


































































































![]()



































































































By Steve Hubrecht steve@columbiavalleypioneer.com
Canal Flats residents voted in a pair of new village councillors last weekend in a byelection that saw exceptionally high voter turnout.
Preliminary results for the Saturday, Sept. 14 byelection had former councillor Paul Marcil (who previously served from 2011 to 2018) returning to office, joined by political newcomer Andrew Weitzel.
Marcil led the way, earning 270 votes cumulatively across the two advance voting days (September 4 and 12) and the general voting day, while Weitzel earned 206 votes.
Denise Trepanier (121 votes) and Mark Topliff (28 votes) were the other two candidates, both missing the cut in the four-person race to fill the two vacant Canal Flats council seats.
Voter turnout was remarkable for a byelection, and indeed the 625 Canal Flats residents who voted is nearly double the number (318) that voted in the general Canal Flats municipal election in 2022 when there were 661 eligible voters. Assuming a roughly similar number of eligible voters in 2024 puts voter turnout for the byelection at a staggering 94.5 per cent.
The extraordinary turnout and having four candidates vying for two spots speaks to keen interest in civic issues in Canal Flats. And indeed two major issues have caught the attention of Canal Flats residents: a perceived lack of transparency and alleged possible conflict of interest involving the village
chief administrative officer and companies owned by his son (including LiLo Health which is part of the village’s planned affordable housing-medical technology hub development); and upgrades to the Canal Flats water system.
Both Weitzel and Marcil expressed concern publicly on these topics during the byelection campaign.
After the election, each spoke with the Pioneer about those issues.
On the potential conflict of interest and transparency, Weitzel said, “right now that issue is in more capable hands,” but added, “I’m not afraid to bring it up (with council) . . . we’ll have additional details at some point in the future.” He said that his first order of business is to sit down with council members and “keep things moving in a positive direction, and find ways to solve issues together.”
Weitzel said he isn’t sure the village needs water system upgrades that could cost millions of dollars, or that private investors may need to get involved.
“I don’t accept that off the bat. I want to do due diligence.” He noted that up until now Canal Flats has been one of few BC municipalities that filters but does not treat its water, and that villagers are justly proud of that.
“The town has expressed some dissatisfaction on this (water upgrades). We need more discussion. We need to ask better questions,” said Weitzel.
He added, “I’m looking forward to showing this town exactly who I am. Unfortunately there’s been some rumours about what I intend to do on council” and that he thinks some people “will be pleasantly surprised at my dedication to making the village better in a positive way.”
Marcil said the transparency and possible conflict of interest “doesn’t sit
well with me,” but added, “I need to sit down and find out all the ins and outs of this. There are a lot of rumours floating around and you can’t function on rumours . . . I need to get a handle on it. Then, if things do need to be corrected, then we’ll work to get them corrected and done properly.”
Of the water system upgrades and the potential for private investment, Marcil said, “we have to check into that . . . it (privatization) doesn’t make any sense to me.”

Trepanier told the Pioneer that obviously she is disappointed not to be elected but that she’ll “keep (her) chin up.” She wished good luck to Weitzel and Marcil. On the topic of perhaps running for council again in two year’s time (during the 2026 municipal election ) Trepanier said, “We’ll see. Two years goes fast. Time will tell.”
The Pioneer attempted to get comment from Topliff, but was unable to reach him prior to press deadline.































This past week, September 10 to 16, the Columbia Valley RCMP responded to 68 calls for service. The following is a summary of some of the files our officers responded to:

On September 13 at approximately 8:30 p.m. police were conducting patrols in the Invermere area when a vehicle was observed driving at a high rate of speed and driving erratically.
The vehicle was stopped and the driver was suspected of having alcohol in his system. The driver was required to provide breath samples into the roadside screening device which resulted in a fail.
The driver was issued a 90-day driving prohibition and a 30-day seizure of the vehicle.
School zones are in effect from 8 a.m. through to 5 p.m. on school days, so please ensure you are slowing
down to 30 km/hr. The school zone on 13th Avenue is in effect from the four-way stop at 10th Street to just south of the stop sign on 20th Street inclusive.
The police have also had a few reports of drivers not stopping for school buses when the red lights are flashing. If you fail to stop, the first offence comes with a $368 fine, and the fine increases with each successive violation up to a $8,528 fine.
The return of school has also seen an increase in bicycle use. We ask parents to discuss with their kids the requirement to wear a helmet when cycling in British Columbia.
Tickets can be issued with a fine of $29.
It is also illegal to have more persons on a bicycle than it is designed for (ie: doubling) which comes with an $84 fine.

Submitted by Lake Windermere Ambassadors September 10
Average Water Temperature: 19.1 °C
Average Water Depth: 3.6 m
Average Turbidity: 1.1 NTU
Average D.O.: 9.0 mg/L
Average pH: 7.9
It was a cool and wavy morning. We noticed some salmon jumping high and the fall birds active in the south end.
Thank you, Gavin, for volunteering your time and boat to reach our sites.
To volunteer with the Ambassadors, please contact us at (250) 341-6898 or intern@lakeambassadors.ca


By Steve Hubrecht steve@columbiavalleypioneer.com
For the first time last week Invermere council was tasked with making decisions on temporary use permits (TUPs) for several short-term rentals (STRs).
The STR issue has dominated the municipal agenda for years, and regulations were introduced earlier this spring. Those rules mandate that STRs here must have business licences to operate, and if the STR is in a neighbourhood not zoned to allow STRs, they must also have a TUP.
The bylaw limits the number of guests at any one STR to eight, and sets a maximum of two guests per room.
But there are multiple STRs here that advertise space for more than eight guests. During the Tuesday, Sept. 9 council meeting, the owners of four of those STRs sought an exemption, applying for TUPs that would either allow them more than eight guests, or allow more than two guests per room.
All four received TUP permits, but in two cases the STR owners did not get all they asked for. The owners of an STR in downtown Invermere on 4th Street wanted a TUP for 12 guests, but council limited their TUP to 10 guests (two above the normal limit of eight). The owners of another STR in the Kpokl neighbourhood, on Taynton Drive, asked for a TUP allowing 14 guests. Invermere council also limited their TUP to 10 guests. (The same house was, as of press time, listed for sale for $2.2 million.)
Of the 4th Street STR application for 12 guests, Invermere Mayor Al Miller said, “I’d like to stick to the number of 10. I just don’t think we really need to have that many people (12) in a particular location.”
Other councillors disagreed with Miller about the 10 guests.
“We did have a lot of discussion around the number (the maximum of eight). We went back and forth a lot . . . I would like to stick with eight,” said councillor Theresa Wood. Councillor Kayja Becker also wanted to keep the limit at eight.
In the end council voted 3-2 in favour of giving the 4th Street STR a TUP for 10 guests (Becker and Wood were the two opposing votes).
It was a similar story with the Taynton Drive home, which also got a TUP for 10 guests by a 3-2 vote (with Becker and Wood again the opposing votes).
Invermere planner Rory Hromadnik noted that the home, which is nearly 4,000 square feet, was built five years ago by owners from Ontario, and was purposefully built to serve as an STR and — when not being rented out — as a vacation home for the owners’ extended family of 30.
Councillor Gerry Taft said the Taynton Drive TUP application was different in his mind because the Kpokl neighbourhood has “a kind of a resort feel.” Several of the other councillors said STR regulations should be consistent across all Invermere’s neighbourhoods, regardless of their ‘feel’.
Councillors had no qualms about the two other STR applications, however, approving a TUP for nine guests on Lower Lakeview Road in Fort Point, as well as approving a TUP for eight guests total (but with four people in a single room on bunk beds) on 1A Avenue, also in Fort Point.
“It’s probably kids in those bunk beds. I’m okay with that,” said Miller.
“I never thought we’d need to make decisions about bedroom furniture layout — bunk beds and pullout couches,” added Taft.
The two Fort Point STR applications attracted two letters of complaint from Fort Point residents concerned about the proliferation of STRs in their neighbourhood and STR impacts on Invermere as a whole.
Several Fort Point residents were at the council meeting. Joan Rouse asked if council would ever consider implementing a principal resident requirement. Becker left the door open for that as a potential future possibility, replying that the way Invermere manages STRs is “ever evolving” and its bylaws will no doubt be updated one day, and that, consequently, a principal residency requirement could be considered one day.
Rouse also asked about enforcement of STR regulations. Hromadnik replied that the district is joining the provincial STR registry and has “engaged a contractor” — digital services company Granicus, which often works with government organizations.
Granicus will have a phone number that residents
By Steve Hubrecht
steve@columbiavalleypioneer.com
The Village of Radium Hot Springs’ latest housing needs report is finished.
Radium’s 2024 housing needs report is an update of its initial 2022 housing report, which the village, like all B.C. municipalities, was required to complete before April 2022, under then-new provincial legislation. That same BC legislation also requires an ‘interim’ update report by the end of 2024, and then a full update in 2028.
The initial 2022 housing report used data from the 2016 Canadian census. Another census had been conducted in 2021, but most of that data wasn’t made public in time to be used in the 2022 housing report. The updated 2024 report fixes that issue, using data from the 2021 census.
The new updated 2024 report highlights several key changes in Radium from the 2022 housing report: the population has grown both in sheer numbers and in composition (notably seniors and people in family-forming years); home ownership has become less
affordable; the proportion of homeowners has declined; the number of homeowners in ‘core housing need’ increased; median income in Radium dropped below BC provincial and East Kootenay regional averages; and employment trends have shifted.
On the other hand, two major key findings in the 2024 report remained the same as in the 2022 report: there is a lack of available and affordable long-term rentals in Radium; and more than half of Radium’s housing stock is not occupied by permanent residents.
Radium’s population shot up dramatically between the 2016 and 2021 census, surging 72 per cent to 1,300 residents.
The housing report highlighted two interesting trends within that overall growth: the number of those aged 65 and over (already proportionally higher than most BC communities) grew by 170 people; and the number of those aged 25 to 44 also grew by 170 people. That means housing for seniors remains a key concern in Radium, but that the village also needs to encourage housing for families.
with STR-related complaints can call 24 hours a day, seven days a week (meaning the work of STR rule enforcement will not fall on Invermere’s bylaw officer.)
As well, Granicus will monitor Invermere STR advertising on rental platforms (such as AirBnB, VRBO, and others) and double check whether or not the STRs have the required business licences and TUPs. If they don’t, an automatic discipline letter will be sent, and the rental platforms (AirBnB, VRBO, and others) will pull that STR’s advertisements from their sites.
“It will take some time, but the wheels are in motion on this,” said Hromadnik.
Invermere resident Mike Fairhart also spoke at the meeting, emphasizing that “compliance and enforcement are key.” Fairhart lives near an STR operator who has allegedly created problems in the neighbourhood, and Fairhart has registered half a dozen formal complaints with the district over the past few years. “Yet, I’ve seen very little happen and that concerns me,” said Fairhart. He added that STRs do help the tourism economy, which is important, but they also change the character of a community, and take away from long-term rentals. “What do we want our community to look like in the future?” asked Fairhart.




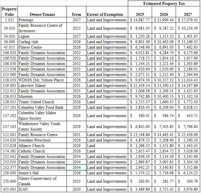
Pursuant to s. 224 of the Community Charter, the Council of the Village of Radium Hot Springs will consider Bylaw No. 511, 2024 Permissive Tax Exemption (2025) for adoption at the Council Meeting on October 15th, 2024.
Bylaw No. 511, 2024 Permissive Tax Exemption (2025) exempts from taxation for the year 2025 the following land and/or improvements. Exemptions for 2026 and 2027 are dependent on eligible organizations applying for exemption before the due date.
027-729-796
4, Plan NEP87941 DL 2580, Kootenay District
7566 Redstreak Park Rd. Folio# 03760.050
027-729-800
Copies of the bylaw are available at the Village Office, 4836 Radium
Indeed, resolving the concerns around short-term rentals (STRs) truly takes a ‘balanced approach’ as local resident Colleen Roberts told the RDEK recently.
There is no arguing that these rentals boost the local economy by enhancing the visitor experience. Simply put, we need tourists spending money here, and we need temporary accommodation for these people. But not at the expense of the locals and families who need long-term accommodation.
How many STRs in the community are too many? How many guests in one house is too many? These are the questions that towns and villages are struggling with. You don’t want to change the character of the neighbourhood by establishing too many STRs that see visitors coming and going at all hours. The extra traffic, parking, noise and safety risks are factors that need to be considered. It may come with the territory but this is not something that residents should be burdened with. At the same time you don’t want to be too restrictive or you defeat the purpose of allowing STRs in the first place. That’s where a happy balance is paramount.
There have been reports of STR operations running without proper permits and/or skirting the rules, which gives all STRs a bad name. There are misconceptions that these rentals attract undesirable ‘party animals’ worthy of their own reality TV show. The truth is many of these visitors are good people who just want a nice, quiet place to relax and enjoy their vacation. Many local residents hardly notice that these people are actually there.
Ideally, you want the property owner living on site or at least nearby to deal with any potential problems that may arise.
And when the chips fall, does the town or village have a reliable enforcement program that can act quickly and decisively, having the best interests of residents in mind?

While we can’t ignore the benefits that STRs bring to the community, we must not forget the housing crisis that plagues the Columbia Valley and many other regions. Long-term rentals appear to be in short supply, with families not able to relocate here because they can’t find homes. It’s getting to the point that businesses can’t even attract long-term employees due to the housing crunch. That has to change.
Lyonel Doherty, editor


Over the past several months I have noted that retail gas outlets located in Cranbrook typically sell a litre of regular gasoline approximately $.10 less than those in the Invermere/Fairmont area.
Recently the price of regular fuel was $1.589 per litre in Cranbrook and $1.699 per litre in Fairmont. I do not believe that Cranbrook retailers benefit from refineries located closer to their outlets or from shorter shipping routes and yet they can offer a better pump price.
I spoke to an employee at one of the Invermere service stations, whose pump price was less than the




posted price on their sign. When I questioned the difference, he informed me that they were told the price to post for their fuel, so they complied. He went on to say, “most of our customers know the pump price is two cents cheaper than the sign advertises. That way we don't get in trouble with the other service stations.”
Have you noticed how the local price per litre moves up and down in unison within hours?
To me, the situation smacks of ‘collusion’ thus affecting the pocketbooks of local drivers who have restricted options when filling their tanks.
Jim Horne, Fairmont Hot Springs


I am writing with respect to the proposed OCP and Zoning Bylaw Amendment 1661 and 1662 in the District of Invermere.
First I will note my support for the Columbia Valley and Metis Nation British Columbia leaders and members whose grace and patience persisted while answering questions on issues already resolved in the revised development proposal with regard to building management, parking and access at the public meeting on Thursday, Sept. 5.
All the studies needed are done. The MNBC has done their level best to listen to the concerns raised and respond to them. We could not ask for better neighbours.
JULY 11, 2024
This proposed development will not be able to meet the needs of all the people in this community who lack affordable housing.
It will not solve the problem for my new staff member who was not able to find affordable housing when she arrived for her job in June and had to camp for two and a half months.
She now only has temporary accommodation for the winter for which she pays almost half her take-home wages.
She is not alone; this is the case for many of the people in our community who, like her, are required to move out of their rental units to accommodate their landlords who want their proper-
ties available in the summer for family, or more commonly to rent out as an AirBnB.
It doesn’t solve the problem of there being 180 units absent from the rental market because landlords would rather gouge short-term visitors and make a little money than help stabilize this community by offering affordable places for people to live.
What this proposed development does offer is 41 rental units to people who live in this community who need affordable housing. An accessible place in the midst of our community where people can go to school, to work, get groceries and health care – all the services those of us more privileged take for granted.
We require proximity to services that people who need affordable housing can access independently. How can we as a community not want to support this?
In exchange for the extra minimal congestion that the impact studies have revealed, our community will get the opportunity to embrace new neighbours, make new friends, strengthen the social fabric of our community and accept a much needed modernization of our land use. We all win. But we all stand to lose a lot more if we don’t support this development.
Yolande Dolman, Invermere
The deadline for the East Kootenay Accessibility Plan Introductory Survey has been extended.
By Steve Hubrecht steve@columbiavalleypioneer.com
The survey will aid the East Kootenay Accessibility Committee in developing an Accessibility Plan for the RDEK’s Electoral Areas, City of Cranbrook, Village of Canal Flats, and District of Invermere.
After nearly a year of the position sitting vacant, the District of Invermere finally has a new environmental planner.
Amy Fletcher began in the role the first week of June, and has already sunk her teeth into a number of initiatives.
Life started to seem a bit more settled in Australia, but then a job opportunity came up for Charlie — a heavy duty mechanic — that required him to be based in Canada.
“The Accessibility Plan is intended to identify, remove and prevent barriers to ensure our communities are accessible and inclusive so that residents are able to fully participate in all aspects of community life,” says RDEK Community Services Coordinator Sandra Haley. “Our decision to extend the deadline was made to make certain that we are reaching the broadest section of our residents and ensuring that anyone who wants to can submit their input.”
prehensive as possible. The survey will be open until 4:30 p.m. on September 25.
Residents can participate in the survey in a number of ways:
Online – https://engage.rdek.bc.ca/accessibility
of the local government offices listed above or mailed to: Sandra Haley at the RDEK 19–24 Avenue S., Cranbrook, BC V1C 3H8
Phone survey – if you’d like to complete the survey by phone, please contact Sandra Haley at 1-888-4787335.
Fletcher is Australian, but is no stranger to the Columbia Valley. She spent three winters as a snowboard instructor at Panorama Mountain Resort starting in 2010. Fletcher left Canada, became an environmental scientist and outdoor educator, started a family, and by a quirk of fate, returned to the Columbia Valley last year, almost a decade after she first left.
“I didn’t think I’d end up back in Canada, but when that came up, I said ‘Oh, I know a place’,” recalled Fletcher. “When I first came to Invermere, back in 2010, I was drawn by what draws most of the Australians here — the mountains and the ski fields. They are mind blowing compared with what we have in Australia. But what drew us back was the people, the connection and the friendships.”
Hearing from residents about their experiences and having them identify barriers, challenges and successes is critical to ensuring the final plan is as com-
She grew up in a surfing and sailing family in Adelaide, capital of South Australia, and credits that initial — and constant — exposure to the outdoors with fostering an environmental ethic in her at a young age.
Hard copy – a hard copy can be mailed out or picked up later this week from the RDEK’s Columbia Valley and Cranbrook offices, Cranbrook City Hall, or District of Invermere and Village of Canal Flats municipal offices. To request a copy be mailed, please contact shaley@ rdek.bc.ca or call Sandra at 1-888-478-7335.
Regional District of East Kootenay
Completed surveys can be dropped off at any
“We were always, always by the ocean. Surfing, sailing, swimming. I didn’t realize it at the time, but it was a connection to nature and it was always there. Through that I learned the idea of leaving the environment in a better state than when I found it,” Fletcher told the Pioneer
for Students in their second or more year of study in a health-related field
Fletcher had several good friends from her time at Panorama still living in the Columbia Valley. When Charlie was offered the Canadian job, Fletcher immediately reached out to those friends. Was Invermere still the same awesome, outdoorsy, community-minded town she remembered? Of course, her friends replied. Soon she, Charlie and Joanie were headed across the Pacific to a home that was new to them as a family, but very familiar to Fletcher.
The IHCAS is awarding Scholarships to students entering their second or more year of study in a Health Related Program at a recognized post- secondary institution. Preference will be given to students who have attended David Thompson Secondary School , who have not received this funding in the past, and have volunteered at the Invermere and District Hospital, Columbia House or other health related organizations. Applications for Post Secondary Scholarships are to be received no later than October 18, 2024. For an application and information please email: Seona Helmer - seona.helmer@gmail.com
After those winters at Panorama, Fletcher went to university (three universities, actually — Flinders University, Charles Darwin University, and the University of Tasmania), successively collecting an environmental science degree; a teaching degree; and a post grad diploma in sustainability and waste management.
Collectively “that opened up the door to some fun things,” said Fletcher. She worked as an outdoor educator for a while before she and her partner Charlie decided to spend a few years travelling around Australia and living out of a van, both picking up work (or working
“Ski towns can be transient. But when you decide to stay in Invermere, you start to realize it’s not just a great place, it’s a great place and a great community, winter and summer,” said Fletcher. “You are surrounded by people who share the same values — love of the outdoors, sense of community — that you have. That’s the kind of thing that makes you want to cross an ocean with a toddler.”
Fletcher and family arrived in Invermere in May 2023. Last winter Fletcher relived her past, working as a snowboard instructor at Panorama again, and loved it. But when she learned the district was looking for an environmental planner, it was an opportunity too good to pass up (even for another winter as snowboard instructor).
“I was very excited to get the job,” Fletcher told the Pioneer. “It’s a great fit


By Lyonel Doherty editor@columbiavalleypioneer.com
The Regional District of East Kootenay (RDEK) has made only two amendments to its short-term rental (STR) permitting policy.
After a public delegation and a number of recommended changes by staff on September 5, the board opted to leave the policy largely unchanged.
The two changes it made include increasing permit fees to $1,500 from $1,000 (for staff-decided applications), and an increase to $3,000 from $2,000 for applications decided by the board. These increases, effective January 1, 2025, were approved to cover the cost of
processing the applications.
In the STR permitting policy, the maximum occupancy limit is being kept at 10 people per parcel. Under the change, staff can approve two permits: the first permit — eight person occupancy for the main house; and the second permit — two person occupancy for a small suite.
The resolutions also included support for future OCP zoning changes to identify specific areas for STRs.
The board decided not to make changes to the following: number of offstreet parking spaces required, amending the maximum number of guests, and the requirement for property owners to provide an affidavit confirming charges
restricting land use on their property.
The September 5 delegation included Colleen Roberts and Mara King from the Windermere Community Association who presented their concerns surrounding STRs and the impact they are having on neighbourhoods. Roberts told the Pioneer that Fairmont, Windermere and the Fernie Snow Valley community associations have been working for more than a year on the challenges with the RDEK’s policy and its temporary use permitting system for STRs.
First off, according to Roberts, these policy changes are being made with no public consultation.
“How can the public provide input when by the time they see the staff report, the deadline to make written comments and/or speak at the board meetings has passed?”
Roberts told directors that the community associations generally support short-term rentals and understand the economic boost they bring to the valley, but she stressed there must be a “balanced approach.”


Roberts said it is critical to ensure that STR operations (parking) don’t spill onto the street and create safety issues. Regional planner Justin Cook said they don’t want people bringing an excessive number of vehicles to the district.
Staff noted that if numerous complaints are received, bylaw officers will investigate which could result in the permit being removed in the future.
Staff recommended the maximum guest count be reduced to eight from 10, except a maximum of 14 in areas exempt by the province, such as resort locations (Panorama and Fairmont).
Roberts recommended a maximum of 10, saying there must be a balance between tourism and quality of life, adding there is a potential of disrupting neighbourhoods when you have too many STRs and guests.
After the meeting, Roberts told the Pioneer they will continue to work with the RDEK to “find a balance that accommodates visitors while preserving the quality of life for residents in their communities.”
She pointed out there are still some outstanding concerns, including a lack of effective enforcement of the STR policy, and the need to address the number of STRs permitted in a neighbourhood.
“Having a proliferation of STRs in residential areas affects its character and livability,” Roberts said.



She raised the issue of parking, noting the RDEK had proposed to reduce parking requirements instead of reducing the maximum number of guests. But in the end, the board opted to leave on-site parking as is — one additional off-street guest parking space for an occupancy of 1-4, two spaces for 5-8, and three spaces for 8-10 guests.







Starting a new tradition is always an exciting proposition – this Sunday September 22 you can be part of the very first Fairmont Hot Springs Picnic Palooza in the green space at 5037 Hot Springs Rd (right by the big Fairmont sign)! The event runs from1pm-5pm and will feature local vendors, food, music and fantastic family fun!
Scheduled at the tail end of the car show and running a bit later than the Windermere School Fall Carnival, we hope everyone will make the drive out to Fairmont to enjoy the afternoon with good friends, food, music and shopping.
Sponsored by Travel Columbia Valley and the Fairmont Community Association, special thanks also go out to Columbia Valley Sewer and Drain for providing… relief as only they can, and for Fairmont Hot Springs Resort for the space and
equipment. A special shout-out as well to Torils Landscaping for mowing the space to make it tiptop for the Picnic – nothing like a manicured lawn to spread your blanket out on!
Local musician Emma Kade is scheduled to play from 1-3pm followed by Zack Elliott from 3pm5pm. Emma Kade has been a staple in the local music scene– channeling sweet melodies with unforgettable lyrics, Emma loves to write music with intricate genre influences and relatable storytelling. Zack Elliott is a contemporary folk singer-songwriter who weaves deeply evocative lyrics with intricate guitar arrangements. Let their dulcet tunes fill your head while you shop at the local vendor market stalls, and the local food fills your belly! Bring your own picnic blanket and make an
afternoon of it! There will be a variety of local food available for purchase, both at the market, and at the local restaurants close by as well as the Wheelie Good Eats food truck. Shopping at the local retail locations will be available, as well as local market vendors with unique and exciting merchandise.
The Columbia Valley Chamber of Commerce, through the Fairmont Business Committee is pleased to be able to spearhead this event, and here is hoping to many more in the future! See you Sunday September 22 from 1-5pm at the green space under the Fairmont sign.
Deanna Berrington
Columbia Valley Chamber of Commerce



Thursday, September 19
• 10:00am-12:00pm: Pickleball Mt Nelson Athletic Park. Drop-in.
• 10:30am-11:30am: Senior’s Fitness Columbia Valley Centre, $2 drop-in. *Please note that the CV Centre is closed until the end of September for floor resurfacing so Senior’s fitness and yoga will be moved to the Invermere Senior’s Hall for the remainder of September*
• 11:30am-12:00pm: Little Lambs. Radium Library. Join us for songs, rhymes, and stories with your babies! Every Thursday, no registration required.
• 2:00pm-3:00pm: Needles & Hooks. Invermere Library Mezzanine. Join us on the 1st & 3rd Thursday of each month at 2:00pm for Needles & Hooks. Bring your current yarn project and meet with other makers. All welcome!
• 6:45pm: Texas Hold ‘Em Poker Invermere Legion. $30 buy-in.
• 7:30pm: Families Housing that Fits. Zoom meeting with host Ben Postmus. Inclusive and supportive housing in your community. diversefamilyroots@ gmail.com
• 7:30pm-9:30pm: Trivia Night Windermere Whitehouse Pub. Host Mandi Cox $3/person, teams of more than 6 will be split into two groups. Ages 19+
Friday, September 20
• 11:00am-9:00pm: 34th Annual Columbia Valley Classics Annual Show and Shine. Radium Hot Springs.11am-4pm - Valley-wide poker run; 3-7pm - Market on Main at the Radium Visitor Centre; 7-9pm - registration at Radium Hot Springs Centre.
• 11:00am-2:00pm: Shared Open House. Food Bank, Summit Youth Hub, Windermere Valley Museum. Co-hosting an open house during the Classics Show and Shine Poker Run; See Classic Cars, get snacks, and see what they do! Hot dogs for sale; treats by donation.
• 12:00pm – 4:00pm: Forty Words For 'Yes' Audio Art Exhibit. Pynelogs, CVArts gallery. Forty singers from around the world sing words that mean ‘yes’ in their mother tongues in this 40-part choral work by Nelson composer Doug Jamieson. Meet the composer and hear the 10-minute recording (looping every 15 minutes) on 8 synchronized stereos. Colourful banners by Alf Crossley enhance the experience. Admission to Forty Words for Yes is FREE. 9:00am: Tennis for Everyone. Rotary Park Tennis Courts. CV Mixed Doubles –any age and skill level welcome.
• 10:00am-12:00pm: Pickleball Mt Nelson Athletic Park. Drop-in.
• 10:30am-11:00pm: Family Storytime. Invermere Public Library. Join us at the library for stories, songs and a craft! Geared towards preschool age, but all welcome to attend!
• 2:00pm-3:00pm: Friday Fundays! Invermere Public Library. Drop in programming! Drop off allowed for ages 7+. Younger children are more than welcome to join with an adult! STEAM- open-ended play with Ozobots, Dash Bots and other fun tech!
• 2:00pm-3:30pm: Wholesome Hobbies. Radium Library. Every 3rd Friday of the Month; join us each month to try out a new project! For adults 50+ but all adults welcome. Registration is required. Call 250-347-2434 to save your spot!
• 6:30pm - close: Meat Draw and 50/50 in the Legion! Members and guests
welcome!
• 7:00pm-10:00pm: Rockies vs Golden. Eddie Mountain Memorial Arena.
• Saturday, September 21
• 11:00am-9:00pm: 34th Annual Columbia Valley Classics Annual Show and Shine. Radium Hot Springs. 7-10am – Radium Fire Department Pancake breakfast at Radium Hot Springs Centre. 10am-4pm – 34th Annual Show & Shine at the Springs Golf Course Driving Range. 6-8pm – Rockin’ in the Park at Main Park in Radium, live music by Tryg Strand & Band. Free and family friendly!
• 9:00am-12:00pm: Pickleball Mt Nelson Athletic Park. Drop-in.
• 10:30am-11:00am: Family Storytime. Invermere Public Library. Join us every Saturday morning for stories, songs and a craft at the Invermere Public Library. Geared towards preschool age, but all welcome!
• 11:00am-12:30pm: LEGO/Duplo Club Invermere Public Library. We'll have Lego, Duplo, big blocks & more out to play with on Saturday mornings! All ages welcome.
• 11:00am-12:00pm: STEAM. Radium Library. Sessions are designed to encourage children to develop an interest in Science, Technology, Engineering Art and Math at a young age. New activities and gadgets featured at each session. *Children under 12 must be accompanied by an adult. Please register Space is limited. Every 3rd Saturday.
• 3:00pm-4:30pm: Buddy Reading. Invermere Public Library. Practice reading aloud one-on-one with a staff member to build skill, confidence and a love of reading! Mondays, Thursdays and Saturdays in July and August! 30 minute sessions at 3:00, 3:30 or 4:00 pm.
By Appointment Only!! Contact Invermere Library to sign up.
• 6:30pm: Meat Draw and 50/50 in the Legion! Members and guests welcome!
Sunday, September 22
• 1:00pm-5:00pm: Fairmont Picnic Palooza. Fairmont Greenspace in the park by the Fairmont Resort Sign. Fairmont Family Picnic Palooza ByoBlanket and join us for Live Music, Market and Food! Music by Emma Kade (1-3pm) & Zack Elliott (3-5pm)!
• 2:00pm: Cards, Cribbage and Darts Come to the Legion and have some fun! Members and guests welcome.
• 7:00pm-9:00pm: Live Music Horsethief Creek Pub & Eatery. Accompanied minors are permitted. No cover.
• 7:30pm: Dads Matter. Zoom meeting with host Ben Postmus. Dads connecting, Dads Supporting, Dads Inspiring. Do you have a son or daughter with Diverse Abilities? So do I. diversefamilyroots@gmail.com
Monday, September 23
• 9:00am: Tennis for Everyone. Rotary Park Tennis Courts. CV Mixed Doubles –any age and skill level welcome.
• 10:00am-12:00pm: Pickleball. Mt Nelson Athletic Park. Drop-in.
• 10:00am-11:00am: Senior's Yoga Columbia Valley Centre, Invermere. $2 drop in, open to all seniors. *Please note that the CV Centre is closed until the end of



September for floor resurfacing so Senior’s fitness and yoga will be moved to the Invermere Senior’s Hall for the remainder of September*
• 3:00pm-4:00pm: Buddy Reading. Invermere Public Library. Practice reading aloud one-on-one with a staff member to build skill, confidence and a love of reading! 30 minute sessions at 3:00, 3:30 or 4:00 pm. By Appointment Only!! Contact Invermere Library to register.
• 6:30pm: Poker (Chip up for Charity). The Station Pub $20 buy-in. Every Monday.
Tuesday, September 24
• 10:00am-12:00pm: Pickleball Mt Nelson Athletic Park. Drop-in.
• 10:30am-11:30am: Senior’s Fitness Columbia Valley Centre, $2 drop-in. *Please note that the CV Centre is closed until the end of September for floor resurfacing so Senior’s fitness and yoga will be moved to the Invermere Senior’s Hall for the remainder of September*
• 10:30am-11:30am: Homeschool Meetup Junior (K-Gr.7). Invermere Library. Drop in programming for kids K-Gr 7. Open-ended STEAM play, group activities and art projects. Contact the library for more information!
• 7:30pm: Families on Tuesday. Zoom meeting with host Ben Postmus. Families connecting, Families Sharing, Families Supporting Families: Support, Listening, Sharing, Connecting. diversefamilyroots@gmail.com
Wednesday, September 25
• 2:00pm-4:00pm: Creating your Next Volunteer Role – Volunteer Connector. Columbia Valley Chamber of Commerce Board Room. Join Sheena from VolunteerConnector for a workshop on creating (& posting) an awesome volunteer role! This process is for organizations looking to create postings on the VolunteerConnector site. Free! Non-profits encouraged to attend. Register at cvchamber.ca Limited space!
• 9:00am: Tennis for Everyone. Rotary Park Tennis Courts. CV Mixed Doubles – any age and skill level welcome.
• 10:00am-12:00pm: Pickleball. Mt Nelson Athletic Park. Drop-in
• 10:00am-11:00am: Senior's Yoga Columbia Valley Centre, $2 drop-in.
*Please note that the CV Centre is closed until the end of September for floor resurfacing so Senior’s fitness and yoga will be moved to the Invermere Senior’s Hall for the remainder of September*
• 11:30am-12:00pm: Story Time. Radium Library - preschool & all ages.
• 3:30pm-4:45pm: After School Club. Invermere Public Library. A window of transition time between school and home or extra-curriculars. Come colour, bead, play with LEGO, and catch up with friends! Open to all school-aged kids.Drop-off for Grade 2 and up. Please bring your own snacks! One time registration required. Find the form on the After School Club page on our website or fill it out at the library.
• 6:00pm-8:00pm: Craft Club Connections. Invermere Library. Craft Club Connections is an adult craft night at the Invermere Public Library! This month, we're making paper bag mushroom centerpieces. All supplies provided. Space is limited. Please contact the library to register!
• 6:00pm-9:00pm: Wednesday Dinners & Meat Draw & 50/50 Invermere Legion. All welcome.



Take notice that we, Columbia Valley Search and Rescue (CVSAR), from Invermere, BC have applied to the British Columbia Ministry of Water, Land and Resource Stewardship (WLRS), Kootenay Boundary Region, for a Licence of Occupation for a Communication Site situated on Provincial Crown land located in the vicinity of Akenside Creek west of Edgewater. The purpose of this communication site is to extend two-way radio coverage into remote backcountry areas where CVSAR frequently responds to emergency situations, to improve communication and safety.
WLRS invites comments on this application. The Lands File is 4406479. Written comments concerning this application should be directed to the Senior Authorization Specialist, WLRS, Kootenay Boundary Region, at 1902 Theatre Road, Cranbrook, BC V1C 7G1. Comments will be received by WLRS up to 51 days. WLRS may not be able to consider comments received after this date. Please visit the website at http://comment.nrs.gov.bc.ca/ for more information.
Be advised that any response to this advertisement will be considered part of the public record. Access to these records requires the submission of a Freedom of Information (FOI) request. Visit http://www.gov.bc.ca/freedomofinformation to learn more about FOI submissions.

Columbia Valley Pioneer staff
Loree Duczek has found her purpose in life in a job that has her name written all over it.
But the communications manager for the RDEK was totally surprised . . . more like “blown away” when she was presented the King Charles III Coronation Medal last week.
Presenter, Kootenay Columbia MP Rob Morrison, said Duczek has exemplified excellence in her role, especially during crises and emergency events.
“Loree's ability to remain composed and make sound decisions has undoubtedly saved lives and mitigated the impact of disasters,” Morrison said.
Duczek told the Pioneer that she is deeply honoured by the recognition.
When asked what drives her passion for the job, she said this: “There is an old saying that there are people who search their whole lives trying to find their purpose in life and there are others who inherently know their purpose and spend their lives sharing it with others. I think to some degree that is an accurate description of how I found my way into this incredible position at the RDEK.”
Duczek said this work was never really a conscious decision.
Believe it or not, she was talking in full sentences at the age of 18 months, and started reading when she was three. At age four, she had a book bag and every day she would go around the block knocking on neighbours’ doors asking if they’d like her to read them a story. Then she invited them to sit with her on their stoop as she read them a book.
“That is where my love of telling stories was born. My dad was a magical storyteller and he had such a powerful way of connecting with people through his storytelling.”
When Loree was 15, she took part in Cranbrook’s Youth Ambassador Program where she developed a strong passion for community, learned the basics of public speaking and was introduced to Toastmasters.
She travelled throughout BC competing in various public speaking competitions, always the youngest competitor by at least 15 years and often against incredibly inspirational speakers and
broadcasters.
“Their influence led me to pursue a path in broadcast communications which turned my love of sharing stories into an official career.”
In spite of many opportunities in Vancouver working at big networks, she found her heart was most connected to community, sharing stores that were closest to home. She applied to work for the RDEK and has been serving the public for nearly 25 years.
From town hall meetings to various events, she has met many incredible people from all parts of the region. During emergencies they tell her stories of their latest adventures.
“I would venture to say there are not many jobs where you have the opportunity to build these kinds of relationships. I know this kind of trust and these kinds of relationships are not a given, they are earned, and I’m incredibly grateful to all of the residents who’ve been part of my RDEK journey.”
When asked how she stays calm during a crisis, Duczek said it’s all about providing people with what they need most — information.
“For people experiencing an emergency, it can be a tremendously scary and vulnerable time. My goal has always been to ensure we do our best to provide residents with as much information as we can, to ensure it is factual, that we are responsive to their needs and that all of that is delivered in a way that is conversational, personal and relatable.”
Duczek said she doesn’t just deliver information, she shares it, which is reassuring and comforting. “In the midst of crisis, you often see incredible stories of resilience, generosity, kindness, and strength.”
Another key factor that keeps her from pulling her hair out is the team working behind her.
“We have the most incredible Regional Emergency Management Program and the team that comes together in emergencies is talented, capable, and professional. They give tirelessly to support residents of our region and they are a big factor in making it possible for me to do the emergency communications side of my job . . . I could not do what I do without them and without my team.”
Monday, September 23, 4:30 p.m. Veterans Hall, Invermere Legion
Refreshments will be served
Continued from page 5
The 2022 report outlined that home ownership was generally unaffordable for people living alone. The 2024 report outlines that home ownership is now often unaffordable not only for people living alone but also for lone-parent households, and for couples without children.
The share of households in Radium that own the home they live in (as opposed to renting it) dropped from 84 per cent in the 2016 census to 75 per cent in the 2021 census.
At the same time the number of owner households in ‘core housing need’ in Radium increased from 25 to 70 households (representing 15 per cent of all owner households) between 2016 and 2021. The total number of renter households in core housing need increased from 10 in 2016 to 25 in 2021 (comprising 16 per cent of all renters in 2021).
A household in ‘core housing need’ occupies housing that, by Canada Mortgage and Housing Corporation standards, is either inadequate, unaffordable or unsuitable, but which the household members continue to live in because they would need to spend 30 per cent or more of their before-tax income to afford the median rent for more appropriate housing. ‘Extreme core housing need’ defines households in a similar situation, but which must spend 50 per cent or more of their income on housing.
The 2024 housing report outlined there are 25 total households in Radium in extreme core housing need (five were renter households, and 20 were home-owning households).
While home ownership became less affordable between 2016 and 2021, employment trends shifted consider-
ably. The report notes that in 2016, ‘accommodation and food service’ (25 per cent), ‘manufacturing’ (nine per cent), and a two-way tie between ‘retail trade’ and ‘professional services’ (each six per cent) were the top three industries by employment in Radium. In 2021 those industries were still the top three, but had shifted in ordering, changing to: ‘manufacturing’ (17 per cent), ‘retail trade’ (13 per cent), and ‘accommodation and food service’ (12 per cent).
While the proportion of homes that are permanently occupied in Radium did go up between 2016 and 2021, from 40 per cent to 46 per cent, this is still less than half of all homes, making Radium one of few such communities in BC.
“This presents a unique challenge where Radium does not have a lack of housing, but a lack of available housing. It will be important for Radium to encourage housing that is intended for permanent residents in order to meet local housing need,” read the report.
The report outlined that 405 new units of housing will be needed over a 20-year period, noting that most of that total (343 units out of 405) will be needed to support projected population growth.
But “given that Radium has a large proportion of their current housing stock owned by non-permanent residents, the actual number of units planned through the OCP over a 20 year period could exceed 405 units,” read the report.
The report addresses short-term rentals (STRs), noting that the village had 146 active STR listings in summer 2019, 134 in summer 2020, and 186 in summer 2021 (just before the village introduced its STR bylaw). This past summer (2024), with the village’s STR regulations in place for nearly three years, there were 145 active STR listings.
“Almost all listings for 2024 (98 per cent) were for a rental that occupied the entire unit, rather than a shared or private room within a residence. It is unclear whether these units are impacting long-term rental availability,” read the report. “Radium’s context is unique in that it has many second residences or holiday homes, and owners may choose to take on short-term rentals while they are not using the residence; however, because they use it for recreational purposes part of the year, it is unlikely that the units would be available for longterm rental, even if they were not part of the short-term rental market.”
During Radium council’s Monday. Sept. 9 meeting, in discussion on the report, councillor Erin Palashniuk said “we have a lot of STRs. As a council we need to talk about this.”
Councillor Christi Ferguson-Huston asked if home swapping counts as an STR. “There’s technically no money changing hands,” she noted, but there is a benefit accrued to the homeowner, and swaps are usually short term in nature.
“It’s a weird space,’ said Ferguson-Huston, adding the village needs to anticipate how house swapping could affect the housing situation in Radium.

more
Having community engagement and feedback is critical to the success and effectiveness of the Accessibility Plan. To help gather input and learn more about their experiences, we have released an introductory survey. The survey will be open until 4:30pm on September 25, 2024. Residents can participate in the survey in a number of ways: Online: engage.rdek.bc.ca/accessibility
Requesting a hard copy: Through the RDEK Cranbrook or Columbia Valley offices, Village of Canal Flats, District of Invermere or City of Cranbrook municipal offices.
By phone: Contact Sandra Haley at 1-888-478-7335
The survey will be open until 4:30pm on September 25, 2024
The purpose of the East Kootenay Accessibility Plan is to identify, remove and prevent barriers to individuals in or interacting with the RDEK and member municipalities. Barriers may be present in the built environment, information and communications, or the delivery of programs or services that are within the RDEK’s and member municipalities’ jurisdiction.



contact Sandra Haley at accessibility@rdek.bc.ca

The Lake Windermere Lions Club was established in October 1951.
Over the past 10 years our club has donated over a million dollars to the community to worthwhile projects such as The Road to Rescue Fire truck, the Jaws of Life, the Lions Memorial Park, the Lions Den in the Columbia Valley Centre, Pothole Park. Also the Radium library, Radium park, the CV Rockies bus, Crossroads ball diamonds, Edgewater picnic tables, East Kootenay Foundation for Health Mammography machine and Maldetov Machine projects.
The LWDL also donated to minor hockey, junior curling, skating club, annual scholarships and citizen of the year award at DTSS, The Nordic club, Summit Trails, Kinsmen fireworks, Food bank, Christmas bureau, STARS, Angel Flights, Camp Winfield, Guide
dogs and the list goes on.
We are excited to announce that the Lake Windermere Lions Campground was opened May 15 2024. Phase 1 is completed with 32 serviced sites and 15 un-serviced sites. This is our legacy project that will help to fund future community needs.
Some of our annual fundraisers are, the golf day at Copper Point Golf Course, The Ball-fest, and the Smoke-show, as well as other smaller fundraisers.
All of these projects take thousands of volunteer hours and we are always looking for more people to join our club and help the community. To participate and enjoy the fellowship of an active social club that is dedicated to serving the community contact us at lwdlions@gmail.com.








The Columbia Valley Rockies are Invermere’s Junior A hockey club. The team is part of the Eddie Mountain Division of the Kootenay International Junior Hockey League (KIJHL). The team was founded in 1978 by Eddie Mountain, for whom our arena, and division has been named. Since our foundation the Columbia Valley Rockies have won the Keystone Cup twice, and the Cyclone Taylor Cup once. The Rockies have won the KIJHL Championship three times, and numerous division playoff titles.
Players play an active role here in Invermere. Coaches scout our players, not only for their skills, but also to become active members of our community. Players have taken part in Halloween trick or treating, pairing up with several children in the neighbourhood. They also volunteer at the local Legion 71, help out at the food bank, and host games for several organizations; e.g. the Hospice Society. For the past 24 years the Columbia Valley Rockies have hosted ‘Bull Riding in the Rockies’ one of our fundraising events. This past year was the best ever and next year, the 25th anniversary, will be the biggest one yet. The Rockies are constantly looking for volunteers,
as they are the foundation of our organization. At each home game we have over 20 positions to fill, from our mascot, to the arena announcer. We are also on the lookout for families to help billet players during the season. Please contact the Billet Coordinator Jess Freiheit at 250-688-1456 or email cvrockies.billet@gmail.com.
Fun fact; back in the days of Eddie Mountain, Marshall Davidson was coaching the team and his brother, hockey legend, John ‘D’ Davidson was playing for the New York Rangers. The team needed new jerseys and Eddie had Marshall solicit his brother to sponsor the team. John gladly agreed to buy the jerseys on the condition they were in the colours of the New York Rangers. Eddie kept his side of the bargain and ordered jerseys with New York colours. Well there must have been some confusion, as there are two teams in New York. The team jersey arrived, not in the colours of the New York Rangers, but in the colours representing the New York Islanders. Hence our blue, orange and white jersey colours. If you are interested in volunteering please email Tom Southon: cvrockies.volunteer@gmail.com

Lake Windermere Ambassadors Society: Protecting Our Lake, Serving Our Community.
Lake Windermere is more than a scenic body of water; it’s a vital resource for our environment, economy, and community. The Lake Windermere Ambassadors Society (LWA) is a notfor-profit organization dedicated to safeguarding the ecological integrity of Lake Windermere for future generations.
Our Work:
Our programs focus on aquatic monitoring and improving water quality, managing invasive species, and protecting sensitive shoreline habitats. By partnering with scientists, local governments, Indigenous communities, and citizens, we tackle environmental challenges and promote sustainable practices that protect the lake’s biodiversity and traditional values.
Our team advocates for policies that promote sustainable lake use and responsible boating, ones that prioritize drinking water protection and have a balanced focus on environmental values, ensuring decision-makers prioritize the lake’s health in their planning processes.
Education and Outreach is central to what we do. We offer free workshops, kids’ summer camps, and educational resources to engage the community in hands-on learning about freshwater
ecosystems and why we need to prioritize them. Our goal is to inspire future water stewards who understand the importance of preserving this vital resource because healthy waters make for healthy communities!
How You Can Help:
As a small charity organization, we rely on the generosity of the community. Contributions to our Endowment Fund continue to support our long-term initiatives, while Society membership provides regular updates on what we are up to and a voice in shaping the future of our organization. We rely on volunteers to participate in citizen science initiatives, such as our new annual freshwater mussel survey and water quality testing. These efforts help to gather important data while fostering community connection to the lake. You can make a difference by volunteering your time, whether it’s helping with shoreline cleanups, serving on a committee, or joining our Board of Directors.
Help us ensure that Lake Windermere remains a healthy and thriving resource for all. Visit www.lakeambassadors.ca or call (250) 341-6898 to donate, join, or volunteer. Every bit of support helps sustain the lake and the community that depends on it.



CVLCF Contribution
Since 2010, this fund has invested over $2.8 million into priority local conservation projects in the Columbia Valley.
CVLCF Impact
From 2010 to 2023, the Columbia Valley Local Conservation Fund approved 120 grants totaling over $2.8 million, including ecosystem restoration, invasive species control, lake management, water quality monitoring, and a pilot ecological services project. This local investment has leveraged nearly nine times that amount in additional grants and in-kind contributions.
About KCP
The purpose of KCP is to cooperatively conserve biological diversity and naturally functioning ecosystems of the region through land conservation and stewardship, while sharing knowledge and expertise, building financial support, and promoting collaboration.

Lake Windermere Ambassadors are a non-profit organization that focuses on water monitoring and community education about our watershed.





The first Canadian Local Conservation Fund, a local government service that creates a dedicated fund for conservation projects, started right here in our backyard of the Columbia Valley! Local Conservation Funds are a way for communities to address locally important and high priority conservation issues and are tangible investments in fish and wildlife, habitat, and stewardship of natural areas for future generations to enjoy.
Since 2010, the Columbia Valley Local Conservation Fund has invested over $2.8 million into priority conservation projects in the Columbia Valley. For every dollar acquired by tax, Local Conservation Funds leverage up to 9 times more in additional dollars and in-kind support, which in turn support Columbia Valley communities. The funds are spent locally, which creates added economic benefit through the purchase of materials and supplies, and generates work for a broad range of contractors and businesses.
Examples of projects that have been funded by this dedicated fund for conservation include wetland and creek restoration, incentives for local farmers to take extraordinary
stewardship measures on their land, invasive plant management, and restoration and enhancement of wildlife habitat.
The Columbia Valley Local Conservation Fund has been so successful that it has been used as a model for the West Kootenay, South Okanagan, and North Okanagan, and is currently being explored in other areas of the province and beyond.
Kootenay Conservation Program partners with the Regional District of East Kootenay (RDEK) to support this service which covers the rural areas and municipalities in the Columbia Valley. Applications are accepted annually from registered non-profit organizations, First Nations, or local governments, and other groups or organizations may partner with one of these qualifying groups. A Technical Review Committee then reviews project proposals and makes recommendations to the RDEK Directors for final funding approval.
Now is the time to apply for funding for 2025 projects! The application period closes on October 31. For more information, see https:// kootenayconservation.ca/columbia-valley/

What a growing season! Despite a cold spring, drought, aphids, heat blooms, and winds, our Community Greenhouse and Garden has touched and hopefully made healthier …
245 JA Laird Students who started their own garden
28 JA Laird Ambassadors who volunteered to teach other students their gardening skills
100 students from Canal Flats to Edgewater acted as midwives to 30,000 leaf cutter bees which enhanced pollination in all our gardens
4000 worms turned garbage into healthy soil
DTSS Chef’s program returned to the garden after a 5-year absence
150 adults attended gardening workshops and garden tours
1000 participants connected with community to enjoy the 10,000 twinkling lights of Garden of Lights
Each child and adult touched by Groundswell understands more about BEYOND ORGANIC and is
walking a little more gently on the earth. The benefits to both physical and mental health are immeasurable.
Groundswell Tip: Did you know that if you eat junk food all day, you can overcome the worst of its effect on your health, by chomping down on just one purple carrot?
Help us do more: www.groundswellnetwork.ca/donations or come celebrate with us at

Dec 13,14, 20, 21- Advanced Tickets on sale at The Brick.





British Columbia Invermere
Register Now for Fall and Winter

Special Olympics Invermere provides a variety of recreational activities for children and adults with intellectual disabilities.
Registrations are now being accepted for our Fall and Winter Programs including:
» Bowling » Alpine Skiing
» Cross Country Skiing
» Snowshoeing
» Club Fitness

Get Involved and Experience the joy of Working with our Athletes
Volunteers are needed for all programs well as positions on our local organizing committee. For further information or to register for programs email
Invermere@specialolympics.bc.ca or visit
Specialolympics.bc.ca
Providing Recreation and Sport for those with Intellectual Disabilities
Special Olympics Invermere is part of a global program providing year round recreation activities, sports, and opportunities for children and adults with intellectual disabilities.
The local program is one of 56 community Special Olympics programs operating throughout British Columbia with more than 5,200 Special Olympics athletes of all age and abilities training and have fun year-round across the province.
Local activities include alpine and cross-country skiing, golf, fitness, bowling, snowshoeing and bocce. An extremely well received children’s soccer program was initiated this past summer in conjunction with the local soccer association.
Primarily a recreational sport approach, programs also provides opportunities for interested athletes to compete with peers at the regional, provincial and national level with local athletes having participated at provincial and national games. The benefits from Special Olympics programs go well beyond the basics. Participants experience joy and acceptance, cultivate friendships and self-confidence, and feel empowered to overcome obstacles and achieve their goals.
In addition to supporting healthy active lifestyles, research has shown that participation in Special Olympic programming fosters and supports independent living and enhancement of self-esteem and social integration.
Invermere Special Olympics is managed by a local committee with all programs, coaching and events provided by volunteers. The number of participants and athletes varies from 10 -15 at any
given time. The program works closely with local services including Mt. Nelson House and Mountain Hub. Focused on those with intellectual disabilities, the program strives to include anyone who can benefit from our activities.
“Let me win. But if I cannot win, let me be brave in the attempt”.
-Oath Special Olympics Athletes
Invermere Special Olympics is supported through various fundraising activities along with individual financial and in-kind donations and grants from the District of Invermere, Columbia Valley Foundations, and the Invermere Healthcare Auxiliary. The program also receives tremendous support from the community including Valley Fitness Centre, Copperpoint Golf Course, Panorama Resort, Valley Alley and many local businesses. Tim Hortons and Sobeys are among a number of national sponsors of Special Olympics programs.
The program is currently recruiting volunteers for our fall and winter programs and activities including bocce, bowling, fitness, alpine and cross country skiing, and snowshoeing as well as an early start program for younger participants.
For further information about local programs or to register contact:
Invermere@specialolympics.bc.ca or visit
Specialolympics.bc.ca


Welcome to the Valley Fitness Centre! Our goal is to offer engaging and inspiring fitness and wellness opportunities for all people in our community. My name is Teresa Rogal, I am the Executive Director here and have been a part of the Valley Fitness Centre for the past 22 years.
At present we offer 7400 square feet of amazing space boasting a beautiful class studio, spin studio, cardio area and fully equipped weight room. We offer 4 seasonal class schedules, with 38 classes for you to choose from. Our fully qualified instructors will challenge you to do your best each class, meanwhile you have so much fun you forgot you were working so hard! Every program delivered in our facility, improves every single thing you do in your life outside of these walls! We invite you to take advantage of our Fall Special $600.00 for the year, running until September 30th.
We currently offer full time personal training services by Steve Woollard and part time by Chris Matheson, both men excellent in their field. VFC has a mandatory, subsidized, Weight Room 101 for those under 16 to ensure safe and proper use of the

equipment. This is also an optional service for those new to the weight room or those who need a refresher.
We are fortunate to house the full time service of Registered Massage Therapist Matt Robertson. Matt will ensure you are taken care of in muscle recovery and the many benefits massage offers for your body and mind.
The Valley Fitness Centre is in its entirety the true meaning of community. At any time you pop in you will see all age groups, all genders, doing their very best to better their health and wellbeing. VCF is not a place for the elite. We are a welcoming atmosphere where you can be any size, any age (14 + - 90+ is what we have now) wear what you want and be free to be you. I have witnessed many times in the 22 years I have been a member, the caring encouraging comments between members, and the unwavering support of staff!! We currently sit at 950 members, from all walks of life.
The Valley Fitness Centre is overseen by an advisory board of volunteers (amazing volunteers I must add). They entrust the running of the

centre to the Executive Director (that’s me) - I take my job very seriously, I love it and will go above and beyond to ensure its success. I have a few fabulous adults as part of my team but employ 15-20 teenagers yearly; who grow, gain confidence, learn work ethic, gain a sense of pride in their part of the community. I am fiercely proud of each of them, they volunteer alongside me at all of our fundraising events in the community without a second thought. From picking bottles and Bull Busting cleanup to the finest service at our Alone Fundraiser this past year.
We are not simply a fitness centre. We have many in our community that need help. We donated over
$17,000.00 in membership this past year to those that need help with addiction recovery, struggling through a major health crisis, mental health issues such as anxiety or depression. Did you know that exercise can bring up the mood of a depressed person by 70% without medication?
We donated to those who suffered the loss of a loved one, those going through financial hardship and to those who simply need a place to belong. Over $17,000.00 and remember we are not a charity , but a non profit. We have no obligation to donate, but we care wholeheartedly about our community. We truly wish the benefit of health and wellness to all.

• Those who can and will donate to our non profit without expectation of a tax receipt.
• Those who believe in health and fitness as a way of life to enhance all that you do in our beautiful valley and beyond.
• Those who support the ways in which we give back to our community.
• Those who believe in the importance of the facility, its amazing instructors, trainers, RMT and staff.
It is our 36th year as a non profit fitness centre. We are celebrating with an in house expansion that will add 2000 square feet to the existing facility. This will expand our spin room, weight room, cardio area, stretching area, equipment room, add a wide staircase, a safe fire exit from the top floor and a chair lift for the mobility challenged. This expansion will cost over $450,000.
Are you a Champion? Do you know someone who would love to become a Champion?
You can remain anonymous or join our Wall of Champions!!
Wall of Champions
$100.00- $999.00 Copper
$1000.00- $4999.00 Bronze
$5000.00- $19,999.00 Silver
$20,000.00- $49,000.00 Gold
$50,000.00 + Platinum

The Invermere Health Care Auxiliary Society has a rich history rooted in community service and compassion. Established in the early 1900s, this informal group of dedicated women came together to address local healthcare needs. Their pioneering efforts included fundraising activities such as selling donated items, organizing teas, and hosting dinners. These initiatives not only provided crucial support for healthcare services but also fostered a spirit of community and cooperation that has likely continued to this day. Over the years, their work would have evolved with the changing needs of the community, but the core mission of supporting local healthcare through volunteerism and fundraising remains a testament to their enduring commitment.
By the 1960s, the Invermere Health Care Auxiliary Society had expanded its fundraising efforts to include a vari-
ety of new activities. In addition to traditional methods like teas and dinners, they started making and selling quilts, sewing baby clothing, and selling hot chocolate by the lake on cold days. They also inaugurated The Thrift Store Fashion Show, which became a popular event.
However, managing and storing donated items became increasingly cumbersome as the Auxiliary’s operations grew. Items were often kept in the members’ homes, which not only added to the workload but also complicated the fundraising process. Recognizing the need for a dedicated space, the Auxiliary ladies envisioned a centralized location where donated goods could be stored and sold, providing valley residents with a convenient place to find affordable items.
In 1976, the search for a rental space began, and by 1977, the Auxiliary opened the first Invermere Thrift Store
in the lower level of the Lambert Kipp building. This marked a significant milestone, giving the Auxiliary a designated space to organize and sell items. The store’s success prompted a move in 2001 to a new location in the lower level of the Leo Kienitz building. This new venue was advantageous due to its dual entrances, which facilitated easier donations from the community.
Despite the improvements, space constraints persisted. Sorting of donations often took place on the rear ramp, exposing volunteers to harsh weather conditions during winter. Additionally, there was no designated space for staff to rest during busy shifts. Faced with these ongoing challenges, the Auxiliary executives once again began the search for a more suitable location to enhance their operations and better support their mission.
On August 15, 2014, the Invermere Health Care Auxiliary Society made a significant advancement in their operations by purchasing the lower level of the building at 1229 7th Ave. This new location marked a major milestone for the Invermere Thrift Store, providing it with a much-needed expansion in both space and functionality.
The new facility featured a ramp for easy donation drop-offs and ample space for sorting items inside, addressing the previous challenges of outdoor sorting.
waves, and computers, as well as large furniture.
Donations can be brought to the shelves located at the back of the Thrift Store, which are easily accessible next to a large parking lot. They accept donations on Wednesdays and Thursdays from 9 AM to 5 PM. To help them manage their limited volunteer resources and storage space effectively, they kindly ask that you do not leave donations outside the store outside these hours.
All donated items are subject to quality control standards and are priced as affordably as possible. Additionally, they welcome cash donations and provide donation receipts upon request. Your support helps them continue their mission and makes a significant difference in our community.
Since July 2015, they have actively engaged in recycling various items such as clothing, shoes, belts, purses, and linens. Over the past nine years, this initiative has led to the successful dispatch of 21 tractor-trailer loads, generating an average income of $3,120.00 per load, totalling $65,500.00. This recycling effort has been a significant improvement over the previous practice of paying $600.00 per month in garbage fees to dispose of these items in landfills.
OPENING HOURS
Thursday 10am-4pm
Friday 10am-4pm
Saturday 10am-4pm
Wednesdays & Thursdays 9 AM - 5 PM

After extensive renovations, the Invermere Thrift Store celebrated its grand opening on November 13, 2014. The new location offered several key advantages, including improved accessibility for those with mobility challenges, thanks to its main street access.
Further renovations in the spring of 2019 enhanced the space even more, resulting in a bright, welcoming environment for shoppers. The store now offers a large selection of high-quality, gently-used items, including clothing, housewares, artwork, books, jewelry, bags, purses, toys, and linens. This new, spacious setting ensures a pleasant shopping experience and continues to support the Auxiliary’s mission to provide valuable healthcare funding and community support.
The Thrift Store relies on the generosity of the community to thrive, and they appreciate every contribution. They accept a wide range of new and gently used items, including clean and good quality clothes, linens, books, toys, housewares, jewelry, cameras, backpacks, and strollers. However, they are unable to accept large electronic items like TVs, stoves, refrigerators, micro-
In addition to their textile-recycling program, they also manage the recycling of electronics through their partnership with Zen Technologies, ensuring that these items are handled responsibly. Their recycling efforts not only support environmental sustainability but also contribute valuable funds to their cause.
They are proud to offer scholarships to graduates of David Thompson Secondary School who are pursuing post-secondary education in health-related fields, having paid out $160,500 in scholarships.
Over the past 21 years, the society has paid out over $3,500,000 to fund equipment, enhance patient comfort, and support health-related initiatives in the Columbia Valley and extending to Golden and Cranbrook within their Interior Health region.
None of this would be possible without the quality of donated items and incredible support of the community. They appreciate every volunteer hour that the 165 active women and men members contribute and most of all, the loyal customers that shop faithfully every week in person or through their online Facebook page.





Pickleball Thriving in the Valley
If you’ve noticed such words as “pball” or “dinking” or “erne” being volleyed back and forth by Invermere residents recently, don’t panic. They’re only enthusiasts of the fastest growing sport in North America – pickleball. With no signs of slowing down, pickleball is being played by an estimated 1.7 million people across Canada. Invermere is no exception to this ever-growing tide of “picklers.”
People often ask “what’s the best thing about pickleball?” Hands down it’s the friendships. The Invermere Pickleball Club (IPBC) currently boasts 185 members ranging from 10 to 81-yearsold and they all have a blast playing together. The average age of players in Invermere is 63, but it drops each year as more and more young players embrace the sport.
Pickleball has been found to decrease levels of depression, improve cardiovascular health, promote better handeye coordination and provide opportunity for socialization. Socialization is a key focus for the Invermere club. Plus it’s easy to learn and downright fun! A number of free “learn to play” ses-
sions were offered to the community this year. All were well attended and the club looks forward to meeting more of you when our outdoor season gets up and running again in the spring.
Most mornings from the time the snow melts and then returns, players take to the public courts at Mount Nelson Athletic Park. It’s a beautiful setting that has seen over 1,200 total players this season, including visitors from almost every Canadian province, several U.S. states, Australia, and Europe. Every visitor remarks on how lucky we are to have such an active club and fantastic location to play. It’s interesting to learn from our visitors how pickleball is exploding in their communities as well. What a beautiful sport where visitors can jump right in with the locals and everyone has a fantastic time. Before this season wraps up, the club is excited to offer one more program to the community. Our Junior Pickleball program will kick off Wednesday, September 18 and run for seven weeks. The sessions will start at 3:30 p.m. for our 10 to 13-year-old participants and 4:00 p.m. for those 14 to 17-years-old. Paddles, nets and balls will be provid-
ed. For more information please email invermerepbjuniors@gmail.com. Students wanting to join after the first session are welcome.
A highlight for the Invermere Pickleball Club this season was hosting a tournament and online auction to raise funds for the Pacific Assistance Dogs (PADS). We are so grateful to all in the community who came out to play in the tournament, donated and bid on auction items. The club raised $5,700 for this great organization. Thanks to the great community support the IPBC raised the second most amount of money for PADS for all pickleball clubs in the province. PADS works across the province nurturing, training and providing service dogs to those in need.
The biggest challenge facing the sport of pickleball in Invermere is the lack of permanent outdoor facilities. The IPBC continues to work with the district towards a solution, but is certainly open to all possibilities and welcomes any suggestions.
With the growing demand of players, evidenced by the numbers of players showing up to play each day and the response to the Learn to Play sessions
this past season in Invermere, it’s clear the IPBC could offer these sessions along with other clinics and tournaments regularly. These activities bring people into the Columbia Valley and help sustain our local businesses. As a non-profit society, the IPBC is not in a position to buy land, but is certainly willing to work hand in hand with local governments towards fundraising, accessing grants, etc. to build facilities once a location has been identified.
The past couple of years the IPBC has partnered with the Invermere Curling Club and rented their facility in the curling off season. We are grateful to the club for this opportunity and look forward to a continued partnership. We’re especially grateful on days where the weather isn’t cooperating!
If you have any questions about pickleball in the Invermere area, would like to get on the list for a learn to play session in the spring or have any thoughts on opportunities for appropriate land for pickleball facilities, please reach out to IPBC President, Lisa McIntosh, at president@ipbclub.ca.



Unlock Your Community’s Potential: Volunteer for CVArts!
Looking for a way to make a real difference in our community? Volunteering with CVArts is more than supporting the arts—it’s shaping the heart and soul of where we live. By giving your time, you enrich the lives of those around you and provide opportunities for young and emerging artists through programs like Art from the Heart.
Together we create ripples of positive change, preserving and evolving our community’s unique identity. Towns and neighbourhoods between Canal Flats and Spillimacheen are filled with stories that define our heritage, connecting us to those who came before and fostering a shared sense of place. Volunteers help shape new chapters in our community’s history, ensuring our vibrant heritage continues to inspire future generations.
There are so many ways to get involved! Whether it’s supporting festivals, exhibitions, or special events, there’s something for every interest and skill set. Plus, a thriving arts scene is an economic force in the valley. By volunteering at events like concerts and art fairs, you’re not just having fun—you’re helping to attract
visitors, support local artists, and boost small businesses.
No time to volunteer but still want to support CVArts? Please consider donating or purchasing a membership – which will get you our newsletter - and attending our events. This can be done through our website: ColumbiaValleyArts.com. Follow us on Facebook & Instagram as ColumbiaValleyArts.
Arts and culture speak a universal language where people from all walks of life can connect, share experiences, and find common ground. We believe in building bridges and breaking barriers, fostering unity in today’s world where caring for each other is more important than ever.
Volunteering for CVArts is more than a hobby – it’s a powerful way to invest in your community’s future. All skill sets are welcome but we currently have a dire need for people knowledgeable in non-profits or bookkeeping to fill the Chair and Treasurer roles. We are also looking for an energetic, organized person to fill our paid part-time Gallery Coordinator role. Visit our website to learn more:
www.columbiavalleyarts.com/ about-us#career
Submitted by RDEK
A new ‘Recovery Manager’ has been established in the Columbia Valley for the next few weeks to provide support and assistance to residents who are continuing through the recovery process following the August 23 wind event in the Columbia Valley.
“While we have not yet heard from the province whether the event will be deemed eligible for disaster financial assistance, we have been working to find other options to provide support to residents who are continuing to move through the recovery process following the windstorm,” said Regional Information Officer Loree Duczek.
“The Rapid Response Team from Christian Aid Ministries did an incredible job of helping manage a great deal of debris during their time here, and we are excited to have a new Recovery Manager position in place to continue to assist residents,” she stated Trevor Kier has now arrived in the valley and is ready to engage with the community. “Trevor is an experienced Recovery Manager and will be a tremendous resource for people navigating through any remaining recovery challenges. From questions about danger trees to debris management or connecting with other resources, he will be an excellent point of contact for them,” added Duczek.
Kier can be reached by email at ekeoc.recovery@ rdek.bc.ca or by phone at 250-417-9732. He will be in the valley until at least September 30.

By Steve Hubrecht steve@columbiavalleypioneer.com
Classic car lovers rev your engines: the Columbia Valley Classic Show and Shine is back.
The vintage car show is one of the biggest events not only in the Village of Radium Hot Springs but in the entire Columbia Valley. Most years it attracts around 1,000 classic car owners — 800 registered participants, as well as a couple hundred more classic car owners who don’t bother to register but visit the valley anyway to join in the festive atmosphere.
“We’re hoping we get a great show, like we usually do,” said Columbia Valley Classic Car Club member Pete Jensen.
The main car show will be at the driving range on the Springs Golf Course in Radium from 10 a.m. to 4 p.m. on Saturday, Sept. 21. The sheer array of vintage vehicles on display is amazing, and are well worth checking out even if you’re not a classic car enthusiast. And if you are a classic car buff, well, you don’t need the Pioneer to tell you that the Show and Shine is an event not to be missed.
This year is the 34th edition of the annual event.
But there’s a lot more to the weekend than just the main event. The Columbia Valley Classic Poker Run will be held the day before on Friday, Sept. 20, and will have classic car drivers zooming up and down the valley between Edgewater and Fairmont Hot Springs. The Poker Run will involve seven stops; at each stop participants will get one playing card. They then use their best five cards as their poker hand. The best will win prizes.
From 4 p.m. to 8 p.m. on September 20, Radium will have its weekly Market on Main farmers’ market, with live entertainment and local vendors.
The Radium fire department will be running a pancake breakfast at Radium Hot Springs Centre on September 21 from 7 to 10 a.m. before the car show starts.
After the Show and Shine finishes many of the classic car owners will do an unofficial cruise down to Invermere to drive through the town and pass by the seniors living facilities there, including Ivy House and Columbia Garden Village.
“It’s something some (of the classic car owners) have done for the past few years. They (the seniors homes) asked us if we could do it, and we’re happy to. A lot of the seniors like to watch the cars come by. It might be a nostalgia thing,” said Jensen. “Probably a lot of them used to have cars like the ones we are driving.”
New this year, the Classic Car Club is making a calendar in conjunction with the Show and Shine. It will feature classic cars parked in front of Radium businesses.
On the Saturday evening, there will be a free Rockin’ in the Park concert at Radium’s Legends Field from 6 to 8 p.m. featuring Tryg Strand and the band.
Registration for the Show and Shine is from 7 to 9 p.m. on Friday, Sept. 20 at Radium Hot Springs Centre.
“All the hotels are full, from what I hear. That’s a good sign,” said Jensen. “Everyone in the village benefits from the show. The accommodators, the gas stations, the restaurants, the grocery store. It’s good for Radium.”
For more information about the event visit columbiavalleyclassics.ca.




the
Pursuant to Community Charter section 227, notice is hereby given that the District of Invermere Council will consider “District of Invermere Permissive Tax Exemption Bylaw No. 1664, 2024” at their regular meeting on Tuesday, October 8, 2024 at 7:00 p.m. in Council Chambers, Municipal Office, 914 8th Ave, Invermere, BC. Bylaw No. 1664 proposes property tax exemptions for a term of one (1) to ten (10) years for the properties shown below. The estimated value of municipal permissive property tax exemptions are shown for the years 2025, 2026, and 2027. The tax exemptions shown are proposed in accordance with Section 224 of the Community Charter for properties that are owned or held by a charitable, philanthropic, or other not-for-profit corporation, and that Council considers are used for a purpose that is directly related to the purposes of the municipality.
For more information, please contact Karen Cote, Director of Finance at 250-342-9281 or finance@invermere.net







The Salmon Festival at James Chabot Provincial Park on September 14 was steeped in culture and tradition. Indigenous groups joined forces to honour the salmon and call them back to their territory.




























Al-Anon. Are you concerned about or affected by someone else’s drinking? For more information or to speak with someone from our fellowship, please call 250-878-2448 or 250-342-8392
Alcoholics Anonymous. If alcohol is causing problems or conflict in your life, AA can help. All meetings are at 7 pm. Columbia United AA, Invermere: Saturday, Sunday, Tuesday and Wednesday at the BC Service Building, South End-624 4th St. Invermere. Please call 250-3422424 for more information or to speak with someone from our fellowship.
Narcotics Anonymous. Open meeting.
Mondays 7 pm at the BC Service Building, South End. 624-4th St. Invermere

Service will be at the Great Hall at Panorama, BC Saturday, October 19 at 4 pm

THE HEARTFELT COMPANION Services for Seniors. Since 2014 we’ve provided kind and compassionate non-medical care, transportation to Cranbrook, overnight care, meal prep, grocery shopping and more. Excellent local references. 250-341-5683 Heartfeltcompanionservices. com
Get-ER-Done Handyman
Landscaping, Asphalt Pads, General Contracting, Cleaning Gutters, House Checks, Pressure Washing. Call Ryan 604-346-5087
B. B.’s Home and Design Services
Renovations, Masonry & Handyman Services, Blinds, House checks, eavestrough/ yard cleaning/dump runs. 250-688-2897
Furnished Condo for rent at the Peaks in Radium. Longterm or short term are welcomed. The unit features U/G parking, AC, Swimming pool in-unit storage & laundry. All utilities are included: $1660
Phone 403-470-7758
is accepting resumes.
We are looking for a great individual to join our team as a
The successful applicant will:
• Assist store management and work as a team Perform all duties within the store, receiving, cash and customer service
• Work quickly and efficiently with attention to detail
• Take pride in great customer service - knowledge of Cannabis products an asset Training and education available
Must obtain Selling it Right Certification as required to work with cannabis. (Costs reimbursed). Must be 19 years+ to apply.
If you are interested in working in a fun and productive work environment with competitive wages, submit resume to: Bob Benvenuti - bbcanna420@gmail.com or hand deliver to: Invermere Cannabis Store (in front of Canadian Tire) Attn: Bob Benvenuti
Cheers to Rhonda Whiting for your honesty and turning in a lost phone to The Pioneer office. The owner was notified and has the phone back in his possession.
Cheers to Christian Aid Ministries for your help cleaning up my yard after the big storm that tore through the Columbia Valley. I am grateful!
Cheers to Christine at the Legion for the great friendly service Cheers to OK Tire and Auto Service for their friendly and great service.
Cheers to the Shuswap Band and Ktunaxa Nation for working together to put on the Salmon Festival to celebrate such an important species to our community - both historically, and for our future. Your work at bringing the community together in such an open, welcoming way does not go unnoticed.
Cheers to the two young ladies and the ambulance crew who assisted me on the afternoon of Thursday Sept 5 when I fell by BMO.
Great Cheers to MacNeil Landscaping and team for helping clean up after the big storm.
Toby Benches Acreage/ House $1,285,000
Toby Benches acreage for sale. 5 bed/3 bath house with 16 acres on private pond. 7 minutes to town. Good well with 12GPM. 250-341-1339.




WANTED
Local retired lady looking for small space to rent. Have my own furniture & appliances. Live here May-Sept. Offer pet care, watering plants & garden. Willing to help renovate or repair space. Looking for long term. Experienced.
327-111-8070 email: thackraymaria124@gmail.com





Tel: (250) 342-9281 Fax: (250) 342-2934 Invermere
DISTRICT OF INVERMERE 914 – 8th Avenue, PO Box 339 Invermere, BC V0A 1K0
The District of Invermere is a vibrant, growing community with over 3900 permanent residents, and a visiting population of 20,000+ in peak vacation times. Invermere is nestled on the shores of Lake Windermere in BC’s Columbia Valley. Within minutes of downtown are numerous golf courses, beautiful waterfront areas, spectacular hiking, skiing, and other recreational opportunities. If you enjoy the outdoors and wish to live in a community that offers an incredible quality of life, then Invermere is calling you to be its next Chief Administrative Officer.
What You’ll Bring: Inspiration + Collaboration
The CAO will report directly to Mayor and Council and will manage the day-to-day activities of the District in accordance with the Community Charter and related legislation. In this role, you will provide timely advice and guidance to Council and under their direction ensure that all programs and services are carried out effectively. You will liaise with stakeholders, other municipalities and levels of government on key projects affecting the District and ensure that all major policies and initiatives are communicated to the broader community. With your lived experience in either the public or private sector, you will guide and support the District as you:
• Lead with integrity: you are an authentic, self-aware, trusted and trusting individual who creates and fosters strong relationships.
• Actively develop others: you coach, mentor, inspire and motivate individuals while developing and effectively delegating to distinct teams.
• Deliver service excellence: you provide a servant leadership style that focusses on a community- and people- first philosophy. You have experience in breaking down barriers, taking responsible risks, leading change, and managing resources. Communicate exceptionally: you seek first to understand and then guide others with outstanding written and verbal communication skills.
• Drive strategic orientation: you are politically astute and visionary. You promote and assist others to connect with strategic priorities and vision using “big picture” and innovative thinking.
• Build organizational community: you are a collaborator, an ambassador for organizational culture, a supporter for connecting teams and a cultivator of organizational alignment.
Exemplify accountability: you inspire agreement, take initiative, hold others accountable, and turn thoughtful ideas into action.
The District’s ideal candidate will be someone who has as much passion about the community they live in, as they do about the organization itself. Municipal Government or Public Sector experience is important; however, more critical is outstanding leadership experience. In your background, you will possess:
A university degree in land use planning, engineering, public administration, or in a related discipline relevant to public sector leadership.
• Minimum 10 years progressive experience in a senior leadership role in the public or private sector. Leadership experience in Municipal Government is considered an asset. Strong understanding of strategic planning, business plans and budgeting. Knowledge and experience in matters concerning relevant provincial and federal legislation.
The role offers an annual wage range of $140,000 - $160,000. A Supplementary Information Package can be obtained by request from the Consultant, which includes a complete job description and full details of the compensation and benefits. To apply, send your resume and cover letter to Tall Cedars Search & Recruitment:
Flo Follero-Pugh, Tall Cedars Search & Recruitment
flo@tallcedars.ca www.tallcedars.ca



By Brent Woodard Windermere Valley Shared Ministry
Should religious people care about politics? I could argue “no” and “yes.” I could argue that there is something more important than politics.
First, people need to awaken or have a higher level of consciousness, then they will live together in community in a healthier way. Unenlightened people lead to unenlightened politics. Enlightened people lead to enlightened politics. It could be said that religion and spirituality’s first task is to help people evolve to a higher level of consciousness. Still, it’s probably not either/or, it’s probably both/and. That is, healthy religion and spirituality address both the issue of awakening and the issue of how we live together in community – which is politics. I believe in the separation of church and state. This is needed because church leaders and people can be just as unenlightened as non-church people and can therefore potentially infect power with their ignorance under the guise of righteousness. So, keep the lanes separate. Yet, do the lanes ever merge? Or, how can they merge in a healthy way?


ty at a crucial time?
If Jesus had not threatened the people in power in his time he might have died in old age. Yet, he was accused of “turning the world upside down.” He called for a different world where the lowly are lifted up and the mighty are brought down, where rulers are not tyrants but servants. If he was just trying to help people be comfortable in their oppression, those who oppressed and exploited would have been happy to let him do his thing. Yet, the people in power took notice and crucified him – an act reserved only for those who threatened the state.
Marcus Borg, a biblical theologian, wrote in the 1980’s, the most visible American Christian involvement in politics came from “the Christian Right.” Yet their political issues were not about war and peace or civil rights, but primarily about personal behaviour and beliefs. Most were about sexuality and gender: abortion, gay marriage, pornography, the role of women, (and how Christianity is taught in schools). These are not the political issues of the Bible. In the Bible, the political issues – which are also religious – are about economic justice and fairness, peace and nonviolence. The Bible is in constant critique of “domination systems” – hierarchical systems which are politically oppressive and economically exploitive.
Notice is hereby given under Section 94 of the Community Charter, that the Council of the Village of Radium Hot Springs is considering amendments to its Zoning Bylaw No. 480, 2022. The proposed bylaw, No. 510, 2024, will affect the following property, as shown on the map, and described as:
Civic address of property: 900 Bighorn Boulevard
Legal Address of property: Lot A, District Lot 3947, Kootenay District Plan EPP75546 PID: 030-317-240
BYLAW NO. 510, 2024 ZONING AMENDMENT
This bylaw will amend the Residential Tourist Accommodation (RTA-1) zone by adding, under Permitted Use, “Single Family Dwelling” and will amend Maximum Density by removing “Two-unit Dwelling – 1 per parcel” and “Townhouse and apartment – 1.5 FAR”.
The purpose of these amendments is to permit the construction of 19 dwelling units over 3 phases of development. The proposed development will consist of single family and multi-family units.
A PUBLIC HEARING on the proposed Zoning Amendment Bylaw No. 510, 2024 will be held:
September 23, 2024 at 3:30pm Council Chambers, Village Office 4836 Radium Blvd., Radium Hot Springs, BC V0A 1M0 And Virtually via Zoom Join Zoom Meeting - https://zoom.us/ Meeting ID: 882 123 4110
Passcode: Radium
The church in Germany during the rise of Hitler decided to keep out of politics. That suited Hitler, and no doubt church people were relieved as well. But didn’t the church abandon an important responsibili-
I would hope that the best of religion, the best of spirituality, could influence both why we do politics and how we do politics. It would contribute to more enlightened people working for a more just and compassionate world.

This week’s column was written by Friends of the Radium Library Donna Tunney and temporary library director Danielle Conolly.
Get ready for Radium’s ‘Big Book Sale’
If you took in Radium’s Music on Main event this summer, you probably noticed our Pop-up Book Sales stand, where we raised more than $500. The Friends of Radium Library would like to extend our heartfelt thanks to our generous community, and to Radium Brewing for all their support.
Our next big event is our 4th annual Big Book Sale, which takes place on Saturday, Nov. 23. We already have an impressive supply of discounted books in dozens of genres — history, romance, mystery, self help, cookbooks, children’s titles, and classics. But we can always use more stock. If you have gently used books you’d like to donate, please contact us at friendsoftheradiumlibrary@gmail.com, @Friends of Radium Library on Facebook, or call 250-347-2434. No CDs or DVDs, please.
Circle November 23 on your calendar and join us
for a shopping extravaganza featuring treats, crafts, and of course, lots of books.
If you’re looking for great reads in the meantime, visit our beautiful library at the Radium Community Hall at 4863 Stanley Street. Sign up for a library card and browse our shelves. Or check out our Little Blue Libraries located at Sable Ridge and Radium Brewing.
Welcome to autumn programming at the library. For children, Little Lambs, ‘Songs and Stories with Your Babies’ resumed on September 12 and runs Thursdays at 11:30 a.m.
Storytime continues Wednesdays at 11:30 a.m. STEAM activities will begin on Saturday, Sept. 21, with a different activity on the third Saturday of each month.
New ‘Grab & Go’ teen crafting kits are available each month to take home or make in the library. Teens aged 13-19 are invited to stop by the shelf across from the circulation desk and pick up their kit.
For all ages, the ‘Wild Woolies’ drop in fibre crafts program resumes on the second and fourth Thursday of each month.
‘Wholesome Hobbies’ craft group restarts on the third Friday of each month, aimed at ages 50-plus with supplies provided.
For all adults, the new ‘Community Book Club’ will meet on September 28 to discuss the book Manhattan Beach by Jennifer Egan, and vote on October’s book.
Please consider donating to our community food bank drive, which runs until October 4.
All persons who believe that their interest in property is affected by the proposed bylaw may submit written presentations to the Village of Radium Hot Springs, PO Box 340, Radium Hot Springs, BC, V0A 1M0 or Fax: 250-347-9068 or email: cao@radiumhotsprings.ca prior to the date and time of the hearing. Persons may also present written and/or verbal submissions at the public hearing. Submissions will not be received after the public hearing has been adjourned.
The full bylaw may be inspected on the Village Website: www.radiumhotsprings.ca
Affected property highlighted in yellow
