

![]()


Nothing in this document is intended to create an employment relationship. Any affiliation by you with the Company is intended to be that of an independent contractor sales associate. This guide was written by Christopher Bernier- Principal and Owner of Churchill Properties It is licensed for use by the associate while affiliated with Churchill Properties and associate agrees to return this document upon termination of the relationship with the company. As of 12/1/2024

We are excited that you have joined our team. The residential real estate brokerage industry offers an exciting and dynamic career opportunity and we are committed to helping you build a highly successful and rewarding career. We have written this training guide to help you acquire the necessary knowledge and skills to be immediately successful in building your business. The business is not difficult but it does require study, practice, and persistence to develop and hone your abilities. This step by step guide will lead you through the process and help answer many of your questions. We wish you all the best as you embark on your new career.
• Churchill Properties Transaction Form
• Massachusetts Mandatory Licensee-Consumer Relationship Disclosure form.
• Contract to Purchase Real Estate
• Massachusetts Mandatory Residential Home Inspection Disclosure
• Home Inspectors – Facts for Consumers
• Consent to Designated Agency
• Notification of Designated Agency
• Consent to Dual Agency
• Notification of Dual Agency.
• Exclusive/Non-Exclusive Right to Represent the Buyer
• Buyer Home Sale Contingency Addendum
• Exclusive Right to Sell Agreement
• Authorization to Offer Buyer Broker Compensation Addendum
• Counter Offer Form
• Standard Form Purchase and Sale Agreement
• Childhood Lead Poisoning Prevention – Property Transfer Lead Paint Notification.

Offices Addresses –
266 Cabot Street, U7, Beverly MA 01915
230 North Street – U2, Danvers MA 01923
127 Eastern Avenue, Gloucester MA. 01930
169 Bay Road, Hamilton, MA 01982
1666 Massachusetts Avenue, Ste 8 – Lexington MA 02420
49 Union Street, Manchester MA 01944
1 Merrimac St. Unit 6, Newburyport MA 01950
Christopher Bernier
Churchill Properties Principal Broker/Owner
Cell Phone/Text – 978-578-5013, Chris.Bernier@ChurchillProp.com
Karen Bernier
Churchill Properties – Owner/Certified Residential Specialist
Cell Phone/Text – 978-807-5580, Karen.Bernier@ChurchillProp.com
Complete New Associate Information Form
Copy of license received and posted in the office.
Personal Business Photo taken for websites
Complete MAR Independent Contractor Agreement, W9 form complete, Join a local Realtor association, NAR, MAR, and MLSPIN
Email/Dotloop set up
Create Sphere of Influence in Excel Business cards ordered/received
Office key received.
Write your business biography for posting to real estate websites. MLSPin – Using the MLS system – Property search, CMA, Market Reports
Financing Overview
Toolkit CMA – Introduction
Introduction to Dotloop – Transaction Management/Electronic Signature Boldtrail - Customer relationship management software.
Training
Legal/ Rules and Regulations
Churchill Properties Internal Systems/Policy – Listing, Transaction, Closing Escrow
Business Systems MLSPIN, Dotloop, Toolkit CMA, Churchill/Boldtrail CRM
Business Management/Attitude
Proactive Business Building – Generating and Managing Leads
Successfully working with Home Buyers.
Listing for Success – Working with Sellers
Date
Complete

Step/Event
1. Review the Red Zone L.S.P Chart
Review the Churchill Properties Training website.
Responsibility Notes
Agent/Coach Discuss importance on focus on these. Decide to get a listing appointment this week.
Agent/Coach https://churchillproperties.trainercentralsite.com/#/home
2. Introduction Sales Associate Success Workbook Agent/Coach
3. Create a business Schedule
4. Set Business Goals with Form
5. Review Tracking/Accountability Tools
6. Track Metrics Weekly
7. Learn and Use Boldtrail CRM
Agent 40+ hours. Use Daily Form
Agent/Coach Commit to your goal and personal success
Agent/Coach Prospecting contacts, Showings, Offers, Listing Presentations, Hours worked
Agent Hours worked, Prospecting contacts, Showings, Offers, Listing Presentations. Submit to Coach for Bi-Monthly meeting
Agent/Coach Overview session
8. Review Lead Generation Activities /Scripts Agent/Coach Start Prospecting TODAY. Convert clients
9. Review Real Estate Basic Sales Techniques Agent/Coach
10. Create Sphere of Influence (SOI) database input to Boldtrail
Agent/Coach Anyone who would recognize your photo First Name, Last Name, Cell #, Email, Home Address
11. Upload SOI to Boldtrail – Call and email Agent/Coach Email SOI twice monthly, Call SOI daily
12. Review Real Estate Basic Sales Techniques Agent/Coach
13. Weekly Prospecting – Follow the Churchill Success Activities Plan
Call 5 expired Listings
Cold call 30 people in a neighborhood
Call 10 people in your SOI
Meet 1 new business owner
Meet 1 new Developer
Contact 5 Warm Leads
14. Post to Social media 3 x per week
15. Hold an Open House
16. Call all OH Neighbors – Invite to OH
17. Create/Practice Your listing Presentation
18. Practice your Buyer Presentation
Review Churchill Agent website
Track Daily on 365 spreadsheet. Use scripts
Agent Ask if they are still selling? Close for Appt.
Agent Ask who do you know who is selling?
Agent Ask – BTW Who do you know who is considering selling?
Agent Exchange leads
Agent Find them land
Agent Close for Appointment to show and to list
Agent Instagram, Facebook, Linkedin
Agent Capture the Leads – Add to Your SOI. Convert to showings and listing presentation
Agent Ask for leads
Agent Role play with friend or coach
Agent Use the Home Buyer Resource Guide
Agent Add testamonials, links to social etc.
19. Business Meeting – 30 minutes 2 x Monthly Agent/Coach
Review Results/Make Adjustments

Below is a review of certain Massachusetts real estate licensing laws that you will use in everyday practice.
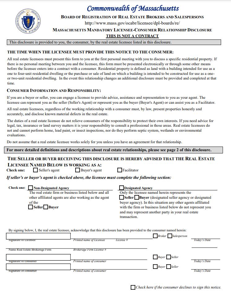
1. Mandatory Agency Disclosure – Mass law mandates each broker or salesperson to provide to the consumer the Massachusetts Mandatory Licensee-Consumer Relationship Disclosure form on the 1. first personal meeting 2. With a prospective Buyer or Seller 3. To discuss a specific property. It is important to have this form signed on your first personal meeting with a Buyer or Seller to discuss a specific property and maintain copies in their file for a period of three years When holding an open house the law requires that you have a tent sign stating your existing agency relationship. Churchill Properties corporate license number is 422264
2. Agency Law in Massachusetts – Massachusetts Law requires that real estate brokers and salesperson inform the parties with whom they are working of their agency relationship with them in writing. Generally the listing agent is representing the Seller as the Seller’s Agent and the agent working with the Buyer is representing the Buyer as the Buyer’s Agent Designated Agency occurs when two brokers from the same firm show a property listed by that firm with one broker representing the Seller and the other the Buyer. Disclosed Dual Agency occurs when the listing agent of a property shows the property directly to one of their Buyer Clients. Agency disclosure law requires that all clients sign the Massachusetts Mandatory Agency Disclosure Form and additionally a Consent to Designated Agency Form and a Consent to Dual Agency Form must be signed if the client gives their consent. Consent to both designated and dual agency is included in our Exclusive Right to Sell Agreement with Sellers and the Exclusive Buyer Agency Agreement with Buyers. If and when designated or dual agency occurs you must have the client sign the Notification of Designated Agency form or the Notification of Dual Agency form
3. Home Inspection Law – Real Estate Agents are prohibited from making direct referrals of specific Home Inspectors unless they are a Buyer’s Agent with written documentation of the agency relationship Buyers have a right to have a home inspection and under Massachusetts law the Buyer cannot waive their right to a home inspection. All Buyers and Sellers must sign the Mandatory Residential Home Inspection Disclosure form prior to offer acceptance. All real estate agents are required to provide to the consumer a copy of the brochure Home Inspectors Facts for Consumers
4. Lead Paint Package/Form – For any property built prior to 1978 Federal and Massachusetts state laws require:
a. The Seller be provided the full Childhood Lead Poisoning Prevention Program – Property Transfer Lead Paint Notification (11 pages). The Seller and real estate agent must complete and sign the form on page 11.
b. Prior to being bound under any written purchase agreement, including an offer to purchase agreement, the Buyer must receive the full Childhood Lead Poisoning Prevention Program – Property Transfer Lead Paint Notification (11 pages) and a copy of the form completed by the Seller and the Buyer, and Buyer’s Agent, must sign the same form.
5. Fair Housing – Both the Federal government and/or Massachusetts have strict laws prohibiting discrimination based on: Race, color, religion, sex, sexual orientation, national origin, familial status, disability, children, genetic information, ancestry, marital status, veteran or member of the armed forces, public assistant recipient, age, or handicap (mental or physical). These are collectively referred to as protected classes. It is unlawful to refuse to rent, lease, sell, or negotiate the sale of property or deny or withhold from any person or group of persons such accommodations based on the persons protected class status.

▪ Business Management/Skill Development Recommendations.
▪ Sales Associate Success Plan - Success Goal Form.
▪ Sales Associate Success Plan – Success Business Plan.
▪ Realtors Daily Checklist for Success – S.L.O.P.E.
▪ Productive and Indirect Productive Activities.


Showings – Home many showings did you have today?
Showings - A qualified Buyer views the home of a qualified Seller and you are associated with one of the clients. Set a monthly goal and monitor the number of showings you have each month. More showings = More sales
Listing Presentations – Marketing Proposals – How many listing presentations did you have today?
Listing Presentations - A qualified Seller has engaged you to price their property and prepare a marketing plan. Set a monthly goal and monitor the number of Listing presentations you have monthly. More Listing Presentations = More Listings
Offers – How many offers did you write and/or receive today?
Offers - an offer has been made by a qualified Buyer on the home of a qualified Seller and you are associated with one of the clients. Set a monthly goal and monitor the number of offers you have written or received each month. More offers = More Sales
Prospecting/Personal Marketing – How many times did you ask for new business today?
All businesses need new clients/customers to grow. Top brokers invest time daily in new business lead generation - networking, mailing, following up, FSBO, expired etc. Schedule the time each day.
Every day - Highly successful Realtors consistently perform the right activities every day.


▪ Flow chart overview of the Home Buying process.
▪ Agency Disclosure
▪ Understanding the Buyers Desires/Needs/Ability
▪ The benefits of your service – gaining loyalty.
▪ Customer Service to the Buyer.
▪ Searching for homes – setting up tours – showing homes.
▪ Writing the Offer.
▪ The real estate transaction sequence – an overview.
▪ Negotiations
▪ Home Buying Timeline.


State Law – You must sign the Mandatory Massachusetts Agency Disclosure form on the first personal meeting to discuss a specific property with a potential Buyer.
A copy of the form must be stored in the electronic transaction file for our records – This is required by state law These must be legally maintained for three years.
Buyer Agency – The vast majority of agents today who are showing homes to a Buyer are acting as a Buyer’s agent. In order to be a Buyer’s Agent you must sign the Mandatory Agency Disclosure Form indicating that you are a Buyer’s Agent and either:
1. Sign an Exclusive Buyer Agency contract with the Buyer or 2. Sign the Consent to Designated and Dual agency forms and provide the Notification of Designated or Dual Agency form should either occur.
There are a few circumstances in which you would be working with the Buyer but would be representing the Seller. This occurs when a Buyer, with whom you have not worked previously, contacts you directly or attends the open house of one of your listings and wants to submit an offer on the listing directly through you.
Please read and understand the Mandatory Agency Disclosure form, The Exclusive Buyer Agency Agreement, The Consent to Designated Agency, The consent to Dual Agency, The Notification of Designated agency, and the Notification of Dual Agency included in the sample forms.
In order to best serve people in the home buying process, it is critical to understand their real estate goals.
Ask the following questions and record all the information:
1. Why are you moving? What is your goal in the move? More space, less space, commute, community, schools, financial needs, divorce, job transfer, amenities.
2. When would they like to move?
3. What are they looking for in a home? What is important? Towns, Price, Monthly Payment, Size (Living Area Sq Ft.) Bedrooms, Style/Age, Garage, Yard, Neighborhood, What do you like and dislike about your present home ? Where will you be commuting to ?

4. Will they need to sell their present home in order to purchase the new home?
If yes: Would they like you to offer an opinion of value and marketing plan? Do they have an idea what the property is worth? What is their present mortgage?
5. Have they been Pre-Approved? All Buyers should be pre-approved before viewing homes.
Other qualifying questions
What monthly investment are you comfortable with or planning on?
How much of an initial investment (down payment) will you be making?
Do you have additional funds for closing costs?
Is your down payment available now ? (not in stock or IRA etc.)
Have you checked your credit recently ? Employment history (2 years or more) ? Is the move definite?
How far along are you in your home search? How are you doing it?
Have you seen any (or many) homes as yet ? Any you've liked ? What kept you from buying?
The chain of events:
1. Sell their home – typically the sale must yield enough proceeds for a sufficient down payment on their new home – This is referred to as equity.
2. Obtain a mortgage to finance the new purchase – They must qualify for the required mortgage amount.
3. Find a new home that fits their needs – Equity + Mortgage must = New Home Purchase price.
All of these variables must be realistic in order for the Buyer to successfully move. In many cases, the Buyer’s have sufficient funds to pay cash for their purchase or to first purchase their new home and later sell their existing home.
Strategies for moving from their present home to a new home.
People must choose the best strategy for selling and transitioning from their present home to purchasing a new home. It is ideal if they have sufficient funds to first purchase the new property prior selling their present home and are willing to do so. In most instances, people need to access the equity in their present home through a sale in order to have the funds to purchase their new property. This transition is accomplished through various methods including:
1. Market their present property, place it under agreement, locate another suitable property to purchase and place it under agreement with the timing of the sale of their current home occurring just prior to the purchase of the new home such that the equity is available. For example - a morning home sale closing on their current property and an afternoon closing on the home they are purchasing. This approach avoids storing personal belongings and renting between the sale and purchase. This is not

always possible if they are unable to find a suitable property to purchase at the time of sale. In some instances, Sellers make the sale of their present home “Subject to the Seller placing a suitable property under agreement on or before (date)”.
2. Market and sell their present home. At closing store their belongings with a moving company or PODS and move into a short term rental. Short term rentals are readily available today through VRBO and AirBnB. While this approach has the burden of renting and storing, it has the advantage of knowing exactly how much equity they will have from the sale of their home and enhancing their future offer on a new home by removing the contingency or need to sell their present home.
3. Locate and place a new property under agreement with a contingency in the purchase contract making the purchase contingent on selling their present home by a particular time. The Buyer then puts their current property immediately on the market and if a Buyer is procured for their current property the dates for closing are aligned such that they sell their current home just prior to purchasing their new home.
Discussing our Buyers services. Agent to Buyer.
• We help you find the property that best fits your unique criteria and will search for properties that are difficult to find including off-market properties.
• We provide an opinion of value for any property of interest prior to submitting an offer.
• We will suggest a negotiation strategy, prepare the offer to purchase, and present it on your behalf.
• We use our market knowledge and skills to negotiate the best price and terms for you. This is important as the listing broker is working for the best price and terms for the Seller.
• We will assist with the financing process, if requested, and will help navigate the various steps of the transaction including the home inspection, purchase & sale agreement, financing, and closing preparation.
• We will overcome the obstacles that often ensue in the transaction and keep you informed throughout the process.
• We are trusted professionals who work in this space every day. It is important to have a knowledgeable n advisor.

1. Friendly, Positive Attitude, Easy to work with, Trustworthy.
2. Listens to needs – truly cares about them and meeting their needs.
3. Educates them on the buying process – contracts, loyalty etc. Provides copies of everything signed.
4. Accessible and available – Returns contacts promptly – Voice, Text, Email.
5. Strong knowledge of the local real estate market.
6. Frequently contacts them and keeps them informed about the market.
7. Knowledgeable about the area communities – schools, hospitals, programs.
8. Technically competent in real estate practice – contracts, process.
9. Knowledgeable and helps them with financing/pre-approval.
10. Professional – Dress, Car.
11. Shows homes that fit needs.
12. Non-pushy, Non-Manipulative, Helps make decision.
13. Follow up telephone calls throughout the transaction.
14. Help preparing for the closing – Watches over all details of the closing.
15. Provides them with related service providers – moving companies, attorneys etc.
16. Attends the closing and later contacts Buyer to check on status of move etc.
▪ Search for homes using the Multiple Listing Service. Buyers often find the home of interest.
▪ Showings take approximately one-half hour per home
▪ Call the listing broker to set up the showings unless other arrangements are indicated in the MLS.
▪ Set the tour in geographic sequence if more that a few houses.
▪ Be sure the Buyer plans adequate time to complete the tour.
▪ Leave time at the end of the tour to discuss the properties you have viewed.
▪ Our marketplace generally has “accompanied” showings in which the listing broker also attends.
Interest or Buying signs – people often give indications that they may be interested in a property in different ways. These include:
1. telling you that they are interested in the property.
2. talking very positively about the property.
3. asking many and/or detailed questions.
4. change in their approach to looking i.e. slowing down a bit, fitting furniture etc.

All or some of these may be an indication that they are interested in the property and usually it is an appropriate time to suggest writing an offer. For example:
Provide Professional encouragement to move forward if appropriate
• It seems like this property has what you are looking for – Let’s write up an offer
• You seem to be excited about the property – Would you like to write an offer?
• This property really has everything you’re looking for; We should write up the paperwork. We suggest obtaining a real estate calculator , this will allow you to supply the cost to the Buyer in terms of initial and monthly investments. It is much easier to make a purchase decision when they know how much it will cost.
Perform a complete CMA on the property prior to making the offer so that you can recommend an offer price and negotiation strategy
Complete the fields in the offer form as follows:
1. Buyers Name and Address - Seller name or Owner of Record, today’s date, and property description
2. Buyer Agent name and affiliated office, if any.
3. Purchase price and deposits - First deposit is usually in the amount of $1000.00 – This is the consideration for the offer and is required to validate the offer. Second deposit is normally 5 % of the purchase price minus the first deposit and paid upon signing of the P&S. Verify that the funds are liquid and available i.e. not in 401K etc.
4. The amount due to you as the Buyers Agent – Paragraph 2
5. Duration of the Offer. This the date by which the Seller must accept the offer or it expires. This is typically within 24 hours.
6. Purchase and Sale Agreement – This is normally 10-12 days after offer acceptance.
7. Closing Date – You must ask them when they would like to close. Sooner is always better. It is usually 45-60 days from offer date and there should be approximately 7 to 14 days between the mortgage commitment date and the closing date. The closing must occur on a business day. Avoid closing on Fridays because if the closing is delayed it wont be placed on record at the registry until Monday and the sale will be open for the entire weekend.
8. Escrow Agent - deposits are usually held by the listing firm but can be any agreed upon party.
9. Home Inspection Contingency and signing of Mandatory Residential Home Inspection Disclosure. This is usually 5 -10 days from acceptance of the offer.
10. Mortgage contingency - Dates should be as short as possible. If pre-approved 2-3 weeks. If not pre-approved 30 calendar days. The mortgage contingency dollar amount is calculated by multiplying the purchase price by the loan percentage amount i.e. 80%, 90% etc.

1. Showing – The Buyer’s Agent shows the property with the Buyer and is generally accompanied by the Listing broker.
2. Offer Written – Buyer’s agent writes an offer on the property including:
a. Offer to Purchase Form with contingencies (MAR or GREB form)
b. Mandatory Agency disclosure form.
c. Mandatory Home Inspection Disclosure Form
d. Preapproval letter or proof of funds.
e. Sellers Statement reviewed and signed if available.
f. Lead Paint form (if applicable). Agents must also sign.
g. Any other applicable disclosure forms Flood, Title 5 There is no need to write an initial deposit check unless the offer is accepted.
3. Present offer to Listing Broker – Buyer’s agent notifies listing broker of the offer and sends it to them electronically. It is best to put all documents into a single PDF and forward to the Listing Broker with any information that would enhance the likelihood of acceptance – sell the benefits of the offer to the listing broker. The Listing Broker will then present the offer to the Seller.
4. Seller Response - Seller responds to the offer through the Listing broker – Rejects, Accepts, or Counteroffers.
5. Buyer Response - Buyer accepts counter-offer or writes new offer as required.
6. Under Agreement - Negotiations continue until mutual terms are agreed upon and the offer is fully executed (signed) by each party and each party has received a copy of the agreement or the parties reach an impasse in the negotiations. Real estate contracts must be in writing to be valid. Do not tell Buyer or Seller that the property is under agreement unless it is fully signed and each party has a copy of the signed agreement. Do not negotiate offers via email or text.
7. Upon acceptance of the offer to purchase:
a. the listing broker deposits the initial deposit into their firm’s escrow account.
b. If having a home inspection, the Buyer chooses a Home inspector and schedules the inspection through the brokers. The Buyer must receive the document “Facts for consumers about Home Inspections”
c. The Sellers or Buyers attorney prepares a draft purchase and sale agreement. The listing broker may prepare a draft purchase and sale agreement and submit to Buyers and Sellers attorneys if requested.
Caution: The price, terms, and conditions of an accepted contract become the parties rights and responsibilities in the transaction. The terms of the contract are not flexible without written consent of both parties. Dates outlined on the contract for the home inspection, second deposit, mortgage contingency, and closing must be strictly adhered to unless a change is mutually agreed upon in writing.
8. Home Inspection:

a. The Home Inspection cannot by law be waived by the Buyer prior to offer acceptance.
b. State law requires the Seller and Buyer to sign the Massachusetts Mandatory Residential Home Inspection Disclosure prior to offer acceptance.
c. The inspections occurs typically within 10 days of offer acceptance and costs between $300. And $1500. Paid by the Buyer.
d. The law prohibits brokers from recommending Home Inspectors unless the broker is working as a Buyer’s Agent. Real Estate agents are required to give the Buyer a copy of the brochure Facts for Consumers about Home Ipsections. Also Refer the Buyer to the Home inspectors website at http://www.state.ma.us/reg
e. Inspections usually last 2 to 5 hours – Buyer’s Agent should attend. Listing brokers should attend but SHOULD NOT participate in the inspection.
f. The inspection covers the roof, exterior, foundation, windows, heating system, plumbing, and electrical system, structural etc.
g. Inspector provides written report of findings.
h. Buyer may choose withdraw in accordance with the home inspection contingency in the offer contract if applicable If significant defects are found in the home inspection, the parties often renegotiate the price or other terms.
9. Purchase and Sale Agreement – This is a more detailed agreement, which provides for many other possible situations that may occur during the process, and is typically executed by the parties within 10 - 12 days after offer acceptance. Usually Buyers and Sellers attorneys negotiate final language for the agreement. The attorneys should NOT be re-negotiating the major terms of the sale. Both brokers should remain in constant contact with the attorneys with the goal of completing the agreement as quickly as possible.
10. Second Deposit - A second deposit as described in the Offer to Purchase, normally 5% of the purchase price less the first deposit, is made by the Buyer upon the signing of the purchase and sale agreement. This is normally done by bank check, wire, or deposit link
11. Financing Application – Buyer applies for a mortgage, if applicable, in accordance with the dates in the offer to purchase which is usually the same time frame as the home inspection.
12. Smoke and Carbon Monoxide Certificate - Listing broker or Seller makes an appointment with the local fire department for a smoke and carbon monoxide detector inspection. Fire department inspects the premises and issues certificate of compliance, referred to as the smoke/carbon certificate. Each local fire department has it’s own schedule/process for booking appointments for these. By law, this certificate must be presented at closing to close.
13. Appraisal - Lender engages an appraiser to value the property and ensure that the purchase price is sufficient to support the loan. The appraiser contacts the listing broker for an appointment to view the home. They appraise the property and submits it to the lender. The cost of the appraisal is normally included in the Buyers closing costs charged by the lender. If the property does not appraise at or above the purchase price the Buyer may withdraw, re-negotiate, or agree to invest a higher down payment.

14. Closing Attorney/Documents – The lender hires a closing attorney who orders a title search by a title examiner at the registry of deeds. The attorney also prepares the closing documents required by the lender including the standard Closing Document statement of settlement form. The form shows all charges and credits to both Seller and Buyer and monies to be paid or received by each.
15. Final Water/Utilities - Listing broker obtains the final water and utility (if applicable) bills from the town. The Seller notifies all utilities (Gas, Electric etc.) of the sale and to close their account as of the closing date. The Buyer MUST notify the utilities and set up new accounts for each in order to maintain service. As brokers we remind each to do this.
16. Final walk through – Just prior to closing (the day before or day of) the Buyer and Buyer’s broker walk through the property, usually with the listing broker, to ensure that the Seller has fully moved all personal property out of the premises and that the premises are in the same condition as when the Buyer previously viewed them.
17. Closing – The closing is the actual sale of the property. The Seller signs a new deed granting the property to the Buyers and the Buyers pay the purchase price to the Seller. Closings are generally occurring with each party signing the required documents electronically or in-person with the closing attorney. The documents are then filed electronically with the registry of deeds.
All contracts for the purchase and sale of real estate must be in writing to be valid in Massachusetts. This is known as the Statute of Frauds. Verbal agreements for the purchase and sale of real estate are NOT valid.
Confusion in both the price and terms often occurs when the sale is negotiated verbally. There are often four parties involved in a negotiation (Buyer, Seller, Listing Agent, Buyer’s Agent) and the probability for error is higher when done verbally.
Do not tell a Buyer and/or Seller (or Buyer’s Broker) that the property is under agreement unless there is a fully executed (signed by both parties) written agreement and each party has a copy of it. If verbal discussion regarding price and terms occurs; remind all parties that it is not an accepted contract until it is in writing, signed by both parties and a copy is delivered to each.
All terms and conditions included in the Offer to Purchase should be clearly and specifically written. Attach additional pages if necessary and note on the contract that it is "subject to the terms on the attached page".

1. Humanize the parties to one another – use their names.
2. Conduct the negotiations in PERSON or live via Zoom or telephone This increases your ability to influence.
3. The shorter the negotiation period the better. Don’t allow the negotiation to drag on. The greater the time period and the number of offers/counteroffers the less likely the negotiation is to end successfully.
4. Help each party to see the negotiation from the other party’s perspective.
5. Empathize with the party with whom you are working.
6. Know and review the benefits of acceptance to the party with whom you are working Paint a word picture.
7. Frame offers and counter offers in a positive manner (if appropriate)
8. Keep the Offer/Counteroffers in writing - avoids ambiguity, remains legal and can be accepted.
9. Review points of agreement to verify progress.
10. Suggest compromise positions to find common ground.
11. Remind the parties that they have a common goal - to Sell and Purchase a home.
12. Remain calm and objective despite the high emotions of Buyers and Sellers.
13. Don’t give up! – Continually explore compromise positions.



▪ Flow chart overview of the proactive business building model.
▪ Prospecting dialogue examples for success.
▪ Lead Qualification, Conversion, Lead Nuturing.
▪ How much would you earn if you took one listing every week?
▪ Tips for building and marketing your personal brand.
▪ How many doors are open to your business?


Proactive Business Building consists of two primary elements - Sales and Marketing
1. Personal marketing = (REACTIVE) Newsprint advertising, personal websites, internet advertising, social media, direct mail, etc.
2. Prospecting – (PROACTIVE) A sales effort to find new business in person, via telephone, text, or email.
Prospecting means contacting people in person, via telephone, email, or text and ASKING for business.
Your goal is to identify people with a real estate need and set an APPOINTMENT with them. An appointment to list their home or an appointment to show them homes.
In real estate any adult is our potential client.
Ask everyone with whom you come in contact:
"Who do you know that is interested in selling or buying a home in the near future?"
“Who do you know who is considering moving right now?”
“When will you be moving?”
“How soon do you plan to move?”
Successful independent real estate agents prospect on a DAILY, CONSISTENT BASIS.
The level of lead pursuit is the difference between average and great sales performance.
Set a daily appointment (minimum 1 hour) for proactive business building. In addition to visiting, calling, texting, and emailing - post, like, and share on Facebook, Instagram, Linkedin.
Prospecting and finding leads is a statistical probabilities event – Ask more, receive more. You must hear “No” often to hear “Yes” regularly. Some will, some won’t, so what? Just do it!!
Just Do It! Everybody has call reluctance on some level, you overcome this by just doing it. The more you do it, the easier it becomes. When you do this everyday, it becomes easy and familiar. 50% of the battle is just making the call and giving yourself the opportunity to succeed. Crawl, Walk, Run.

A typical day of prospecting may include:
Warm calls – client match - 5 people, Sphere of Influence calls - 3 people, Post on Facebook/Instagram, Like, comment, share, Contact around new list or sale - 10 people, FSBO 1-2 people, Expireds 1-2 people, Invite 15 people to your Open House, Follow up on past open house attendees -10 people
Use the Churchill Properties Boldtrail CRM to manage your leads – It’s free and it allows you to capture all the lead information, make pages of notes, store related documents, set them up to receive emails on MLS properties that fit their needs, and note when to next call them.
Don’t ask “SAY NO” questions
Ask targeted questions rather than questions that can be answered with either a YES or NO response. People will generally answer NO when asked in the Yes/No format. For Example
Don’t ask - Do you know anyone who is considering a move right now? NO Ask – Who do you know who is considering a move right now? JOHN SMITH
Don’t ask – May I have your cell phone number? NO Ask – What’s your cell phone number please? 617-222-4567
Don’t ask – May I have your name please? NO, I’m just looking. Ask – Hi I’m Sally Broker, what’s your name? JANE DOE
Use alternate of choice questions to close for the appointment – “I have six o’clock available tonight or would tomorrow at five o’clock be better?”
“Who do you know who considering selling or buying in the next six months?" “Who do you know who is considering moving right now?”
“When will you be moving?”
“ by the way, how soon do you plan to move?”
Visit in person - Visit, in person, all leads generated. A personal contact has a much more powerful influence than the telephone, email, text, or direct mail. Visit all FSBO's and Expireds. Bring the Churchill Properties Seller Presentation book and your brochure. Your goal is to form a relationship, understand their real estate needs, qualify them, and show homes and/or obtain the listing. People work with people they come to know, like, and trust.

Warm Calls - These are people who are actively in the market now, or will be in the near future (1 year or less), to sell or buy a home. The frequency that these people should be contacted is based on the urgency of their need. Contact the client on all client matches. Follow up on all open house guest lists.
Sphere of Influence – Your sphere of influence includes friends, relatives, past customers, club members, religious group members, neighbors, former classmates, former workmates - ANYONE YOU KNOW (even casual acquaintances) who would recognize your photo. You should be continually adding to your SOI. Grow your SOI by 50-100 people each year.
Mail/Email and Call your SOI a minimum of four times annually - Ask for business
Email/Mail your successes to your SOI - Listings/Sales - A flyer of every listing & every sale.
Contact around a new listing or new sale.
Search the MLS for recent listings and/or sales - (Check all numbers on the Do Not Call list)
Hi
This is _____________ from Churchill Properties – the local real estate company here in ____________
I hope this is a good time? I’ll be very brief (brief pause) I am calling as a courtesy tonight to let you know of a new (listing or sale) in your neighborhood. The property is located at (address) and it is a (property description).Would you know anyone who may be interested in purchasing this home? (new listing only). There are likely to be several Buyers interested in your street, are you planning on making a move in the next 12 months? Who do you know locally that is considering a move. Ok – thank you for your time Mr. _____________, Goodnight.

For Sale By Owner - Find FSBO ads in the newspapers and internet FSBO sites. Contact them immediately in person if possible. Continually contact them until the listing is secured, sold, or listed by another Realtor.
At the door – Have your business card in your hand, knock on the door, step back as far as the entry will allow, look away.
Hi – My name is ____________and I am a local real estate professional with Churchill Properties.
I noticed your sign offering your home for sale. I want you to know that I am not here to ask you to list the property.
But I would like to see if I could help with your relocation. Will you be staying in the area or moving out of state?
If I had a Buyer that I could not satisfy through the multiple listing service, would you want me to show the property on a reduced fee basis (2.5 – 3%)? Great – I would like to set an appointment for me to view your home so that I may fully describe its’ features to Buyers. How is your schedule?
Expired Listings - Review the MLS everyday for expired listings. Check the active, under agreements, and sold properties to be sure the property has not been re-listed or sold. Find the Sellers name of all expired listings. Contact them immediately in person if possible.
Mr. _______________
Hi this is _________________from Churchill Properties – the local real estate company.
I hope this is a good time? I’ll be very brief (brief pause)
I’m calling because I noticed that your property appeared as an expired listing on the MLS computer today. Which means it is no longer being offered for sale. Were you aware of that?
Are you still interested in selling your home?
Sometimes just a few changes in the marketing can make a significant difference in getting the property sold and at the highest price.
We should meet for 30 minutes to discuss the best marketing methods for selling your home. When would be the best time to meet, I am available tonight at 5:00pm or would 7:00pm be better.

Direct call asking for business – Must check the Do Not Call list prior to calling
Hi Mr./Mrs. _______________
this is _________________from Churchill Properties – the local real estate company here in .
I hope I didn’t catch you at a bad time? I’ll be very brief (brief pause)
The reason for my call is the inventory of homes is very low right now and the Buyer demand is high. It is a great opportunity to get the best price for your home right now.
Who do you know in the area who is considering selling right now and would benefit from these market conditions, you perhaps? or
I am presently working with a Buyer who is interested in your area and has already viewed the inventory currently available. I was wondering if you, or someone you know, is planning to move? When will you be moving? Yes – Great – What’s their name? No – Ok – Thank you for your help – good day.
For more prospecting scripts obtain the Churchill Properties Prospecting Scripts “Prospecting for Success” booklet.
Other Sources of Business:
• Open houses – After qualifying, ask attendees for the appointment. Follow up continually. This is primary source of leads for many top brokers.
• Post on Social media, Facebook, Instagram, Linkedin,
• Create or join a lead exchange group with other professionals or business owners.
• Identify high profile people in the community. Introduce yourself, get to know them, and ask for business
• Ask for referrals from other independent agents not in your market area.
• Complete your agent page on Realtor.com, Zillow, Homes.com, Linkedin
• Search for each member of your S.O.I. on Facebook and Friend request them. Post daily.
• Join local clubs and organizations. – Set up a lead exchange group with other local service providers.
• Drive your marketplace and look for leads – PODS, Yard Sales, FSBO’s, etc.
• Read local news (digital/paper) look for changes in peoples lives and contact.
• Ask Lender partners for leads.

1. Treat every lead like GOLD and fully qualify.
2. Are they a Buyer, Seller, Seller/Buyer, Referral, Future business.
3. Do they have DNA – Desire, Need, andAbility.
4. What is their real estate goal? Why are they moving?
5. Research the lead before contacting – Google/Facebook look for mutual friends to mention.
6. If it is a listing lead – research the property and do a preliminary CMAbefore calling.
Questions to ask the Seller
▪ Why are you moving? Is the move definite?
▪ When would you like to be in your new home?
▪ What communities are you considering?
▪ What are you looking for in a new property?
▪ Have you visited any properties as yet?
▪ Have you pre-approved with a lender?
▪ What is important to you in a real estate agent and company?
▪ Will you be meeting with other real estate agents?
▪ Are you considering selling your home yourself?
▪ Do you have a price in mind for your property? What is that based on?
Assessing Seller need/desire/ability:
▪ How compelling is their reason for moving on a 1-10 scale?
▪ What are the consequences if the Seller does not move?
▪ Have they taken other necessary steps to prepare for the move?
▪ Are they willing to list for the right price for 180 days and at a full commission rate?
▪ Can you be successful for the client? Do you want the business?
▪ Are they realistic? Do they have the ability? Achievable price for their home, mortgage ability and comfort level, purchase price of the new home.

▪ Have you signed a Buyer agency agreement with another real estate agent?
▪ Why are you moving? When would you like to be in your new home?
▪ What features are important to you in your new home?
▪ What other factors are important to you in the move? Schools, Commute?
▪ Do you presently own or rent?
▪ What is your price range? What is your current monthly payment?
▪ What is the highest monthly payment with which you would be comfortable?
▪ Does that payment include taxes and insurance?
▪ Are you preapproved for financing?
▪ Will you be using the equity in your current home to purchase your new home?
▪ Would you like me to provide professional pricing on your current home?
▪ Call any lead receivedASAP. Don’t wait.
▪ Develop interest in working with you by describing the benefit of your service. Professional home evaluation, locating a new home, negotiating, market access and knowledge etc.
▪ Build rapport, trust, and credibility.
▪ Use the assumptive close “We should meet to…, How is your schedule? I am free tonight at 6:00pm or would tomorrow be better? Avoid YES/NO questions – they usually choose no.
▪ Set the appointment! Prelist with Sellers, Buyer Presentation/Showings with Buyers.
▪ Place the referral! Let me do some research and find a great agent in that area. What is the best number to reach you at?
▪ You must contact leads multiple times in order to convert them. Top agents continually contact leads until converted or it’s determined that it is not convertible – 5 or more contacts. Put the lead into your CRM.
▪ Contact all Open Tasks in your CRM daily.
▪ Contact warm leads every 7 – 15 days until they list or buy.
▪ Build rapport, trust, demonstrate skills, offer assistance, discuss market.
▪ ABC – Always be closing for Prelist, Showings, Referral.
▪ Place them on saved search in the Churchill Boldtrail.
▪ Contact them on every matching property sent to them automatically.
▪ Include them on your weekly/monthly email list

Let’s look at what would happen if you changed your lead generation strategy and took 1 listing per week.
1. Increase your level of Proactive Business Building to generate – 2 Listing appointments per week.
2. Convert 50% of the listing appointments to listings. 1 Listing per week. You will reject any listings that do not meet your criteria of a.) motivated Seller, b.) well-priced, c.) 180 day listing, d.) 5%-6% commission.
3. 1 Listing per week results in 4 listings per month.
4. If you sell 75% of these well-priced listings and your average sell price is $___________ This will result in 3 transaction sides and $_____________ in sales.
5. 4 new listings will result in a tremendous flow of interested Buyers. You will qualify all Buyers and select the most motivated to work with resulting in 1 additional Buyer side per month or $_____________.
6. You will also refer less qualified Buyers to another broker for a fee.
7. 4 transaction sides per month result in $____________. in sales monthly or $_________ annually.
8. At a 75% commission split this results in $____________ in personal earnings.
9. If you cannot envision yourself working at that level cut it in half and obtain 1 listing appointment per week and earn approx. $______________.
Is that possible?
In my primary and secondary towns there were _______ listings in the last 12 months.
Listing – prelist prep 1 hr, prelist appt. 1 hrs, CMA 2 hrs, deliver CMA/presentation prior to meeting 0.5hrs, listing presentation 1.5 hrs., listing start up 4 hrs, weekly call to Seller 6 hrs., broker/public OH’s 12 hrs., negotiations 4 hrs., home inspection 4 hrs., closing prep 2 hrs, closing 4 hrs. – 43 total hours.
Selling – Meet/Qualify 2 hrs., Buyer presentation/Sign Buyer Agency agreement 2.5 hrs, set up on client match 0.5 hrs., set up tours (5) 3 hrs., Show homes (20) 15 hrs., write offers (2) 3 hrs., negotiations 4 hrs., home inspection 3 hrs, closing prep. 2 hrs., closing 4 hrs. - 39 total hours.
If you invest 2 hours daily in proactive business building, or 10 hours weekly, you can close on 4 transaction sides per month in approx. 50 hours per week. Time flies – but you’re the pilot!!

Marketing and Building Your Personal Brand.
▪ Complete your profile page on all real estate websites including: Churchillprop.com, Realtor.com, Zillow.com, Homes.com.
▪ Encourage your clients to write online reviews of your performance – Send them the link to Zillow, Google, and Churchillprop.com
▪ Facebook – create a business page and post, like, comment, and share daily.
▪ Linkedin – Create your profile – post regularly.
▪ Instagram – Create a business page and regular post stories and reels.
▪ Direct mail to local area – high quality postcards – Use the US postal service EDDM program The EDDM mailing does not require address labels and is much less expensive.
▪ Personal Brochure for mailing and distribution at prelist/open house etc.
▪ Local newsprint advertising.
▪ Magazine advertising – Boston Magazine, North Shore Magazine, local magazine
▪ Just Listed/Just Sold cards. – Paid by company
▪ Email marketing to your SOI a minimum of once per month.


▪ Flow chart overview of the Listing process.
▪ The benefits of Listing homes.
▪ The Sellers Goals and Factors Upon which They Choose.
▪ The Seller Marketing Proposal / Listing Presentation.
▪ Overcoming the commission objection language.
▪ Open Houses – Preparing for and conducting an open house.
▪ Price Reductions – Obtaining a price reduction.


The Benefits of Listing Properties
1. Listing Brokers dominate the business.
2. Listings attract Buyers.
3. The marketing and promotion performed for each listing also markets and promotes the listing agent.
Listing Sheets, Advertising, The Internet, Just Listed/Sold Cards, the Yard Sign.
4. The Listing broker is guaranteed payment if the home sells.
The Seller Marketing Proposal / Listing Presentation
She or he who lists lasts and also leads! – Practice, Practice, and Practice again your Seller presentation and then over-prepare for each presentation. Practice and over-preparation leads to comfort, comfort leads to confidence, and confidence leads to SUCCESS. Throughout the process demonstrate your caring, concern, knowledge, expertise, and enthusiasm!
The Sellers goals - needs and desires – Speak to these throughout the presentation.
1. To obtain the maximum selling price.
2. To affect the sale in a certain time frame - usually the shortest possible time.
3. To have the least inconvenience and disruption to their lives.
4. To have a competent professional advise them through each step and handle all the details.
5. To be kept informed throughout the process – To know what is happening and what to expect.
Factors upon which Sellers choose an Agent/Company – Emphasize your strengths!
▪ The agent/company combination they believe will:
a.obtain the highest possible price for the property resulting in highest return from the sale.
b.sell the house in the shortest time.
c.best handle the process and limit the disruption and inconvenience in their lives.
▪ The Agent to whom they have been referred by a friend.
▪ Comfort level/trust with the agent. – “they don’t care how much you know until they know how much you care”
▪ Agent competency – technical knowledge, market knowledge, experience, track record – Over prepare!
▪ The marketing plan for the property. – What will you specifically do to market their property?
▪ Pricing recommendations - Our goal is not to choose the highest list price but the highest obtainable price.
▪ Commission rate – best value when considering net selling price. They will gladly pay a fair commission rate if you effectively demonstrate your value!
Our Goals in the Seller Presentation

Goal - Obtain the listing at the best price, for a term of 180 days or more, and a minimum commission rate of 5%.
Method – Differentiate yourself and Churchill Properties in the mind of the Sellers by connecting with them on a personal level and sharing with them how you and Churchill Properties program will achieve for them 1. the best possible price, 2. in the shortest reasonable time, 3. with the least disruption to their lifestyle while 4. advising them at each step and 5. keeping them informed throughout the process.
These are the 5 BENEFITS that Sellers are seeking. Tie the FEATURES of you and your service to these BENEFITS. Sellers want a competent and caring real estate professional with whom they make a connection and feel has the capabilities and resources to do an excellent job for them.
1. Ask basic qualifying questions on your first contact with the Sellers. Why are you considering a move? Where will you be moving to?.
2. Review the public record, assessors record.
3. Review the property on Google Earth.
4. Drive by the property – Take a photo for use in your CMA.
5. Search MLS for subject property history.
6. Search the MLS for 5 years of neighbor sales – Seller knows these best.
7. Review the deed online at the registry.
8. Perform a CMA – Price the property – Choose best comparables.
9. Prepare a toolkit CMA using the best comparables include the subject property if available in MLS.
10. Prepare a Churchill hardcover booklet with Seller Presentation and CMA.
11. Run Market reports in MLS – Tools > Area Market Review, LTM Solds by Price Range, Inventory by Price Range. - For more expensive homes – County and/or Massachusetts reports.
12. Check the Seller on FB – Who are your common friends?
1. The completed exclusive listing contract, agency disclosure form.
2. A marketing folder to be left with the Seller including – LeadingRE chart, Marketing Program Overview, Churchill Prelist/Sellers Guide, Churchill Real Estate Guide, Your personal brochure/promotional materials.
3. Market reports – Area market review, LTM Sold, Inventory Reports,
4. A hardcover Churchill Seller Presentation and CMA produced in Toolkit.
5. Listing Sheet example, brochure examples.

6. Advertising Examples – Relevant Magazines/Newspapers
7. Your personal brochure and other personal materials – awards, personal marketing, rankings, pictures of SOLD homes, designations etc.
1. THANK THEM for inviting you over and ask to tour the property with them. Compliment them on the nice features of their home. BE ENTHUSIASTIC – Sellers often list with the agent who is most excited and enthusiastic about their home and marketing it. DON’T EVER SAY ANYTHING NEGATIVE ABOUT THE PROPERTY.
2. Ask questions to understand their needs and goals. Why are they moving? - Are they thinking of selling, considering selling, or committed to selling? Where are they moving to? What is their time frame. Is the scenario realistic? Ask them if they had a price in mind for their home?
3. Discuss the process and share with them the many benefits of using you and Churchill Properties. Differentiate from your competitors. Do it within the context of describing the process. MAKE IT A DIALOGUE BY ASKING QUESTIONS – “HAND THEM THE MICROPHONE”.
4. Repetition is important 1. Tell them what you are going to tell them,- An overview 2. Tell them – the presentation, 3. then Tell them what you told them – a summary. In others words give an overview of your service and the benefits, provide the details on the more important elements of the service, then summarize the benefits and close for the listing. REPETITION – FOCUSED ON THE BENEFITS THEY WILL BUY.
5. Close for the listing – “So you can see with our extensive, multi-media marketing program, and my diligent follow up using my skills and experience we will get the most money for your home in the shortest reasonable time. So we use the standard paperwork of the Mass Association of Realtors…MOVE RIGHT ON TO ENDORSING THE “STANDARD” PAPERWORK.
6. Review the CMA and market and price the property with the Seller.
Note: Sales Experts agree that your verbal message is greatly reinforced when you provide a visual that supports it. It is also enhanced if the prospect can hold a reinforcing item such as the Churchill Real estate Guide or the Churchill Listing Sheet – hand it to them.
Thank you for inviting me to view the property and allowing us to provide our marketing plan and pricing for the property.
For most Sellers maximizing the selling price achieved and their equity return is the most important goal? Is that yours? What other factors, if any are important in the sale for you?

There are seven key steps to successfully marketing a property to best advantage and to achieving the highest possible price the market will bear – those are 1. pricing, 2. staging, 3. marketing, 4. persistent Buyer engagement and follow up, 5. negotiations, 6. financing, and 7. transaction management to close.
The two most critical elements for obtaining the best price are the quality and quantity of the marketing and the skill and persistence of the agent.
As the Seller you are in control of the first two steps and we will be happy to provide our professional input on pricing and, if hired, written recommendations for preparing the property for sale and staging, if desired. We will handle all other aspects of the sales and marketing and our powerful program is designed to cast a very wide marketing net to ensure that you attract the full complement of relevant Buyers for your property and then I am extremely diligent with my follow up and pursuit of each potential Buyer.
Purchasing a property is a “high involvement” decision - there is a lot of money involved and the decision is not easily reversed. People don’t make these decisions casually and they often need some professional encouragement in order to move forward. I am very persistent in encouraging people to come see the property and, if they are showing signs of interest, to move forward with the offer.
GIVE YOUR PERSONAL QUALIFICATIONS HERE
WE FIND THE ONE “PERFECT”
For every property, there is only one “Perfect” Buyer who will pay the highest amount for the property. That is the person whose needs and desires in a property most closely align with what your property offers. It sometimes takes time to find this one person and also you have to market the property in multiple media channels to ensure that you are reaching ALL potential Buyers.
Today’s marketing landscape is much more diverse and wide ranging than ever before and people are not all tuned to the same media type or channel. There are 300 cable TV channels, dozens of online real estate sites, multiple social media channels, direct mail marketing, magazines, newspapers, and email marketing. The owners of Churchill Properties recognized this and have devised a program that employs ALL of these methods and channels to ensure we find that one right Buyer who will pay top dollar for your home.

Churchill Properties has recently formed a partnership with Zillow as a Premier Brokerage Firm. Zillow is the WORLD LARGEST REAL ESTATE SERACH PORTAL and Churchill Properties is the only Premier Brokerage Firm on the North Shore. In just a few short months, the partnership has resulted in hundreds of Buyer leads to Churchill Properties associates and many, many closed home sales. This is how it works….. (Show our Zillow Marketing slick).
Social Media is one of the most important marketing venues with millions of daily viewers. We use all the major social media websites to promote our properties and brand but we particularly focus on Facebook and Instagram as these are visual, have an older demographic who are more financially able to buy homes, and we can “boost” the posts to target and reach thousands of people in our immediate area.
Churchill Properties is progressive in that they have each agent’s name and cell phone on the sign, not the office number, and also on all advertising. In this way, the person who best knows your property and has the highest level of motivation to get it sold receives the Buyer inquiry directly. In the older, larger firms they have what is known as “floor time” where junior brokers take turns answering any inquiry and engaging Buyers. This does not best facilitate the sale.
Buyers today make the first evaluation of every property online. Most upscale real estate websites today, including Churchillprop.com, allow Buyers to input their search criteria and the website will then automatically send them an email when any new listing comes on the market that meets their criteria. When received, they click through the 42 photographs and other information around the listing and they make all important decision as to whether or not this is a property that they would like to actually visit in person. This is why it is so important to have the property appear exceptionally well online.
At Churchill Properties, we recognize that the property must be professionally and beautifully imaged in order to attract more Buyers and achieve a higher selling price. The company pays to have every listing professionally photographed and they have floor plans produced for every property. It makes a tremendous difference. Professional photographers have better equipment, better lighting, and a better eye. They also digitally enhance the photographs. You can see how that would make a difference?

We then use the quality imagery to produce a high-quality, multiple-page listing brochure that brings out the very best in the property. These are used when engaging Buyers at open houses and on showings to help further their interest and continue the sales process. (show example).
If there were one media channel that was most important in the marketing of real estate today it is real estate specific websites like Churchillprop.com and Zillow. More Buyers use these venues than any other source.
The Churchill North Shore Real Estate Guide – a 40+ page catalog, sent five times annually to more than 10,000. Recipients throughout the North Shore via direct mail based on an assessed value of $500,000+ Each listing has a full half page and the agent name and cell phone is on each listing ensuring direct calls to the person who knows the property best.
North Shore Magazine and North Shore Home magazine is one of the most widely read, affluent publications on the North Shore. They have a readership of more that 112,000 readers and Churchill Properties invest in every edition. Unlike many of our competitors, we use the advertising to promote our clients properties rather than the brokers.
The multiple listing service is the central database that feeds all of these websites. In Massachusetts, we have one MLS that covers the entire state - MLSPIN. All participants in the MLS are required to enter their listings into the service within 24 hours of listing the property and we all share each other’s listings through a mechanism called IDX Exchange so that all real estate companies have all the listings available through any company appearing on their website. In this way Buyers only have to look at one website to see all the listings. We also feed or syndicate our listings to many third party websites like Zillow.com, Trulia.com, NYtimes.com, Realtors.com, Homes.com, Distinctivehomes.com, Boston.com, and many, many more. So when you list with one real estate company your listing will appear on the website of all real estate companies.
We also use the MLS as a mechanism for broker cooperation to facilitate showings of all Buyers and to compensate each other for the sale of the property. There 25000 brokers in the Mass. MLS all cooperating to show and sell all listed properties.
Churchill Properties has a powerful email marketing platform that allows us to better promote your property to more than 3500 hundred real estate brokers operating on throughout Massachusetts.

Churchill Properties is a member of the elite, international real estate brokerage network The Leading Real Estate Companies of the World. This invitation only network includes only firms operating in the top 20% of their marketplace and includes more that 130,000 associates in more than 4100 office in more than 65 countries and 800 cities worldwide. There are more than 1800 LeadingRE associates in Massachusetts. This powerful network provides incoming relocating Buyers and greater marketing exposure through the LeadingRE website.
Churchill Properties is a partner with LeadingRE’s luxury arm – Luxury Portfolio International. All Churchill Properties listings priced at $1million or above include high-quality videos presentations and appear on Luxury Portfolio International. A luxury property requires a tailored and strategic approach to pricing, marketing, and negotiation. Luxury Portfolio has more than 3 million high-net-worth visitors annually. The website is translated into 9 languages and 60+ currencies. The average household income of visitors is $1.1 million.
Let us connect you with high-net-worth Buyers in more than 800 cities and 65 countries. Any property listed on Luxury Portfolio International is also syndicated to the WallStreetJournal.com and Juwai.com info@
Churchill Properties advertises in every issue the of the world renown luxury real estate magazine – Unique Homes Magazine. All properties that appears in Unique Homes magazine also appear on the Unique Homes media website. Unique Homes has a readership of more than 100,000 highly affluent readers worldwide. It is sold at thousands of newsstands and bookstores worldwide, distributed to the Forbes 1000 CEO’s, and an exclusive list of individuals with a net worth of $10M+
Home Inspection, Purchase and Sale, Financing, Appraisal, Fire Code Regulations – Smoke detector inspections, Final Utility Bills and transfer, Drawing of the deed, Final Buyer inspection,
Agent to Seller: “We charge 5% for our service which includes all of the Marketing, Promotion, Advertising, Websites, and all of my services in handling all aspects of the sale.”
Agent to Seller: “So you can see that Churchill Properties has exceptional resources to attract a larger group of relevant Buyers to get the best price including the Zillow Premier Program, Direct mail catalogs, Advertising in multiple magazines and newspapers, social media marketing, and email marketing. We find the one right Buyer who will pay top dollar. You can see how that will make a tremendous difference in marketing your home?”
Additionally, I have the skill, local knowledge, and experience necessary to professionally engage the Buyers and affect a sale on the best price and terms for you. “We use the standard paperwork of the Mass. association of Realtors…” After signing the Listing Agreement – move onto market review, the CMA, and Pricing Decision.

Price is one of the most important elements in marketing a home. A home that is well priced and marketed will most often be under-agreement in thirty days or less resulting in a very satisfied client and broker. Listing at the right price from the start will avoid significant frustration for both you and the Seller in the future.
Tips for obtaining the best listing price.
1. Ask the Owner if they are familiar with the current market and have a price in mind for their home. Knowing their expectations will help you in preparing for the meeting.
2. Understand the Sellers reason for selling and their level of motivation. You may be willing to accept the listing at a higher price, if they are committed to selling, will reduce the price if necessary, and will provide a longer listing period.
3. When preparing your CMA in a changing market, base your pricing decision on properties that are under-agreement and have most recently sold. These are most indicative of today’s market conditions.
4. Obtain a second opinion before meeting with the Seller. Ask your manager or another broker in your office to review your CMA and provide their opinion of value.
5. Based on your CMA, develop a listing price range that will position the property as an exciting value that will likely result in a sale in approximately 30 days. This is your target price range and you should work diligently to overcome Seller objections and list the property within this range. It will benefit both you and the Seller.
6. Decide on the price at which or above you will not list the property.
7. Bring local market reports to the listing meeting and advise the Seller as to local market and economic conditions. Reports/topic to include:
a. LTM SOLD by Price charts - MLS
b. Current Inventory by Price - MLS
c. Area Market Review
d. Current interest rates

Setting Seller expectations - Important points to discuss with the Seller.
The market sets the price – We have confidence in our professional opinion of value, however nobody can be certain of the value of any property at any time. There are too many variables. The only way to learn the actual value of a property is to choose a listing price, aggressively market the property, and evaluate the results. The market value of a home is defined as the price a willing Buyer will pay and a willing Seller will accept in an open market. Realtors do not set the price, the market does.
Evaluating market response – We evaluate the market response to your home by monitoring the activity levels in web viewings, open house attendees, showings, and offers. A well- priced listing receives immediate and steady activity in these measures until under-agreement. A listing must have a sufficient flow of Buyer showings in order to sell. Lack of sufficient activity indicates that the marketplace is rejecting the property at that price level.
Price reduction indicated – If after 15 - 45 days at a particular price a property has not sold, and showing/offer activity is limited; a price reduction is indicated. Unfortunately, we don’t find out what a property is worth when it doesn’t sell but rather what it isn’t worth. We then test the next price level which is typically at a reduction of 5% or greater.
The Existing Buyer Pool - For every newly listed property, there is a group of experienced Buyers currently in the market who assess and/or view each new listing within 30 days from the list date. These are an important group of Buyers who have been in the market for 30-180 days and as a result:
a. know the market and can quickly recognize value.
b. are typically pre-approved.
c. are prepared to make a purchase decision.
After this group has been exhausted, the property is generally attracting Buyers who are relatively new to the market. This is why showing activity is strongest when the property is first introduced and also why it is critical to initially price the property competitively.
Appraisal/Buyer Agent - The selling price of a property will typically be evaluated by two other real estate professionals in the process – The Buyer’s Agent, working for the Buyer and the Appraiser, working for the lender. They will be use the same information to evaluate your home.
Dangers of overpricing:

▪ The lost opportunity of those first 30 days when brokers and buyers are most interested in the "NEW" listing. The existing pool of buyers know value and reject overpriced listings.
▪ Over priced homes sell competing homes.
▪ The property becomes stale - Buyers wonder what is wrong with the property.
▪ Seller continues to pay the carrying costs while property sits unsold on the market.
We would like to try it at a higher price, we can always reduce. I don’t blame you for wanting to try it at a higher price but if you over price the house you will eliminate the best buyers who are currently in the market. These are the Buyers who have been in the market for some time, are pre-approved for a loan, know values, and are ready to make a purchase decision. They simply determine that the house is over priced, usually done on-line, and they don’t pursue it.
The other broker feels it’s worth $40,000 more than you, we would like to try it $40,000 higher. Overpricing a house diminishes the excitement and interest of both the Buyers and the Brokers. When a house presents as a good value, Buyers and Brokers get excited about it and have a sense of urgency that encourages offers. Well priced homes often receive multiple offers that bid the price up.
Remember : We are responsible for the marketing, and sales effort, not the market.

Churchill Properties - An Exceptional Value - Overcoming the Commission Objection
Memorizing and using this language will save you thousands in lost listings and reduced commissions.
Our fee includes all of the marketing, promotion, advertising, websites, property video, and we will handle all aspects of the sale. We will also professionally advise you and keep you informed at each step of the transaction.
1) The selling price achieved has a more dramatic impact on net proceeds than the commission percentage paid.
Our greater resources and marketing draw a larger group of buyer's, making it more likely that we obtain the most qualified buyer and a higher selling price. The higher selling price more than offsets the difference between our fee and the fee charged by a limited service broker. The selling price has a much greater impact on the return to you than the commission rate. “It is not percent but percent of what?”
“Would you rather pay a 5% commission on $600,000. or 6% on $630,000.”
2) Why pay 99 cents to whisper when for a dollar you can shout!
Churchill Properties is a better value for the dollar. You will receive all our resources for six percent. With a limited service broker you will pay most of the fee without receiving many of the benefits.
3) Provide a stronger incentive for every Realtor to sell your home.
The enhanced commission rate provides greater incentive for all Realtors to show and sell your property; as it provides a higher offer of compensation to all through the multiple listing service. Realtors take note of the compensation offer printed directly in the MLS.
4) The commission rate supports a dedicated staff of hundreds of Realtors.
The fee is often divided several times between offices and independent agents and represents the cost of keeping dedicated real estate salespeople in the field.
5) Limited services companies obtain limited results. Limiting the marketing and sales effort on a property will greatly impact the results. Diminishing the number of opportunities to obtain potential Buyers reduces the likelihood of finding the most qualified Buyer who will pay the highest price.

1. The best thing to say if asked to reduce your commission is “no”. Some sellers actually say “ok”.
2. You get what you pay for. Do you think all real estate agents are the same?
3. Some agents have to be the cheapest to get their business. That is their only value proposition.
4. I charge a little more, but I don’t cost more. Why? Because our marketing attracts more Buyers and I obtain a higher selling price through diligent Buyer follow up and strong negotiation skills.
5. If you think its expensive dealing with a professional, wait until you see how much it’s going to cost you when you work with a discount broker.
6. Is the commission rate the only criteria you will use to hire a broker?
7. Are you interested in a higher sales price or a lower commission?
8. Agents who are so quick to cut their commissions are usually not strong negotiators.. If they can’t negotiate their own compensation, how are they going to be able to negotiate your price? I hope if nothing else, you respect the fact that I fight for my money and I also fight for your money.
9. The sale of your home represents a $_______________asset. If someone put $________________ on your kitchen table, what would you do with it? You would probably invest it. Would you invest with the cheapest financial advisor and ask them to handle the money for you or would you find the best in the business, someone who would give you the best return with a proven track record, even if they cost a little more? (You can also use the discount doctor or lawyer analogy – would you pick a heart surgeon that quoted you the lowest fee?)
10. Why are you so concerned about me and what I am going to get? Why don’t you worry more about you and what you are going to get? Let’s focus on you and your price before we worry about me and my fee, ok?
11. Remember: The 1% difference to the seller equals a 17% cut in pay to us. There are several price points between 5% and 6% 5.25%, 5.5% etc.
12. My concern is how much equity you are willing to risk or leave on the table in order to get a discount in a fee.
13. Most sellers I work with are concerned the most with the amount of money they will net from the sale of their home. I assume that’s why you are questioning my fee. Give me just 20 minutes to show you how I will net you more money. If you don’t feel I am worth what I charge, don’t hire me.
14. I’m not here to list your home. I’m here to net you more money. My value to you is, I will net you more money. I am confident I will help you net more money.
15. We get paid for our results, not our time.
16. If you don’t think my ideas or negotiating ability can make up the one percent difference I charge, you shouldn’t hire me.

Other potential commission objections responses
17. I don’t use my fee as a tool to get your listing. Commission is meant to be an incentive to get the real estate community excited about trying to sell your home.
18. We don’t charge fees…we earn them! You pay NOTHING unless we are successful in the sale.
19. Let’s be honest. If you were an agent selling 2-3 homes per year in this market…and things being equal…which homes would you choose to sell? Homes where the selling agent receives 2% or 2.5% or those offering 3%, 3.5%, 4% or more? Of course you would. They all would.
20. Expired Listing: How much were you paying the last broker? 5%? How did that work out for you? Or, we also charge 5% when we don’t sell a house! Or, we can do even better than 5%...we won’t charge you anything if we don’t sell your house!
21. Mr. Seller, let me ask you a question…If you were to list your home at 5% for six months…and your home didn’t sell…how much would you save? Exactly.
Did you ever have a seller ask you to cut your commission because their home sold so fast?
Mr/Mrs Seller, as I explained to you when we first met, because of our unique marketing strategy, there was a strong possibility that we would sell your home quickly. Most sellers would be thrilled to get such an overwhelming response. My job is to provide results. Which I have. It’s not about what I give you, it’s about what I get you. I’m sure you can understand that I do not reduce my fee if the sale takes place in days just as I don’t increase my fee if the sale takes place in 2-3 months. I’m sure if we were sitting here 3 months from now, you would not be willing to pay me 7% or 8%, would you?
REMEMBER: Selling a home, which represents most people’s largest asset should be a business decision. We are just as professional as any exceptional doctor-lawyer-accountant or financial adviser. We are highly skilled business professionals who happen to be in the real estate business. We command and demand full fees.
SELLERS DO NOT WANT TO PAY 5% IF THEY CAN HELP IT! THEY NEED TO BE SHOWN THE VALUE IN DOING BUSINESS WITH US, SO THEY CAN JUSTIFY THE 1% DIFFERENCE. WHAT ARE THE BENEFITS TO THE SELLER IN DOING BUSINESS WITH YOU?

Preparing and conducting an Open House.
▪ Remind the owner to safeguard all valuables prior to the open house.
▪ Bring a great Attitude with you.
▪ Invite to the neighbors before a public Open House
▪ Your arrival and departure - Be early and stay late if need be
▪ Bring a portable music player for soft instrumental music.
▪ Lights, heat or AC - Turn on all as needed – including the basement.
▪ Pets - ask the seller on how best to handle - remove or have them caged
▪ Marketing material to bring/distribute:
a. The Churchill Listing sheets – with photos, floor plans, plot plan
b. The Churchill Properties North Shore Real Estate Guide
c. Your Churchill Personal Brochure
d. Churchill Properties – Seller Presentation booklet
e. An Offer form and Agency disclosure form, Lead Paint if applicable
f. Sellers Statement
g. Open house sign in sheets
h. Open House signs
i. Business Cards – have plenty of your business cards.
j. Current Market Information – Market charts
k. Switch Properties – Other similar properties in the price range and town
l. Notice to Attendees – Required Agency Disclosure Sign
▪ Follow-up on your open house
Leave a note for the Seller on the open house activity and follow up with a call giving your feedback. Call the attendees to see if you can convert them to clients.

1. When is the need for a price adjustment indicated? – Generally a price reduction is needed if the property has been at the current price for 20 – 40 days with limited activity in one or more of the following indicators: the number of showings, offers, open house attendees, and viewings on the internet.
2. Perform and analyze an updated comparative market analysis.
3. Compile the following information:
▪ A list of all marketing activities performed to date - advertising, websites, flyers, open houses, direct mail, MLS, client match, etc.
▪ The marketplace response in showings, the number and price ranges of offers, number of open house attendees, and viewings statistics on websites – homebase in-sight report
▪ Information on current market conditions i.e. absorption rates, inventory levels, etc.
▪ Planned future marketing.
4. Meet with the Seller in person. Discuss all marketing to date, the market response, the CMA/indicated value, and planned future marketing. Suggest a new listing price.
5. A price reduction of five percent (5%) of the current listing price is typically sufficient to attract a new audience. Obtain an extension to the listing if it expires in 30 days or less. The Seller must sign the MLS form.
Suggested Dialogue:
We have had limited activity despite significant promotion to both the public and to the brokerage community using a wide range of marketing vehicles. We have promoted the property on dozens of websites including Churchillprop.com, Zillow.com, Realtor.com, and Boston.com, it has been available to each of more than _______ brokers and their clients through the multiple listing service for _______weeks. It has been in the local paper ___times, we have held ___ open houses, it has been in the regional paper _____ times, we have sent flyers to all local brokers, the MLS has sent client match system has notices to every Buyer whose search criteria was met by the features of your home. Thousands of potential home buyers have been exposed to the property and the lack of activity is an indication that a price reduction is needed.
A reduction now will likely maximize your selling price and preserve as much as your equity as possible. I know it may be disappointing to you; however as an objective professional you’ve hired me to use my skill and experience to interpret the market response and suggest adjustments, when necessary.

• Churchill Properties Transaction Form
• Massachusetts Mandatory Licensee-Consumer Relationship Disclosure form.
• Contract to Purchase Real Estate.
• Massachusetts Mandatory Home Inspection Disclosure
• Home Inspectors – Facts for Consumers.
• Consent to Designated Agency.
• Notification of Designated Agency.
• Consent to Dual Agency.
• Notification of Dual Agency.
• Exclusive Buyer Agency Agreement
• Non-Exclusive Buyer Agency Agreement
• Addendum for Buyers Home Sale Contingency
• Exclusive Right to Sell Agreement.
• Authorization To Offer Buyer Agency Compensation Form
• Counter Offer Form
• Standard Form Purchase and Sale Agreement.
• Childhood Lead Poisoning Prevention – Property Transfer Lead Paint Notification.









































