Linkages: Global Supply Chain Management at Clarkson University - Spring 2024

Page 1

Linkages

Global Supply Chain Management

Managing Supply Chains in a Post-Pandemic World

Prior to 2020, global supply chains were humming along rather smoothly. However, the COVID-19 pandemic and recent geopolitical conflicts exposed vulnerabilities in many supply chains, resulting in widespread and lingering shortages and frequent price hikes, raising serious doubts about globalization. Firms worldwide are currently under greater political and competitive pressures to increase their domestic production and reduce their dependence on sources that are perceived as risky. As the world economy continues to stabilize and recover, it’s time to consider alternative supply chain strategies best suited to the realities of the new era.

The primary challenge for firms is to make their supply chains more resilient without incurring exuberant costs and weakening their competitiveness. To meet that challenge, managers should first understand their supply chain vulnerabilities and consider strategies that identify hidden risks by mapping the full supply chain for critical products. That information can then be used to either diversify the supply base or stockpile key materials or items, preferably as upstream in the supply chain as possible.

Furthermore, transplanting a production line or setting up a new one may result in significant process improvements. Finally, in many industries, new technologies would allow firms to replace large plants serving global markets with a network of smaller, geographically distributed plants to enhance supply chain resiliency.

Our interdisciplinary supply chain management program covers the essential topics to educate today’s professionals to successfully navigate future challenges. In this issue of Linkages, you will read about our program, our alumni and faculty’s latest achievements and research, including: new research projects in drone-assisted truck delivery in urban areas, carbon footprint reduction in supply chains, and supply chain network design for hyperlocal grocery delivery (p. 2); how alumna Kaley (Johnson) Russell ’13 creates an efficient gas turbine supply chain for GE Verona (p. 3); how Patrick Becker ’07, MBA’09 has built a successful career in logistics in the defense industry (p. 6); Professor Bebonchu Atems’ investigation into the impacts of shocks to global supply chains on U.S. entrepreneurship (p. 7); and why Clarkson students’ experience with SAP, Salesforce and other IS systems help them stand out in a competitive job market.

We hope you enjoy this issue and welcome your feedback (fmahmoodi@clarkson.edu).

— Professor Farzad Mahmoodi

Joel Goldschein ’57 Endowed Chair in Supply Chain Management & Director of Clarkson’s GSCM Program

Supply Chain Management Programs in the Nation for 18 years. U.S. News & World Report TOP 25

Vol. 16, Issue 1 Spring 2024
Prof. Farzad Mahmoodi

Funding Program Supports GSCM Research

Through the Global Supply Chain Management Research Grant program, Clarkson faculty members receive internal funding in support of supply chain management research.

Drone-Assisted Truck Delivery in Urban Areas

Drone delivery is on the rise, and the technology is advancing even as obstacles to broad adoption need to be addressed. Still, it has significant advantages over truck-only delivery, particularly in densely populated areas.

Associate Professor Dennis Yu is working with colleagues in China to develop new models and algorithms to solve truck-drone routing optimization problems within the context of low-carbon logistics and data-driven optimization.

To make a case for drone-assisted truck delivery in urban areas, the researchers use data collected from Chongqing, a city in southwestern China, to gain insight into truck transportation costs and carbon emissions.

“Our model factors in time of day, including peak hours, and road conditions, which previous models have not done,” says Professor Yu. “It also outperforms previous models with improved solution quality.”

The researchers have submitted a paper to Transportation Research Part E and are working on additional papers based on their ongoing research.

Supply Chain Network Design for Hyperlocal Instant Grocery Delivery

Professor Santosh Mahapatra and Assistant Professor Ajinkya Tanksale are using operations research methods and mathematical modeling to address supply chain optimization in Q-commerce.

“Online retailers promise to deliver groceries in as little as 10 minutes from the time the order is received,” says Professor Mahapatra. “The companies are constrained by pricing and under pressure to deliver on time and have the inventory, including perishables, in stock. The challenge is how to organize the operations so consumers can buy quickly, and the company can still turn a profit.”

The researchers are using data related to real orders, each consisting of, on average, three or four items from a set of 100 products for delivery within a prescribed geographic area, to understand how to strategically schedule purchases and manpower, locate warehouses, deploy vehicles and configure space to optimize storage and delivery while adjusting for daily and seasonal order fluctuations.

“This work presents a unique holistic approach to the hyper-local retail delivery problem by considering all strategic, tactical and operational decisions in a single integrated modelling framework,” says Professor Tanksale.

A Critical Assessment of Factors Contributing to Carbon Footprint Reduction in Supply Chains

Professor Mahapatra is also looking at how companies are demonstrating sustainability performance by addressing their carbon footprint, how this affects their reputation and financial performance, and the extent to which they are influenced by regulatory, compliance, stakeholder and customer pressures.

Using data from North American companies over a fouryear period, Prof. Mahapatra is determining how good corporate citizenship raises corporate reputation, while assessing the efficacy of different carbon reducing strategies by industry, and how they affect profitability.

Linkages 2
Prof.Santosh Mahapatra Assoc. Prof. Dennie Yu

Capacity Planning for a Global Manufacturing Supply Chain

Alumna Kaley (Johnson) Russell ’13 is responsible for creating an efficient supply chain for the world’s largest manufacturer of gas turbine technologies.

Gas turbines are combustible engines that are used to power transportation, like jet engines, and in gas-fueled and combinedcycle power plants to generate large-scale electrical power for homes and businesses.

Kaley (Johnson) Russell ’13 (E&M) is Supply Chain Leader –Hot Gas Path at GE Vernova, the largest global manufacturer and supplier of gas turbine products and technologies.

“My work involves setting up the global supply chain for gas turbine components,” she says. “I handle the higher-level capacity planning to make sure we have the parts we will need and production capacity in place to meet the forecast. We have suppliers and manufacturing plants all over the world.”

It’s a complex process with a lot of moving parts. “My goal is to develop the most efficient and effective way for our supply chain to operate.”

After receiving her BS in Engineering and Management (with a concentration in Global Supply Chain Management) from Clarkson in 2013, Russell started her career at GE Vernova (then GE Power) in the company’s Operations Management Leadership Program (OMLP). OMLP is a highly selective two-year rotational program that provides leadership training and skill development while giving participants a 360-degree view of the entire global supply chain. “It was the best experience I could have asked for,” she says.

Her connection to the company began through a chance meeting with an alumna. “Cindy Hendrickson ’83, a university relations manager at GE, visited our first-year Team-Based Design and Innovation course. Six months later, I applied for a co-op at GE Aviation through the Career Center. I didn’t get an interview for that position, but I did get a call from Cindy inviting me to interview with GE Power.”

That led to an eight-month co-op in the spring and summer of 2011. The experience was a game changer for Russell. “I took on the role of a full-time buyer. To get this much handson experience and have this much responsibility as a college sophomore was incredible.”

The next summer, she did a three-month internship in global sourcing for Cooper Industries at their St. Louis site. Heading into her senior year at Clarkson, she had offers from both GE and Cooper Industries for their leadership programs.

The hands-on work experiences added context to what she was learning in her courses. Two classes – and two professors – in particular, she says, had a lasting impact on her: Operations Research taught by John Milne, Associate Professor in Engineering Management and Neil ‘64 and Karen Bonke Endowed Chair, and Global Supply Chain Management taught by Farzad Mahmoodi, Joel Goldschein ‘57 Endowed Chair in Supply Chain Management.

“Professor Milne drew from his own industry experience, which added a lot of value to the class. Professor Mahmoodi covered a lot of technical topics, like how to use data to improve supply chain efficiency, manage inventories and calculate returns. I still use a lot of what I learned in these classes.”

Today, Russell is based in Schenectady, where her proximity to Potsdam makes it easy for her to return to her alma mater twice a year as a campus recruiting leader for GE Vernova. “GE is a great place to work. We are on a lean journey; it’s in everything we do. I like being part of the transition.”

100% placement rate for 2022 GSCM graduates (89% reporting)

$70,125 average starting salary

Spring 2024 3
Kaley Russell ’13

Faculty Research, News and Awards

Professor Santosh Mahapatra coauthored the article “The Paradox of Supplier Development in Technology-Based Luxury Supply Chains,” in the International Journal of Operations & Production Management.

Professor Farzad Mahmoodi, Joel Goldschein ’57 Endowed Chair in Supply Chain Management, is coauthor of “Determining Number of Suppliers, Duration of Supply Cycle and Allocation to In-House Production Under Supply Uncertainty,” published in Computers & Industrial Engineering.

This research presents a novel approach to managing supply chain uncertainty while offering insights to inform decision-making in complex manufacturing environments. With the recent global supply chain disruptions caused by the COVID-19 pandemic and geopolitical conflicts, researchers have suggested strategies to mitigate supply chain uncertainty and increase resiliency. The article provides a model for uncertainty management by considering that both the suppliers and the manufacturer have the capability to increase supply and production, respectively. The proposed model uses demand, probability of supplier failure, supplier flexible capacity, in-house manufacturing capability, and all the corresponding costs as inputs and is applicable in manufacturing environments characterized by mature products and a well-consolidated pool of preferred suppliers. The effectiveness of

the proposed model is evaluated through a set of experiments, revealing significant trade-offs among decision variables and model parameters, which provide valuable managerial insights.

Prof. Mahmoodi also co-authored “Multi-Echelon Inventory Optimization Under Disruption Risk,” in Operations and Supply Chain Management: An International Journal. In addition, he was invited to present “Designing Resilient Global Supply Chains” at the International Research Conference for the Management Disciplines, Lisbon, Portugal, and at Fudan University, Shanghai, China.

John Milne, Associate Professor and Neil ‘64 and Karen Bonke Endowed Chair in Engineering Management, was elected a 2023 Fellow of the National Academy of Inventors. Election as an Academy Fellow is the highest professional distinction awarded solely to inventors.

Prof. Milne joined the Clarkson faculty in 2010, after a 26-year career at IBM. He is an expert in supply chain optimization planning and scheduling methods and is the inventor or co-inventor of more than 40 U.S. patents, predominantly focused on

software methods for optimizing supply chain planning and scheduling. His patented innovations led to IBM reducing inventory by $80 million in 1999, while improving customer service.

At IBM, he was named a Master Inventor and co-chair of an Invention Review Board. To date, more than 250 of Prof. Milne’s Engineering & Management students at Clarkson have filed over 100 U.S. patents.

Assistant Professor Ajinkya Tanksale coauthored four journal articles: “A Multi-Depot Vehicle Routing Problem with Time Windows, Split Pickup and Split Delivery for Surplus Food Recovery and Redistribution,” in Expert Systems with Applications; “A Strategic Model for the Closed-Loop Supply Chain Network Design for Omni-Channel Retailing,” in the International Journal of Logistics Systems and Management; “A MultiObjective Approach for Reducing Patient’s Inconvenience in a Generalized Home Healthcare Delivery Setup,” in Expert Systems with Applications; and “Solving Hospital Waste Management Problem in a Developing Country – a Case of Varanasi City in India,” in Facilities.

Best Alumni Networks

The Princeton Review —The Best 389 Colleges: 2024 Edition

Linkages 4
Prof. R. John Milne
TOP 20
Prof. Farzad Mahmoodi

Prof. Tanksale is also coauthor of “A Decision Support System for Supplier Selection in Public Procurement: A Case of Banaras Locomotive Works, Varanasi,” published in Applications of Operational Research in Business and Industries: Proceedings of 54th Annual Conference of ORSI and forthcoming as a book chapter.

Associate Professor Dennis Yu recently coauthored three articles: “Online Platforms’ Warehouse Capacity Allocation

Strategies for Multiple Products,” in Transportation Research; “Customized Passenger Path Optimization for Airport Connections Under Carbon Emissions Restrictions,” in Systems Science & Control Engineering; and “Multi-Traveler Salesman Problem for Unmanned Vehicles: Optimization through Improved Hopfield Neural Network” in Sustainability.

Clarkson Graduate Business Programs

97% placement rate within three months of graduation

$98,583 average starting salary for full-time MBA graduates

Data Privacy Laws and Supply Chain Management

Assistant Professor Shafique Ahmad Chaudhry’s research delves into the complexities of privacy policies and the challenges they pose, including implications for supply chain management.

“In today’s digital age, with data playing a crucial role in modern supply chains, adherence to data privacy laws, such as the General Data Protection Regulation (GDPR), is essential. Service providers within the supply chain ecosystem must transparently communicate how user data is collected, utilized, protected and shared, navigating the complexities of compliance.”

Prof. Chaudry’s work is built on a framework, that he codeveloped, which enables users to not only assess GDPR compliance in data practice policies but also evaluate the associated risks to privacy when accepting such policies.

Spring 2024 5
Asst. Prof. Ajinkya Tanksale Asst. Prof. Shafique Ahmad Chaudhry
TOP 75 Best Online MBA Programs in the Nation. – Fortune

A Powerhouse in the Field

Patrick Becker ’07, ’09 MBA has built a successful career in logistics in the defense industry. He credits his Clarkson education for preparing him for that success.

When Patrick Becker graduated from Clarkson in 2007 with a B.S. degree in Civil Engineering, he was ready to launch his career in the field of structural engineering. But he soon realized it wasn’t the right fit. “I wanted something more dynamic, and I wanted more social interaction.”

“I had some conversations with Clarkson faculty and students, and the more I learned about supply chain management, the more I thought this might be exactly what I was looking for.”

He returned to Clarkson and in 2009, received an MBA with a concentration in Global Supply Chain Management. It was, he says, the best decision he could have made.

Today, Becker is the Chief Logistics Engineer for General Dynamics Mission Systems, a business unit of General Dynamics, the global aerospace and defense company. Mission Systems manufactures and integrates advanced technological systems and products for use in military defense, intelligence, and cybersecurity. Becker oversees the entire materials supply chain -- purchasing, transporting, storing, distributing and warehousing. “I work with a great team of supply chain professionals, and I get to solve challenging issues for our customers.”

“Supply chain management is very strategic, which I really like,” Becker says. “It’s always interesting to think through and address all of the threat scenarios that can disrupt supply.”

Identifying threat scenarios is especially important in a defense product supply chain where problems or disruptions can have substantial, even life-threatening, consequences for the end user: the soldier in the field.

“Recently there have been tremendous efforts in the field to lean supply chains. This is a virtuous goal but should not come at

the cost of resiliency,” he says. “My own thinking is that we need to be much more active in contingency planning that integrates with our supply chain strategies to account for the externalities that can impact business. Much of the work that I do is to drive new paradigms in cyber resiliency and operational contingency in the event of different threat scenarios.”

Becker serves on the Reh School of Business Leadership Council, offering perspectives on the industry- and worldrelevance of the curriculum while providing input into the School’s future direction. He also returns to campus each year to interview promising students. “Clarkson is one of General Dynamics Mission Systems’ top places to recruit.”

And there is good reason for that he says. “Clarkson University continues to be a powerhouse in the supply chain management field. The leadership of Farzad Mahmoodi, Joel Goldschein ’57 Chair in Supply Chain Management, has been a shining star for decades at the school.”

“What has stayed with me all these years are the relationships I developed with the incredible faculty. So many of them have had a lasting impact on me. Professor Dennis Yu and others shaped my views on supply chain management. Professor Floyd Ormsbee’s teachings on mental models had a significant impact on my life as did Professor Augustine Lado’s business ethics course. Professor Rajesh Sethi, now deceased, encouraged me to always pursue positions where I can keep learning. I am forever grateful for this advice.”

Linkages 6
Patrick Becker ’07, MBA’09 Patrick Becker [far right] with General Dynamics colleagues and fellow Clarkson alumni [L-R] Chris Montferret ’87, Holly Rossman ’23, and Erica Tremblay ’14.

Global Supply Chain Pressures and Entrepreneurship in the U.S.

he COVID-19 pandemic, geopolitical instability, trade tensions, and natural disasters have exposed vulnerabilities in supply chains, prompting a reevaluation of their design, management, and overall resilience. These shocks to global supply chain have significant consequences for entrepreneurship and entrepreneurs in the U.S., whether in the form of the selfemployed, small startups or innovative ventures within larger corporations.

TThis study investigates the impacts of shocks to global supply chains on U.S. entrepreneurship using data from January 1997 to August 2023 and the method of Local Projections. We find that global supply shocks have large and persistent negative impacts on entrepreneurship in the U.S.

Measuring Global Supply Chain Pressures and Entrepreneurship

We measure supply chain disruptions using the Global Supply Chain Pressure Index (GSCPI) constructed by the Federal Reserve Bank of New York.1 Figure 1

shows the GSCPI (black line) from January 1997 to August 2023. As global supply conditions change, the GSCPI fluctuates around its mean. For example, the spike in 2011 reflects disruptions to automobile production and distribution following Japan’s earthquake and tsunami. After the onset of the COVID-19 pandemic, the GSCPI rose to unprecedented levels. Since mid-2022, supply chain pressures have eased steadily.

We measure entrepreneurship using the self-employment rate. This is the most common proxy for entrepreneurship.2 As shown in Figure 1 (red line), self-employment rates in the U.S. have declined persistently.

The Figure also shows that movements in the GSCPI (black line) display a modest negative correlation with the selfemployment rate (red line), with a correlation of about -0.33 over the full sample.

How does entrepreneurship respond to supply chain shocks?

The correlation between the selfemployment rate and the GSCPI reflects the combined effects of several factors. To isolate the effects of changes in supply chain constraints on entrepreneurship, we first identify a GSCPI shock, which measures unexpected changes in the GSCPI that are not explained by fluctuations in macroeconomic conditions.

Econometrically, we use the method of Local Projections to estimate how entrepreneurship responds over time to a surprise increase in the GSCPI of one standard deviation.

1 Details of the construction of this index can be found in (Akinci et al. 2022).

2 See Gartner and Shane (1995) for review of the literature on the various measures of entrepreneurship.

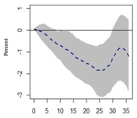
Figure 2 shows the average response of the self-employment rate to a surprise GSCPI increase of one standard deviation relative to its average value (blue line). The area shaded gray is the 95% confidence band, to capture statistical uncertainty in estimating the responses.

The figure illustrates there is a delayed response of U.S. entrepreneurship to disruptions in global supply chains. For the first nine months, the response is not statistically different from zero. However, the shock leads to a decrease in entrepreneurship of about 2% at the peak, which occurs two years after the shock. The effects vanish about two and a half years after the impact.

This negative impact on entrepreneurship leads us to predict that continued efforts will be made to address disruptions and enhanced resiliency of supply chain, leading to fewer supply chain “shocks,” thereby reducing or even reversing the impact on entrepreneurship.

Spring 2024 7
Prof. Bebonchu Atems Figure 1: GSCPI and the SelfEmployment Rate Figure 2: Response of Entrepreneurship to GSCPI Shocks

GSCM Students Stand Out in a Competitive Job Market

Understanding how to effectively optimize information systems is critical to improving overall supply chain performance, including reducing costs and delays, streamlining processes, and expediting production planning, inventory management and decision-making.

Back in 2008, William (Bill) MacKinnon, assistant professor of operations and information systems, developed Information Systems for Supply Chain Management (IS428), a required course designed for Global Supply Chain Management majors that focused on information systems that enable supply chain integration.

“The key benefit of the course was that it provided students with direct, hands-on experience working with SAP R/3, the most widely used enterprise resource planning (ERP) software package in the world,” he says.

SAP was a leader in partnering with universities to provide live access to their systems. Clarkson was an early member of the SAP University Alliances program.

Prof. MacKinnon continues to teach the course, which has evolved significantly over the past 15 years. “SAP is still the primary tool we use in the course, but I am always on the lookout for opportunities to partner

The Clarkson Online MBA

— Start soon — four opportunities to enroll each year.

— Pick a course load that fits your lifestyle.

with other companies to give students access to other kinds of systems.”

“For example, we have used software from Planvisage, a supply chain management software company that was founded by Clarkson alumnus Pari Annamalai ’85 (ECE). More recently, our students have worked with Salesforce, the world’s top customer relationship management (CRM) system, as well as SmartFox Prime, which is a Salesforce addon that uses artificial intelligence to guide salespeople through the sales cycle.”

For Prof. MacKinnon, the benefits for students cannot be overstated. “I can’t tell you how many former students have emailed me over the years to tell me they are using SAP or one of the other tools they worked with in the course in their jobs. I have had recruiters tell me that when they see SAP on a resume, it goes to the top of the pile. Companies recruit here because they know our students are getting this kind of industry-ready experience.”

FP 1.3M 3/24 SUNY Global Supply Chain Management Program Clarkson University Box 5765, 8 Clarkson Avenue Potsdam, NY 13699 EQUAL OPPORTUNITY POLICY Clarkson University does not discriminate on the basis of race, gender, color, creed, religion, national origin, age, disability, sexual orientation, veteran or marital status in provision of educational opportunity or employment opportunities. Supply Chain Management Program in New York State. - U.S. News & World Report, 2023 #1
Prof. Bill MacKinnon
U.S. News & World Report and Fortune
Nationally ranked by
Complete the program in less than two years while you work.
Concentrate in supply chain management, human resource management, leadership or analytics.
Apply Today clarkson.edu/discover-online-mba
Accredited by the Association to Advance Collegiate Schools of Business (AACSB)
jlafave@clarkson.edu | 315-268-7799
Business Programs

Turn static files into dynamic content formats.

Create a flipbook
Issuu converts static files into: digital portfolios, online yearbooks, online catalogs, digital photo albums and more. Sign up and create your flipbook.
Linkages: Global Supply Chain Management at Clarkson University - Spring 2024 by Clarkson University - Issuu