2017-21 Five Year Consolidated Plan

Page 1

Consolidated Plan

OMB Control No: 2506-0117 (exp. 07/31/2015)

INDEPENDENCE 1

Table of Contents

Consolidated Plan INDEPENDENCE 2 OMB Control No: 2506-0117 (exp. 07/31/2015)
Executive Summary ES-05 Executive Summary - 24 CFR 91.200(c), 91.220(b)………………………………..……………. 4 The Process PR-05 Lead & Responsible Agencies - 24 CFR 91.200(b) 16 PR-10 Consultation – 90.100, 91.200(b), 91.215(I)……………………………………………………… 17 PR-15 Citizen Participation………………………………………………………………………………………….. 26 Needs Assessment NA-05 Overview…………………………………………………………………………………………….……………. 36 NA-10 Housing Needs Assessment – 24 CFR 91.205(a,b,c)……………………………..…………… 37 NA-15 Disproportionately Greater Need: Housing Problems - 91.205(b)(2)…….…………. 43 NA-20 Disproportionately Greater Need: Severe Housing Problems – 91.205(b)(2)…… 47 NA-25 Disproportionately Greater Need: Housing Cost Burdens – 91. 205(b)(2)……….. 51 NA-30 Disproportionately Greater Need: Discussion – 91.205(b)(2)…………………..……… 52 NA-35 Public Housing – 91.205(b)………………………………………………………………………………. 53 NA-40 Homeless Needs Assessment – 91.205(c)………………………………………………………… 58 NA-45 Non-Homeless Special Needs Assessment – 91.205(b,d)……………………………..….. 64 NA-50 Non-Housing Community Development Needs -91.215(f)…….……………………….... 68 Market Analysis MA-05 Overview ………………………………………………………………………………………………………… 71 MA-10 Number of Housing Units – 91.210(a)&(b)(2)………………………………………..……….. 72 MA-15 Housing Market Analysis: Cost of Housing – 91.210(a)………………………….……….. 75 MA-20 Housing Market Analysis: Condition of Housing – 91.210(a)………………….………. 80 MA-25 Public and Assisted Housing – 91.210(b)………………………………………………….…….. 84 MA-30 Homeless Facilities and Services – 91.210(c)…………………………………………….……. 88 MA-35 Special Needs Facilities and Services – 91.210(d)……………………………………….….. 90 MA-40 Barriers to Affordable Housing – 91.210(e)…………………………………………………… 94 MA-45 Non-Housing Community Development Assets – 91.215(f)………………………….. 97 MA-50 Needs and Market Analysis Discussion……………………………………………………….…. 108 Strategic Plan SP-05 Overview………………………………………………………………………………………………………… 110 SP-10 Geographic Priorities – 91.215(a)(1)………………………………………………………………. 111 SP-25 Priority Needs – 91.215(a)(2)…………………………………………………………………………. 113 SP-30 Influence of Market Conditions – 91.215(b)……………………………………………………. 125 SP-35 Anticipated Resources – 91.215(a)(4), 91.220(c)(1,2)…………………………………….. 127 SP-40 Institutional Delivery Struct136ure – 91.215(k)……………………………………………… 130 SP-45 Goals Summary – 91.215(a)(4)……………………………………………………………………….. 136 SP-50 Public Housing Accessibility and Involvement – 91.215(c)……………………………... 153 SP-55 Barriers to affordable housing – 91.215(h)…………………………… 157 SP-60 Homelessness Strategy – 91.215(d)……………………………………………………………….. 159 SP-65 Lead based paint Hazards – 91.215(i)……………………………………………………………… 160
Consolidated Plan INDEPENDENCE 3 OMB Control No: 2506-0117 (exp. 07/31/2015) SP-70 Anti-Poverty Strategy – 91.215(j)………………………………………………………….……. 160 SP-80 Monitoring – 91.230………………………………………………………………………………..…. 162 Annual Action Plan AP-15 Expected Resources – 91.220(c)(1,2)………………………………………………………….. 164 AP-20 Annual Goals and Objectives 176 AP-35 Projects 181 AP-38 Projects Summary .……………………………………………………………………………………… 183 AP-50 Geographic Distribution – 91.220(f)……………………………………………………………. 189 AP-55 Affordable Housing – 91.220(g)…………………………………………………………………... 190 AP-60 Public Housing – 91.220(h)………………………………………………………………………….. 193 AP-65 Homeless and Other Special Needs Activities – 91.220(i)……………………………. 195 AP-75 Barriers to affordable housing – 91.220(j)…………………………………………………… 198 AP-85 Other Actions – 91.220(k)…………………………………………………………………………… 199 AP-90 Program Specific Requirements…………………………………………………………………… 203

Executive Summary

ES-05 Executive Summary - 24 CFR 91.200(c), 91.220(b)

1. Introduction

In conjunction with the Community Development Block Grant (CDBG) and HOME Partnership Act (HOME) Programs, the City of Independence is required by law to prepare a Consolidated Plan every five years for submittal to the U.S. Department of Housing and Urban Development (HUD). The purpose of the Consolidated Plan is to provide an updated, community-based analysis of current demographic, economic, and public policy trends, and a timely reassessment of the needs of low and moderate income populations as related to housing, shelter, public service and various categories of community and economic development. This analysis, along with input received during a comprehensive citizen and stakeholder consultation process, forms the foundation of the City’s five-year strategic plan for addressing unmet community needs. The strategic plan establishes specific goals and objectives to be achieved during the plan period, and lays the groundwork for identification and prioritization of specific activities that will receive CDBG and/or HOME funding assistance during implementation of the plan.

Each year of the five-year strategy the City of Independence is required to prepare a one-year Action Plan to notify citizens and HUD of planned (funded) activities for the upcoming program year. Each annual Action Plan also takes into account citizen and stakeholder input collected during an annual citizen participation process, and all actions proposed for funding must relate directly to the adopted Consolidated Plan. Each Action Plan is due to HUD annually by May 15, however the deadline has been extended for the delayed adoption of the 2017 Federal budget The Action Plan serves as the City’s application for CDBG and HOME Program funds. Pending HUD’s approval of the Consolidated Plan and first year Action Plan, the City will receive Community Development Block Grant (CDBG) and HOME Investment Partnerships (HOME) funds in an amount to be determined by federal formula.

At the end of each fiscal year, the City also presents HUD with a Consolidated Annual Performance and Evaluation Report (CAPER) that provides information on the year’s performance in the context of the 5year plan and Annual Action Plan. This is submitted to HUD by October 1 of each year.

HUD’s Purpose for the CDBG and HOME Programs

Regulations governing the CDBG program require that each activity undertaken with CDBG funds meet one of the following three broad national objectives:

• Benefit people with low and moderate incomes

• Aid in the prevention or elimination of slums and blight

• Meet an urgent need (such as earthquake, flood, or tornado relief)

OMB Control No: 2506-0117 (exp. 07/31/2015)

Consolidated Plan INDEPENDENCE 4

In order to aggregate accomplishments at a national level, HUD has prescribed standardized objectives and outcomes for reporting achievements. The primary objective of the CDBG program is to develop viable urban communities. Based upon this intent, it must be determined which of the following three objectives best describe the purpose of an activity: Provide decent housing (DH); provide a suitable living environment (SL); and/or expand economic opportunities, principally for lower income persons (EO). Each activity must also meet specific performance outcomes that are related to at least one of the following: Availability/Accessibility (1); Affordability (2); or Sustainability - Promoting Livable or Viable Communities (3).

2. Summary of the objectives and outcomes identified in the Plan Needs Assessment Overview

With limited resources and significant community need, the Consolidated Plan is tasked with determining the areas of greatest unmet need, as well as, the areas in which community investment can have the greatest impact. Based on results of the Plan's Needs Assessment, Market Analysis and Citizen Participation Process, which are each described in detail later in this document, the following five-year plan outcomes and priority objectives have been identified.

Outcome: Decent Housing for low and moderate income households including special needs populations, homeless, and at-risk homeless

Objective: Return vacant, deteriorated, and underutilized buildings to use as affordable housing when feasible; demolition of dangerous structures deemed beyond rehabilitation and a public safety concern.

Objective: Improve existing housing stock through correction of deficiencies and installation of weatherization and energy efficiency measures to reduce utility burden and decrease occupant turnover

Objective: Reinvest in existing, deficient, multi-family rental properties to restore quality, affordable housing

Objective: Provide subsistence level rent and utility assistance, and other relevant supportive services, required to prevent homelessness

Outcome: Suitable Living Environment for low and moderate income households including special needs populations, homeless, and at-risk homeless

Objective: Install public facility improvements and infrastructure in unimproved and underserved areas, and areas of low income concentration

OMB Control No: 2506-0117 (exp. 07/31/2015)

Consolidated Plan INDEPENDENCE 5

Objective: Invest in programs and projects that enhance quality of life and increase family success

Objective: Restore neighborhoods and preserve property values through the removal of blighting conditions and the increase of safety

Objective: Support programs that provide for the basic needs of vulnerable populations

Outcome: Expanded Economic Opportunities for low and moderate income households including special needs populations, homeless, and at-risk homeless

Objective: Provide job training and job creation/retention activities that offer low and moderate income persons the opportunity to earn a living wage

Objective: Provide direct assistance to small business and economic development activities that promote the long term economic and social viability of the community

Objective: Support empowerment and self-sufficiency programs for low-income persons to reduce generational poverty

Objective: Assist low and moderate income, including at-risk homeless and special needs households, to become homeowners

3. Evaluation of past performance

The City of Independence is entering its 43rd year as a HUD Entitlement for the Community Development Block Grant Program and its 23rd year for the HOME Program. As a seasoned recipient of these resources, the City strives to administer the CDBG and HOME Programs in full compliance with HUD regulations and has maintained a reputation for strong performance.

The graphs below illustrate the funding patterns for each program over the last 10 years. Fluctuation in funding is primarily attributed to annual budget increases and decreases at the federal level, and changes in the number of eligible Entitlement communities sharing in the larger federal allocation. While the amount received by the City has steadily declined over the past 40 years, CDBG and HOME program funds remain a valuable tool for serving the critical unmet needs of the low income community, and for encouraging equitable community development.

OMB Control No: 2506-0117 (exp. 07/31/2015)

Consolidated Plan INDEPENDENCE 6

CDBG and HOME Funding Trend Executive Summary Continued

With HUD’s overall purpose for the CDBG and HOME programs in mind, the following table provides a summary of the goals and objectives achieved with funding allocated through the City of Independence’s housing and community development programs during the previous Consolidated Plan period of 2010-2014.

OMB Control No: 2506-0117 (exp. 07/31/2015)

INDEPENDENCE 7
Consolidated Plan
Consolidated Plan INDEPENDENCE 8 OMB Control No: 2506-0117 (exp. 07/31/2015)
Consolidated Plan INDEPENDENCE 9 OMB Control No: 2506-0117 (exp. 07/31/2015)

Consolidated Plan

OMB Control No: 2506-0117 (exp. 07/31/2015)

INDEPENDENCE 10

OMB Control No: 2506-0117 (exp. 07/31/2015)

Consolidated Plan INDEPENDENCE 11
Consolidated Plan INDEPENDENCE 12
OMB Control No: 2506-0117 (exp. 07/31/2015)

4. Summary of citizen participation process and consultation process

Citizen participation and stakeholder consultation are key components of the Consolidated Planning process designed to help the City:

• Incorporate local data into planning process and validate the accuracy of this data

• Gather input on priority needs and target areas

• Increase coordination among consultation partners

• Leverage Consolidated Plan activities with other public and private funding sources and programs

• Expand upon the outreach efforts of existing planning processes

• Increase citizen feedback, buy-in, and support of Consolidated Plan activities

During this collaborative process City staff has held and participated in a wide-range of engagement opportunities, including:

• Neighborhood & community meetings

• Public hearings

• Inter-departmental coordination

• One-on-one nonprofit partner and public service agencies consultations

• One-on-one citizen engagement through partnering agencies and via City staff’s email correspondence with residents responding to a newsletter invite

• Participation in regional planning efforts including the Kansas City Continuum of Care for the Homeless, the KC Regional Consortium on Fair Housing, and MARC’s Community for All Ages Initiative and AFFH partnerhsip with other metro jurisdictions.

Upon completion of the public participation process, the input received was compiled and analyzed for identification and prioritization of the community’s stated greatest needs; and, in turn, this result was correlated to the City’s larger Consolidated Plan assessment and development of the five year strategy. Priority needs were identified based on available housing data, public input, stakeholder consultation, and public meetings, questionnaires and past program performance. The results were presented to the CDBG Annual Advisory Committee for consideration in formulating its 2017-18 funding recommendation, and then subsequently to the City Council for consideration prior to the plan approval.

OMB Control No: 2506-0117 (exp. 07/31/2015)

Consolidated Plan INDEPENDENCE 13

5. Summary of public comments

Based on input and data received through an extensive citizen participation process, the following summarizes the range of public input received:

Comments Regarding Housing Needs

• Home repair/housing rehabilitation, particularly to improve energy efficiency for seniors and single mothers

• Need for safe and affordable low income housing

• Need affordable housing for large families

• Higher standards for renters and landlords (even required permits for landlords)

• Credit and foreclosure issues, not enough support from banks and credit counselors

• High cost burden for renters compared to income from available jobs

• Need programs return vacant properties to use as affordable housing

• Needed repairs and capital improvement for public housing

• Need nontraditional financing programs for homebuyers that cannot qualify under traditional lending practices

• Accessible housing for people with disabilities, particularly families

• Housing options for people with felony records or eviction history

• Classes to learn how to do-it-yourself for home fixes

Comments Regarding Non-Homeless Community Development Needs

• Jobs that pay a living wage

• Skilled job training and employment readiness for the unemployed and underemployed

• Small/micro business assistance programs, including loans for financing capital and operating

• Reinvestment in older commercial corridors, vacant buildings, infrastructure (24Hwy-east & west, 23rd Street, Maywood & Englewood)

• Support for the Independence Ethnic Council and a multi-cultural district in Fairmount

• Public safety and crime reduction programs

• Legal services (immigration, credit, landlord-tenant) for families in crisis

• Access to fresh and healthy food and culturally relevant grocery store (Fairmount)

• Access to medical services and other needed businesses (Northeast Independence)

• A neighborhood community center with gym for families in Fairmount

• Expansion of Public Transportation city-wide (increased service and extended hours)

• Prisoner re-entry program, assistance with housing, job placement, substance abuse, and social stabilization in the community

• Affordable preschool nearby (NW Independence), Code enforcement, including commercial properties; repair or removal of dilapidated structures in the community

• Sidewalk repair and installation programs, particularly near schools

OMB Control No: 2506-0117 (exp. 07/31/2015)

Consolidated Plan INDEPENDENCE 14

Comments Regarding Non-Homeless Special Needs Populations

• Domestic violence and child abuse prevention and emergency services

• Youth and young adult services (e.g. educational programming, college assistance, mentoring, GED classes, budgeting, savings programs)

• Sports and other recreational/social programs for neighborhood youth

• Volunteer and employment opportunities for people with disabilities

6. Summary of comments or views not accepted and the reasons for not accepting them

Pursuant to 24 CFR Part 91.105 (b), it is the policy of the City to accept and record all public comments pertaining to the 2017-2021 Five-Year Consolidated Plan and related documents that are received during the posted public comment period or submitted during the public hearings. All comments received by the City were considered and are, generally or specifically, addressed by the Strategic Plan and/or Annual Action Plan. Documentation of all comments received is included in the Appendix of this document.

7. Summary

The Five Year Consolidated Plan for years 2017-2021 identifies goals, objectives and strategies to address Independence’s housing and community development needs. These needs were identified through an extensive citizen participation process that involved neighborhood residents, service providers and other community partners. The Consolidated Plan guides the City's use of CDBG and HOME Program resources towards the goals of insuring decent housing, a suitable living environment and expanded economic opportunities are available for our low and moderate income community. Over the next five years, the City of Independence will strive towards these goals by funding and supporting economic development, affordable housing programs, services for non-homeless special needs populations, neighborhood stabilization and public improvements, as well as, partnerships with an array of public and homeless service providers.

OMB Control No: 2506-0117 (exp. 07/31/2015)

Consolidated Plan INDEPENDENCE 15

The Process

PR-05 Lead & Responsible Agencies 24 CFR 91.200(b)

1. Describe agency/entity responsible for preparing the Consolidated Plan and those responsible for administration of each grant program and funding source

The following are the agencies/entities responsible for preparing the Consolidated Plan and those responsible for administration of each grant program and funding source. Agency Role

CDBG Administrator INDEPENDENCE

HOME Administrator INDEPENDENCE

Narrative

Community Development Department

Community Development Department

In the City of Independence, the responsibility for the preparation of the Consolidated Plan is delegated to the Neighborhood and Housing Services Division of the Community Development Department. This Division is also charged with Code Enforcement activities, implementing all aspects of both the CDBG and HOME programs, including: Consolidated and annual action plan preparation and submission, funding allocation, submission of substantial amendments and annual performance reports to HUD as required, the development of contracts with outside agencies/developers, and the coordination of bids and contracts let by the City, and project monitoring.

Consolidated Plan Public Contact Information

Neighborhood & Housing Services Division

Community Development Department

City of Independence

111 E. Maple Ave.

Independence, Mo 64050

816-325-7000

Office Hours: M-F 8:00 a.m.-5:00 p.m.

Consolidated Plan

OMB Control No: 2506-0117 (exp. 07/31/2015)

INDEPENDENCE 16
Name
Department/Agency

PR-10 Consultation - 91.100, 91.200(b), 91.215(l)

1. Introduction

The 2017-2021 Consolidated Plan was developed by City Community Development Department Staff in consultation with a wide range of non-profit community stakeholders and the citizen body. Staff developed the plan’s priorities with significant consideration given to feedback provided through an extensive community input process, the results of which can be found in the Appendix of this document. The City also engages community-based and regional organizations, as well as, the City’s departmental organizations on a year-round basis concerning matters related to the purpose of the plan. One of these organizations, the Mid-America Regional Council, sponsors regular discussion on a number of issues related to the Consolidated Plan. As the metropolitan planning organization for the Kansas City region, MARC formulates regional approaches to issues such as transportation, homelessness, and public health. Independence’s participation in MARC initiatives such as the First Suburbs Coalition, Community for All Ages, Transportation Outlook 2040 has contributed valuable insight towards development of the Consolidated Plan. In addition, City consultations with the Greater Kansas City Continuum of Care, Independence Housing Authority, and the Kansas City Regional Analysis of Impediments to Fair Housing Consortium were instrumental in development of the Consolidated Plan document.

In the preparation of the plan, the City gathered statistical information from many agencies including the American Community Survey, U.S. Census, Comprehensive Housing Affordability Strategy, Housing Authority of Independence, the Independence Council for Economic Development, the Independence School District, Kansas City Region Continuum of Care, and Local Investment Commission (LINC). This information supplemented the City’s plan document concerning housing and special population needs.

Provide a concise summary of the jurisdiction’s activities to enhance coordination between public and assisted housing providers and private and governmental health, mental health and service agencies (91.215(I)).

The City of Independence and the Kansas City area benefit from a mature network of regional public and assisted housing providers and private and governmental health, mental health and service agencies that are connected in the delivery of services and programs through the use of MAACLink. MAACLink is a Homeless Management Information System (HMIS) and social service software suite developed and maintained by the Mid America Assistance Coalition. The system contains vital information regarding services provided to individuals throughout the communities MAAC serves. Access to this information helps service agencies manage limited resources more efficiently by:

• Minimizing duplication of services

• Capturing information about unmet community needs

• Identifying households that could benefit from more comprehensive case management or support services

OMB Control No: 2506-0117 (exp. 07/31/2015)

Consolidated Plan INDEPENDENCE 17

Service coordination is further enhanced through local agency participation in the Kansas City/Jackson County Missouri Continuum of Care and the Independence Hungry and Homeless Coalition both of which focus on serving the unmet housing and social service needs of our regions homeless and at-risk homeless populations.

Describe coordination with the Continuum of Care and efforts to address the needs of homeless persons (particularly chronically homeless individuals and families, families with children, veterans, and unaccompanied youth) and persons at risk of homelessness

The City of Independence is a participating member in the Kansas City/Jackson County Continuum of Care (CoC) which encompasses Kansas City, Independence, Lee’s Summit and all unincorporated portions of Jackson County, MO. Coordination of efforts to identify and address the needs of the homeless and at risk homeless is an ongoing effort involving a broad network of local and regional non profit and government agencies who are charged with serving the region's homeless. Activities of the CoC include regular membership meetings, planning sessions, plan development, training, service events, funding applications, and completion of the annual Point in Time count that collects information about the regional homeless population that will help to more accurately define the nature and extent of homelessness in the community. Agencies awarded funding through the CoC are called to implement projects and programs that will assist the region in carrying out its coordinated strategy for ending homelessness.

At the local level, the City of Independence's Hungry and Homeless Coalition is a body made up of community leaders that coordinates local efforts to increase community awareness and outreach programs for the homeless. Coalition members meet on a regular basis in order to maintain open communication and coordinate all services provided. Agency members who also participate in the CoC work to tie the efforts of the Coalition into the regional strategy for reducing homelessness.

Describe consultation with the Continuum(s) of Care that serves the jurisdiction's area in determining how to allocate ESG funds, develop performance standards and evaluate outcomes, and develop funding, policies and procedures for the administration of HMIS

The City of Independence does not receive or administer ESG funding. Consultation with the Continuum of Care occurs

2. Describe Agencies, groups, organizations and others who participated in the process and describe the jurisdictions consultations with housing, social service agencies and other entities

OMB Control No: 2506-0117 (exp. 07/31/2015)

Consolidated Plan INDEPENDENCE 18

1

Agency/Group/Organization

COMMUNITY SERVICES LEAGUE

Agency/Group/Organization Type Services-Children Services-homeless Services-Health Services-Employment

What section of the Plan was addressed by Consultation?

How was the Agency/Group/Organization consulted and what are the anticipated outcomes of the consultation or areas for improved coordination?

Homeless Needs - Families with children

Non-Homeless Special Needs

Direct input from the Director of Operations and survey of clients served during the PY 2016-17. Direct assistance in the form of rent or utility payments are needed and could be administered by this established, efficiently staffed organization.

2

Agency/Group/Organization

HILLCREST TRANSITIONAL HOUSING OF EASTERN JACKSON COUNTY

Agency/Group/Organization Type Housing Services - Housing Services-homeless Services-Education Services-Employment

What section of the Plan was addressed by Consultation?

How was the Agency/Group/Organization consulted and what are the anticipated outcomes of the consultation or areas for improved coordination?

3 Agency/Group/Organization

Housing Need Assessment

Homelessness Strategy

Homeless Needs - Families with children

Direct consultation with Executive Director and survey of clients served during the FY 2016-17. As this organization continues to add property available for transitional housing, public awareness grows and so do referrals. The need to move families from emergency shelter to transitional and then independent living situations is driven by the lack of adequate emergency shelter.

SALVATION

Agency/Group/Organization Type Services-homeless

What section of the Plan was addressed by Consultation?

OMB Control No: 2506-0117 (exp. 07/31/2015)

Homelessness Strategy

Homeless Needs - Chronically homeless

Homeless Needs - Families with children

Consolidated Plan INDEPENDENCE 19
ARMY CROSSROADS SHELTER

How was the Agency/Group/Organization consulted and what are the anticipated outcomes of the consultation or areas for improved coordination?

Direct consultation with shelter director of operations. There is a need for increased capacity of emergency shelter in Independence. Many families are turned away each month due to lack of space. Resources have been reduced in recent years to cover shelter operations and there is an increased need for CDBG Public Service funding for operational costs.

4 Agency/Group/Organization SALVATION ARMY

Agency/Group/Organization Type Services - Housing

What section of the Plan was addressed by Consultation?

How was the Agency/Group/Organization consulted and what are the anticipated outcomes of the consultation or areas for improved coordination?

Homeless Needs - Families with children

Non-Homeless Special Needs

Direct consultation with Crossroads Shelter director, which is operated in conjunction with outreach program of the Salvation Army. Services provided include food pantry, utility and rent assistance, and other supportive services to prevent homelessness.

5 Agency/Group/Organization HOPE HOUSE

Agency/Group/Organization Type Services-Victims of Domestic Violence

What section of the Plan was addressed by Consultation?

How was the Agency/Group/Organization consulted and what are the anticipated outcomes of the consultation or areas for improved coordination?

Homeless Needs - Families with children

Non-Homeless Special Needs

Direct consultation with grant writer on unmet needs of domestic violence victims and their children in the community. For Hope House, the greatest unmet service request is for emergency shelter. In FY14, we had 2,563 unmet requests for shelter. Shelter is a frequently requested service as well as outreach therapy. We almost always have a waiting list for outreach therapy. At the end of November, there were 14 adults and 16 children on the waiting list. We have difficulty meeting clients needs for financial assistance and transportation. Related to financial assistance, when clients have past due utility debt and eviction histories, it is difficult for them to leave shelter and secure permanent housing. Hope House is not always able to assist with paying off that debt.

OMB Control No: 2506-0117 (exp. 07/31/2015)

Consolidated Plan INDEPENDENCE 20

6 Agency/Group/Organization

Truman Heritage Habitat for Humanity

Agency/Group/Organization Type Housing

What section of the Plan was addressed by Consultation?

How was the Agency/Group/Organization consulted and what are the anticipated outcomes of the consultation or areas for improved coordination?

7 Agency/Group/Organization

Agency/Group/Organization Type

Housing Need Assessment

Non-Homeless Special Needs

Direct consultation with Executive Director. There is a need for homes suited to larger families in Independence. Additional funding from the City of Independence would create additional housing units and further increase the capacity of this organization. The recent addition of home repair has expanded the number of residents to benefit from this organization, with the low interest loan home repair program repayments providing for long term home repair funds.

NORTHWEST COMMUNITIES DEVELOPMENT CORP.

Housing

Services-Elderly Persons

Services-Persons with Disabilities

Services-Health

Services-Education

Services-Employment

Neighborhood Organization

What section of the Plan was addressed by Consultation?

How was the Agency/Group/Organization consulted and what are the anticipated outcomes of the consultation or areas for improved coordination?

Housing Need Assessment

Non-Homeless Special Needs

Direct consultation with Executive Director and Housing Rehab Specialist. The community center continues to serve a large number of senior residents on a daily basis. The housing program has struggled to develop and sell housing units that meet housing standards yet are within area median home prices. Home repair programs are meeting capacity limits due to the large volume of requests and the limited funding availability.

8 Agency/Group/Organization Stone Church

Agency/Group/Organization Type

What section of the Plan was addressed by Consultation?

OMB Control No: 2506-0117 (exp. 07/31/2015)

Religious Based Group providing community dinners to residents

Non-Homeless Special Needs

Consolidated Plan INDEPENDENCE 21

How was the Agency/Group/Organization consulted and what are the anticipated outcomes of the consultation or areas for improved coordination?

The lead church, Stone Church Congregation of the Community of Christ Church, has organized with 19 other area churches to provide weekly meals on a rotating basis. This delivery method of services is primarily volunteer driven, with a stipend for coordinators and little operational costs. Increased funding could expand this group into a city-wide network to provide specialized services to residents in need.

9 Agency/Group/Organization Independence Meals on Wheels

Agency/Group/Organization Type Services-Elderly Persons Services-Persons with Disabilities

What section of the Plan was addressed by Consultation?

How was the Agency/Group/Organization consulted and what are the anticipated outcomes of the consultation or areas for improved coordination?

Non-Homeless Special Needs

Direct consultation with volunteer coordinator. Prior city driven discussion to partner with other area meal providers reduced costs of meals and coordinated delivery for on-site meal providers. Further coordination is encouraged.

10 Agency/Group/Organization Housing Authority of Independence

Agency/Group/Organization Type PHA

What section of the Plan was addressed by Consultation?

Public Housing Needs

OMB Control No: 2506-0117 (exp. 07/31/2015)

Consolidated Plan INDEPENDENCE 22

How was the Agency/Group/Organization consulted and what are the anticipated outcomes of the consultation or areas for improved coordination?

City staff, PHA administration and public housing property managers met to discuss the research conducted and citizen input received for each entity's upcoming Five Year Plan. Accessibility needs, capital improvements and barriers to providing quality affordable housing were discussed. Streamlined processes for city provided services will be created to improve the safety and quality of life of those living in public housing. Communication on availability of units, length of waiting lists, and denial determination issues were clarified. Anticipated closer partnerships should enhance services already available and target needed residents for job training and increased income potential, thus eliminating dependence on assistance and stabilizing housing resources in the community. The Housing Authority of Independence has begun a capital improvement plan for modernization of public housing facilities and acquisition/rehab of a new administrative office for FY17.

11 Agency/Group/Organization Independence Hungry & Homeless Coalition

Agency/Group/Organization Type Services - Housing Services-homeless Planning organization

What section of the Plan was addressed by Consultation?

Homelessness Strategy

Homeless Needs - Chronically homeless Homeless Needs - Families with children

Homelessness Needs - Veterans

Homelessness Needs - Unaccompanied youth

How was the Agency/Group/Organization consulted and what are the anticipated outcomes of the consultation or areas for improved coordination?

The Independence Hungry and Homeless Coalition is a networking opportunity of over 40 representatives (including City staff) of social services providers from agencies, organizations, schools and churches for improved communication, increased community awareness, and coordination of the delivery of services for the homeless and low-income residents. City staff attended monthly meetings of this group to gather information on unmet needs of clients of the agencies represented.

OMB Control No: 2506-0117 (exp. 07/31/2015)

Consolidated Plan INDEPENDENCE 23

Identify any Agency Types not consulted and provide rationale for not consulting

N/A

Other local/regional/state/federal planning efforts considered when preparing the Plan

Name of Plan Lead Organization How do the goals of your Strategic Plan overlap with the goals of each plan?

Continuum of Care Homeless Services Coalition of Greater Kansas City

City of Independence Capital Improvement Plan

Independence 353 Redevelopment Plans

City of Independence

Strategic Plan goals established to serve the unmet needs of the homeless and at-risk homeless in Independence are designed to support the regional strategy of the Continuum of Care.

Where feasible Strategic Plan goals are established to supplement and complement the goals of the City's Capital Improvement Plan.

Affirmatively Further Fair Housing

Various City approved 353 Redevelopment Corporations

KC Regional Consortium

PHA Annual Plan Independence Housing Authority

Both the Strategic Plan goals and the goals of the various 353 Redevelopment Plans focus on revitalization of blighted low income neighborhoods through reinvestment in housing stock, infrastructure, and community economic development.

The Analysis of Impediments to Fair Housing identifies and analyzes the most significant barriers affecting fair housing choice at both the regional and local level, and outlines specific steps to address and overcome the effects of any impediments. The AI is a necessary component of the Five-Year ConPlan.

Like the ConPlan, the IHA's Annual Plan is used to express the Public Housing Authority's quantifiable goals and objectives for the 5-Year period. Overlapping the purposes of the CDBG & HOME Programs, the primary mission of the Housing Authority is to provide affordable decent, safe and sanitary housing opportunities to low and moderate income families including elderly and disabled persons, while supporting programs to foster economic self-sufficiency.

OMB Control No: 2506-0117 (exp. 07/31/2015)

Consolidated Plan INDEPENDENCE 24

Name of Plan Lead Organization

How do the goals of your Strategic Plan overlap with the goals of each plan?

Independence Strategic Plan City of Independence City adopted document outlining needs and goals of the city. Primary adopted goals are:1. Customer-focused: Improve customer service and communication2. Financially Sustainable: Ensure City finances are stable and sustainable3. Growth: Increase economic prosperity of the community4. Quality: Achieve livability, choice, access, health and safety through a quality built environment.

Describe cooperation and coordination with other public entities, including the State and any adjacent units of general local government, in the implementation of the Consolidated Plan (91.215(l))

Cooperation and coordination with other public entities and adjacent units of local government concerning interests covered by the Consolidated Plan occurs on an on-going basis through the City's participation in Mid-America Regional Council's community development and planning efforts. Community forums on regional matters, ranging from homelessness and affordable housing to public services and economic development, provide an ongoing platform for Independence to share and get feedback on local challenges and implementation strategies. In addition, the City participates in the Eastern Jackson County Planning Committee which meets quarterly to focus on the community development needs specific to our section of the region. This group, which includes three Entitlement cities, functions well as a consulting body during the development of regional Consolidated Plans.

OMB Control No: 2506-0117 (exp. 07/31/2015)

Consolidated Plan INDEPENDENCE 25

PR-15 Citizen Participation

1. Summary of citizen participation process/Efforts made to broaden citizen participation Summarize citizen participation process and how it impacted goal-setting

The development of the 2017-2021 Consolidated Plan was carried out in accordance with the City's adopted Citizen Participation Plan, which can be found as an appendix to this document. In addition to the required public notices and hearings, a variety of public participation strategies were utilized to garner input on the needs of our low income citizens and neighborhoods. Over the course of the past year the City and its partners conducted hosted community input events, participated in many community and neighborhood meetings, and solicited direct input through one-on-one conversations with individuals, families and community stakeholders. And, rather than duplicating efforts, the Consolidated Plan also relies on relevant input gathered during the City's bi-annual Citizen Survey conducted in 2013 and the Independence Health Department's 2014 Community Health Assessment. The table below summarizes the specific citizen engagement efforts undertaken.

OMB Control No: 2506-0117 (exp. 07/31/2015)

Consolidated Plan INDEPENDENCE 26
Consolidated Plan INDEPENDENCE 27
Citizen Participation Outreach
OMB Control No: 2506-0117 (exp. 07/31/2015)
Consolidated Plan INDEPENDENCE 28 OMB Control No: 2506-0117 (exp. 07/31/2015) Sort Order Mode of Outreach Target of Outreach Summary of response/attendance Summary of comments received Summary of comments not accepted and reasons URL (If applicable)

OMB Control No: 2506-0117 (exp. 07/31/2015)

Non-English Speaking - Specify other language: Spanish

Persons with disabilities

Nontargeted/broad community

Residents of Public and Assisted Housing

An open house was held on December 15th, 2014 at City Hall. Attendees included residents from the North West Independence area, Fairmount and Maywood business owners, Fairmount School staff and families.

City staff received suggestions for the historic shopping districts including suggestions of possible living/working situations, commercial code enforcement, and youth and community center needs in the area of North West Independence. A dramatic change in ethnicity has occurred in this area, and the need for a place to share cultural traditions and values has been expressed. Alternative grocery options including fresh and culturally relevant products catering to Hispanic (Central and South America) and Pacific Islander diets within walking distance to neighborhoods and a corner store which may include a place to

Consolidated Plan INDEPENDENCE 29
1 Public Meeting Minorities

gather socially is needed. Job training to increase income potential

burdened and

language

skill limitations and full time work at a lower paying job does not meet the needs of a higher quality of life. Transportation remains a challenge despite recent changes in the City's bus system. Later hours of operation and more frequent service would allow for an expanded work schedule.

Consolidated Plan INDEPENDENCE 30
Control No:
(exp. 07/31/2015) Sort Order Mode of Outreach Target of Outreach Summary of response/attendance Summary of comments received Summary of comments not accepted and reasons URL (If applicable)
OMB
2506-0117
these
to be housing
is in great need, as
families tend
cost
have
or

Assessment by the City Health Department

Minorities Non-English Speaking - Specify other language: Spanish

More than 50 adults during November 2014 were interviewed from Mallinson Elementary, Sugar Creek Elementary and Fairmount Elementary Schools with the use of interpreters.

The community values include food, community, culture and family. Facilities for youth sports, music and dance classes, financial literacy, parenting and cooking classes is desired. Home ownership opportunities for nontraditional buyers. Community meals are of great interest to these families. Any activities that would create a feeling of inclusion in the city and eliminate a feeling of discrimination or embarrassment due to language barriers.

Consolidated Plan INDEPENDENCE 31
Control No:
(exp. 07/31/2015) Sort Order Mode of Outreach Target of Outreach Summary of response/attendance Summary of comments received Summary of comments not accepted and reasons URL (If applicable) 2
OMB
2506-0117
Community Health

3 Community Health Assessment by the City Health Department

Nontargeted/broad community

Surveys were provided to agencies administering CDBG Public Service programs such as utility assistance, emergency shelter, food pantries and meal programs were gathered during the holiday season.

4 Newspaper Ad Non Profit Service Providers Public notice published in the local newspaper, The Examiner, to announce the availability of funding and desired input from interested residents, agencies and business owners for the guidance of expenditures over the next five years.

The survey responses revealed the primary request for assistance and greatest unmet need to be rent and utility assistance. Emergency shelter and domestic violence shelter remain a concern.

Proposals for Public Service programs for plan year one, and requests for infrastructure and public facility improvements in older neighborhoods of the community.

Consolidated Plan INDEPENDENCE 32 OMB Control No: 2506-0117 (exp. 07/31/2015) Sort Order Mode of Outreach Target of Outreach Summary of response/attendance Summary of comments received Summary of comments not accepted and reasons URL (If applicable)

5 Public Meeting Hungry and Homeless Populations

A single question survey distributed at meeting asked, "What one need do you believe would best help people achieve real progress?"

The need for emergency shelter for single persons, transportation to service providers, higher paying jobs, redevelopment and commercial code enforcement of the Fairmount Business district including a community center, culturally relevant shopping opportunities, job training/creation, employment in the North East Independence area, rent/utility/food assistance and affordable daycare were common requests. Storm water issues at 24 Highway and Northern Blvd was a concern for one resident.

Consolidated Plan INDEPENDENCE 33
OMB Control No: 2506-0117 (exp. 07/31/2015)

6 Community Health Assessment by the City Health Department

Nontargeted/broad community

A Community Health Assessment was distributed to households in Independence. Out of the 10,099 that received the survey, 1,922 households completed surveys for a 19% response rate.

Of the respondents, 64% desired more pathways along city streets for cyclists and pedestrians; 69% reported they are satisfied with the access to fresh fruits and vegetables in their neighborhoods, however there was major dissatisfaction in access the them in the 64053 and 64054 zip codes. Of the 24% of those who did not feel safe in their neighborhoods, the majority (78%) stated it was because of the lack of or condition of sidewalks. This was primarily in the 64053 and 64054 zip codes. Additional input from the health department suggested the Environmental Public Health Division (Code Enforcement) is for

OMB Control No: 2506-0117 (exp. 07/31/2015)

Consolidated Plan INDEPENDENCE 34

assistance removing large trash items (including downed trees, tires, brush piles, etc.) from private property. Many citizens report an inability to afford to pay someone to remove the items and a lack of transportation and funds to take these trash items to a landfill. Many citizens report a desire for bulk item trash pick-up, a year-round Drop-Off Depot, and/or additional Neighborhood Code Compliance Program clean-ups. The most requested service is for proactive property maintenance inspections of blighted areas; however, due to current staff levels, our proactive programs (including the

OMB Control No: 2506-0117 (exp. 07/31/2015)

Consolidated Plan INDEPENDENCE 35

7 Public Meeting General Public A public hearing was held on March 1st, 2017 at City Hall.

Neighborhood Code Compliance Program) have been severely reduced.

Comments received were requests for increased Public Transportation and Public Service Programs. Home repair assistance was identified as a need that was being underserved, and that current federal regulations prevent certain types of housing assistance such as trash and brush clean up, painting and tree trimming which could not be easily addressed by CDBG home repair programs.

Multiple requests for assistance with delinquent personal property taxes and repairs of homes with delinquent real estate tax (currently prohibited under program policies). Requests for down payment assistance were not accepted as the MHDC First Place program provides this assistance state-wide and the City has determined providing this would be a duplication of programing already available to residents.

Consolidated Plan INDEPENDENCE 36
Control No:
(exp. 07/31/2015)
Order Mode of Outreach Target of Outreach Summary of response/attendance
of comments not
reasons
OMB
2506-0117
Sort
Summary of comments received Summary
accepted and
URL (If applicable)

8 Public Meeting General Public A public hearing was held on March 22, 2017 at City Hall.

Comments received included a concern for policing of the US Hwy 291/US Hwy area surrounding the Hawthorne Place apartments, a very low income area with increased violent crime. Additional after school programs for the same area (Randall School) and support for the adjacent food pantries at several churches in the vicinity.

Consolidated Plan INDEPENDENCE 37 OMB Control No: 2506-0117 (exp. 07/31/2015) Sort Order Mode of Outreach Target of Outreach Summary of response/attendance Summary of comments received Summary of comments not accepted and reasons URL (If applicable)

MARC consultants for the KC Regional AFFH Plan conducted three table discussions at the Mid Continent Public Library - North Independence Branch on July 19, 2016 for comments on the barriers identified within the region and Independence.

Although Independence has a generous amount of affordable housing stock as defined by HUD, the percentage of low income and very low income individuals within Independence still struggle to afford the standard 30% of income rental costs, if available. The unit size and accommodations available for those with disability still greatly outnumber the demand. The most important housing and neighborhood features identified where: safety; affordability (in your price range); diversity; near community facilities and services and good schools. The top obstacles identified where: lack of income; crime; lack of public

Consolidated Plan INDEPENDENCE 38 OMB Control No: 2506-0117 (exp. 07/31/2015) 9 Public Meeting AFFH

transportation, particularly to jobs; lack of sidewalks; description/community opposition; hard to find suitable housing for voucher holders. When asked "What could your city do?" : improve public transportation services; pursue Section 8 selfsufficiency program; provide counseling/training to assist residents to secure jobs, tenant responsibilities; address predatory lending; develop city plans for neighborhoods and promote historic preservation; and encourage starter homes for young families.

Consolidated Plan INDEPENDENCE 39 OMB Control No: 2506-0117 (exp. 07/31/2015)
Consolidated Plan INDEPENDENCE 40 OMB Control No: 2506-0117 (exp. 07/31/2015)

Needs Assessment

NA-05 Overview

Needs Assessment Overview

The Consolidated Plan Needs Assessment is a look at the City of Independence’s community-wide needs for housing and community development. The Comprehensive Housing Affordability Strategy (CHAS) 2000 Data Book (data accessed April 2014), along with U.S. Census and American Community Survey data, was used to complete much of the Needs Assessment section of the Consolidated Plan. Consultation with the Independence Housing Authority's 5 Year Plan and other City planning documents were also considered.

This data and evaluation of existing plan documents was supplemented with needs input received during an extensive community input process. Surveys and public forums were held to receive input from residents regarding housing and community development needs in Independence. The City also consulted with community stakeholders and service providers to determine what they believed to be the greatest needs of their clients, constituents and service areas. Upon completion of the public input process, information received was compiled and analyzed for identification and prioritization of the community’s stated greatest needs; and, in turn, this result was correlated to the City’s larger Consolidated Plan assessment and development of the five-year strategy.

The Needs Assessment section of the Consolidated Plan focuses on evaluating the needs of the following income groups based on Area Median Income (AMI):

• Extremely Low Income (0-30% AMI)

• Very Low Income (30-50% AMI)

• Low Income (50-80% AMI)

Consolidated Plan INDEPENDENCE 41
Control No:
07/31/2015)
OMB
2506-0117 (exp.

NA-10 Housing Needs Assessment - 24 CFR 91.205 (a,b,c)

Summary of Housing Needs

Despite have one of the largest supplies of affordable housing stock in the metro area, cost is the most common response to housing need surveys. The majority of residents served believe themselves to be cost burdened in regards to housing, however, most followed that comment with the need for better employment or education toward better employment to be the ultimate burden. Issues of landlord maintenance and large deposits were of concern, as well as credit and rental eviction history barring families from renting or purchasing quality appropriate housing for their individual family needs.

* the highest income category for these family types is >80% HAMFI

OMB Control No: 2506-0117 (exp. 07/31/2015)

Consolidated Plan INDEPENDENCE 42
Demographics Base Year: 2000 Most Recent Year: 2012 % Change Population 113,288 116,881 3% Households 50,213 48,108 -4% Median Income $38,012.00 $44,261.00 16%
Households
0-30% HAMFI >30-50% HAMFI >50-80% HAMFI >80-100% HAMFI >100% HAMFI Total Households * 7,645 7,425 9,740 5,990 17,305 Small Family Households * 2,690 2,115 3,134 2,334 9,040 Large Family Households * 469 530 484 490 1,285 Household contains at least one person 62-74 years of age 1,075 1,540 1,999 995 3,649 Household contains at least one person age 75 or older 1,059 1,855 1,499 740 1,404 Households with one or more children 6 years old or younger * 1,829 1,279 1,404 870 1,180
Data Source: 2000 Census (Base Year), 2008-2012 ACS (Most Recent Year) Number of
Table
Data Source: 2008-2012 CHAS

Housing Needs Summary Tables

1. Housing Problems (Households with one of the listed needs)

Consolidated Plan INDEPENDENCE 43
OMB Control No: 2506-0117 (exp. 07/31/2015)
Renter Owner 0-30% AMI >3050% AMI >5080% AMI >80100% AMI Total 0-30% AMI >3050% AMI >5080% AMI >80100% AMI Total NUMBER OF HOUSEHOLDS Substandard HousingLacking complete plumbing or kitchen facilities 15 50 70 4 139 25 30 35 10 100 Severely OvercrowdedWith >1.51 people per room (and complete kitchen and plumbing) 50 0 0 0 50 0 30 30 4 64 OvercrowdedWith 1.01-1.5 people per room (and none of the above problems) 144 105 100 45 394 60 50 40 25 175 Housing cost burden greater than 50% of income (and none of the above problems) 3,015 660 15 0 3,690 1,485 725 170 109 2,489

2. Housing Problems 2 (Households with one or more Severe Housing Problems: Lacks kitchen or complete plumbing, severe overcrowding, severe cost burden)

Control No: 2506-0117 (exp. 07/31/2015)

Consolidated Plan INDEPENDENCE 44 OMB
Renter Owner 0-30% AMI >3050% AMI >5080% AMI >80100% AMI Total 0-30% AMI >3050% AMI >5080% AMI >80100% AMI Total Housing cost burden greater than 30% of income (and none of the above problems) 1,175 1,620 975 70 3,840 595 1,220 1,715 530 4,060 Zero/negative Income (and none of the above problems) 290 0 0 0 290 125 0 0 0 125 Data Source: 2008-2012 CHAS
Renter Owner 0-30% AMI >3050% AMI >5080% AMI >80100% AMI Total 0-30% AMI >3050% AMI >5080% AMI >80100% AMI Total NUMBER OF HOUSEHOLDS Having 1 or more of four housing problems 3,224 815 185 55 4,279 1,570 835 270 149 2,824 Having none of four housing problems 1,695 2,675 3,535 1,730 9,635 744 3,100 5,750 4,055 13,649 Household has negative income, but none of the other housing problems 290 0 0 0 290 125 0 0 0 125 Data Source: 2008-2012 CHAS
Consolidated Plan INDEPENDENCE 45 OMB Control No: 2506-0117 (exp. 07/31/2015)
Renter Owner 0-30% AMI >30-50% AMI >50-80% AMI Total 0-30% AMI >30-50% AMI >50-80% AMI Total NUMBER OF HOUSEHOLDS Small Related 1,760 975 415 3,150 600 550 589 1,739 Large Related 264 160 20 444 125 200 144 469 Elderly 725 610 145 1,480 968 894 435 2,297 Other 1,590 700 444 2,734 475 385 745 1,605 Total need by income 4,339 2,445 1,024 7,808 2,168 2,029 1,913 6,110 Data Source: 2008-2012 CHAS
3. Cost Burden > 30%
Renter Owner 0-30% AMI >3050% AMI >5080% AMI Total 0-30% AMI >3050% AMI >5080% AMI Total NUMBER OF HOUSEHOLDS Small Related 1,355 205 10 1,570 490 165 60 715 Large Related 180 70 0 250 105 80 4 189 Elderly 390 245 10 645 518 334 50 902 Other 1,220 240 4 1,464 435 150 55 640 Total need by income 3,145 760 24 3,929 1,548 729 169 2,446 Data Source: 2008-2012 CHAS
4. Cost Burden > 50%
Renter Owner 030% AMI >3050% AMI >5080% AMI >80100% AMI Total 030% AMI >3050% AMI >5080% AMI >80100% AMI Total NUMBER OF HOUSEHOLDS Single family households 194 105 100 15 414 40 40 45 24 149 Multiple, unrelated family households 0 0 0 35 35 20 35 4 4 63
5. Crowding (More than one person per room)

Describe the number and type of single person households in need of housing assistance.

As of December 31, 2013 the Section 8 waiting list consisted of 1,230 applicants that were single person households out of approximately 3,930 applicants (31.3%). The Public Housing waiting list, which is prioritized for the elderly and disabled, consisted of 41 applicants that were single person households out of approximately 481 applicants (8.5%). Single person households represent nearly one-third of applicants needing housing assistance.

Estimate the number and type of families in need of housing assistance who are disabled or victims of domestic violence, dating violence, sexual assault and stalking.

According to the Independence Housing authority, at last count, there were 155 disabled individuals on the waiting list for Section 8 vouchers and 25 individuals on the waiting list for public housing. Hope House, the City's primary provider of shelter for victims of domestic violence, served a total of 1,182 women and children in its emergency shelters in 2014, providing a total of 41,462 bed nights. Compared with two years ago, this is 5% more people served and 2% more bed nights provided. The agency was full or above capacity almost every night of the year, and Hope House had to turn away 2,561 women and children because its shelters were at capacity. (It should be noted that Hope House operates two facilities, one in Independence and one in Lee's Summit, however, understanding that there are likely more individuals in need than is reflected in this count, these numbers can be considered to generally reflect a significant unmet need in Independence.

Consolidated Plan INDEPENDENCE 46 OMB Control No: 2506-0117 (exp. 07/31/2015) Renter Owner 030% AMI >3050% AMI >5080% AMI >80100% AMI Total 030% AMI >3050% AMI >5080% AMI >80100% AMI Total Other, non-family households 0 0 4 0 4 0 0 15 0 15 Total need by income 194 105 104 50 453 60 75 64 28 227 Data Source: 2008-2012 CHAS Renter Owner 0-30% AMI >3050% AMI >5080% AMI Total 0-30% AMI >3050% AMI >5080% AMI Total Households with Children Present Data Source Comments:

What are the most common housing problems?

With the high foreclosure rate of the past seven years, credit history and eviction prevents many low income residents from obtaining quality housing, thus falling victim to disreputable landlords and subquality housing. Many face substantial deposits because of past financial mistakes or economic hardships. With home ownership at a national low, the demand for rental homes creates higher rent and increased screening of potential tenants.

Are any populations/household types more affected than others by these problems?

Limited or non-English speaking households have increased substantially with the latest census update, with the greatest growth in the North West section of Independence. These households are farthest from the retail growth in Eastern Independence, with limited public transportation options. Efforts should be taken to incorporate Spanish signage, interpretation options for public services/facilities and bilingual positions in city government.

Describe the characteristics and needs of Low-income individuals and families with children (especially extremely low-income) who are currently housed but are at imminent risk of either residing in shelters or becoming unsheltered 91.205(c)/91.305(c)). Also discuss the needs of formerly homeless families and individuals who are receiving rapid re-housing assistance and are nearing the termination of that assistance

The primary threat to low and extremely low income families appears to be under-employment, lack of adequate savings for emergencies such as medical, and affordable daycare for parents to utilize during school or work hours. Transportation remains an on-going issue dispute the City's efforts to increase bus and paratransit services.

If a jurisdiction provides estimates of the at-risk population(s), it should also include a description of the operational definition of the at-risk group and the methodology used to generate the estimates:

N/A

Specify particular housing characteristics that have been linked with instability and an increased risk of homelessness

The following are the most commonly cited causes of homelessness for families as the following:

OMB Control No: 2506-0117 (exp. 07/31/2015)

Consolidated Plan INDEPENDENCE 47

• Unemployment or under-employment

• Rental History

• Felony record

The following are the most commonly cited causes of homelessness for individuals as the following:

• Substance abuse/Mental illness

• Unemployment

• Felony record

OMB Control No: 2506-0117 (exp. 07/31/2015)

Consolidated Plan INDEPENDENCE 48

NA-15 Disproportionately Greater Need: Housing Problems – 91.205 (b)(2)

Assess the need of any racial or ethnic group that has disproportionately greater need in comparison to the needs of that category of need as a whole.

The information for Screens NA-15, 20, 25 AND 30 ARE COVERED IN THE AFH AND THESE SCREENS WILL BE BLANK AS RECOMMENDED IN THE CPD TRAINING OF JUNE 12, 2017.

0%-30% of Area Median Income

Housing Problems

Has one or more of four housing problems

Has none of the four housing problems

Household has no/negative income, but none of the other housing

*The four housing problems are:

1. Lacks complete kitchen facilities,

2. Lacks complete plumbing facilities,

3. More than one person per room, 4.Cost Burden greater than 30%

30%-50% of Area Median Income

Housing Problems

Has one or more of four housing problems

Has none of the four housing problems

Household has no/negative income, but none of the other housing problems

OMB Control No: 2506-0117 (exp. 07/31/2015)

Consolidated Plan INDEPENDENCE 49
Introduction
problems Jurisdiction as a whole 6,010 749 419 White 4,760 649 324 Black / African American 495 45 75 Asian 0 0 0 American Indian, Alaska Native 35 0 0 Pacific Islander 0 0 0 Hispanic 580 35 4 Data Source: 2008-2012
CHAS
Jurisdiction as a whole 4,665 2,750 0 White 3,840 2,510 0 Black / African American 355 30 0 Asian 35 0 0 American Indian, Alaska Native 10 4 0 Pacific Islander 15 0 0

*The four housing problems are:

1. Lacks complete kitchen facilities, 2. Lacks complete plumbing facilities, 3. More than one person per room, 4.Cost Burden greater than 30%

50%-80% of Area Median Income

*The four housing problems are:

1. Lacks complete kitchen facilities, 2. Lacks complete plumbing facilities, 3. More than one person per room, 4.Cost Burden greater than 30%

80%-100% of Area Median Income

Has none of the four housing problems

has no/negative

Consolidated Plan INDEPENDENCE 50 OMB Control No: 2506-0117 (exp. 07/31/2015) Housing Problems Has one
of
housing problems Has none of the four housing problems Household has no/negative income, but none of the other housing problems Hispanic 355 165 0 Data Source: 2008-2012 CHAS
or more
four
Housing Problems Has one or more of four housing problems Has none of the four housing problems Household has no/negative income, but none of the other housing problems Jurisdiction as a whole 2,885 6,320 0 White 2,390 5,390 0 Black / African American 165 285 0 Asian 70 85 0 American Indian, Alaska Native 10 0 0 Pacific Islander 30 15 0 Hispanic 175 490 0 Data Source: 2008-2012 CHAS
Housing Problems
Household
income,
of
Has one or more of four housing problems housing problems Jurisdiction as a whole 898 5,130 0 White 703 4,550 0 Black / African American 140 245 0
but none
the other

Data Source: 2008-2012 CHAS

*The four housing problems are:

1. Lacks complete kitchen facilities,

2. Lacks complete plumbing facilities, 3. More than one person per room,

4. Cost Burden greater than 30%

Discussion

In the 0-30% Area Median Income (AMI) range 5,205 households or 77.4% within this income category experience at least one of the four housing problems. American Indian/Alaska Native (100%) households show a disproportionate need that is more than ten percentage points higher than the aggregate population between 0-30% AMI that has one more of the four housing problems. The total number of households experiencing a disproportionate need is 4, or less than 1 % of households in this income category.

In the 30-50% AMI range 4,325 households or 61.6% within this income category experience at least one of the four housing problems. Black/African American (84.5%), Asian (84.2%) and Hispanic (88%) households all show a disproportionate need that is ten percentage points or more than the aggregate population between 30%-50% AMI that has one more of the four housing problems. The total number of households experiencing a disproportionate need is 630, or 9.4% of households in this income category.

In the 50-80% AMI range 3,055 households or 29.6% of the population within this income range experience at least one of the four housing problems. There are a total of 165 disproportionate households in this category, which includes African Americans (40.7%), American Indians/Alaska Natives (100%), and Pacific Islanders (100%). The disproportionate households consist of 1.6% of the population within this income range.

Consolidated Plan INDEPENDENCE 51 OMB Control No: 2506-0117 (exp. 07/31/2015)
Has one or more of four housing problems Has none of the four housing problems Household has no/negative income, but none of the other housing problems Asian 0 15 0 American Indian, Alaska Native 0 60 0 Pacific Islander 19 0 0 Hispanic 30 230 0
Housing Problems

In the 80%- 100% AMI range 6,020 households or 14.3% of the population within this income range experience at least one of the four housing problems. There are a total of 159 disproportionate households, which includes Pacific Islanders (100%) and Hispanics (30.7%). The disproportionate households consist of 2.6% of the population within this income range.

Although some population categories across all income groups do show a disproportionate need, the total number of households (958) is limited to only 7.1% of the entire population City-wide experiencing one or more of the four housing problems. Other groups also have one or more of the housing problems which strongly indicates that the City as a whole needs access to decent, safe and affordable housing. Analysis of the data shows that approximately 13,445 of households at or below 100% AMI, or 44.7%, live in homes with one or more of the four housing problems, with the greatest need falling within all individuals that are below 80% AMI and represents 93.6% of the total households.

OMB Control No: 2506-0117 (exp. 07/31/2015)

Consolidated Plan INDEPENDENCE 52

NA-20 Disproportionately Greater Need: Severe Housing Problems – 91.205

(b)(2)

Assess the need of any racial or ethnic group that has disproportionately greater need in comparison to the needs of that category of need as a whole.

The information for Screens NA-15, 20, 25 AND 30 ARE COVERED IN THE AFH AND THESE SCREENS WILL BE BLANK AS RECOMMENDED IN THE CPD TRAINING OF JUNE 12, 2017.

OMB Control No: 2506-0117 (exp. 07/31/2015)

Consolidated Plan INDEPENDENCE 53
Introduction
Median Income
Has
Household
no/negative income,
housing problems Jurisdiction as a whole 4,574 2,189 419 White 3,604 1,809 324 Black / African American 385 155 75 Asian 0 0 0 American Indian, Alaska Native 35 0 0 Pacific Islander 0 0 0 Hispanic 475 140 4 Data Source: 2008-2012 CHAS
1. Lacks
kitchen
2. Lacks
plumbing facilities, 3. More
1.5
per room, 4.Cost Burden
30%-50% of Area Median Income
Housing Problems* Has one
housing problems Has
housing problems Household
no/negative income,
of the
housing problems Jurisdiction as a whole 1,725 5,685 0 White 1,370 4,965 0 Black / African American 180 205 0 Asian 0 35 0
0%-30% of Area
Severe Housing Problems* Has one or more of four housing problems
none of the four housing problems
has
but none of the other
*The four severe housing problems are:
complete
facilities,
complete
than
persons
over 50%
Severe
or more of four
none of the four
has
but none
other

*The four severe housing problems are:

1. Lacks complete kitchen facilities, 2. Lacks complete plumbing facilities, 3. More than 1.5 persons

room, 4.Cost Burden over 50%

*The four severe housing problems are:

1. Lacks complete kitchen facilities, 2. Lacks complete plumbing facilities, 3. More than 1.5 persons per room, 4.Cost Burden over 50%

Consolidated Plan INDEPENDENCE 54
Control No: 2506-0117 (exp. 07/31/2015) Severe Housing Problems* Has one or more of four housing problems Has none of the four housing problems Household has no/negative income, but none of the other housing problems American Indian, Alaska Native 0 14 0 Pacific Islander 15 0 0 Hispanic 130 385 0 Data Source: 2008-2012 CHAS
OMB
per
50%-80%
Median
Severe Housing Problems* Has one or more of four housing problems Has none of the four housing problems Household has no/negative income, but none of the other housing problems Jurisdiction as a whole 570 8,635 0 White 455 7,320 0 Black / African American 10 440 0 Asian 14 145 0 American Indian, Alaska Native 0 10 0 Pacific Islander 20 25 0 Hispanic 50 610 0 Data Source: 2008-2012
of Area
Income
CHAS

80%-100% of Area Median Income

Discussion

In the 0-30% Area Median Income (AMI) range 6,724 households or 57% within this income category experience at least one of the four housing problems. There are no minority populations that show a disproportionate need that is more than ten percentage points higher than the aggregate population between 0-30% AMI that has one more of the four housing problems.

In the 30-50% AMI range 7,020 households or 20.2% within this income category experience at least one of the four housing problems. Hispanic (36%) households show a disproportionate need that is ten percentage points or more than the aggregate population between 30%-50% AMI that has one more of the four housing problems. The total number of households experiencing a disproportionate need is 135, or 1.9% of households in this income category.

In the 50-80% AMI range 10,330 households or 5.1% of the population within this income range experience at least one of the four housing problems. There are a total of 35 disproportionate households in this category, which includes Pacific Islanders (100%). The disproportionate households consist of less than 1% of the population within this income range.

In the 80%- 100% AMI range 6,020 households or 4.7% of the population within this income range experience at least one of the four housing problems. There are a total of 155 disproportionate

Consolidated Plan INDEPENDENCE 55 OMB Control No: 2506-0117 (exp. 07/31/2015)
Severe Housing Problems* Has one or more of four housing problems Has none of the four housing problems Household has no/negative income, but none of the other housing problems Jurisdiction as a whole 224 5,810 0 White 169 5,095 0 Black / African American 0 385 0 Asian 0 15 0 American Indian, Alaska Native 0 60 0 Pacific Islander 19 0 0 Hispanic 30 230 0
Data Source: 2008-2012 CHAS *The four severe housing problems are: 1. Lacks complete kitchen facilities, 2. Lacks complete plumbing facilities, 3. More than 1.5 persons per room, 4.Cost Burden over 50%

households, which includes Pacific Islanders (100%) and Hispanics (29.2%). The disproportionate households consist of 2.6% of the population within this income range.

Although some population categories across all income groups experiencing severe housing burden do show a disproportionate need, the total number of households (325) is limited to only 1.1% of the entire population City-wide experiencing one or more of the four housing problems. Other groups also have one or more of the housing problems which strongly indicates that the City as a whole needs access to decent, safe and affordable housing. Analysis of the data shows that approximately 6,065 of households at or below 100% AMI, or 20.2%, live in housing with one or more of the four housing problems, with the greatest need falling within all individuals that are below 0-30% AMI and represents 12.7% of the total households.

Consolidated Plan INDEPENDENCE 56
OMB Control No: 2506-0117 (exp. 07/31/2015)

NA-25 Disproportionately Greater Need: Housing Cost Burdens – 91.205 (b)(2)

Assess the need of any racial or ethnic group that has disproportionately greater need in comparison to the needs of that category of need as a whole.

Introduction:

The information for Screens NA-15, 20, 25 AND 30 ARE COVERED IN THE AFH AND THESE SCREENS WILL BE BLANK AS RECOMMENDED IN THE CPD TRAINING OF JUNE 12, 2017.

Data Source: 2008-2012 CHAS

Discussion:

According to the analysis, 70.7% of all Independence households fall in the category of paying <=30% of household income towards housing costs. Of these, Black/African American (56.9%) households have a disproportionately greater housing cost burden in comparison to the others of this category of need as a whole.

According to the analysis, 17.2% of all households fall in the category of paying 30-50% of household income towards housing costs. No households have a disproportionately greater housing cost burden in comparison to the others of this category of need as a whole. Likewise, 16.0% of all households fall in the category of paying >=50% of household income towards housing costs; and no households have a disproportionately greater housing cost burden in comparison to the others of this category of need as a whole.

OMB Control No: 2506-0117 (exp. 07/31/2015)

Consolidated Plan INDEPENDENCE 57
Housing Cost Burden Housing Cost Burden <=30% 30-50% >50% No / negative income (not computed) Jurisdiction as a whole 32,309 8,254 6,434 464 White 28,535 6,900 5,129 324 Black / African American 1,195 605 575 75 Asian 435 90 4 0 American Indian, Alaska Native 150 20 35 0 Pacific Islander 40 20 29 0 Hispanic 1,674 480 560 50

NA-30 Disproportionately Greater Need: Discussion – 91.205(b)(2)

Are there any Income categories in which a racial or ethnic group has disproportionately greater need than the needs of that income category as a whole?

The information for Screens NA-15, 20, 25 AND 30 ARE COVERED IN THE AFH AND THESE SCREENS WILL BE BLANK AS RECOMMENDED IN THE CPD TRAINING OF JUNE 12, 2017.

OMB Control No: 2506-0117 (exp. 07/31/2015)

Consolidated Plan INDEPENDENCE 58

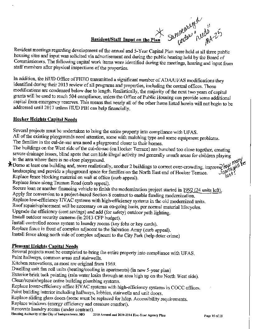
NA-35 Public Housing – 91.205(b) Introduction

The Housing Authority of Independence (PHA) is the entity responsible for management of public housing and administration of the Section 8 housing voucher program for the city of Independence. The PHA currently manages an inventory of 505 public housing units, and administers a supply of 1468 tenant-based vouchers. According to the most recent data reported December 31, 2013, the waiting list for housing assistance includes 3,930 households applying for Section 8 Voucher assistance, and 481 households seeking public housing. Of these households, the largest percent (71%) represent family (not elderly or disabled) households, followed by 24% representing single (not elderly or disabled) households. Applicant intake data indicates that 80% (3,158) of Section 8 applicants qualify as Extremely Low Income (at or below 30% AMI) and the average gross annual income of applicants is less than $10,500.00. Similarly, 97.5% (469) of Public Housing applicants qualify as Extremely Low Income households with the average gross annual income of applicants being $5,062.00.

It should be noted that because Section 8 housing vouchers issued by the PHA are transportable across City limits, the number of applicants on the waiting list are generally considered to be more reflective of the regional, rather than jurisdictional, demand for housing voucher assistance.

Consolidated Plan INDEPENDENCE 59
Control No: 2506-0117 (exp. 07/31/2015)
OMB
Totals in Use Program Type Certificate ModRehab Public Housing Vouchers Total Project -based Tenant -based Special Purpose Voucher Veterans Affairs Supportive Housing Family Unification Program Disabled * # of units vouchers in use 0 0 505 1,468 0 1,456 0 0 0
Non-Elderly Disabled, Mainstream One-Year, Mainstream Five-year, and Nursing Home Transition
Source: PIC (PIH Information Center)
*includes
Data
Consolidated Plan INDEPENDENCE 60 OMB Control No: 2506-0117 (exp. 07/31/2015)
Program Type Certificate ModRehab Public Housing Vouchers Total Project -based Tenant -based Special Purpose Voucher Veterans Affairs Supportive Housing Family Unification Program Average Annual Income 0 0 9,835 11,414 0 11,397 0 0 Average length of stay 0 0 4 4 0 4 0 0 Average Household size 0 0 1 2 0 2 0 0 # Homeless at admission 0 0 0 0 0 0 0 0 # of Elderly Program Participants (>62) 0 0 134 177 0 176 0 0 # of Disabled Families 0 0 208 399 0 391 0 0 # of Families requesting accessibility features 0 0 505 1,468 0 1,456 0 0 # of HIV/AIDS program participants 0 0 0 0 0 0 0 0 # of DV victims 0 0 0 0 0 0 0 0 Data Source: PIC (PIH Information Center)
Characteristics of Residents

*includes Non-Elderly Disabled, Mainstream One-Year, Mainstream Five-year, and Nursing Home Transition

*includes Non-Elderly Disabled, Mainstream One-Year, Mainstream Five-year, and Nursing Home Transition

Consolidated Plan INDEPENDENCE 61 OMB Control No: 2506-0117 (exp. 07/31/2015) Race of Residents Program Type Race Certificate ModRehab Public Housing Vouchers Total Project -based Tenant -based Special Purpose Voucher Veterans Affairs Supportive Housing Family Unification Program Disabled * White 0 0 376 696 0 684 0 0 0 Black/African American 0 0 107 735 0 735 0 0 0 Asian 0 0 4 0 0 0 0 0 0 American Indian/Alaska Native 0 0 15 29 0 29 0 0 0 Pacific Islander 0 0 3 8 0 8 0 0 0 Other 0 0 0 0 0 0 0 0 0
Data Source: PIC (PIH Information Center) Ethnicity of Residents Program Type Ethnicity Certificate ModRehab Public Housing Vouchers Total Project -based Tenant -based Special Purpose Voucher Veterans Affairs Supportive Housing Family Unification Program Disabled * Hispanic 0 0 15 30 0 30 0 0 0 Not Hispanic 0 0 490 1,438 0 1,426 0 0 0

Section 504 Needs Assessment: Describe the needs of public housing tenants and applicants on the waiting list for accessible units:

The PHA does not have detailed information about the nature of the disability of current residents, or those on the wait list for an accessible unit. Of the households currently on the waiting lists, 3.9% (155) of Section 8 applicants qualify as disabled and 5.1% (25) of Public Housing applicants qualify as disabled.

Most immediate needs of residents of Public Housing and Housing Choice voucher holders

The largest groups of participants from 2014 according to race were black (73.5%) and white (25.2%). 2.65% of families on the Section 8 waiting list were of Hispanic/Latino ethnicity and 2.0% of the Public Housing waiting list, and less than 1% each were American Indian, Native Hawaiian/Other Pacific Islander or Asian on either list. This reflects a change from 2009, which showed 30% of waiting list families were white, and 63% of waiting list families were black. This difference in racial composition is the most notable difference between the Section 8 and Public Housing waiting lists, which had 55.49% white families and 37.8% black families. Family households composed 68.7% of Section 8 applicants waiting, and 91.4% of Public Housing applicants waiting. Less than 1% of the waiting list for Section 8 was elderly, and 5.1% for Public Housing. Of those on the waiting list, 80% of Section 8 applicants qualify as Extremely Low Income (at or below 30% AMI) and the average gross annual income of applicants is less than $10,500.00. 97.5% of Public Housing applicants qualify as Extremely Low Income households with the average gross annual income of applicants being $5,062.00.

Beyond the availability of basic housing assistance, consultation with the PHA and the citizen base at large also identified the following immediate needs of residents of public housing and Housing Choice voucher holders:

• Capital improvements focused on increased security (lighting, fencing, locking systems), ADA accessibility, playgrounds located within closer proximity to housing units, energy efficiency upgrades, and general maintenance items.

• Homebuyer assistance for Vouchers-to-Homeowners buyers

• Utility assistance

• Employment opportunities and job training

• Education programs

• Self-sufficiency and asset development programs

How do these needs compare to the housing needs of the population at large?

The housing needs of residents and those on the waiting list for public housing assistance are primarily a direct reflection of the needs of the city’s extremely low income population (earning less than 30% AMI). According to the 2014 HUD Income Limits, a single person household is considered extremely low income if they earn less than $14,700 annually. As shown in Table 23, the average income of residents currently living in public housing is $9,835.00 and the average annual income of households receiving

OMB Control No: 2506-0117 (exp. 07/31/2015)

Consolidated Plan INDEPENDENCE 62

Section 8 housing vouchers is less than $11,414.00, indicating a large percentage of beneficiaries, single and family households alike, fall well below the extremely low income limit. Of the households currently on the waiting list, 97.5% (469) of Public Housing applicants qualify as Extremely Low Income with an average annual gross income of $5,062.00, and 80.4% (3,158) of Section 8 applicants qualify as Extremely Low Income with an average annual gross income of $10,437.00.

According to the 2006-2010 CHAS data, there are 2,620 extremely low income renter households in Independence that have a housing cost burden of more than 50% of their income. Of these households 34.9% (914) represent family households. CHAS data also suggests that there is currently a significant shortage of housing units affordable to these households. With only 1,610 rental units available to meet this need, nearly half of 30% AMI households have unserved affordable housing needs. As detailed above, this shortage of affordable housing is evidenced by the significant number of extremely low income Public Housing applicants, the majority of which are family households, currently on the waiting list for public housing and Section 8 assistance.

Discussion

For the majority of households, long term reliance on public housing assistance becomes a reality. The current system for distribution of assistance is not designed to support in a meaningful way a family's or an individual's efforts to grow towards self-sufficiency. With the amount, and sometimes the continued availability, of assistance directly tied to total household income, public housing beneficiaries, including teenage and young adult children living at home, have very little opportunity or incentive to improve their earnings potential and accumulate wealth for fear of risking their family's short term housing security. As is, the current system presents a significant barrier to making a lasting impact on the unmet affordable housing, self-sufficiency, and family success needs of current and future public housing beneficiaries. Future efforts of the PHA and the community as a whole should focus on developing programs designed to help public housing beneficiaries to achieve self-sufficiency without prematurely disqualifying the household from public housing assistance.

Consolidated Plan INDEPENDENCE 63
OMB Control No: 2506-0117 (exp. 07/31/2015)

NA-40 Homeless Needs Assessment – 91.205(c)

Introduction:

On January 29th and 30th, 2014, the Jackson County Continuum of Care (CoC) completed its Point-inTime (PIT) Count, providing HUD, the community, and our agencies with a snapshot of the state of homelessness in our regional community.

The count was completed using a new measurement tool: the Vulnerability Index/Service Prioritization Decision Assessment Tool (VI/SPDAT). The Vulnerability Index (VI)1 was introduced in Kansas City in 2012 and focused on identifying who in the community is homeless through demographic information, and determining the priority of housing needs among the homeless, based on medical indicators of vulnerability to serious illness and/or death if the person remains un-housed. The Service Prioritization Decision Assessment Tool (SPDAT) further defines the needs of each person that is experiencing homelessness, to facilitate their receiving services appropriate to their circumstances. When used together, these tools provide communities with the best available information about the extent and needs of the homeless individuals and families that we are striving to effectively serve.

The VI has been critical to the CoC's efficient and cost-effective work of the 100,000 Homes Campaign in the Kansas City region. One of the most important aspects of the Campaign has been the creation of a Kansas City Housing Placement Team that meets every other week and includes case managers from 1030 agencies, including medical, housing and behavioral health staff. Each agency representative signs a Memorandum of Understanding regarding confidentiality of all client data that is shared in those meetings. The Placement Team results in effective collaboration and cooperation in moving people from the streets to housing as quickly as possible, plus ensuring that the client receives the wraparound services he or she needs to maintain that housing.

The enhanced information provided by the VI/SPDAT allows case managers to identify further defining characteristics of surveyed persons to determine their current circumstances, possible supports, skills, needs and history of their experiences. In the ever-evolving field of serving those with significant needs, gathering information is an important aspect of what we do to improve the lives of those in our community. Jackson County's many providers are working to use these cutting-edge resources on behalf of those they serve, to the benefit of the client, the agency and the community as a whole.

What follows is the data derived from the 2016 Point-in-Time (PIT) Count, a comparison to the 2013 data, as well as trends in the data and what comes next as we work to end homelessness in the Greater Kansas City region.

Point-in-Time Summary (2016)

The chart below represents the total number of persons counted at the January 2016 Point-in-Time (PIT) Count. The data are arranged in relation to persons Sheltered (Transitional Housing, Emergency Shelter,

OMB Control No: 2506-0117 (exp. 07/31/2015)

Consolidated Plan INDEPENDENCE 64

or Safe Haven) or unsheltered status. The Point in Time count did not include collection of data concerning the categories "number of persons becoming and exiting homelessness each year," and "number of days that persons experience homelessness".

Consolidated Plan INDEPENDENCE 65 OMB Control No: 2506-0117 (exp. 07/31/2015)
Homeless Needs Assessment Population Estimate the # of persons experiencing homelessness on a given night Estimate the # experiencing homelessness each year Estimate the # becoming homeless each year Estimate the # exiting homelessness each year Estimate the # of days persons experience homelessness Sheltered Unsheltered Persons in Households with Adult(s) and Child(ren) 10 425 460 0 0 0 Persons in Households with Only Children 24 28 11 0 0 0 Persons in Households with Only Adults 150 587 1,460 0 0 0 Chronically Homeless Individuals 55 311 285 0 0 0 Chronically Homeless Families 7 3 36 0 0 0 Veterans 24 98 200 0 0 0 Unaccompanied Child 28 63 11 0 0 0 Persons with HIV 3 19 44 0 0 0 Data Source Comments: 2016 Annual Point In Time data, with 2015 sub group data.

Indicate if the homeless population is: Has No Rural Homeless

If data is not available for the categories "number of persons becoming and exiting homelessness each year," and "number of days that persons experience homelessness," describe these categories for each homeless population type (including chronically homeless individuals and families, families with children, veterans and their families, and unaccompanied youth):

Chronically Homeless Persons

Of the total persons counted at the 2014 PIT Count (1931), 285 persons were identified as chronically homeless. This is an increase from the 180 persons identified by the 2013 PIT Count. Kansas City is committed to serving the chronically homeless subpopulation, which is reflected in the 2014 HIC. The total number of beds allocated for chronically homeless individuals and families increased from 191 beds in January 2013 to 864 beds in 2014; this is a 78% increase in beds allocated for chronically homeless persons.

Homeless Families and Youth

In January 2014, the Kansas City community counted 407 youth in total (292 under age 18; 115 ages 1824). This is a 44% reduction in the number of homeless youth in the Kansas City area since January 2013 (732 total youth). Of the total youth counted, 93 were surveyed individually, and the remaining 314 were attached to households. This reduction in the total number of homeless youth may be a result of the increase in families housed in permanent housing units and who are sheltered in general. Our community has placed a strong emphasis on housing unattached youth and in 2014, we initiated our first Youth Count in coordination with the PIT Count.

Homeless Veterans

The total number of veterans counted in January 2013 was 254 persons. At the January 2014 PIT Count, the total reported veterans decreased by 21% to 200 persons. This community has initiated diverse efforts to end veteran homeless, including the disbursement of HUD-VASH vouchers and effective utilization of Supportive Services for Veterans and Families (SSVF) grants. Likewise, the 100,000 Homes Campaign continues to focus on veteran populations. This collaborative approach has housed 107 veterans as of June 30, 2014

OMB Control No: 2506-0117 (exp. 07/31/2015)

Consolidated Plan INDEPENDENCE 66

Unaccompanied Youth

It is important to note that while the Point in Time Count does not include counting homeless students who report on their status at their schools, the school districts in Jackson County do report their numbers to our Continuum of Care. Those numbers as of January 2014 are in the chart below. These numbers help us plan for outreach and other efforts on behalf of a segment of the population that are not necessarily captured in the 24- hour count.

Nature and Extent of Homelessness: (Optional)

Consolidated Plan INDEPENDENCE 67 OMB Control
No: 2506-0117 (exp. 07/31/2015)
Race: Sheltered: Unsheltered (optional) White 628 106 Black or African American 938 61 Asian 1 2 American Indian or Alaska Native 8 1 Pacific Islander 1 1 Ethnicity: Sheltered: Unsheltered (optional) Hispanic 148 19 Not Hispanic 1,554 165 Data Source Comments:
Greater KC Unaccompanied Youth Count

The following chart illustrates the Point-in-Time (PIT) data that have been collected since January 2010. While this is not an exhaustive depiction of all data collected, the chart succinctly compares the total number of persons counted during a five-year span (2010-2014).

Greater KC 5 Year Homeless Population Trend

Estimate the number and type of families in need of housing assistance for families with children and the families of veterans.

Family homelessness is increasing rapidly, both nationally and in the Greater Kansas City Metropolitan area. Based on the 2014 PIT data, it is estimated that approximately 13% of all households and 24% of the total population represent families with children. Most families who experience homelessness have different needs than chronically homeless adults and reach the shelter system only as a last resort. They have lower rates of substance abuse and mental health challenges than homeless adults, and homeless families’ characteristics more closely match other low-income families. Two primary reasons cited by research for the increase in family homelessness are domestic violence and the inability to pay rent, although others encounter homelessness due to some unforeseen financial crisis such as a death in the family or a medical emergency. The typical homeless family is made up of a homeless mother with two children under the age of five. These families are extremely poor with income significantly below poverty level. The mother has limited earning power with low job skills and often has been working sporadically at a low wage service job. The mother frequently has limited education and is often overwhelmed at the prospect of arranging for childcare.

According to the 2006-2011 American Community Survey, an estimated 13,312 (or 75.4%) of all Independence households living below poverty represent family households. Further an estimated 2,965 very low income family renter households, or 18% of all renter households, are experiencing one or more types of severe housing burden which include lack of kitchen or complete plumbing, severe overcrowding, or severe cost burden. Poverty rates and severe housing burden among the City's poor can be considered an indicator of need for housing assistance in order to prevent homelessness.

No reliable data concerning the specific need for housing assistance among families of veterans is currently available.

OMB Control No: 2506-0117 (exp. 07/31/2015)

Consolidated Plan INDEPENDENCE 68

Describe the Nature and Extent of Homelessness by Racial and Ethnic Group.

Of the total persons counted at the 2014 PIT Count (1931), 61% (1173) represent minority populations. Of the total homeless count, 53% (1105) are Black/African American and 39% (758) are White/Caucasian. The remaining racial categories individually make up less than 10% of the total count as follows: Multiple Race individuals or households (7%), American Indian/Alaska Native (1%) and Asian & Native Hawaiian/Pacific Islander (<1%). Ethnically speaking, approximately 9% (165) of homeless counted are Hispanic/Latino. Of the Unsheltered homeless counted 57% (130) are White/Caucasian, 34% (77) are Black/African American, with the remaining 9% comprised of other races groups; 8% (17) of unsheltered are Hispanic.

Describe the Nature and Extent of Unsheltered and Sheltered Homelessness.

Between January 2013 and January 2014, the number of unsheltered persons counted has decreased from 807 to 229 persons. This decrease may be the result of many factors. Community-wide, the number of permanent housing beds has increased by 144 beds since the January 2013 PIT count, which results in more persons placed in permanent housing units. The January 2014 Housing Inventory reflects an increase of 373 counted [sheltered] persons, which includes an increase of 193 persons in permanent housing units. This increase in persons housed is likely due to the success of the 100,000 Homes Campaign in the Kansas City area. As of June 30, 2014, 100,000 Homes Kansas City had effectively placed 434 persons in Permanent Housing units.

Discussion:

In response to guidelines established by HUD, the Jackson County Continuum of Care continues to follow HUD's Housing First model which strives to ensure sustainable, rather than episodic or sporadic, housing for all persons experiencing homelessness. This approach includes an emphasis on housing chronically homeless individuals and families, veterans, and youth; and makes its top priority increasing access to permanent and sustainable housing. The number of Permanent Housing units, Permanent Supportive Housing and Rapid Rehousing continues to increase based on our community's commitment to effectively housing all persons. On January 30, 2014, the Kansas City community counted 1722 persons in permanent housing units. Of those 1722 persons, 1698 were housed in Permanent Supportive Housing; 24 were in Rapid Rehousing units. This is a 13% increase from 1529 persons housed in permanent housing at the January 2013 PIT count.

OMB Control No: 2506-0117 (exp. 07/31/2015)

Consolidated Plan INDEPENDENCE 69

NA-45 Non-Homeless Special Needs Assessment - 91.205 (b,d)

Introduction:

The Non-Homeless Special Needs population is a broad category that applies to any population that is presumed to be low to moderate income and in need of public services. Non-homeless special needs include those of the mentally ill, persons with substance abuse, physically and developmentally disabled, at-risk youth and young adults, elderly and frail elderly, and other groups such as victims of domestic violence, dating violence, sexual assault and stalking, and persons with HIV/AIDS.

Estimating the needs of special populations can be challenging as specific data for each need group, particularly at the local or regional level, is not always readily available. Even when data is available on the number of persons with a special need, it can be difficult to determine how many of them are underserved through existing housing and services, and how many of them will need services in the future. In general, the needs of the Non-Homeless Special Needs populations in the Independence community are addressed by local non-profit agencies, usually in coordination with the City or the Jackson County Continuum of Care, with resources made available for serving the low income and otherwise disadvantaged community.

Describe the characteristics of special needs populations in your community:

Elderly (65+) and Frail Elderly (75+)

According to the 2009-2013 American Community Survey, 15.9% (18,358) of Independence's population is over the age of 65, compared by reference to 12.4% in Jackson County. Households with one or more individuals over the age of 60 represent 36.3% (17,260) of all households, compared by reference to 30.8 in Jackson County. There are 2,495 households with one or more individuals over the age of 65 with a household income between 0-50% AMI which HUD qualifies as falling between Very Low Income and Poverty level. Further there are 2,839 households with one or more individual over the age of 75 with a household income between 0-50% AMI which HUD qualifies as falling between Very Low Income and Poverty level.

In the City of Independence, the housing and public service needs of seniors and the elderly continue to be a community priority. The City is fortunate to have two senior community centers, both providing for the nutritional, social, and transportation needs of aging residents in our community. In addition, the community benefits from a wide variety of senior multi and single family housing developments, many of which have been built in the last five years in response to what was understood as a growing need. The City takes an active role in the development of senior housing in our community to ensure the location and housing type are adequate and appropriate for community and resident needs.

OMB Control No: 2506-0117 (exp. 07/31/2015)

Consolidated Plan INDEPENDENCE 70

Youth and Young Adults

According to the 2010 Census, 28.8% (14,015) of Independence households represent families that include related children under the age of 18. Of all family households with children 22.4% (6,748) include only school aged children between the ages of 6-17 years old, and 10.4% (3,123) include only children under the age of 6. Of all family households with children, 68.8% (20,739) represent husbandwife families, and 22.5% (6,787) represent female head of household families. Of the female head of household families, 30.8% (2,091) have only school aged children between the ages of 6-17.

According to the 2009-2013 American Community Survey 75.4% (13,312) of Family households in Independence are living in poverty. With 28.8% of Family households including children under the age of 18, it is estimated that as many as 10,567 households with children are currently living in poverty. According to the 2013 Missouri Department of Elementary and Secondary Education Report for the Independence School district, 77.4% of students in the district were enrolled in the Free/Reduced Lunch program.

Physically and Developmentally Disabled/Mental Illness and Substance Abuse

According to the 2009-2013 American Community Survey 15.6% (18,128) of Independence's population is considered disabled, with 9,864 representing women and 8,264 representing men. Among both male and female populations, the age 35-64 category has the greatest number of disabled persons with a combined total of 7,699 disabled which represent 17.3% of the population 35-64 and 34% of all disabled persons.

According to the 2013 Independence Community Health Assessment, in the 2012 state fiscal year, 14,653 Jackson County residents received treatment for serious mental illness. While there is data on those who receive treatment, data on mental health in the general population is very limited. This is especially true at the local level. In northwest Missouri, 21% of those 18 and older had a mental illness in the past year with 5% having a serious mental illness in the past year. These disorders resulted in substantial impairment in carrying out major life activities.

The City of Independence does not collect data, nor does it provide services for mental and behavioral health. Residents are referred to Jackson County, which does provide some services at the county level for residents of Independence. Residents are also referred to Comprehensive Mental Health Services (CMHS) for additional services.

Victims of Domestic Violence, Dating Violence, Sexual Assault and Stalking

Domestic violence impacts a significant portion of our local community. In 2014, the Uniform Crime Reporting (UCR) Program documented 6,208 domestic violence incidents in Jackson County, Missouri. In 2014, Hope House, one of the region's primary resources for serving the emergency shelter and supportive needs of this special needs population, reported serving 1,182 women and children in its emergency shelters, providing a total of 41,462 bed nights. Compared with two years ago, this

OMB Control No: 2506-0117 (exp. 07/31/2015)

Consolidated Plan INDEPENDENCE 71

represents 5% more people served and 2% more bed nights provided. The agency was full or above capacity almost every night of the year, and turned away 2,561 women and children because its shelters were at capacity. This is 37% more people turned away than the prior year, and 66% more than two years ago.

Although most adult survivors (98%) enter shelter primarily for domestic violence, 2% seek refuge at Hope House following a sexual assault. Clients at Hope House represent all racial, economic, religious, educational, and age backgrounds. In 2014, the majority of Hope House shelter clients were white (51%), African-American (33%), and Hispanic (7%). English was clients’ primary language (98%), followed by Spanish. Although Hope House sheltered women ages 17 through over 65, the largest age bracket for women in shelter was 30-39 years of age (35%). On average, women entered shelter with two children. According to the U.S. Department of Justice Bureau of Justice Statistics, the rate of intimate partner violence against women generally increases inversely with household income level. At Hope House, an overwhelming 84% of shelter clients had household incomes of $9,999 or less; 55% reported no income at all. Less than 1% had incomes greater than $30,000. Just 8% had private insurance; 34% were uninsured; and 49% utilized public benefits. Approximately 59% had no education beyond high school while 8% held college degrees.

What are the housing and supportive service needs of these populations and how are these needs determined?

While specific data is not available, it is generally understood that non-homeless special needs populations have an unmet need for affordable housing options that are accessible, both in terms of supply and physical accessibility, and that are purposed to accommodate their specific need or particular area of vulnerability. Non-homeless special needs populations often require managed housing, sometimes including one-on-one case management and a variety of other supportive services.

The needs of non-homeless special needs populations are primarily determined from input provided during the City's participation in the Jackson County Continuum of Care, the Consolidated Plan Citizen Participation Plan process, and local partner engagement. Priority unmet needs of non-homeless special needs populations determined during the 2017-2021 Consolidated Plan development process include the following:

• Domestic violence and child abuse prevention and emergency services

• Youth and young adult services (e.g. educational programming, college assistance, mentoring, GED classes, budgeting, savings programs)

• Sports and other recreational/social programs for youth

• Volunteer and employment opportunities for people with disabilities

• Home repair/housing rehabilitation, particularly to improve energy efficiency for seniors

• Accessible housing for people with disabilities, particularly families

• Legal services (immigration, credit, landlord-tenant) for families in crisis

• Expansion of Public Transportation city-wide (increased service and extended hours)

OMB Control No: 2506-0117 (exp. 07/31/2015)

Consolidated Plan INDEPENDENCE 72

Discuss the size and characteristics of the population with HIV/AIDS and their families within the Eligible Metropolitan Statistical Area:

In 2014, five new cases of HIV were reported to Independence Health Department (IHD). All reported 2014 cases were ranging in age from mid-20’s to early 60’s. The distribution in age follows the same trend seen in the region where most of the reported cases were between the ages of 25 and 64. It was observed that while the number of new HIV cases in 2013 in the Jackson – Kansas City area remained relatively steady with a slight decrease trend, the number of people living with HIV continued to steadily increase, a trend seen since 2004. Death rates per 100,000 residents over the past five years (2009 to 2013) show that the death rate in Independence has been higher than both Eastern Jackson and the State of Missouri but lower than Kansas City. It should be noted that Independence and Eastern Jackson rates are considered unstable due to the yearly death being less than 20 individuals.

Consolidated Plan INDEPENDENCE 73
OMB Control No: 2506-0117 (exp. 07/31/2015)

NA-50 Non-Housing Community Development Needs – 91.215 (f)

Describe the jurisdiction’s need for Public Facilities:

Independence currently offers a wide variety of public facilities both city and non-profit owned, including civic & recreation centers, parks and athletic fields, walking and biking paths, nonprofit social service centers, and public libraries. These public facilities can be found city-wide and are generally connected and accessible by way of public transportation systems provided by both the City of Independence and the Kansas City Area Transportation Authority.

Identified underserved needs for public facilities include the following:

• Youth centers city-wide

• Neighborhood Community Center in western Independence

• Public rugby/football field in western Independence

• Community garden projects

• Funding assistance for nonprofit service providers to acquire and/or improve public facilities in Independence

How were these needs determined?

The need for public facilities improvements and investments was identified through the Consolidated Plan Citizen Participation Process and consultation with local service providers, city departments and community partners. In addition, one-on-on consultations were held with families participating in a partnership with Independence School District and LINC's Caring Communities Program.

Describe the jurisdiction’s need for Public Improvements:

The need for public improvements city-wide is significant. Independence is 78 square miles in size, with the largest part of that area haven been developed with infrastructure by 1960. Western Independence, considered to be the area of greatest need in terms of low and moderate income populations, represents the City's urban core and is primarily comprised of turn of the century and Post War era and earlier urban developments. Infrastructure including, streets, sidewalks, curbs, gutters, storm water, sewer and water systems require a commitment to constant reinvestment in order to accommodate the density and age of area housing. At the same time, neighborhoods dating between 1960-90 in the eastern half of the City are also showing significant need for reinvestment. Many of the City's older commercial corridors are suffering from vacancy and property owner disinvestment, making it difficult to attract commercial and residential tax base to these areas needed to support residential reinvestment.

OMB Control No: 2506-0117 (exp. 07/31/2015)

Consolidated Plan INDEPENDENCE 74

Public improvement needs specifically identified during the Consolidated Plan process include the following:

• Reinvestment in older commercial corridors, vacant buildings, infrastructure (24Hwy-east & west, 23rd Street, Maywood & Englewood)

• Expansion of Public Transportation city-wide (increased service and extended hours)

• Sidewalk repair and installation programs, particularly near schools and along commercial corridors

• Code enforcement, including commercial properties; repair or removal of dilapidated structures in the community

• Western Independence gateway improvements and enhancements

• Traffic calming and parking improvements in the Fairmount Business District

How were these needs determined?

The need for public infrastructure improvements and investments was identified through the Consolidated Plan Citizen Participation Process and consultation with local service providers, city departments and community partners.

Describe the jurisdiction’s need for Public Services:

Independence benefits from a strong and comprehensive network of experienced public service providers. As is typically the case however, the community need always exceeds the available resources. The following details the unmet public service needs identified during the Consolidated Plan process:

• Rent and utility assistance

• Skilled job training and employment readiness programs for the unemployed and underemployed

• Credit and foreclosure issues, not enough support from banks and credit counselors

• Affordable preschool services nearby (Northwest Independence)

• Prisoner reentry program, assistance with housing, job placement, substance abuse, and social

• Access to fresh and healthy food and culturally relevant grocery store (Fairmount)

• Access to medical services and other needed businesses (Northeast Independence)

• Legal services (immigration, credit, landlord-tenant) for families in crisis

• Public safety and crime reduction programs

• Social enterprise assistance

• Classes to learn how to do-it-yourself for home fixes

• Domestic violence and child abuse prevention and emergency services

OMB Control No: 2506-0117 (exp. 07/31/2015)

Consolidated Plan INDEPENDENCE 75

• Youth and young adult services (e.g. educational programming, college assistance, mentoring, GED classes, budgeting, savings programs)

• Sports and other recreational/social programs for neighborhood youth

• Volunteer and employment opportunities for people with disabilities

How were these needs determined?

The need for public services was identified through the Consolidated Plan Citizen Participation Process and consultation with local service providers, city departments and community partners. Data, including unmet needs data, provided through United Way's 2-1-1 social service referral program provided information broken down by zip code for those seeking housing, emergency and subsistence level services in Independence. In addition, one-on-on consultations were held with families participating in a partnership with Independence School District and LINC's Caring Communities Program.

OMB Control No: 2506-0117 (exp. 07/31/2015)

Consolidated Plan INDEPENDENCE 76

MA-05 Overview

Housing Market Analysis

Housing Market Analysis Overview:

According to the 2010 Census, the City of Independence has a population of 116,830 within the 78 square miles in the City limits resulting in a population density of 1,498 people per square mile. The western portion (west of Noland Road) of the City consists of older moderate and high density single family residential neighborhoods; spotted multi-family conversions of older, larger single family structures; and low rise multi-family residential structures. The center portion of the City (between Noland and MO 291) is representative of post-World War II single-family subdivisions, parks and open space, and multi-family apartment complexes. The eastern portion of the City (east of MO 291) is characterized by more traditional suburban development patterns and low density residential development on large acreages. The older western and central sections of the City provide the majority of housing opportunities for low- and moderate- income individuals. In fact, a majority of all units in the City were built between 1950 and 1979 and show signs of deferred maintenance on the exterior; indicating a potential host of problems on the interior.

There is a lot of information in this document that shows the needs for differing types of housing; however, there are two main needs identified through both research and public input. They are the lack of available and updated units for extremely low- income households and the lack of programs to fund repairs to owner-occupied and rental properties benefiting low- and moderate- income households.

As of 2011, Independence also had a substantial vacancy rate near 11% of all housing units. Compare that to adjacent communities Blue Springs at 6.2%, Lee’s Summit at 5.5% according to the 2007-2011 American Community Survey. The key difference in vacancy rates is due to the disparity in rental vacancies (Independence 10%, Blue Springs 8.6% & Lee’s Summit 7.6% respectively). A healthy rental vacancy rate is closer to 7% considering turnover between tenants. Independence’s higher vacancy rate could be caused by many factors but also provides an opportunity to address the affordable housing needs of the community.

OMB Control No: 2506-0117 (exp. 07/31/2015)

Consolidated Plan INDEPENDENCE 77

MA-10 Number of Housing Units – 91.210(a)&(b)(2) Introduction

The vast majority of the residential properties in Independence are single-family detached homes (71%) followed distantly by multi-family structures with 5 or more units representing approximately 14% of all residential properties. Since 2000, the number of 2-4 units and the number of mobile homes in Independence has decreased by 689 units and 224 units, respectively. At the same time, the number of single-family detached, 1-unit attached and 5 or more unit structures in Independence have increased by 2,437 units, 1,046 units and 1,128 units, respectively.

When compared to Jackson County as a whole we see a similar distribution of residential properties by unit. Approximately 67% of residential properties are single-family detached structures followed by structures with 5 or more units which represent approximately 18% of residential structures.

All residential properties by number of units

Data Source: 2008-2012 ACS

When looking at individual units and the number of bedrooms we see that the majority of units (68%) in Independence have 3 or more bedrooms. Units with 2 bedrooms represent 35% of the units and approximately 12% of units have 1 bedroom. Jackson County has a larger percentage of units with 3 or more bedrooms (67%) a smaller percentage of 2 bedroom units at 32% and a larger percent of 1 bedroom units at approximately 14%. This makes sense that you would find more small homes in Independence as it is a physically older community in terms of housing stock, and those homes were quite popular during the post-World War II suburban expansion.

OMB Control No: 2506-0117 (exp. 07/31/2015)

Consolidated Plan INDEPENDENCE 78
Property Type Number % 1-unit detached structure 38,572 72% 1-unit, attached structure 2,697 5% 2-4 units 3,365 6% 5-19 units 5,109 10% 20 or more units 2,523 5% Mobile Home, boat, RV, van, etc 1,269 2% Total 53,535 100%

Unit Size by Tenure

Data Source: 2008-2012 ACS

Describe the number and targeting (income level/type of family served) of units assisted with federal, state, and local programs.

The Independence Housing Authority owns and operates 538 units of public housing and administers 1,647 Section 8 vouchers, most of which are tenant-based. The public housing units target households with low- to moderate-incomes, though demand for units among very-low income households predominates, with average incomes among program participants below 50% of median household income or $22,423. Units assisted through contracts with HUD target households with incomes below 80 percent of the area median income.

Provide an assessment of units expected to be lost from the affordable housing inventory for any reason, such as expiration of Section 8 contracts.

Some units assisted with Federal, state or local programs may be lost from the inventory during the fiveyear planning period. This is because several public housing and/or assisted housing HUD contacts may have expiration dates during the planning period.

Does the availability of housing units meet the needs of the population?

The availability of housing units in Independence generally meets the needs of households that earn up to 50% AMI in terms of number of units. There are 13, 869 households who earn up to 50% of AMI and there are 12,984 affordable housing units for that group. There is a shortage of 5,335 affordable housing units for very low- income households who earn less than 30% AMI. On the other hand, there is a surplus of 4,454 units affordable to households between 30-50% AMI. This indicates that in the future not as many new housing units should be built as much as existing units should be made safe and affordable to these income groups.

OMB Control No: 2506-0117 (exp. 07/31/2015)

Consolidated Plan INDEPENDENCE 79
Owners Renters Number % Number % No bedroom 59 0% 588 3% 1 bedroom 494 2% 4,442 26% 2 bedrooms 6,459 21% 7,126 42% 3 or more bedrooms 24,132 77% 4,808 28% Total 31,144 100% 16,964 99%

Describe the need for specific types of housing:

Generally, a diverse distribution of housing types is found within the City. The vast majority of housing units in the City are single-family homes at 71%, while 27% of units are within multiple-unit structures. This distribution generally provides a diverse selection of housing types for low- and moderate- income residents. Though as pointed out previously, there is a shortage of units for extreme low- income households. It is most likely these households will find affordable housing only in the form of rentals which suggest the highest priority needs for the specific types of housing are:

• The rehabilitation of existing housing units, both owner-occupied and rental) particularly in western Independence (west of MO 291)

• Additional Section 8 Vouchers for households below 30% of median household income (in refurbished/redeveloped structures)

Discussion

The number of housing units in the City increased from 2000 to 2011 by approximately 6,500 units. Many of those units (approximately 2,500) were single family homes and most are owner occupied. On the rental side there was a similar increase in total number of units (approximately 2,175) during that time period. These increases only kept up with the total population increase and did not accommodate the affordable housing needs of the community. Because of this a shortage of affordable housing does exist for very low income households earning less than 30% AMI. At the same time there is a diverse distribution of housing types available within the City that generally meets the needs in terms of total number of units.

The major issue that needs to be addressed moving forward is the quality of units available, especially for low- and moderate- income households. As shown later in this document, the housing stock in western Independence is older on average then the region. Additionally, that area is where the highest concentrations of households who report housing cost burdens reside. For these and other reasons it is likely that there are many properties in western Independence that would be candidates for rehabilitation or replacement if repair costs warrant it.

OMB Control No: 2506-0117 (exp. 07/31/2015)

Consolidated Plan INDEPENDENCE 80

MA-15 Housing Market Analysis: Cost of Housing - 91.210(a)

Introduction

Housing costs are a major portion of any households’ monthly budget. And because of this the overall affordability of housing is affected by both the cost of housing and the household’s income relative to those housing costs over time. According to the 2000 Census, the median home value in Independence was $76,000. By 2012, the median home value had increased to $101,400 (or 33%). Over the same period Jackson County’s median home values increased from $85,000 to $129,000 (or 53%). The County’s increased home values outpaced Independence’s by 11% and when compared to individual communities in Easter Jackson County we see an even greater disparity. Median home values increased from $108,300 to $149,800 (or 38%) and $131,500 to $186,800 (or 42%) in Blue Springs and Lee’s Summit respectively.

Median rental costs in Independence, over that time, saw a smaller increase from $409 to $572 (or 40%). In Jackson County median rent increased from $536 to $723 (or 35%). The communities of Blue Springs and Lee’s Summit saw rents increase from $543 to $855 (or 57%) and from $561 to $956 (or 70%) respectively.

At the same time these median housing costs were happening, median household incomes in Independence increased from $38,012 to $44,050 (or 16%). Median incomes countywide increased from $39,277 to $46,874 (or 19%). These relatively low increases in median incomes over the same time period as the moderate increase in home values have had the effect of making other areas of the region less affordable while Independence has become relatively more affordable to all income levels but especially low- and moderate- income households.

OMB Control No: 2506-0117 (exp. 07/31/2015)

Consolidated Plan INDEPENDENCE 81
Cost of Housing Base Year: 2000 Most Recent Year: 2012 % Change Median Home Value 76,000 101,400 33% Median Contract Rent 409 572 40% Data Source: 2000 Census (Base Year), 2008-2012 ACS (Most Recent Year) Rent Paid Number % Less than $500 6,424 37.9% $500-999 9,659 56.9% $1,000-1,499 612 3.6% $1,500-1,999 96 0.6% $2,000 or more 173 1.0% Total 16,964 100.0% Data Source: 2008-2012 ACS
Consolidated Plan INDEPENDENCE 82 OMB Control No: 2506-0117 (exp. 07/31/2015) Housing Affordability % Units affordable to Households earning Renter Owner 30% HAMFI 1,605 No Data 50% HAMFI 6,749 5,525 80% HAMFI 13,123 12,205 100% HAMFI No Data 16,505 Total 21,477 34,235 Data Source: 2008-2012 CHAS Monthly Rent Monthly Rent ($) Efficiency (no bedroom) 1 Bedroom 2 Bedroom 3 Bedroom 4 Bedroom Fair Market Rent 562 721 893 1,219 1,385 High HOME Rent 559 719 891 1,219 1,340 Low HOME Rent 559 688 825 953 1,063 Data Source: HUD FMR and HOME Rents
Households
Extremely Low-income

Rental Units Affordable to Extremely Low Income Households

Is there sufficient housing for households at all income levels?

No, there is not sufficient housing for all income levels in Independence, even though there is a sufficient number of housing units available. This is particularly true at the extremely low- income category. There are 6,875 households within the 0-30% AMI category in Independence; however, there are only 1,540 units that are affordable to these households. This means a deficit of 5,335 affordable units. In the 30-50% AMI category there are 6,990 households but 11,444 units, thus creating a surplus of 4,454 units. There is also a sufficient amount of housing for the 50-80% AMI category where there are 9,755 households and a corresponding 24,569 units, representing a surplus of 14,814. We also see sufficient housing in the 80-100% AMI category with 5,840 households and 15,621 units.

With no homes priced at a level affordable to those earning below 30% of the AMI, rental properties are the only housing options. The data shows that 1,540 or 7% of the total rental units are affordable to those earning less than 30% of AMI. With limited stock, many of these households are forced to spend a greater percent of their income on housing expenses because they move to higher priced rental housing. This creates a cost burden for those households.

Geographically, the concentration of extremely low- income households in Independence are centered in census tracts generally located in the northwestern parts of the City (west of MO 291 & north of 23rd Street). When compared to the availability of renter units affordable to 30% AMI, we see some overlap in supply and demand but notably there are three tracts with concentrations of these households but also has some of the lowest availability of affordable rental units for the group. These tracts would

Consolidated Plan INDEPENDENCE 83
Control No:
(exp. 07/31/2015)
OMB
2506-0117

presumably be where households are forced to spend a greater percentage of their earning on housing costs and should be targeted to provide affordable unit.

How is affordability of housing likely to change considering changes to home values and/or rents?

The estimated median home value within Independence increased from $76,000 in 2000 to $107,700 in 2011 according to the 2000 U.S. Census and the 2007-2011 ACS for those years. That represents a 42% increase in median home value between 2000 and 2011. Over this same period, the City’s median contract rent increased by 33% from $409 to $542.

At the same time the City’s median household income has increased only 16% between the 2000 U.S. Census and the 2007-2011 ACS, rising from $38,012 to $44,050. If past trends continue, where the median housing values increase at a much faster rate than median household incomes, it may be anticipated that housing within the City will generally become less affordable. This is particularly true for extremely low- and low- income households as their incomes generally lag behind when wages increase.

How do HOME rents / Fair Market Rent compare to Area Median Rent? How might this impact your strategy to produce or preserve affordable housing?

The City’s current median contract rent is estimated to be $542 (according to the 2007-2011 ACS). This median contract rent is lower than the Fair Market Rents for 1, 2, 3 and 4 bedroom units, but higher than the Fair Market Rents for efficiency units. In terms of High HOME Rent and Low HOME Rent, Fair Market Value for efficiency, 1 bedroom and 2 bedroom units are lower than even the Low HOME rent.

This indicates that Independence has a very large supply of rental units that are priced well below the median contract rent, in order to have lowered the median rent and fair market value well below Low HOME rent. More than likely this means that there is an adequate number of units overall, even if they are not yet affordable to the extremely low- income households. The goal should be to ensure already existing rental units are fully utilized, in good repair and affordable to extremely low- and low- income households. Future plans should focus on preserving and rehabilitating units for affordable housing not producing new stock.

Discussion

Within Independence, there is a shortage of units affordable to extremely low- income households. Overall though, the market has an adequate number of units that remain affordable for the vast majority of households up to 100% AMI. While the cost of housing has increased substantially over the past decade, the median household income has increased far less. As housing costs continue to outpace incomes, housing will become less affordable to low- and moderate-income households as well.

OMB Control No: 2506-0117 (exp. 07/31/2015)

Consolidated Plan INDEPENDENCE 84

Another side of this issue is the relative affordability of Independence compared to other areas of the region. Between 2000 and 2011 housing costs increased must faster in Jackson County and other communities in eastern Jackson County as a whole compared to Independence. In Independence contract rents increased 33% from 2000 to 2011, from $409 to $542. At the same time median home values increased 42%, from $67,000 to $107,700. Blue Springs and Lee’s Summit, other communities in eastern Jackson County, saw increases from $108,300 to $149,800 (or 38%) and $131,500 to $186,800 (or 42%) respectively in home values between 2000 and 2011. Contract rents increased from $543 to $855 (or 57%) and from $561 to $856 (or 70%) respectively. In context this has had the effect of making Independence much more affordable for extremely low- and low- income households than the surrounding communities. The inevitable influx of these households has strained the affordable housing market at the extremely low- income levels in Independence.

OMB Control No: 2506-0117 (exp. 07/31/2015)

Consolidated Plan INDEPENDENCE 85

MA-20 Housing Market Analysis: Condition of Housing – 91.210(a)

Introduction

The condition of housing units is highly correlated to the income of the household residing in the housing units and the age of the unit. In Independence, at least 24% of owner-occupied housing units and 45% of renter-occupied housing units reported having at least one of four housing problems. These four problems include substandard housing, housing cost burden, overcrowding and zero/negative income.

The number one housing problem recorded for both rentals and owners in Independence is housing cost burden at 14,195 households, followed by overcrowding at 815 households. Of the housing cost burdened, a plurality (38%) of those households (or 5,375) falls into the 0-30% AMI category. This reinforces the point above on housing conditions and household income.

The second factor correlated to housing condition is the age of the unit. Seventy-six percent of the owner-occupied housing and 70% of renter-occupied housing was built prior to 1980, making those units potential sources of substandard housing conditions and lead-based paint contamination. A majority of the total housing stock in Independence (55%) was built between 1950 and 1979 and is skewed heavily toward the early part of that range. It is reasonable to assume that a large number of these households are lower income households due to the fact that older housing stock is often filtered down through the income categories to the lowest income households.

Definitions

Substandard condition is defined as a combination of incomplete kitchen or plumbing facilities, missing windows or exterior doors, severely compromised foundations, outdated electrical infrastructure, holes in floors or walls, and holes in roof or severely compromised roofing materials preventing closure from weather penetration. Many units with a combination of 1 these conditions may be unfit for human occupation. Some may be candidates for rehabilitation, others may not be. Substandard condition suitable for rehabilitation would be units where the home is determined to be 60% deteriorated or the cost of the combination of needed repairs of all conditions does not exceed the estimated afterrehabilitation value of the house. Condition

OMB Control No: 2506-0117 (exp. 07/31/2015)

Consolidated Plan INDEPENDENCE 86
of Units Condition of Units Owner-Occupied Renter-Occupied Number % Number % With one selected Condition 7,232 23% 7,900 47% With two selected Conditions 211 1% 355 2% With three selected Conditions 10 0% 7 0% With four selected Conditions 0 0% 0 0% No selected Conditions 23,691 76% 8,702 51%

Data Source: 2008-2012 CHAS

Risk of Lead-Based Paint Hazard

of Lead-Based Paint Hazard

Source: 2008-2012 ACS (Total Units) 2008-2012 CHAS (Units with Children present)

Abandoned Vacant Units

REO Properties

Abandoned REO Properties

Data Source: 2005-2009 CHAS

Need for Owner and Rental Rehabilitation

Seventy-six percent of the owner-occupied housing stock and 70% of the renter-occupied housing was built prior to 1980, placing the average age of that owner-occupied housing at more than 30 years old, much of it is many years older being built closer to 1950 than 1980. As the housing stock ages, water infiltration and many other factors can cause rapid deterioration of housing units, particularly where the

Consolidated Plan INDEPENDENCE 87
Condition of Units Owner-Occupied Renter-Occupied Number % Number % Total 31,144 100% 16,964 100% Data Source:
Year Unit Built Year Unit Built Owner-Occupied Renter-Occupied Number % Number % 2000 or later 2,873 9% 1,808 11% 1980-1999 4,875 16% 2,984 18% 1950-1979 17,922 58% 8,950 53% Before 1950 5,474 18% 3,222 19% Total 31,144 101% 16,964 101%
OMB Control No: 2506-0117 (exp. 07/31/2015)
2008-2012 ACS
Risk
Owner-Occupied Renter-Occupied Number % Number % Total Number of Units Built Before 1980 23,396 75% 12,172 72% Housing Units build before 1980 with children present 1,810 6% 955 6%
Data
Suitable for Rehabilitation Not Suitable for Rehabilitation Total
Vacant Units
Vacant Units

residents don’t or can’t provide needed maintenance. This is especially true when owners have extreme home cost burdens or landlords are not local.

In northwestern Independence, where you find a high percentage of households in poverty, you will also find a concentration of rental housing stock that was built before 1949. In this area 30-52% the rentals were built more than 60 years ago. Because of this housing conditions of both rental and owneroccupied units range from poor to fair at best in these areas. In some areas one can find many homes with poor external conditions which suggest at least equally poor internal conditions.

Additionally, deteriorated properties have a hard time finding buyers who want to be owneroccupants. In many cases buyers are investors, often speculating on properties for short term gain (i.e. profit) by under-investing in the properties. The entire city suffers without enough demand by prospective owner-occupants and high enough prices to foster upgrading of the existing stock.

Estimated Number of Housing Units Occupied by Low or Moderate Income Families with LBP Hazards

The data shows that the number of housing units in Independence built prior to 1980, and potentially where lead-based paint hazards might be found, includes 76 percent of all owner housing and 70 percent of rental housing. Three percent of owner-occupied housing units and five percent of rental units built prior to 1980 are occupied by families by children, a total of 1,775 housing units. As housing units and neighborhoods age, they typically fall through the income classes from middle or moderate income households to lower income households.

Neighborhoods that were once middle class become home to lower income groups as they age. Typically, with some exceptions, the oldest neighborhoods found are where the poorest residents are found. As a result, it is reasonable to assume that most of the 1,775 units in Independence built prior to 1980 and occupied by families with children are likely occupied by low-or moderate-income families. This issue will only increase as homes currently occupied by older residents are made available in the coming years.

Discussion

There is an extensive need for rehabilitation programs in Independence targeting the improvement of the City’s oldest housing stock The northwest is also where the most cost burdened and impoverished households reside within the City. As discussed above, a deficiency of affordable housing for the extreme low- income households necessitates them choosing units with potential condition issues or moving up to more expensive units that burden them even further. A solution to these housing deficiencies could be to focus CDBG and HOME funding toward repairs of vacant and otherwise substandard properties for both rental and owner-occupied users.

OMB Control No: 2506-0117 (exp. 07/31/2015)

Consolidated Plan INDEPENDENCE 88

Independence has a very high vacancy rate at nearly 11% and to the extent possible new programs should focus on rehab of existing structures to meet the housing needs of all income brackets. These programs should be broad based and include money for repairs of substandard owner-occupied units, as well as, programs for multi-family rental housing such as loans and/or grants to facilitate needed repairs. These repairs could include structural and cosmetic repairs inside and outside of the unit to bring them into code compliance.

OMB Control No: 2506-0117 (exp. 07/31/2015)

Consolidated Plan INDEPENDENCE 89

MA-25 Public and Assisted Housing – 91.210(b) Introduction

The Independence Housing Authority operates a total of 528 public housing units and 1,647 vouchers, all of which are tenant-based, in their efforts to assist low-income residents of Independence. The agency operates three public housing developments.

The Independence Housing Authority is a semi-independent agency governed by a Board of Commissioners. The members are appointed by the Mayor and confirmed by the City Council. The authority to budget funds and expend them is contained within the statutes permitting the establishment of the IHA and also in the regulations published by the Federal Government through HUD. Operating funds, from HUD, are provided by formula and expenditure decisions are made by the IHA Board. Capital funds from HUD are also provided by formula and expenditure decisions are made by the IHA Board with approval from HUD. The IHA also receives HUD funding for Housing Choice Vouchers (HCV – Section 8).

The City does not involve itself in the hiring, contracting and procurement practices and processes of the PHA. Nor does it normally review proposed capital improvements except through normal City plan and permit review processes. If there were plans to develop, demolish or dispose of public housing, it may become involved, as such actions would affect the supply of affordable housing in the city. Moreover, such actions should be consistent with the Consolidated Plan. As a matter of regulation and of practice, if the PHA was planning major changes to its housing stock, it must consult with local government. The PHA would need City approval for demolition, development or other major changes to its housing stock.

OMB Control No: 2506-0117 (exp. 07/31/2015)

Consolidated Plan INDEPENDENCE 90

Totals Number of Units

*includes Non-Elderly Disabled, Mainstream One-Year, Mainstream Five-year, and Nursing Home Transition

Data Source: PIC (PIH Information Center)

Describe the supply of public housing developments:

Describe the number and physical condition of public housing units in the jurisdiction, including those that are participating in an approved Public Housing Agency Plan:

The Independence Housing Authority has 528 public housing units, and 1,647 housing choice vouchers. Public housing units are in need of energy efficiency updates, on-going roof repairs per normal material lifecycles, parking lot resurfacing and signage updates. The three properties which include Hocker Heights, Pleasant Heights, and Southview Manor all require minor paint and furniture updates to common areas, heating and cooling upgrades, and playground equipment updates. These needs are primarily because of the aging properties and funding restrictions. The IHA 2015-19 five-year capital improvement plan has a detailed listing of property-specific needs and goals and will be an attachment to this document.

OMB Control No: 2506-0117 (exp. 07/31/2015)

Consolidated Plan INDEPENDENCE 91
Program Type Certificate Mod-Rehab Public Housing Vouchers Total Project -based Tenant -based Special Purpose Voucher Veterans Affairs Supportive Housing Family Unification Program Disabled * # of units vouchers available 528 1,647 0 0 0 # of accessible units

Public Housing Condition

Public Housing Development Average Inspection Score

Describe the restoration and revitalization needs of public housing units in the jurisdiction:

The Housing Authority may utilize the CFFP to borrow approximately $2.5 Million for the purposes of completing modernization of dwelling units. Prior to the proposed borrowing, the HA will have completed modernization of all but 24 units of the 138 dwelling units in that complex using traditional Capital Fund Program funding, but no longer receives sufficient CFP grants to cover "normal" capital needs, let alone major renovation costs. The Housing Authority will explore converting Hocker Heights to a project-based Section 8 property via the HUD Rental Assistance Demonstration program (RAD) as an alternative method of seeking out financing of the modernization needs of the development, IF HUD expands the RAD program sufficiently beyond current funding levels. The majority of the next two years of capital grants will be used for ADA/UFAS modification for 504 compliance needs identified in a 2013 FHEO review of programs and properties, unless the Office of Public Housing can provide some additional capital from emergency reserves. Beginning in 2017, capital needs to be addressed include possible demolition of buildings at Hocker Heights to correct over-crowding, improve landscaping and provide playground space for families on the North East section of the complex. Replacement of lowefficiency HVAC systems, outdoor lighting, installation of outdoor security cameras and controlled access system to laundry rooms, and fencing at various areas. Pleasant Heights needs include exterior brick tuck pointing, dwelling unit fan coil units, energy efficient window replacement, building wide plumbing system repairs, some handicap accessible sliding glass doors, and kitchen renovations are planned, as most are original from 1969. Southview Manor capital needs include resurfacing roofs on both buildings, balance air flow issues, energy efficient window replacement, replace heating boilers, and elevator upgrades to include accessibility modifications.

Describe the public housing agency's strategy for improving the living environment of lowand moderate-income families residing in public housing:

According to its proposed 5 Year Plan, the Independence Housing Authority strategy for addressing current public housing needs includes:

• Maximize occupancy of the Public Housing dwelling units by responsible families.

• Enforce screening and eviction policies to ensure that only responsible families receive assistance.

• Maintain the Public Housing inventory in decent, safe condition, and determine the long-term viability of current stock.

OMB Control No: 2506-0117 (exp. 07/31/2015)

Consolidated Plan INDEPENDENCE 92

• Maximize utilization of Section 8 housing assistance funding and assist as many families as possible with that funding by holding down per family assistance costs.

• Work with industry organizations and Congress toward increasing housing assistance funding in order to help more families.

• Work with the City of Independence and other affordable housing groups to increase the availability of such housing locally.

• Seek out new funding avenues in order to directly preserve existing housing and increase affordable housing inventory.

Discussion:

The PHA has improved Public Housing occupancy to over 97% and on average maintains that level on a monthly basis. The PHA also works diligently to maximize utilization of the Section 8 voucher housing assistance funding provided annually by Congress, which is most recently sufficient to assist only approximately 92% (1,515) of the 1,647 base line vouchers the agency is supposed to be able to assist. This work is doubly difficult while Congress funds the Section 8 administrative fees at 69% of earned. The PHA continues to support home-buyer opportunities for program recipients. Currently 9 of the agency's voucher holders are using housing assistance to purchase homes.

OMB Control No: 2506-0117 (exp. 07/31/2015)

Consolidated Plan INDEPENDENCE 93

MA-30 Homeless Facilities and Services – 91.210(c)

is the location of the only family emergency shelter in Eastern Jackson County (outside Kansas City limits), the Salvation Army Crossroads Shelter. The facility is always at capacity and turns away approximately 250 persons a month. Many of those served/turned away are not Independence residents. There is a great need for additional emergency shelter beds in the Kansas City area which would reduce the homeless population migrating to Independence seeking the services and resources available in the City.

Facilities and Housing Targeted to Homeless Households

OMB Control No: 2506-0117 (exp. 07/31/2015)

Consolidated Plan INDEPENDENCE 94
Introduction
Independence
Emergency Shelter Beds Transitional Housing Beds Permanent Supportive Housing Beds Year Round Beds (Current & New) Voucher / Seasonal / Overflow Beds Current & New Current & New Under Development Households with Adult(s) and Child(ren) 112 0 24 0 0 Households with Only Adults 16 0 0 0 0 Chronically Homeless Households 0 0 0 0 0 Veterans 0 0 0 0 0 Unaccompanied Youth 0 0 14 0 0 Data Source Comments:

Describe mainstream services, such as health, mental health, and employment services to the extent those services are use to complement services targeted to homeless persons

Both Emergency Shelter facilities and Transitional Living facilities in Independence use case-based management of clients, offering comprehensive services of transportation vouchers, access to education, life skill classes and other supportive services to help clients find or improve employment. Health services, counceling and legal services are offered through Hope House, the domestic violence victim shelter. Money management skills classes are required at all Transitional Living facilities, encouraging clients to become or return to being self-sufficient.

List and describe services and facilities that meet the needs of homeless persons, particularly chronically homeless individuals and families, families with children, veterans and their families, and unaccompanied youth. If the services and facilities are listed on screen SP-40 Institutional Delivery Structure or screen MA-35 Special Needs Facilities and Services, describe how these facilities and services specifically address the needs of these populations.

Comprehensive Mental Health Services provide 16 beds to adult males struggling with addiction issues.

Hope House Domestic Violence Shelter provides 52 women and their children emergency and transitional housing and assistance becoming stable households.

Mother's Refuge provides 12 pregnant teens transitional housing and supportive services up to the time the child reaches 6 months of age.

Hillcrest Transitional Housing services approximately 24 families who have been in shelter at least 60 days a rent-free, utility-free apartment and supportive services, returning 97% of those to independent living.

OMB Control No: 2506-0117 (exp. 07/31/2015)

Consolidated Plan INDEPENDENCE 95

MA-35 Special Needs Facilities and Services – 91.210(d) Introduction

This section describes facilities and services that assist persons who are not homeless but require supportive housing and programs. These populations may include elderly and frail elderly, persons with disabilities, persons with alcohol or drug addictions, persons with HIV/AIDS, or other groups. Such facilities and services include units that are barrier free and physically accessible, units with onsite supportive services such as case management, counseling and healthcare, and units that are affordable to persons on a fixed or limited income.

Including the elderly, frail elderly, persons with disabilities (mental, physical, developmental), persons with alcohol or other drug addictions, persons with HIV/AIDS and their families, public housing residents and any other categories the jurisdiction may specify, and describe their supportive housing needs

Elderly & Frail Elderly

The elderly, and particularly the frail elderly, typically benefit from supportive housing, including units that are barrier free and accessible to the disabled, units with on-site supportive services, and units that are affordable to persons on a fixed income. As is the trend nationally, the elderly population with housing needs continue to increase in Independence. The community has, and continues to benefit, from a number of new senior housing development projects over the past 5-10 years, that have added more than 400 affordable and market rate senior housing units to the City’s inventory.

During the 2017-2021 Consolidated Plan period, CDBG funds will be used to provide home repair assistance to senior and elderly homeowners needed to allow them to remain in their homes for as long as possible. Those with fixed incomes, such as the elderly and disabled, are particularly hit hard by increased utility costs, but also increased food and other costs can leave them in a financial crisis. There are not enough resources or funds to provide for this population.

Persons with Disabilities (Mental, Physical, Developmental)

Disabled persons require barrier free housing that is also affordable. Accessibility retrofits tend to be expensive and homes with such features tend to be higher in value. In contrast, income levels for the disabled (mentally, physically or developmentally) tend to be lower than median area income, resulting in affordability concerns. While new multi-family units are required to have accessibility for such populations, older units tend to be lacking such features. Moreover, persons with mental or developmental disabilities often require supportive housing that includes on site services.

Barrier –free and housing with supportive services for person with disabilities is an identified unmet need in the Kansas City Region. Currently the Independence Housing Authority prioritizes public housing

OMB Control No: 2506-0117 (exp. 07/31/2015)

Consolidated Plan INDEPENDENCE 96

units for seniors and disabled households in order to serve those with the greatest need first. Independence is also benefitting from a recently developed partnership between Truman Heritage Habitat Humanity, a local Habitat affiliate, and Developmental Disabilities Services of Jackson County EITAS that combines local and County resources to build barrier-free single-family housing units in the City’s urban core for tenants receiving supportive services through State programming.

Persons with Alcohol or Drug Addictions

Persons with addictions often require temporary housing and treatment. This type of housing can include beds for extended stay and counseling rooms for on-site services. Comprehensive Mental Health Services, Inc. (CMHS), located in Independence, is certified by the Missouri Department of Behavioral Health and the Commission on Accreditation of Rehabilitation Facilities (CARF) as a community mental health and substance abuse treatment center and is the primary provider of supportive services, including housing services, for serving this need. See the additional response below for a description of CMHS’s supportive housing program for persons with addictions.

Persons with HIV/AIDS

Persons living with HIV/AIDS face particular challenges with regard to supportive housing. Many are experiencing physical disability, loss of employment, and lack of income resulting in a need for more stable housing. Independence does not directly receive HOPWA funding to provide housing assistance for these persons, but the Greater Kansas City Continuum of Care (CoC) does receive funding awards from HUD to serve this need on a regional level. Through participation in CoC strategy development, development of funding applications, and implementation, Independence’s service providers have an opportunity to advocate for HIV/AIDS supportive housing needs for our residents.

Other Groups

Persons leaving a violent domestic situation require shelter and transitional housing with supportive housing services to avoid homelessness. The availability of stable housing is critical to prevent their return to such a situation. In Independence, most of the services for this group related to shelter and counseling are provided through Hope House, a shelter for female victims of domestic violence and their children. Through consultation with Hope House it is understood that the need far outweighs the availability of local and regional resources. Also identified is an unserved housing need among male victims of domestic violence. Runaway, unaccompanied youth, and adult children that have aged out of foster care also require similar housing and counseling services.

OMB Control No: 2506-0117 (exp. 07/31/2015)

Consolidated Plan INDEPENDENCE 97

Describe programs for ensuring that persons returning from mental and physical health institutions receive appropriate supportive housing

Comprehensive Mental Health Services, Inc. (CMHS), located in Independence, is certified by the Missouri Department of Behavioral Health and the Commission on Accreditation of Rehabilitation Facilities (CARF) as a community mental health and substance abuse treatment center and is the primary provider of supportive services, including housing services, for serving this need. CMHS’s Community Services Program is a home and community-based program which provides assistance to adults with serious and persistent mental illnesses, empowering them to maintain and/or successfully gain their desired level of independent living and functioning in the community.

Assistance is offered in a variety of ways:

• Utilizing a team approach with mental health professionals including case managers, doctors, nurses and other treatment staff

• Working to keep client hospital free

• Assisting in finding and maintaining employment

• Providing individual levels of case management based on the individual's need

• Availability 24-hours a day, 7 days a week for crises

• Training in independent living skills

• Promoting positive mental health and stability through a person centered approach

• Providing education about mental illness and its effects

• Assisting in securing appropriate housing and entitlement benefits

• Accessing community resources

• Networking and social skills training

• Planning individualized treatment

• Counseling for problem solving

• Making appropriate referrals to various community and mental health services

• Treatment Programs

• Case Management and Continuous Treatment Teams

A team of mental health professionals provides varying levels of case management including treatment planning, coordination of care, follow-up, access to community resources and supported housing programs. Twenty-four hour crisis intervention is provided. Supported Employment offers job skills development and assistance in finding and maintaining employment, job coaching on and off site, and long-term support for vocational rehabilitation clients.

CMHS’s Psychosocial Rehabilitation Clubhouse provides group activities designed to help develop healthy social skills and networks, promotes mental health education, develops independent living and pre-vocational skills, utilizes resources and promotes community integration. The goal is to improve and develop independent living skills, to empower every consumer with resources and opportunities to

OMB Control No: 2506-0117 (exp. 07/31/2015)

Consolidated Plan INDEPENDENCE 98

achieve the maximum amount of positive results. The program is dedicated to encouraging each consumer to obtain growth in his/her social and daily living skills and increase the level of individual participation in society.

CMHS’s Residential Programs

Spring House is a crisis-stabilization and respite facility designed as an alternative to psychiatric hospitalization when individuals are at risk for crisis or decompensation. Twenty-four staffing is provided.

Turning Point is a residential care facility for individuals who have struggled with independent living and are in need of a more structured/supervised living arrangement. Twenty-four hour staffing is provided.

Sunrise House is a facility built by the Department of Housing and Urban Development (HUD) and operated by the Community Housing Network. CMHS provides programming and services that included scheduled onsite staffing and 24 on-call oversight.

Specify the activities that the jurisdiction plans to undertake during the next year to address the housing and supportive services needs identified in accordance with 91.215(e) with respect to persons who are not homeless but have other special needs. Link to one-year goals. 91.315(e)

N/A 91.315(e) Applies to State Grantees. See below for Entitlement response.

For entitlement/consortia grantees: Specify the activities that the jurisdiction plans to undertake during the next year to address the housing and supportive services needs identified in accordance with 91.215(e) with respect to persons who are not homeless but have other special needs. Link to one-year goals. (91.220(2))

Activities to be undertaken during the next year to address the housing and supportive service needs with respect to non-homeless special needs populations are as follows:

• Emergency and minor home repair programs, including energy efficiency repairs, weatherization and accessibility improvements, administered by local non-profit housing service providers with funding allocated through a competitive proposal process. Projects are expected to benefit nonhomeless special needs populations including elderly, frail elderly, and those with disabilities that are currently homeowners.

See AP-20 and AP-35 For Annual goals and Projects description linked to anticipated allocations.

OMB Control No: 2506-0117 (exp. 07/31/2015)

Consolidated Plan INDEPENDENCE 99

MA-40 Barriers to Affordable Housing – 91.210(e)

Negative Effects of Public Policies on Affordable Housing and Residential Investment

Barriers to affordable housing exist when the cost of housing or the incentives to develop, maintain, or improve affordable housing are affected by public policies, particularly those of the local jurisdiction. Such policies include land use controls, zoning ordinances, building codes, and policies that affect the return on residential investment. The City of Independence has several strategies that it utilizes to remove or ameliorate the negative effects of public policies that are barriers to affordable housing. The following is a summary of these barriers and corresponding strategies:

1. Zoning Ordinances

Barrier – Zoning ordinances can be a barrier to affordable housing, as they restrict density and limit housing types in locations that would otherwise be suitable for affordable housing – ultimately excluding lower income households from many neighborhoods.

Strategy – Many public policies have been adopted by the City that assists affordable housing. The City of Independence adopted a Unified Development Ordinance (UDO) in June 2009 which combined the City’s previous Zoning Ordinance and Subdivision Regulations into one document. The UDO eliminated contradictory and redundant regulations while updating City Codes to reflect new approaches in land use regulation. The new code was developed after much public input. The UDO streamlined the processes associated with development and redevelopment and provides increased flexibility in interpretation of regulations. The UDO also allows redevelopment to follow infill development standards rather than the regular development standards with the purpose to encourage infill development that is compatible with the physical character of the neighborhood in which it is located.

The UDO’s public policies and development standards are designed to protect and promote the public health, safety and general welfare; enhance residents’ quality of life; protect the character of established residential neighborhoods; promote mixed-use, pedestrian-oriented development patterns; maintain orderly and compatible development patterns that promote an appropriate mix of land uses and protect and conserve property values; promote rehabilitation and reuse of older buildings; and maintain a range of housing choices and options.

2. Rental and Deposit Fees

Barrier – Security deposits, utility deposits, and high rent fees are a barrier to affordable housing, since many lower income households cannot afford to pay both the deposit/fee and the rent at the same time.

Strategy – Sub-recipients using CDBG funds continue to off-set barrier costs such as security deposits, utility connection/reconnection fees, and high late rent fees with financial help and emergency assistance payments.

Consolidated Plan INDEPENDENCE 100 OMB Control No: 2506-0117 (exp. 07/31/2015)

3. Lack of Quality Housing

Barrier – The lack of quality housing units, particularly energy efficient and sufficient for large families, for lower income persons is a barrier to affordable housing.

Strategy – The City utilizes federal funds through HUD to construct and rehabilitate quality homes, reclaiming abandoned and nuisance properties through acquisition and rehabilitation, stimulating private developers and other public resources to invest in existing housing stock and to create mixedincome housing opportunities, and continuing to support the home repair programs of local nonprofits that allow persons to remain in their homes with the assistance of grant funds to repair and replace much needed building components such as roofs, mechanical systems, windows and insulation.

4. Lead Based Paint

Barrier – Lead based paint (LBP) is a barrier to affordable housing, as many homes in Independence were built prior to 1978. LBP can be a serious health hazard, particularly for young children. Contracting work on houses with documented LBP can be expensive and thus a deterrent to successful rehabilitation.

Strategy – The City utilizes a multi-faceted approach to address this barrier, including looking at other cities and their approach to contracting for LBP remediation, looking for additional funding for LBP remediation, targeting families with children under the age of six specifically for LBP remediation.

5. Age and Condition of Housing Stock

Barrier – The age and condition of housing stock is a barrier, as many homes are 50 years old or older which substantially increases the cost of maintenance and rehabilitation.

Moreover, those interested in architectural or historical preservation are met with resistance because of fears of gentrification. For the elderly, the cost of maintenance is a burden, and some have either converted their single family home into a duplex or multifamily structure or simply let the home deteriorate beyond repair. In some cases, properties are simply abandoned and taxes are not paid, ultimately attracting vandals or other nuisances.

Strategy – The City utilizes a multifaceted approach to address this barrier, including rehabilitation assistance with the elderly, disabled and families with children receiving priority funding, marketing of homeownership programs to public housing tenants to support housing choice, counseling to homeowners to educate them on basic maintenance to prevent further deterioration, and an ordinance requiring that blighted or abandoned vacant properties be registered with the City.

OMB Control No: 2506-0117 (exp. 07/31/2015)

Consolidated Plan INDEPENDENCE 101

6. Financing

Barrier – Financing is a barrier to the production of affordable housing, as many owners and occupants do not have the resources to pay for housing rehabilitation. Moreover, persons with special needs do not have the resource to make their housing fully accessible.

Strategy – The City utilizes a multi-faceted approach to address this barrier, including a credit counseling course funded by the City’s CDBG and administered by Housing Opportunities, Inc., partnerships with local banks to encourage redevelopment in low and moderate income neighborhoods, and leasepurchase options under the NSP program. In general, the City will continue to work with non-profit housing developers and providers to increase the amount of affordable housing. The City will do this primarily through continuation of the Homeowner Rehabilitation Program, which assists the elderly and low-income persons with home repairs such as roof replacements.

OMB Control No: 2506-0117 (exp. 07/31/2015)

Consolidated Plan INDEPENDENCE 102

MA-45 Non-Housing Community Development Assets – 91.215 (f)

Introduction

The following section addresses Consolidated Plan regulatory requirements for assessing the Non-Housing Community Development needs in the community. The data provided in this section was primarily made available through the 2008-2012 American Community Survey and speaks to the local economic condition of the jurisdiction by comparing the ability of the local work force to the employment needs of local businesses. Much of this data can also be used to discern the level and types of housing demand in the local market.

Economic Development Market Analysis

Business Activity

Data Source: 2008-2012 ACS (Workers), 2011 Longitudinal Employer-Household Dynamics (Jobs)

OMB Control No: 2506-0117 (exp. 07/31/2015)

Consolidated Plan INDEPENDENCE 103
Business by Sector Number of Workers Number of Jobs Share of Workers % Share of Jobs % Jobs less workers % Agriculture, Mining, Oil & Gas Extraction 112 14 0 0 0 Arts, Entertainment, Accommodations 6,275 6,570 15 19 4 Construction 2,641 1,115 6 3 -3 Education and Health Care Services 7,243 7,038 17 20 3 Finance, Insurance, and Real Estate 3,130 2,119 7 6 -1 Information 821 346 2 1 -1 Manufacturing 4,533 3,440 11 10 -1 Other Services 1,542 1,229 4 4 0 Professional, Scientific, Management Services 3,956 1,610 9 5 -4 Public Administration 0 0 0 0 0 Retail Trade 6,661 9,408 16 27 11 Transportation and Warehousing 2,302 607 5 2 -3 Wholesale Trade 2,958 1,067 7 3 -4 Total 42,174 34,563

Business Activity

Information provided in the Business Activity table identifies workers and jobs within Independence by sector. This information is divided into 13 sectors by number of workers, number of jobs and then calculations of the ratio of workers to jobs by business sector. According to 2008-2012 ACS, there are 42,174 workers within all business sectors identified in Independence, and according to 2011 Longitudinal Employer-Household Dynamics data published by the U.S. Census Bureau the number of jobs within all sectors is estimated to be 34,563.

The largest percentages of workers are within the Education and Health Care Services sector (17%) and Retail Trade (16%). Workers in the Arts, Entertainment, and Accommodations sector comprise 14% and workers in Manufacturing sector comprise 11%. Workers in the Agriculture, Mining, Oil and Gas Extraction sector comprise the smallest percentage or workers (less than 1%).

In regard to the share of jobs, the largest share of jobs is within the Retail sector (27%). Jobs in the Education and Health Care Services (20%), Arts, Entertainment, and Accommodations (16%) and Manufacturing (13%) sectors are also well represented. The Information and Agriculture, Mining, Oil and Gas Extraction sectors account for the smallest percentages of jobs (1% and less than 1%, respectively).

By comparing the share of workers to share of jobs, it can be determined within which sectors there are opportunities for business and workforce development. The data for Independence is reflected in Table 39 “Jobs Less Workers” column as the percentage of jobs less the percentage of workers. A negative number reflects an oversupply of labor for the sector. The data for Independence indicates there are fewer jobs than workers within seven business sectors: Construction; Finance, Insurance, and Real Estate; Other Services; Professional, Scientific, Management Services; Transportation and Warehousing; and Public Trade. This means that workers in these business sectors may have more difficulty finding a job that matches their skillset and are more likely commuting to work. Community economic development strategies should evaluate opportunities to attract business in these sectors. In contrast, where there appears to be more jobs than workers in the sectors of Arts, Entertainment, and Accommodations; Education and Health Care Services, Manufacturing; and Retail Trade, strategies should focus on job readiness, job training and job placement in these sectors.

OMB Control No: 2506-0117 (exp. 07/31/2015)

Consolidated Plan INDEPENDENCE 104

Data Source: 2008-2012 ACS

According to the 2008-2012 ACS the total population within the City in the civilian labor force is 58,301 This number includes the number of civilian workers plus those actively seeking employment and does not include those who are not actively seeking employment. The number of the civilian population 16 years and over who are employed totals 52,380. The City’s unemployment rate at the time this data was collected was approaching 10%. The unemployment rate for ages 16-24 (39.41%) is much higher than for the City as a whole. The unemployment rate for those between the ages of 25-65 was approximately 6.49%.

Consolidated Plan INDEPENDENCE 105 OMB Control No: 2506-0117 (exp. 07/31/2015) Labor Force Total Population in the Civilian Labor Force 58,301 Civilian Employed Population 16 years and over 52,380 Unemployment Rate 10.16 Unemployment Rate for Ages 16-24 39.41 Unemployment Rate for Ages 25-65 6.49
Table 46 - Labor Force
Occupations by Sector Number of People Management, business and financial 9,148 Farming, fisheries and forestry occupations 2,326 Service 5,150 Sales and office 14,631 Construction, extraction, maintenance and repair 5,259 Production, transportation and material moving 3,822 Data
ACS Travel Time Travel Time Number Percentage < 30 Minutes 33,608 67% 30-59 Minutes 15,138 30% 60 or More Minutes 1,685 3% Total 50,431 100% Data Source: 2008-2012 ACS
Source: 2008-2012

Table 48 Travel Time

The majority of Independence residents commute less than 30 minutes to work (67%). A notable percentage travel 30-59 minutes (30%) with only a small percentage commuting more than one hour (3%). According to 2013 ACS data, 87.4% percent of Independence workers drive to work alone and 7.4% carpool; and for those who commute to work the mean travel time to work is 24.9 minutes oneway.

Education:

Educational Attainment by Employment Status (Population 16 and Older)

Data Source: 2008-2012 ACS

Educational Employment Status

Within Independence, the majority of those employed are High School graduates (15,000 or 34.48%) and those with some college or Associate’s degrees (15,459 or 34.5%). Only 9,124 (22.2%) of employed have a Bachelor’s degree or higher and 3,851 or 8.8% of Civilian Employed have less than a high school graduate equivalency.

The highest percentage of unemployed in the Labor Force is are those who have attained less than High School equivalency at 19.2%, followed by 8.7% of High School graduates and those with some college or an Associate’s degree at 7.8%. Less than 3.4% of the unemployed population in the Labor Force has a Bachelor’s degree or higher.

Consolidated Plan INDEPENDENCE 106
OMB Control No: 2506-0117 (exp. 07/31/2015)
Educational
In Labor Force Civilian Employed Unemployed Not in Labor Force Less than high school graduate 3,851 883 2,708 High school graduate (includes equivalency) 15,000 1,391 5,254 Some college or Associate's degree 15,459 1,310 3,905 Bachelor's degree or higher 9,124 360 1,514
Attainment
Educational Attainment by Age Age 18–24 yrs 25–34 yrs 35–44 yrs 45–65 yrs 65+ yrs Less than 9th grade 158 448 398 709 1,236 9th to 12th grade, no diploma 1,742 1,770 1,647 2,470 1,902

Educational Attainment by Age

Taken from the 2008-2012 ACS, the data in Table above shows Educational Attainment by Age for the population of Independence. Of note, across all adult age groups, 58.2% of the city’s population has an educational attainment of High School Equivalency or less, as compared to 50.1% for Jackson County’s adult population and 47% for the State of Missouri. Further, compared to 18.7% for Jackson County and 16.4% for the State of Missouri, a significant percentage (21%) of Independence’s population between the ages of 18-24 is presenting as the least educated category of persons having less than a 12th grade education. By comparison, the population between 25-34 years in age presents with only 12.49% below a 12th grade educational attainment, and on the opposite end of the age spectrum, 18.5% of the City’s 65+ years population. Of the total population that has attained a Bachelor’s Degree, the largest percentage (15.99%) is in the 25-34 year range; the greatest percentage of those having attained a Graduate or Professional degree is in the 65+ years category. Combined, only 5.2% (4,622) of the population 18 years and older has attained an Associate’s Degree, and 78.1% (69,429) of adults do not have a college degree.

Data Source: 2008-2012 ACS

Consolidated Plan INDEPENDENCE 107 OMB Control No: 2506-0117 (exp. 07/31/2015) Age 18–24 yrs 25–34 yrs 35–44 yrs 45–65 yrs 65+ yrs High school graduate, GED, or alternative 3,928 4,779 4,910 11,968 8,417 Some college, no degree 3,098 4,711 3,736 7,951 3,834 Associate's degree 514 1,440 1,099 1,749 773 Bachelor's degree 655 2,301 1,603 3,748 1,556 Graduate or professional degree 30 638 692 2,016 1,392
Data Source: 2008-2012 ACS
Educational Attainment – Median Earnings in the Past 12 Months Educational Attainment Median Earnings in the Past 12 Months Less than high school graduate 20,361 High school graduate (includes equivalency) 28,928 Some college or Associate's degree 35,841 Bachelor's degree 41,882 Graduate or professional degree 49,412

Median Earnings

The table above identifies income over a 12-month period as it relates to educational attainment of Independence’s population. The data shown is based on 2008-2012 ACS estimates. Greater educational attainment strongly correlates with the level of income earned over a 12-month period. In Independence, persons having a graduate or professional degree have an estimated median income of $49,412, which is 8% less than the median income for the County ($55,970) and 6% less than the State $54,914. Persons having a Bachelor’s degree have a median income of $41,882, 7% less than the County ($44,908) and 4% less than the State ($43,487). In contrast, the median income for individuals with Some College or an Associate's degree ($35,841), High School graduate including Equivalency ($28,928) and less than High School graduate attainment ($20,361), higher for Independence’s population than both the County and the State. The County’s median income for individuals with Some College or an Associate's degree is 4% ($33,040) less, High School graduate including Equivalency is 4.6% ($27,724) less, and less than High School graduate attainment is 19.5% ($18,874) less than Independence same populations. The State’s median income for individuals with Some College or an Associate's degree is 8.9% ($31,660) less, High School graduate including Equivalency is 9.3% ($26,545) less, and less than High School graduate attainment is 19.5% ($18,870) less than Independence same populations.

Based on the Business Activity table above, what are the major employment sectors within your jurisdiction?

The most active business sector in Independence, in terms of the number of workers in the various industries, is Education and Health Care Services with 17 percent of all workers. That sector is followed by Retail Trade, Arts, Entertainment, and Accommodations, and finally Manufacturing with 16, 14, and 11 percent respectively.

Describe the workforce and infrastructure needs of the business community:

The Independence Economic Development Corporation (IEDC) recently reported seeing a change in the types of employment opportunities in Independence. Historically, Independence has had a high percentage of blue collar jobs, but as of 2014 figures, blue collar jobs represent 24.7% of all jobs, white collar jobs make up the majority at 57.3%. Services make up the remainder at 18.1%. The data suggests a concern that, as this growing sector of white collar jobs will generally have higher requirements for educational attainment, these jobs will likely be filled by persons living outside the community.

Through survey of the local business community IEDC has identified the need for a workforce qualified with welding, pipefitting and other specialized skills to replace retirement age workers. Additionally, companies have expressed concern for the lack of basic skills (reading and math), as well as, soft skills such as communication and interpersonal relationships demonstrated by the pool of local workers.

In terms of infrastructure needed to attract and retain businesses, Independence has an identified need for land and buildings equipped to suit industrial operations. Much of Independence’s undeveloped

Consolidated Plan INDEPENDENCE 108
Control
07/31/2015)
OMB
No: 2506-0117 (exp.

land with good highway access is designated flood plain, making it difficult and cost prohibitive for businesses to build. The lack of executive housing has also been identified as a barrier to attracting various industries, and the City’s demographic and lack of disposable income has become a significant barrier to attracting new service related businesses to many areas of town. Many older commercial districts and neighborhood commercial centers in areas of low and moderate income concentration suffer from vacancy and business disinvestment due to negligent building owners unwilling to maintain or improve leasable space, aging and blighted area neighborhood conditions, perceptions of crime, lack of pedestrian improvements, and poor consumer market conditions.

Describe any major changes that may have an economic impact, such as planned local or regional public or private sector investments or initiatives that have affected or may affect job and business growth opportunities during the planning period. Describe any needs for workforce development, business support or infrastructure these changes may create.

The Independence Economic Development Council, local partners and elected officials collaborate on an ongoing basis to explore and promote opportunities for business retention, expansion and attraction; property development; workforce development; foreign trade; and entrepreneurial growth. Through their collective efforts the following major economic development initiatives have been secured for Independence for the immediate future:

Unilever Expansion: Unilever is moving its Wishbone salad dressing operation elsewhere, keeping its ice tea mix operation and bringing in production of soups, sauces, gravies and side dishes from Canada. It expects to keep the current 180 jobs and add another 70. The total investment is estimated at $110 million.

Newtown at Harmony: Newtown at Harmony is a New Urbanism mixed-use development that in full build out will cover nearly 3000 acres of land located on the eastern edge of Independence. The first phase which includes development of 150-acres began in 2015 and when completed will include 900 new homes and commercial space in a pedestrian- and social-oriented designed neighborhood.

How do the skills and education of the current workforce correspond to employment opportunities in the jurisdiction?

Generally speaking, the range of jobs available in Independence is predominantly skewed toward those having lower education and skills requirements. The industry with the most workers is the Education and Health Care Services sector, and while this sector does include jobs (doctors, nurses, educators) that require stringent education and skills sets, the number of workers here may be more reflective of the uneducated and unskilled support staff employed by this industry. The second and third highest worker sectors are Retail Trade and Arts, Entertainment and Accommodations. These both also typically require a less educated and less skilled workforce.

OMB Control No: 2506-0117 (exp. 07/31/2015)

Consolidated Plan INDEPENDENCE 109

The Business Activity and Labor Force data above corresponds with the general lack of education attainment of Independence’s population. With 58.2% of the city’s adult population having an educational attainment of High School Equivalency or less it goes to say that the majority of workers would be employed in sectors requiring minimal education and skills.

Since a large percentage of the city’s population lacks a secondary and post-secondary education, there is a presumed demand for adult basic education, workforce training and other education opportunities to better match the needs of the business community with skilled employees. While there are a number of private and public educational institutions, as well as, workforce training initiatives, available in the region to address this need, Independence lacks a community based initiative designed to address the unmet need.

During the Consolidated Plan citizen participation process, other needs identified by the public included increased public transportation service and extended hours to allow employment to get to and from work efficiently and on time, as well as additional workforce/job skill training.

Describe any current workforce training initiatives, including those supported by Workforce Investment Boards, community colleges and other organizations. Describe how these efforts will support the jurisdiction's Consolidated Plan.

Workforce training initiatives in Independence are primarily provided by the Full Employment Council and the Metropolitan Community College. The mission of the Full Employment Council, Inc. is to seek public and private sector employment for the unemployed and the underemployed residents of the Greater Kansas City area. Metropolitan Community College also provides job skill training focused on the technical and personal skills through the Institute for Workforce Innovation. The specific services they provide in support of the Consolidated Plan Goals are as follows:

Full Employment Council, Inc.:

• Customized Training programs to meet industry needs

• On-the-Job, classroom training and internships for skills for needed for in-demand jobs like information technology, healthcare and construction.

• Workshops for skill building like resume writing, interviewing skills and others.

Metropolitan Community College

The Institute for Workforce Innovation helps people develop basic workplace skills, including teamwork, communication and overall professionalism. In academics, this applies to literacy, GED tutoring, and other preparation to become not just better employees, but more accomplished individuals. Finally, students get the social support they need to be successful, such as transportation and childcare that allows them to complete the coursework.

OMB Control No: 2506-0117 (exp. 07/31/2015)

Consolidated Plan INDEPENDENCE 110

Does your jurisdiction participate in a Comprehensive Economic Development Strategy (CEDS)?

Yes

If so, what economic development initiatives are you undertaking that may be coordinated with the Consolidated Plan? If not, describe other local/regional plans or initiatives that impact economic growth.

Independence supports and is supported by the Comprehensive Economic Development Strategy created by the Mid-America Regional Council for the Kansas City Metropolitan area. The following summarizes the goals and objectives of this strategy.

Current goals of the Mid-America Regional Council CEDS:

• Create a region that supports entrepreneurship and innovation

• Create a region that provides strong support to existing businesses

• Create a region that increases national visibility and is a destination of choice for companies and talent

• Create a region that provides quality technology infrastructure

• Create a region that trains and develops an educated workforce

• Create a region that is able to recruit and attract talented individuals

• Create a region that provides mobility for the workforce

• Create a region that supports a developed infrastructure for targeted industries

• Create a region that supports development in key corridors and older built neighborhoods

Discussion

Economic development initiatives of the region's CED that may be coordinated with the Consolidated Plan include:

Regional Economic Development & Workforce Initiatives Regional Workforce Intelligence Network (RWIN)

The Regional Workforce Intelligence Network of Greater Kansas City is a regional workforce and economic data exchange system convened by Mid-America Regional Council (MARC) to encourage greater collaboration among the region’s workforce data and information professionals. RWIN is a collaboration of economic development professionals, one-stop centers, workforce centers, community colleges and universities that meets on a regular basis to share information on current workforce development activities. The network provides input on real-time labor market reports, sector partnership development and other workforce development activities in the region.

OMB Control No: 2506-0117 (exp. 07/31/2015)

Consolidated Plan INDEPENDENCE 111

Greater Kansas City Chamber of Commerce Big 5 Initiative

Led by the Greater Kansas City Chamber of Commerce, the Big 5 initiative elevates the Kansas City region onto the world stage and makes the area one of America’s best places to work, live, start a business, and grow a business. The Big 5 Ideas announced in September 2011 include:

• Hosting the Global Symposium on Innovation in Animal Health.

• Revitalizing Our Urban Neighborhoods through the Urban Neighborhood Initiative (UNI).

• Making Kansas City America’s Most Entrepreneurial City.

• Growing Kansas City’s Medical Research, From Discovery to Cure.

• Moving UMKC’s World-Class Arts Programs to a New Downtown Location.

(Note: bolded items above may be coordinated with the Independence Consolidated Plan when opportunities arise)

Entrepreneurship—Urban Business Growth Initiative

The Urban Business Growth Initiative features training programs and technical assistance provided by the UMKC Small Business & Technology Development Center and the Missouri Procurement Technical Assistance Center. The initiative targets these services to low- to moderate-income individuals in the urban core who wish to start or grow businesses.

Workforce Kansas City Women in Technology

KCWiT’s mission is to inspire young girls to join the technology field and help shape career opportunities through educational workshops, provide mentoring for young women entering the workforce, and to maintain a network for professional women in technology career paths in the Kansas City area.

Incubators—Ennovation Center

The Independence Regional Ennovation Center is a mixed-use business incubator which focuses on three core areas for the development of new businesses: bio-tech, kitchen/ culinary, and business and technology. Located in Independence, Mo., the Ennovation Center has transformed the former Independence Regional Medical Center into a launching pad for entrepreneurs with the necessary facilities and support services to assist successful start-up businesses in an innovative environment that fosters collaboration.

OMB Control No: 2506-0117 (exp. 07/31/2015)

Consolidated Plan INDEPENDENCE 112

Local Economic Development and Workforce Initiatives

In addition to the initiatives of the Kansas City regional CEDS, the Independence Economic Development Corporation adopts annually a business plan, the objectives of which can be supported by, and support, the City's Consolidated Plan. The following details objectives of IEDC's current plan that may be supported with funding through the Community Development Block Grant Program over the next five years:

Create jobs and increase capital investment by growing the Ennovation Center (small business incubator) provide business expansion assistance to graduates ready to take their business to the next level of production

Retain existing businesses help connect businesses to funding resources and financial assistance that can be utilized to support capital investment in equipment and creation of new jobs. Provide business assessment program to assist with determining opportunities and competitiveness in the region. Provide connection between community policing program and local businesses as part of the Independence Business Protection Network. Host Small Business Summit featuring programs and speakers to support the growth of Independence businesses. Conduct annual economic conditions survey to identify issues impacting local businesses. Coordinate with City utility departments to provide enhanced services to any business looking to expand operations that need assistance in analyzing and coordinating increased utility load requirements.

Attract new businesses support development of real estate opportunities that can be marketed to industry and manufacturing. Promote development of speculative industrial space. Provide technical assistance with early state and startup businesses. Support the creation of housing options to attract workforce and new families. Support redevelopment opportunities on Noland Road, 40 Highway, 24 Highway, Truman Gateway, Englewood and the Independence Square. Create EDC sub-committee to focus on workforce development which would include development of a skills center & certification/credentialing program.

Discussion:

To be responsive to the community’s non-housing priority community economic development needs identified during the Consolidated Planning process, efforts over the next five years should focus on the following:

• Assistance for entrepreneurs and micro-enterprise businesses

• Workforce training including skilled training programs and job readiness

• Living-wage job creation and retention

• Transportation system enhancements

• Development of workforce housing

OMB Control No: 2506-0117 (exp. 07/31/2015)

Consolidated Plan INDEPENDENCE 113

MA-50 Needs and Market Analysis Discussion

Are there any areas in the jurisdiction where racial or ethnic minorities or low-income families are concentrated? (include a definition of "concentration")

The lowest income areas of Independence are concentrated in the northern half of the City where poverty rates range from 20-60%. These areas are predominately concentrated west of Noland Road, and in Northeast Independence near MO-291 and 24-Highway where the Hawthorne Place Multi-family subsidized apartment complex houses more than 600 very low income families.

The following Census Tracts have populations where racial or ethnic minorities comprise 10% or more of the population.

• Census Tract 011300; 11.07% Black/African American

• Census Tract 011401; 12.31% Hispanic or Latino

• Census Tract 011405; 13.45% Black/African American and 11.06% Hispanic or Latino

• Census Tract 014501; 14.82% Black/African American

• Census Tract 014604; 15.04% Hispanic or Latino

Census Tracts West of Noland Road

• Census Tract 011700; 12.35% Black/African American

• Census Tract 011800; 12.02% Hispanic or Latino

• Census Tract 011900; 20.20% Hispanic or Latino

• Census Tract 012000; 10.75% Hispanic or Latino

• Census Tract 012100; 10.98% Black/African American

• Census Tract 015600; 32.01% Hispanic or Latino

(Source: 2013 ACS Data, U.S. Census Bureau)

Many of these tracts are also areas of low- and moderate-income concentration. For example, two of the three highest concentrations of racial or ethnic minorities are in Census Tract 015600 (32.01 % Hispanic or Latino) and Census Tract 011405 (13.45% Black/African American and 11.06% Hispanic or Latino). These tracts also have populations of 87.14% and 76.01% low- and moderate- income persons respectively. See maps Concentration of Black or African American Population, and Concentration of Hispanic Population for illustrations of areas of minority concentration.

What are the characteristics of the market in these areas/neighborhoods?

The City's low- moderate-income neighborhoods are characterized by older moderate and high density single-family homes, scattered site multi-family housing primarily created through conversion of singlefamily homes to rental, large single family structures and low-rise multi-family structures. There are

OMB Control No: 2506-0117 (exp. 07/31/2015)

Consolidated Plan INDEPENDENCE 114

areas of antiquated neighborhood-level commercial districts and other service activities along the City's major corridors such as 24-Highway, Truman Road, and 23rd Street. These areas provide some retail and social services but the vast majority of neighborhoods lack access to affordable grocery stores and a full range of other basic services

These areas are characterized by few employment opportunities especially those paying more much more then minimum wage. The lack of local, accessible, and skill-matched employment opportunities has led to a situation where young workers are leaving Independence to seek higher paying employment and residence elsewhere. Additionally, the older housing stock and lower quality of housing means these younger families do not find Independence a desirable place to live. This area does have access to public transportation giving residents access to jobs in Kansas City and other parts of Independence.

Are there any community assets in these areas/neighborhoods?

These areas do have community assets, including community centers, parks, and other public facilities. Much of the publicly subsidized housing and one of the three public housing facilities operated by the Independence Housing Authority is also located within these neighborhoods.

Are there other strategic opportunities in any of these areas?

In neighborhoods west of Noland Road there may be opportunities for redevelopment of older housing units that have been converted from single family homes into multi-unit structures. This should include private and non-profit developers to provide homes for a range of household incomes, including lower and upper income households. This would aid in stabilizing many of these areas by bringing in more people into the neighborhoods and improving the housing stock available in the market.

Consolidated Plan INDEPENDENCE 115
OMB Control No: 2506-0117 (exp. 07/31/2015)

Strategic Plan

SP-05 Overview Strategic Plan Overview

In response to regulation by the Department of Housing and Urban Development, the City of Independence has prepared a Consolidated Plan for Fiscal Years 2017 through 2021, with an action plan for FY17, beginning July 1, 2017 and ending June 30, 2018. In accordance with HUD’s guidelines for preparing the Consolidated Plan document, the results of this plan reflect the City’s analysis of current demographic trends, as well as, the housing market in comparison to identified community needs. Using this analysis, the Strategy establishes goals and priority objectives in the categories of decent housing, suitable living environment and economic opportunities that will guide the allocation of federal CDBG and HOME funds over the next five years. In supplement to the five-year strategy, an annual action plan will be developed for each subsequent year to explain the specific project activities that will be undertaken. The first Annual Action Plan of the 2017-2021 Consolidated Plan, which covers planned activities for the 2017-2018 Program Year, is included with this submission.

Consolidated Plan INDEPENDENCE 116
OMB Control No: 2506-0117 (exp. 07/31/2015)

SP-10 Geographic Priorities – 91.215 (a)(1)

Geographic Area

Geographic Priority Areas

1 Area Name: CDBG Eligible Area Census Tracts

Area Type: CDBG Eligible Census Tracts

Other Target Area Description: CDBG Eligible Census Tracts

HUD Approval Date:

% of Low/ Mod:

Revital Type:

Other Revital Description:

Identify the neighborhood boundaries for this target area. Include specific housing and commercial characteristics of this target area.

How did your consultation and citizen participation process help you to identify this neighborhood as a target area?

Identify the needs in this target area.

What are the opportunities for improvement in this target area?

Are there barriers to improvement in this target area?

2 Area Name: City-wide

Area Type: City-wide

Other Target Area Description: City-wide

HUD Approval Date:

% of Low/ Mod:

Revital Type:

Other Revital Description:

Identify the neighborhood boundaries for this target area. Include specific housing and commercial characteristics of this target area.

OMB Control No: 2506-0117 (exp. 07/31/2015)

Consolidated Plan INDEPENDENCE 117

How did your consultation and citizen participation process help you to identify this neighborhood as a target area?

Identify the needs in this target area.

What are the opportunities for improvement in this target area?

Are there barriers to improvement in this target area?

General Allocation Priorities

Describe the basis for allocating investments geographically within the jurisdiction (or within the EMSA for HOPWA)

The basis for allocating investments within the jurisdiction during the Consolidated Plan period, and the rationale for assigning funding priorities annually, is determined by the results (identification of needs and priorities) of the annual citizen participation process, and through committee evaluation of competitive grant applications submitted by eligible sub-recipients and third-party developers. City driven activities including redevelopment planning, affordable housing rehabilitation and development, infrastructure improvements and economic development activities are typically concentrated in City identified redevelopment areas, and are always in qualifying low and moderate income areas. City initiated activities are also targeted at community needs identified during the annual citizen participation process and Council support of priorities identified in the City's Comprehensive and Capital Improvement Plan processes.

Public service projects selected for funding will provide a direct benefit for low to moderate income clientele City-wide. These benefits are targeted to all persons whose household income falls below 80% of the median income and whose residence lies within the city limits. Targeted housing, economic development and public facilities assistance will be directed first exclusively to the low to moderate income census tracts and block groups eligible for CDBG assistance.

In accordance with HUD’s criteria for CDBG eligible area benefit activities, the City has defined areas of low-income concentration as census tracts and block groups where at least 51% of the residents earn less than 80% of the Kansas City Metropolitan Statistical Area (MSA) median income, based on the 20062011 American Community Survey. The following map illustrates the current CDBG eligible low-income areas. Using the 51% formula for determining areas of low-income concentration, it is estimated that at least 36,615 of the people living in these neighborhoods qualify as low income.

OMB Control No: 2506-0117 (exp. 07/31/2015)

Consolidated Plan INDEPENDENCE 118

Areas eligible for CDBG investment are no longer confined to a particular region of the city; in fact, nearly 2/3 of the City’s land area qualifies as CDBG eligible. During the 2017-21 Consolidated Plan period, City driven CDBG and HOME activities will continue to focus on supplementing City initiated redevelopment efforts throughout western Independence including designated 353 Tax Abatement Program boundaries, the Independence School District’s 2007 annexation areas, and areas of black and Hispanic minority concentration. These geographic priorities will encompass much of the City's low and low-moderate income population and areas of greatest need.

OMB Control No: 2506-0117 (exp. 07/31/2015)

Consolidated Plan INDEPENDENCE 119

SP-25 Priority Needs - 91.215(a)(2)

Priority Needs

Priority Needs Summary

1

Priority Need Name Vacant Residential Properties Reuse

Priority Level High Population Low Moderate

Geographic Areas Affected

City-wide

Associated Goals Quality housing choice for all Strong, healthy, well-balanced neighborhoods

Description Return vacant, deteriorated, and underutilized residential buildings to use as affordable housing.

Basis for Relative Priority

Community input, vacant property rate, and ability of investment to leverage other funding sources and partnerships

2 Priority Need Name Home Repair and Energy Efficiency Improvements

Priority Level High Population Extremely Low Low Moderate Families with Children

Elderly

Geographic Areas Affected

City-wide

Associated Goals Commitment to preventing and ending homelessness

Dependable care for those with special needs

Quality housing choice for all Strong, healthy, well-balanced neighborhoods

Description Improve existing houisng stock through correction of structural and mechanical deficiencies, installation of weatherization and energy efficiency measures to reduce utility burden, and installation of accessibility improvements.

OMB Control No: 2506-0117 (exp. 07/31/2015)

Consolidated Plan INDEPENDENCE 120

Basis for Relative Priority

Community input and housing market and housing conditions assessment.

3 Priority Need Name Rental Housing Rehabilitation

Priority Level Low

Population Extremely Low Low Moderate

Large Families Families with Children Elderly

Geographic Areas Affected

City-wide

Associated Goals Quality housing choice for all Reg AFH Goal 1: Expand Use of CDFI/NMTC

Description Reinvest in existing, deficient, single and multi-family rental properties; and support conversion of vacant buildings to create quality affordable housing.

Basis for Relative Priority

Housing market analysis and housing conditions assessment. Low priority assigned due uncertainty of owner participation.

4 Priority Need Name Homebuyer Assistance and Non-traditional Financing

Priority Level High Population Low Moderate

Geographic Areas

Affected

City-wide

Associated Goals Quality housing choice for all

Description Homebuyer assistance and non-traditional financing programs for households unable to qualify under tightened lending laws

OMB Control No: 2506-0117 (exp. 07/31/2015)

Consolidated Plan INDEPENDENCE 121

Basis for Relative Priority

Community input and housing market analysis

5 Priority Need Name Homeless Shelters & Transitional Housing

Priority Level High Population Individuals

Mentally Ill veterans

Unaccompanied Youth

Geographic Areas Affected

City-wide

Associated Goals Commitment to preventing and ending homelessness

Dependable care for those with special needs

Description Provide additional shelter and transitional housing facilities for homeless populations, particularly unaccompanied youth, veterans and single men suffering from mental illness

Basis for Relative Priority

Community input and KC/Jackson County Continuum of Care 10 Year Plan to End Homelessness

6 Priority Need Name Supportive Service for Homeless & At-risk Homeless

Priority Level High Population Chronic Homelessness Individuals

Families with Children

Mentally Ill

Chronic Substance Abuse veterans

Unaccompanied Youth

Geographic Areas

Affected

City-wide

Associated Goals Commitment to preventing and ending homelessness

Dependable care for those with special needs

OMB Control No: 2506-0117 (exp. 07/31/2015)

Consolidated Plan INDEPENDENCE 122

Description Supportive services for the homeless and at-risk, particularly those with mental illness and substance abusers, unaccompanied youth and families in crisis

Basis for Relative Priority

Community input and KC/Jackson County Continuum of Care 10 Year Plan to End Homelessness

7 Priority Need Name Homeless Case Management & Counseling

Priority Level High Population Chronic Homelessness Individuals Families with Children Mentally Ill Chronic Substance Abuse veterans

Unaccompanied Youth

Geographic Areas Affected

City-wide

Associated Goals Commitment to preventing and ending homelessness

Dependable care for those with special needs

Description Increased capacity of homeless service providers to adequately assist homeless with vital supportive services

Basis for Relative Priority

Community input and KC/Jackson County Continuum of Care 10 Year Plan to End Homelessness

8 Priority Need Name Subsistence Level Housing (rent/utility)Assistance

Priority Level High Population Extremely Low Low

Geographic Areas Affected

City-wide

Associated Goals Commitment to preventing and ending homelessness

Dependable care for those with special needs Quality housing choice for all

OMB Control No: 2506-0117 (exp. 07/31/2015)

Consolidated Plan INDEPENDENCE 123

Description Provide subsistence level rent and utility assistance and other relevant supportive services required to prevent homelessness

Basis for Relative Priority

Community participation input

9 Priority Need Name Code Enforcement and Blight Removal

Priority Level High Population Low Moderate

Geographic Areas Affected

CDBG Eligible Census Tracts

Associated Goals Strong, healthy, well-balanced neighborhoods

Local AFH Goal 4: Comprehensive Plan Update

Description Code compliance enforcement and removal of blighting conditions in low and moderate income neighborhoods

Basis for Relative Priority

Community Input, housing conditions analysis

10 Priority Need Name Social/Micro Enterprise Business Assistance

Priority Level High Population Low Moderate

Geographic Areas Affected

City-wide

Associated Goals Self-sufficiency and family success Strong, healthy, well-balanced neighborhoods

Description Provide assistance to social and micro enterprises including loans for capital and operating

Basis for Relative Priority

Community input and community development market analysis

OMB Control No: 2506-0117 (exp. 07/31/2015)

Consolidated Plan INDEPENDENCE 124

11

Priority Need Name Sidewalk and Public Facilities Improvements

Priority Level High Population Low Moderate

Geographic Areas Affected

Associated Goals

CDBG Eligible Census Tracts

Dependable care for those with special needs Strong, healthy, well-balanced neighborhoods

Local AFH Goal 4: Comprehensive Plan Update

Description Install sidewalks, public facility improvements and other types of infrastructure in unimproved and underserved areas, and areas of low income concentration

Basis for Relative Priority

Community input, non-housing community development needs assessment and City Capital Improvement Plan

12

Priority Need Name Crime Reduction and Public Safety

Priority Level High Population Low Moderate

Geographic Areas Affected

CDBG Eligible Census Tracts

Associated Goals Strong, healthy, well-balanced neighborhoods

Description Support projects and programs that deter crime and increase public safety in low and moderate income areas, particularly in neighborhood commercial districts.

Basis for Relative Priority

Community input, citizen, survey, and crime data

13

Priority Need Name Neighborhood Commercial District Reinvestment

Priority Level High

OMB Control No: 2506-0117 (exp. 07/31/2015)

Consolidated Plan INDEPENDENCE 125

Population Low Moderate

Geographic Areas

Affected

CDBG Eligible Census Tracts

Associated Goals Strong, healthy, well-balanced neighborhoods

Description Reinvest in older commercial corridors including vacant property acquisition and redevelopment, code enforcement and installation of infrastructure

Basis for Relative Priority

Community input and community development market analysis

14 Priority Need Name Access to Basic Services and Public Facilities

Priority Level High Population Low Moderate

Families with Children Other

Geographic Areas Affected

CDBG Eligible Census Tracts

Associated Goals Dependable care for those with special needs

Self-sufficiency and family success

Strong, healthy, well-balanced neighborhoods

Description Provide access to services including fresh and healthy foods, culturally relevant goods, basic services, family community and fitness centers, and sports programs for youth

Basis for Relative Priority

Community input and community development needs analysis

15 Priority Need Name Transportation Services

Priority Level Low Population Extremely Low Low

OMB Control No: 2506-0117 (exp. 07/31/2015)

Consolidated Plan INDEPENDENCE 126

Geographic Areas

Affected

City-wide

Associated Goals Commitment to preventing and ending homelessness

Dependable care for those with special needs

Quality housing choice for all Self-sufficiency and family success

Strong, healthy, well-balanced neighborhoods

Local AFH Goal 3: Fairmount Business District Plan

Reg AFH Goal 12: Transportation Option Partnership

Reg AFH Goal 13: Align Regional Transit to Jobs

Description Provide transportation options for low income households, particularly individuals and families with children, needed to access to jobs and education systems

Basis for Relative Priority

Community input.

16 Priority Need Name Job Creation/Retention and Job Training

Priority Level High Population Extremely Low Low Moderate

Geographic Areas

Affected

Associated Goals

City-wide

Dependable care for those with special needs

Self-sufficiency and family success

Local AFH Goal 3: Fairmount Business District Plan

Description Provide job training and support community and special economic development projects that will result in the creation of jobs that offer a living wage

Basis for Relative Priority

Community input, and housing market, income and unemployment data

17 Priority Need Name Education/Self-sufficiency Programs/Legal Services

Priority Level High

OMB Control No: 2506-0117 (exp. 07/31/2015)

Consolidated Plan INDEPENDENCE 127

18

Population Extremely Low

Low Moderate

Families with Children

Unaccompanied Youth Other

Geographic Areas Affected

Associated Goals

City-wide

Dependable care for those with special needs

Self-sufficiency and family success

Local AFH Goal 3: Fairmount Business District Plan

Reg AFH Goal 3: Fair Hsg Education -Stakeholders

Reg AFH Goal 10: Promote KC Degrees/KC Scholars

Reg AFH Goal 11: KC Rising Education and Job Train

Reg AFH Goal 14: Affordable Hsg Education Material

Description Programs aimed at reducing generational poverty by providing youth and family, particularly female head of household families, with education, training, and legal services in areas including, but not limited too, preschool centers, college and employment readiness, financial literacy, homebuyer counseling, home maintenance, Fair Housing and immigration

Basis for Relative Priority

Priority Need Name

Community input

Public Services for Special Needs Populations

Priority Level High

Population

Extremely Low Low

Moderate

Geographic Areas Affected

Associated Goals

City-wide

Commitment to preventing and ending homelessness

Dependable care for those with special needs

Self-sufficiency and family success

Reg AFH Goal 2: Establish Fair Housing Website

OMB Control No: 2506-0117 (exp. 07/31/2015)

Consolidated Plan INDEPENDENCE 128

Description Programs that serve the basic needs of very low, low and moderate income households, including special needs populations, homeless and at-risk homeless.

Basis for Relative Priority

Community input and community needs analysis

19 Priority Need Name Domestic Violence Prevention & Services

Priority Level High Population Extremely Low Low

Moderate Families with Children

Victims of Domestic Violence

Geographic Areas Affected

Associated Goals

City-wide

Dependable care for those with special needs

Self-sufficiency and family success

Description Prevention programs and services to vicitims of domestic violence, including child abuse.

Basis for Relative Priority

Community input

20 Priority Need Name Prisoner Re-entry Programs

Priority Level Low Population Extremely Low Low

Geographic Areas Affected

Associated Goals

City-wide

Commitment to preventing and ending homelessness

Self-sufficiency and family success

Consolidated Plan INDEPENDENCE 129
OMB Control No: 2506-0117 (exp. 07/31/2015)

Description Prisoner re-entry programs that assist with finding permanent housing, job placement, substance abuse counseling, and social stabilization in the community.

Basis for Relative Priority

Community input and community development needs analysis

21 Priority Need Name Support for the Institutional Delivery System

Priority Level High

Population Other

Geographic Areas Affected

City-wide

Associated Goals Ongoing Capacity Building

Description Ongoing support for adminstration of CDBG and HOME eligible activities and capacity building of local nonprofit service providers and housing developers.

Basis for Relative Priority

Community needs input.

22 Priority Need Name Fair Housing

Priority Level High

Population Other

Geographic Areas Affected

City-wide

OMB Control No: 2506-0117 (exp. 07/31/2015)

Consolidated Plan INDEPENDENCE 130

Associated Goals

Quality housing choice for all

Local AFH Goal 1: Reasonable Accommodations Policy

Local AFH Goal 2: Rental Ready Program

Reg AFH Goal 1: Expand Use of CDFI/NMTC

Reg AFH Goal 2: Establish Fair Housing Website

Reg AFH Goal 3: Fair Hsg Education -Stakeholders

Reg AFH Goal 4: Advocate for Universal Designs

Reg AFH Goal 5: Regional Housing Mobility

Reg AFH Goal 6: Develop Compact Use Zoning

Reg AFH Goal 7: Develop Regional Hsg Locator

Reg AFH Goal 8: Encourage Affordable TOD by Zoning

Reg AFH Goal 9: Universal Design Incentive Policy

Reg AFH Goal 10: Promote KC Degrees/KC Scholars

Reg AFH Goal 12: Transportation Option Partnership

Reg AFH Goal 13: Align Regional Transit to Jobs

Reg AFH Goal 14: Affordable Hsg Education Material

Reg AFH Goal 15: Fair Hsg Goals Metrics

Description

Outreach and education for low income households, non-homelesss special needs persons, real estate and lending professionals; fair housing counseling and enforcement assistance

Basis for Relative Priority

Narrative (Optional)

Entitlement commitment to affirmatively further fair housing

The Five Year Consolidated Plan must indicate the general priorities for allocating investment of available resources among different needs. Priority needs are those that will be addressed by the goals outlined in the Strategic Plan. For each priority, the strategy indicates one or more populations to be served, as well as an assigned priority level indicating relative importance among the needs listed.

Each priority listed is ranked as either high or low priority based on factors including significance of need, capacity of the institutional structure to deliver, ability to leverage other funding sources, feasibility of success, and community interest established during the annual request for proposals and funding allocation process. It is anticipated that high priorities will be funded during one or more plan years of the 2017-2021 Consolidated Plan period. Low priorities may be funded depending on the availability of funding and an adequate delivery system or partnership to serve the need.

OMB Control No: 2506-0117 (exp. 07/31/2015)

Consolidated Plan INDEPENDENCE 131

SP-30 Influence of Market Conditions – 91.215 (b)

Influence of Market Conditions

Affordable Housing Type

Tenant Based Rental Assistance (TBRA)

Market Characteristics that will influence the use of funds available for housing type

The citizen participation process and community needs assessment revealed a significant demand for assistance with the cost of rental housing due to the unavailability of jobs that will pay a living wage. The requests for Section 8 housing assistance far exceed the number of available housing vouchers. As the City does not have sufficient expertise or capacity to administer a TBRA program, any initiative to do so would necessarily rely on development of a partnership with the Independence Housing Authority, who currently administers HUD's Section 8 housing voucher program in Independence, or another non-profit housing provider which may be a consideration during the 2017-2021 Consolidated Plan period. At the same time the City intends to focus plan efforts on community economic development initiatives that will increase living-wage employment opportunities and on housing investment activities that will reduce utility burden as proactive measures to address housing cost burden for low and moderate income residents.

TBRA for NonHomeless Special Needs

The citizen participation process and community needs assessment revealed a significant demand for assistance with the cost of rental housing due to the unavailability of jobs that will pay a living wage. The requests for Section 8 housing assistance far exceed the number of available housing vouchers. As the City does not have sufficient expertise or capacity to administer a TBRA program, any initiative to do so would necessarily rely on development of a partnership with the Independence Housing Authority, who currently administers HUD's Section 8 housing voucher program in Independence, or another non-profit housing provider which may be a consideration during the 2017-2021 Consolidated Plan period. At the same time the City intends to focus plan efforts on community economic development initiatives that will increase living-wage employment opportunities and on housing investment activities that will reduce utility burden as proactive measures to address housing cost burden for low and moderate income residents.

Consolidated Plan INDEPENDENCE 132
Control No:
(exp. 07/31/2015)
OMB
2506-0117

Affordable Housing Type

New Unit Production

Market Characteristics that will influence the use of funds available for housing type

With a city-wide average vacancy rate of 8%, and with current lending constraints and a shortage of qualified buyers, production of new single family and rental units is not a high priority at this time. The City does not anticipate utilizing HOME funds for new unit production except in cases where rehabilitation of existing housing units acquired for redevelopment is determined infeasible due to structural deterioration or deficiencies, to encourage residential infill development that compliments the surrounding neighborhood, or when gap financing is needed to allow for the conversion of a vacant building to new affordable housing units being supported through the LIHTC or a Historic Preservation Tax Credit program. The City will continue to provide Certificates of Consistency upon request for projects proposing production of new affordable housing units when consistent with the City's Consolidated Plan.

Rehabilitation

Generally speaking, with a 2015 median housing value below $110,000 and a median rent of $813.00 (9% below the median for Jackson County and well below the regional Fair Market Rent), the housing supply in Independence is considered to be affordable. With a City-wide average vacancy rate of 10% it is believed that the issue is not one of supply, but of quality and costs associated with poor quality. Throughout the Citizen Participation Process and community needs assessment, rehabilitation of existing housing stock, particularly vacant and abandoned single family homes, deteriorated occupied units, and vacant buildings that are candidates for conversion to housing or mixed-use projects were identified as high priorities. Particular consideration was given to the need for rehabilitation that will reduce utility burden and assist with neighborhood sustainability efforts in western Independence. Consolidated Plan efforts will focus on funding rehabilitation projects and programs that will reduce vacancy of existing units, improve housing quality and reduce utility burden for occupants.

Acquisition, including preservation

Based on the market conditions identified above, the Consolidated Plan will support acquisition activities for new unit production when gap financing is needed to allow for the conversion of a vacant building to new affordable housing units being supported through the LIHTC or a Historic Preservation Tax Credit program; and for rehabilitation projects and programs that will reduce vacancy of existing units, improve housing quality and reduce utility burden for occupants.

OMB Control No: 2506-0117 (exp. 07/31/2015)

Consolidated Plan INDEPENDENCE 133

SP-35 Anticipated Resources - 91.215(a)(4), 91.220(c)(1,2)

Introduction

The Five Year Consolidated Plan identifies the federal, state, local and private resources expected to be available to the City of Independence to address priority needs and specific objectives identified in the Strategic Plan. These resources are summarized in SP35.

The City anticipates a total allocation of $718,203 in CDBG funding for the 2017-2018 program year. No program income is expected, and $700,000 in prior year resources for CDBG will be used. CDBG funds will be used for housing and community development activities including home rehabilitation, economic development, public improvements, public services, and administration of the City's CDBG program. The City anticipates a total allocation of $325,785 in HOME Program funds for the 2017-18 program year. No program income or prior year resources for HOME is expected. HOME funds will be used for the development of affordable housing.

Anticipated Resources

OMB Control No: 2506-0117 (exp. 07/31/2015)

Based on current allocation, unless substantial funding cuts are made to CPD programs, our annual CDBG allocation has consistently been close to $750,000

Consolidated Plan INDEPENDENCE 134
Program Source of Funds Uses of Funds Expected Amount Available Year 1 Expected Amount Available Reminder of ConPlan $ Narrative Description Annual Allocation: $ Program Income: $ Prior Year Resources: $ Total: $ CDBG publicfederal Acquisition Admin and Planning Economic Development Housing Public Improvements Public Services 718,203 0 700,000 1,418,203 3,000,000

Based on current allocation, unless substantial funding cuts are made to CPD programs, our annual HOME allocation has been consistently close to $300,000

Explain how federal funds will leverage those additional resources (private, state and local funds), including a description of how matching requirements will be satisfied

It is anticipated that federal funds received from HUD through the CDBG and HOME Programs will leverage a variety of other funding resources from private, state and local funds. Program activities not administered directly by the City will be allocated utilizing a competitive application process designed to give favor to projects leveraging the most funds from other resources. When appropriate, funds administered directly by the City for public improvement projects will be utilized in combination with other sources available to the City and, when eligible, will be provided as match in order to leverage grant assistance from regional, state and federal programs.

HOME Program dollars are also allocated through a competitive application process and are treated by the City strictly as a gap financing source. This means that project developers must exhaust all other reasonably available funding sources before requesting HOME program

Consolidated Plan INDEPENDENCE 135
Control No: 2506-0117 (exp. 07/31/2015) Program Source of Funds Uses of Funds Expected Amount Available Year 1 Expected Amount Available Reminder of ConPlan $ Narrative Description Annual Allocation: $ Program Income: $ Prior Year Resources: $ Total: $ HOME publicfederal Acquisition Homebuyer assistance Homeowner rehab Multifamily rental new construction Multifamily rental rehab New construction for ownership TBRA 325,785 0 0 325,785 1,200,000
OMB

assistance. Typically leveraged funds for HOME assisted projects include tax credits, tax abatements, private bank loans, donations, in-kind donations, and sweat equity.

Match requirements, when applicable for HOME funded projects, will be satisfied through the donation of property, materials, construction labor, and sweat equity.

If appropriate, describe publically owned land or property located within the jurisdiction that may be used to address the needs identified in the plan

A city owned parking lot currently used as a temporary Farmer’s Market shall be improved by adding a permanent covered shelter for use as the market twice a week and covered parking for the Independence Square Historic Shopping district when not in use. The market will serve a lowmoderate surrounding neighborhood, and encourage economic activity on the Square.

Additionally, a city owned parcel of approximately an acre of land will be made available for development of two to three single family infill homes in the north eastern area of Independence with HOME gap funding. These homes will be built to current HOME Program standards and marketed to families that meet HOME Program income guidelines of 60-80% of median area income.

Discussion

The City's anticipated funding allocation from CDBG will be utilized to address the City's goals for increasing the availability and accessibility of quality of affordable housing, reducing and preventing homelessness, carrying out neighborhood revitalization in low and moderate income areas, enhancing quality of life for low and moderate income families through increased economic opportunity, and providing direct assistance to special needs populations. The City is fortunate to have a network of public or social service providers and other City departments to help address these goals through financial leveraging, coordination and collaboration

OMB Control No: 2506-0117 (exp. 07/31/2015)

Consolidated Plan INDEPENDENCE 136

SP-40 Institutional Delivery Structure – 91.215(k)

Explain the institutional structure through which the jurisdiction will carry out its consolidated plan including private industry, non-profit organizations, and public institutions.

Responsible

CITY OF INDEPENDENCE Government Economic Development

Planning

neighborhood

improvements

public facilities

public services

Jurisdiction

JACKSON COUNTY Government

Economic Development

Homelessness

Non-homeless special needs

Planning

public facilities

public services

Mid America Regional Council Regional organization Planning

HOMELESS SERVICES COALITION Continuum of care Homelessness

Non-homeless special needs

Jurisdiction

Independence Hungry & Homeless Coalition

KC Regional Consortium on the Analysis of Impediments to Fair Housing

The Housing Authority of the City of Independence, Mo

Departments and agencies Homelessness

Non-homeless special needs

Departments and agencies Planning

Jurisdiction

PHA

Public Housing Rental

Independence School District Public institution Jurisdiction

Consolidated Plan INDEPENDENCE 137
No:
OMB Control
2506-0117 (exp. 07/31/2015)
Geographic
Entity Responsible Entity Type Role
Area Served
Region
Region
Region
Jurisdiction

Truman Heritage Habitat for Humanity

NORTHWEST COMMUNITIES DEVELOPMENT CORP.

Ownership

12 Blocks West

BUILDERS DEVELOPMENT CORPORATION

HILLCREST TRANSITIONAL HOUSING OF EASTERN

JACKSON COUNTY

organizations

public facilities public services

public services

CHILD ABUSE PREVENTION ASSOCIATION

MOTHER'S REFUGE

Independence Meals on Wheels

needs

public services

Non-homeless special needs

public services

public services

Consolidated Plan INDEPENDENCE 138 OMB Control No: 2506-0117 (exp. 07/31/2015)
Entity Responsible Entity Type Role Geographic Area Served
Responsible
CHDO Ownership neighborhood improvements Jurisdiction
CHDO Non-homeless
special needs
neighborhood improvements
Jurisdiction
Non-profit
neighborhood
Jurisdiction
CHDO
Rental Region
improvements
Ownership
Subrecipient Homelessness
Non-homeless special needs
Jurisdiction SALVATION ARMY
Subrecipient Homelessness Other SALVATION ARMY Subrecipient Non-homeless special
CROSSROADS SHELTER
needs
Jurisdiction COMMUNITY SERVICES LEAGUE Non-profit organizations Non-homeless special needs
public services
Other
public services
Subrecipient Non-homeless special
Jurisdiction
Subrecipient Homelessness
Jurisdiction
Subrecipient Non-homeless special
needs
Jurisdiction

Stone Church Community/Faithbased organization

Independence Ethnic Council Community/Faithbased organization

Comprehensive Mental Health

Independence CDBG & HOME Programs

Annual Advisory Committee

Independence Economic Development Corporation

Non-profit organizations

Non-homeless special needs

public services

Non-homeless special needs

public services

Jurisdiction

Jurisdiction

Non-homeless special needs Jurisdiction

Other Planning Jurisdiction

Non-profit organizations

UNITED WAY OF GREATER KANSAS CITY Non-profit organizations

Economic Development Jurisdiction

Economic Development

Homelessness

Non-homeless special needs

Planning

public facilities

public services

Assess of Strengths and Gaps in the Institutional Delivery System

Region

As lead agency, the City of Independence relies on a well-developed institutional structure to effectively implement the Goals and Priority Objectives of the Consolidated Plan. As a longstanding Entitlement Community, Independence benefits from a comprehensive and experienced network of subrecipients, providers, agencies and community representatives that provide a tremendous support system for addressing the needs of the low and moderate income community.

The following provides a summary of the strengths and weakness of the community’s institutional delivery system:

Strengths in the delivery system include:

• Extensive supply of experienced service providers, local and regional, servicing a broad range of social service and housing needs

• Shared regional data network available to service providers provides for fair and efficient service delivery

Consolidated Plan INDEPENDENCE 139
No:
OMB Control
2506-0117 (exp. 07/31/2015)
Role
Responsible Entity Responsible Entity Type
Geographic Area Served

• Strength and support of the City’s faith-based community

• Experience of City Program Staff in administering federally funded program

• Strong commitment to volunteerism within the community

• Strength of the Independence School District

• Community affordability attracts investment

• Local public transit system that is connected to the regional system

• Local agency participation in regional Continuum of Care efforts

• Support from community banks

Potential gaps in the service delivery system include:

• Shortage of public and private funding resources to support and meet individual, community, and agencies’ needs

• Shortage of experienced non-profit housing developers for rental projects

• Shortage of resources and capacity to supply much needed tenant based rental assistance programs

• Lack of shelter facilities to serve the full range of homeless populations

Consolidated Plan INDEPENDENCE 140
Control No:
(exp. 07/31/2015)
OMB
2506-0117
Availability of services targeted to homeless persons and persons with HIV and mainstream services Homelessness Prevention Services Available in the Community Targeted to Homeless Targeted to People with HIV Homelessness Prevention Services Counseling/Advocacy X X Legal Assistance X Mortgage Assistance X Rental Assistance X Utilities Assistance X Street Outreach Services Law Enforcement X Mobile Clinics X X Other Street Outreach Services X X Supportive Services Alcohol & Drug Abuse X Child Care X Education X Employment and Employment Training X Healthcare X HIV/AIDS X

Describe how the service delivery system including, but not limited to, the services listed above meet the needs of homeless persons (particularly chronically homeless individuals and families, families with children, veterans and their families, and unaccompanied youth)

As detailed above, Independence benefits from a strong network of experienced housing and social service providers who together provide a fairly comprehensive safety net for residents in need, including the homeless and persons with HIV. As a partner in the Jackson County Continuum of Care, Independence and its network agencies benefit from the experience and resources of the larger Kansas City region and are actively involved in expanding the outreach and impact of the Continuum's efforts. Within the limits of available resources, Independence homeless service providers are readily available to assist, or connect to assistance, homeless and persons with HIV.

In general, the most significant local challenges in meeting the needs of the homeless and persons with HIV are insufficient annual funding resources to serve all who are in need and to make a meaningful impact, locating and reaching homeless populations that are not actively seeking services, and being able to transition the homeless to permanent housing in a timely fashion.

Describe the strengths and gaps of the service delivery system for special needs population and persons experiencing homelessness, including, but not limited to, the services listed above

The service delivery system for persons with special needs and persons experiencing homelessness in Independence benefits from the following strengths:

• A comprehensive network of agencies covering the broad range of underserved needs is available to some degree, if not locally, within the region

• The service delivery system for very low income, homeless and special needs persons benefits from the shared use of a regional case management database called MAACLink that is available to non-profit social service providers and helps to ensure fair and efficient service is available to beneficiaries

• Many service providers have built effective local and regional collaborative partnerships designed to leverage resources and avoid duplication of services in order to better serve beneficiaries and the community as a whole

• Many service providers have worked to develop niche programs and services in order to fill underserved needs and insure the sustainability of the organization

Consolidated Plan INDEPENDENCE 141 OMB Control No: 2506-0117 (exp. 07/31/2015) Life Skills X Mental Health Counseling X X Transportation X Other

Gaps identified in the current service delivery system include the following:

• While generally eligible to be served by local social service agencies, there are certain categories of special needs populations, including persons with HIV/AIDS, unaccompanied youth, and persons with disabilities that do not have a strong, stand-alone, institutional advocate within the City that is actively partnering to address their specific underserved needs.

• Homeless shelter programs in Independence generally prioritize for certain categories of beneficiaries, namely families and women with children, leaving unaccompanied youth, single men and persons with mental illness or substance abuse issues unserved at the local level.

• Employment services and job training programs, a significant unmet need identified during the Consolidated Plan development process, are not effectively addressing the unemployment, underemployment, and education needs of the community. The delivery system needs programs that will ensure beneficiaries will have the opportunity to earn a living wage are needed.

Provide a summary of the strategy for overcoming gaps in the institutional structure and service delivery system for carrying out a strategy to address priority needs

In order to overcome gaps in the institutional structure and service delivery system the following strategy is employed on an ongoing basis:

• Promote an awareness among members within the existing institutional structure of the identified gaps in our delivery system and the significance of unmet needs

• Encourage through the issuance of requests for funding proposals projects that offer a meaningful response to identified gaps in the delivery system

• Support the development of new agencies or the expansion of an existing agency to serve identified underserved needs

• Pursue additional funding opportunities through local, state and federal sources that will assist in closing any gaps in the service delivery system

OMB Control No: 2506-0117 (exp. 07/31/2015)

Consolidated Plan INDEPENDENCE 142

SP-45 Goals Summary – 91.215(a)(4)

Home

Efficiency

Homebuyer

and

Financing

Rental

Rehabilitation

Subsistence

Housing

(rent/utility)Assistance

Transportation

Vacant

CDBG: $600,000

HOME: $1,500,000

Rental units rehabilitated: 6 Household Housing Unit

Homeowner Housing Added: 24 Household Housing Unit

Homeowner Housing

Rehabilitated: 200 Household Housing Unit

Direct Financial Assistance to Homebuyers: 12 Households Assisted

Consolidated Plan INDEPENDENCE 143 OMB Control No: 2506-0117 (exp. 07/31/2015)
Goals Summary Information Sort Order Goal Name Start Year End Year Category Geographic Area Needs Addressed Funding Goal Outcome Indicator 1 Quality housing choice for all 2017 2021 Affordable Housing Fair Housing City-wide Fair Housing
Repair and Energy
Improvements
Assistance
Non-traditional
Housing
Level
Services
Residential Properties Reuse

Access

Code

Crime

Home

Efficiency

Neighborhood

Reinvestment

Sidewalk and Public Facilities

Social/Micro

Business

Transportation

Vacant

CDBG: $650,000 Public Facility or Infrastructure Activities other than Low/Moderate Income Housing Benefit: 3000 Persons Assisted Housing Code

Enforcement/Foreclosed

Property Care: 12000 Household Housing Unit

Consolidated Plan INDEPENDENCE 144 OMB Control No: 2506-0117 (exp. 07/31/2015) Sort Order Goal Name Start Year End Year Category Geographic Area Needs Addressed Funding Goal Outcome Indicator 2 Strong, healthy, well-balanced neighborhoods 2017 2021 Affordable Housing Non-Housing Community Development CDBG Eligible Area Census Tracts
City-wide
to Basic Services and Public Facilities
Enforcement and Blight Removal
Reduction and Public Safety
Repair and Energy
Improvements
Commercial District
Improvements
Enterprise
Assistance
Services
Properties Reuse
Residential

Homeless

Prisoner

Public

Subsistence

(rent/utility)Assistance

Supportive

Homeless

Transportation

Consolidated Plan INDEPENDENCE 145 OMB Control No: 2506-0117 (exp. 07/31/2015) Sort Order Goal Name Start Year End Year Category Geographic Area Needs Addressed Funding Goal Outcome Indicator 3 Commitment to preventing and ending homelessness 2017 2021 Homeless City-wide Home Repair and Energy Efficiency Improvements
Case Management & Counseling
Shelters & Transitional Housing
Homeless
Re-entry Programs
Services for Special Needs
Populations
Level
Housing
Service for Homeless & At-risk
Services
Homeless Person Overnight Shelter:
CDBG: $80,000
2500 Persons Assisted
Homelessness Prevention: 350 Persons Assisted

Domestic

Prevention

Education/Self-

Programs/Legal

Job

Prisoner

Programs

Public

Populations

Social/Micro

Business

Transportation

CDBG: $700,000 Public service

other than Low/Moderate Income Housing Benefit: 200 Persons Assisted

Jobs created/retained: 18 Jobs

Businesses assisted: 5 Businesses Assisted

Consolidated Plan INDEPENDENCE 146 OMB Control No: 2506-0117 (exp. 07/31/2015) Sort Order Goal Name Start Year End Year Category Geographic Area Needs Addressed Funding Goal Outcome Indicator 4 Self-sufficiency and family success 2017 2021 Non-Housing Community Development City-wide Access to Basic Services and Public Facilities
Violence
& Services
sufficiency
Services
Creation/Retention and Job Training
Re-entry
Services for Special Needs
Enterprise
Assistance
Services
activities

Domestic

Prevention &

Education/Selfsufficiency

Programs/Legal

Home Repair and Energy

Efficiency Improvements

Homeless

Management & Counseling

Homeless Shelters & Transitional Housing

Job Creation/Retention and Job Training

Public Services for Special Needs

Populations

Sidewalk and Public

Facilities Improvements

Subsistence Level

Housing

(rent/utility)Assistance

Supportive Service for Homeless & At-risk

Homeless Transportation Services

CDBG: $400,000 Public service activities other than Low/Moderate Income Housing Benefit: 5000 Persons Assisted

Consolidated Plan INDEPENDENCE 147 OMB Control No: 2506-0117 (exp. 07/31/2015) Sort Order Goal Name Start Year End Year Category Geographic Area Needs Addressed Funding Goal Outcome Indicator 5 Dependable care for those with special needs 2017 2021 Non-Homeless Special Needs City-wide Access to Basic Services and Public Facilities
Violence
Services
Services
Case
Consolidated Plan INDEPENDENCE 148 OMB Control No: 2506-0117 (exp. 07/31/2015) Sort Order Goal Name Start Year End Year Category Geographic Area Needs Addressed Funding Goal Outcome Indicator 6 Ongoing Capacity Building 2017 2021 Program Administration & Capacity Building City-wide Support for the Institutional Delivery System CDBG: $750,000 HOME: $225,000 Other: 0 Other 7 Local AFH Goal 1: Reasonable Accommodations Policy 2017 2021 AFFH Goal and Strategies #1 City-wide Fair Housing CDBG: $0 Homelessness Prevention: 100 Persons Assisted 8 Local AFH Goal 2: Rental Ready Program 2017 2021 AFFH goals and Strategies #2 City-wide Fair Housing CDBG: $0 Housing Code Enforcement/Foreclosed Property Care: 4000 Household Housing Unit 9 Local AFH Goal 3: Fairmount Business District Plan 2017 2021 AFFH goals and strategies #3 CDBG Eligible Area Census Tracts Education/Selfsufficiency Programs/Legal Services Job Creation/Retention and Job Training Transportation Services Jobs created/retained: 15 Jobs Businesses assisted: 5 Businesses Assisted 10 Local AFH Goal 4: Comprehensive Plan Update 2017 2021 AFFH Goals and Strateries #4 City-wide Code Enforcement and Blight Removal Sidewalk and Public Facilities Improvements Other: 1 Other
Consolidated Plan INDEPENDENCE 149 OMB Control No: 2506-0117 (exp. 07/31/2015) Sort Order Goal Name Start Year End Year Category Geographic Area Needs Addressed Funding Goal Outcome Indicator 11 Reg AFH Goal 1: Expand Use of CDFI/NMTC 2017 2021 Affordable Housing Public Housing Homeless Non-Homeless Special Needs Non-Housing Community Development AFFH Regional Goal 1 CDBG Eligible Area Census Tracts Fair Housing Rental Housing Rehabilitation 12 Reg AFH Goal 2: Establish Fair Housing Website 2017 2021 Access to Fair Housing Information City-wide Fair Housing Public Services for Special Needs Populations 13 Reg AFH Goal 3: Fair Hsg EducationStakeholders 2017 2021 AFFH City-wide Education/Selfsufficiency Programs/Legal Services Fair Housing 14 Reg AFH Goal 4: Advocate for Universal Designs 2017 2021 AFFH City-wide Fair Housing 15 Reg AFH Goal 5: Regional Housing Mobility 2017 2021 Affordable Housing Public Housing AFFH City-wide Fair Housing
Consolidated Plan INDEPENDENCE 150 OMB Control No: 2506-0117 (exp. 07/31/2015) Sort Order Goal Name Start Year End Year Category Geographic Area Needs Addressed Funding Goal Outcome Indicator 16 Reg AFH Goal 6: Develop Compact Use Zoning 2019 2021 AFFH City-wide Fair Housing 17 Reg AFH Goal 7: Develop Regional Hsg Locator 2017 2021 Affordable Housing AFFH City-wide Fair Housing 18 Reg AFH Goal 8: Encourage Affordable TOD by Zoning 2018 2021 Affordable Housing AFFH City-wide Fair Housing 19 Reg AFH Goal 9: Universal Design Incentive Policy 2019 2021 AFFH City-wide Fair Housing 20 Reg AFH Goal 10: Promote KC Degrees/KC Scholars 2017 2021 Affordable Housing Non-Homeless Special Needs AFFH Education/Selfsufficiency Programs/Legal Services Fair Housing 21 Reg AFH Goal 11: KC Rising Education and Job Train 2017 2021 AFFH City-wide Education/Selfsufficiency Programs/Legal Services 22 Reg AFH Goal 12: Transportation Option Partnership 2017 2021 AFFH City-wide Fair Housing Transportation Services 23 Reg AFH Goal 13: Align Regional Transit to Jobs 2017 2018 AFFH City-wide Fair Housing Transportation Services

Goal Descriptions

1 Goal Name Quality housing choice for all

Goal Description A city where quality housing options are available community-wide and are affordable and suitable to the needs of all people regardless of income, race, age, disability and household size.

2 Goal Name Strong, healthy, well-balanced neighborhoods

Goal Description A city known for its strong and healthy neighborhoods, rich in character and diversity, and safe and secure for the future.

3 Goal Name Commitment to preventing and ending homelessness

Goal Description A charitable City that demonstrates an unwavering commitment to preventing and ending homelessness.

4 Goal Name Self-sufficiency and family success

Goal Description Be a flourishing City where the opportunities for achieving self sufficiency, prosperity and family success are limitless

OMB Control No: 2506-0117 (exp. 07/31/2015)

Consolidated Plan INDEPENDENCE 151
Sort Order Goal Name Start Year End Year Category Geographic Area Needs Addressed Funding Goal Outcome Indicator 24 Reg AFH Goal 14: Affordable Hsg Education Material 2017 2019 Affordable Housing AFFH City-wide Education/Selfsufficiency Programs/Legal Services Fair Housing 25 Reg AFH Goal 15: Fair Hsg Goals Metrics 2017 2021 Affordable Housing AFFH City-wide Fair Housing Table 1 – Goals Summary

5 Goal Name Dependable care for those with special needs

Goal Description A compassionate City that provides dependable services for special needs populations generally assumed to be low income including youth and children, seniors/elderly/frail elderly, veterans, persons with disabilities, victims of domestic violence, and persons with HIV/AIDS

6 Goal Name Ongoing Capacity Building

Goal Description Continue to strengthen the capacity of the City's institutional delivery system to meet the housing and community development needs of the community.

7 Goal Name Local AFH Goal 1: Reasonable Accommodations Policy

Goal Description Adopt a formal reasonable accommodations policy for housing that informs and provides clear direction to perso ns with disabilities on the process for making a reasonable accommodations request.

Contributing factors: lack of affordable, accessible housing for the disabled; location and type of affordable housing; lack of affordable, accessible housing in a range of unit sizes.

Fair Housing Issues: segregation and integration; disparities in access of opportunity; fair housing enforcement, outreach capacity; resources, disabilities.

Responsible Parties: City of Independence, Citizens with Disabilities Commission.

A reasonable accommodations policy will increase the ability for the disabled to access affordable and accessible housing and a variety of opportunities that may have been closed off to them.

Within the first year of the AFFH strategy the city of Independence will adopt a reasonable accommodations policy to improve housing and opportunity access for the disabled. Following adoption the city will work with community organizations to make the disabled community aware of the policy and how to use it.

OMB Control No: 2506-0117 (exp. 07/31/2015)

Consolidated Plan INDEPENDENCE 152

8 Goal Name Local AFH Goal 2: Rental Ready Program

Goal Description Implement newly adopted Independence Rental Ready property conditions inspection program to insure decent, safe & sanitary rental housing conditions City-Wide.

Contributing Factors: deteriorated and abandoned properties, lack of affordable, accessible housing in a range of unit sizes, location and type of affordable housing

Fair Housing Issues: disproportionate housing needs

Responsible Parties: City of Independence

By implementing the newly adopted Rental Ready Program this will assist the city in assuring that rental housing units, including those of protected class members, are safe and sanitary and will help meet their housing needs. The housing units affected are most likely to be occupied by members of protected classes.

The City will implement the newly adopted Independence Rental Ready property conditions inspection program to insure decent, safe & sanitary rental housing conditions City-Wide. The staff and procedures are in place to begin June 1, 2017 and will be accomplished the first year. Following the first year the city will continue to implement the program and annually review and modify the program as needed.

OMB Control No: 2506-0117 (exp. 07/31/2015)

Consolidated Plan INDEPENDENCE 153

9 Goal Name Local AFH Goal 3: Fairmount Business District Plan

Goal Description

Implement the 24 Highway Fairmount Business District Plan in partnership with MARC's Planning Sustainable Places Program with a focus on identifying and prioritizing needed public improvements that will enhance existing transportation systems, further complete street objectives, and create economic opportunity for area disadvantaged persons and minority populations in furtherance of this goal.

Contributing Factors: Impediments to mobility, lack of private investment in specific neighborhoods.

Fair Housing Issues: Access to Opportunity

Responsible parties: City of Independence, Fairmount Community, MARC, MODOT, KCATA

Increased economic opportunity and mobility for a challenged neighborhood will provide protected class members with new job and service opportunities and new mobility opportunities that will help improve access to opportunity.

The City of Independence has worked with a number of groups and agencies, including the Fairmount community, to develop and now implement a sustainable strategy to increase economic opportunity and mobility for those in a disinvested neighborhood. The consultant has been selected, contracts signed, noticed to proceed issued and first steering committee was held March 24, 2017. The plan should be finalized in September 2017.

OMB Control No: 2506-0117 (exp. 07/31/2015)

Consolidated Plan INDEPENDENCE 154

10 Goal Name Local AFH Goal 4: Comprehensive Plan Update

Goal Description Complete the City of Independence Comprehensive Plan update, utilizing a robust community engagement process to identify neighborhood, housing choice, transportation and economic development needs and goals.

Contributing Factors: Lack of private investment in specific neighborhoods, impediments to mobility, Location and type of affordable housing

Fair Housing Issues: Access to opportunity

Responsible Parties: City of Independence

By providing a comprehensive plan the city will be able to address housing choice, economic development, and transportation which will provide more access to opportunity for all Independence residents, including those in protected classes. The plan will also help Independence's ongoing efforts to invest in older neighborhoods where most of the protected classes reside.

The city of Independence will complete its citywide comprehensive plan, which has relied heavily on a robust community engagement strategy. The plan addresses such key topics for fair housing as housing choice and access to mobility and economic opportunity. After completion in 2017 the City will devote its attention to implementing the comprehensive plan. This will require a broad public/private/community effort over a sustained period of time.

11 Goal Name Reg AFH Goal 1: Expand Use of CDFI/NMTC

Goal Description Expand the use of CDFI's and New Market Tax Credits in neighborhoods with concentrations of persons in protected classes and low income residents in order to provide access to opportunity and housing choice.

Providing more CDFI and NMTC availability to distressed neighborhoods will increase private investment in neighborhoods and help to decrease segregation, provide increased housing choice to members of protected classes, and increase access to opportunity by bringing opportunities to these neighborhoods.

OMB Control No: 2506-0117 (exp. 07/31/2015)

Consolidated Plan INDEPENDENCE 155

12 Goal Name Reg AFH Goal 2: Establish Fair Housing Website

Goal Description Establish www.kcmetrohousing.org as a central location for the public to access fair housing information.

Providing increased access to affordable housing information and fair housing information will help to address the quality of affordable housing information, increase access to affordable housing, decrease segregation, and increase access to opportunity.

13 Goal Name Reg AFH Goal 3: Fair Hsg Education -Stakeholders

Goal Description Establish a fair housing education program for landlords, realtors, and lenders. Explore funding through Fair Housing grants to support education and enforcement.

14 Goal Name Reg AFH Goal 4: Advocate for Universal Designs

Goal Description Advocate to Missouri Housing Development Commission and Kansas Housing Resources Commission to include Universal Design Standards beyond HUD and ADA minimums in their projects.

Local governments will encourage the state housing agencies to incorporate Universal Design standards beyond HUD and ADA minimum requirements in their review criteria for project selection of LIHTC supported projects. Local governments participating in the plan will work with MARC's Kansas City Communities for All Ages Program to develop information to support this recommendation.

This initiative would increase the availability of housing units that feature universal design standards and are accessible to all potential residents.

15 Goal Name Reg AFH Goal 5: Regional Housing Mobility

Goal Description Work with local housing authorities, cities and MARC to explore a regional approach to housing mobility.

OMB Control No: 2506-0117 (exp. 07/31/2015)

Consolidated Plan INDEPENDENCE 156

16 Goal Name Reg AFH Goal 6: Develop Compact Use Zoning

Goal Description Develop model zoning code for smaller homes on smaller lots and small (4-12) unit multi-family.

By facilitating the development of smaller single family and multi-family housing the model codes will provide more information to cities to guide decisions about ways to support affordable housing opportunities in more places around the metro area and in communities, and provide additional access for protected classes to opportunities.

MARC will develop model codes that would allow local governments to encourage smaller homes on smaller lots in some locations and also facilitate the construction of small (4-12 units) multifamily projects in appropriate residential and commercial areas. They will then provide a series of presentations to planners, planning commissions, and elected officials on the merits of the model codes.

17 Goal Name Reg AFH Goal 7: Develop Regional Hsg Locator

Goal Description Develop regional housing locator service to help voucher holders find the most appropriate housing. Having a regional housing locator program will help voucher users, particularly those in protected classes, identify suitable housing choices throughout the region. This would aid persons to locate in opportunity areas, decrease concentrations of poverty, and lessen segregation in the metro area.

This initiative will parallel and complement the development of a regional approach to housing voucher utilization.

18 Goal Name Reg AFH Goal 8: Encourage Affordable TOD by Zoning

Goal Description Develop model zoning codes to encourage accessible affordable housing units near transit or other key services at activity centers.

19 Goal Name Reg AFH Goal 9: Universal Design Incentive Policy

Goal Description Develop model incentive policy to require any multi-unit housing construction or substantial renovation receiving a public subsidy to include some affordable, accessible units that meet universal design standards.

Local governments provide a variety of incentives to encourage development. By requiring provisions of units featuring universal design standards in new or substantially renovated multiunit developments, the cities would leverage these incentives to create affordable housing units, increasing housing choices for persons with disabilities. The design of this model policy will require working with development and building stakeholders.

OMB Control No: 2506-0117 (exp. 07/31/2015)

Consolidated Plan INDEPENDENCE 157

20 Goal Name Reg AFH Goal 10: Promote KC Degrees/KC Scholars

Goal Description Promote use of KC Degrees and KC Scholars to help adults in protected populations return to and complete college.

There are over 300,000 adults in the metro area that started college but never finished. By helping low income and protected class adults return to and complete college these adults will be able to access educational opportunities more easily and then expand their employment and career possibilities.

21 Goal Name Reg AFH Goal 11: KC Rising Education and Job Train

Goal Description Continue to develop and refine the education and job training component of KC Rising and provide guidance to local institutions in targeting these efforts.

Creating quality job opportunities and connecting persons of protected classes to these opportunities through education provides households with increased income thus providing additional housing choice and improved access to other opportunities.

22 Goal Name Reg AFH Goal 12: Transportation Option Partnership

Goal Description Form partnerships between local governments, private employers, and neighborhood organizations to develop transportation options that connect low income and protected populations living in concentrated areas of poverty with job opportunities.

Connecting persons of protected classes to job opportunities through better transportation connections provides households with increased income thus providing additional housing choice and improved access to other opportunities.

23 Goal Name Reg AFH Goal 13: Align Regional Transit to Jobs

Goal Description Update the regional transit plan and reconfigure transit routes to better connect affordable housing, and their protected population residents, with employment centers.

Connecting persons of protected classes to job opportunities through better transportation connections provides households with increased income thus providing additional housing choice and improved access to opportunities.

OMB Control No: 2506-0117 (exp. 07/31/2015)

Consolidated Plan INDEPENDENCE 158

24 Goal Name Reg AFH Goal 14: Affordable Hsg Education Material

Goal Description

Develop informational materials for local governments and community organizations to use to educate the public about the need for affordable housing.

A major impediment to developing affordable housing in close proximity to opportunities is community opposition and a lack of understanding about what is affordable housing and why it is an important component of any community's housing strategy. By educating the public, public sector officials, the business community, and community residents about the need for affordable housing this will potentially reduce opposition to additional units of affordable housing in opportunity areas. This will reduce segregation and the disparities in access to opportunity for households of protected classes.

25 Goal Name Reg AFH Goal 15: Fair Hsg Goals Metrics

Goal Description Establish metrics to meet fair housing and affordable housing goals. What gets measured gets done. By measuring outcomes of the goals identified in the AFFH Plan and having in place a regional mechanism to review and act on these metrics the cities and MARC will assure that outcomes are achieved or programs and strategies adjusted so that each of the fair housing issues and contributing factors are addressed.

Estimate the number of extremely low-income, low-income, and moderate-income families to whom the jurisdiction will provide affordable housing as defined by HOME 91.315(b)(2)

It is estimated that over the next five years the City's HOME program will be able to provide affordable housing assistance to 18 single family households through scattered site acquisition, rehabilitation and resell for homebuyer opportunities. Of these units the City anticipates 9 units will benefit low income families and 9 will benefit moderate income families. It is estimated that redevelopment of quality affordable rental units with HOME Program assistance provided the rehabilitation of existing housing stock will benefit 6 low income households.

OMB Control No: 2506-0117 (exp. 07/31/2015)

Consolidated Plan INDEPENDENCE 159

SP-50 Public Housing Accessibility and Involvement – 91.215(c)

Need to Increase the Number of Accessible Units (if Required by a Section 504 Voluntary Compliance Agreement)

With the assistance of the Region VII HUD Fair Housing and Equal Opportunity office, the Independence Housing Authority is currently in the process of assessing the accessibility condition of all publically owned housing units and, if required, drafting a Section 504 Voluntary Compliance Agreement to remedy any identified deficiencies. The results of this assessment and a draft plan are expected to be available during the 2017-2021 Program Year.

Activities to Increase Resident Involvements

In order to increase resident involvement, the Independence Housing Authority holds resident meetings regarding development of the annual and 5-Year Capital Plan and Annual Action plans at all three public housing sites. Input is also solicited via advertisement and during the public hearing held by the Board of Commissioners.

Is the public housing agency designated as troubled under 24 CFR part 902?

Plan to remove the ‘troubled’ designation N/A

OMB Control No: 2506-0117 (exp. 07/31/2015)

Consolidated Plan INDEPENDENCE 160
No

SP-55 Barriers to affordable housing – 91.215(h) Barriers to Affordable Housing

Barriers to affordable housing exist when the cost of housing or the incentives to develop, maintain, or improve affordable housing are affected by public policies, particularly those of the local jurisdiction. Such policies include land use controls, zoning ordinances, building codes, and policies that affect the return on residential investment. The City of Independence has several strategies that it utilizes to remove or ameliorate the negative effects of public policies that are barriers to affordable housing. The following is a summary of these barriers and corresponding strategies:

1. Zoning Ordinances

Barrier – Zoning ordinances can be a barrier to affordable housing, as they restrict density and limit housing types in locations that would otherwise be suitable for affordable housing – ultimately excluding lower income households from many neighborhoods.

Strategy – Many public policies have been adopted by the City that assists affordable housing. The City of Independence adopted a Unified Development Ordinance (UDO) in June 2009 which combined the City’s previous Zoning Ordinance and Subdivision Regulations into one document. The UDO eliminated contradictory and redundant regulations while updating City Codes to reflect new approaches in land use regulation. The new code was developed after much public input. The UDO streamlined the processes associated with development and redevelopment and provides increased flexibility in interpretation of regulations. The UDO also allows redevelopment to follow infill development standards rather than the regular development standards with the purpose to encourage infill development that is compatible with the physical character of the neighborhood in which it is located.

The UDO’s public policies and development standards are designed to protect and promote the public health, safety and general welfare; enhance residents’ quality of life; protect the character of established residential neighborhoods; promote mixed-use, pedestrian-oriented development patterns; maintain orderly and compatible development patterns that promote an appropriate mix of land uses and protect and conserve property values; promote rehabilitation and reuse of older buildings; and maintain a range of housing choices and options.

2. Rental and Deposit Fees

Barrier – Security deposits, utility deposits, and high rent fees are a barrier to affordable housing, since many lower income households cannot afford to pay both the deposit/fee and the rent at the same time.

Strategy – Sub-recipients using CDBG funds continue to off-set barrier costs such as security deposits, utility connection/reconnection fees, and high late rent fees with financial help and emergency assistance payments.

OMB Control No: 2506-0117 (exp. 07/31/2015)

Consolidated Plan INDEPENDENCE 161

3. Lack of Quality Housing

Barrier – The lack of quality housing units, particularly energy efficient and sufficient for large families, for lower income persons is a barrier to affordable housing.

Strategy – The City utilizes federal funds through HUD to construct and rehabilitate quality homes, reclaiming abandoned and nuisance properties through acquisition and rehabilitation, stimulating private developers and other public resources to invest in existing housing stock and to create mixedincome housing opportunities, and continuing to support the home repair programs of local nonprofits that allow persons to remain in their homes with the assistance of grant funds to repair and replace much needed building components such as roofs, mechanical systems, windows and insulation.

Strategy to Remove or Ameliorate the Barriers to Affordable Housing

HUD established America’s Affordable Communities Initiative as a way to identify and overcome regulatory barriers to affordable housing. Independence is a participant in the Initiative’s National Call to Action for Affordable Housing through Regulatory Reform. As part of this Initiative, the City committed itself to identifying and preventing possible regulatory barriers to affordable housing and developing solutions that: address unique housing challenges and increase the supply of affordable housing opportunities.

The City's strategy for removing or ameliorating the barriers to affordable housing involves the following commitments:

• Ongoing assessment of new or changing needs pertaining to barriers to affordable housing through conduct of the City's annual Citizen Participation Process and community needs assessment

• Ongoing maintenance of the Independence Unified Development Ordinance (UDO) to incorporate, as appropriate, recommendations laid out through community input, the current Analysis of Impediments to Fair Housing, and regional cooperative efforts to adopt policy that encourages housing choice for all

• Continuation of ongoing efforts towards substantial update of the Independence Comprehensive Plan

• Supporting affordable housing initiatives through our CDBG and HOME Programs, including the production of affordable housing units

• Support the issuance of Certificates of Consistency for applications for Low Income Housing Tax Credits and other incentives, when compatible with the goals and objectives of the City’s Consolidated Plan, that will result in the production and preservation of affordable housing units.

• Continued implementation of residential rehabilitation and property tax abatement redevelopment programs for neighborhoods as an investment in quality housing choice for all

OMB Control No: 2506-0117 (exp. 07/31/2015)

Consolidated Plan INDEPENDENCE 162

• Funding and operation of the Independence city-wide public transportation system which operates independently of, and connects with, the larger Kansas City metro system, and supports the availability of a wide variety of affordable housing options

OMB Control No: 2506-0117 (exp. 07/31/2015)

Consolidated Plan INDEPENDENCE 163

SP-60 Homelessness Strategy – 91.215(d)

Reaching out to homeless persons (especially unsheltered persons) and assessing their individual needs

Through its participation in the Jackson County Continuum of Care, the Independence Hungry and Homeless Coalition takes part in the National Point in Time Homeless Count each year in January and July. Volunteers visit libraries, encampments, the bus transit center and other locations in order to locate homeless individuals and families. They are interviewed, data is collected, and referrals for assistance from local service providers are made.

Addressing the emergency and transitional housing needs of homeless persons

Through its participation in the Jackson County Continuum of Care, the Independence community has made an ongoing commitment to identifying and addressing to the extent possible the emergency shelter and transitional housing needs of homeless persons. The Consolidated Plan's strategic goals and priority needs objectives call for providing support and funding assistance though the Community Development Block Grant Program to local service providers who provide emergency shelter and transitional housing for a wide variety of homeless populations including families, pregnant teenage girls, victims of domestic violence and their children, and homeless children that have aged out of the foster care system.

Helping homeless persons (especially chronically homeless individuals and families, families with children, veterans and their families, and unaccompanied youth) make the transition to permanent housing and independent living, including shortening the period of time that individuals and families experience homelessness, facilitating access for homeless individuals and families to affordable housing units, and preventing individuals and families who were recently homeless from becoming homeless again.

Consolidated Plan goals for preventing and ending homelessness call for providing funding to assist homeless and at-risk homeless through the provision of emergency shelter, rent and utility assistance, subsistence level services, case management services, and transitional housing. Plan goals for increasing self-sufficiency and family success call for providing funds to assist a variety of public service programs that benefit the homeless including transitional housing for families in crisis, unaccompanied youth, and transitional housing for pregnant teens. HOME funds will also be used to provide homebuyer assistance to low and moderate income families, including currently homeless and at-risk homeless, in partnership with the City's HOME affordable housing production program. As projects become viable, HOME Program gap financing assistance will be made available to increase the supply of quality affordable housing units, both single and multi-family; and Certificates of Consistency will be issued by the City for affordable housing development projects that propose to reduce or prevent homelessness when found to be consistent with the City's Consolidated Plan.

OMB Control No: 2506-0117 (exp. 07/31/2015)

Consolidated Plan INDEPENDENCE 164

Help low-income individuals and families avoid becoming homeless, especially extremely low-income individuals and families who are likely to become homeless after being discharged from a publicly funded institution or system of care, or who are receiving assistance from public and private agencies that address housing, health, social services, employment, education or youth needs

The City's strategic plan goals contribute to helping homeless and at-risk homeless persons, in general, make the transition to permanent housing and independent living by providing funds for facilities and programs operated by agencies that serve these populations, and by expanding affordable housing options to these populations as opportunities become viable. The Plan goals also contribute by providing assistance to projects and programs aimed at developing self-sufficiency for individuals and ensuring future success for families. Within its means, the City will provide funding and technical support to any such opportunity when found to be consistent with the Goals and Priority Needs of the Consolidated Plan. For more information concerning the specific homeless assistance and prevention activities to be funded, and the relative plan Goals and Priority Objectives hoped to be achieved, refer to Section AP-35: Projects

OMB Control No: 2506-0117 (exp. 07/31/2015)

Consolidated Plan INDEPENDENCE 165

SP-65 Lead based paint Hazards – 91.215(i)

Actions to address LBP hazards and increase access to housing without LBP hazards

The City of Independence actively works to address lead based paint hazards and to increase access to housing without LBP hazards through the following ongoing measures:

• Compliance with applicable provisions of the Lead Safe Housing Rule in administration of the City’s Affordable Housing Investment Plan.

• Distribution of Lead Hazard information to all landlords upon licensing with the City. A Landlord/Tenant Guide, which includes the HUD’s lead brochure, is required to be given by landlords to all tenants upon lease.

• Training of CDBG and HOME Programs staff on the Lead Safe Housing Rule and EPA’s Repair Renovate and Paint Rule to assist with administration of CDBG & HOME funded housing rehabilitation activities subject to lead hazard assessment and treatment.

• The City offers tax abatement in exchange for rehabilitation, including lead abatement, of residential properties located in target redevelopment areas of the City. These neighborhoods have been targeted for reinvestment in part due to their aging and deteriorated housing stock and growing low-income rental population.

How are the actions listed above related to the extent of lead poisoning and hazards?

Homes constructed prior to 1978 are assumed to contain lead-based paint. According to the 2007-2011 American Community Survey 74.3%, or 35,389, of all Independence households occupy units constructed prior to 1980. With approximately 46.9% of Independence’s population representing the low and moderate income community, and 74.3% of households living in pre-1980 units, it is estimated that approximately 18,941 low and moderate income families live in units containing lead based paint. With a rental rate of 39.2% for units built pre-1980, it is estimated that as many as 7,425 of units containing lead paint are occupied by low and moderate income renters. Generally speaking, these statistics point to the need for an ongoing commitment to public education, lead assessment, and lead hazard reduction activities, at a minimum, for low and moderate income families living in Independence.

How are the actions listed above integrated into housing policies and procedures?

Lead hazard reduction and compliance with HUD’s Lead Safe Housing Rule is an integral component of the City’s Affordable Housing Investment Plan. As a matter of policy, houses proposed for acquisition, repair or rehabilitation through the City’s CDBG and HOME programs are assessed for lead hazards and, if hazards are discovered, are handled in accordance with the Lead Rule. Requirements for compliance with the Lead Safe Housing Rule are included as provisions in all development and sub recipient agreements where the potential to encounter lead paint hazards exists.

Consolidated Plan INDEPENDENCE 166
Control No:
(exp. 07/31/2015)
OMB
2506-0117

SP-70 Anti-Poverty Strategy – 91.215(j)

Jurisdiction Goals, Programs and Policies for reducing the number of Poverty-Level Families

According to 2009-2013 American Community Survey data, Independence has reached a poverty rate of 17.4%, with 20,022 persons living at or below the poverty level. Included in this population is 13.5% of all families, 49.5% of all female head of households with children, 28.7% of all children under the age of 18, and 6.1% of households 65 years and over. In comparison, the 2000 Census reported Independence’s poverty rate to be 8.6%, with 9,689 persons at or below poverty, less than half the current rate. In 2000 those in poverty included 31.4% of all female head of households with children, 12.2% of all children under the age of 18, and 14.9% of household 65 years and over.

While the growth in poverty, locally and regionally, is clearly outpacing growth in community resources to effectively address the need, the City and its community partners remain committed to tackling poverty issues. Independence benefits from a strong network of social service agencies that support families in poverty through a wide variety of programs designed to encourage self-sufficiency and family success. Members of this network and the role that they play are described in detail in Section: PR-10 Consultation above.

Community partners receiving funding awards through the CDBG and HOME Programs are selected based on their promise to help achieve plan goals and to accomplish objectives that will result in the provision of decent housing, suitable living environments, and expanded economic opportunities for those in poverty or on the brink of poverty. Specific anti-poverty objectives that will be considered under the 2017-21 Consolidated Plan include:

• Support projects that provide job training and employment readiness for low and moderate income persons, particularly those that offer the opportunity to earn a living wage

• Support empowerment and self-sufficiency programs for low-income persons to reduce generational poverty

• Support homebuyer training programs and homebuyer assistance programs for low and moderate income persons, including special needs populations and homeless/at-risk homeless

• Support public private partnerships for increasing homeownership among low and moderate income persons, including development of non-traditional financing mechanisms

• Target eligible public housing residents and recipients of Housing Choice Vouchers for homebuyer assistance

• Support existing weatherization and energy conservation retrofit programs and encourage new programs that further reduce home and rental unit utility costs

• Support programs that encourage improved rental property conditions for low and moderate income families

Consolidated Plan INDEPENDENCE 167
Control No: 2506-0117 (exp. 07/31/2015)
OMB

How are the Jurisdiction poverty reducing goals, programs, and policies coordinated with this affordable housing plan?

The anti-poverty strategy outlined above relies heavily on support from the City’s affordable housing program. Resources provided to the City by HUD through the HOME and CDBG Programs currently provide the only direct financial support the City has to offer to affordable housing initiatives. As such, the City makes every effort to maximize the use of these funds in achievement of its anti-poverty goals and to coordinate these efforts with those community partners working directly with the City’s most vulnerable households.

Independence’s affordable housing program is carried out largely through written agreements with local non-profit housing development organizations and sub recipients who also provide supportive services to the low and moderate income community including those below the poverty line. These agencies and their partners typically offer services including housing counseling, family financial counseling, financial assistance, community center programs, and other support designed to insure beneficiaries are successful at achieving and sustaining affordable housing.

OMB Control No: 2506-0117 (exp. 07/31/2015)

Consolidated Plan INDEPENDENCE 168

SP-80 Monitoring – 91.230

Describe the standards and procedures that the jurisdiction will use to monitor activities carried out in furtherance of the plan and will use to ensure long-term compliance with requirements of the programs involved, including minority business outreach and the comprehensive planning requirements

Requests for funding are reviewed for eligibility with regulations. The City's Grant Advisory Committee is advised of the capacity of each applicant to administer the proposed project in compliance with federal and local regulations before formulating its recommendation to Council. Sub-grantee Agreements detail benchmarks and relevant regulatory requirements. Performance and compliance are considered for future funding.

City staff uses annual reviews, desk monitoring, meetings, site visits, and correspondence to track program goals. Sub recipients submit a report quarterly. Direct technical assistance is provided as needed. For annual performance reviews of sub recipients, a written notice is sent to the sub recipient advising of the monitoring visit to conduct a comprehensive review of appropriate records and processes including monitoring Davis-Bacon, environmental, fair housing, and Uniform Relocation Act requirements. The Division sends a letter to a representative of the agency, within thirty days, explaining the results of the review. If the sub recipient disagrees with the results, there is a 30-day period for response to the Division.

Information from the sub-recipient’s drawdown request provide the data needed for input into the Integrated Disbursement and Information System (IDIS) for preparation of the annual year-end report. This Information is used to track the expenditure rate and the progress of activities. Performance measures monitored include the number of low-income persons becoming homeowners, the number of units rehabilitated, and the percentage of funds expended from our total CIP budget. The Division monitors and ensures that funded single-family and multi-family housing activities comply with local code requirements. Homeowner rehabilitation activities are initially monitored and inspected by the appropriate building inspector and rehabilitation inspector during the construction phase. Multi-family projects (HOME Projects) under a long-term agreement are monitored annually for compliance with the terms and conditions of the agreement.

For multi-family projects, staff inspect housing units for compliance with housing quality standards and examine tenant files for income eligibility purposes, and review rental information to confirm that tenants are still within the eligible HOME rent categories. Multi-family projects must also submit annual reports to the Division to confirm on-going compliance with program requirements. These reports also provide valuable data such as a profile of tenants, income levels, and rents charged to tenants.

An annual outside audit is performed for the City in accordance with generally accepted accounting standards and single audit requirements. All CDBG Sub-recipients, HOME participants, and CHDOs are advised that participants are contractually bound prior to receiving any funds to provide a schedule of

OMB Control No: 2506-0117 (exp. 07/31/2015)

Consolidated Plan INDEPENDENCE 169

reports required by the City; monitoring visits to inspect records pertaining to programs; disbursements are made on a reimbursement basis; and that there are long term commitments when accepting entitlement funds from the City.

OMB Control No: 2506-0117 (exp. 07/31/2015)

Consolidated Plan INDEPENDENCE 170

Expected Resources

AP-15 Expected Resources – 91.220(c)(1,2)

Introduction

The Five Year Consolidated Plan identifies the federal, state, local and private resources expected to be available to the City of Independence to address priority needs and specific objectives identified in the Strategic Plan. These resources are summarized in SP35.

The City anticipates a total allocation of $718,203 in CDBG funding for the 2017-2018 program year. No program income is expected, and $700,000 in prior year resources for CDBG will be used. CDBG funds will be used for housing and community development activities including home rehabilitation, economic development, public improvements, public services, and administration of the City's CDBG program. The City anticipates a total allocation of $325,785 in HOME Program funds for the 2017-18 program year. No program income or prior year resources for

OMB Control No: 2506-0117 (exp. 07/31/2015)

Consolidated Plan INDEPENDENCE 171

HOME is expected. HOME funds will be used for the development of affordable housing.

Based on current allocation, unless substantial funding cuts are made to CPD programs, our annual CDBG allocation has consistently been close to $750,000

Based on current allocation, unless substantial funding cuts are made to CPD programs, our annual HOME allocation has been consistently close to $300,000

Consolidated Plan INDEPENDENCE 172
Control
OMB
No: 2506-0117 (exp. 07/31/2015)
Anticipated Resources Program Source of Funds Uses of Funds Expected Amount Available Year 1 Expected Amount Available Reminder of ConPlan $ Narrative Description Annual Allocation: $ Program Income: $ Prior Year Resources: $ Total: $ CDBG publicfederal Acquisition Admin and Planning Economic Development Housing Public Improvements Public Services 718,203 0 700,000 1,418,203 3,000,000
HOME publicfederal Acquisition Homebuyer assistance Homeowner rehab Multifamily rental new construction Multifamily rental rehab New construction for ownership TBRA 325,785 0 0 325,785 1,200,000

Explain how federal funds will leverage those additional resources (private, state and local funds), including a description of how matching requirements will be satisfied

It is anticipated that federal funds received from HUD through the CDBG and HOME Programs will leverage a variety of other funding resources from private, state and local funds. Program activities not administered directly by the City will be allocated utilizing a competitive application process designed to give favor to projects leveraging the most funds from other resources. When appropriate, funds administered directly by the City for public improvement projects will be utilized in combination with other sources available to the City and, when eligible, will be provided as match in order to leverage grant assistance from regional, state and federal programs.

HOME Program dollars are also allocated through a competitive application process and are treated by the City strictly as a gap financing source. This means that project developers must exhaust all other reasonably available funding sources before requesting HOME program assistance. Typically leveraged funds for HOME assisted projects include tax credits, tax abatements, private bank loans, donations, in-kind donations, and sweat equity.

Match requirements, when applicable for HOME funded projects, will be satisfied through the donation of property, materials, construction labor, and sweat equity.

OMB Control No: 2506-0117 (exp. 07/31/2015)

Consolidated Plan INDEPENDENCE 173

If appropriate, describe publically owned land or property located within the jurisdiction that may be used to address the needs identified in the plan

A city owned parking lot currently used as a temporary Farmer’s Market shall be improved by adding a permanent covered shelter for use as the market twice a week and covered parking for the Independence Square Historic Shopping district when not in use. The market will serve a low-moderate surrounding neighborhood, and encourage economic activity on the Square.

Additionally, a city owned parcel of approximately an acre of land will be made available for development of two to three single family infill homes in the north eastern area of Independence with HOME gap funding. These homes will be built to current HOME Program standards and marketed to families that meet HOME Program income guidelines of 60-80% of median area income.

Discussion

The City's anticipated funding allocation from CDBG will be utilized to address the City's goals for increasing the availability and accessibility of quality of affordable housing, reducing and preventing homelessness, carrying out neighborhood revitalization in low and moderate income areas, enhancing quality of life for low and moderate income families through increased economic opportunity, and providing direct assistance to special needs populations. The City is fortunate to have a network of public or social service providers and other City departments to help address these goals through financial leveraging, coordination and collaboration

OMB Control No: 2506-0117 (exp. 07/31/2015)

Consolidated Plan INDEPENDENCE 174

Annual Goals and Objectives

AP-20

Consolidated Plan INDEPENDENCE 175 OMB Control No: 2506-0117 (exp. 07/31/2015)
Annual Goals
Objectives Goals Summary Information Sort Order Goal Name Start Year End Year Category Geographic Area Needs Addressed Funding Goal Outcome Indicator 1 Quality housing choice for all 2015 2019 Affordable Housing Fair Housing City-wide Home Repair and Energy Efficiency Improvements Vacant Residential Properties Reuse CDBG: $200,000 HOME: $280,000 Homeowner Housing Added: 6 Household Housing Unit Homeowner Housing Rehabilitated: 40 Household Housing Unit 2 Strong, healthy, well-balanced neighborhoods 2015 2019 Affordable Housing Non-Housing Community Development CDBG Eligible Area Census Tracts Code Enforcement and Blight Removal CDBG: $295,000 Buildings Demolished: 10 Buildings Housing Code Enforcement/Foreclosed Property Care: 1200 Household Housing Unit
and
Consolidated Plan INDEPENDENCE 176 OMB Control No: 2506-0117 (exp. 07/31/2015) Sort Order Goal Name Start Year End Year Category Geographic Area Needs Addressed Funding Goal Outcome Indicator 3 Commitment to preventing and ending homelessness 2015 2019 Homeless City-wide Homeless Case Management & Counseling Homeless Shelters & Transitional Housing Subsistence Level Housing (rent/utility)Assistance Supportive Service for Homeless & At-risk Homeless CDBG: $63,598 Homeless Person Overnight Shelter: 1194 Persons Assisted Homelessness Prevention: 13809 Persons Assisted

Public

CDBG: $330,098

HOME: $40,000

Public service activities other than Low/Moderate Income Housing Benefit: 200 Persons

Assisted

Public service activities for Low/Moderate Income Housing Benefit: 124 Households Assisted Direct Financial Assistance to Homebuyers: 4 Households

Assisted

Jobs created/retained: 18 Jobs

Social/Micro

Supportive

Assisted

1183 Persons

Consolidated Plan INDEPENDENCE 177 OMB Control No: 2506-0117 (exp. 07/31/2015) Sort Order Goal Name Start Year End Year Category Geographic Area Needs Addressed Funding Goal Outcome Indicator 4 Self-sufficiency and family success 2015 2019 Non-Housing Community Development City-wide Homebuyer Assistance and Non-traditional Financing Homeless Case Management & Counseling Homeless Shelters & Transitional Housing Job Creation/Retention and Job Training
Services for Special Needs
Populations
Enterprise Business Assistance
Service
Homeless & At-risk Homeless
for
5 Dependable care for those with special needs 2015 2019 Non-Homeless Special Needs City-wide Domestic Violence Prevention & Services Public Services for Special Needs Populations
service activities
Income Housing Benefit:
CDBG: $45,000 Public
other than Low/Moderate
6 Ongoing Capacity Building 2015 2019 Program Administration & Capacity Building City-wide Support for the Institutional Delivery System CDBG: $151,865 HOME:
Other:
Other
$46,218
0

Goal Descriptions

1 Goal Name Quality housing choice for all

Goal Description CDBG and HOME program funds will be utilized to improve existing housing stock through correction of structural and mechanical deficiencies, installation of weatherization and energy efficiency measures to reduce utility burden, and installation of accessibility improvements. Activities may include acquisition of vacant and abandoned residential structures for rehabilitation and resell for homeownership.

In the first year of the Consolidated Plan the City will complete the AFFH Goal #1 - Adopt a formal reasonable accommodation policy for housing that informs and provides clear direction to persons with disabilities on the process for making a reasonable accommodation request. Following adoption, the city will work with community organizations to make the disabled community aware of the policy and how to use it.

2 Goal Name Strong,

healthy, well-balanced neighborhoods

Goal Description Funds will be used to support residential property maintenance code compliance enforcement in low and moderate income neighborhoods, and demolition of dangerous buildings on a spot blight basis.

In the first year of the Consolidated Plan the city will complete AFFH Goal #2 - Implement newly adopted Independence Rental Ready property conditions inspection program to insure decent, safe & sanitary rental housing conditions Citywide. Staff and procedures are in place and this program begins June 1, 2017. Also, progress will be made on AFFH goal #4 - Complete the City of Independence Comprehensive Plan update, utilizing a robust community engagement process to identify neighborhood, housing choice, transportation and economic development needs and goals. A contract for Public Engagement firm has been selected and will be under contract by the start of the 2017-18 Plan Year.

3

Goal Name

Commitment to preventing and ending homelessness

Goal Description Funds will be used to assist homeless and at-risk homeless through the provision of emergency shelter, rent and utility assistance, subsistence level services, case management services, and transitional housing.

OMB Control No: 2506-0117 (exp. 07/31/2015)

Consolidated Plan INDEPENDENCE 178

4 Goal Name Self-sufficiency and family success

Goal Description Funds will be used to assist a variety of public service programs aimed at increasing self-sufficiency and family success including transitional housing for families in crisis, transitional housing for pregnant teens, and a multi-cultural neighborhood engagement program that provides educational programming, early childhood education and youth sports programs. Funds will also be used to provide homebuyer assistance to low and moderate income families in partnership with the City's HOME affordable housing production program, and to fund special economic development activities that result in job creation for low and moderate income beneficiaries.

In the first year of the Consolidated Plan the City will implement the AFFH Goal #3 - Implement the 24 Highway Fairmount business Plan in partnership with MARC's Planning Sustainable Places Program with a focus on identifying and prioritizing needed public improvements that will enhance existing transportation systems, further complete street objectives, and create economic opportunity for area disadvantaged persons and minority populations in furtherance of this goal. The plan should be finalized in September 2017.

5 Goal Name Dependable care for those with special needs

Goal Description Funds will provide support for direct service to special needs populations including meal programs for seniors, the disabled, and supportive services for victims of domestic violence and child abuse.

6 Goal Name Ongoing Capacity Building

Goal Description Support the effective administration of CDBG and HOME eligible programs and projects, and capacity building of local housing and community development organizations on an as needed basis.

OMB Control No: 2506-0117 (exp. 07/31/2015)

Consolidated Plan INDEPENDENCE 179

Projects

AP-35 Projects – 91.220(d)

Introduction

CDBG funding will be used for administration and general oversight; housing programs that provide home repairs, removal of dangerous structures and code enforcement; economic development programs to create jobs; and public service programs that provide meals, transitional and emergency shelter, child abuse prevention, rent and utility assistance, operational support for nonprofit neighborhood organizations serving the low and moderate income community.

Projects #

Project Name

1 2017-18 CDBG Program Administration

2 2017-18 CDBG Housing Investment Program

3 2017-18 Public Facility/Infrastructure Improvement Projects

4 2017-18 CDBG Job Training for Improved Family Success

5 2017-18 CDBG Public Service Programs

6 2017-18 HOME Program Administration

7 2017-18 Community Housing Development Organization (CHDO) Projects

8 2017-18 Community Housing Development Organization (CHDO) Operating Funds

9 2017-18 HOME Single Family and Multi Family Affordable Housing Development Program

Describe the reasons for allocation priorities and any obstacles to addressing underserved needs

The allocation priorities are focused on achieving the six goals of the Strategic Plan which are to strive for:

• Quality housing choice for all

• Strong, healthy, well-balanced neighborhoods

• Commitment to preventing and ending homelessness

• Self-sufficiency and family success

• Dependable care for those with special needs

• Ongoing Capacity Building

The primary obstacle in meeting underserved needs is the availability of funding resources and the organizational capacity to effectively and efficiently deliver needs-based programs in balance with other community priorities and needs. Recent economic conditions, a lack of decent paying jobs and private investment in the community, tightened lending practices, and a lack of organizational and private

OMB Control No: 2506-0117 (exp. 07/31/2015)

Consolidated Plan INDEPENDENCE 180

contractor capacity all hamper the community’s ability to fully address unmet needs. At the same time soft housing market conditions in the City have allowed private residential investors to easily acquire multitudes of vacant property for speculative purposes leaving neighborhoods suffering the effects of blighted and virtually abandoned properties.

The applications for CDBG funding from outside agencies continue to exceed available dollars by more than 100%. The effectiveness of using the limited federal dollars that are available to meet underserved needs has been further reduced by cuts and changes in social service and housing funding and programs at the state and federal level; and the subsequent increase in the level of individual need as a result of these cuts. Furthermore, the City of Independence is realizing an increase in the level of unmet needs, housing and public service alike, as low income families continue to move into the City from outlying areas to take advantage of the supply and affordable rates of vacant housing that is available in western Independence.

OMB Control No: 2506-0117 (exp. 07/31/2015)

Consolidated Plan INDEPENDENCE 181

AP-38 Project Summary

Project Summary Information

1 Project Name 2017-18 CDBG Program Administration

Target Area City-wide

Goals Supported Ongoing Capacity Building

Needs Addressed Support for the Institutional Delivery System

Funding CDBG: $143,640

Description General administration of the CDBG program including paid staff position, supplies and operational expenses such as public notices, training and office supplies.

Target Date 6/30/2018

Estimate the number and type of families that will benefit from the proposed activities

Location Description

Planned Activities General support of the CDBG Program.

2 Project Name 2017-18 CDBG Housing Investment Program

Target Area CDBG Eligible Area Census Tracts City-wide

Goals Supported Quality housing choice for all Commitment to preventing and ending homelessness

Needs Addressed Home Repair and Energy Efficiency Improvements Code Enforcement and Blight Removal

Funding CDBG: $495,000

Description Investment in emergency and minor home repairs for homeowners city wide, demolition of dangerous residential structures and residential code compliance in CDBG eligible areas.

Target Date 6/30/2018

OMB Control No: 2506-0117 (exp. 07/31/2015)

Consolidated Plan INDEPENDENCE 182

Estimate the number and type of families that will benefit from the proposed activities

Location Description

Planned Activities

Funding will provide for four property maintenance officers for low to moderate income neighborhoods, demolition of dangerous residential structures on a spot blight basis, direct assistance with minor home repairs, including emergency repair, weatherization, lead abatement, and/or other structural or mechanical improvements, for low and moderate income homeowners.

3 Project Name 2017-18 Public Facility/Infrastructure Improvement Projects

Target Area CDBG Eligible Area Census Tracts City-wide

Goals Supported Strong, healthy, well-balanced neighborhoods Ongoing Capacity Building

Needs Addressed Sidewalk and Public Facilities Improvements

Access to Basic Services and Public Facilities

Funding CDBG: $600,000

Description Projects for public and non-profit facilities to benefit low and moderate income residents or areas of Independence.

Target Date 6/30/2019

Estimate the number and type of families that will benefit from the proposed activities

To be determined.

Location Description Locations to be determined.

Planned Activities Development of a permanent Farmer's Market in a low mod income area of Independence. Multiple

4 Project Name 2017-18 CDBG Job Training for Improved Family Success

Target Area City-wide

Goals Supported Self-sufficiency and family success

OMB Control No: 2506-0117 (exp. 07/31/2015)

Consolidated Plan INDEPENDENCE 183

Needs Addressed Job Creation/Retention and Job Training

Education/Self-sufficiency Programs/Legal Services

Funding CDBG: $71,832

Description Assistance to non profit agencies providing job training to low income residents to increase wages and standard of living, and assistance to small businesses and micro enterprises.

Target Date 7/1/2018

Estimate the number and type of families that will benefit from the proposed activities

It is estimated that a variety of training opportunities will be provided through partnership with Twelve Blocks West (CBDO), Community Services League, and Metropolitan Community Colleges for low income Independence residents. Training programs will be offered in a broad range of occupations including nursing, welding and warehouse equipment operation. Each of three rounds of training will be available to approximately 15 people per session, with an estimated 45 placed in jobs at course completion at or above a living wage range of $13-15 per hour plus fringe benefits.

Location Description

Planned Activities

5 Project Name 2017-18 CDBG Public Service Programs

Target Area

Goals Supported Commitment to preventing and ending homelessness

Self-sufficiency and family success

Dependable care for those with special needs

Ongoing Capacity Building

Needs Addressed

Homeless Shelters & Transitional Housing

Supportive Service for Homeless & At-risk Homeless

Homeless Case Management & Counseling

Subsistence Level Housing (rent/utility)Assistance

Education/Self-sufficiency Programs/Legal Services

Public Services for Special Needs Populations

Domestic Violence Prevention & Services

Support for the Institutional Delivery System

Funding CDBG: $107,730

Description Funding assistance for public service activities that provide direct support to low and moderate income beneficiaries.

Target Date 6/30/2018

OMB Control No: 2506-0117 (exp. 07/31/2015)

Consolidated Plan INDEPENDENCE 184

Estimate the number and type of families that will benefit from the proposed activities

Location Description

Planned Activities

Funding will support meal programs for seniors, the homeless and at risk homeless, emergency assistance for rent/utilities, emergency shelter for victims of domestic violence, transitional housing for families, child abuse prevention and assistance to new low income mothers.

6 Project Name 2017-18 HOME Program Administration

Target Area City-wide

Goals Supported Ongoing Capacity Building

Needs Addressed Support for the Institutional Delivery System

Funding HOME: $32,578

Description Funding will be used to cover salary costs for the administration of the HOME Program.

Target Date 6/30/2018

Estimate the number and type of families that will benefit from the proposed activities

Location Description

Planned Activities General administration of the HOME Program.

7 Project Name 2017-18 Community Housing Development Organization (CHDO) Projects

Target Area City-wide

Goals Supported Quality housing choice for all Strong, healthy, well-balanced neighborhoods

Commitment to preventing and ending homelessness

Needs Addressed Vacant Residential Properties Reuse Home Repair and Energy Efficiency Improvements

Rental Housing Rehabilitation

Homebuyer Assistance and Non-traditional Financing

Funding HOME: $48,867

OMB Control No: 2506-0117 (exp. 07/31/2015)

Consolidated Plan INDEPENDENCE 185

Description CHDO affordable housing development projects.

Target Date 6/30/2019

Estimate the number and type of families that will benefit from the proposed activities

Location Description

Planned Activities

Development of affordable housing units for low and moderate income households through scattered site acquisition of vacant properties, rehabilitation or redevelopment, and resell for homeownership or rental. Projects are selected for annual HOME Program CHDO funding through a competitive RFP process.

8 Project Name 2017-18 Community Housing Development Organization (CHDO) Operating Funds

Target Area City-wide

Goals Supported Ongoing Capacity Building

Needs Addressed

Funding HOME: $16,289

Description Funding may be used to cover the costs of capacity building, salary costs, operating supplies and training required for new or expanding CHDO's.

Target Date 6/30/2019

Estimate the number and type of families that will benefit from the proposed activities

Location Description

Planned Activities Operating funding will be made available through application by a certified Community Housing Development Organization expected to carry out an eligible CHDO activity within 24 months.

9 Project Name 2017-18 HOME Single Family and Multi Family Affordable Housing Development Program

Target Area City-wide

OMB Control No: 2506-0117 (exp. 07/31/2015)

Consolidated Plan INDEPENDENCE 186

Goals Supported Quality housing choice for all Strong, healthy, well-balanced neighborhoods Commitment to preventing and ending homelessness Self-sufficiency and family success

Needs Addressed Vacant Residential Properties Reuse Rental Housing Rehabilitation

Homebuyer Assistance and Non-traditional Financing Code Enforcement and Blight Removal

Funding HOME: $228,049

Description Development and or redevelopment of affordable housing units.

Target Date

Estimate the number and type of families that will benefit from the proposed activities

HOME funds are anticipated to build or rehabilitate approximately four single family homes in the program year. Independence currently works with two CHDOs with experienced staff and financial capacity to administer the program. Projects are selected through a competitive RFP process, and scored by leveraged funding, cost effectiveness and underwriting of resale potential. Truman Heritage Habitat for Humanity conducts a family pre-selection prior to construction. Builder's Development Corporation selects sites through with potential of acquisition through the Missouri Abandoned Properties Act at minimal cost and markets the properties on the open market disclosing all program requirements on the listing, and certifying each potential buyer's income eligibility upon receipt of valid sales offers.

Location Description

HOME projects are selected by availability of properties and are not targeted to specific areas. Projects are selected by financial feasibility, availability, and locations that are cleared by Environmental Review criteria

Planned Activities

Development of affordable housing units for low and moderate income households through scattered site acquisition of vacant properties, rehabilitation or redevelopment, and resell for homeownership or rental. Projects are selected for annual HOME Program funding through a competitive RFP process.

OMB Control No: 2506-0117 (exp. 07/31/2015)

Consolidated Plan INDEPENDENCE 187

AP-50 Geographic Distribution – 91.220(f)

Description of the geographic areas of the entitlement (including areas of low-income and minority concentration) where assistance will be directed

Geographically speaking, Plan assistance will be focused in areas of low income concentration. In accordance with HUD’s criteria for CDBG eligible area benefit activities, the City has defined areas of low income concentration as census tracts and block groups where at least 51% of the residents earn less than 80% of the Kansas City Metropolitan Statistical Area (MSA) median income, based on current Census data.

Areas eligible for CDBG investment are generally concentrated in the urban center, north and western portions of the city. During the 2017-2021 Consolidated Plan period, City driven CDBG and HOME activities will continue to focus on supplementing the community's larger redevelopment efforts in western Independence including the Fairmount Carlisle and St. Clair Park 353 Redevelopment Plans, revitalization of the Independence Courthouse Square and U.S. 24 Highway Corridor Study Area and stabilization and renewal of the Independence School District annexation area. As illustrated by comparison of these project area boundaries to the CDBG eligible areas and minority concentration maps, these efforts will encompass much of the City's low and low-moderate income and minority populations.

Rationale for the priorities for allocating investments geographically

The basis for allocating investments within the jurisdiction during the Consolidated Plan period, and the rationale for assigning funding priorities annually, is determined primarily by the results (identification of needs and priorities) of the annual citizen participation process, and through committee evaluation of competitive grant applications submitted by eligible sub-recipients and third-party developers.

Approximately 50% of available project funds are awarded through formal RFP process. The basis for determining these awards includes basic project eligibility, applicant capacity, proposed benefit for the low and moderate income community, and leveraging of other funding resources. City initiated activities including redevelopment planning, program administration, code compliance, infrastructure improvements and economic development activities typically account for the remaining 50% of projects. City initiated activities are also targeted at community needs identified during the annual citizen participation process and Council support of priorities identified in the City's Comprehensive and

OMB Control No: 2506-0117 (exp. 07/31/2015)

Consolidated Plan INDEPENDENCE 188
Geographic Distribution Target Area Percentage of Funds CDBG Eligible Area Census Tracts 75 City-wide 25

Capital Improvement Plan processes.

Public service projects selected for funding will provide a direct benefit for low to moderate income clientele City-wide. These benefits are targeted to all persons whose household income falls below 80% of the median income and whose residence lies within the city limits, and the region's homeless. Targeted housing, economic development and public facilities assistance will be directed first to the low to moderate income census tracts and block groups eligible for CDBG assistance. Projects proposed outside of a CDBG eligible area will be considered when a direct benefit for low and moderate income beneficiaries will be achieved.

HOME funded affordable housing development projects and CDBG assisted housing rehabilitation will be considered city-wide in an effort to affirmatively further fair housing and be fairly responsive to the needs of all qualifying households.

OMB Control No: 2506-0117 (exp. 07/31/2015)

Consolidated Plan INDEPENDENCE 189

Affordable Housing

AP-55 Affordable Housing – 91.220(g)

Introduction

The affordable housing investment program for the 2017-2021 Consolidated Plan will focus on achievement of the following outcome and objectives:

Outcome: Decent Housing for low and moderate income households including special needs populations, homeless, and at-risk homeless

Objective: Return vacant, deteriorated, and underutilized buildings to use as affordable housing

Objective: Improve existing housing stock through correction of deficiencies and installation of weatherization and energy efficiency measures to reduce utility burden and decrease occupant turnover

Objective: Reinvest in existing, deficient, multi-family rental properties to restore quality, affordable housing

Objective: Provide subsistence level rent and utility assistance, and other relevant supportive services, required to prevent homelessness

The following tables detail the projected number and type of beneficiary Households to be supported during the 2017-2018 program year and the type of assistance that will be provided.

OMB Control No: 2506-0117 (exp. 07/31/2015)

Consolidated Plan INDEPENDENCE 190
One Year Goals for the Number of Households to be Supported Homeless 0 Non-Homeless 0 Special-Needs 0 Total 0 One Year Goals for the Number of Households Supported Through Rental Assistance 0 The Production of New Units 8 Rehab of Existing Units 0 Acquisition of Existing Units 0 Total 8

Discussion

During the 2017-18 Program Year the City will provide CDBG and HOME funding assistance for the following activities to assist in achieving the Plan's affordable housing outcomes and objectives:

CDBG Emergency and Minor Home Repair activities-approximately 40 low and moderate income homeowners will receive emergency and/or minor home repairs with assistance to correct structural and mechanical deficiencies, including installation of weatherization and energy efficiency measures to reduce utility burden.

CDBG Emergency Assistance Programs-approximately 85 households will be provided subsistence level rent and utility assistance, and other relevant supportive services, required to preserve affordable housing and prevent homelessness.

HOME Scattered Site Acquisition-Rehab-Resell activities-an estimated 4 vacant and underutilized properties will be acquired, rehabilitated and sold for affordable homebuyer activities benefitting households at or below 80% AMI.

HOME CHDO Set-Aside Activities-an estimated 2 vacant and underutilized properties will be acquired, rehabilitated and sold for affordable homebuyer activities benefitting households at or below 80% AMI.

[Note: HOME and CHDO set-aside homebuyer development activities may include down payment and closing cost assistance provided to the buyer by the developer on an as-needed basis.]

OMB Control No: 2506-0117 (exp. 07/31/2015)

Consolidated Plan INDEPENDENCE 191

AP-60 Public Housing – 91.220(h) Introduction

This section of the Annual Action Plan describes what actions will be taken during the 2017-18 program year to carry out the public housing portion of the Strategic Plan. The public housing program for the City is owned and managed by the Independence Housing Authority. The Independence Housing Authority is a semi-independent agency governed by a Board of Commissioners. The members are appointed by the Mayor and confirmed by the City Council. The authority to budget funds and expend them is contained within the statutes permitting the establishment of the IHA and also in the regulations published by the Federal Government through HUD. Operating funds, from HUD, are provided by formula and expenditure decisions are made by the IHA Board. Capital funds from HUD are also provided by formula and expenditure decisions are made by the IHA Board with approval from HUD. The IHA also receives HUD funding for Housing Choice Vouchers (HCV Section 8).

The IHA has identified the following goals and objectives for serving the needs of low-income and very low-income, and extremely low-income families for the next five years

• Preserve and increase the availability of decent, safe, and affordable housing needed in our community

• Improve community quality of life and economic vitality

• Promote self-sufficiency and asset development of families and individuals

• Ensure Equal Opportunity in Housing for all Americans pursuant to Section 504 of the Rehabilitation Act of 1973

• To provide improved living conditions for very low and low income families while maintaining their rent payments at an affordable level

• To operate a socially and financially sound public housing agency that provides decent, safe, and sanitary housing within a drug free, suitable living environment for tenants and their families

• To lawfully deny the admission of applicants, or the continued occupancy of residents, whose habits and practices reasonably may be expected to adversely affect the health, safety, comfort, or welfare of other residents or the physical environment of the neighborhood, or create a danger to housing authority staff members

• To ensure compliance with Title VI of the Civil Rights Act of 1964 and all other applicable Federal laws and regulations

Actions planned during the next year to address the needs to public housing

During the next year the Independence Housing Authority will make its best effort to address public housing needs as follows:

• Applying for HUD’s Rental Assistance Demonstration conversion program for Hocker Heights, depending on the availability of renovation loan funding and the feasibility of successful future

OMB Control No: 2506-0117 (exp. 07/31/2015)

Consolidated Plan INDEPENDENCE 192

operations under RAD rules in place at the time of evaluation

• Soliciting proposals for project-basing up to 10% of its available vouchers

• Submitting a new 5-Year Capital Improvement Plan for 2015-20 to HUD which will be carried out through the IHA's annual action plans as funding is made available

• Maximizing occupancy of the existing Public Housing dwelling units by responsible families

• Enforcing screening and eviction policies to ensure that only responsible families receive assistance

• Maintaining the Public Housing inventory in decent, safe condition, and determine the longterm viability of current stock

• Maximizing utilization of Section 8 housing assistance funding and assist as many families as possible with that funding by holding down per family assistance costs

• Working with industry organizations and Congress toward increasing housing assistance funding in order to help more families

• Working with the City of Independence and other affordable housing groups to increase the availability of such housing locally

• Seeking out new funding avenues in order to directly preserve existing housing and increase affordable housing inventory

to encourage public housing residents to become more involved in management and participate in homeownership

Actions

The PHA encourages resident involvement with agency management in a number of ways, including having a resident serve on the PHA Board of Commissioners, monthly solicitation of resident input from all three sites resident councils, providing each resident council an office, office equipment, internet and phone service, and special meetings with residents and resident councils during development of the Annual Agency Plan and 5-Year Capital Plans.

The IHA will continue the Section 8 voucher homeownership program, which to date has helped 10 families purchase homes.

If the PHA is designated as troubled, describe the manner in which financial assistance will be provided or other assistance

N/A Discussion

The City and IHA will continue to work together as opportunities arise through the consolidated planning and citizen participation process to identify unmet needs and priority objectives; and to leverage resources to the benefit of Independence very low income community.

OMB Control No: 2506-0117 (exp. 07/31/2015)

Consolidated Plan INDEPENDENCE 193

AP-65 Homeless and Other Special Needs Activities – 91.220(i) Introduction

This section of the Annual Action Plan describes the City’s one year goals and the specific actions steps it will undertake in the program year to carry out the homeless strategy identified in the Strategic Plan. Additionally, this section addresses any activities related to the supportive housing needs of nonhomeless populations.

Describe the jurisdictions one-year goals and actions for reducing and ending homelessness including

Reaching out to homeless persons (especially unsheltered persons) and assessing their individual needs

The City of Independence Hungry and Homeless Coalition is purposed to provide awareness opportunities for residents and outreach programs for homeless and at-risk homeless in need. The following activities are ongoing efforts of the Coalition to reach the homeless population and to assess their unmet needs, and will be undertaken during the plan year or as often as resources become available:

1. Participation in the National Point in Time Homeless Count in January and July. Volunteers visit libraries, encampments, the Bus Transit and other locations in order to locate homeless individuals and families. They are interviewed, data is collected, and referrals are made.

2. Civic Club Challenge Food Drive where participating clubs compete for the most pounds of food donations to stock the shelves of our local food pantries and community kitchens, some of which have had to close their doors prior to the food drive due to lack of food to distribute.

3. Health Fair to provide direct needed services and education to those in need such as blood pressure checks, vaccinations, and haircuts. Done in partnership with the Independence School District and previously with Salvation Army and Hawthorne Place Apartments.

4. 5th Sunday Initiative where volunteer churches, who are not necessarily members of the Coalition, collect specific identified needed items during the months with a 5th Sunday. Items are donated to the service agencies for distribution.

5. Power-Up for Warmth Blanket Drive is done in partnership with the Independence School District, Independence Power and Light and McDernott Moving Company for blankets and utility assistance for our unaccompanied youth and low-income families.

6. Personal Care Products Collection Drive where products are collected by city employees to be distributed to those in need.

7. Blessing Bags with items such as soap, toothbrushes, combs, washcloths, socks and scarves are assembled by volunteer groups for Coalition members to distribute at Christmastime.

8. Participation in the National Hunger and Homelessness Awareness Week providing a variety of events during a week in November to help convey existing needs.

OMB Control No: 2506-0117 (exp. 07/31/2015)

Consolidated Plan INDEPENDENCE 194

Addressing the emergency shelter and transitional housing needs of homeless persons

During the 2017-18 Program Year the City will provide CDBG funding assistance for the following activities and objectives to address the emergency shelter and transitional housing needs of homeless persons:

• Hillcrest Ministries Transitional Housing Program ($22,280) will provide housing for 72 homeless persons

• Hope House Shelter ($5,745) will provide shelter meals for 394 homeless women and children

Helping homeless persons (especially chronically homeless individuals and families, families with children, veterans and their families, and unaccompanied youth) make the transition to permanent housing and independent living, including shortening the period of time that individuals and families experience homelessness, facilitating access for homeless individuals and families to affordable housing units, and preventing individuals and families who were recently homeless from becoming homeless again.

During the 2017-18 Program Year the City will provide CDBG funding assistance for the following activities to help homeless and at-risk homeless persons make the transition to and then sustain permanent affordable housing:

• Hillcrest Ministries Transitional Housing Program ($22,280) will provide supportive services including legal aid, budget counseling, life-skills training and housing counseling for 72 homeless persons

Helping low-income individuals and families avoid becoming homeless, especially extremely low-income individuals and families and those who are: being discharged from publicly funded institutions and systems of care (such as health care facilities, mental health facilities, foster care and other youth facilities, and corrections programs and institutions); or, receiving assistance from public or private agencies that address housing, health, social services, employment, education, or youth needs

During the 2017-18 Program Year the City will provide CDBG & HOME Program funding assistance for the following activities to help low income individuals and families avoid becoming homeless:

• CDBG Housing Investment Program ($200,000) investments will provide emergency and minor home repairs, including weatherization improvements, for approximately 30 low and very low income families required to insure affordability and sustainability of permanent housing

• Community Services League's Homeless Prevention Program ($9,576) will provide rent and utility assistance, food, clothing and other unique needs to 13,400 low income persons

• Salvation Army's Emergency Assistance Program ($18,929) will provide rent and utility

OMB Control No: 2506-0117 (exp. 07/31/2015)

Consolidated Plan INDEPENDENCE 195

assistance to prevent evictions for 85 low income persons

• NorthWest Communities Development Corporation's Senior Nutrition Site ($9,576) will provide daily meals for an estimated 300 low income seniors living on fixed income

• Independence Meals on Wheels ($5,000) will deliver hot meals directly to the homes of 103 homebound elderly low income residents

• Palmer Senior Nutrition Site ($16,758) provides nutritionally balanced meals and human services to people age 60 or older who are frail, homebound; as well as those persons ages 18+ with a proven disability

Discussion

The City of Independence will continue to partner with the Jackson County Continuum of Care (CoC), and Greater Kansas City Homeless Services Coalition, to participate and support the Continuum of Care Process. The Continuum is supported by a variety of non-profit and public homeless service agencies in Independence that are working directly with the homeless and at-risk homeless on a daily basis.

The City of Independence will continue to provide monetary assistance when available and technical assistance to social service agencies in the development of transitional housing in Independence and for supportive services to the homeless and at-risk homeless. Monetary assistance will be provided through the Community Development Block Grant and HOME Programs. Social service agencies and non-profit housing providers within the City’s jurisdiction will continue providing assistance to the homeless and those at-risk of homelessness in an effort to address unmet housing needs within the City. These services will be provided to a range of recipients which includes, but is not limited to, the elderly, the disabled (physically or mentally), single heads of households, adult children that have aged out of foster care, and others who are economically disadvantaged.

The City will continue to encourage agencies to embark on affordable housing programs by offering technical support and, when appropriate, certificates of consistency with the City's Consolidated Plan.

The City will continue to collaborate with the following agencies which provide shelter and services to the homeless and those at risk of homelessness during FY 2017-18:

• Community Services League Homelessness prevention

• Crossroads Temporary Housing Family/individual emergency shelter

• Hope House – Shelter for battered women and their children

• Hillcrest Ministries of Eastern Jackson County Transitional Housing

• Salvation Army Homeless Shelter & Homeless Prevention

• Andrew Drumm Institute Transitional Housing Program for foster care graduates

• Independence School District Homeless Assistance & Prevention

• Truman Heritage Habitat for Humanity

• Mothers Refuge Transitional Housing for pregnant teenagers

• Independence School District Family Services Program

OMB Control No: 2506-0117 (exp. 07/31/2015)

Consolidated Plan INDEPENDENCE 196

AP-75 Barriers to affordable housing – 91.220(j)

Introduction:

HUD established America’s Affordable Communities Initiative as a way to identify and overcome regulatory barriers to affordable housing. Independence is a participant in the Initiative’s National Call to Action for Affordable Housing through Regulatory Reform. As part of this Initiative, the City committed itself to identifying and preventing possible regulatory barriers to affordable housing and developing solutions that: address unique housing challenges and increase the supply of affordable housing opportunities.

Actions it planned to remove or ameliorate the negative effects of public policies that serve as barriers to affordable housing such as land use controls, tax policies affecting land, zoning ordinances, building codes, fees and charges, growth limitations, and policies affecting the return on residential investment

While the City does not currently face significant affordable housing barriers, it remains committed to this Task Force’s efforts. In the coming year the City will undertake the following steps to support the availability of affordable housing:

• Ongoing amendments to the new Unified Development Ordinance (UDO) to incorporate recommendations laid out in the City's current Analysis of Impediments to Fair Housing

• City transition to City Works, a GIS based data and work management system that will allow the City to streamline development and building approval and permitting processes for the benefit of residential and commercial development, including affordable housing.

• Continuation of ongoing efforts towards substantial update of the Independence Comprehensive Plan

• Supporting affordable housing initiatives through our CDBG and HOME Programs, including the production of affordable housing units

• Support the issuance of Certificates of Consistency for applications for Low Income Housing Tax Credits and other incentives, when compatible with the goals and objectives of the City’s Consolidated Plan, that will result in the production and preservation of affordable housing units.

• Continued implementation of residential rehabilitation and property tax abatement redevelopment programs for neighborhoods as an investment in quality housing choice for all

• Funding and operation of the Independence city-wide public transportation system which operates independently of, and connects with, the larger Kansas City metro system, and supports the availability of a wide variety of affordable housing options

OMB Control No: 2506-0117 (exp. 07/31/2015)

Consolidated Plan INDEPENDENCE 197

AP-85 Other Actions – 91.220(k)

Introduction:

This section identifies additional required actions the City must take as a part of its annual action plan.

Actions planned to address obstacles to meeting underserved needs

The primary obstacles in meeting the underserved needs of the low and moderate income community are the unavailability of sufficient funding resources and the lack of organizational capacity to effectively and efficiently deliver needs-based programs in balance with other community priorities and needs. In order to addressing these obstacles, the following actions will continue to be undertaken on an ongoing basis when opportunities arise:

• City application, and support of partner agencies applications, for grant and other types of funding assistance for housing and community development initiatives from private, state and federal resources.

• Development of local investment incentives to encourage private investment in housing and community development initiatives

• Implementation of program changes when necessary that add value and efficiency, and that encourage the leveraging of other resources, in order to improve the effectiveness of CDBG and HOME Program investments

• Encourage collaborative partnerships between City Departments, local service providers and non-profit housing development agencies to avoid duplication of efforts and to maximize the impact of CDBG and HOME Program investments.

Actions planned to foster and maintain affordable housing

As opportunities become available, the following actions will be undertaken to foster and maintain affordable housing:

• Issuance of Certificates of Consistency for proposed affordable housing development projects found to be consistent with the Goals and Priorities of the Consolidated Plan

• Provide funding assistance through the City's CDBG and HOME Programs to qualified sub recipients and developers of affordable housing projects to assist with project costs including, but not necessarily limited to, predevelopment loans (restricted to Community Housing Development Organizations), property acquisition, rehabilitation, energy efficiency upgrades and minor home repairs, lead abatement, new construction, and disposition.

• Administration of residential redevelopment tax abatement incentive programs in areas of greatest need to encourage reinvestment in existing housing stock, including both multi-family

OMB Control No: 2506-0117 (exp. 07/31/2015)

Consolidated Plan INDEPENDENCE 198

and single-family, and both owner occupied and rental units.

• Implementation of a Rental Ready Program, requiring landlords to hire a city-approved inspector for basic health and safety issues upon renewal of Landlord business licensing.

Actions planned to reduce lead-based paint hazards

Actions being taken to evaluate and reduce lead-based paint hazards and plans for integrating lead hazard reduction strategies into the jurisdiction's low-mod housing policies and program, consist of the following:

1. All housing programs (rental and owner occupied) funded by the City, including emergency home repair programs, require that the funded housing stock be evaluated for the presence of lead paint hazards and that appropriate action is taken as required by the federal Lead-based Paint Regulation. The City has developed a proactive plan with regards to the Independence First Time Homebuyers Program and lead based paint hazards. This includes a pre-inspection letter to the seller and/or seller’s agent advising them of the LBP regulations and that the HQS inspection to follow will be looking specifically for deteriorated paint surfaces. They are also advised that if deteriorated paint surfaces are discovered the owner will be required to correct the deficiencies using lead safe work practices and/or be required to provide testing indicating that the surface is free of LBP. In any case the City will provide occupants and prospective occupants/purchasers of income qualified housing units of potential lead paint hazards and appropriate methods for lead hazard reduction.

2. All housing projects/programs and contracts administered by the City and contracts/projects with sub recipients funded through CDBG or HOME will be in compliance with sections 1012 and 1013 of the Residential Lead-Based Paint Hazard Reduction Act of 1992, which is Title X (ten) of the Housing and Community Development Act of 1992, and with regulations as they appear within Title 24 part 35. The City will continue to monitor and evaluate the lead based paint requirements for housing rehabilitation and the activities necessary to reduce lead based paint hazards and, as new requirements are identified, the city will continue to integrate these into our housing policies and programs

[To summarize the City’s approach in satisfying the requirements of 24 CFR 35 the City is guided by Tables "Summary of Lead-based Paint Requirements by Activity" and "Four Approaches to Implementing Lead Hazard Evaluation and Reduction", which can be found in the Appendix to this document.]

3. The Independence Health Department will continue to provide general information to landlords, residents and businesses regarding the hazards of lead-based paint. Efforts to this end include: mandatory distribution of the Independence Landlord-Tenant Guide, by all landlords to their tenants, which includes a copy of EPA's "Protect Your Family From Lead in Your Home" brochure; ongoing City promotion of lead hazard reduction through participation in community health fairs, dissemination of educational materials through the Health Department's Maternal Child Health Program and cooperation

OMB Control No: 2506-0117 (exp. 07/31/2015)

Consolidated Plan INDEPENDENCE 199

with the Jackson County Health Department to promote availability of free lead screening for children.

4. The City will continue outreach and training efforts for home renovation contractors with regards to EPAs Renovation, Repair and Paint Rule and requirements for contractor certification on lead hazard reduction.

Actions planned to reduce the number of poverty-level families

Community partners receiving funding awards through the CDBG and HOME Programs are selected based on their promise to help achieve plan goals and to accomplish objectives that will result in the provision of decent housing, suitable living environments, and expanded economic opportunities for those in poverty or on the brink of poverty. In addition to the specific anti-poverty objectives to be funded directly through the City's allocation of CDBG and HOME programs, the following efforts will be made during the 2017-18 Plan Year include:

• Support projects that provide job training and employment readiness for low and moderate income persons, particularly those that offer the opportunity to earn a living wage

• Support empowerment and self-sufficiency programs for low-income persons to reduce generational poverty

• Support homebuyer training programs and homebuyer assistance programs for low and moderate-income persons, including special needs populations and homeless/at-risk homeless

• Support public private partnerships for increasing homeownership among low and moderate income persons, including development of non-traditional financing mechanisms

• Assist the Independence Housing Authority in targeting eligible public housing residents and recipients of Housing Choice Vouchers for homebuyer assistance

• Support existing weatherization and energy conservation retrofit programs and encourage new programs that further reduce home and rental unit utility costs

• Support programs that encourage improved rental property conditions for low and moderate income families

Actions planned to develop institutional structure

To the extent resources are available, the following actions will be taken in an effort to encourage development of an institutional structure that is increasingly responsive to housing and community development needs in Independence:

• Provide supportive services and technical assistance to neighborhood and community organizations in low and moderate income service areas that are involved in grassroots efforts to address community needs and interests

• Provide technical assistance to new and existing service providers and non-profit housing

Consolidated Plan INDEPENDENCE 200 OMB Control No: 2506-0117 (exp. 07/31/2015)

agencies assisting the City in implementation of CDBG and HOME program objectives

• Pursue professional training for CDBG and HOME Program and other community development staff to ensure effective administration of program resources

• Encourage the development of new City programs and incentives that will effectively respond to the unmet needs of the community

Actions planned to enhance coordination between public and private housing and social service agencies

The city of Independence and the Kansas City area already benefit from a mature network of regional public and assisted housing providers and private and governmental health, mental health and service agencies that are connected in the delivery of services and programs through the use of MAACLink, a social service software suite developed and maintained by the Mid America Assistance Coalition. Additionally, agencies in Independence benefit from coordinated participation in the Independence Hungry and Homeless Coalition, and the Jackson County Continuum of Care. While there is always room for improvement, there are not specific actions planned in the 2017-2018 Annual Action Plan year that go beyond each of these individual efforts.

As a member of the Kansas City Area Consortium on Affirmatively Furthering Fair Housing, the City has joined in an effort to educate and coordinate participation from area Public Housing Authorities in actions needed to affirmatively furthering fair housing through-out the region.

OMB Control No: 2506-0117 (exp. 07/31/2015)

Consolidated Plan INDEPENDENCE 201

Program Specific Requirements

AP-90 Program Specific Requirements – 91.220(l)(1,2,4)

Introduction:

The following information pertains to the City's policy and procedures for administration of Community Development Block Grant and HOME Programs and is required by regulation to be addressed in the City's Strategic Plan and Annual Action Plan submissions.

Community Development Block Grant Program (CDBG) Reference 24 CFR 91.220(l)(1) Projects planned with all CDBG funds expected to be available during the year are identified in the Projects Table. The following identifies program income that is available for use that is included in projects to be carried out.

1. The total amount of program income that will have been received before the start of the next program year and that has not yet been reprogrammed

2. The amount of proceeds from section 108 loan guarantees that will be used during the year to address the priority needs and specific objectives identified in the grantee's strategic plan.

3. The amount of surplus funds from urban renewal settlements

4. The amount of any grant funds returned to the line of credit for which the planned use has not been included in a prior statement or plan

0

0

0

0

0 Total Program Income: 0

5. The amount of income from float-funded activities

Other CDBG Requirements

1. The amount of urgent need activities

0

2. The estimated percentage of CDBG funds that will be used for activities that benefit persons of low and moderate income. Overall Benefit - A consecutive period of one, two or three years may be used to determine that a minimum overall benefit of 70% of CDBG funds is used to benefit persons of low and moderate income. Specify the years covered that include this Annual Action Plan. 70.00%

OMB Control No: 2506-0117 (exp. 07/31/2015)

Consolidated Plan INDEPENDENCE 202

HOME Investment Partnership Program (HOME) Reference 24 CFR 91.220(l)(2)

1. A description of other forms of investment being used beyond those identified in Section 92.205 is as follows:

HOME funds will not be used for items not described in § 92.205(b).

2. A description of the guidelines that will be used for resale or recapture of HOME funds when used for homebuyer activities as required in 92.254, is as follows:

The following will serve as the guidelines that will be used for resale or recapture of HOME funds when used for homebuyer activities as required in 92.254. All HOME assisted buyers will certify that they will be the owner occupant of the assisted unit and will occupy the property as his/her primary residence. During the Affordability Term, the buyer may not lease, transfer, sell, encumber, lien, abandon, or otherwise alienate the project, and must inhabit it as his/her primary residence. If the buyer violates any of these use restrictions during the Affordability Term, the HOME assistance will be subject to Resale or Repayment provisions, as follows:

• The City uses recapture provisions to ensure affordability in the HOME assisted homeownership program. When HOME funds are used to assist homeownership, the housing will be subject to the following affordability period:

• Five years when the per unit HOME investment is under $15,000, Ten years when the per unit HOME investment is $15,000-40,000, 15 years when the per unit HOME investment exceeds $40,000

• If the buyer wishes to sell before the end of the Affordability Term, the HOME assisted unit must be sold to a buyer that has a total household income that is between 50% and 80% of the Area Median Family Income at the time of sale. The new buyer must also occupy the HOME assisted unit as the household’s principal residence. Additionally, the buyer must agrees that:

• The sales price must be “affordable” to the new buyer. Affordability requires that the buyer’s total housing payment (payment, interest, taxes, and insurance) will not exceed 35% of the buyer’s total household income. Under no circumstances may the “affordable” sales price exceed the area HOME Homeownership Value Limit for existing single-family homes established by HUD at the time of purchase.Net proceeds from the sale must provide BUYER a “fair return” on their investment. Fair return shall be defined as: The amount of any cash contributions including the down payment and principal payments made; The cost of any capital improvements, documented with receipts, and including but not limited to: Any additions to the home such as a bedroom, bathroom, or garage; Replacement of heating, ventilation, and air conditioning systems; Accessibility improvements such as bathroom modifications for disabled or elderly, installation of wheel chair ramps and grab bars,

Consolidated Plan INDEPENDENCE 203
07/31/2015)
OMB Control No: 2506-0117 (exp.

any and all of which must have been paid for directly by the Owner and which were not installed through a federal, state, or locally-funded grant program; and Outdoor improvements such as a new driveway, walkway, retaining wall, or fence.

• If the buyer no longer uses the HOME assisted unit as his/her principal residence, upon determination of the buyer’s noncompliance with the use restrictions, the entire principal amount of the HOME assistance provided for the project shall, at the option of the City, become immediately due and payable to the City. The City may institute proceedings to recover any rents, profits or proceeds generated from noncompliant use of HOME assisted unit, and costs of collection, including attorneys’ fees and costs of litigation resulting from violation.

3. A description of the guidelines for resale or recapture that ensures the affordability of units acquired with HOME funds? See 24 CFR 92.254(a)(4) are as follows:

The following will serve as the guidelines that will be used for resale or recapture of HOME funds when used to acquire units for affordable housing as required by 24 CFR 92.254(a)(4).

Same as above. The long term affordability of units acquired with HOME funds under a redevelopment agreement with the City, whether for rental or development of homebuyer opportunities, will be immediately secured through a deed restriction, covenant running with the land, or other HUD-approved mechanism filed with Jackson County Recorder of Deeds in order to insure a minimum Affordability Period required by the HOME Program. The minimum Affordability Period for acquired properties is determined by the level of HOME assistance provided per unit as follows:

• Five years when the per unit HOME investment is under $15,000

• Ten years when the per unit HOME investment is $15,000-40,000

• 15 years when the per unit HOME investment exceeds $40,000

• 20 years for new construction of rental housing

Recapture requirements shall be enforced by the recorded instrument, and the requirements within shall be triggered upon sale or transfer of the HOME-assisted property, or determination that the HOME-assisted property is out of compliance with requirements for long term affordability.

4. Plans for using HOME funds to refinance existing debt secured by multifamily housing that is rehabilitated with HOME funds along with a description of the refinancing guidelines required that will be used under 24 CFR 92.206(b), are as follows:

HOME funds will not be used to refinance existing debt secured by multifamily housing that is rehabilitated with HOME funds.

OMB Control No: 2506-0117 (exp. 07/31/2015)

Consolidated Plan INDEPENDENCE 204
Consolidated Plan INDEPENDENCE 205 OMB Control No: 2506-0117 (exp. 07/31/2015)
Attachments
Consolidated Plan INDEPENDENCE 206
Participation Comments
OMB Control No: 2506-0117 (exp. 07/31/2015) Citizen
Consolidated Plan INDEPENDENCE 207
Control
07/31/2015)
OMB
No: 2506-0117 (exp.
Consolidated Plan INDEPENDENCE 208 OMB Control No: 2506-0117 (exp. 07/31/2015)
Consolidated Plan INDEPENDENCE 209 OMB Control No: 2506-0117 (exp. 07/31/2015)

OMB Control No: 2506-0117 (exp. 07/31/2015)

Consolidated Plan INDEPENDENCE 210
Consolidated Plan INDEPENDENCE 211
OMB Control No: 2506-0117 (exp. 07/31/2015)
Consolidated Plan INDEPENDENCE 212 OMB Control No: 2506-0117 (exp. 07/31/2015)
Consolidated Plan INDEPENDENCE 213 OMB Control No: 2506-0117 (exp. 07/31/2015)
Consolidated Plan INDEPENDENCE 214
OMB Control No: 2506-0117 (exp. 07/31/2015)
Consolidated Plan INDEPENDENCE 215 OMB Control No: 2506-0117 (exp. 07/31/2015)
Consolidated Plan INDEPENDENCE 216 OMB Control No: 2506-0117 (exp. 07/31/2015)
Consolidated Plan INDEPENDENCE 217 OMB Control No: 2506-0117 (exp. 07/31/2015)
Consolidated Plan INDEPENDENCE 218 OMB Control No: 2506-0117 (exp. 07/31/2015)
Consolidated Plan INDEPENDENCE 219 OMB Control No: 2506-0117 (exp. 07/31/2015)
Consolidated Plan INDEPENDENCE 220
OMB Control No: 2506-0117 (exp. 07/31/2015)
Consolidated Plan INDEPENDENCE 221
OMB Control No: 2506-0117 (exp. 07/31/2015)
Consolidated Plan INDEPENDENCE 222
Control
07/31/2015)
OMB
No: 2506-0117 (exp.
Consolidated Plan INDEPENDENCE 223 OMB Control No: 2506-0117 (exp. 07/31/2015)
Consolidated Plan INDEPENDENCE 224
OMB Control No: 2506-0117 (exp. 07/31/2015)
Consolidated Plan INDEPENDENCE 225 OMB Control No: 2506-0117 (exp. 07/31/2015)

OMB Control No: 2506-0117 (exp. 07/31/2015)

Consolidated Plan INDEPENDENCE 226
Consolidated Plan INDEPENDENCE 227
OMB Control No: 2506-0117 (exp. 07/31/2015)
Consolidated Plan INDEPENDENCE 228 OMB Control No: 2506-0117 (exp. 07/31/2015)
Consolidated Plan INDEPENDENCE 229 OMB Control No: 2506-0117 (exp. 07/31/2015)
Consolidated Plan INDEPENDENCE 230 OMB Control No: 2506-0117 (exp. 07/31/2015)
Consolidated Plan INDEPENDENCE 231
Control No: 2506-0117 (exp. 07/31/2015)
OMB

OMB Control No: 2506-0117 (exp. 07/31/2015)

Consolidated Plan INDEPENDENCE 232
Consolidated Plan INDEPENDENCE 233 OMB Control No: 2506-0117 (exp. 07/31/2015)
Consolidated Plan INDEPENDENCE 234
OMB Control No: 2506-0117 (exp. 07/31/2015)
Consolidated Plan INDEPENDENCE 235
Control
07/31/2015)
OMB
No: 2506-0117 (exp.
Consolidated Plan INDEPENDENCE 236 OMB Control No: 2506-0117 (exp. 07/31/2015)

OMB Control No: 2506-0117 (exp. 07/31/2015)

Consolidated
INDEPENDENCE 237
Plan
Grantee Unique Appendices
Consolidated Plan INDEPENDENCE 238 OMB Control No: 2506-0117 (exp. 07/31/2015)
Consolidated Plan INDEPENDENCE 239 OMB Control No: 2506-0117 (exp. 07/31/2015)
Consolidated Plan INDEPENDENCE 240 OMB Control No: 2506-0117 (exp. 07/31/2015)
Consolidated Plan INDEPENDENCE 241
Control No: 2506-0117 (exp. 07/31/2015)
OMB
Consolidated Plan INDEPENDENCE 242 OMB Control No: 2506-0117 (exp. 07/31/2015)
Consolidated Plan INDEPENDENCE 243 OMB Control No: 2506-0117 (exp. 07/31/2015)
Consolidated Plan INDEPENDENCE 244 OMB Control No: 2506-0117 (exp. 07/31/2015)
Consolidated Plan INDEPENDENCE 245 OMB Control No: 2506-0117 (exp. 07/31/2015)
Consolidated Plan INDEPENDENCE 246 OMB Control No: 2506-0117 (exp. 07/31/2015)
Consolidated Plan INDEPENDENCE 247 OMB Control No: 2506-0117 (exp. 07/31/2015)
Consolidated Plan INDEPENDENCE 248 OMB Control No: 2506-0117 (exp. 07/31/2015)
Consolidated Plan INDEPENDENCE 249 OMB Control No: 2506-0117 (exp. 07/31/2015)
Consolidated Plan INDEPENDENCE 250
Control No: 2506-0117 (exp. 07/31/2015)
OMB
Consolidated Plan INDEPENDENCE 252
Control No: 2506-0117 (exp. 07/31/2015)
OMB
Consolidated Plan INDEPENDENCE 253 OMB Control No: 2506-0117 (exp. 07/31/2015)
Consolidated Plan INDEPENDENCE 254 OMB Control No: 2506-0117 (exp. 07/31/2015)
Consolidated Plan INDEPENDENCE 255 OMB Control No: 2506-0117 (exp. 07/31/2015)
Consolidated Plan INDEPENDENCE 256
Control No:
07/31/2015)
OMB
2506-0117 (exp.
Consolidated Plan INDEPENDENCE 257 OMB Control No: 2506-0117 (exp. 07/31/2015)
Consolidated Plan INDEPENDENCE 258 OMB Control No: 2506-0117 (exp. 07/31/2015)
Consolidated Plan INDEPENDENCE 259 OMB Control No: 2506-0117 (exp. 07/31/2015)
Consolidated Plan INDEPENDENCE 260 OMB Control No: 2506-0117 (exp. 07/31/2015)
Consolidated Plan INDEPENDENCE 261
OMB Control No: 2506-0117 (exp. 07/31/2015)
Consolidated Plan INDEPENDENCE 262 OMB Control No: 2506-0117 (exp. 07/31/2015)
Consolidated Plan INDEPENDENCE 263 OMB Control No: 2506-0117 (exp. 07/31/2015)
Consolidated Plan INDEPENDENCE 264 OMB Control No: 2506-0117 (exp. 07/31/2015)
Consolidated Plan INDEPENDENCE 265 OMB Control No: 2506-0117 (exp. 07/31/2015)
Consolidated Plan INDEPENDENCE 266 OMB Control No: 2506-0117 (exp. 07/31/2015)
Consolidated Plan INDEPENDENCE 267 OMB Control No: 2506-0117 (exp. 07/31/2015)
Consolidated Plan INDEPENDENCE 268 OMB Control No: 2506-0117 (exp. 07/31/2015)
Consolidated Plan INDEPENDENCE 269 OMB Control No: 2506-0117 (exp. 07/31/2015)
Consolidated Plan INDEPENDENCE 270 OMB Control No: 2506-0117 (exp. 07/31/2015)
Consolidated Plan INDEPENDENCE 271
OMB Control No: 2506-0117 (exp. 07/31/2015)
Consolidated Plan INDEPENDENCE 272
OMB Control No: 2506-0117 (exp. 07/31/2015)
Consolidated Plan INDEPENDENCE 273
Control No: 2506-0117 (exp. 07/31/2015)
OMB
Consolidated Plan INDEPENDENCE 274 OMB Control No: 2506-0117 (exp. 07/31/2015)
Consolidated Plan INDEPENDENCE 275 OMB Control No: 2506-0117 (exp. 07/31/2015)
Consolidated Plan INDEPENDENCE 276 OMB Control No: 2506-0117 (exp. 07/31/2015)
Consolidated Plan INDEPENDENCE 277
OMB Control No: 2506-0117 (exp. 07/31/2015)
Consolidated Plan INDEPENDENCE 278 OMB Control No: 2506-0117 (exp. 07/31/2015)
Consolidated Plan INDEPENDENCE 279 OMB Control No: 2506-0117 (exp. 07/31/2015)

Turn static files into dynamic content formats.

Create a flipbook
Issuu converts static files into: digital portfolios, online yearbooks, online catalogs, digital photo albums and more. Sign up and create your flipbook.