s response.
He cautioned that the data collec-
tion involves electronic signs that show drivers exactly how fast they are zooming along 5th Street; “this will only temporarily slow motorists and bias the collected data. Most people will slow down when they see a sign showing how fast they are going.”
Wiseman also urged district officials to collect data on more than just vehicles.
“While speed and the volume of vehicles can be measured, we feel that the number of pedestrians is a more important factor. Also, how they travel matters. Many kids travel in larger groups and end up both on the grassy shoulders and the road. Motorists are forced to drive in the middle or other side of the road to safely pass them,” he said.
Wiseman added that in his opinion it is unfortunate there will be no crosswalks at 5th Street and 13th Avenue at this time. “Even though it is not within a school zone, many school age children travel up and down 5th Street. Kids that walk to school do so at their peril. Parents are more likely to drive their kids to school, adding to the traffic and speeding problems.”
Residents of 5th Street had reported incidences of dangerous driving to the district. MacLean explained that these incidents (from Invermere residents) are better directed to the RCMP, since Invermere staff can’t issue tickets or enforce BC’s Motor Vehicle Act.


By Steve Hubrecht steve@columbiavalleypioneer.com
Columbia Valley residents still clinging to the last vestiges of summer may need to finally let go. In a sure sign of autumn, Invermere’s Great Scarecrow Competition is back.
This year marks the 5th edition of the annual event which has grown over the years.
The competition is as simple as it is fun: build the most festive scarecrow possible in front of your home, school, workplace or organization headquarters.
There’s no entry fee this year, but to win some of the prizes on offer, you need to register with the District of Invermere.
The scarecrow needs to be up from Wednesday, Oct. 2 to Tuesday, Oct. 15. Local residents and visitors can then tour around town, viewing the scarecrows and voting for their favourites.
“It’s a great event. People really do like creating the scarecrows, and they like going around town looking at them,” Invermere Mayor Al Miller told
We
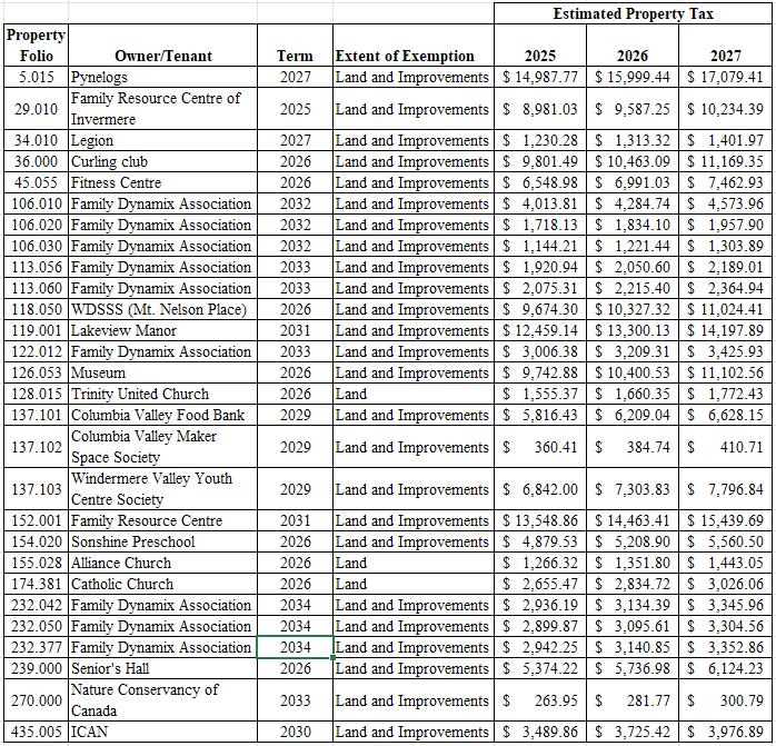
Pursuant to Community Charter section 227, notice is hereby given that the District of Invermere Council will consider “District of Invermere Permissive Tax Exemption Bylaw No. 1664, 2024” at their regular meeting on Tuesday, October 8, 2024 at 7:00 p.m. in Council Chambers, Municipal Office, 914 8th Ave, Invermere, BC. Bylaw No. 1664 proposes property tax exemptions for a term of one (1) to ten (10) years for the properties shown below. The estimated value of municipal permissive property tax exemptions are shown for the years 2025, 2026, and 2027. The tax exemptions shown are proposed in accordance with Section 224 of the Community Charter for properties that are owned or held by a charitable, philanthropic, or other not-for-profit corporation, and that Council considers are used for a purpose that is directly related to the purposes of the municipality.
For more information, please contact Karen Cote, Director of Finance at 250-342-9281 or finance@invermere.net



• Food & beverages Saturday and Sunday starting on September 14, 2024
• Slip and Slide
• Disc Golf
• Wetlands Boardwalk Tours
• Camping
Good luck finding your way out or

the Pioneer
The Great Scarecrow Competition had its origins in the first year of the COVID-19 pandemic in 2020 when Invermere leisure services manager Cortney Pitts was trying to think outside the box to come up with events that were fun but which followed social distancing protocols. The scarecrow contest fit the bill and was instantly popular, with dozens of residents, businesses and nonprofit groups participating.
Once the pandemic subsided, “we just carried it on. It’s continued to be very popular,” said Miller. “I think one of the things that gives it appeal is that it really allows people to get their imaginations going.”
Pitts outlined to the Pioneer that, to her, the scarecrow displays represent the strong sense of community in Invermere.
Miller said that there are new and unique scarecrows up each year, but declined to choose a personal favourite. Instead he encouraged people “to get out, take a look for themselves and make their own choices” for their favourites displays.
Corn Maze Dates
September 7, 2024, to
September 7, 2024, to October 27, 2024!
Garfield and Smurfs Escape Corn Maze.
Wednesday to Friday: 1 pm to 5 pm
Saturday and Sunday: 11 am to 5 pm
Monday and Tuesday: Closed Last entry in the maze 3 pm. online 12$ or on-site 14$ 0-3 years free
Friday October 18 and Saturday October 19, 2024

Hours: 7pm to 10 pm
Be Brave and bring your own flashlight!
*Buy your ticket online 25$ or on-site 30$. *
We are looking for Volunteers to help with this event. You can email or contact us if you are interested or for more information.
Hope to see you soon! www.colombiawetlandsoutpost.com

The Columbia Valley Chamber of Commerce invites you to participate in an important event on Monday, October 7, where we will present the findings of the Workforce Transit Study and hold a hands-on workshop. This is an exciting opportunity for community members, business owners, and stakeholders to engage in shaping the future of transit in the Columbia Valley.
The event will kick off with a detailed presentation of the Workforce Transit Study, a comprehensive analysis that explores the current state of transit services and the specific needs of the Valley’s workforce and the developing crossroads region. The study highlights critical challenges, such as limited access to public transportation, schedules that don’t align with local employment hours, and gaps in service coverage for key areas.
By addressing these issues, the study aims to foster a more efficient and accessible transit system, ultimately supporting both employers and employees in the region.
Following the presentation, attendees will have the chance to participate in a workshop designed to gather direct feedback from the community. This is your opportunity to voice your thoughts, share your experiences, and offer suggestions on what improvements are most important to you. Whether you’re a daily commuter or a business owner concerned about your employees’ transportation needs.
The Columbia Valley Chamber of Commerce will use the feedback collected to determine the actions and priorities that will shape the future of transit initiatives. This collaborative approach ensures that the community has a
direct hand in influencing decisions that affect local transportation and workforce mobility.
The Regional District of East Kootenay has already acted on the Workforce Transit Study’s findings by collaborating with BC Transit to enhance the local transit schedule. During the workshop, you’ll receive a brief update on the improvements that have been made so far.
Join Us:
Don’t miss this opportunity to be part of a conversation that will have a lasting impact on transit services in the Columbia Valley, speficially workforce mobility. Free breakfast will be catered by From Scratch. Please RSVP by Wednesday October 3. Visit www.cvchamber.ca or email advisor@cvchamber.ca


Thursday, September 26
• 10:00am-12:00pm: Pickleball Mt Nelson Athletic Park. Drop-in.
• 10:30am-11:30am: Senior’s Fitness Columbia Valley Centre, $2 dropin. *Please note that the CV Centre is closed until the end of September for floor resurfacing so Senior’s fitness and yoga will be moved to the Invermere Senior’s Hall for the remainder of September*
• 11:30am-12:00pm: Little Lambs. Radium Library. Join us for songs, rhymes, and stories with your babies! Every Thursday, no registration required.
• 2:00pm-3:00pm: CommuniTea. Invermere Public Library. Join us for a cup of tea and a chat on the 2nd & 4th Thursday of each month. All welcome!
• 2:30pm-4:30pm: Wild Woolies. Radium Library. Every 2nd and 4th Thursday of the Month. Drop in; Join our fibre arts circle! No registration required. *Supplies not provided.
• 6:45pm: Texas Hold ‘Em Poker Invermere Legion. $30 buy-in.
• 7:30pm: Families Housing that Fits. Zoom meeting with host Ben Postmus. Inclusive and supportive housing in your community. diversefamilyroots@gmail.com
7:30pm-9:30pm: Trivia Night Windermere Whitehouse Pub. Host Mandi Cox $3/person, teams of more than 6 will be split into two groups. Ages 19+
Friday, September 27
10:00am-12:00pm: Pickleball Mt Nelson Athletic Park. Drop-in. 10:30am-11:00pm: Family Storytime. Invermere Public Library. Join us at the library for stories, songs and a craft! Geared towards preschool age, but all welcome to attend!
• 12:00pm: Soup for Lunch. Edgewater Community Hall. Take away available - bring your own thermos or jar and a container for dessert. $10 per person for hearty soup or chili bun or biscuit and dessert. Everyone welcome. Sponsored by Edgewater Golden Agers.
• 2:00pm-3:00pm: Friday Fundays! Invermere Public Library. Drop in programming! Drop off allowed for ages 7+. Younger children are more than welcome to join with an adult! Crafternoon: a fun new craft each session!
• 2:00pm-3:30pm: Wholesome Hobbies. Radium Library. Every 3rd Friday of the Month; join us each month to try out a new project! For adults 50+ but all adults welcome. Registration is required. Call 250347-2434 to save your spot!
• 6:30pm - close: Meat Draw and 50/50 in the Legion! Members and guests welcome!
• 7:00pm-9:30pm: Rockies vs Chase Heat. Eddie Mountain Memorial Arena.
Saturday, September 28
• 10:00am-2:00pm: Fall Fest. In front the Invermere Legion. Invermere Farmers & Artists Market, fun games, family activities, live music featuring L8 and entertainment. Paint an orange remembrance rock at Fall Fest on Saturday Sept 28th to be displayed Downtown on National Day of Truth & Reconciliation Sept 30. The Invermere Legion Patio will be open & the Legion BBQ serving brats, hotdogs & hamburgers!
• 10:30am-11:00am: Indigenous Storytime. Invermere Public Library. Join us for a Story Time for ALL AGES Hosted by special guests Tisha Tardif and Robyn Tardif of the Secwépemc Nation.
• 6:00pm-8:00pm: Brewmaster’s Dinner. Panorama Mountain Resort. Alto Kitchen & Bar has teamed up with Fernie Brewing Company to bring you a social evening of live music, fine food & great beer! Coming from town? No worries, we'll have a free event shuttle available between Invermere and the resort! Price $78 - features six-dish, tapas-style menu crafted by Chef Aman, with each course expertly paired with six of Fernie's finest beers by FBC brewmaster, Pete Jervis who will talk you through the flavours and stories behind each brew. There's also live music throughout the evening!
10:00am-12:00pm: Pickleball Mt Nelson Athletic Park. Drop-in. 11:00am-12:30pm: LEGO/Duplo Club Invermere Public Library. We'll have Lego, Duplo, big blocks & more out to play with on Saturday mornings! All ages welcome.
• 2:00pm-3:15pm: Community Book Club. Radium Library. All adults welcome!
September book: “Manhattan Beach” by Jennifer Egan. Sign up and pick up your copy at the Radium Hot Springs Public Library.
• 3:00pm-4:30pm: Buddy Reading. Invermere Public Library. Practice reading aloud one-on-one with a staff member to build skill, confidence and a love of reading! 30 minute sessions at 3:00, 3:30 or 4:00 pm. By Appointment Only!! Contact Invermere Library to sign up.
• 6:30pm: Meat Draw and 50/50 in the Legion! Members and guests welcome!
• 7:00pm-9:30pm: Columbia Valley Rockies vs Nelson Leafs. Eddie Mountain Memorial Arena.
Sunday, September 29
• 2:00pm: Cards, Cribbage and Darts Come to the Legion and have some fun! Members and guests welcome.
• 7:00pm-9:00pm: Live Music Horsethief Creek Pub & Eatery. Accompanied minors are permitted. No cover.
• 7:30pm: Dads Matter. Zoom meeting with host Ben Postmus. Dads connecting, Dads Supporting, Dads Inspiring. Do you have a son or daughter with Diverse Abilities? So do I. diversefamilyroots@gmail.com



Monday, September 30
• 10:00am-12:00pm: Pickleball. Mt Nelson Athletic Park. Drop-in.
• 10:00am-11:00am: Senior's Yoga Columbia Valley Centre, Invermere. $2 drop in, open to all seniors. *Please note that the CV Centre is closed until the end of September for floor resurfacing so Senior’s fitness and yoga will be moved to the Invermere Senior’s Hall for the remainder of September*
• 3:00pm-4:00pm: Buddy Reading. Invermere Public Library. Practice reading aloud one-on-one with a staff member to build skill, confidence and a love of reading! 30 minute sessions at 3:00, 3:30 or 4:00 pm. By Appointment Only!! Contact Invermere Library to register.
• 6:30pm: Poker (Chip up for Charity). The Station Pub $20 buy-in. Every Monday.
Tuesday, October 1
• 10:30am-11:30am: Senior’s Fitness Columbia Valley Centre, $2 drop-in.
• 7:30pm: Families on Tuesday. Zoom meeting with host Ben Postmus. Families connecting, Families Sharing, Families Supporting Families: Support, Listening, Sharing, Connecting. diversefamilyroots@ gmail.com
Wednesday, October 2
• 5th Annual Great Scarecrow Competition and Tour. Take the scarecrow tour through the District of Invermere to enjoy scarecrows built by our residents, businesses and community groups! Vote for your favourites online!
• 10:00am-12:00pm: Pickleball. Mt Nelson Athletic Park. Drop-in
• 10:00am-11:00am: Senior's Yoga Columbia Valley Centre, $2 dropin.
• 11:30am-12:00pm: Story Time. Radium Library - preschool & all ages.
• 3:30pm-4:45pm: After School Club. Invermere Public Library. A window of transition time between school and home or extracurriculars. Come colour, bead, play with LEGO, and catch up with friends! Open to all school-aged kids. Drop-off for Grade 2 and up. Please bring your own snacks! One time registration required. Find the form on the After School Club page on our website or fill it out at the library.
• 6:00pm-9:00pm: Wednesday Dinners & Meat Draw & 50/50 Invermere Legion. All welcome.


Columbia Valley Pioneer staff
Columbia Valley Community Economic Development (CVCED) is seeing stars . . . the kind movies are made of.
Representative Theresa Wood with movie industry veteran Tracy Bruns recently pitched the creation of a film application process to the Regional District of East Kootenay (RDEK).
The women said that a streamlined film permit system is the best scenario for production companies to apply to film movies in the Columbia Valley.
The delegation requested staff time from the RDEK to help with the application process and give staff “delegated authority” in the approval process to
streamline and speed up the process for production companies (that face time constraints in shooting). This avoids the need for an application for each community, such as Invermere, Radium Hot Springs, and Canal Flats. Delegated authority also means avoiding a public approval process.
“We cannot control some processes such as BC Parks or Crown land, but we can remove as many hurdles as possible to create a ‘film friendly’ community to shoot in while adhering to local government requirements,” Wood said.
Their intention is to work with RDEK staff to ensure they have the correct information when noise variances or street closures are required for filming.

The following properties located within the Village of Canal Flats shall be sold for taxes as per the Local Government Act on Monday, October 7, 2024 at 10:00 am at the Village of Canal Flats Municipal Office located at 8866 Grainger Road, Canal Flats, BC. All properties are within District Lot 110 and Land District 26.
0001962.127 0001976.010
0070019.200
0070075.115
Lot 27, Plan Number NES3031, Together with an interest in the Common Property Block 26, Plan Number NEP1738, PCL A (See 187138-I)
Manufactured Home Registry No. 105525
Manufactured Home Registry No. 78275
Richard Wayken, Collector September 26, 2024
8910 Doherty Street 4776 Beatty Avenue T-4763 Burns Avenue 1W
P.O. Box 159, 8866 Grainger Road, Canal Flats, BC, V0B 1B0 Phone: 250-349-5462 Fax: 250-349-5460 Email: village@canalflats.ca

Other information on the application could include gun props, fire permits, drone requirements, and insurance.
Wood said they have had companies scouting the area and noted there could be a film application forthcoming soon.
“Our goal is to become the most film friendly rural community in BC,” she stated, adding they are working to overcome barriers. They also want to build a location library for film scouts and develop a guide to filming in the Columbia Valley.
Wood said there is currently no film application process in the valley.
She noted they want to prepare local governments in advance prior to filming so that officials and the public aren’t wondering why a car is being chased down the street.
Bruns, a film locations manager, said they engage local businesses and neighbourhoods by hand-delivering notifications, letting people know that a film is in production.
Regional director Mike Gray (mayor
Columbia Valley Community Economic Development (CVCED) would like to see a streamlined film permitting system to help production companies shoot here.
of Radium Hot Springs) said it sounds like an exciting opportunity, but noted that staff might be pulling their hair out a little bit over the extra time spent dealing with these applications. He suggested making sure that staff and council are fully informed ahead of time so “we are not the last people to hear about it (a film in progress).”
Bruns said they will work closely with the production company to ensure this doesn’t happen. She noted that any last-minute changes will be communicated to the RDEK with the goal of not overloading any staff.
Regional director Roberta Schnider said this will be a great economic driver for the valley, but also raised the concern about taking up too much staff time.
Chief administrative officer Shawn Tomlin said it all depends what the request is and how much comes their way. He noted as long as the request is not counterproductive to any bylaw, staff should be able to manage it.

Pursuant to Section 494 of the Local Government Act, public notice is hereby given that the District of Invermere is considering the Short-Term Rental Temporary Use Permits (STR TUP) listed in the table below. Issuance of the permits will be considered by council or a delegated
-
Pursuant to Section 494 of the Local Government Act, public notice is hereby given that the District of Invermere is considering the Short-Term Rental Temporary Use Permits (STU-TUP) listed in the table below. Issuance of the permits will be considered by council or a delegated authority at the Invermere District office at 914 - 8th Avenue in Invermere, BC, at the corresponding date and time as listed below:
APPLICATION NO.
STR170.000.24
STR174.340.24
STR264.035.24
STR232.840.24
Avenue in Invermere, BC at the corresponding date and time as listed below: All persons who believe they are affected by any of the Short-Term Rental Temporary Use Permits are encouraged to submit their concerns in writing to the Invermere office at 914 - 8th Avenue, Invermere, BC or by email to dpcoordinator@invermere.net prior to October 2, 2024 at 4:30 PM MST All submissions should include your name, address, and contact information. All written submissions are public information pursuant to the Freedom of Information and Protection of Privacy Act. All submissions will form part of the public record. Questions about the disclosure of your personal information may be referred to the Corporate Officer at 250-342-9281.
Consideration by COUNCIL - October 8,
ADDRESS 1202 5TH STREET 1233 6TH ST 1712 2ND AVE 2002 KPOKL LANE
PARCEL ID 015-233-502 013-014-480 013-383-817 029-427-061
PARCEL ID 013-833-405 007-101-589 014-880-849 007-271-522
NUMBER OF GUESTS 8 8 6 8
All persons who believe they are affected by any of the Short-Term Rental Temporary Use Permits are encouraged to submit their concerns in writing to the Invermere office at 914 - 8th Avenue, Invermere, BC, or by email to dpcoordinator@invermere.net prior to October 2, 2024 at 4:30 PM MST. All submissions should include your name, address, and contact information. All written submissions are public information pursuant to the Freedom of Information and Protection of Privacy Act. All submissions will form part of the public record. Questions about the disclosure of your personal information may be referred to the Corporate Officer at 250-342-9281.
For more information regarding the above applications contact the Invermere Planning Department, at 250-342-9281 or by email at dpcoordinator@invermere.net or at the Invermere Office between the hours of 8:30 am and 4:30 pm, Monday to Friday, excluding statutory holidays.
For more information regarding the above applications contact the Invermere Planning Department at 250-342-9281 or by email at dpcoordinator@invermere.net or at the Invermere Office between the hours of 8:30 AM and 4:30 PM, Monday to Friday, excluding statutory holidays. PO Box 339, 914 - 8th Ave, Invermere BC V0A 1K0 250-342-9281 info@invermere.net www.invermere.net

September 30, 2024
By Steve Hubrecht steve@columbiavalleypioneer.com
National Day for Truth and Reconciliation is just around the corner, and the Outdoor Learning School and Store has a full slate of Indigenous learning resources and courses this year, many of them brand new.
The locally founded social enterprise, run by the Columbia Basin Environmental Education Network (CBEEN) has rapidly grown to become a continent-wide organization with glob-
al reach. Its Indigenous learning courses, program and materials are among its most popular, and with good reason.
The flagship 4 Seasons of Indigenous Learning course returns and is now in its fourth year. More than 10,000 people from around the world have completed the course “and it keeps growing each year,” explained Outdoor Learning School and Store Director of Indigenous Learning Jenna Jasek.
The feedback from those who have taken the course is overwhelmingly positive, from both Indigenous and
non-Indigenous participants alike.
“When you learn more about your heritage and what has happened to Indigenous Peoples in the past, it can be hurtful. But it also helps our understanding, and it’s been great to hear that from Indigenous (4 Seasons) participants,” said Jasek. “For non-Indigenous participants, many simply don’t know where to start in terms of reconciliation, and this course is a great place. For many non-Indigenous people, it (the course) turns out to be the beginning of a longer journey.”
Other major highlights this fall from the Outdoor Learning School and Store include a Land-based Learning and Reconciliation: Resources for Teaching Children webinar in September, which more than 3,000 people from 30 countries have registered for, and a virtual book launch in November for ‘Whispers of the Earth: A Journey through Indigenous Wisdom’ by Launa Purcell and Carl Sam.
or Secwepemctsín language course this year, but a ‘second year’ Ktunaxa language course is planned for 2025. As Jasek pointed out, “every Indigenous community is different when it comes to languages. Some want to share their language far and wide, while others are in the process of re-learning their own languages themselves. There’s no right or wrong way.”
When it comes to books, there’s the just-released ‘Held by the Land: A Guide to Indigenous Plants for Wellness’ by Dr. Leigh Joseph; ‘Native Science: Natural Laws of Independence’ by Dr. Gregory Cajete; and coming later this fall, likely in November, “The Serviceberry: An Economy of Abundance’ by Dr. Robin Wall Kimmerer.
n ini ku qaⱡwiynaⱡa (This is what is in our hearts.)
qaqaʔni ma yaqaⱡitknawaski (What they did to us is true.)
̓qapiⱡpaⱡnin (Say it all / tell the whole story.)
mika yaqaⱡitknawaski hu qayaqaⱡqaȼaⱡani (Despite what happened to us we made it through.)
hu qaⱡwinaⱡani kuȼ sukiⱡ
ʔaqsⱡmaknik naⱡa (We want a good life for ourselves.)
hawiȼkinin kȼmak kyam ȼ ȼina·kinin (Hold the truth and go forward.)
ȼinⱡ qaqa (So be it.)
maʔȼ kuktkinin! (Do not change this statement!)
Jasek described ‘Whispers of the Earth’ as “a beautiful book about learning from many of our other relatives in the world.”
This year there are three Indigenous language learning courses; Nêhiyawêwin (Cree), Michif (Métis), and Kanien’kéha, with more to be added in early 2025.
Jasek noted that language is another great initial access point for Indigenous people wanting to learn more about their own culture, and for non-Indigenous people wanting to learn about the Indigenous way of life.
The Michif course is in its second year and was very well received last year, said Jasek. There is not a Ktunaxa


We have to recognize and navigate the darkness before we can see the light


listen learn reflect make connections take action
The Outdoor Learning School and Store has plenty more Indigenous learning resources, including those aimed specifically at educators; for secondary and post-secondary learning; for intermediate and middle school learners; and for primary and early year learners. There’s also Every Child Matters flags and lanyards, and Medicines to Help Us kits.
Jasek also highlighted the Outdoor Learning Certification Program, which she explained “supports educators in integrating the outdoors into teaching practice using excellent strategies and resources”; as well as the Classroom Gardener with Megan Zeni, coming up in February, which offers pedagogical insights and practical expertise for building a school garden; and Sitting with Nature with Lauren MacLean, in November, in which MacLean shares her work with sit spots and getting outside.










































September 30, 2024
?akisq’nuk First Nation and Columbia Valley Arts are thrilled to present the Ktunaxa Artisan Showcase and Market, taking place on October 4th and 5th at Pynelogs Arts & Cultural Centre in Invermere, B.C. This free event will feature a diverse lineup of talented Ktunaxa artists, cultural performances, and the culinary delights of Mayuk’s Homeland Creation.
“We’re excited to bring together an incredible group of artists, each with a unique voice and story,” said Lillian Rose, curator. “This is an opportunity for our community to connect with the artists, learn about their inspirations, and celebrate the rich cultural heritage of the Ktunaxa people.”
Highlights of the event
• Culinary Treats: Enjoy delicious Ktunaxa appetizers by Dawn Scout, whose newly established business, Mayuk’s Homeland Creations, will be serving up traditional flavors that reflect the essence of Ktunaxa cuisine.
• Special Guest Appearance: The event will feature award-winning author and Vanier scholar Troy Sebastian, who will speak about his upcoming works and his role in preserving and promoting Ktunaxa culture through literature.

• Artist Talks and Performances: On Saturday, visitors can participate in intermittent artist talks, gaining insight into the creative journeys and inspirations behind each artist’s work. Featured artists include photographer Blaine Burgoyne (Indigenous View Photography), beader and muralist Darcy Luke Roshau (Cedar & Pine Design), jewelry artist Caroline Basil (Line 49 Jewelry), and many others.
• A Family Affair: Artist Robin Lou ie will be showcasing his Tule Mat Tipis alongside his mother, muralist Carol Louie, making this a family affair cele brating intergenerational creativity.
• Performances and Showcases: Fashion designer and powwow danc er Barbara Fisher will share her journey back into competitive dance, and Sa mantha Sutherland’s pictorial essay will explore the intersection of dance and language.
“This event isn’t just an exhibition; it’s a celebration of our artists’ deep connection to the land and their dedi cation to preserving our language and traditions through their art,” added Rose.
“We hope to create a space where art be comes a voice for those who have some thing important to say.” Cindy Munn of the CV Arts Council Board of Directors shared, “Community support for Truth
and Reconciliation, through the arts, plays a vital role in healing and fostering understanding. The arts - whether visual, music, theatre or storytelling - offer powerful platforms for individuals and communities to express complex histories, emotions and experiences related to past injustices and future aspirations. By jointly engaging in artistic activities, communities can initiate meaningful di
munities to participate in the collective journey of reconciliation and healing. Through the arts, a deeper connection to truth and a shared commitment to justice and unity can flourish. CV Arts is honoured to be a part of this journey.”
The showcase is not only a celebration of Indigenous art but also a platform for fostering new opportunities.



Join us on October 4th and 5th at Pynelogs Gallery to celebrate the vibrant arts and culture of the Ktunaxa Nation. The event is free to the public, with food and refreshments available.”














By Steve Hubrecht steve@columbiavalleypioneer.com
Life is pretty sweet these days for new Candyland owner Erik Bearden.
Bearden has been expanding the iconic store — a staple of downtown Invermere for decades — since he became owner two years ago. This summer saw a new outdoor sidewalk patio outside the business, and soon you’ll be able to try Candyland’s latest offering: candy-flavoured dental floss.
“It’s very rewarding. We have really nice clients. There’s never really a bad day at a candy store,” Bearden told the Pioneer.
Bearden took over the business from previous owner Sophie Fehst in 2022. He had been running the Valley Dogs hot dog stand just outside Konig Meat and Sausage Co. (near Candyland) for a few summers. Some days Bearden’s daughter Margot (who was two at the time) would hang out with her dad at work for a bit. Invariably Margot would wander into Candyland where Fehst would give her lollipops.
From those lollipops “we built up a friendship,” outlined Bearden. When Fehst decided to sell Candyland, Bearden and his wife Sarah were a natural choice to take over.
to enjoy summer in the valley.
“It’s been great. From Canada Day to Labour Day, it’s normally been 70 days of all-hands-on deck chaos. It was nice that this summer was at least a little bit more relaxed,” said Bearden.
Like so many others, the Beardens, originally from Winnipeg, were lured to the valley by the outdoor lifestyle it offers. That, and the warmer winters.
Bearden was working an office job for a software company one particularly cold Winnipeg winter. “It was very cold and depressing,” he recalled. On an extra icy day he watched three separate rear-end car crashes occur on the slippery street just outside his window in the span of just a few hours. “I thought ‘this is just not the way to live’,” said Bearden.
Dear Friends and Community,
We extend our heartfelt gratitude to everyone involved in making our recent Salmon Festival an unforgettable success.
Special Acknowledgments
To Salmon Chief Mark Thomas, thank you for your tireless efforts in preparing for the event, driving to the coast to pick up salmon, hosting and expertly MCing the festivities.
We are proud of Devin Capilo, our junior salmon chief, for his outstanding contributions. A special thank you to Suzie Thomas who worked night and day, pulling the event together.
Appreciation to:
• Shuswap Band Chief and Council
• Salmon Festival planning committee
• Shuswap Band, Akisqnuk and Ktunaxa helpers- too many to name here
• The Shuswap Culture Team who assembled the gorgeous door prize baskets
• Rocky River Grill for cooking the delicious salmon
• Terry Pal and Nevada Nicholas for tasty fry bread
Performers and Presenters
Thank you to:
• The Canoe Paddlers and passengers
• Drummers and Singers
• Salmon Chief Mark Thomas and Councillor Faro Burgoyne for expertly co-hosting
• Drum Group Susap Nana
• Youth Hoop Dancers for their spirited performance
• Kenthen Thomas for dramatically sharing the
Safety and Logistics
Thank you Michael from Irwin Safety
Sponsors
• Shelan Verge for beautifully crafted fabric salmon
• Clifford, Vicki, Kay and Turtle from the Ktunaxa Nation
• Cortney Pitts, District of Invermere for the yard games
• BC Parks for the use of James Chabot Park
• Max Powers and Fiona Pickett at Columbia River Paddle for the canoes
• Keon Chung from Just Music for the stage
Secwepemc Story
• Dorothy Alpine for sharing The Swaqmu’s Tale
• Rhythm by Nature for the captivating Drum Circle
• Chief Barb Cote (Shuswap Band)
• Chief Don Sam (Akisqnuk First Nation)
• MLA Doug Clovechok & Susan Clovechok (RDEK)
• Karen Popoff (BC Hydro)
We are deeply grateful to our generous sponsors, whose support made this event possible.
Final Thoughts
The kindness, generosity and energized atmosphere of all that attended made this festival truly special. Thank you all!
Kukwstse’tsemc/Warm regards, Shuswap Chief & Council and their team!






















In the ensuing two years Candyland has grown, adding a coffee bar, new ice cream offerings, slushies, the patio, local freeze dried treats (freeze dried Skittles are popular) and — very soon — candy flavoured dental floss.
The floss should be in the store later this fall. Bearden discovered it during a recent visit to the dentist. The dentist showed Bearden the floss, as well as some chocolate-flavoured toothpaste, upon learning that Bearden owned a candy store.
Bearden’s son Arthur became suspiciously quiet. Looking down, Bearden saw that Arthur had made short work of the chocolate toothpaste. Bearden realized that if candy-flavoured toothpaste or floss could be a hit with his son, it could be a hit with anyone.
This summer, the family-run business had grown enough that the Beardens could hire some extra staff and take a few hours off here and there
A few months later, in summer of 2018, Bearden got a job at Fairmont Hot Springs Resort and the couple moved to the valley. They have tried moving back to Winnipeg twice since (once when Margot was born, and then again when Arthur was born) to be closer to extended family. But each time they’ve been drawn back to the Columbia Valley. It’s clear that the valley is meant to be their home and, with Margot four years old and Arthur at age two, they’ve put down roots and bought a home in Radium Hot Springs.
“We love the fact that, living here, you’re not stuck in that cycle of earning and consumption that’s common in big cities. Recreation and leisure here doesn’t mean shopping trips and gym memberships. You can live a full life, fishing, hiking, snowboarding with your family. It’s amazing,” said Bearden.
The couple still runs Valley Dogs with a business partner (“It’s like hosting a backyard barbecue all day long,” said Bearden) in addition to Candyland.
When they are not dishing up hot dogs and candy, the Beardens get outdoors as much as possible: the Stanley Glacier hike became a new family favourite this summer, and in winter you’ll find them sliding down the slopes at Fairmont Hot Springs Resort ski hill.
Bearden extended a thank you to local residents who shop at Candyland. “Without their support we wouldn’t be here,” he said.


By Stephanie Stevens
It was a strong start to the 2024-25 season for the Columbia Valley Rockies last weekend, with the boys proving their mettle both home and away.
The Rockies took on the Golden Rockets in Eddie Mountain Memorial Arena for the season opener September 20 and despite a few nerves, won the game in overtime.
First period scoring opened up with Carter Krause beating the Rockets goalie (assists from Teo Fath and Jaxon Sperling), followed by Carter Hensch (assists from Carter Tuplin and Wyatt Wurtz).
Golden managed to tie it up with a couple of third period goals, but overtime saw Bryan Kim (assist from Carter Velker and Lukas Masters) find the target for the win.
Returning goalie Jaiden Jakubowski
stopped 29 of 31 shots on goal.
The following night saw the Rockies in the Kimberley Civic Centre facing off with the Dynamiters.
Velker started things off in the first (assists from Kim and Masters), with Kim following suit (assists from Jack Thorne and Wurtz).
Second period play saw Ethan Cerone put one in (assists from Wurtz and Sperling) and Ashton Sledz potted a fourth (assist from Sperling).
Jakubowski kept the Dynamiters at bay to secure the win, stopping 34 of 37 shots on goal.
Head coach and general manager Tayler Sincennes said he and his coaching team are feeling confident in the squad they put together this season.
“There are a lot of moving parts that go into selecting a final roster, especially this year,” he said. “We tried to add as


much young talent as we possibly could while also looking to add some veteran presence into the lineup.”
Of the 26 players on the team, 10 are returning and 14 of the remaining 16 are rookies.
Kobe Mason is among the returning players, still working on his recovery from injuries sustained in a brutal hit during the playoffs last season.
“I feel like Friday night we played a little nervous having a handful of guys playing their first junior games and others their first with the Rockies, so it was nice to find a way to win when we didn't have our best game.”
Sincennes said that nervousness carried into Saturday “a little bit.
“But we slowly built momentum and started to loosen up and I thought we did an excellent job closing a road game out to finish the weekend with all
four points. Wins early in the season are important so getting off to a good start is something we can be happy about.”
Associate coach Tucker Braund is also feeling good about this season’s roster.
“I think we have a very deep team with lots of talent and it bodes well for a long season with injuries and such,” said Braund. “Having Kobe back will be huge. He's a hard worker and a good leader in the room and on the ice. “Having Jako back is also big for us. He's got a year of junior hockey under his belt and can play a lot of games for us. He's a guy who battles every game and gives us a chance to win.”
This weekend is back-to-back home games at the Eddie, with the Chase Heat in town Friday and the Nelson Leafs on Saturday.
Puck drop is 7 p.m. both nights.

Take notice that we, Columbia Valley Search and Rescue (CVSAR), from Invermere, BC have applied to the British Columbia Ministry of Water, Land and Resource Stewardship (WLRS), Kootenay Boundary Region, for a Licence of Occupation for a Communication Site situated on Provincial Crown land located in the vicinity of Akenside Creek west of Edgewater. The purpose of this communication site is to extend two-way radio coverage into remote backcountry areas where CVSAR frequently responds to emergency situations, to improve communication and safety.
WLRS invites comments on this application. The Lands File is 4406479. Written comments concerning this application should be directed to the Senior Authorization Specialist, WLRS, Kootenay Boundary Region, at 1902 Theatre Road, Cranbrook, BC V1C 7G1. Comments will be received by WLRS up to 51 days. WLRS may not be able to consider comments received after this date. Please visit the website at http://comment.nrs.gov.bc.ca/ for more information.
Be advised that any response to this advertisement will be considered part of the public record. Access to these records requires the submission of a Freedom of Information (FOI) request. Visit http://www.gov.bc.ca/freedomofinformation to learn more about FOI submissions.


The Regional District of East Kootenay (RDEK) Board of Directors is considering an application for a Temporary Use Permit to allow construction of two accessory buildings and placement, storage and seasonal residential use of two recreational vehicles prior to the principal dwelling being built. The buildings and RVs are currently on the property. The application is for property located on Rushmere Road in Rushmere. If the application is approved, the RDEK will issue a Temporary Use Permit to permit the recreational vehicles and accessory structures on Lot 36, District Lot 346, Kootenay District, Plan 5332 as seen on the attached map.
The Board will consider the proposed Permit at its meeting on October 11, 2024. If you believe that your interest in property is affected by this proposed Permit, you may prior to October 2, 2024:
• request a copy of the proposed Permit by contacting Krista Gilbert, Planning Technician by email at kgilbert@rdek.bc.ca ;
• mail, or email written submissions to the addresses/numbers shown below. All written submissions are public information pursuant to the Freedom of Information and Protection of Privacy Act. All submissions will form part of the public record and will be published in a meeting agenda posted online. Personal contact information such as phone and email will be removed from written submissions. Questions about the disclosure of your personal information may be referred to the Corporate Officer at 250-489-2791 or 1-888-478-7335.
For more information contact Krista Gilbert, Planning Technician at 1-250-489-0314 or by email at kgilbert@rdek.bc.ca.
The Regional District of East Kootenay (RDEK) Board of Directors is considering an application for a Temporary Use Permit to allow an accessory shed building and placement, storage and residential use of a recreational vehicle prior to the principal dwelling being built. The proposed building and RV are currently on the property. The application is for property located on Wills Road in Fairmont Hot Springs.
If the application is approved, the RDEK will issue a Temporary Use Permit to permit the recreational vehicles and accessory structures on Lot 8, District Lot 138, Kootenay District, Plan 8296 as seen on the attached map.
The Board will consider the proposed Permit at its meeting on October 11, 2024. If you believe that your interest in property is affected by this proposed Permit, you may prior to October 2, 2024:
• request a copy of the proposed Permit by contacting Krista Gilbert, Planning Technician by email at kgilbert@rdek.bc.ca ;
• mail, or email written submissions to the addresses/numbers shown below.
All written submissions are public information pursuant to the Freedom of Information and Protection of Privacy Act. All submissions will form part of the public record and will be published in a meeting agenda posted online. Personal contact information such as phone and email will be removed from written submissions. Questions about the disclosure of your personal information may be referred to the Corporate Officer at 250-489-2791 or 1-888-478-7335. For more information contact Krista Gilbert, Planning Technician at 1-250-489-0314 or by email at kgilbert@rdek.bc.ca.




The Columbia Valley Classics Show and Shine in Radium Hot Springs on September 21 was a true delight for vintage car and truck enthusiasts. Pick your favourite!
TOP/LEFT PHOTOS JUSTIN SAIN RIGHT PHOTO CHERI HANN


A retired high school teacher in Windermere has declared her candidacy for MLA in the Columbia River-Revelstoke riding.
Andrea Dunlop said she is excited to take part in the October 19 provincial election, noting she is committed to addressing the issues facing small towns in rural BC and is eager to be her constituents’ voice in the legislature.
“I’m committed to working with local leaders and residents to develop practical solutions that ensure everyone has a place to call home.”
“I’ve seen the results of our increasing housing costs firsthand; (and) the BC NDP has enacted bold reforms to tackle this challenge head on.”
Dunlop said she has witnessed the struggles of her own family trying to secure affordable housing and wants to advocate for solutions that enable res-
idents to live and work in their hometowns.
“I’m committed to working with local leaders and residents to develop practical solutions that ensure everyone has a place to call home.”
The candidate said rural communities, like those in Columbia River-Revelstoke, face unique challenges that require tailored solutions.
"The issues we encounter in rural areas are distinct — whether it's access to health care, education, or employment opportunities. We need to listen to our communities and create strategies that reflect their specific needs," she stated.
In addition to housing, Dunlop said she is passionate about the sustainable management of forests, believing that continued investment in forestry is essential to maintaining healthy ecosystems while ensuring that local industries remain productive for future generations.
"Our forests are not just a resource; they are part of our identity," she emphasized. "We must protect them to ensure they can provide for our communities now and in the future."
Growing up in Windermere, Dunlop has spent her career dedicated to the education and development of the youth in the community. She retired recently from David Thompson Secondary School and her experiences in the classroom equipped her with an understanding of the challenges faced by families.
As part of her campaign, Dun-
lop wants to engage with community members directly. "I believe that the best solutions come from the people who are living the issues every day,” she said, adding she wants to hear people’s thoughts and solutions.
For further information contact Dunlop at 250-342-1293 or andrea.dunlop08@gmail.com

All persons who believe they are affected by any of the Short-Term Rental Temporary Use Permits are encouraged to submit their concerns in writing to the RDEK office at 19 - 24 Ave S. Cranbrook, BC or by email to jcook@rdek.bc.ca prior to 12:00 pm on October 2, 2024. All submissions should include your name and address. Please be advised that any written submissions will become part of public record. The permits are available for viewing by email request, on the RDEK website (www.rdek.bc.ca/meetings_events/publichearings) or at the RDEK Offices between the hours of 8:30 am and 4:30 pm, Monday to Friday, excluding statutory holidays. To search for properties online, visit: www.rdek.bc.ca/departments/mapping. For more information contact Justin Cook at 778-761-1785 or by email at jcook@rdek.bc.ca.
All written submissions are public information pursuant to the Freedom of Information and Protection of Privacy Act. All
be referred to the Corporate Officer at 250-489-2791 or 1-888-478-7335.
Pursuant to Section 494 of the Local Government Act, public notice is hereby given that the RDEK is considering the Short-Term Rental Temporary Use Permits (STR TUP) listed in the table below. Issuance of the proposed permits will be considered by the delegated staff person at 10:00 am on October 16, 2024 at the RDEK office at 19 - 24 Ave S in Cranbrook, BC.
All persons who believe they are affected by any of the Short-Term Rental Temporary Use Permits are encouraged to submit their concerns in writing to the RDEK office at 19 - 24 Ave S Cranbrook, BC or by email to tvandewiel@rdek.bc.ca prior to 4:30 pm on October 9, 2024. All submissions should include your name and address. Please be advised that any written submissions will become part of public record. The permit is available for viewing by email request, on the RDEK website (www.rdek.bc.ca/meetings_events/publichearings) or at the Cranbrook RDEK Office between the hours of 8:30 am and 4:30 pm, Monday to Friday, excluding statutory holidays. To search for properties online, visit: www.rdek.bc.ca/departments/mapping. For more information contact Tracy Van de Wiel, Planning Technician, at 250-489-2791 or by email at tvandewiel@rdek.bc.ca. All written submissions are public information pursuant to the Freedom of Information and Protection of Privacy Act. All submissions will form part of the public record. Questions about the disclosure of your personal information may be referred to the Corporate Officer at 250-489-2791 or 1-888-478-7335.
Columbia Valley Pioneer staff
To be honest, Scott McInnis can go anywhere, but there’s nowhere else he’d rather be than Columbia River-Revelstoke in the upcoming provincial election.
The educator by trade is hoping to win the MLA seat for the Conservative Party of BC on October 19.
McInnis was originally with the BC United (BCU) Party, but when the leader ceased the campaign, he was left as a political orphan.
“I considered running as an independent but was lucky enough to receive a call from (leader) John Rustad and the Conservative Party of BC to run with them, which I accepted. I am tremendously humbled to have received that call as there are only a very small number of us from BCU who were granted that opportunity.”
Being someone with conservative values, this was a seamless transition for McInnis.
He began his education career in the independent school system in Kimberley teaching Grade K-2 and music for
Grade K-8. He subsequently moved into a principal role for two years. In 2018 he decided to shift into the public education system, where he took a full-time job at Selkirk Secondary School teaching leadership and social studies. He is now a teacher librarian.
McInnis told the Pioneer that his focus has been to be “present” in as many communities in the riding as possible.
“Our riding is quite large (bigger than Switzerland), but from the beginning my goal has been to meet and listen to as many people as possible to really gauge what their needs are here.”
McInnis gives kudos to his campaign team that possesses a diverse skillset.
The candidate said it is clear that voters want a change.
“The NDP had their turn up to bat, and unfortunately struck out. Voters still want a strong leader who will represent our unique issues in rural BC as they feel like we get overlooked on major policy decisions and are not represented equitably at the table in Victoria.”
McInnis said voters are excited for a “common-sense approach that the
Conservative Party of BC is offering,” and a new direction to address the issues of housing, affordability, public safety, and health care, to name a few.
When asked what impact he wants to make, McInnis said he wants to ensure that wildlife, forests, and waterways are managed effectively.
“I want to see small businesses thriving in our towns again. I want young people to feel hopeful about their future and to want to stay in the East Kootenay region to raise a family one day without cost, housing, and oppor-
tunity being barriers.”
Provincially, he has insight into how the education system can be tidied up and what changes to implement to ensure that students are getting the best education possible.
“I also want to see creative solutions to the childcare system where there are spaces available, the price is affordable, and we have ample qualified staff.”
McInnis said voting Conservative in Columbia River-Revelstoke will ensure that constituents get the best MLA to represent them in the legislature.

WHO CAN VOTE
You can vote in the 2024 Provincial General Election if you are:
You can vote in the 2024 Provincial General Election if you are:
• 18 or older on October 19, 2024
• 18 or older on October 19, 2024
• a Canadian citizen, and
• a Canadian citizen, and
Vote at a district electoral office
Vote at a district electoral office
Voting at district electoral offices is available now during office hours until 4 p.m. (Pacific time) on Final Voting Day.
Voting at district electoral offices is available now during office hours until 4 p.m. (Pacific time) on Final Voting Day.
Vote at advance voting
Vote at advance voting
• a resident of British Columbia since April 18, 2024
• a resident of British Columbia since April 18, 2024
VOTER REGISTRATION
VOTER REGISTRATION
Register now to save time when you vote.
Register now to save time when you vote.
You can register or update your voter information at elections.bc.ca/register or by calling 1-800-661-8683.
You can register or update your voter information at elections.bc.ca/register or by calling 1-800-661-8683
Registration online and by phone closes at 11:59 p.m. (Pacific time) on October 7.
Registration online and by phone closes at 11:59 p.m. (Pacific time) on October 7.
After October 7, you can still register when you vote, but voting will take longer. Remember to bring ID when you go to vote.
After October 7, you can still register when you vote, but voting will take longer. Remember to bring ID when you go to vote.
ELECTION INTEGRITY
Visit elections.bc.ca/integrity to learn how Elections BC protects provincial elections in British Columbia, and what you can do to help.
Visit elections.bc.ca/integrity to learn how Elections BC protects provincial elections in British Columbia, and what you can do to help.
There are six days of advance voting: October 10 - 13 and 15 - 16, from 8 a.m. to 8 p.m. (local time).
There are six days of advance voting: October 10 - 13 and 15 - 16, from 8 a.m. to 8 p.m. (local time).
Advance voting places will be closed on October 14 (Thanksgiving).
Advance voting places will be closed on October 14 (Thanksgiving).
Vote on Final Voting Day
Vote on Final Voting Day
Final Voting Day is Saturday, October 19. Voting places will be open from 8 a.m. to 8 p.m. (Pacific time) on Final Voting Day.
Final Voting Day is Saturday, October 19. Voting places will be open from 8 a.m. to 8 p.m. (Pacific time) on Final Voting Day.
Visit wheretovote.elections.bc.ca to find voting places near you and when they are open.
Visit wheretovote.elections.bc.ca to find voting places near you and when they are open.
To vote by mail, request your voting package as soon as possible. Visit elections.bc.ca/votebymail or call 1-800-661-8683
To vote by mail, request your voting package as soon as possible. Visit elections.bc.ca/votebymail or call 1-800-661-8683
You can get a nomination package from your district electoral office, or online at elections.bc.ca/candidates
You can get a nomination package from your district electoral office, or online at elections.bc.ca/candidates
Completed nomination packages must be returned to your district electoral office by 1 p.m. (Pacific time) on Saturday, September 28.
Completed nomination packages must be returned to your district electoral office by 1 p.m. (Pacific time) on Saturday, September 28.
Columbia River-Revelstoke 712 12th Ave
Invermere, BC (236) 527-2035
Columbia River-Revelstoke 712 12th Ave Invermere, BC (236) 527-2035
Hours of Operation (local time)
Hours of Operation (local time)
Monday - Friday 9 a.m. to 5 p.m.
Saturday 10 a.m. to 4 p.m.
Advance voting days 8 a.m. to 8 p.m.
Monday - Friday 9 a.m. to 5 p.m. Saturday 10 a.m. to 4 p.m. Advance voting days 8 a.m. to 8 p.m.
Submitted by Richard Hoar Lake Windermere District Rod & Gun Club
OPINION: Remove politics from Wildlife Management, it’s time for an independent wildlife management agency.
When governments use wildlife as a pawn in political games to court favor from their base, wildlife suffers, and British Columbians suffer, too.
Examples of our provincial and federal governments ignoring science, muzzling their own scientists, and bargaining away public access to public lands are depressingly numerous.
The Committee on the Status of Endangered Wildlife in Canada has repeatedly recommended an emergency listing order under the Species at Risk Act (SARA) for the Chilcotin and Thompson River steelhead, which have dwindled to just a few dozen fish. Politicians have consistently failed to heed the advice of their own experts and use SARA to its fullest extent to protect at-risk populations.
When British Columbia was handed a court decision compelling the government to address industrial encroachment on First Nations land, it responded, but not by following the direction of the court. Instead, they reduced the moose harvest by 50 per cent and closed the caribou hunt completely across the region, while 195 gas, oil, and forestry projects were allowed to continue.
B.C.’s approach to this settlement is

AG Valley Foods
All
Black
Blue
Bosley’s by Pet Valu
Centex Invermere
Chevron (Skookum)
Chill Out Ice Cream
Columbia Basin Trust
Columbia River Paddle
deeply unnerving. The court’s ruling does not even mention hunting as a factor in the infringement of the Blueberry Nation’s Treaty 8 rights, but somehow curtailing hunting became the remedy. When access to the outdoors and the natural assets of this province become bargaining chips to be dealt away for industrial development and political gain, we all lose. How long will it be before unabated access to large swaths of public land causing disruption to wildlife migration, rearing and other critical habitats are lost to all British Columbians?
B.C. researchers have found that people believe that fish and wildlife man-
agement is not well-funded, that government is shirking its duty, and that decisions about wildlife management should be made by professionals, based on science, rather than by elected officials. In B.C. the proportion of the Provincial Budget spent on renewable resource management has steadily decreased, in 2024, less than 1% of the Provincial Budget will be spent on renewable resource management. B.C. is failing on every count.
Management of fish and wildlife should be the responsibility of an agency independent of the government, one that is not influenced by commercial in-

terests or popularity contests. Objectives need to be legislated and science-based to ensure that all wildlife populations are afforded legal protections that force the government of Canada to act.
When the provincial government tried to rush through changes to the Land Act, citizens pushed back hard, sensing that their opportunities to enjoy the land, water, and bounty of British Columbia was at risk. Their sham public consultation process was halted, at least temporarily. Public consultation must be genuine, if British Columbians are to embrace substantial changes in the way that public resources are co-managed. All British Columbians deserve a say in their shared future. It’s time to move away from secret negotiations, hijacked process, and agreements which are neither shared with nor debated by British Columbians until it is too late. British Columbians are tired of engaging on regulations knowing that the decision has already been made behind closed doors.
An agency that is independent of the government influence is needed to ensure that decisions about natural resources, angling, hunting, and access to public lands are made based on science, not political expediency.
Ask questions of your candidates and demand answers. Is their party prepared to put in place an independent agency if elected?
Columbia Valley Food Bank
Copper Point Resort
Coy’s Par 3
Crescent Motel
Crossroads Esso
Dairy Queen
Divine Curiosities
Edgewater Hilltop Golf Course
Fairmont Gas Plus
Fairmont Goldsmith
Fairmont Hot Springs Resort
Fairmont Outpost & Outdoors
Fairmont Pizza & Ice Cream
Farside Inn Pub & Eatery
Four Points Books
Funky Junk Stained Glass
Funtasia Fairmont Fun Park
Fusion Wellness Spa
Fuze Food & Smoothie Bar
Golden Skybridge - Pursuit
Collection
Home Hardware Invermere
Hopkins Harvest
Horsethief Creek Pub and Eatery
Inside Edge Sports Store
Integra Tire
Invermere Liquor Store
Invermere Wash & Lube
Ion2 Progression Suspension
K5 Mechanical
Kanata Inn
Kinsman Club Radium
Klain Corp Inc.
Konig Meat & Sausage
Kootenay Clothing Co.
Kootenay Coffee Works
Kootenay Savings Credit Union
Lakeside Bike Co
Lambert & Kipp Pharmacy
Lido Motel
Local View Printing & Design
Lordco
LS Fabrication
Max Helmer Construction
MaxWell Rockies Realty
MGM Industries
Mountain Springs Motel
Mountainview Resorts & Villas
Napa Auto Parts
No Frills
Old Salzburg Restaurant
Online Automotive
Ozzie’s Amusements
Panorama Mountain Resort
Parks Canada / Radium Hot
Springs Pools
Piccadilly Motel
Pizza 2 Go
Pizzeria Mercato
Poutine Queen
Prestige Radium Hot Springs
Purple Cow Gift Shop
Radium Brewing
Radium Hot Springs Rotary Club
Radium Mountainside Market
Radium Petro Canada Subway
Radium Golf Group
Radium Springs Golf Group
River Gems Gallery
Riverside / Mountainside / Creekside Golf Courses
Rocky Mountain Radio
Screamers Ice Cream Cafe
Sell Your Classic
SmokeHouse 93 BBQ
Sobey’s Invermere
Station Pub
Stolen Church Coffee Co.
Summit Footwear & Fashion
Sweet Mountain Ice
Taynton Bay
Tea Etc
The Local
The Snack Bar
The Columbia Valley Classics Car Club would like to thank the following businesses: See you at our next car show, September 2025!
The Trading Post Specialty Foods
Tim Horton’s
Tourism Radium
Travel Columbia Valley
Triptician
True Key Hotels & Resorts
Ullr Bar
Universal Doors & Exteriors
Valley Alley Bowling Lanes (Canco)
Valley Zipline Adventures
Walkers Repair
Wildside Pizzeria
Windermere Creek B&B
Windermere Souvenirs
Windermere Valley Golf Course
Zen Technologies
Zimmer Ranch
These businesses supported our car show and we hope that everyone supports them. Thank you to all the attendees.



There was plenty of eye candy at the Columbia Valley Classics ‘Show and Shine’ in Radium last weekend. There were old jalopies, muscle cars and street cars.
Notice is hereby given under Section 94 of the Community Charter, that the Council of the Village of Radium Hot Springs is considering amendments to its Zoning Bylaw No. 480, 2022. The proposed bylaw, No. 510, 2024, will affect the following property, as shown on the map, and described as:
Civic address of property: 900 Bighorn Boulevard
Legal Address of property: Lot A, District Lot 3947, Kootenay District Plan EPP75546 PID: 030-317-240
BYLAW NO. 510, 2024 ZONING AMENDMENT
This bylaw will amend the Residential Tourist Accommodation (RTA-1) zone by adding, under Permitted Use, “Single Family Dwelling” and will amend Maximum Density by removing “Two-unit Dwelling – 1 per parcel” and “Townhouse and apartment – 1.5 FAR”.
The purpose of these amendments is to permit the construction of 19 dwelling units over 3 phases of development. The proposed development will consist of single family and multi-family units.
A PUBLIC HEARING on the proposed Zoning Amendment Bylaw No. 510, 2024 will be held:
October 15, 2024 at 3:30pm Council Chambers, Village Office 4836 Radium Blvd., Radium Hot Springs, BC V0A 1M0 And Virtually via Zoom Join Zoom Meeting - https://zoom.us/ Meeting ID: 882 123 4110
Passcode: Radium
All persons who believe that their interest in property is affected by the proposed bylaw may submit written presentations to the Village of Radium Hot Springs, PO Box 340, Radium Hot Springs, BC, V0A 1M0 or Fax: 250-347-9068 or email: cao@radiumhotsprings.ca prior to the date and time of the hearing. Persons may also present written and/or verbal submissions at the public hearing. Submissions will not be received after the public hearing has been adjourned.
The full bylaw may be inspected on the Village Website: www.radiumhotsprings.ca
Affected property highlighted in yellow






























Serving
Invermere & Area cell 250-341-1202 gerry@gerrytaft.ca
Al-Anon. Are you concerned about or affected by someone else’s drinking? For more information or to speak with someone from our fellowship, please call 250-878-2448 or 250-342-8392
Alcoholics Anonymous. If alcohol is causing problems or conflict in your life, AA can help. All meetings are at 7 pm. Columbia United AA, Invermere: Saturday, Sunday, Tuesday and Wednesday at the BC Service Building, South End-624 4th St. Invermere. Please call 250-3422424 for more information or to speak with someone from our fellowship.
Narcotics Anonymous. Open meeting.
Mondays 7 pm at the BC Service Building, South End. 624-4th St. Invermere
from Parson to Canal Flats
Applications are open for the Carol Wilkie Memorial Steamboat Mountain Music Bursary. Musicians of all levels and any age may apply. Funds may be used for: workshops, music camps, lessons, master classes, college, or university music programs. Deadline: November 15 Download application: steamboatmtnmusicfest.ca
Found key fob on Columbia avenue in Radium. Email or call me and identify vehicle make. 250-290-0228 elizfarthing@gmail.com FOUND
Huge Cheers to Tanya Roe of Ptarmigan Rug Cleaners & Restoration for the professional and quick assistance for our insurance claim regarding roof repairs from the big storm.
Cheers to Kerry at Oriental Palace for the great service! You are very efficient.
Cheers to Scott and Chelsea for the delicious and fun staff BBQ. We appreciate the RFE family!
Cheers to Diana C. for sharing the harvest from your garden. It is greatly appreciated.
Cheers to the trail elves! My utmost gratitude to you for keeping my wheels spinning.
Cheers to Leo and Findlay for offering yet another fantastic set of soccer camps in Invermere. It is so wonderful to see all the smiles on the faces of all the kids you coach!
Cheers to Constable Danny Butler and a nice young couple from Calgary (Zack and Tina) for coming to my rescue after a recent car accident in Radium. Your acts of kindness are very much appreciated.
Cheers to Teacher Tara at Mountain Kids Childcare for your first year in operation! You provide such a much needed service for families in the Columbia Valley. Not to mention creating such a loving space for them to play, learn and grow.
Cheers to everyone that donated treats and swag and who helped promote the Terry Fox Run to make it such a success.
Lost- Nissan key fob. If found, please call 250-954-7089



Olga Maybuck passed away peacefully on August 29, 2024, at the Invermere, BC hospital at the wonderful age of 92. Olga was born on June 1, 1932 in Biggar, Saskatchewan, the youngest of 5 children. Olga’s father, Egnat Levchenko immigrated from the Ukraine in 1913 and her mother, Maria followed 10 years later. They renewed their lives together in Cando, Saskatchewan where they took up homestead and began their lives as farmers. Although Olga loved her childhood on the farm, it was a difficult hard life, so after graduation she was ready to leave the farm. Olga swore she would never marry a farmer. But life took a different curve when she met Eddie Maybuck, a young man from a farm not too far from where Olga grew up. Eddie and Olga were married in 1951 and it was not long after before they ended up back on the farm in Cando and began a life of farming together. Eddie and Olga worked hard and played hard. They had many travels with friends and family. One of Olga’s favorite sayings was “the world is a book and those who do not travel only read one page”.
Olga was a huge community member, sitting on boards and volunteering at numerous fundraising events. Olga was a talented artist and donated numerous paintings for auction events. Family, friends and faith were Olga’s passion. She lived her life holding true to all 3 of these. She was a surrogate mother and grandmother to many, and she supported, inspired and unconditionally loved all the special people in her life. She will be missed dearly by son Barry (Cheryl), granddaughters, Carli and Tori, numerous nieces and nephews and many dear friends. The family would like to thank all the dedicated people who cared for Olga during her final years in Invermere; Dr. Gareth Mannheimer’s outstanding medical care and connection with Olga, the hospital staff in Invermere, who provided compassionate care; the amazing home care team in Invermere and Columbia Gardens, and all the staff at Columbia Gardens. Olga loved her home there and spoke so fondly of all of them every day. The family would also like to thank the staff at Lambert Kipp Pharmacy and all the wonderful people in Invermere that welcomed Olga into this community. She truly built an amazing home for herself here and had wonderful friendships.
Olga’s service was held on Friday September 6th at Saint John The Baptist Orthodox Church in North Battleford, Saskatchewan, where her final resting place is with her family.
Local retired lady looking for small space to rent. Have my own furniture & appliances.
Live here May-Sept.
Offer pet care, watering plants & garden. Willing to help renovate or repair space. Looking for long term. Experienced.
327-111-8070 thackraymaria124@gmail.com
HOUSES FOR RENT
2 bedroom house at 1721 13 th Ave Invermere 1 bath , pet friendly, large fenced lot. Mountain and lake views. Walk to downtown and schools . Utilities extra 1-year lease $1,990/month First and last required. Phone: 416-984-3084 Email: tim.varcoe@endrasautomotivegroup.com
The successful applicant will:
• Assist store management and work as a team
Perform all duties within the store, receiving, cash and customer service
• Work quickly and efficiently with attention to detail
We are looking for a great individual to join our team as a
• Take pride in great customer service - knowledge of Cannabis products an asset Training and education available
Must obtain Selling it Right Certification as required to work with cannabis. (Costs reimbursed). Must be 19 years+ to apply.
If you are interested in working in a fun and productive work environment with competitive wages, submit resume to:
Bob Benvenuti - bbcanna420@gmail.com or hand deliver to: Invermere Cannabis Store (in front of Canadian Tire) Attn: Bob Benvenuti is accepting resumes.
Furnished Condo for rent at the Peaks in Radium. Longterm or short term are welcomed. The unit features U/G parking, AC, Swimming pool in-unit storage & laundry. All utilities are included: $1660 Phone 403-470-7758
Akiskinook Resort fully furnished 1 bedroom condo. Ground level. Cookware, linens, internet included. Indoor pool and spa. $1250/ month. 403-281-3991 call or text.


Get-ER-Done Handyman Landscaping, Asphalt Pads, General Contracting, Cleaning Gutters, House Checks, Pressure Washing. Call Ryan 604-346-5087
THE HEARTFELT COMPANION Services for Seniors. Since 2014 we’ve provided kind and compassionate non-medical care, transportation to Cranbrook, overnight care, meal prep, grocery shopping and more. Excellent local references. 250-341-5683 Heartfeltcompanionservices. com


B. B.’s Home and Design Services Renovations, Masonry & Handyman Services, Blinds, House checks, eavestrough/ yard cleaning/dump runs. 250-688-2897
The District of Invermere is a vibrant, growing community with over 3900 permanent residents, and a visiting population of 20,000+ in peak vacation times. Invermere is nestled on the shores of Lake Windermere in BC’s Columbia Valley. Within minutes of downtown are numerous golf courses, beautiful waterfront areas, spectacular hiking, skiing, and other recreational opportunities. If you enjoy the outdoors and wish to live in a community that offers an incredible quality of life, then Invermere is calling you to be its next Chief Administrative Officer.
The CAO will report directly to Mayor and Council and will manage the day-to-day activities of the District in accordance with the Community Charter and related legislation. In this role, you will provide timely advice and guidance to Council and under their direction ensure that all programs and services are carried out effectively. You will liaise with stakeholders, other municipalities and levels of government on key projects affecting the District and ensure that all major policies and initiatives are communicated to the broader community. With your lived experience in either the public or private sector, you will guide and support the District as you:
• Lead with integrity: you are an authentic, self-aware, trusted and trusting individual who creates and fosters strong relationships.
• Actively develop others: you coach, mentor, inspire and motivate individuals while developing and effectively delegating to distinct teams.
• Deliver service excellence: you provide a servant leadership style that focusses on a community- and people- first philosophy. You have experience in breaking down barriers, taking responsible risks, leading change, and managing resources.
• Communicate exceptionally: you seek first to understand and then guide others with outstanding written and verbal communication skills.
Drive strategic orientation: you are politically astute and visionary. You promote and assist others to connect with strategic priorities and vision using “big picture” and innovative thinking.
• Build organizational community: you are a collaborator, an ambassador for organizational culture, a supporter for connecting teams and a cultivator of organizational alignment.
Worldwide stamp collection in glassine envelopes (thousands of stamps), Scott catalogue in 4 volumes from 1980, various tools and supplies. 778-557-2729 jroberts.cmc@gmail.com


Read a digital replica of the Pioneer, available early every Thursday morning at columbiavalleypioneer.com



• Exemplify accountability: you inspire agreement, take initiative, hold others accountable, and turn thoughtful ideas into action.
Education And Experience:
The District’s ideal candidate will be someone who has as much passion about the community they live in, as they do about the organization itself. Municipal Government or Public Sector experience is important; however, more critical is outstanding leadership experience. In your background, you will possess:
A university degree in land use planning, engineering, public administration, or in a related discipline relevant to public sector leadership.
Minimum 10 years progressive experience in a senior leadership role in the public or private sector. Leadership experience in Municipal Government is considered an asset.
Strong understanding of strategic planning, business plans and budgeting.
• Knowledge and experience in matters concerning relevant provincial and federal legislation.
The role offers an annual wage range of $140,000 - $160,000. A Supplementary Information Package can be obtained by request from the Consultant, which includes a complete job description and full details of the compensation and benefits. To apply, send your resume and cover letter to Tall Cedars Search & Recruitment: Flo Follero-Pugh, Tall Cedars Search & Recruitment flo@tallcedars.ca www.tallcedars.ca

While Columbia Valley Search and Rescue (CVSAR) continues to save lives, it is struggling to find more space to operate amidst a 45 per cent funding cut.
Search manager Nancy Lorass laid it on the line for the Regional District of East Kootenay (RDEK) during a committee presentation on September 5.
“We’re bursting at the seams,” she said while explaining their goal to acquire more space.
She noted the volunteer group that works 24/7 is seeing an increase in callouts, noting they moved their command trailer to the airport to improve their response time.
Lorass stated they received a number of calls at Bugaboo Provincial Park, including one where an individual fell 10 metres and broke their arm.
Volunteers also rescued a glider pilot who crashed a couple of years ago, and a child from a cliff area after an accident involving a bicycle.
A crew rescued a couple of people from Sinclair
Canyon this summer, and attended to a young climber who tumbled down Catamount Glacier after a boulder gave way when she grabbed it.
Last summer the group rescued an individual after their leg became trapped between two boulders, Lorass said.
She noted that CVSAR is one of 78 teams operating in the province. Training includes swift water rescue, rope rescue, high angle, and glacier travel.
Lorass reminded the public to not jump off the cliffs at Windermere Wells, adding there is a fatality in that area every two or three years.
She noted that RCMP divers have not yet found the bottom of these wells, which are “dangerous.”
Lorass said they had already signed training contracts when the group was suddenly hit by a reduction in government funding.
“We are actively pursuing grants,” she told the RDEK.
Area F director Susan Clovechok said she will work with CVSAR to compose a letter (to the province) in the hope that funding will be reinstated.


Columbia Valley Search and Rescue is one of 78 teams operating in the province. Much of its work sees volunteers responding to injured or lost hikers.
PHOTO SUBMITTED
LAKE WINDERMERE ALLIANCE CHURCH
While you are with us, you are always welcome to join us. Sunday at 10:30 am 326 10th Avenue, Invermere 250-342-9535 | www.lwac.ca
WINDERMERE VALLEY SHARED MINISTRY (Anglican - United)
Sunday Services - 10:30 am 110 - 7th Ave. in Invermere website - wvsm.ca
Minister: Brent Woodard 250-342-6644
VALLEY CHRISTIAN ASSEMBLY
Pastor: Justin Furse
Sunday 10 a.m. Worship Service 4814 Highway Drive, Windermere 250-342-9511 | www.vcachurch.net
ROMAN CATHOLIC CHURCH
St. Anthony’s, Canal Flats: Saturday, 4 pm
Canadian Martyrs’, Invermere: Saturday 5 pm, Sunday 9 am St. Joseph’s, Radium: Sunday 11 am Father Francis Dela Cruz | 712 -12th Ave., Invermere 250-342-6167
RADIUM CHRISTIAN FELLOWSHIP
Sunday 10 a.m. Worship service Pastor Wayne and Linda Frater | 250-342-6633 #4, 7553 Main St. Radium | 250-347-9937
CHURCH OF JESUS CHRIST OF LATTER-DAY SAINTS
Worship Service, Sunday, 11 a.m. Sunday School, 10 a.m. President Kendyn Mackensie • Columbia Valley Branch • 5014 Fairway, Fairmont Hot Springs 250-439-9041
CHURCH OF CHRIST (Iglesia ni Cristo)
Worship Service: Sunday 9 a.m., Thursday 7:45 p.m. Chamber of Commerce (Lions Hall) For inquiries: 250-688-1643 250-270-2208 or 250-688-0629 For more info about the church, you can Google online at incmedia.org or pasugo.com.ph